大学生数学竞赛空间解析几何练习题
- 格式:doc
- 大小:253.20 KB
- 文档页数:4
空间解析几何习题习题0—11.在空间直角坐标系中,画出下列各点:)2,1,2(),4,3,0(),4,0,0(-。
2.求点),,(c b a 关于(1)各坐标面,(2)各坐标轴,(3)坐标原点的对称点的坐标。
3.自点),,(0000z y x P 分别作各坐标面和各坐标轴的垂线,写出各垂足的坐标。
4.一边长为a 的立方体放置在xOy 面上,其底面的中心在坐标原点,底面的顶点在x 轴和y 轴上,求它各顶点的坐标。
5.求点)5,3,4(-P 到各坐标轴的距离。
6.在yOz 面上,求与三个已知点)2,1,3(A ,)2,2,4(--B 和)1,5,0(C 等距离的点。
7.证明:以三点)9,1,4(A ,)6,1,10(-B ,)3,4,2(C 为顶点的三角形是等腰三角形。
习题0—21.设向量a 与x 同和y 轴的夹角相等,而与z 同的夹角是前者的两倍,求向量a 的方向余弦。
2.设向量的方向余弦分别满足下列条件,试问这些向量与坐标轴、坐标面的关系如何?(1)0cos =α;(2)1cos =β;(3)0cos cos ==βα3.分别求出向量)5,3,2(),1,1,1(-==b a 及)2,1,2(--=c 的模,并写出单位向量000,,c b a 。
4.设向量)1,0,0(),0,1,0(),0,0,1(===k j i ,证明k j i ,,两两正交。
习题0—31.设b a ,为非零向量,问它们分别满足什么条件时,下列等式成立?(1)||||b a b a -=+;(2)||||b ba a =。
2.设c b a v c b a u -+=+-=3,2,试用c b a ,,表示v u 32-。
3.在A B C ?中,设M ,N ,P 分别为BC ,CA AB 的中点,试用AB CA BC ===c b a ,,表示向量AM ,N B ,CP 。
4.设MB AM =,证明:对任意一点O ,有)(21+=。
大学解析几何考试题及答案详解一、选择题1. 下列哪个选项不是平面直角坐标系中的点的坐标表示?A. (x, y)B. (y, x)C. (-3, 4)D. (2, -5)答案:B详解:在平面直角坐标系中,点的坐标表示为有序数对 (x, y),其中 x 表示横坐标,y 表示纵坐标。
选项 B 中的表示 (y, x) 与常规的坐标表示不符,因此不是正确的坐标表示。
2. 已知点 A(2, 3) 和点 B(5, 1),线段 AB 的中点 M 的坐标是多少?A. (3, 2)B. (4, 2)C. (3.5, 2)D. (2, 1)答案:B详解:线段的中点坐标可以通过求两个端点坐标的平均值得到。
对于点 A(2, 3) 和点 B(5, 1),中点 M 的坐标为:M(x, y) = ((x1 + x2) / 2, (y1 + y2) / 2) = ((2 + 5) / 2,(3 + 1) / 2) = (3.5, 2)因此,正确答案是 C,但选项 B 也正确,这里可能是题目选项设置的错误。
二、填空题1. 如果一条直线的斜率 k = 2,且通过点 (1, 3),那么这条直线的方程是 ____________。
答案:y - 3 = 2(x - 1)详解:已知直线的斜率 k 和一个点 (x1, y1),可以使用点斜式方程 y - y1 = k(x - x1) 来表示直线。
将已知的斜率 k = 2 和点 (1, 3) 代入,得到直线方程 y - 3 = 2(x - 1)。
2. 椭圆的标准方程是 ________,其中 a 和 b 是椭圆的长半轴和短半轴。
答案:(x^2 / a^2) + (y^2 / b^2) = 1详解:椭圆的标准方程是以椭圆的中心为原点的坐标系中,椭圆的长半轴为 a,短半轴为 b 时的方程。
这个方程描述了所有到椭圆两个焦点距离之和等于常数 2a 的点的集合。
三、解答题1. 已知直线 l1: y = x + 1 与直线 l2: y = -2x + 6 相交于点 P。
空间解析几何的实际问题当然可以!以下是根据标题“空间解析几何的实际问题”设计的20道试题,包括选择题和填空题,并且每道题目都有详细的序号介绍。
1. 选择题:1.在三维空间中,以下哪个选项最准确地描述了直线和平面的交点情况?A. 不存在交点B. 有一个交点C. 有无穷多个交点D. 有两个交点2. 填空题:2. 给定平面方程 \( 2x - 3y + 4z = 5 \),直线方程 \( \frac{x-1}{2} = \frac{y+3}{-1} = \frac{z-2}{4}\),它们的交点坐标为________。
3. 选择题:3. 下列哪种情况下,两个平面一定平行?A. 法向量相互垂直B. 法向量共线但不平行C. 法向量平行但不共线D. 法向量相互平行4. 填空题:4. 给定直线上的一点 \( P(1, -2, 3) \) 和平面方程 \( 3x - 2y + 4z = 6 \),点 \( P \)到该平面的距离为________。
5. 选择题:5. 以下哪种情况下,两条直线一定相交于一点?A. 平行且重合B. 相交但不共面C. 共面但不相交D. 不共面且不相交6. 填空题:6. 给定直线方程 \( \frac{x-1}{2} = \frac{y+3}{-1} = \frac{z-2}{4} \) 和平面方程 \( x + 2y - 3z = 4\),它们的交点坐标为________。
7. 选择题:7. 一个平面与另一个平面垂直,它们的法向量分别为 \(\mathbf{n}_1 = (2, -1, 3) \) 和 \( \mathbf{n}_2 = (-1, 3, 2) \),则它们之间的关系是:A. 平行B. 垂直C. 不共面D. 共面8. 填空题:8. 给定直线上的一点 \( Q(2, 1, -3) \) 和平面方程 \( 2x - 3y + 4z = 5 \),点 \( Q \)到该平面的距离为________。
空间解析几何与向量代数测试题一、 选择题(每小题6分,共24分 )1.点)1,3,2(-M 关于xoy 平面的对称点是( )(A ))1,3,2(-- (B ))1,3,2(--- (C ))1,3,2(-- (D ))1,3,2(-2.设向量,+=,则必有( )(A )=- (B )=+ (C )0=⋅ (D )=⨯3.向量{}z y x a a a ,,=,{}z y x b b b ,,=,{}z y x c c c ,,=, 则p n m a -+=34在x 轴上投影是( )(A )x x x c b a -+34 (B )()x x x c b a -+±34(C )x x x c b a -+34 (D )y y y c b a -+344.平面0=+++D Cz By Ax 过x 轴,则( )(A )0==D A (B )0,0≠=D A (C )0,0=≠D A (D )0==C B二、填空题 (每小题6分,共30分 )1.向量{}z y x a a a ,,=与三坐标轴正向夹角分别为γβα,,,则的方向余弦中的=αcos _____________2.平面0218419=++-z y x 和0428419=++-z y x 之间的距离等于__________3.球面2222R z y x =++与a z x =+交线在xoy 平面上投影曲线的方程是______________(其中R a <<0)4.设向量a 的方向角3πα=,β为锐角,βπγ-=,且4=,则=___________.5.方程14222=+-z y x 表示的曲面是______________ 三、解答下列各题(46分 )1.(12分) 求经过原点且垂直于两平面 0352:1=++-z y x π,073:2=--+z y x π的平面方程。
2.(12分)已知ABC ∆的顶点分别为)3,2,1(A ,)5,4,3(B 、)7,4,2(C ,求ABC ∆的面积.3.(10分)设{}1,4,1-=,{}5,4,3-=,求∧),sin(b a4.(12分)一直线在xoz 坐标面上,且过原点又垂直于直线 152132-=-+=-z y x ,求它的对称式方程.空间解析几何与向量代数测试题答案一、1.C 解:y x ,坐标不变,z 坐标变为相反数2.C 解:由已知条件得22)()(b a b a +=- ⋅-=⋅∴22 即0=⋅3. A解:由向量的线性运算易得)34,34,34(z z z y y y x x x c b a c b a c b a a -+-+-+=又向量a 在x 轴的投影就是直角坐标系中的坐标x a即 x x a a j =Pr =x x x c b a -+344. A 解:平面必过原点故0=D ;0,}0,0,1{,},,{=⇒⊥==A i i C B A .二、1.222z y x xa a a a ++ 2.1 解:184194221222=++-=d3.⎩⎨⎧==-++0)(2222z R x a y x 解:⎩⎨⎧=+=++a z x R z y x 2222消去z 得:2222)(R x a y x =-++ 与0=z 联立得 ⎩⎨⎧==-++0)(2222z R x a y x 4.{}6,6,2- 解:43411)(cos cos ,21cos 22=-=-+=βπβα }6,6,2{}223,223,21{4223cos cos 83cos 2-=-⋅=⇒=-=⇒=⇒a γββ5.单叶双曲面三、解:1. 21,ππ法向量分别为{}5,1,21-=n ,{}1,3,12-=n …………….….4分 所求平面法向量为{}7,7,1421-=⨯=n n n ………………8分 又平面经过原点,故所求平面方程为 02=--z y x ……..………12分2.解:根据向量积的定义,可知三角形的面积A S ABC =∠=∆……………3分 由于{}{}421,2,2,2,,==,因此2642122+-==⨯ ………… 7分于是142)6(4216421222=+-+=+-=∆S ABC …………10分 3.()533018,cos -=-==∧ ………….5分 ()54,sin =∧ ……..…....10分 4.由直线在xoz 面上,可知此直线垂直于y 轴。
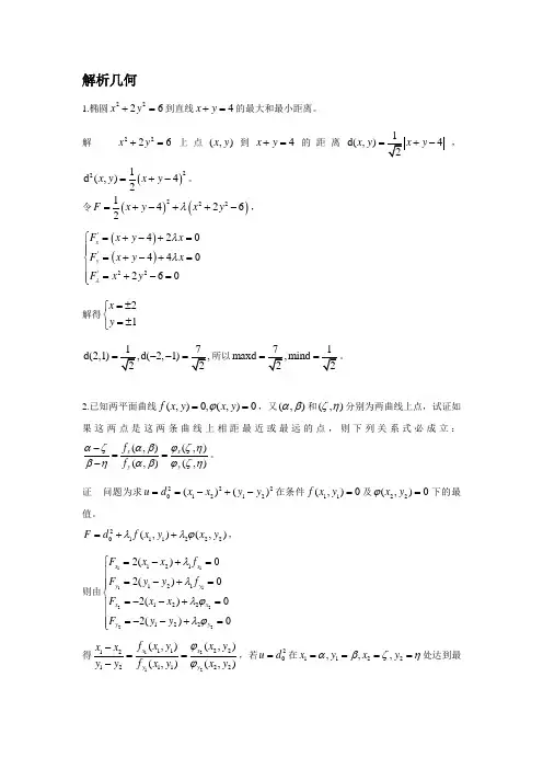
解析几何1.椭圆2226x y +=到直线4x y +=的最大和最小距离。
解2226x y +=上点(,)x y 到4x y +=的距离1d (,)42x y x y =+-,()221d (,)42x y x y =+-。
令()()22214262F x y x y λ=+-++-, ()()'''22420440260x y F x y x F x y x F x y λλλ⎧=+-+=⎪⎪=+-+=⎨⎪=+-=⎪⎩ 解得21x y =±⎧⎨=±⎩17d(2,1),d(2,1),22=--=所以71maxd ,mind 22==。
2.已知两平面曲线(,)0,(,)0f x y x y ϕ==,又(,)αβ和(,)ζη分别为两曲线上点,试证如果这两点是这两条曲线上相距最近或最远的点,则下列关系式必成立:(,)(,)(,)(,)x x y y f f αβϕζηαζβηαβϕζη-==-。
证 问题为求22201212()()u d x x y y ==-+-在条件11(,)0f x y =及22(,)0x y ϕ=下的最值。
20111222(,)(,)F d f x y x y λλϕ=++,则由111122221211211221222()02()02()02()0x x y y x x y y F x x f F y y f F x x F y y λλλϕλϕ⎧=-+=⎪=-+=⎪⎪⎨=--+=⎪⎪=--+=⎪⎩得1212112212121122(,)(,)(,)(,)x x y y f x y x y x x y y f x y x y ϕϕ-==-,若20u d =在1122,,,x y x y αβζη====处达到最值,其中(,)0,(,)f αβϕζη==,则必有1212(,)(,)(,)(,)x x y y f f αβϕζηαζβηαβϕζη-==-,即(,)(,)(,)(,)x x y y f f αβϕζηαζβηαβϕζη-==-,证毕。
1. 过点M (1, —1, 1)且垂直于平面x — y — z+1 = 0及2x+y + z+1 = 0的平面方程.39. y—z+2=03.在平面x—y—2z=0上找一点p, 使它与点(2,1,5), (4,邙,1)及(―2,—1,3)之间的距离相等.5.已知:A(1,2,3),B(5,—1,7),C(1,1,1),D(3,3,2),贝打// =A . 4B . 1C , -D . 227 .设平面方程为x - y = 0,则其位置( )A .平行于x 轴B .平行于y 轴C .平行于z 轴D .过z 轴.8 .平面x—2y+7z+3 = 0与平面3x+5y+z—1 = 0的位置关系()A .平行B .垂直C .相交D .重合9 .直线工二 =丫二9 与平面4x —2y —2z—3 = 0的位置关系()-2 -7 3A .平行B ,垂直C ,斜交D .直线在平面内—―、f—y+1 = 010 .设点A(0,—1,0)到直线,y的距离为( )、x + 2z - 7 = 0A . 75B . 1=C . 1 D,6 55. D 7 , D 8 . B 9 . A 10 . A.3.当m=时,2i _3j +5k 与3i+mj —2k互相垂直.4 .设a=2:+j+k , b=i—2j+2k , C = 3i—4j+2k , 则P c(a j b)= ----------------c4.过点(2, —8⑶且垂直平面x+2y—3z-2 = 0直线方程为10 .曲面方程为:x2 * 4 +y2 +4z2 =4,它是由曲线绕旋转而成的.。
一4,3. m = 一;43且9,工匚2=",29 1 2 -3旋转而成.1 .设 a ={2-3,1 1b =^,-1,3)0 = {1-2,0},则(a = b)xC=( )A . 8B . 10C . fo ,-1,-1)D , {2,1,21}3 .若 a =6i +3j _2k,b//a,且月=14,则b =()A . ±(12i +6j -4k)B . ±(12i +6j jC . ±(12i -4k)D . ±(6j -4k) 4 .若 M 1(1,1,1),M 2(2,2,1),M 3(2,1,2),则 M 1M 2与M 1M 3的夹角中716 .求平面x — y +2z —6 = 0与平面2x + y + z —5 = 0的夹角(ooo5A . 30B . 60C . 90D . arcsin- 61. D 3 . A 4 . C 6. C 8. A 9 . D7.求与平面2x-6y+3z=4平行平面,使点(3,2,8)为这两个平面公垂线中点.3 .确定k 值,使三个平面:kx —3y + z = 2,3x + 2y + 4z = 1, x — 8y — 2z = 3通过同一条 直线.5.求以向量i + j, j + k, k+i 为棱的平行六面体的体积.7 .与平面2x+y+2z+5=0,且与三个坐标面所构成的四面体体积为1的平面方程8 98 .动点到点(0,0,5 )的距离等于它到 x 轴的距离的曲面方程为 .5.已知a ={-3,0,4}, b =0-2,-14},则两向量所成夹角的角平分线上的单位向JTM o (3,-1,2), 直线l 」x y -z 1 = 0 2x- y z-4=0M O 到l 的距离为(x -2 y -3与平面2x + y+z = 6夹角为 (2 2z = 2 -x - y22z=(x") (y-1)或两向量对应坐标成比例 。
一、计算题与证明题1.已知1||=a , 4||=b , 5||=c , 并且0=++c b a . 计算a c c b b a ⨯+⨯+⨯. 解:因为1||=a , 4||=b , 5||=c , 并且0=++c b a 所以a 与b 同向,且b a +与c 反向 因此0=⨯b a ,0=⨯c b ,0=⨯a c 所以0=⨯+⨯+⨯a c c b b a2.已知3||=⋅b a , 4||=⨯b a , 求||||b a ⋅. 解:3cos ||=⋅=⋅θb a b a (1)4sin ||=⋅=⨯θb a b a (2)()222)1(+得()252=⋅b a所以 5=⋅b a4.已知向量x 与)2,5,1(,-a 共线, 且满足3=⋅x a ρρ, 求向量x 的坐标. 解:设x 的坐标为()z y x ,,,又()2,5,1-=a则325=-+=⋅z y x x a (1) 又x 与a 共线,则0=⨯a x 即()()()05252512125251=-+++--=+---=-k y x j x z i z y ky x j y x i z y z yx kj i所以()()()05252222=-+++--y x x z z y即010*********22=-++++xy xz yz z y x (2) 又x 与a 共线,x 与a 夹角为0或π()30325110cos 222222222⋅++=-++⋅++⋅==z y x z y x ax整理得 103222=++z y x (3) 联立()()()321、、解出向量x 的坐标为⎪⎭⎫⎝⎛-51,21,1016.已知点)7,8,3(A , )3,2,1(--B 求线段AB 的中垂面的方程. 解:因为()7,8,3A ,)3,2,1(--BAB 中垂面上的点到B A 、的距离相等,设动点坐标为()z y x M ,,,则由MB MA =得()()()()()()222222321783++-++=-+-+-z y x z y x化简得027532=-++z y x这就是线段AB 的中垂面的方程。
空间解析几何练习题问题一给定点A(1,2,3)和点B(4,5,6),求连接点A和点B的线段的长度。
解答根据两点间的距离公式,可以得出线段AB的长度为:AB = √((x2-x1)^2 + (y2-y1)^2 + (z2-z1)^2)= √((4-1)^2 + (5-2)^2 + (6-3)^2)= √(3^2 + 3^2 + 3^2)= √(27)= 3√3所以线段AB的长度为3√3。
问题二已知直线L1的方程为 2x - y + 3z = 4,且直线L2与L1垂直,且过点P(1,2,3),求直线L2的方程。
解答由于直线L2与L1垂直,所以直线L2的方向向量与直线L1的法向量垂直。
直线L1的法向量为(2, -1, 3)。
设直线L2的方向向量为(a, b, c),则有:2a - b + 3c = 0又因为直线L2过点P(1,2,3),所以它的一般方程为:x - 1 y - 2 z - 3------ ------ ------a b c整理得到直线L2的方程为:(x-1)/a = (y-2)/b = (z-3)/c问题三已知平面α过点A(1,2,3)并且与直线L:x = 2t, y = t, z = 6-t 相交于点P,请求平面α的方程。
解答设平面α的法向量为(α, β, γ)。
由于平面α过点A(1,2,3),所以有:α*1 + β*2 + γ*3 = d又平面α与直线L相交于点P,所以点P满足平面α的方程,即:α*2t + β*t + γ*(6-t) = d联立以上两个方程,可以求解出平面α的方程。
首先,将第一个方程乘以2,得到:2α + 4β + 6γ = 2d然后,将第二个方程转化为标准形式:(2α + β + 6γ)t = d由于t是一个变量,上式成立必须要求α, β, γ满足:2α + β + 6γ = 0所以平面α的方程可以写成:2x + y + 6z = d其中d是一个待定常数。
总结本文解答了三道关于空间解析几何的练习题。
大学解析几何考试题及答案一、选择题(每题3分,共30分)1. 下列哪个选项不是解析几何的研究对象?A. 平面曲线B. 空间曲线C. 空间曲面D. 质点运动答案:D2. 在平面直角坐标系中,点P(x, y)关于原点的对称点的坐标是:A. (-x, -y)B. (x, -y)C. (-x, y)D. (y, x)答案:A3. 如果直线l的方程为2x - 3y + 6 = 0,那么它的斜率k等于:A. 2/3B. -2/3C. 3/2D. -3/2答案:B4. 椭圆的标准方程是:A. (x/a)^2 + (y/b)^2 = 1B. (x/a)^2 - (y/b)^2 = 1C. (x/a)^2 + (y/b)^2 = 0D. (x/a)^2 - (y/b)^2 = 0答案:A5. 一个圆的圆心在原点,半径为1,那么它的方程是:A. x^2 + y^2 = 1B. x^2 + y^2 = 0C. x^2 + y^2 = 2D. x^2 + y^2 = -1答案:A6. 如果两条直线的方程分别为y = mx + b1和y = mx + b2,那么这两条直线:A. 相交B. 平行C. 重合D. 垂直答案:B7. 抛物线y^2 = 4ax的准线方程是:A. x = -aB. x = aC. y = -aD. y = a答案:A8. 双曲线x^2/a^2 - y^2/b^2 = 1的渐近线方程是:A. y = ±(b/a)xB. y = ±(a/b)xC. y = ±(a/b)xD. y = ±(b/a)x答案:D9. 点A(3, 4)关于直线y = x的对称点B的坐标是:A. (4, 3)B. (2, 3)C. (3, 2)D. (4, 5)答案:A10. 直线x = 2y + 3与圆x^2 + y^2 = 25相交于两点,这两点的距离是:A. 2√5B. 4√5C. 5√2D. 10答案:C二、填空题(每题4分,共20分)11. 在平面直角坐标系中,点P(2, -1)到原点的距离是_________。
军教院 第八章空间解析几何测试题一、填空题(共7题,2分/空,共20分)1.四点(0,0,0)O ,(1,0,0)A ,(0,1,1)B ,(0,0,1)C 组成的四面体的体积是___16___. 2.已知向量(1,1,1)a →=,)3,2,1(=→b ,(0,0,1)c →=,则→→→⨯⨯c b a )(=__(-2,-1,0)____.3.点)1,0,1(到直线⎩⎨⎧=-=03z x y x 的距离是4.点)2,0,1(到平面321x y z ++=的距离是___________.5.曲线C:2201x y z z x ⎧+-=⎨=+⎩对xoy 坐标面的射影柱面是___2210x x y -+-=____,对yoz 坐标面的射影柱面是__22(1)0z y z -+-=_________,对xoz 坐标面的射影柱面是____10z x --=__________.6.曲线C:220x yz ⎧=⎨=⎩绕x 轴旋转后产生的曲面方程是__4224()x y z =+_____,曲线C 绕y 轴旋转后产生的曲面方程是___222x z y +=_______________.7.椭球面12549222=++z y x 的体积是_____40π____________.二、计算题(共4题,第1题10分,第2题15分,第3题20分, 第4题10分,共55分)1. 过点(,,)P a b c 作3个坐标平面的射影点,求过这3个射影点的平面方程.这里,,a b c 是3个非零实数.解: 设点(,,)P a b c 在平面0z =上的射影点为1(,,0)M a b ,在平面0x =上的射影点为2(0,,)M a b ,在平面0y =上的射影点为3(,0,)M a c ,则12(,0,)M M a c =-u u u u u u r,13(0,,)M M b c =-u u u u u u r于是1M ,12M M u u u u u u r ,13M M u u u u u u r所确定的平面方程是000x ay b z ac bc---=- 即 ()()0bc x a ac y b abz -+-+= .2.已知空间两条直线:1l 010x y z +=⎧⎨+=⎩,:2l 010x y z -=⎧⎨-=⎩.(1)证明1l 和2l 是异面直线;(2)求1l 和2l 间的距离;(3)求公垂线方程. 证明:(1) 1l 的标准方程是1110x y z +==-,1l 经过点1(0,0,1)M -,方向向量1{1,1,0}v =- 2l 的标准方程是2110x y z -==,2l 经过点2(0,0,2)M ,方向向量2{1,1,0}v =,于是1212003(,,)1106110M M v v =-=u u u u u u r0≠,所以1l 和2l 是异面直线。
空间解析几何题库(学生用)第六章空间解析几何和向量代数末考复习题一、选择题:1. 下列哪组角可以作为某个空间向量的方向角---------------------------------------------()(A )60,45,30 (B )90,60,45 (C )120,90,60 (D )135,90,452、下列关系式错误的是------------------------------------------------------------------()(A) a b b a ?=? (B) a b b a ?-=? (C) 22||a a = (D) 0=?a a3、列曲面中经过原点的曲面是();A 、22;x y z =++B 、2221;x y z ++=C 、22;z y xy =+D 、22(1).z x y =++ 4、将曲线250y z x ?=?=?绕z 轴旋转一周,所得的曲面为()(A )圆锥面(B )旋转抛物面(C )椭球面(D )抛物柱面5、在空间直角坐标系中,2236x y +=是()(A )圆(B )球(C )一点(D )圆柱面6、在空间直角坐标系下,方程350x y +=的图形表示为();A 、通过原点的直线;B 、垂直于z 轴的直线;C 、垂直于z 轴的平面;D 、通过z 轴的平面。
7、已知向量{}4,4,7PQ =-的终点为()2,1,7,Q -则起点P 的坐标为();A 、()2,3,0;-B 、()2,3,0;-C 、()4,5,14;-D 、()4,5,14.-8、平面0x y z ++=(); A 、平行于x 轴; B 、平行于y 轴;C 、平行于z 轴;D 、过原点。
9. 求两平面032=--+z y x 和052=+++z y x 的夹角是:()A )2πB )4πC )3π D )π 10.平面1234x y z ++=与平面2341x y z +-=的位置关系是( ). (A) 相交但不垂直 (B) 互相垂直 (C) 平行但不重合 (D) 互相重合11,设空间直线方程,012x y z ==则此直线经过的点是(); A 、()0,0,0; B 、()0,1,0;C 、()0,0,1;D 、()2,1,2. 12.空间直线12327x y z -+==- 与平面3271x y z -+=的相互位置关系是()(A )互相平行但不相交(B )互相垂直(C )不平行也不垂直(D )直线在平面内二、填空题13、)1,3,2(-=a 与)2,2,4(-=b 的位置关系_______________14、设)(2,1,3-=a ,)(1,2,1-=b ,则b a ?=__________.ba ?=__________15、通过原点且垂直于直线228:325x y z l -+-==-的平面方程为.(1)平面042=-+z y x 与平面.1842=-+z y x 的位置关系 __________________(2)平面132=+-z y x 与平面.423=-z x 的位置关系__________________________(3)直线531123-=++=-z k y k x 与直线22531-+=+=-k z y x 相互垂直则k= 。
《空间解析几何》期末考试试卷(A)考试形式:闭卷考试 考试时间:120分钟班号 学号 姓名 得分1 下列等式中正确的是 ( ) A a (b c )= (a b )c B (a ⨯b )c =a (b ⨯c ) C (a b )2 =a 2b 2 D a ⨯b =c ⨯b ,b ≠0,则a =c2 已知向量a 与b 的夹角为23π, 且||3a =, ||4b =, 则2()a b +为 ( )A 14B 13C 12D 11 3 点(1,2,3)M -和平面:5340x y z π-++=间的离差为 ( )A1δ=- B 1δ= C 0δ= D 12δ=-4 直线320:0x y z l x y z +--=⎧⎨-+=⎩与平面:230x y z π+--=的交点和夹角分别为 ( )A (1,0,1)--,3π B (1,0,1)--, 6π C (1,0,1), 3π D (1,0,1)-, 6π 5 方程2350x my z ++-=与6620lx y z --+=表示二平行平面,则,l m 为 ( ) A 4,3l m =-= B 3,3l m ==- C 4,3l m ==- D 3,4l m =-= 6 二次曲线223426250x xy y x y ++--+=属于 ( ) A 抛物型 B 椭圆型 C 双曲型 D 不能确定.二 填空题(每空3分,共18分)1 中心在点(3,1,1)-且通过点(2,3,5)-的球面方程为 .2 在直角坐标系下, 通过点(1,5,3)--且与平面63520x y z --+=垂直的直线方程为 .3 与平面2340x y z -+-=平行, 且在y 轴上截距等于3-的平面方程为 .4 曲线⎩⎨⎧=++=+222222:a z y x axy x L 在xOz 面上的投影曲线方程为 . 5 二次曲线222430x xy y x y -++--=上过点()2,1的切线方程是 .6 设一条二次曲线通过两条二次曲线222610x xy y x +-+-=与2220x y x y ---=的交点,并且还通过点(2,2)-,这条二次曲线的方程为 .三 试用两种方法求过点)2,0,0(0-M ,与平面1:32180x y z ∏-+-=平行,且与直线12341:1zy x l =--=-相交的直线l 的方程. (10分)四 在空间直角坐标系中,直线1l 和2l 的方程分别为1l :11142412x t y t z t=-+⎧⎪=-⎨⎪=--⎩和2l :222545355x t y t z t=-+⎧⎪=-⎨⎪=-⎩(1)求过1l 且平行于2l 的平面方程;(2)求1l 和2l 的距离;(3)求1l 和2l 的公垂线方程.(15分) 五 求直线01xy zβα-==绕z 轴旋转所得旋转曲面的方程,并就α与β可能的值讨论曲面类型.(15分)六 将二次曲线22230x xy y x y ++++=化成标准型,并作出它的图形.(14分)七 求与两直线161:321x y z l --==和284:322x y z l -+==-都相交,且与平面:2350x y ∏+-=平行的直线的轨迹. (10分)《空间解析几何》期末考试试卷答案(A)考试形式:闭卷考试 考试时间:120分钟班号 学号 姓名 得分1 下列等式中正确的是 ( B ) A a (b c )= (a b )c B (a ⨯b )c =a (b ⨯c ) C (a b )2 =a 2b 2 D a ⨯b =c ⨯b ,b ≠0,则a =c2 已知向量a 与b 的夹角为23π, 且||3a =, ||4b =, 则2()a b +为 ( B )A 14B 13C 12D 11 3 点(1,2,3)M -和平面:5340x y z π-++=间的离差为 ( C )A1δ=- B 1δ= C 0δ= D 12δ=-4 直线320:0x y z l x y z +--=⎧⎨-+=⎩与平面:230x y z π+--=的交点和夹角分别为 ( D )A (1,0,1)--,3π B (1,0,1)--, 6π C (1,0,1), 3π D (1,0,1)-, 6π 5 方程2350x my z ++-=与6620lx y z --+=表示二平行平面,则,l m 为 ( A ) A 4,3l m =-= B 3,3l m ==- C 4,3l m ==- D 3,4l m =-= 6 二次曲线223426250x xy y x y ++--+=属于 ( B ) A 抛物型 B 椭圆型 C 双曲型 D 不能确定.二 填空题(每空3分,共18分)1 中心在点(3,1,1)-且通过点(2,3,5)-的球面方程为222(3)(1)(1)21x y z -+++-=.2 通过点(1,5,3)--且与平面63520x y z --+=垂直的直线方程为153635x y z -++==--. 3 与平面2340x y z -+-=平行, 且在y 轴上截距等于3-的平面方程为2360x y z -+-=.4 曲线⎩⎨⎧=++=+222222:az y x ax y x L 在xOz 面上的投影曲线方程为220:0z ax a L y ⎧+-=⎨=⎩.5 二次曲线222430x xy y x y -++--=上过点()2,1的切线方程是5460x y --=.6 设一条二次曲线通过两条二次曲线222610x xy y x +-+-=与2220x y x y ---=的交点,并且还通过点(2,2)-,这条二次曲线的方程为2224527340x xy y x y -+--+=.三 试用两种方法求过点)2,0,0(0-M ,与平面1:32180x y z ∏-+-=平行,且与直线12341:1zy x l =--=-相交的直线l 的方程. (10分)解法一 先求l 的一个方向向量),,(Z Y X υ。
空间解析几何练习题1. 求点),,(c b a M 分别关于(1)xz 坐标面(2)x 轴(3)原点 对称点的坐标. 2. 设 )2,,3(x A -与)4,2,1(-B 两点间的距离为29,试求x . 3. 证明 )3,2,1(A )5,1,3(B )3,4,2(C 是一个直角三角形的三个顶点.4. 设ABC ∆的三边=,=,=,三边的中点依次为D ,E ,F ,试用向量表示 ,,,并证明:=++ .5. 已知:k j i a 2+-=,k j i b -+=3求b a 32+,b a 32-.6. 已知:向量与x 轴,y 轴间的夹角分别为060=α,0120=β求该向量与z 轴间的夹角γ.7. 设向量的模是5,它与x 轴的夹角为4π,求向量在x 轴上的投影. 8. 已知:空间中的三点)2,1,0(-A ,)5,3,1(-B ,)2,1,3(--C 计算:32-,4+.9. 设{}1,0,2-=a ,{}2,2,1--=b 试求b a -,b a 52+,b a +3. 10. 设:{}1,2,2-=,试求与a 同方向的单位向量.11. 设:253++=,742--=,45-+=,-+=34试求(1)在y 轴上的投影;(2)在x 轴和z 轴上的分向量;(3 .12. 证明:22)()(-=-⋅+.13. 设:{}1,0,3-=a ,{}3,1,2--=b 求⋅,∧⋅)(. 14. 设→→→→-+=k j x i a 2,→→→→+-=k j i b 23且→→⊥b a 求x15. 设{}2,1,0-=,{}1,1,2-=求与和都垂直的单位向量.16. 已知:空间中的三点)0,1,1(A ,)3,1,2(-B ,)2,1,2(-C 求ABC ∆的面积.17. (1)设∥求⋅ (21==求⋅18. 3=5=,试确定常数k 使k +,k -相互垂直.19. 设向量与互相垂直,∧⋅)(c a 3π=,∧⋅)(c b 6π=1=2=3=+.20. 设:53+-=,32+--=求b a ⋅21. 设:k j i a --=63,k j i b 54-+=求(1)a a ⋅;(2))3()23(-⋅+;(3)a 与b 的夹角.22. 设:∧⋅)(6π=1=3=. 23. 设:{}2,1,1-=a ,{}1,2,1--=,试求:(1)b a ⋅;(2)b a ⨯;(3)∧⋅)cos(.24. 3=26=72=,求b a ⋅.25. 设a 与b 相互垂直,3=4=,试求(1))()(b a b a -⨯+;(2))2()3(b a b a -⨯-.26. 设:0=++c b a 证明:a c c b b a ⨯=⨯=⨯27. 已知:-+=23,2+-=,求(1)b a ⨯;(2))32()2(-⨯+;(3)⨯+)((4)b i a +⨯. 28. 求与{}1,2,2=a {}6,10,8---=b 都垂直的单位向量.29. 已知:{}1,6,3--=a ,{}5,4,1-=b ,{}12,4,3-=c 求c b a b c a )()(⋅+⋅在向量上的投影.30. 设:d c b a ⨯=⨯,d b c a ⨯=⨯且c b ≠,d a ≠证明d a -与c b -必共线.31. 设:b a 3+与b a 57-垂直,b a 4-与b a 27-垂直,求非零向量a 与b 的夹角.32. 设:{}6,3,2-={}2,2,1--=向量在向量与423=,求向量的坐标.33. 4=3=,∧⋅)(b a 6π=求以2+和3-为边的平行四边形面积. 34. 求过点)1,2,7(0-P ,且以{}3,4,2-=为法向量的平面方程. 35. 过点)1,0,1(0-P 且平行于平面53=--z y x 的平面方程. 36. 过点)2,3,1(-M 且垂直于过点)1,2,2(-A 与)1,2,3(B 的平面方程. 37. 过点)2,1,3(-A ,)1,1,4(--B ,)2,0,2(C 的平面方程.38. 过点)1,1,2(0P 且平行于向量{}1,1,2=和{}3,2,3-=的平面方程.39. 过点M o (1,1-,1)且垂直于平面01201=+++=+--z y x z y x 及的平面方程.40. 将平面方程 01832=+-+z y x 化为截距式方程,并指出在各坐标轴上的截距.41. 建立下列平面方程(1)过点(3-,1,2-)及z 轴;(2)过点A (3-,1,2-)和B (3,0,5)且平行于x 轴;(3)平行于x y 面,且过点A (3,1,5-);(4)过点P 1(1,5-,1)和P 2(3,2,2-)且垂直于x z 面.42. 求下列各对平面间的夹角(1),62=+-z y x 32=++z y x ;(2)09543=--+z y x ,07662=-++z y x .43. 求下列直线方程(1)过点(2,1-,3-)且平行于向量{}123,,--=;(2)过点M o (3,4,2-)且平行z 轴;(3)过点M 1(1,2,3)和M 2(1,0,4);(4)过原点,且与平面0623=-+-z y x 垂直.44. 将下列直线方程化为标准方程(1)⎩⎨⎧=--+=-+-084230432z y x z y x ; (2)⎩⎨⎧-=+=422z y y x ; (3)⎩⎨⎧=+=-+00123z y z x 45. 将下列直线方程化成参数式方程(1)⎩⎨⎧-==-+-250125z y z y x ; (2)⎪⎩⎪⎨⎧=-+=-025126y z x . 46. 求过点(1,1,1)且同时平行于平面012=+-+z y x 及012=+-+z y x 的直线方程.47. 求过点(3,1,2-)且通过直线12354z y x =+=-的平面方程. 48. 求通过两直线211111-=-+=-z y x 与 112111-=+=--z y x 的平面方程. 64.求下列各对直线的夹角(1)74211+=-=-z y x ,131256--=-=+z y x ; (2)⎩⎨⎧=-+-=-+-012309335z y x z y x ,⎩⎨⎧=-++=+-+0188302322z y x z y x .49. 证明直线31141+=-=-z y x 与 ⎩⎨⎧=--+=++0207z y x z y x 相互平行. 50. 设直线 l 的方程为:nz y x 42311+=--=- 求n 为何值时,直线l 与平面052=+--z y x 平行?51. 作一平面,使它通过z 轴,且与平面0752=--+z y x 的夹角为3π. 52. 设直线l 在平面01:=+++z y x π 内,通过直线⎩⎨⎧=+=++0201:1z x z y l 与平面π的交点,且与直线l 1垂直、求直线l 的方程.53. 求过点(1,2,1)而且与直线 ⎩⎨⎧=-+-=+-+01012z y x z y x 与 ⎩⎨⎧=+-=+-002z y x z y x 平行的平面方程. 54. 一动点到坐标原点的距离等于它到平面04=-z 的距离,求它的轨迹方程.55. 直线⎩⎨⎧=-+=-+023012:z x y x l 与平面012:=--+z y x π 是否平行?若不平行,求直线l 与平面π的交点,若平行,求直线l 与平面π的距离.56. 设直线l 经过两直线35811:1--==--z y x l ,⎪⎩⎪⎨⎧--=+=+=t z t y t x l 101152143:2 的交点,而且与直线l 1与l 2都垂直,求直线l 的方程.57. 已知直线:⎩⎨⎧=-+-=+-+04201:1z y x z y x l 及点 )213(,,-p 过点p 作直线l 与直线l 1垂直相交,求直线l 的方程.58. 方程:019224222=-+--++z y x z y x 是否为球面方程,若是球面方程,求其球心坐标及半径.59. 判断方程:11462222=-+-++z y x z y x 是否为球面方程,若是球面方程,求其球心坐标及半径.60. 将曲线:⎩⎨⎧==052y x z 绕x 轴旋转一周,求所成的旋转曲面方程.61. 将曲线:⎩⎨⎧==+0369422z y x 绕y 轴旋转一周,求所成的旋转曲面方程.62. 说明下列旋转曲面是怎样形成的(1)10343222=++z y x ; (2)24222=+-z y x ; (3)1222=--z y x ; (4)222)(y x a z +=-. 63. 指出下列方程在空间中表示什么样的几何图形(1)14322=+y x ; (2)13222=-y x ; (3)x z 42=; (4)13422=+z y .自测题 (A)(一) 选择题1.点M )5,1,4(-到 x y 坐标面的距离为 ( )A .5B .4C .1D .422.点A )3,1,2(-关于y z 坐标面的对称点坐标 ( )A .)3,1,2(--B .)3,1,2(--C .)3,1,2(-D .)3,1,2(--3.已知向量{}{}{}3,1,4,2,2,2,1,5,3--==-=c b a ,则=+-c b a 432( )A .{}16,0,20B .{}20,4,5-C .{}20,0,16-D .{}16,0,20-4.设向量424--=,236+-=,则)3)(23(+-=( )A .20B .16-C .32D .32-5.已知:→→-AB prjD C B A CD ,则)2,3,3(),1,1,1(),7,1,5(),3,2,1(= ( ) A .4 B .1 C .21 D .2 6.设=-⨯+-+=+-=)()(22,则 ( )A .k j i 53++-B .k j i 1062++-C .1062--D .k j i 543++7.设平面方程为0=-y x ,则其位置( )A .平行于x 轴B .平行于y 轴C .平行于z 轴D .过z 轴.8.平面0372=++-z y x 与平面0153=-++z y x 的位置关系( )A .平行B .垂直C .相交D .重合9.直线37423z y x =-+=-+与平面03224=---z y x 的位置关系( ) A .平行 B .垂直 C .斜交 D .直线在平面内10.设点)0,1,0(-A 到直线⎩⎨⎧=-+=+-07201z x y 的距离为( ) A .5 B .61 C .51 D .81 (二) 填空题1.设=--x B x A ,则,两点间的距离为,,与29)421()2,,3(_________.2.设23-+-=,+-=2,则=-32_______________.3.当m=_____________时,532+-与m 23-+互相垂直.4.设++=2,22+-=,243+-=,则)(b a p r j c += .4. 设+-=2,32-+=,则)2()2(-⨯+=_________.5. 与)0,3,4()1,2,3(--B A 和等距离的点的轨迹方程为_______________.6. 过点),,(715,),,(204-且平行于z 轴的平面方程_______________.7. 设平面:03222,01=--+=+-+z y x z y x 与 平行,则它们之间的距离_________.8. 过点),,(382-且垂直平面0232=--+z y x 直线方程为______________.10.曲面方程为:44222=++z y x ,它是由曲线________绕_____________旋转而成的.(三) 解答题1.求平行于{}的单位向量2,3,6-=a .2.已知作用于一点的三个力{}{}{}5,4,3,3,2,1,4,3,2321-==--=F F F 求合力的大小与方向.3. 如果{}1,1,2-=,{}1,2,1-=求在上的投影.4. 用向量方法,求顶点在)4,4,3(),5,3,1(),1,1,2(-----的三角形的三个内角.5. 设2+-=,-+=2,22++=,试将下列各式用,,表示.(1) c b a ⨯⨯)(; (2))()(c a b a ⨯⨯⨯.6. 求经过点(1,2,0)且通过z 轴的平面方程.7. 在平面02=--z y x 上找一点p ,使它与点),5,1,2()1,3,4(-)3,1,2(--及之间的距离相等.8. 求过 )1,0,0(),0,1,0(),0,0,1( 的圆的方程,并求该圆在坐标平面xoy 上的投影曲线方程.9.求过点(1,2,1)且同时平行0132=-++z y x 和053=+-+z y x 两平面的直线方程.10.方程:12222=++z y x 表示什么图形?自测题(B )(一) 选择题1.设{}{}{}0,2,1,3,1,1,1,3,2-=-=-=,则=⨯⨯)(( )A .8B .10C .{}1,1,0--D .{}21,1,22.设{}{}2,2,2,2,1,1-=-=,则同时垂直于a 和b 的单位向量( )A .}0,21,21{± B .}0,21,21{± C .}0,2,2{± D .}0,2,2{±3.若==-+=b a b k j i a ,则,14//236( )A .)4612(k j i -+±B .)612(j i +±C .)412(k i -±D .)46(k j -±4.若ϕ,则3121321)2,1,2(),1,2,2(),1,1,1(M M M M M M M ( )A .6πB .2πC .3πD .4π 5.过)320()231(),412(321,,和,,,,M M M ---,的平面方程( )A .015914=--+z y xB .06872=--+z y xC .015914=-+-z y xD .015914=-++z y x6.求平面062=-+-z y x 与平面052=-++z y x 的夹角( )A .2πB .6πC .3πD .4π 7.直线⎩⎨⎧=+++=+++0022221111D z C y B x A D z C y B x A 各系数满足( )条件,使它与y 轴相交. A .021==A A B .2121D D B B = C .021==C C D .021==D D 8.设点⎩⎨⎧=-+-=+-+-04201)2,1,3(z y x z y x l M o ,直线,则M O 到l 的距离为( )A .223 B .553 C .453 D .229.直线夹角为与平面62241312=++-=-=-z y x z y x ( ) A .30o B .60o C .90o D .65arcsin 10.过点)5,2,1(---且和三个坐标平面都相切的球面方程( )A .22225)1()1()1(=+++++z y xB .22225)5()5()5(=+++++z y xC .22225)2()2()2(=+++++z y xD .22225)5()5()5(=-+-+-z y x(二) 填空题1.设32+-=,+=2,++-=,则与+是否平行__________.2.设}8,5,3{=,}7,4,2{--=,}4,1,5{-=,则-+34在x 轴上的投影_________________.3.化简:=⨯--⨯+++⨯++)()()(__________________.4.直线 ⎩⎨⎧=---=-+-01205235:z y x z y x l 和平面 07734:=-+-z y x π的___________位置关系. 5.过直线⎩⎨⎧=+-+=-+-025014z y x z y x 且与x 轴平行的平面方程___________________. 6.原点==+-k kz y x ,则,的距离为到平面262)0,0,0(_________________.7.与平面0522=+++z y x ,且与三个坐标面所构成的四面体体积为1的平面方程_____________________.8.动点到点(0,0,5)的距离等于它到x 轴的距离的曲面方程为________________.9.曲面方程:259916222=--z y x 则曲面名称为________________.10.曲线⎪⎩⎪⎨⎧-+-=--=2222)1()1(2y x z y x z 在y z 面上的投影方程______________. (三) 解答题1.设}0,1,1{},1,1,0{},1,1,1{===并令z y x ++=(x ,y ,z 为数量)求 (1); (2)当z y x ,,}3,2,1{时,=.2.求平行于}2,3,6{-=a 的单位向量.3.确定k 值,使三个平面:328,1423,23=--=++=+-z y x z y x z y kx 通过同一条直线.4.已知两个不平行的向量与,2=⋅1=4=,设)(3)(2Xa b b a c -⨯=,求(1))(+⋅; (2; (3)的夹角余与弦.5.求以向量i k k j j i +++,,为棱的平行六面体的体积.6.垂直平分连接)3,5,2(),1,3,4(B A -的线段的平面方程.7.求与平面4362=+-z y x 平行平面,使点)8,2,3(为这两个平面公垂线中点.8.在平面02=--z y x 上找一点p 使它与点)3,1,2()1,3,4(),5,1,2(---及之间的距离相等.9.方程:0448422=-+-+y x y x 表示什么曲面?9. 方程组⎩⎨⎧=-++=--++0122046222z y x y x z y x 图形是什么?若是一个圆,求出它的中心与半径.参考答案参考答案练习题1.(1)),,(c b a -; (2)),,(c b a --; (3)),,(c b a ---.2.51-==x x 或. 3.算出距离后,证明满足勾股定理 4.略5.++=+32; i 75732+--=- .6. 13545或=γ. 7.225. 8.}13,4,11{4},18,8,11{32-=+-=-. 9.}5,2,7{3},12,10,9{52},1,2,1{--=+--=+=-. 10.单位向量为}31,32,32{-. 11.(1)7; (2)在x 轴的分向量i 13,在z 轴的分向量9-; (3)299=u . 12.利用数量积运算法则. 13.9-=⋅; 70359arccos )(-=∧π. 14.x =4. 15.单位向量:)24(211k j i ++±. 16.1723=∆ABC S . 17.(1)若a 与b 同向,则b a b a ⋅=⋅,若a 与b 反向,则b a b a ⋅-=⋅;(2))cos(b a ∧.18.53±=k . 19.3617+=++c b a . 20.16=⋅b a . 21.(1)46; (2)2-; (3)4838arccos )(-=∧πb a . 22.23. 23.(1)3; (2)k j i 333--; (3)21.24.30±。
(- 2 y - 5z )2+ (z + 2x )2+ (5x - y )2x 2 + y 2 + z 2 ⋅ 12 + 52 + (- 2)2 x 2 + y 2 + z 2 ⋅ 3010 5 ⎪一、计算题与证明题1.已知| a |= 1, | b |= 4 ,| c |= 5 , 并且 a + b + c = 0 . 计算 a ⨯ b + b ⨯ c + c ⨯ a .解:因为| a |= 1, | b |= 4 , | c |= 5 , 并且 a + b + c = 0 所以 a 与b 同向,且 a + b 与c反向因此 a ⨯ b = 0 , b ⨯ c = 0 , c ⨯ a = 0 所以 a ⨯ b + b ⨯ c + c ⨯ a = 02.已知| a ⋅ b |= 3 , | a ⨯ b |= 4 , 求| a | ⋅ | b |.解: | a ⋅ b |= a ⋅ b cos= 3(1)| a ⨯ b |= a ⋅ b sin = 4(1)2 + (2)2 得(a ⋅ b )2= 25(2)所以a ⋅b = 54.已知向量 x 与 a (,1,5,-2) 共线, 且满足a ⋅ x= 3 , 求向量 x 的坐标. 解:设 x 的坐标为(x , y , z ),又 a = (1,5,-2) 则 a ⋅ x = x + 5 y - 2z = 3 又 x 与 a 共线,则 x ⨯ a = 0即(1)i j kx yz = y 1 5 - 2 5 z i - x - 2 1 y j + x y k- 2 1 5= (- 2 y - 5z )i + (z + 2x ) j + (5x - y )k = 0所以 = 0即29x 2 + 5 y 2 + 26z 2 + 20 yz + 4xz - 10xy = 0 又 x 与 a 共线, x 与 a 夹角为0 或(2)cos 0 = 1 =x ⋅ a=3整理得x 2 + y 2 + z 2 = 310(3)联立(1)、(2)、(3) 解出向量 x 的坐标为⎛ 1 ⎝ , 1, 2 - 1 ⎫ ⎭a ⋅b a ⋅ b x 2 + y 2 + z 2 12 + 12 + 02 ⎩- ⎪ ⎪⎪6.已知点 A (3,8,7) , B (-1,2,-3) 求线段 AB 的中垂面的方程.解:因为 A (3,8,7) , B (-1,2,-3)AB 中垂面上的点到 A 、B 的距离相等,设动点坐标为 M (x , y , z ) ,则由 MA ==MB 得化简得2x + 3y + 5z - 27 = 0这就是线段 AB 的中垂面的方程。
试题1:如果平面:0Ax By D π++=与曲面261z xy +=的交线是圆,求实数,A B 的比值。
解:不妨设0B ≠以平面π为新的''X Y 平面,以(0,/,0)D B -为原点,以
'223(,,0)/e A B A B =+,'22'''1231(,,0)/,(0,0,1)e B A A B e e e =-+=⨯=为基本向量
建立一个新的坐标系''''O X Y Z ,则坐标变换公式为
''
2222
''2222'/B A x x z A B A B A B
y D B x z A B A B z y ⎧=+⎪++⎪
⎪=--
+⎨++⎪
⎪=⎪⎩
在新的坐标系中,平面的方程为:'0z =, 而曲线的方程为: '2''''
22
22
2
2
2
2
6(
)(/)1
B A A
B
y x z D B x z A B A B A B A B ++
--
+
=+++
+
所以交线的方程为:
'2'
'''22
22
22
22
'6()(/)1
B A A B y x z D B x z A B A B A B A B z ⎧++--+
=⎪++++⎨
⎪=⎩
化简得:
'2'
'22
22
'6()(/)1
0B A y x D B x A B A B z ⎧+--=⎪++⎨
⎪=⎩
因为交线是圆,所以 226AB A B -=+ 解得
322A
B
=-.
试题2:求过点)0,1,0(P 并且和两条直线 ⎩
⎨
⎧=+=+++⎩⎨
⎧=+=++020
13:,0201:21y x z y x l y x y x l 均相交的直线的方程。
解:把直线的方程化为点向式方程为: ,1
11
2
:,1
20
1:21-+==-=+=-z y x l z y x l
设所求的直线为,l 记l 和i l 所确定的平面为,1,2i i π=,那么12l ππ=,
试题3:在二次曲面2222360x y z xy xz z +-++-=上,求过点(1,4,1)-的所有直线的方程.
解:设所求的直线的方程为:141x lt
y mt z nt =+⎧⎪=-+⎨⎪=+⎩
,又因为所求的直线在二次曲
面上,所以对任意的,t 有
2222(1
)(4)(1)
3(1)(
4)(1)(1
)6(1)
l t m t n t
l t m t l t n t n t ++--+++-+++-+=,
化简得;
2222(23)(757)0t l m n ml nl l m n t +-++-++= 由于上式对任意的,t 都成了,所以
222230
(1)7570l m n ml nl l m n ⎧+-++=⎨
++=⎩
由于n m l ,,可相差一个公共的非零常数倍,所以可分两种情况讨论 (1):,0=l 代入方程组(1)得
220
(1)570
m n m n ⎧-=⎨
+=⎩
上述方程只有零解. (2): ,1=l 代入方程组(1)得
22230
(1)7570m n m n m n ⎧+-++=⎨++=⎩
解之得07/4
11/4
m m n n ==-⎧⎧⎨
⎨
=-=⎩⎩或者 所以所求的直线为
11447/411/4x t x t y y t z t z t =+=+⎧⎧⎪⎪
=-=--⎨⎨⎪⎪=-=+⎩⎩
或者
试题4:求过点)1,0,1(P 平行于y 轴并与曲面182=+xz y 的交线都是圆的所有平面的方程.
解:答案:0)1)(154(1=-++z x
试题5:求和下面三条直线都是相交的直线所构成的曲面。
52
4132:,1:,1:321+=
+=--⎩
⎨⎧-=-=⎩⎨
⎧==z y x L y z x L y z x L 答案:1222=-+z y x
试题6:确定实数m 的值,使平面0=-+mz y x 和单叶双曲面
1222=-+z y x 相交,交线分别是椭圆和双曲线.
解:令'3e 为所给的平面的单位法向量,即),1,1(212
'3m m
e -+=
,取
)2,.()
2(21),0,1,1(212'1'3'2'1---+=⨯=-=
m m m e e e e . 由于原点在所给的平面上,以'3'2'1,,e e e 为新的基本向量建立新的直角坐标系],,,['
3'2
'1e e e O ,那么新就坐标系之间的坐标变换公式为:
'''22'''22''2211
22(2)2
1,22(2)222(2)2m x x y z m m m m y x y z m m m z y z m m ⎧=-+⎪⎪++⎪
⎪
=--
+⎨++⎪
⎪⎪=--⎪++⎩
那么在新的坐标系中,所给的平面方程为:0'=z , 所给的单叶双曲面的和平面的交线的方程为:
1
222=-+z y x ''2''2'2
222
'112()()()1222(2)2(2)2(2)0m m x y x y y m m m z ⎧-+----=⎪+++⎨
⎪=⎩
化简得到:
2'2'2
2'21
20m x y m z ⎧-+=⎪+⎨
⎪=⎩
所以,当2m >时,交线是椭圆,当2m <时是双曲线,当2m =时是一对平行直线。