流体力学徐正坦主编课后答案第五章
- 格式:doc
- 大小:5.67 MB
- 文档页数:15
流体力学习题答案【1-1】500cm3的某种液体,在天平上称得其质量为,试求其密度和相对密度。
【解】液体的密度?? ???103 kg/m3 ?4V5?10??103?? 相对密度????103【1-2】体积为5m3的水,在温度不变的条件下,当压强从98000Pa 增加到×105Pa时,体积减少1L。
求水的压缩系数和弹性系数。
【解】压缩系数公式?p?????10?10 Pa-1 5VdP5?(?10?98000)E?1?1??109Pa ??10?p【1-3】温度为20℃,流量为60m3/h的水流入加热器,如果水的体积膨胀系数βt=,问加热到80℃后从加热器中流出时的体积流量变为多少?【解】根据膨胀系数?t?则1dV VdtQ2?Q1?tdt?Q1?60??(80?20)?60? m3/h【1-4】用200升汽油桶装相对密度的汽油。
罐装时液面上压强为98000Pa。
封闭后于温度变化升高了20℃,此时汽油的蒸汽压力为17640Pa。
若汽油的膨胀系数为,弹性系数为×106Pa,试计算于压力温度变化所增加的体积,问灌装时汽油的体积最多不应超过桶体积的百分之多少?dV1 【解】?p??P?可得,于压力改变而减少的体积为VdpEVdP200?17640?? ?106于温度变化而增加的体积,可1dVt ?t?VdT ?VP??dVp? 1 得?Vt?dVt??tVdT??200?20? 因为?Vt??Vp,相比之下可以忽略压力变化引起的体积改变,则V?V?tdT?200L 得V11???% 2001??tdT1??20【1-5】图中表示浮在油面上的平板,其水平运动速度为u=1m/s,δ=10mm,油品的粘度μ=·s,求作用在平板单位面积上的阻力。
【解】根据牛顿内摩擦定律du?=? dy 则?=?y u δ 油x 习题1-5图1?/m2 ?【1-6】已知半径为R圆管中的流速分布为??ur r2u=c(1?2) R式中c为常数。
第五章习题简答5-1有一薄壁圆形孔口,直径d= 10mm ,水头H 为2m 。
现测得射流收缩断面的直径d c 为8m m,在32.8s 时间内,经孔口流出的水量为0.01m3,试求该孔口的收缩系数ε,流量系数μ,流速系数φ及孔口局部损失系数ζ。
解: 64.010822=⎪⎭⎫⎝⎛=⎪⎭⎫ ⎝⎛==d d A A c c εs m d Q v /06.6008.08.32/01.04422=⨯⨯==ππ 62.097.064.006.0197.011197.028.9206.62222=⨯===-=-==⨯⨯==⇒=εϕμϕζϕϕgHvgH v5-2薄壁孔口出流,直径d=2cm,水箱水位恒定H =2m,试求:(1)孔口流量Q ;(2)此孔口外接圆柱形管嘴的流量Qn ;(3)管嘴收缩断面的真空高度。
题5-2图解:(1)孔口出流流量为s L s m gH A Q /219.1/10219.128.9202.0462.02332=⨯=⨯⨯⨯⨯⨯==πϕ(2)s L gH A Q n /612.128.9202.0482.022=⨯⨯⨯⨯⨯==πμ(3)真空高度:m H gpg p C Cv 48.1274.074.0=⨯==-=ρρ 5-3 水箱用隔板分为A 、B 两室,隔板上开一孔口,其直径d1=4cm ,在B 室底部装有圆柱形外管嘴,其直径d 2=3cm 。
已知H=3m ,h3=0.5m 试求:(1)h 1,h 2;(2)流出水箱的流量Q 。
题5-3图解:隔板孔口的流量 112gh A Q μ=圆柱形外管嘴的流量()()132222h H g A h h g A Q -=+=μμ由题意可得Q 1=Q 2,则()()1212122212111211303.082.004.062.022h h h H d h d h H g A gh A -⨯⨯=⨯⨯-=-=μμμμ解得m h 07.11=sL s m gh A Q mh h H h /56.3/1056.307.18.9204.0462.0243.15.007.1333211312=⨯=⨯⨯⨯⨯⨯==∴=--=--=∴-πμ5-4 有一平底空船,其船底面积Ω为8m 2,船舷高h为0.5m ,船自重G 为9.8kN 。
第五章 势流理论5-1流速为u 0=10m/s 沿正向的均匀流与位于原点的点涡叠加。
已知驻点位于(0,-5),试求: (1)点涡的强度;(2) (0,5)点的流速以及通过驻点的流线方程。
答:(1)求点涡的强度Γ:设点涡的强度为Γ,则均匀流的速度势和流函数分别为:x u 01=ϕ,y u 01=ψ;点涡的速度势和流函数为:xyarctg πϕ22Γ-=,r y x ln 2)ln(221222ππψΓ=+Γ=; 因此,流动的速度势和流函数为:θπθπϕϕϕ2cos 20021Γ-=Γ-=+=r u x y arctg x u , r y u y x y u ln 2sin )ln(202122021πθπψψψΓ+=+Γ+=+=;则速度分布为:2202y x yu y x u +⋅Γ+=∂∂=∂∂=πψϕ, 222yx x x y v +⋅Γ=∂∂-=∂∂=πψϕ; 由于)5,0(-为驻点,代入上式第一式中则得到:0)5(052220=-+-⋅Γ+πu , 整理得到:ππ100100==Γu 。
(2)求)5,0(点的速度:将π100=Γ代入到速度分布中,得到:222222050102100102y x y y x y y x y u u ++=+⋅+=+⋅Γ+=πππ,2222225021002yx xy x x y x x v +=+⋅=+⋅Γ=πππ; 将0=x 、5=y 代入上述速度分布函数,得到:201010505501022=+=+⨯+=u (m/s ), 05005022=+⨯=v (m/s );(3)求通过)5,0(点的流线方程:由流函数的性质可知,流函数为常数时表示流线方程C =ψ,则流线方程为:C y x y u =+Γ+21220)ln(2π;将0=x 、5=y 代入,得到:5ln 5050)50ln(21005102122+=+⨯+⨯=ππC ;则过该点的流线方程为:5ln 5050)ln(2100102122+=++y x y ππ,整理得到:5ln 55)ln(52122+=++y x y5-2 平面势流由点源和点汇叠加而成,点源位于(-1,0),其流量为θ1=20m 3/s ,点汇位于(2,0)点,其流量为θ2=40m 3/s ,已知流体密度为ρ=1.8kg/m 3,流场中(0,0)点的压力为0,试求点(0,1)和(1,1)的流速和压力。
流体力学课后答案第1章绪论1.1 若某种牌号的汽油的重度γ为7000N/m 3,求它的密度ρ。
解:由g γρ=得,3327000N/m 714.29kg/m 9.8m /m γρ===g1.2 已知水的密度ρ=997.0kg/m 3,运动黏度ν=0.893×10-6m 2/s ,求它的动力黏度μ。
解:ρμ=v 得,3624997.0kg/m 0.89310m /s 8.910Pa s μρν--==??=?? 1.3 一块可动平板与另一块不动平板同时浸在某种液体中,它们之间的距离为0.5mm ,可动板若以0.25m/s 的速度移动,为了维持这个速度需要单位面积上的作用力为2N/m 2,求这两块平板间流体的动力黏度μ。
解:假设板间流体中的速度分布是线性的,则板间流体的速度梯度可计算为13du u 0.25500s dy y 0.510--===? 由牛顿切应力定律d d uyτμ=,可得两块平板间流体的动力黏度为 3d 410Pa s d yuτμ-==??1.4上下两个平行的圆盘,直径均为d ,间隙厚度为δ,间隙中的液体动力黏度系数为μ,若下盘固定不动,上盘以角速度ω旋转,求所需力矩T 的表达式。
题1.4图解:圆盘不同半径处线速度不同,速度梯度不同,摩擦力也不同,但在微小面积上可视为常量。
在半径r 处,取增量dr ,微面积,则微面积dA 上的摩擦力dF 为du r dF dA2r dr dz ωμπμδ== 由dF 可求dA 上的摩擦矩dT32dT rdF r dr πμωδ==积分上式则有d 43202d T dT r dr 32πμωπμωδδ===??1.5 如下图所示,水流在平板上运动,靠近板壁附近的流速呈抛物线形分布,E 点为抛物线端点,E 点处0d d =y u ,水的运动黏度ν=1.0×10-6m 2/s ,试求y =0,2,4cm 处的切应力。
(提示:先设流速分布C By Ay u ++=2,利用给定的条件确定待定常数A 、B 、C )题1.5图解:以D 点为原点建立坐标系,设流速分布C By Ay u ++=2,由已知条件得C=0,A=-625,B=50则2u 625y 50y =-+ 由切应力公式du dyτμ=得du(1250y 50)dy τμρν==-+ y=0cm 时,221510N /m τ-=?;y=2cm 时,222 2.510N /m τ-=?;y=4cm 时,30τ= 1.6 某流体在圆筒形容器中。
流体力学课后答案本文旨在为许多有志于学习流体力学的学生提供一些帮助。
作为一名知名学者,我深知流体力学在现代工程和科学中的重要性。
本文提供的答案将涵盖流体力学的基础知识和一些实际应用示例。
第一部分:基础知识1. 什么是流体?答:流体是指那些能够流动并且没有一定的形状的物质。
其中包括液体和气体。
2. 流体的物理属性有哪些?答:流体的物理属性包括密度、压力、温度、粘度和速度等。
3. 流体的连续性方程是什么?答:流体的连续性方程是描述流体运动的基本方程之一。
它表明,在流体中,质量的守恒和连续性是成立的。
它的数学表达式为:∂ρ/∂t + ∇·(ρv) = 0,其中ρ是流体的密度,v 是流体的速度场。
4. 流体动力学的牛顿定律是什么?答:牛顿定律描述了流体运动的基本行为。
它表明,流体运动的加速度与作用在流体上的力成正比。
在流体静止时,它的数学描述为F = 0。
当流体运动时,它的数学描述为F = ma,其中m是流体的质量,a是流体的加速度,F是作用在流体上的合力。
第二部分:实际应用1. 什么是雷诺数?答:雷诺数是用于描述流体流动的重要无量纲参数。
它由流体的速度、密度和长度来定义。
高雷诺数表示流体流动是湍流,低雷诺数表示流体流动是层流。
2. 怎样计算压力?答:流体的压力可以用万能气体定律来计算。
这个定律表明,流体的压力与它的密度、温度和体积成正比。
在一些实际应用中,压力可以通过流量测量来间接地计算。
3. 管道中的液体流动如何控制?答:管道中的液体流动可以通过改变管道的截面积和形状、液体的输送速度、管道的材料和表面粗糙度等参数来控制。
4. 如何设计类似翼型的物体?答:翼型是一种通过改变流体流动的方式来提供升力和阻力的物体。
它们通常由气体流动的形状和外形来确定。
设计翼型的关键是了解流体的物理属性和翼型与流体的相互作用,以及如何优化翼型的形状。
总结:在理解流体力学时,了解基本概念和方程非常重要。
为了更好地应用流体力学原理,学生们需要了解如何将这些原理应用于实际问题中,如管道设计、液体流动控制和翼型设计等。
第1章 绪论1.1 若某种牌号的汽油的重度γ为7000N/m 3,求它的密度ρ。
解:由g γρ=得,3327000N/m 714.29kg/m9.8m /m γρ===g1.2 已知水的密度ρ=997.0kg/m 3,运动黏度ν=0.893×10-6m 2/s ,求它的动力黏度μ。
解:ρμ=v 得,3624997.0kg/m 0.89310m /s 8.910Pa s μρν--==⨯⨯=⨯⋅ 1.3 一块可动平板与另一块不动平板同时浸在某种液体中,它们之间的距离为0.5mm ,可动板若以 0.25m/s 的速度移动,为了维持这个速度需要单位面积上的作用力为2N/m 2,求这两块平板间流体的动力黏度μ。
解:假设板间流体中的速度分布是线性的,则板间流体的速度梯度可计算为13du u 0.25500s dy y 0.510--===⨯ 由牛顿切应力定律d d uyτμ=,可得两块平板间流体的动力黏度为 3d 410Pa s d yuτμ-==⨯⋅1.4上下两个平行的圆盘,直径均为d ,间隙厚度为δ,间隙中的液体动力黏度系数为μ,若下盘固定不动,上盘以角速度ω旋转,求所需力矩T 的表达式。
题1.4图解:圆盘不同半径处线速度 不同,速度梯度不同,摩擦力也不同,但在微小面积上可视为常量。
在半径r 处,取增量dr ,微面积 ,则微面积dA 上的摩擦力dF 为du r dF dA2r dr dz ωμπμδ== 由dF 可求dA 上的摩擦矩dT32dT rdF r dr πμωδ==积分上式则有d 43202d T dT r dr 32πμωπμωδδ===⎰⎰1.5 如下图所示,水流在平板上运动,靠近板壁附近的流速呈抛物线形分布,E 点为抛物线端点,E 点处0d d =y u ,水的运动黏度ν=1.0×10-6m 2/s ,试求y =0,2,4cm 处的切应力。
(提示:先设流速分布C By Ay u ++=2,利用给定的条件确定待定常数A 、B 、C )题1.5图解:以D 点为原点建立坐标系,设流速分布C By Ay u ++=2,由已知条件得C=0,A=-625,B=50则2u 625y 50y =-+ 由切应力公式du dyτμ=得du(1250y 50)dy τμρν==-+ y=0cm 时,221510N/m τ-=⨯;y=2cm 时,222 2.510N/m τ-=⨯;y=4cm 时,30τ= 1.6 某流体在圆筒形容器中。
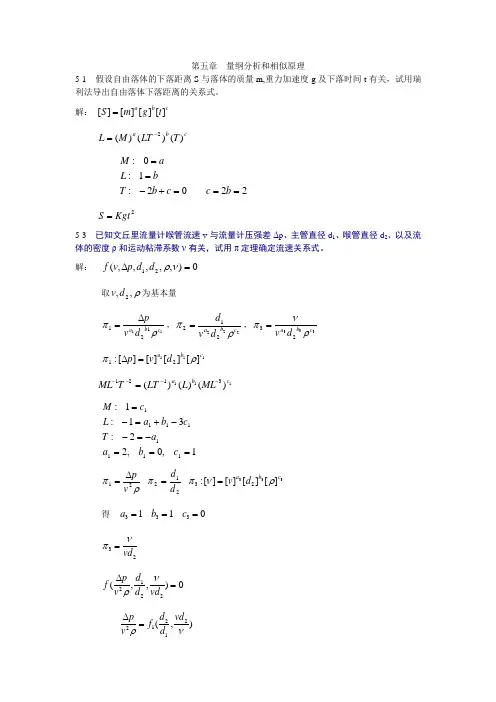
第五章 量纲分析和相似原理5-1 假设自由落体的下落距离S 与落体的质量m,重力加速度g 及下落时间t 有关,试用瑞利法导出自由落体下落距离的关系式。
解: c b a t g m S ][][][][=c b a T LT M L )()()(2-=2202:1:0:===+-==b c c b T b L aM2Kgt S = 5-3 已知文丘里流量计喉管流速v 与流量计压强差Δp 、主管直径d 1、喉管直径d 2、以及流体的密度ρ和运动粘滞系数ν有关,试用π定理确定流速关系式。
解: 0),,,,,(21=∆νρd d p v f取ρ,,2d v 为基本量11121c b a d v p ρπ∆=,222212c b a d v d ρπ=,33323c b a d v ρνπ= 111][][][][:21c b a d v p ρπ=∆111)()()(3121c b a ML L LT T ML ----=1,0,22:31:1:11111111===-=--+=-=c b a a T c b a L c Mρπ21v p ∆= 212d d =π 333][][][][:23c b a d v ρνπ= 得 011333===c b a23vd νπ=0),,(2212=∆vd d d v p f νρ),(21212νρvd d d f v p =∆)(Re,122d d p v Φ=∆ρ )(Re,12d d pv Φ∆=ρ 5-4 球形固体颗粒在流体中的自由沉降速度f u 与颗粒的直径d 、密度s ρ以及流体的密度ρ、动力黏滞系数μ,重力加速度g 有关。
试用π定理证明自由沉降速度关系式,f s f u d u f ρρρμ⎡=⎢⎣。
解: 0),,,,,(=g d u f s f μρρ取ρ,,d u f 为基本量333232111321,,c b a f c b a f s c b a f d u d u d u gρμπρρπρπ===计算有121-=d u gf π ρρπs =2 ρμπd u f =3 ),(2ρμρρd u f u dg f s f =,f s f u d u f ρρρμ⎡=⎢⎣ 5-6 用水管模拟输油管道。
中南大学流体力学课后答案第1章 绪论1.1 解:339005.08.94410m kg m kg gV G V m =⨯===ρ 1.2 解:3132-⎪⎭⎫ ⎝⎛=h y h u dy du m 当25.0=h y 时,此处的流速梯度为h uh u dy du m m0583.1413231=⎪⎭⎫⎝⎛=-当50.0=h y 时,此处的流速梯度为huhu dy du m m8399.0213231=⎪⎭⎫ ⎝⎛=-1.3 解:N N A dy du A T 1842.08.0001.0115.1=⨯⨯⨯===μτ 1.4 解:充入内外筒间隙中的实验液体,在外筒的带动下做圆周运动。
因间隙很小,速度可视为近似直线分布,不计内筒端面的影响,内桶剪切应力由牛顿内摩擦定律推得:δδωμδμμτ)(0+===r u dy du 作用于内筒的扭矩:h r r Ar M 22)(πδδωμτ+==()()s Pa s Pa hr r M ⋅=⋅+⨯⨯⨯⨯⨯=+=3219.4003.02.04.02.060102003.09.4222πδπωδμ1.5 解:体积压缩系数:dpV dV -=κmlPa ml N m VdpdV 8905.1)1011020(2001075.456210-=⨯-⨯⨯⨯⨯-=-=-κ(负号表示体积减少) 手轮转数:122.0418905.1422≈⨯⋅==πδπd dV n 1.6 解:νρμ=1()()νρρνμ035.1%101%1512=-+= 035.112=μμ,即2μ比1μ增加了3.5%。
1.7 解:测压管内液面超高:mm d h O H 98.28.292==mm dh Hg05.15.10-=-=当测压管内液面标高为5.437m 时,若箱内盛水,水箱液面高程为:m m m 34402.5100098.2347.5=-若箱内盛水银,水箱液面高程为:m m m 34805.5)100005.1(347.5=-- 1.8 解:当液体静止时,它所受到的单位质量力:{}}{g f f f f z y x -==,0,0,,。
第五章习题简答5-1有一薄壁圆形孔口,直径d= 10mm ,水头H 为2m 。
现测得射流收缩断面的直径d c为8mm ,在32.8s 时间内,经孔口流出的水量为0.01m 3,试求该孔口的收缩系数ε,流量系数μ,流速系数φ及孔口局部损失系数ζ。
解: 64.010822=⎪⎭⎫⎝⎛=⎪⎭⎫ ⎝⎛==d d A A c c εs m d Q v /06.6008.08.32/01.04422=⨯⨯==ππ 62.097.064.006.0197.011197.028.9206.62222=⨯===-=-==⨯⨯==⇒=εϕμϕζϕϕgHvgH v5-2薄壁孔口出流,直径d=2cm ,水箱水位恒定H=2m ,试求:(1)孔口流量Q ;(2)此孔口外接圆柱形管嘴的流量Q n ;(3)管嘴收缩断面的真空高度。
题5-2图解:(1)孔口出流流量为s L s m gH A Q /219.1/10219.128.9202.0462.02332=⨯=⨯⨯⨯⨯⨯==πϕ(2)s L gH A Q n /612.128.9202.0482.022=⨯⨯⨯⨯⨯==πμ(3)真空高度:m H gpg p C Cv 48.1274.074.0=⨯==-=ρρ 5-3 水箱用隔板分为A 、B 两室,隔板上开一孔口,其直径d 1=4cm ,在B 室底部装有圆柱形外管嘴,其直径d 2=3cm 。
已知H=3m ,h 3=0.5m 试求:(1)h 1,h 2;(2)流出水箱的流量Q 。
题5-3图解:隔板孔口的流量 112gh A Q μ=圆柱形外管嘴的流量 ()()132222h H g A h h g A Q -=+=μμ由题意可得Q 1=Q 2,则()()1212122212111211303.082.004.062.022h h h H d h d h H g A gh A -⨯⨯=⨯⨯-=-=μμμμ解得m h 07.11=sL s m gh A Q mh h H h /56.3/1056.307.18.9204.0462.0243.15.007.1333211312=⨯=⨯⨯⨯⨯⨯==∴=--=--=∴-πμ5-4 有一平底空船,其船底面积Ω为8m 2,船舷高h 为0.5m ,船自重G 为9.8kN 。
第六、七、八章习题简答6-1 假设自由落体的下落距离s与落体的质量m,重力加速度g及下落时间t有关,试用瑞利法导出自由落体下落距离的关系式。
解:首先将关系式写成指数关系:s=Km a g b t c其中,K为无量纲量,也称无量系数。
各变量的量纲分别为:dim s=L,dim W=MLT-2,dim t= T,dim g=LT-2。
将上式指数方程写成量纲方程:L=( MLT-2) a ( LT-2) b ( T) c根据物理方程量纲一致性原则得到M:0=aL:1=a+bT:0=-2a-2b+c得出a=0 b=1 c=2代入原式,得s=Km0gt2即s=Kgt2注意:式中重量的指数为零,表明自由落体距离与重量无关。
其中系数K须由实验确定。
6-7已知矩形薄壁堰的溢流量Q与堰上水头H、堰宽b、水的密度ρ和动力粘滞系数μ,重力加速度g 有关,试用π定理推导流量公式。
题6-7图解:首先将函数关系设为 F(Q ,H ,b ,ρ,μ,g )=0其中变量数n=6,选取基本变量H 、ρ、g ,这3个变量包含了L 、T 、M 三个基本量纲。
根据π定理,上式可变为 f (π1,π2,π3)=0 式中Q g H c b a 1111ρπ=b g Hc b a 2222ρπ=μρπ3333c b a g H =将各数方程写成量纲形式:)()()(dim 132********---==T L LT ML L T L M c b a π根据量纲的一致性,有: L :a 1-3b 1+c 1+3=0 T :-2c 1-1=0 M :b 1=0得a 1=-5/2,b 1= 0,c 1= -1/2所以 gHQ Q g H 2521251==--π同理可得Hb b H ==-12πgH g H ρμμρπ23211233==---这样原来的函数关系可写成0(2325=),,gH H b g H Q f ρμ 即),gH H b f gHQ ρμ23125(=则5252312((H g Hb f H g g H H b f Q )),==ρμ 6-8 加热炉回热装置冷态模型试验,模型长度比尺λl =5,已知回热装置中烟气的运动粘滞系数为ν=0.7×10-4m 2/s ,流速为υ=2.5m/s ,试求20℃空气在模型中的流速为多大时,流动才能相似。
流体力学课后习题答案第一章流体及其主要物理性质1-1. 轻柴油在温度15ºC时相对密度为0.83,求它的密度和重度。
解:4ºC时所以,1-2. 0.83 水 0.83 1000 830kg/m3 0.83 水 0.83 9800 8134N/m3 甘油在温度0ºC时密度为1.26g/cm3,求以国际单位表示的密度和重度。
1.26g/cm3 126kg0/m3 g 126 09.8 1234N8/m31-3. 水的体积弹性系数为1.96×109N/m2,问压强改变多少时,它的体积相对压缩1,,p 1-4. V p V E 0.01E 1.96 107Pa 19.6MPaV容积4m3的水,温度不变,当压强增加105N/m2时容积减少1000cm3,求该水的体积压缩系数βp和体积弹性系数E。
,1000 10,6V,9,1 , 2.5 10Pa 解: p , 5 p10E1-5. 1 p 18 4 10Pa ,92.5 10用200L汽油桶装相对密度为0.70的汽油,罐装时液面上压强为1个大气压,封闭后由于温度变化升高了20ºC,此时汽油的蒸气压为0.18大气压。
若汽油的膨胀系数为0.0006ºC,1,弹性系数为14000kg/cm2。
试计算由于压力及温度变化所增减的体积,问灌桶时每桶最多不超过多少公斤为宜,解:E,E’?g,14000×9.8×10PaΔp,0.18atdV V VdT,dp T pV0 V0 V V TV0 p , , pV0 T T p p4 T所以,dV V VdT,dp TV0dT, pV0dp T p1从初始状态积分到最终状态得:即VV0dV TV0dT, T0Tpp0 pV0dpV,V0 T(T,T0)V0,1(p,p0)V0E0.18 9.8 1040.0006 20 200, 20014000 9.8 1042.4L,2.57 10,3L 2.4L200,2.4 138.32kg 1000M ,V, V, 0.7 1000另解:设灌桶时每桶最多不超过V升,则V,dVt,dVp 200dVt t V dt 0.00061 20VdVp , p V dp ,1 0.18V(1大气压,1Kg/cm2) 14000V,197.6升dVt,2.41升dV p,2.52×10-3升G,0.1976×700,138Kg,1352.4N1-6. 石油相对密度0.9,粘度28cP,求运动粘度为多少m2/s?28 10,33.1 10,5m2/s, 0.31St 31cS,t 0.9 10001-7. 相对密度0.89的石油,温度20ºC时的运动粘度为40cSt,求动力粘度为多少,解:d -42 0.89 ν,40cSt,0.4St,0.4×10m/s水μ,νρ,0.4×10-4×890,3.56×10-2 Pa?s1-8. 图示一平板在油面上作水平运动,已知运动速度u=1m/s,板与固定边界的距离δ=1,油的动力粘度μ,1.147Pa?s,由平板所带动的油层的运动速度呈直线分布,求作用在平板单位面积上的粘性阻力为多少,2解:1-9. du1 1.147 1.147 103N/m2 ,3dy1 10如图所示活塞油缸,其直径D,12cm,活塞直径d,11.96cm,活塞长度L,14cm,油的μ,0.65P,当活塞移动速度为0.5m/s时,试求拉回活塞所需的力F=,解:A,πdL , μ,0.65P,0.065 Pa?s , Δu,0.5m/s , Δy=(D-d)/2 F Adu0.5 0.065 3.14 11.96 10,2 14 10,2 8.55Ndy12,11.96 10,223第二章流体静力学2-1. 如图所示的U形管中装有水银与水,试求:(1)A、C两点的绝对压力及表压各为多少,(2)A、B两点的高度差为多少,解:? pA表,γh水,0.3mH2O,0.03at,0.3×9800Pa,2940PapA绝,pa+ pA表,(10+0.3)mH2O,1.03at,10.3×9800Pa,100940PapC表,γhghhg+ pA表,0.1×13.6mH2O+0.3mH2O,1.66mH2O,0.166at,1.66×9800Pa,16268PapC绝,pa+ pC表,(10+1.66)mH2O,11.66mH2O ,1.166at,11.66×9800Pa,114268Pa ? 30cmH2O,13.6h cmH2O h, 30/13.6cm=2.2cm题2-2 题2-32-2. 水银压力计装置如图。
流体力学课后习题答案习题【1】1-1 解:已知:120t =℃,1395p kPa '=,250t =℃ 120273293T K =+=,250273323T K =+= 据p RT ρ=,有:11p RT ρ'=,22p RT ρ'= 得:2211p T p T '=',则2211323395435293T p p kPa T ''=⋅=⨯=1-2 解:受到的质量力有两个,一个是重力,一个是惯性力。
重力方向竖直向下,大小为mg ;惯性力方向和重力加速度方向相反为竖直向上,大小为mg ,其合力为0,受到的单位质量力为01-3 解:已知:V=10m 3,50T ∆=℃,0.0005V α=℃-1根据1V V V Tα∆=⋅∆,得:30.000510500.25m V V V T α∆=⋅⋅∆=⨯⨯=1-4 解:已知:419.806710Pa p '=⨯,52 5.884010Pa p '=⨯,150t =℃,278t =℃ 得:1127350273323T t K =+=+=,2227378273351T t K =+=+= 根据mRT p V =,有:111mRT p V '=,222mRT p V '=G =mg自由落体: 加速度a =g得:421251219.8067103510.185.884010323V p T V p T '⨯=⋅=⨯='⨯,即210.18V V = 体积减小了()10.18100%82%-⨯=1-5 解:已知:40mm δ=,0.7Pa s μ=⋅,a =60mm ,u =15m/s ,h =10mm根据牛顿内摩擦力定律:uT Ayμ∆=∆ 设平板宽度为b ,则平板面积0.06A a b b =⋅= 上表面单位宽度受到的内摩擦力:1100.70.06150210.040.01T A u b N b b h b μτδ-⨯-==⋅=⨯=--/m ,方向水平向左 下表面单位宽度受到的内摩擦力:2200.70.061506300.010T A u b N b b h b μτ-⨯-==⋅=⨯=--/m ,方向水平向左 平板单位宽度上受到的阻力:12216384N τττ=+=+=,方向水平向左。
流体力学课后习题答案流体力学是研究流体(液体和气体)在静止和运动状态下的行为及其与固体边界相互作用的科学。
在流体力学的课程中,课后习题是帮助学生巩固理论知识和提高解题能力的重要环节。
以下是一些流体力学课后习题的参考答案:# 习题一:流体静力学问题问题描述:一个长方体水箱,长为L,宽为W,高为H,水箱底部有一个小孔,孔的面积为A。
当水箱装满水后,求水从孔中流出时的流速。
解答:首先,我们应用托里拆利定律,该定律表明流体的静压与流体的深度成正比。
设水的密度为ρ,重力加速度为g,水深为h,孔上表面的压强为P0。
水从孔中流出的流速v可以通过伯努利方程计算:\[ v = \sqrt{\frac{2gh}{1 - \frac{A}{WL}}} \]其中,h是孔到水面的距离,即h = H - x,x是孔到水箱底部的距离。
# 习题二:流体动力学问题问题描述:一个管道的横截面积逐渐增大,管道内流动的流体是不可压缩的。
求管道不同截面处的流速。
解答:根据连续性方程,对于不可压缩流体,流速v与横截面积A之间的关系为:\[ A_1v_1 = A_2v_2 \]其中,A1和v1是管道初始截面的面积和流速,A2和v2是管道末端截面的面积和流速。
# 习题三:边界层问题问题描述:在流体流动过程中,边界层的厚度如何随距离x变化?解答:边界层的厚度δ可以用以下公式近似表示:\[ \delta = \frac{5x}{\sqrt{Rex}} \]其中,Re_x是沿流动方向x处的雷诺数,Rex = ρvx/μ,ρ是流体密度,v是流速,x是距离,μ是流体的动态粘度。
# 结语流体力学的习题答案需要根据具体的题目条件和所用的物理定律来确定。
上述答案仅为示例,实际解题时需要根据题目的具体要求进行详细的计算和分析。
希望这些示例能够帮助你更好地理解和应用流体力学的基本概念。
第五章习题简答5-1有一薄壁圆形孔口,直径d= 10mm ,水头H 为2m 。
现测得射流收缩断面的直径d c为8mm ,在时间内,经孔口流出的水量为0.01m 3,试求该孔口的收缩系数ε,流量系数μ,流速系数φ及孔口局部损失系数ζ。
解: 64.010822=⎪⎭⎫⎝⎛=⎪⎭⎫ ⎝⎛==d d A A c c εs m d Q v /06.6008.08.32/01.04422=⨯⨯==ππ 62.097.064.006.0197.011197.028.9206.62222=⨯===-=-==⨯⨯==⇒=εϕμϕζϕϕgHvgH v5-2薄壁孔口出流,直径d=2cm ,水箱水位恒定H=2m ,试求:(1)孔口流量Q ;(2)此孔口外接圆柱形管嘴的流量Q n ;(3)管嘴收缩断面的真空高度。
题5-2图解:(1)孔口出流流量为s L s m gH A Q /219.1/10219.128.9202.0462.02332=⨯=⨯⨯⨯⨯⨯==πϕ(2)s L gH A Q n /612.128.9202.0482.022=⨯⨯⨯⨯⨯==πμ(3)真空高度:m H gpg p C Cv 48.1274.074.0=⨯==-=ρρ 5-3 水箱用隔板分为A 、B 两室,隔板上开一孔口,其直径d 1=4cm ,在B 室底部装有圆柱形外管嘴,其直径d 2=3cm 。
已知H=3m ,h 3=0.5m 试求:(1)h 1,h 2;(2)流出水箱的流量Q 。
题5-3图解:隔板孔口的流量 112gh A Q μ=圆柱形外管嘴的流量()()132222h H g A h h g A Q -=+=μμ由题意可得Q 1=Q 2,则()()1212122212111211303.082.004.062.022h h h H d h d h H g A gh A -⨯⨯=⨯⨯-=-=μμμμ解得m h 07.11=sL s m gh A Q mh h H h /56.3/1056.307.18.9204.0462.0243.15.007.1333211312=⨯=⨯⨯⨯⨯⨯==∴=--=--=∴-πμ5-4 有一平底空船,其船底面积Ω为8m 2,船舷高h 为0.5m ,船自重G 为。
现船底破一直径10cm 的圆孔,水自圆孔漏入船中,试问经过多少时间后船将沉没。
题5-4图解:在船沉没的过程中存在(浮力定律)Ω+=Ω21gh G gh ρρ得 m g G h h h 125.089800980021=⨯=Ω=-=∆ρ s m h g A Q /1062.7125.08.921.0462.02332-⨯=⨯⨯⨯⨯⨯=∆=πμ∴船沉没过程中水自圆孔漏入的流量是不变的。
另外,当h 2=0时,h 1’=,则s Q h h t 3941062.7)125.05.0(8)'(31=⨯-⨯=-Ω=-5-5游泳池长25m ,宽10m ,水深1.5m ,池底设有直径10cm 的放水孔直通排水地沟,试求放净池水所需的时间。
解:设孔口在某时间t 的作用水头为h ,dt 时间内经孔口流出的水的体积dt gh A Qdt 2μ=又∵dt 时间内游泳池水面下降dh ,则体积减少为dV=-Ωdh 由连续方程可得dV Qdt =hs g μA H Ωgh μA Ωdh t ghμA Ωdh dt Ωdh dt gh μA H89.7284068.921.0462.05.1102522222220==⨯⨯⨯⨯⨯⨯⨯==-=∴-=∴-=⎰π即5-6 油槽车的油槽长度为l ,直径为D ,油槽底部设有卸油孔,孔口面积为A ,流量系数为μ,试求该车充满油后所需卸空时间。
题5-6图解:在某时间t 时,油槽中油面高度为h,dt 时间内经孔口泄出的油的体积为dt gh A Qdt 2μ=又∵dt 时间内游泳池水面下降dh ,则体积减少为dh h hD l dh D h D l dh dV 2222222--=⎪⎭⎫ ⎝⎛--⎪⎭⎫ ⎝⎛-=Ω-=由连续方程可得dVQdt =即 dh h hD l dt gh μA 222--=gμA lD g μA dh h D l t g μA dhh D l gh μA dh h hD l dt H2342222222302=--=--=--=∴⎰5-8 虹吸管将A 池中的水输入B 池,已知长度l 1=3m ,l 2=5m 直径d=75mm ,两池水面高差H=2m , 最大超高h=1.8m ,沿程阻力系数λ=,局部损失系数:进口ζa =,转弯ζb =,出口ζc = ,试求流量及管道最大超高断面的真空度。
题5-8图解:这是简单短管道水力计算,应用公式有:s L s m gHdl l AgH d lAvA Q /13.14/01413.028.920.12.05.0075.05302.0075.042)(23232121==⨯⨯++++⨯⨯=++++=+==∑∑πζζζλζλs m d A Q v /2.3075.001413.04401413.022=⨯⨯=⨯==ππ 取断面0-0、1-1伯努利方程l h gv g p z +++=2021ρ又 c p p -=1m g v d l g v h h g v z g p b a l c 11.38.922.3)2.05.0075.0302.0(8.922.38.12)(22222122=⨯⨯++⨯+⨯+=++++=++=ζζλρ得5-9 如图所示,用水泵自吸水井向高位水箱供水。
已知吸水井水面高程为155.0m ,水泵轴线的高程为159.6m ,高位水箱水面高程为179.5m ,水泵的设计流量为0.034m 3/s ,水泵吸、压水管均采用铸铁管,其长度分别为8m 和50m ,吸水管进口带底阀滤网的局部阻力系数ζ1= ,管路中三个弯头的局部阻力系数均为ζ2=,水泵出口断面逆止阀和闸阀的局部阻力系数分别为ζ3=和ζ4=,水泵进口断面的允许真空度〔h v 〕=。
试确定:(1)水泵吸、压水管直径d 吸和d 压;(2)校核水泵进口断面的真空度是否满足允许值;(3)若该水泵能够正常工作,其扬程H 为多少(4)绘制水泵管路系统的测压管水头线和总水头线。
( 经济流速;吸水管路v 允许=1.2m/s 、压水管路v 压=2m/s )题5-9图解:(1)吸水管路v 允许=1.2m/sm v Qd 190.02.1034.044=⨯⨯==ππ吸 取d 吸=200mm压水管路v 压=2m/sm v Qd 147.02034.044=⨯⨯==ππ压 取d 压=150mm(2)034.02.0021.0021.03.03.01===吸d λ m d Q v 082.12.0034.044221=⨯⨯==ππ 列0-0、1-1截面的伯努利方程;l h gvg p z +++=20211ρ又 c p p -=1[]OmH h m gv d l g v h h g v z g p g p v l c 2222121112216064.58.92082.1)2.02.52.08034.0(8.92082.10.1556.1592)(22=<=⨯⨯++⨯+⨯+-=++++=++=-=ζζλρρ则所以水泵进口断面的真空度是满足允许值(3)037.015.0021.0021.03.03.02===压d λ m d Q v 924.115.0034.044222=⨯⨯==ππ mh h H H mH m g v d l h mg v d l h l l l l 55.285.2465.34.0'5.241555.179'65.38.92924.1)1.05.62.0215.050037.0(2)2(4.08.92082.1)2.02.52.08034.0(2)(2122243222222121111=++=++==-==⨯⨯++⨯+⨯=+++==⨯⨯++⨯=++=ζζζλζζλ(4)5-10 风动工具的送风系统由空气压缩机、贮气筒、管道等组成,已知管道总长l=100m ,直径d=75mm ,沿程阻力系数λ=,各项局部水头损失系数之和∑ζ=,压缩空气密度ρ=7.86kg/m 3,风动工具要风压650kPa ,风量0.088m 3/s ,试求贮气筒的工作压强。
题5-10图解: s m d Q v /92.19075.0088.04422=⨯⨯==ππ kPagh v p mg v d l h l l 75265010008.986.768.130********.1986.7650268.13038.9292.194.4075.0100045.0222122221=+⨯⨯+⨯⨯=++=∴=⨯⎪⎭⎫ ⎝⎛+⨯=⎪⎭⎫ ⎝⎛+=--∑ρρζλ5-11 水从密闭容器A ,沿直径d=25mm ,长l=10m 的管道流入容器B ,已知容器A 水面的相对压强p 1=2at ,水面高H 1=1m ,H 2 =5m ,沿程阻力系数λ=,局部损失系数:阀门ζV =,弯头ζb =,试求流量。
题5-11图解:列两液面的伯努力方程l h H gp H +++=++000211ρ 其中g vdlh l 22⎪⎭⎫ ⎝⎛+=∑ζλ,代入上式得 gv d l H g p H 20002211⎪⎭⎫ ⎝⎛++++=++∑ζλρsm d v Q s m d l g p H H g v /1025.2025.0458.44/58.43.034025.010025.09800980002518.9223322121-⨯=⨯⨯=⋅=∴=⎪⎭⎫⎝⎛⨯++⨯⎪⎭⎫ ⎝⎛⨯+-⨯⨯=⎪⎭⎫⎝⎛+⎪⎪⎭⎫ ⎝⎛+-=∑ππζλρ 5-12 由水塔向水车供水,水车由一直径d=150mm ,长l=80m 的管道供水,该管道中共有两个闸阀和4个90°弯头(λ= ,闸阀全开ζa =,弯头ζb =)。
已知水车的有效容积V 为25m 3,水塔具有水头H=18m ,试求水车充满水所需的最短时间。
题5-12图解:列水塔液面及管道出流断面的伯努利方程sm d l gH v g v d l h g v z z H h gv z z l l/29.4)48.0412.0215.08003.01(188.92)1(22)1(220002221221=⨯+⨯+⨯+⨯⨯=++=++=+=-=+++=++∑∑ζλζλs d v Vt 33015.0429.425422=⨯⨯=⋅=∴ππ5-13 自闭容器经两段串联管道输水,已知压力表读值p M =1at ,水头H=2m ,管长l 1=10m ,l 2 =20m ,直径d 1 =100mm ,d 2 =200mm ,沿程阻力系数λ1=λ2=,试求流量并绘总水头线和测压管水头线。