流体力学第二版课后习题答案
- 格式:doc
- 大小:4.52 MB
- 文档页数:60
第一章 绪论1-1.20℃的水2.5m 3,当温度升至80℃时,其体积增加多少? [解] 温度变化前后质量守恒,即2211V V ρρ= 又20℃时,水的密度31/23.998m kg =ρ 80℃时,水的密度32/83.971m kg =ρ 321125679.2m V V ==∴ρρ 则增加的体积为3120679.0m V V V =-=∆1-2.当空气温度从0℃增加至20℃时,运动粘度ν增加15%,重度γ减少10%,问此时动力粘度μ增加多少(百分数)? [解] 原原ρννρμ)1.01()15.01(-+==原原原μρν035.1035.1==035.0035.1=-=-原原原原原μμμμμμ此时动力粘度μ增加了3.5%1-3.有一矩形断面的宽渠道,其水流速度分布为μρ/)5.0(002.02y hy g u -=,式中ρ、μ分别为水的密度和动力粘度,h 为水深。
试求m h 5.0=时渠底(y =0)处的切应力。
[解] μρ/)(002.0y h g dydu-=)(002.0y h g dydu-==∴ρμτ 当h =0.5m ,y =0时)05.0(807.91000002.0-⨯⨯=τPa 807.9=1-4.一底面积为45×50cm 2,高为1cm 的木块,质量为5kg ,沿涂有润滑油的斜面向下作等速运动,木块运动速度u=1m/s ,油层厚1cm ,斜坡角22.620 (见图示),求油的粘度。
[解] 木块重量沿斜坡分力F 与切力T 平衡时,等速下滑yu AT mg d d sin μθ== 001.0145.04.062.22sin 8.95sin ⨯⨯⨯⨯==δθμu A mg s Pa 1047.0⋅=μ1-5.已知液体中流速沿y 方向分布如图示三种情况,试根据牛顿内摩擦定律yud d μτ=,定性绘出切应力沿y 方向的分布图。
[解]1-6.为导线表面红绝缘,将导线从充满绝缘涂料的模具中拉过。
第一章 绪论1-1.20℃的水2.5m 3,当温度升至80℃时,其体积增加多少? [解] 温度变化前后质量守恒,即2211V V ρρ= 又20℃时,水的密度31/23.998m kg =ρ 80℃时,水的密度32/83.971m kg =ρ 321125679.2m V V ==∴ρρ 则增加的体积为3120679.0m V V V =-=∆1-2.当空气温度从0℃增加至20℃时,运动粘度ν增加15%,重度γ减少10%,问此时动力粘度μ增加多少(百分数)?[解] 原原ρννρμ)1.01()15.01(-+==原原原μρν035.1035.1==035.0035.1=-=-原原原原原μμμμμμ此时动力粘度μ增加了3.5%1-3.有一矩形断面的宽渠道,其水流速度分布为μρ/)5.0(002.02y hy g u -=,式中ρ、μ分别为水的密度和动力粘度,h 为水深。
试求m h 5.0=时渠底(y =0)处的切应力。
[解] μρ/)(002.0y h g dydu-=)(002.0y h g dydu-==∴ρμτ 当h =0.5m ,y =0时)05.0(807.91000002.0-⨯⨯=τPa 807.9=1-4.一底面积为45×50cm 2,高为1cm 的木块,质量为5kg ,沿涂有润滑油的斜面向下作等速运动,木块运动速度u=1m/s ,油层厚1cm ,斜坡角22.620 (见图示),求油的粘度。
[解] 木块重量沿斜坡分力F 与切力T 平衡时,等速下滑yu AT mg d d sin μθ== 001.0145.04.062.22sin 8.95sin ⨯⨯⨯⨯==δθμu A mg s Pa 1047.0⋅=μ1-5.已知液体中流速沿y 方向分布如图示三种情况,试根据牛顿内摩擦定律yud d μτ=,定性绘出切应力沿y 方向的分布图。
[解]1-6.为导线表面红绝缘,将导线从充满绝缘涂料的模具中拉过。
第一章绪论1-1.20℃的水2.5m3,当温度升至80℃时,其体积增加多少?[解] 温度变化前后质量守恒,即又20℃时,水的密度80℃时,水的密度则增加的体积为1—2.当空气温度从0℃增加至20℃时,运动粘度增加15%,重度减少10%,问此时动力粘度增加多少(百分数)?[解]此时动力粘度增加了3。
5%1-3.有一矩形断面的宽渠道,其水流速度分布为,式中、分别为水的密度和动力粘度,为水深。
试求时渠底(y=0)处的切应力。
[解]当=0.5m,y=0时1-4.一底面积为45×50cm2,高为1cm的木块,质量为5kg,沿涂有润滑油的斜面向下作等速运动,木块运动速度u=1m/s,油层厚1cm,斜坡角22.620(见图示),求油的粘度.[解]木块重量沿斜坡分力F与切力T平衡时,等速下滑1-5.已知液体中流速沿y方向分布如图示三种情况,试根据牛顿内摩擦定律,定性绘出切应力沿y方向的分布图。
[解]1—6.为导线表面红绝缘,将导线从充满绝缘涂料的模具中拉过。
已知导线直径0。
9mm,长度20mm,涂料的粘度=0。
02Pa.s。
若导线以速率50m/s拉过模具,试求所需牵拉力。
(1。
O1N)[解]1—7.两平行平板相距0。
5mm,其间充满流体,下板固定,上板在2Pa的压强作用下以0.25m/s匀速移动,求该流体的动力粘度。
[解]根据牛顿内摩擦定律,得1-8.一圆锥体绕其中心轴作等角速度旋转。
锥体与固定壁面间的距离=1mm,用的润滑油充满间隙.锥体半径R=0.3m,高H=0。
5m.求作用于圆锥体的阻力矩.(39.6N·m)[解]取微元体如图所示微元面积:切应力:阻力:阻力矩:1—9.一封闭容器盛有水或油,在地球上静止时,其单位质量力为若干?当封闭容器从空中自由下落时,其单位质量力又为若干?[解] 在地球上静止时:自由下落时:第二章流体静力学2-1.一密闭盛水容器如图所示,U形测压计液面高于容器内液面h=1.5m,求容器液面的相对压强.[解]2—2.密闭水箱,压力表测得压强为4900Pa。
1-1解:已知:40mm δ=,0.7Pa s μ=⋅,a =60mm ,u =15m/s ,h =10mm根据牛顿内摩擦力定律:u T Ayμ∆=∆设平板宽度为b ,则平板面积0.06A a b b =⋅=上表面单位宽度受到的内摩擦力:1100.70.06150210.040.01T A u b N b b h b μτδ-⨯-==⋅=⨯=--/m ,方向水平向左下表面单位宽度受到的内摩擦力:2200.70.061506300.010T A u b N b b h b μτ-⨯-==⋅=⨯=--/m ,方向水平向左平板单位宽度上受到的阻力:12216384N τττ=+=+=,方向水平向左。
1-2解:0.5mm δ=,2Pa τ=,u =0.25m/s根据u y τμ∆=∆,有:30.51020.004Pa s00.250y u u δμττ-∆⨯===⨯=⋅∆--1-3解:20t =℃,d =2.5cm=0.025m ,1mm δ==0.001m ,u =3cm/s=0.03m/s设管段长度l ,管段表面积:A dl π=单位长度管壁上粘滞力:0 3.140.0250.030.001A u dl u l y l μμπτδ∆-⨯⨯===∆1-4解:20.80.20.16m A =⨯=,u =1m/s ,10mm δ=, 1.15Pa sμ=⋅011.150.1618.40.01u u T AA N y μμδ∆-===⨯⨯=∆1-5解:15rad/s ω=,1mm δ=,0.1Pa s μ=⋅,0.6m d =,0.5mH =τ1τ2根据牛顿内摩擦定律,切应力:u r y ωτμμδ∆==∆小微元表面积:2sin drdA rπθ=小微元受到的粘滞力:dT dA τ=⋅小微元粘滞力的力矩:2sin r dr dM r dT r r ωμπδθ=⋅=⋅⋅22220.32sin 0.5140.50.32dd H θ===+⎛⎫+ ⎪⎝⎭圆锥体所受到的合力矩:442010.13.14150.32237.1sin 2sin 20.0010.514d d r dr M dM r r N mωμπωμπδθδθ⎛⎫⎪⨯⨯⨯⎝⎭==⋅⋅===⋅⎰⎰⨯⨯习题【2】2-1解: 3.0B h m =, 3.5AB h m=23.0mH O BB p h gρ==9.81000 3.029400PaB B p gh ρ==⨯⨯=42.9410-9.81000 3.5=-4900Pa A B AB p p gh ρ=-=⨯⨯⨯20.5mH O AA p h gρ==-2-2解:1m z =,2m h =,00Pap =管中为空气部分近似的为各点压强相等。
第一章 绪论1-1.20℃的水2.5m 3,当温度升至80℃时,其体积增加多少? [解] 温度变化前后质量守恒,即2211V V ρρ= 又20℃时,水的密度31/23.998m kg =ρ 80℃时,水的密度32/83.971m kg =ρ 321125679.2m V V ==∴ρρ 则增加的体积为3120679.0m V V V =-=∆1-2.当空气温度从0℃增加至20℃时,运动粘度ν增加15%,重度γ减少10%,问此时动力粘度μ增加多少(百分数)? [解] 原原ρννρμ)1.01()15.01(-+==原原原μρν035.1035.1==035.0035.1=-=-原原原原原μμμμμμ此时动力粘度μ增加了3.5%1-3.有一矩形断面的宽渠道,其水流速度分布为μρ/)5.0(002.02y hy g u -=,式中ρ、μ分别为水的密度和动力粘度,h 为水深。
试求m h 5.0=时渠底(y =0)处的切应力。
[解] μρ/)(002.0y h g dydu-=)(002.0y h g dydu-==∴ρμτ 当h =0.5m ,y =0时)05.0(807.91000002.0-⨯⨯=τPa 807.9=1-4.一底面积为45×50cm 2,高为1cm 的木块,质量为5kg ,沿涂有润滑油的斜面向下作等速运动,木块运动速度u=1m/s ,油层厚1cm ,斜坡角22.620 (见图示),求油的粘度。
[解] 木块重量沿斜坡分力F 与切力T 平衡时,等速下滑yu AT mg d d sin μθ== 001.0145.04.062.22sin 8.95sin ⨯⨯⨯⨯==δθμu A mg s Pa 1047.0⋅=μ1-5.已知液体中流速沿y 方向分布如图示三种情况,试根据牛顿内摩擦定律yud d μτ=,定性绘出切应力沿y 方向的分布图。
[解]1-6.为导线表面红绝缘,将导线从充满绝缘涂料的模具中拉过。
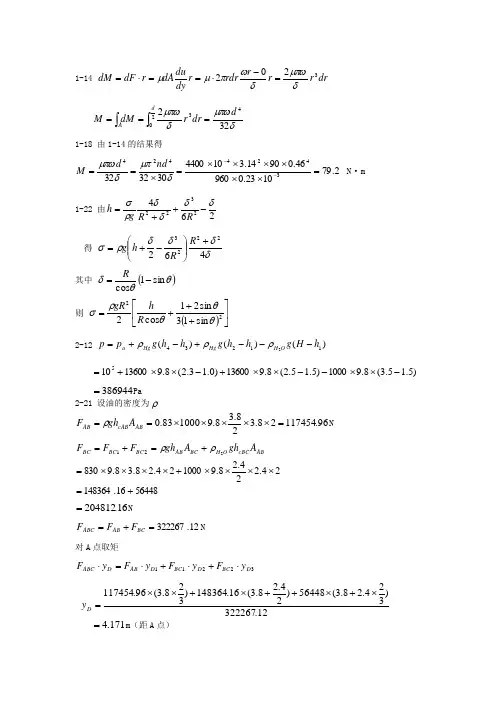
1-14 dr r r r rdr r dy du dA r dF dM 3202δμπωδωπμμ=-⋅==⋅= δμπωδμπω3224203d dr r dM M d A ===⎰⎰ 1-18 由1-14的结果得2.791023.096046.09014.31044003032323424424=⨯⨯⨯⨯⨯⨯=⨯==--δμπδμπωnd d M N ·m 1-22 由2642322δδδδρσ-++=RR g h 得 δδδδρσ4622223+⎪⎪⎭⎫ ⎝⎛-+=R R h g其中 ()θθδsin 1cos -=R 则 ()⎥⎦⎤⎢⎣⎡+++=22sin 13sin 21cos 2θθθρσR h gR 2-12 )()()(112342h H g h h g h h g p p O H H g H g a ---+-+=ρρρ)5.15.3(8.91000)5.15.2(8.913600)0.13.2(8.913600105-⨯⨯--⨯⨯+-⨯⨯+= 386944=Pa2-21 设油的密度为ρ96.11745428.328.38.9100083.0=⨯⨯⨯⨯⨯==AB cAB AB A gh F ρN 5644816.14836424.224.28.9100024.28.38.9830221+=⨯⨯⨯⨯+⨯⨯⨯⨯=+=+=ABcBC O H BC AB BC BC BC A gh A gh F F F ρρ 16.204812=N 12.322267=+=BC AB ABC F F F N对A 点取矩32211D BC D BC D AB D ABC y F y F y F y F ⋅+⋅+⋅=⋅ 12.322267)324.28.3(56448)24.28.3(16.148364)328.3(96.117454⨯+⨯++⨯+⨯⨯=D y 171.4=m (距A 点)2-23 7.4124105842.19.0)60sin 29.0(9800-=⨯⨯-⨯==h h A gh F c ρ 总压力F 的作用点到A 点的距离)45.01547.1(1281.045.09.02.1)29.060sin (129.02.145.029.03-⨯+=⨯⨯-⨯⨯+=+=h h Ay I y c cx由y F G ⋅=⨯3.0 整理得 0014.22558968.83602262.659952=+-h h (提示a ac b b x 242-±-=) 解得:877.0=h m2-24 图示法:h F y F y F 322221=+ 整理得 421=+y y 又 21211=⎪⎭⎫ ⎝⎛=h l A A 所以 2231=l 1l 于是 414.123211===l y m 586.2412=-=y y m 2-29 C 点的测压管水面的距离673.99800101325196120=-=-=g p p H a ρm )13222673.9(114.3980032)2(232⨯--⨯⨯=⎥⎦⎤⎢⎣⎡--===R h H R g gV F F p z ππρρ 37.246=kN2-31)25.014.33215.014.341(9800)3241(3232⨯⨯-⨯⨯⨯⨯=-==R H D g gV F p z ππρρ 7.1602=N7.40041==z F F N 3-13 gV g p z g V g p z B B B A A A 2222++=++ρρ 其中:4.2=A V m/s ;4.51.015.04.22222=⨯==B A A B d d V V m/s ;2.1=-B A z z m ;5.1=g p A ρm 代入上式得506.18.924.54.25.12.122=⨯-++=g p B ρm3-26 22.014.33600226442211=⨯⨯⨯==d q V v πm/s 81.014.33600226442222=⨯⨯⨯==d q V v πm/s gV g p z g V g p z 2222222111++=++ρρ 其中21z z = 则1702)82(10002000002222222112=-⨯+=-+=V V p p ρρkPa 在水平面内建立平面坐标系xoy ,并取缓变流截面1-1,2-2及管道边界为控制面。
第一章绪论31-1. 20C的水2.5m,当温度升至80C时,其体积增加多少?[解]温度变化前后质量守恒,即V 2V3又20C时,水的密度i 998.23kg /m380C 时,水的密度 2 971.83kg/m3V2— 2.5679m323则增加的体积为V V V i 0.0679m1-2.当空气温度从0C增加至20C时,运动粘度增加15%,重度减少10%,问此时动力粘度增加多少(百分数)?[解](1 0.15)原(1 0.1)原1.035原原1.035原原 1.035原原0.035原原此时动力粘度增加了 3.5%1-3•有一矩形断面的宽渠道,其水流速度分布为u 0.002 g(hy 0.5y2)/ ,式中、分别为水的密度和动力粘度,h为水深。
试求h 0.5m时渠底(y=0)处的切应力。
[解]——0.002 g(h y)/dy0.002 g(h y) dy当h =0.5m , y=0 时0.002 1000 9.807(0.5 0)9.807Pa1-4.一底面积为45 x 50cm2,高为1cm的木块,质量为5kg,沿涂有润滑油的斜面向下作等速运动,木块运动速度u=1m/s,油层厚1cm,斜坡角22.620(见图示),求油的粘度。
[解]木块重量沿斜坡分力F与切力T平衡时,等速下滑mg sindu T Adymg sin A U 5 9.8 sin 22.621 0.4 0.45 -0.0010.1047 Pa s1-5.已知液体中流速沿y方向分布如图示三种情况,试根据牛顿内摩擦定律沿y方向的分布图。
3 3 5 2 [解] A dl 3.14 0.8 10 20 10 5.024 10 m 石,定性绘出切应力1-6 •为导线表面红绝缘,将导线从充满绝缘涂料的模具中拉过。
已知导线直径的粘度=0.02Pa. s。
若导线以速率50m/s拉过模具,试求所需牵拉力。
0.9mm,长度20mm,涂料(1.O1N)yU 50 5F R A 0.02 3 5.024 10 1.01Nh 0.05 10 31-7.两平行平板相距0.5mm,其间充满流体,下板固定,上板在2Pa的压强作用下以0.25m/s匀速移动,求该流体的动力粘度。
第一章 绪论1—1.20℃的水2.5m 3,当温度升至80℃时,其体积增加多少? [解] 温度变化前后质量守恒,即2211V V ρρ= 又20℃时,水的密度31/23.998m kg =ρ 80℃时,水的密度32/83.971m kg =ρ 321125679.2m V V ==∴ρρ 则增加的体积为3120679.0m V V V =-=∆1—2.当空气温度从0℃增加至20℃时,运动粘度ν增加15%,重度γ减少10%,问此时动力粘度μ增加多少(百分数)? [解] 原原ρννρμ)1.01()15.01(-+==原原原μρν035.1035.1==035.0035.1=-=-原原原原原μμμμμμ此时动力粘度μ增加了3。
5%1—3.有一矩形断面的宽渠道,其水流速度分布为μρ/)5.0(002.02y hy g u -=,式中ρ、μ分别为水的密度和动力粘度,h 为水深.试求m h 5.0=时渠底(y =0)处的切应力。
[解] μρ/)(002.0y h g dydu-=)(002.0y h g dydu-==∴ρμτ 当h =0。
5m ,y =0时)05.0(807.91000002.0-⨯⨯=τPa 807.9=1-4.一底面积为45×50cm 2,高为1cm 的木块,质量为5kg,沿涂有润滑油的斜面向下作等速运动,木块运动速度u=1m/s ,油层厚1cm,斜坡角22.620 (见图示),求油的粘度。
[解] 木块重量沿斜坡分力F 与切力T 平衡时,等速下滑yu AT mg d d sin μθ== 001.0145.04.062.22sin 8.95sin ⨯⨯⨯⨯==δθμu A mg s Pa 1047.0⋅=μ1—5.已知液体中流速沿y 方向分布如图示三种情况,试根据牛顿内摩擦定律yud d μτ=,定性绘出切应力沿y 方向的分布图。
[解]1-6.为导线表面红绝缘,将导线从充满绝缘涂料的模具中拉过。
答案 :第一章习题答案选择题(单选题)1.1 按连续介质的概念,流体质点是指:(d )(a )流体的分子;(b )流体内的固体颗粒;(c )几何的点;(d )几何尺寸同流动空间相比是极小量,又含有大量分子的微元体。
1.2 作用于流体的质量力包括:(c )(a )压力;(b )摩擦阻力;(c )重力;(d )表面张力。
1.3 单位质量力的国际单位是:(d )(a )N ;(b )Pa ;(c )kg N /;(d )2/s m 。
1.4 与牛顿内摩擦定律直接有关的因素是:(b )(a )剪应力和压强;(b )剪应力和剪应变率;(c )剪应力和剪应变;(d )剪应力和流速。
1.5 水的动力黏度μ随温度的升高:(b )(a )增大;(b )减小;(c )不变;(d )不定。
1.6 流体运动黏度ν的国际单位是:(a )(a )2/s m ;(b )2/m N ;(c )m kg /;(d )2/m s N ⋅。
1.7 无黏性流体的特征是:(c )(a )黏度是常数;(b )不可压缩;(c )无黏性;(d )符合RT p=ρ。
1.8 当水的压强增加1个大气压时,水的密度增大约为:(a )(a )1/20000;(b )1/10000;(c )1/4000;(d )1/2000。
1.9 水的密度为10003kg/m ,2L 水的质量和重量是多少? 解:10000.0022m V ρ==⨯=(kg )29.80719.614G mg ==⨯=(N )答:2L 水的质量是2kg ,重量是19.614N 。
1.10 体积为0.53m 的油料,重量为4410N ,试求该油料的密度是多少? 解:44109.807899.3580.5m G g V V ρ====(kg/m 3) 答:该油料的密度是899.358kg/m 3。
1.11 某液体的动力黏度为0.005Pa s ⋅,其密度为8503/kg m ,试求其运动黏度。
第一章习题答案选择题(单选题)1.1 按连续介质的概念,流体质点是指:(d )(a )流体的分子;(b )流体内的固体颗粒;(c )几何的点;(d )几何尺寸同流动空间相比是极小量,又含有大量分子的微元体。
1.2 作用于流体的质量力包括:(c )(a )压力;(b )摩擦阻力;(c )重力;(d )表面张力。
1.3 单位质量力的国际单位是:(d )(a )N ;(b )Pa ;(c )kg N /;(d )2/s m 。
1.4 与牛顿内摩擦定律直接有关的因素是:(b )(a )剪应力和压强;(b )剪应力和剪应变率;(c )剪应力和剪应变;(d )剪应力和流速。
1.5 水的动力黏度μ随温度的升高:(b )(a )增大;(b )减小;(c )不变;(d )不定。
1.6 流体运动黏度ν的国际单位是:(a )(a )2/s m ;(b )2/m N ;(c )m kg /;(d )2/m s N ⋅。
1.7 无黏性流体的特征是:(c )(a )黏度是常数;(b )不可压缩;(c )无黏性;(d )符合RT p=ρ。
1.8 当水的压强增加1个大气压时,水的密度增大约为:(a )(a )1/20000;(b )1/10000;(c )1/4000;(d )1/2000。
1.9 水的密度为10003kg/m ,2L 水的质量和重量是多少? 解:10000.0022m V ρ==⨯=(kg )29.80719.614G mg ==⨯=(N )答:2L 水的质量是2kg ,重量是19.614N 。
1.10 体积为0.53m 的油料,重量为4410N ,试求该油料的密度是多少? 解:44109.807899.3580.5m G g V V ρ====(kg/m 3) 答:该油料的密度是899.358kg/m 3。
1.11 某液体的动力黏度为0.005Pa s ⋅,其密度为8503/kg m ,试求其运动黏度。
第一章绪论1-1.20℃的水2。
5m3,当温度升至80℃时,其体积增加多少?[解] 温度变化前后质量守恒,即又20℃时,水的密度80℃时,水的密度则增加的体积为1-2.当空气温度从0℃增加至20℃时,运动粘度增加15%,重度减少10%,问此时动力粘度增加多少(百分数)?[解]此时动力粘度增加了3。
5%1—3.有一矩形断面的宽渠道,其水流速度分布为,式中、分别为水的密度和动力粘度,为水深。
试求时渠底(y=0)处的切应力。
[解]当=0。
5m,y=0时1—4.一底面积为45×50cm2,高为1cm的木块,质量为5kg,沿涂有润滑油的斜面向下作等速运动,木块运动速度u=1m/s,油层厚1cm,斜坡角22。
620(见图示),求油的粘度.[解]木块重量沿斜坡分力F与切力T平衡时,等速下滑1-5.已知液体中流速沿y方向分布如图示三种情况,试根据牛顿内摩擦定律,定性绘出切应力沿y方向的分布图。
[解]1—6.为导线表面红绝缘,将导线从充满绝缘涂料的模具中拉过。
已知导线直径0。
9mm,长度20mm,涂料的粘度=0。
02Pa.s。
若导线以速率50m/s拉过模具,试求所需牵拉力.(1.O1N)[解]1-7.两平行平板相距0.5mm,其间充满流体,下板固定,上板在2Pa的压强作用下以0。
25m/s匀速移动,求该流体的动力粘度。
[解] 根据牛顿内摩擦定律,得1-8.一圆锥体绕其中心轴作等角速度旋转.锥体与固定壁面间的距离=1mm,用的润滑油充满间隙.锥体半径R=0.3m,高H=0.5m。
求作用于圆锥体的阻力矩。
(39.6N·m)[解] 取微元体如图所示微元面积:切应力:阻力:阻力矩:1-9.一封闭容器盛有水或油,在地球上静止时,其单位质量力为若干?当封闭容器从空中自由下落时,其单位质量力又为若干?[解] 在地球上静止时:自由下落时:第二章流体静力学2—1.一密闭盛水容器如图所示,U形测压计液面高于容器内液面h=1.5m,求容器液面的相对压强。
第一章 绪论1-1.20℃的水2.5m 3,当温度升至80℃时,其体积增加多少? [解] 温度变化前后质量守恒,即2211V V ρρ= 又20℃时,水的密度31/23.998m kg =ρ 80℃时,水的密度32/83.971m kg =ρ 321125679.2m V V ==∴ρρ 则增加的体积为3120679.0m V V V =-=∆1-2.当空气温度从0℃增加至20℃时,运动粘度ν增加15%,重度γ减少10%,问此时动力粘度μ增加多少(百分数)? [解] 原原ρννρμ)1.01()15.01(-+==原原原μρν035.1035.1==035.0035.1=-=-原原原原原μμμμμμ此时动力粘度μ增加了3.5%1-3.有一矩形断面的宽渠道,其水流速度分布为μρ/)5.0(002.02y hy g u -=,式中ρ、μ分别为水的密度和动力粘度,h 为水深。
试求m h 5.0=时渠底(y =0)处的切应力。
[解] μρ/)(002.0y h g dydu-=)(002.0y h g dydu-==∴ρμτ 当h =0.5m ,y =0时)05.0(807.91000002.0-⨯⨯=τPa 807.9=1-4.一底面积为45×50cm 2,高为1cm 的木块,质量为5kg ,沿涂有润滑油的斜面向下作等速运动,木块运动速度u=1m/s ,油层厚1cm ,斜坡角22.620 (见图示),求油的粘度。
[解] 木块重量沿斜坡分力F 与切力T 平衡时,等速下滑yu AT mg d d sin μθ== 001.0145.04.062.22sin 8.95sin ⨯⨯⨯⨯==δθμu A mg s Pa 1047.0⋅=μ1-5.已知液体中流速沿y 方向分布如图示三种情况,试根据牛顿内摩擦定律yud d μτ=,定性绘出切应力沿y 方向的分布图。
[解]1-6.为导线表面红绝缘,将导线从充满绝缘涂料的模具中拉过。
第一章 绪论1-1.20℃的水2.5m 3,当温度升至80℃时,其体积增加多少? [解] 温度变化前后质量守恒,即2211V V ρρ= 又20℃时,水的密度31/23.998m kg =ρ 80℃时,水的密度32/83.971m kg =ρ 321125679.2m V V ==∴ρρ 则增加的体积为3120679.0m V V V =-=∆1-2.当空气温度从0℃增加至20℃时,运动粘度ν增加15%,重度γ减少10%,问此时动力粘度μ增加多少(百分数)? [解] 原原ρννρμ)1.01()15.01(-+==原原原μρν035.1035.1==035.0035.1=-=-原原原原原μμμμμμ此时动力粘度μ增加了3.5%1-3.有一矩形断面的宽渠道,其水流速度分布为μρ/)5.0(002.02y hy g u -=,式中ρ、μ分别为水的密度和动力粘度,h 为水深。
试求m h 5.0=时渠底(y =0)处的切应力。
[解] μρ/)(002.0y h g dydu-=)(002.0y h g dydu-==∴ρμτ 当h =0.5m ,y =0时)05.0(807.91000002.0-⨯⨯=τPa 807.9=1-4.一底面积为45×50cm 2,高为1cm 的木块,质量为5kg ,沿涂有润滑油的斜面向下作等速运动,木块运动速度u=1m/s ,油层厚1cm ,斜坡角22.620 (见图示),求油的粘度。
[解] 木块重量沿斜坡分力F 与切力T 平衡时,等速下滑yu AT mg d d sin μθ== 001.0145.04.062.22sin 8.95sin ⨯⨯⨯⨯==δθμu A mg s Pa 1047.0⋅=μ1-5.已知液体中流速沿y 方向分布如图示三种情况,试根据牛顿内摩擦定律yud d μτ=,定性绘出切应力沿y 方向的分布图。
[解]1-6.为导线表面红绝缘,将导线从充满绝缘涂料的模具中拉过。
第一章绪论1—1.20℃的水2.5m3,当温度升至80℃时,其体积增加多少?[解]温度变化前后质量守恒,即又20℃时,水的密度80℃时,水的密度则增加的体积为1—2.当空气温度从0℃增加至20℃时,运动粘度增加15%,重度减少10%,问此时动力粘度增加多少(百分数)?[解]此时动力粘度增加了3.5%1-3.有一矩形断面的宽渠道,其水流速度分布为,式中、分别为水的密度和动力粘度,为水深。
试求时渠底(y=0)处的切应力.[解]当=0.5m,y=0时1—4.一底面积为45×50cm2,高为1cm的木块,质量为5kg,沿涂有润滑油的斜面向下作等速运动,木块运动速度u=1m/s,油层厚1cm,斜坡角22。
620 (见图示),求油的粘度。
[解]木块重量沿斜坡分力F与切力T平衡时,等速下滑1—5.已知液体中流速沿y方向分布如图示三种情况,试根据牛顿内摩擦定律,定性绘出切应力沿y方向的分布图。
[解]1—6.为导线表面红绝缘,将导线从充满绝缘涂料的模具中拉过.已知导线直径0。
9mm,长度20mm,涂料的粘度=0.02Pa.s。
若导线以速率50m/s拉过模具,试求所需牵拉力。
(1.O1N)[解]1—7.两平行平板相距0。
5mm,其间充满流体,下板固定,上板在2Pa的压强作用下以0.25m/s匀速移动,求该流体的动力粘度。
[解]根据牛顿内摩擦定律,得1-8.一圆锥体绕其中心轴作等角速度旋转。
锥体与固定壁面间的距离=1mm,用的润滑油充满间隙.锥体半径R=0。
3m,高H=0。
5m.求作用于圆锥体的阻力矩。
(39。
6N·m)[解]取微元体如图所示微元面积:切应力:阻力:阻力矩:1—9.一封闭容器盛有水或油,在地球上静止时,其单位质量力为若干?当封闭容器从空中自由下落时,其单位质量力又为若干?[解] 在地球上静止时:自由下落时:第二章流体静力学2-1.一密闭盛水容器如图所示,U形测压计液面高于容器内液面h=1。
第一章 绪论1-1.20℃的水,当温度升至80℃时,其体积增加多少 [解] 温度变化前后质量守恒,即2211V V ρρ= 又20℃时,水的密度31/23.998m kg =ρ 80℃时,水的密度32/83.971m kg =ρ321125679.2m V V ==∴ρρ 则增加的体积为3120679.0m V V V =-=∆1-2.当空气温度从0℃增加至20℃时,运动粘度ν增加15%,重度γ减少10%,问此时动力粘度μ增加多少(百分数) [解] 原原ρννρμ)1.01()15.01(-+==原原原μρν035.1035.1==035.0035.1=-=-原原原原原μμμμμμ此时动力粘度μ增加了%1-3.有一矩形断面的宽渠道,其水流速度分布为μρ/)5.0(002.02y hy g u -=,式中ρ、μ分别为水的密度和动力粘度,h 为水深。
试求m h 5.0=时渠底(y =0)处的切应力。
[解] μρ/)(002.0y h g dydu-=)(002.0y h g dydu-==∴ρμτ 当h =,y =0时)05.0(807.91000002.0-⨯⨯=τ Pa 807.9=1-4.一底面积为45×50cm 2,高为1cm 的木块,质量为5kg ,沿涂有润滑油的斜面向下作等速运动,木块运动速度u=1m/s ,油层厚1cm ,斜坡角 (见图示),求油的粘度。
[解] 木块重量沿斜坡分力F 与切力T 平衡时,等速下滑yu AT mg d d sin μθ== 001.0145.04.062.22sin 8.95sin ⨯⨯⨯⨯==δθμu A mg s Pa 1047.0⋅=μ1-5.已知液体中流速沿y方向分布如图示三种情况,试根据牛顿内摩擦定律yud d μτ=,定性绘出切应力沿y 方向的分布图。
[解]1-6.为导线表面红绝缘,将导线从充满绝缘涂料的模具中拉过。
已知导线直径,长度20mm ,涂料的粘度μ=.s 。
第一章习题答案选择题(单选题)1.1 按连续介质的概念,流体质点是指:(d )(a )流体的分子;(b )流体内的固体颗粒;(c )几何的点;(d )几何尺寸同流动空间相比是极小量,又含有大量分子的微元体。
1.2 作用于流体的质量力包括:(c )(a )压力;(b )摩擦阻力;(c )重力;(d )表面张力。
1.3 单位质量力的国际单位是:(d )(a )N ;(b )Pa ;(c )kg N /;(d )2/s m 。
1.4 与牛顿内摩擦定律直接有关的因素是:(b )(a )剪应力和压强;(b )剪应力和剪应变率;(c )剪应力和剪应变;(d )剪应力和流速。
1.5 水的动力黏度μ随温度的升高:(b )(a )增大;(b )减小;(c )不变;(d )不定。
1.6 流体运动黏度ν的国际单位是:(a )(a )2/s m ;(b )2/m N ;(c )m kg /;(d )2/m s N ⋅。
1.7 无黏性流体的特征是:(c )(a )黏度是常数;(b )不可压缩;(c )无黏性;(d )符合RT p=ρ。
1.8 当水的压强增加1个大气压时,水的密度增大约为:(a )(a )1/20000;(b )1/10000;(c )1/4000;(d )1/2000。
1.9 水的密度为10003kg/m ,2L 水的质量和重量是多少? 解:10000.0022m V ρ==⨯=(kg )29.80719.614G mg ==⨯=(N )答:2L 水的质量是2kg ,重量是19.614N 。
1.10 体积为0.53m 的油料,重量为4410N ,试求该油料的密度是多少? 解:44109.807899.3580.5m G g V V ρ====(kg/m 3) 答:该油料的密度是899.358kg/m 3。
1.11 某液体的动力黏度为0.005Pa s ⋅,其密度为8503/kg m ,试求其运动黏度。
解:60.005 5.88210850μνρ-===⨯(m 2/s ) 答:其运动黏度为65.88210-⨯m 2/s 。
1.12 有一底面积为60cm ×40cm 的平板,质量为5Kg ,沿一与水平面成20°角的斜面下滑,平面与斜面之间的油层厚度为0.6mm ,若下滑速度0.84/m s ,求油的动力黏度μ。
解:平板受力如图。
沿s 轴投影,有:sin 200G T ⋅-=sin 20UT A G μδ=⋅=⋅∴32sin 2059.807sin 200.610 5.0100.60.40.84G U A δμ--⋅⋅⨯⨯⨯⨯===⨯⋅⨯⨯(kg m s ⋅) 答:油的动力黏度25.010μ-=⨯kgm s ⋅。
1.13 为了进行绝缘处理,将导线从充满绝缘涂料的模具中间拉过。
已知导线直径为0.8mm ;涂料的黏度μ=0.02Pa s ⋅,模具的直径为0.9mm ,长度为20mm ,导线的牵拉速度为50/m s ,试求所需牵拉力。
U解:()5010000.02200.90.82Uτμδ⨯==⨯=-(kN/m 2)330.810201020 1.01T d l πτπ--=⋅⋅=⨯⨯⨯⨯⨯=(N )答:所需牵拉力为1.01N 。
1.14 一圆锥体绕其中心轴作等角速度旋转ω=16/rad s ,锥体与固定壁面间的距离δ=1mm ,用μ=0.1Pa s ⋅的润滑油充满间隙,锥底半径R=0.3m ,高H=0.5m 。
求作用于圆锥体的阻力矩。
解:选择坐标如图,在z 处半径为r 的微元力矩为dM 。
y322cos r rdzr dM dA r r Hωμππωδτμθδ⋅=⋅==⋅⋅⋅其中rzRH=∴33302HR M z dz H Hπμωδ=⋅⎰2R πμωδ=⋅ 330.1160.32110π-⨯⨯=⨯⨯⨯39.568=(N m ⋅)答:作用于圆锥体的阻力矩为39.568N m ⋅。
1.15 活塞加压,缸体内液体的压强为0.1Mpa 时,体积为10003cm ,压强为10Mpa 时,体积为9953cm ,试求液体的体积弹性模量。
解:()6100.1109.9p ∆=-⨯=(Mpa )()66995100010510V --∆=-⨯=-⨯(m 3)69669.910 1.9810510100010p K V V --∆⨯=-=-=⨯∆-⨯⨯(pa ) 答:液体的体积弹性模量91.9810K =⨯pa 。
1.16 图示为压力表校正器,器内充满压缩系数为k =4.75×10-10N m /2的液压油,由手轮丝杠推进活塞加压,已知活塞直径为1cm ,丝杠螺距为2mm ,加压前油的体积为200mL ,为使油压达到20Mpa ,手轮要摇多少转?解:∵ V VK p∆=-∆ ∴106664.7510200102010 1.910V KV p ---∆=-∆=-⨯⨯⨯⨯⨯=-⨯(m 3)设手轮摇动圈数为n ,则有24n d l V π⋅⋅∆=∆()()()622234 1.910412.10110210Vn d l ππ---⨯-⨯∆===∆⨯⨯⨯-⨯圈即要摇动12圈以上。
答:手轮要摇12转以上。
1.17 图示为一水暖系统,为了防止水温升高时,体积膨胀将水管胀裂,在系统顶部设一膨胀水箱。
若系统内水的总体积为83m ,加温前后温差为50℃,在其温度范围内水的膨胀系数V α=0.00051/℃。
求膨胀水箱的最小容积。
解:∵V V VTα∆=∆ ∴0.000518500.204V V V T α∆=∆=⨯⨯=(m 3)答:膨胀水箱的最小容积0.204m 3。
1.18 钢贮罐内装满10℃的水,密封加热到75℃,在加热增压的温度和压强范围内,水的热膨胀系数V α=4.1×10-4/℃,体积弹性模量k =2×1092/m N ,罐体坚固,假设容积不变,试估算加热后罐壁承受的压强。
解:∵V V VTα∆=∆ ∴自由膨胀下有:V VT Vα∆=∆ 又∵pK V V∆=-∆∴()494.110210751053.3V Vp KK T Vα-∆∆=-=⋅⋅∆=⨯⨯⨯⨯-=(Mpa ) 加热后,钢罐内的压强为053.3p p p =+∆=Mpa 。
设00p =(表压强)。
答:加热后罐壁承受的压强是53.3Mpa 。
1.19 汽车上路时,轮胎内空气的温度为20℃,绝对压强为395kPa ,行驶后轮胎内空气的的温度上升到50℃,试求这时的压强。
解:设满足理想气体方程,则有:1223952732027350V p V pVR T ===++ 假设12V V =,可解得2323395435.4293p p ⨯===(kPa )答:这时的压强为435.4kPa 。
第二章习题答案选择题(单选题)2.1 静止流体中存在:(a )(a )压应力;(b )压应力和拉应力;(c )压应力和剪应力;(d )压应力、拉应力和剪应力。
2.2 相对压强的起算基准是:(c )(a )绝对真空;(b )1个标准大气压;(c )当地大气压;(d )液面压强。
2.3 金属压力表的读值是:(b )(a )绝对压强;(b )相对压强;(c )绝对压强加当地大气压;(d )相对压强加当地大气压。
2.4 某点的真空度为65000Pa ,当地大气压为0.1MPa,该点的绝对压强为:(d )(a )65000Pa ;(b )55000Pa ;(c )35000Pa ;(d )165000Pa 。
2.5 绝对压强abs p 与相对压强p 、真空度V p 、当地大气压a p 之间的关系是:(c )(a )abs p =p +V p ;(b )p =abs p +a p ;(c )V p =a p -abs p ;(d )p =V p +V p 。
2.6 在密闭容器上装有U 形水银测压计,其中1、2、3点位于同一水平面上,其压强关系为:(c )(a )1p >2p >3p ;(b )1p =2p =3p ;(c )1p <2p <3p ;(d )2p <1p <3p 。
2.7 用U 形水银压差计测量水管内A 、B 两点的压强差,水银面高差h p =10cm,A p -B p 为:(b )(a )13.33kPa ;(b )12.35kPa ;(c )9.8kPa ;(d )6.4kPa 。
2.8 露天水池,水深5 m 处的相对压强为:(b )(a )5kPa ;(b )49kPa ;(c )147kPa ;(d )205kPa 。
2.9 垂直放置的矩形平板挡水,水深3m ,静水总压力P 的作用点到水面的距离D y 为:(c )(a )1.25m ;(b )1.5m ;(c )2m ;(d )2.5m 。
2.10 圆形水桶,顶部及底部用环箍紧,桶内盛满液体,顶箍与底箍所受张力之比为:(a )(a )1/2;(b )1.0;(c )2;(d )3。
2.11 在液体中潜体所受浮力的大小:(b )(a )与潜体的密度成正比;(b )与液体的密度成正比;(c )与潜体淹没的深度成正比;(d )与液体表面的压强成反比。
2.12 正常成人的血压是收缩压100~120mmHg ,舒张压60~90mmHg ,用国际单位制表示是多少Pa?解:∵ 1mm 3101.32510133.3760⨯==Pa ∴收缩压:100120mmHg 13.33=kPa 16.00kPa 舒张压:6090mmHg 8.00=kPa 12.00kPa答:用国际单位制表示收缩压:100120mmHg 13.33=kPa16.00kPa ;舒张压:6090mmHg 8.00=kPa 12.00kPa 。
2.13 密闭容器,测压管液面高于容器内液面h =1.8m ,液体的密度为850kg/m 3,求液面压强。
解:08509.807 1.8a a p p gh p ρ=+=+⨯⨯相对压强为:15.00kPa 。
绝对压强为:116.33kPa 。
答:液面相对压强为15.00kPa ,绝对压强为116.33kPa 。
2.14 密闭容器,压力表的示值为4900N/m 2,压力表中心比A 点高0.4m ,A 点在水下1.5m ,,求水面压强。
解:0 1.1a p p p g ρ=+-4900 1.110009.807a p =+-⨯⨯ 5.888a p =-(kPa )相对压强为: 5.888-kPa 。
绝对压强为:95.437kPa 。
答:水面相对压强为 5.888-kPa ,绝对压强为95.437kPa 。
2.15 水箱形状如图所示,底部有4个支座,试求水箱底面上总压力和4个支座的支座反力,并讨论总压力和支座反力不相等的原因。