常用计量器具分类及检定周期表
- 格式:doc
- 大小:81.04 KB
- 文档页数:2
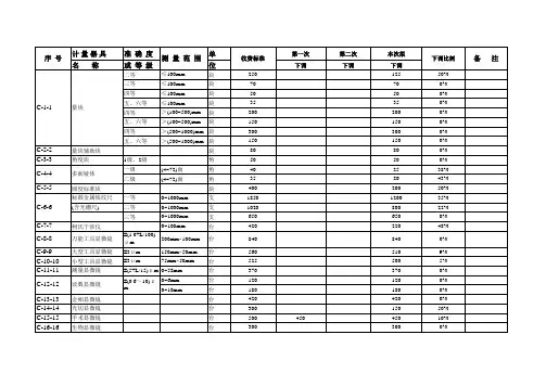
强制检定的工作计量器具和检定周期明细表以下是已改写好的文章:强制检定的工作计量器具和检定周期明细表序号项目名称种别序号检定规程名称检定周期1 竹木直尺 1尺-2 只作首次强制检定、失准报废 1年2 面积计—3 6个月3 玻璃液体温度计—4 3个月4 套管尺—5 1年5 钢卷尺 2 只作首次强制检定、失准作废 1年6 带锤钢卷尺测深钢卷尺—6 见规程见规程7 铁路轨距尺—7 1年8 皮革面积计—8 1年9 玻璃液体温度计电接点玻璃温度计检定规程 1年10 工作用玻璃液体温度计检定规程 1年11 高精密玻璃水银温度计检定规程 2年12 体温计检定规程半导体点温计检定规程 1年13 石油闪点温度计石油产品用玻璃液体温度计检定规程1年14 谷物水分测定仪烘干法谷物水分测定仪检定规程 1年15 热量计水流型气体热量计试行检定规程 1年16 绝热型氧弹热量计检定规程 3年17 等温型氧弹热量计检定规程 3年18 砝码砝码试行检定规程一、二等2年,其它1年19 链码增铊定量铊砝码试行检定规程 1年20 台秤电子计价秤试行检定规程 1年21 度盘秤弹簧度盘秤检定规程移动式杠杆秤检定规程 1年22 地秤固定式杠杆秤检定规程机电秤试行检定规程光栅秤试行检定规程滚轮式皮带秤试行检定规程 1年23 皮带秤电子皮带秤试行检定规程 1年装后第一个检定周期为6个月24 吊秤电子吊秤试行检定规定机械吊秤检定规定 1年25 散粮电子定量秤试行检定规程 1年程定角试雷达测速仪试行检定规程,是针对手握式雷达测速仪而制定的检定规程。
抵频测振仪试行检定规程是用于抵频测振仪的检定。
交流电能表(电度表)检定规程用于交流电能表的检定。
最大需电量能表试行检定规程用于最大需电量能表的检定。
风压表工作用液体压力计试行检定规程和膜盒压力表试行检定规程分别是用于风压表和压力表的检定。
血压计、血压表、眼压计、汽车里程表、压陷式眼压计、出租汽车里程计价表、公路管理速度监测仪、振动监测仪都有各自的检定规程和检定周期。
检定:查明和确认计量器具是否符合法定要求的活动,它包括检查、加标记和(或)出具检定证书;属计量管理范畴的执法行为。
校准:在规定的条件下,为确定测量仪器(或测量系统)所示的量值,或实物量具(或参考物质)所代表的量值,与对应的由测量标准所复现的值之间的一组操作;校准不具法制性,是企业自愿溯源行为。
自校准:对于未列入强制检定目录的检测仪器设备,可以检定也可以校准,校准溯源可由有授权或认证的检定或校准技术机构进行,也可由检验机构自行开展自校准。
期间核查:期间核查的确定原则:单纯靠周期检定/校准尚不能对仪器设备的量值准确性保持信心的,应进行期间核查。
一般包括以下几种情况:稳定性较差,易于发生数据漂移的仪器设备;经常移动使用,同时对环境条件较为敏感的;使用较频繁的。
每年年初需要根据仪器设备的情况和特点,拟定下一年度仪器设备的期间核查计划,核查计划应包括:核查的仪器设备、核查项目、核查方法及核查周期等信息。
其中,还要编制各种仪器设备的核查方法。
注1:开展“期间核查”的方法是多样的,基本以等精度核查的方式进行,如仪器设备间的比对、方法比对、标准物质验收、自校准等。
凡列入《中华人民共和国强制检定的工作计量器具明细目录》(原国家计量局[1987]量局法字第188号,后国家质检总局先后三次颁布国家强制检定目录[1991]374号、[1999]15号、[2001]162号共计相数61相、种数118种),并直接用于贸易结算、安全防护、医疗卫生、环境监测的属于《计量法》规定的的检测仪器设备必须严格依法定点、定期送有资格的法定计量检定机构(国家、省、市各级计量院/所)进行强制检定,并要有检定证书,例如天平、压力表、分光光度计.承担国家法定计量检定机构必须按照《计量标准考核规范(JJF1033)》或者《法定计量检定机构考核规范(JJF1069)》进行考核与授权。
检验机构自行开展自校准时,应按照国家现有的检定规程或校准方法(如JJG403-1986《超声波测厚仪检定规程》、JJG746-1986《超声波探伤仪检定规程》、JJG40-2001《X射线探伤机检定规程》或者JJF1126-2004《超声波测厚仪校准方法》)制定“自校准方法”, “自校准方法”的制定应参考《国家计量检定规程编写规则》JJF1002-1998,并能提供试验、比对验证技术报告,证明“自校准方法”的正确、可靠和可行,同时自校准采用的工作标准或工作基准应能溯源到国际标准或国家基准。
强制检定的工作计量器具和检定周期明细表
强制检定的工作计量器具和检定周期明细表
强制检定的工作计量器具和检定周期明细表
强制检定的工作计量器具和检定周期明细表
强制检定的工作计量器具和检定周期明细表
强制检定的工作计量器具和检定周期明细表
强制检定的工作计量器具和检定周期明细表
强制检定的工作计量器具和检定周期明细表
强制检定的工作计量器具和检定周期明细表
强制检定的工作计量器具和检定周期明细表
强制检定的工作计量器具和检定周期明细表
强制检定的工作计量器具和检定周期明细表
强制检定的工作计量器具和检定周期明细表
强制检定的工作计量器具和检定周期明细表
强制检定的工作计量器具和检定周期明细表
强制检定的工作计量器具和检定周期明细表
明细表
明细表
明细表
明细表
明细表
明细表
明细表
明细表
明细表
明细表
明细表
明细表
明细表
明细表
明细表
明细表。
最新强检计量器具及检定周期一览表 强制检定的工作计量器具和检定周期明细表序号项目名称种类序号种类名称检定规程名称检定周期备注1 竹木直尺 - 木直尺检定规程只作首次强制检定、失准报废2 套管尺 - 套管尺试行检定规程 1年见规程3 钢卷尺 - 钢卷尺检定规程 6个月4 带锤钢卷尺 - 测深钢卷尺检定规程 1年5 铁路轨距尺 - 铁路轨距尺检定规程 1年6 皮革面积计 - 皮革面积测量机检定规程 1年7 玻璃液体温度计 - 工作用玻璃液体温度计检定规程 1年8 体温计 - 体温计检定规程 1年9 石油闪点温度计 - 石油产品用玻璃液体温度计检定规程1年10 谷物水分测定仪 - 烘干法谷物水分测定仪检定规程 2年11 热量计 - 水流型气体热量计试行检定规程 1年12 热量计 - 绝热型氧弹热量计检定规程 1年13 热量计 - 等温型氧弹热量计检定规程 3年14 砝码 - 砝码试行检定规程一、二等2年,其它1年15 链码 - 砝码试行检定规程 1年16 增铊 - 移动式杆秤检定规程 1年17 定量铊 - 砝码试行检定规定 1年18 杆秤 - 杆秤检定规程 1年19 移动式杠杆秤 - 移动式杠杆秤检定规程 1年20 电子计价秤 - 案秤电子计价秤试行检定规程 1年21 弹簧度盘秤 - 弹簧度盘秤检定规程 1年22 度盘秤 - 度盘秤检定规程 1年23 固定式杠杆秤 - 固定式杠杆秤检定规程 1年24 机电秤 - 机电秤试行检定规程 1年25 光栅秤 - 光栅秤试行检定规程 6个月26 滚轮式皮带秤 - 滚轮式皮带秤试行检定规程 1年27 悬臂式电子皮带秤 - 悬臂式电子皮带秤试行检定规程 1年28 电子皮带秤 - 电子皮带秤试行检定规程 1年29 机械吊秤 - 电子吊秤试行检定规定 1年30 电子计价秤 - 电子计价秤试行检定规程 1年31 散粮电子定量秤 - 散粮电子定量秤试行检定规程 1年32 非连续累计自动秤 - 非连续累计自动秤试行检定规程 1年以上为强制检定的工作计量器具和检定周期明细表。
检定:查明和确认计量器具是否符合法定要求的活动,它包括检查、加标记和(或)出具检定证书;属计量管理范畴的执法行为。
校准:在规定的条件下,为确定测量仪器(或测量系统)所示的量值,或实物量具(或参考物质)所代表的量值,与对应的由测量标准所复现的值之间的一组操作;校准不具法制性,是企业自愿溯源行为。
自校准:对于未列入强制检定目录的检测仪器设备,可以检定也可以校准,校准溯源可由有授权或认证的检定或校准技术机构进行,也可由检验机构自行开展自校准。
期间核查:期间核查的确定原则:单纯靠周期检定/校准尚不能对仪器设备的量值准确性保持信心的,应进行期间核查。
一般包括以下几种情况:稳定性较差,易于发生数据漂移的仪器设备;经常移动使用,同时对环境条件较为敏感的;使用较频繁的。
每年年初需要根据仪器设备的情况和特点,拟定下一年度仪器设备的期间核查计划,核查计划应包括:核查的仪器设备、核查项目、核查方法及核查周期等信息。
其中,还要编制各种仪器设备的核查方法。
注1:开展“期间核查”的方法是多样的,基本以等精度核查的方式进行,如仪器设备间的比对、方法比对、标准物质验收、自校准等。
凡列入《中华人民共和国强制检定的工作计量器具明细目录》(原国家计量局[1987]量局法字第188号,后国家质检总局先后三次颁布国家强制检定目录[1991]374号、[1999]15号、[2001]162号共计相数61相、种数118种),并直接用于贸易结算、安全防护、医疗卫生、环境监测的属于《计量法》规定的的检测仪器设备必须严格依法定点、定期送有资格的法定计量检定机构(国家、省、市各级计量院/所)进行强制检定,并要有检定证书,例如天平、压力表、分光光度计.承担国家法定计量检定机构必须按照《计量标准考核规范(JJF1033)》或者《法定计量检定机构考核规范(JJF1069)》进行考核与授权。
检验机构自行开展自校准时,应按照国家现有的检定规程或校准方法(如JJG403-1986《超声波测厚仪检定规程》、JJG746-1986《超声波探伤仪检定规程》、JJG40-2001《X射线探伤机检定规程》或者JJF1126-2004《超声波测厚仪校准方法》)制定“自校准方法”, “自校准方法”的制定应参考《国家计量检定规程编写规则》JJF1002-1998,并能提供试验、比对验证技术报告,证明“自校准方法”的正确、可靠和可行,同时自校准采用的工作标准或工作基准应能溯源到国际标准或国家基准。