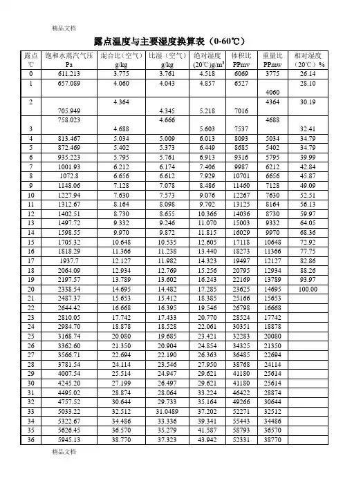
露点温度与主要湿度换算表
- 格式:pdf
- 大小:83.63 KB
- 文档页数:4
从露点到湿度:换算的全过程
简介:
本文将介绍从露点到湿度的换算过程。
露点是指在特定温度下,空气中的水蒸气开始凝结成液体的温度。
湿度是指空气中所含水蒸
气的比例。
了解如何进行露点到湿度的换算对于气象学、工程和农
业等领域具有重要意义。
换算公式:
露点和湿度之间的换算涉及到复杂的数学计算,但我们可以使
用简化的近似公式来进行估算。
以下是常用的换算公式:
1. 从露点到湿度的换算:
湿度 = 100 × (e / es)
其中,e表示实际水汽压力,es表示饱和水汽压力。
2. 从湿度到露点的换算:
露点 = (T × (A + (B × ln(h / 100)))) / (A - (ln(h / 100)) - B)
其中,T表示空气温度,h表示湿度,A和B是常数。
注意事项:
1. 换算公式中的温度单位应保持一致,通常使用摄氏度。
2. 这些公式是近似值,对于一些特定情况可能存在误差。
实际应用:
露点和湿度的换算在气象学中广泛应用,可以帮助预测天气变化和判断空气中的水汽含量。
在工程和农业领域,了解湿度对于控制室内环境、设备运行和作物生长等方面至关重要。
总结:
本文介绍了从露点到湿度的换算过程,包括了常用的换算公式和注意事项。
了解这些换算过程对于气象学、工程和农业等领域的专业人士具有重要意义。