露点与相对湿度对照表
- 格式:docx
- 大小:13.88 KB
- 文档页数:2
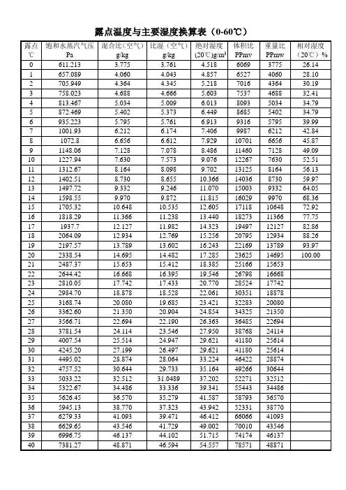
空气干湿温度结露温度对照表
空气的干湿程度和结露温度与空气的温度和相对湿度有关。
空气的绝对湿度和相对湿度对空气的干湿程度有决定性的影响,而露点温度则是在特定的相对湿度下,空气中水蒸气达到饱和状态时的温度。
以下是空气干湿温度结露温度对照表:
•当空气温度为30°C,相对湿度为95%时,露点温度为23°C。
•当空气温度为25°C,相对湿度为80%时,露点温度为19°C。
•当空气温度为20°C,相对湿度为60%时,露点温度为13°C。
•当空气温度为15°C,相对湿度为40%时,露点温度为6°C。
•当空气温度为10°C,相对湿度为25%时,露点温度为2°C。
以上数据仅供参考,如需更准确的信息,可查阅相关的气象资料或咨询气象部门。