人教版七年级上册数学计算题分类练习题
- 格式:doc
- 大小:314.14 KB
- 文档页数:18
人教版七年级数学上册期末复习专题:计算题(含答案)1.计算:25.7+(-7.3)+(-13.7)+7.3.2.计算:(-72)+37-(-22)+(-17)3.3.计算:√.25.4.计算:4+(-2)×2-(-36)÷4.5.计算:(-1+2.75)×(-24)+(-1)。
6.计算:(5.5-2.2)×(4.5+3.8)。
7.计算:(3.5+2.7)÷(1.2-0.8)。
8.计算:(√9+√16)×(√25-√36)。
9.化简:-4ab-9ab-2b2+8.10.化简:3a-2-3a+15.11.化简:4a2b-5ab2-3a2b+4ab2.12.化简:3ab-13ba-4.13.化简:-ab2-2a2b+2ab2-3a2b。
14.化简:3a2b-2ab2+6ab2-2a2b-5ab2.15.化简:(a-b)2.16.化简:2y+2y-4y。
17.解方程:5x-4=-9x+3.18.解方程:4-4x+12=18-2x。
19.解方程:3x-7x+7=3-2x-6.20.解方程:2x+3=5x-4.21.解方程:5x+2=3x+10.22.解方程:2(x-3)+5=3(x+2)-2.23.解方程:(x+2)(x-3)=0.24.解方程:2x-5=3x+2.25.计算:180°-87°19′42″。
26.计算:118°12′-(37°37′×2)。
27.计算:34°25′20″×3+35°42′。
28.计算:10°9′24″÷6.参考答案:1.原式=12.4.2.原式=-30.3.原式=-7.4.原式=-1.5.原式=-60.25.6.原式=29.43.7.原式=16.8.原式=-11.9.原式=-13ab-2b2.10.原式=13.11.原式=a2b-ab2.12.原式=16a2b-5.5ab2+4.13.原式=-ab2-5a2b。
1当2已知,当3当4当5当当6若代数式7已知当8当9 C. D.如图所示的运算程序中,若开始输入的10B.C. D.按如图所示的程序计算:若开始输入的11 B.C.D.已知,则代数式的值是().12 B.C.D.已知,则式子的值为().13不能确定已知代数式的值是,则代数式的值是().14当时,代数式值为,那么当时,代数式的值是 ().1516化简17当18已知19已知代数式20化简21若22已知23如果24已知代数式25若代数式26整式化简求值:先化简,再求值:27已知整式化简求值:先化简,再求值:28已知三个有理数29已知30先化简,再求值31已知代数式32按照如图的运算顺序,输入33如图是一个数值转换机.若输入的34当35若36已知37已知多项式时,多项式的值是38已知.3940设41用整体思想解题:为了简化问题,我们往往把一个式子看成一个数42已知当43已知当44已知45先化简再求值:46设若代数式47若48已知49先化简再求值50若51已知52先化简,再求值:53先化简,在求值:5456当57化简求值:58化简:59请回答下列各题:60已知62已知63先化简,再求值:64先化简,再求值:65先化简,再求值:66回答下面问题;67先化简,再求值:68先化简,再求值:69化简再求值:70阅读框图并回答下列问题:.71先化简,再求值:72先化简,再求值.求73对于74先化简,再求值:75若76已知77已知78已知79奕铭在化简多项式80先化简,再求值81先化简,再求值:82先化简,再求值:83若84已知:85先化简再求值:86先化简,再求值:87已知88已知89已知90先化简,再求值:91已知92先化简,再求值:93若单项式94求多项式95设96已知97已知98求99若100若代数式1 23 4 5 67 8 9 10 11 1213 14 15 16 17 18 1920 21 22 23 24 25 26 2728 29 30 31 32 33 34 3536 37 38 39 40 41 4243 44 45 46 47 48 4950 51 52 53 54 55 5657 58 59 60 61 62 63 6465 66 67 68 69 70 7173 74 75 76 77 78 7981 82 83 84 85 8687 88 89 90 91 9293 94 9596 9798 99 100。
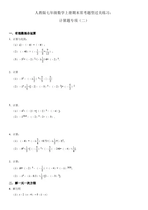
人教版七年级数学上册期末常考题型过关练习:计算题专项(二)一.有理数混合运算1.计算与化简:(1)12﹣(﹣6)+(﹣9);(2)(﹣48)×(﹣﹣+);(3)﹣32÷(﹣2)2×|﹣1|×6+(﹣2)3.2.计算(1)﹣32﹣(﹣1)3×﹣|﹣|(2)﹣14×[|﹣2|﹣(﹣3)3﹣(﹣2)2]÷(﹣)23.计算.(1)﹣42×(﹣2)+[(﹣2)3﹣(﹣4)];(2)﹣12018﹣(﹣2)3﹣2×(﹣3).4.计算:(1)(﹣6)÷(﹣1)×0.75×|﹣1|÷|﹣3|2;(2)﹣92××[(﹣)2×(﹣)﹣240÷(﹣4)×].5.计算:(1)16÷(﹣2)3﹣(﹣)×(﹣4)+(﹣1)2020;(2)﹣14﹣(1﹣0.5)××[2﹣(﹣3)2].二.解一元一次方程6.解方程(1)x﹣2(x﹣4)=3(1﹣x)(2)1﹣=7.解方程:(1);(2)8.解方程:(1)2x﹣1=3(x﹣1);(2)﹣=2.9.解方程:(1)﹣8x=3﹣x;(2)=2﹣.10.解方程(1)2(x﹣2)﹣3(4x﹣1)=5(1﹣x);(2)﹣1=x﹣.三.整式混合运算11.化简:(1)﹣12x2y3÷(﹣3xy2)•(﹣xy);(2)(2x+y)(2x﹣y)﹣(2x﹣y)2.12.计算:(1)(12x3y﹣4x2)÷(﹣2x)2;(2)(2x﹣1)2﹣(2x+3)(2x﹣3).13.化简:(1)(﹣a)3•a2+(2a4)2÷a3;(2)[(m+n)(2m﹣n)+n2]÷(﹣m).14.计算(1)(2x)3・(﹣5xy2)÷(﹣2x2y)2(2)(x+2y﹣3)(x﹣2y+3)15.计算:(1)(a+2)(a﹣3)﹣4(a﹣1)2;(2);四.一元一次方程应用16.某人乘船由A地顺流而下到达B地,然后又逆流而上到C地,共用了3小时.已知船在静水中速度为每小时8千米,水流速度是每小时2千米.已知A、B、C三地在一条直线上,若AC两地距离是2千米,则AB两地距离多少千米?(C在A、B之间)17.已知高铁的速度比动车的速度快50km/h,小路同学从苏州去北京游玩,本打算乘坐动车,需要6h才能到达;由于得知开通了高铁,决定乘坐高铁,她发现乘坐高铁比乘坐动车节约72min.求高铁的速度和苏州与北京之间的距离.18.如图,数轴上A、B、C三点表示的数分别为a、b、c,其中AC=2BC,a、b满足|a+6|+(b﹣12)2=0.(1)则a=,b=,c=.(2)动点P从A点出发,以每秒2个单位的速度沿数轴向右运动,到达B点后立即以每秒3个单位的速度沿数轴返回到A点,设动点P的运动时间为t秒.①P点从A点向B点运动过程中表示的数(用含t的代数式表示).②求t为何值时,点P到A、B、C三点的距离之和为18个单位?19.学校要购入两种记录本,预计花费460元,其中A种记录本每本3元,B种记录本每本2元,且购买A种记录本的数量比B种记录本的2倍还多20本.(1)求购买A和B两种记录本的数量;(2)某商店搞促销活动,A种记录本按8折销售,B种记录本按9折销售,则学校此次可以节省多少钱?20.有甲、乙、丙三个人在操场跑道上步行,甲平均每分钟走80米,乙平均每分钟走120米,丙每分钟走70米,已知操场跑道周长为400米,如果三个人同时同向从同一地点出发,问至少几分钟后三个人可以相聚?参考答案1.解:(1)12﹣(﹣6)+(﹣9)=12+6+(﹣9)=18+(﹣9)=9;(2)(﹣48)×(﹣﹣+)=(﹣48)×(﹣)+(﹣48)×(﹣)+(﹣48)×=24+30﹣28=26;(3)﹣32÷(﹣2)2×|﹣1|×6+(﹣2)3.=﹣9÷4××6+(﹣8)=﹣××6+(﹣8)=(﹣18)+(﹣8)=﹣26.2.解:(1)﹣32﹣(﹣1)3×﹣|﹣|=﹣9﹣(﹣)3×﹣=﹣9+﹣=﹣9+=﹣9+=﹣8;(2)﹣14×[|﹣2|﹣(﹣3)3﹣(﹣2)2]÷(﹣)2=﹣1+×[2﹣(﹣27)﹣4]÷=﹣1+×(2+27﹣4)×=﹣1+×25×=﹣1+=﹣.3.解:(1)原式=﹣16×(﹣2)+(﹣8+4)=32﹣4=28;(2)原式=﹣1﹣(﹣8)﹣(﹣6)=﹣1+8+6=﹣1+14=13.4.解:(1)原式=6××××=;(2)原式=﹣81××(﹣×+60×)=﹣27×(﹣+15)=45﹣405=﹣360.5.解:(1)16÷(﹣2)3﹣(﹣)×(﹣4)+(﹣1)2020=16÷(﹣8)﹣+1=﹣2﹣+1=﹣;(2)﹣14﹣(1﹣0.5)××[2﹣(﹣3)2]=﹣1﹣×(2﹣9)=﹣1﹣×(﹣7)=.6.解:(1)去括号得:x﹣2x+8=3﹣3x,移项合并得:2x=﹣5,解得:x=﹣2.5;(2)去分母得:4﹣3x+1=6+2x,移项合并得:﹣5x=1,解得:x=﹣0.2.7.解:(1)去分母得:3﹣(x﹣7)=12(x﹣10),去括号得:3﹣x+7=12x﹣120,移项合并得:13x=130,解得:x=10;(2)去分母得:4(2x﹣1)﹣2(10x+1)=3(2x+1)﹣12,去括号得:8x﹣4﹣20x﹣2=6x+3﹣12,移项合并得:﹣18x=﹣3,解得:x=.8.解:(1)∵2x﹣1=3(x﹣1),∴2x﹣1=3x﹣3,∴2x﹣3x=1﹣3,∴﹣x=﹣2,∴x=2.(2)∵﹣=2,∴2x+15﹣=2,∴3(2x+15)﹣(10x﹣1)=6,∴6x+45﹣10x+1=6,∴﹣4x+46=6,∴﹣4x=﹣40,∴x=10.9.解:(1)移项,得:x﹣8x=3﹣,合并同类项,得:﹣x=,系数化为1,得:x=﹣;(2)去分母,得:5(x﹣1)=20﹣2(x+2),去括号,得:5x﹣5=20﹣2x﹣4,移项,得:5x+2x=20﹣4+5,合并同类项,得:7x=21,系数化为1,得:x=3.10.解:(1)去括号得:2x﹣4﹣12x+3=5﹣5x,移项得:2x﹣12x+5x=5+4﹣3,合并得:﹣5x=6,解得:x=﹣1.2;(2)去分母得:3(2x+1)﹣12=12x﹣(10x+1),去括号得:6x+3﹣12=12x﹣10x﹣1,移项得:6x﹣12x+10x=﹣1﹣3+12,合并得:4x=8,解得:x=2.11.解:(1)原式=4xy•(﹣xy)=﹣x2y2;(2)原式=4x2﹣y2﹣4x2+4xy﹣y2=4xy﹣2y2.12.解:(1)原式=(12x3y﹣4x2)÷4x2=3xy﹣1;(2)原式=4x2﹣4x+1﹣4x2+9=﹣4x+10.13.解:(1)原式=﹣a5+4a5=3a5;(2)原式=(2m2﹣mn+2mn﹣n2+n2)÷(﹣m)=(2m2+mn)÷(﹣m)=﹣4m﹣2n.14.解:(1)原式=8x3•(﹣5xy2)÷4x4y2=﹣10;(2)原式=x2﹣(2y﹣3)2=x2﹣(4y2﹣12y+9)=x2﹣4y2+12y﹣9.15.解:(1)原式=a2﹣a﹣6﹣4(a2﹣2a+1)=a2﹣a﹣6﹣4a2+8a﹣4=﹣3a2+7a﹣10;(2)原式===8x+24.16.解:设AB两地距离为x千米,则CB两地距离为(x﹣2)千米.根据题意,得+=3解得x=.答:AB两地距离为千米.17.解:72min=h,设高铁的速度为xkm/h,则动车的速度为(x﹣50)km/h,依题意有6(x﹣50)=x,解得x=250,6(x﹣50)=6×(250﹣50)=1200.答:高铁的速度为250km/h,苏州与北京之间的距离为1200km.18.解:(1)∵|a+6|+(b﹣12)2=0,∴a+6=0,b﹣12=0,∴a=﹣6,b=12.∵AC=2BC,∴c﹣(﹣6)=2×(12﹣c),∴c=6.故答案为:﹣6;12;6.(2)①AB=12﹣(﹣6)=18,18÷2=9(秒),18÷3=6(秒),9+6=15(秒).当0≤t≤9时,点P表示的数为2t﹣6;当9<t≤15时,点P表示的数为12﹣3(t﹣9)=39﹣3t.故答案为:.②(方法一)当0≤t≤9时,PA=|2t﹣6﹣(﹣6)|=2t,PB=|2t﹣6﹣12|=18﹣2t,PC=|2t﹣6﹣6|=|2t﹣12|,∵PA+PB+PC=18,∴2t+18﹣2t+|2t﹣12|=18,解得:t=6;当9<t≤15时,PA=|39﹣3t﹣(﹣6)|=45﹣3t,PB=|39﹣3t﹣12|=3t﹣27,PC=|39﹣3t﹣6|=|33﹣3t|,∵PA+PB+PC=18,∴45﹣3t+3t﹣27+|33﹣3t|=18,解得:t=11.答:当t为6秒或11秒时,点P到A、B、C三点的距离之和为18个单位.(方法二)∵PA+PB=18,PA+PB+PC=18,∴PC=0,即点P与点C重合.[6﹣(﹣6)]÷2=6(秒),9+(12﹣6)÷3=11(秒).答:当t为6秒或11秒时,点P到A、B、C三点的距离之和为18个单位.19.解:(1)设购买B种记录本x本,则购买A种记录表(2x+20)本,依题意,得:3(2x+20)+2x=460,解得:x=50,∴2x+20=120.答:购买A种记录本120本,B种记录本50本.(2)460﹣3×120×0.8﹣2×50×0.9=82(元).答:学校此次可以节省82元钱.20.解:400÷(120﹣80)=400÷40=10(分),400÷(120﹣70)=400÷50=8(分),400÷(80﹣70)=400÷10=40(分),∵10,8,40的最小公倍数是40,∴至少40分钟后三个人可以相聚.。
训练一第一部分有理数计算(要求:认真、仔细、准确率高)1、 1.5 1.4 4.3 5.2 3.62、611323、0.51114、2.57.3 2.5( 2.4) 2.5( 1.7) 36245、3510.226、|5|1351251233 2311227、28、-9+5×(-6) -(-4)÷(-8) 4249、11、13、(81)22x1111 3 0.33210、46x21233x123x 1 12、15+(―1)―15―(―0.25) 23941111(32) 14、—48 ×() 4943661215、42352(2m+2)×4m 16、48 2 17、(2x+y)-(2x-y)18、(143222xy)·(-12xy)÷(-xy) 3319、[(3x+2y)(3x-2y)-(x+2y)(3x-2y)]÷3x20、先化简后求值:m(m-3)-(m+3)(m-3),其中m=-4.1、(14)(4)(2)(26)(3)2、(83)(26)(41)(15)3、( 1.8)(0.7)(0.9) 1.3(0.2)4、4、[(4)(7)](5)1132(3)(4)(6) 4343 5、 4.2 5.78.410.2 6、8+(―1)―5―(―0.25) 7、3011(10)(12)18 8、311111(2)()() 243469、13[26(21)(18)]110、 2131()144211、(4)(7)(25)34531514、()(8)12、()8()13、153414(8) 43152238()(4)()(8)、20416、9(11)12(8) 18、6(0.25)11 2420、502( 15) 22、325022(110) 1 24、35022(15) 126、528525(2)(14) 28、8( 14)5(0.25)30、(1)(1213) 332、(81) 214 49(16) 34、349 49(244)36、3121213223 38、(3459712)÷13640、(7)(5)90÷(15)42、1131244、(-81)÷21+49÷(-16) 46、(-0.4)÷0.02×(-5)595 17、( 3)(1)(21424)19、(23)13( 12) 21、178(2)4(3) 23、12213(0.53)19 25、[1(10.5122)][2(3)]27、4(3)25(3) 629、(1634 112)(48)31、2112 4(919)33、12[34(145 12)] 35、(18 512)24(33)2(63)237、(-12)÷4×(-6)÷239、10(2)(5)241、71×13÷(-9+19)43 、25×34―(―25)×12+25×(-14)45、-4÷3-(-3)×(-30)47、74÷78 23(6)248、213548 3482422 49、|7211|÷()(4)2 9353224350、―2+1×(-2)51、-2 -〔-3 + (-2) ÷2 〕552、(4)20.25(5)(4)3 53、()3()2(1)(2)(1)2004 1118221654、1002222(2)3323355、1217(12)6()3456、71(1111311999284)(24) 57、34214(4)(14131613)58、42(—2)+(—3)(—0.25)59、1551134 127(7)22( 52)760、113[5+(10.23)(2] 11135)61、24(4)÷4(8)62、52(2)3(10.83)11114163、7(1131)(2192844)64、34214(4)(1491316913) 65、21 32113222(5533)66、52(2)3(10.834)1167、(—513)÷(—16)÷(—2)68、–4 + 2 ×(-3) –6÷0.25 69、(—5)÷[1.85—(2—134)×7]70、18÷{1-[0.4+ (1-0.4)]×0.4 71、1÷( 1116-3)×672、–3-[4-(4-3.5×13)]×[-2+(-3) ]73、-42+5×(-4)2-(-1)51×(-1116)+(-22)÷(-24)74、32003532002632001 75、 5.5+ 3.2 2.5-4.88233176、12+321277、(4)878、1002222114379、(-2)14×(-3)15×(-6)380、-1122131213×3-1×4-3×(-1) 1315151315第二部分整式的加减计算训练1、3x23x2y25y x25y y22、4a2b5ab23a2b4ab23、2(2ab+3a)-3(2a-ab)4、a-[-4ab+(ab-a)]-2ab5、3a-[5a-(2342221a-3)+2a2]+4 23246、(2x-3x-4x-1)+(1+5x-3x +4x);4213a-(a-)]-a;8、(7m2n-5mn)-(4m2n-5mn). 33321111229、3a[5a(a3)2a] 4 10、x(x)1(x)(1) 26327、3[22227x(4x3)2x11、[(x)y] 12、3x;13、5(a2b3ab2)2(a2b7ab2).第三部分整式化简与求值训练221、(x3x)2(4x x),其中x 2222222222、(2x2y)3(xy x)3(xy y),其中x1,y 23、已知A2x1,B32x,求B2A的值。
初一数学上册计算题(400道题)(1)()22--= (2)3112⎛⎫⎪⎝⎭-=(3)()91- = (4)()42-- =(5)()20031-= (6)()2332-+-=(7)()33131-⨯--= (8)()2233-÷- =(9))2()3(32-⨯-= (10)22)21(3-÷-=(11)()()3322222+-+-- (12)235(4)0.25(5)(4)8⎛⎫-⨯--⨯-⨯- ⎪⎝⎭(13)()34255414-÷-⎪⎭⎫ ⎝⎛-÷ (14)()⎪⎭⎫ ⎝⎛-÷----721322246(15)()()()33220132-⨯+-÷--- (16) []24)3(2611--⨯-- (17)])3(2[)]215.01(1[2--⨯⨯-- (18) (19)()()()33220132-⨯+-÷--- (20)22)2(3---;(21)]2)33()4[()10(222⨯+--+-; (22)])2(2[31)5.01()1(24--⨯⨯---;(23)94)211(42415.0322⨯-----+-; (24)20022003)2()2(-+-;(25))2()3(]2)4[(3)2(223-÷--+-⨯--; (26)200420094)25.0(⨯-. (27)()0252423132.⨯--÷-⎛⎝ ⎫⎭⎪+⎡⎣⎢⎢⎤⎦⎥⎥ (28)()()----⨯-221410222(29)()()()-⨯÷-+-⎛⎝ ⎫⎭⎪⨯-÷-3120313312232325.. (30)()()()-⎛⎝ ⎫⎭⎪⨯-⨯-⨯-212052832.(31) (32)(56)(79)---(33)(3)(9)(8)(5)-⨯---⨯- (34)3515()26÷-+(35)5231591736342--+- (36)()()22431)4(2-+-⨯---(37)411)8()54()4()125.0(25⨯-⨯-⨯-⨯-⨯(38)如果0)2(12=-++b a ,求20112010()-3ab a b a a ++-()的值332222()(3)(3)33÷--+-(39)已知|1|a +与|4|b -互为相反数,求b a 的值。
七年级数学有理数计算题练习题(200题)有理数加法 1、(-9)+(-13) 2、(-12)+27 3、(-28)+(-34)4、67+(-92)5、 (-27.8)+43.96、(-23)+7+(-152)+65原则一:所有正数求和,所有负数求和,最后计算两个数的差,取绝对值较大的数的符号。
7、|52+(-31)| = 8、(-52)+|―31| =9、 38+(-22)+(+62)+(-78)=10、(-8)+(-10)+2+(-1) 11、(-32)+0+(+41)+(-61)+(-21)12、(-8)+47+18+(-27) 13、(-5)+21+(-95)+29 14、(-8.25)+8.25+(-0.25)+(-5.75)+(-7.5) 15、 6+(-7)+(-9)+216、 72+65+(-105)+(-28) 17、(-23)+|-63|+|-37|+(-77)18、19+(-195)+47 18、(+18)+(-32)+(-16)+(+26)20、(-0.8)+(-1.2)+(-0.6)+(-2.4) 21、(-8)+(-321)+2+(-21)+1222、 553+(-532)+452+(-31) 23、(-6.37)+(-343)+6.37+2.75原则二:凑整,0.25+0.75=141+43=1 0.25+43=1 抵消:和为零有理数减法7-9 = ―7―9 = 0-(-9) = (-25)-(-13) =8.2―(―6.3) (-321)-541(-12.5)-(-7.5)= = =(-26)―(-12)―12―18 ―1―(-21)―(+23) (-41)―(-85)―81=-44 =-2 =41(-20)-(+5)-(-5)-(-12) (-23)―(-59)―(-3.5) |-32|―(-12)―72―(-5) =-8 =39.5 =-23(+103)―(-74)―(-52)―710 (-516)―3―(-3.2)―7 (+71)―(-72)―73=―7011 =-10 =0(-0.5)-(-31)+6.75-51(+6.1)―(-4.3)―(-2.1)―5.1=4 =7.4(-32)―(-143)―(-132)―(+1.75) (-332)―(-243)―(-132)―(-1.75)=1 =2.5-843-597+461-392 -443+61+(-32)―25 =-13127 =-7430.5+(-41)-(-2.75)+21(+4.3)-(-4)+(-2.3)-(+4)=3.5 =2原则三:结果的形式要与题目中数的形式保持一致。
初一数学上册计算题(400道题)(1)()22--= (2)3112⎛⎫⎪⎝⎭-=(3)()91- = (4)()42-- = (5)()20031-=(6)()2332-+-=(7)()33131-⨯--= (8)()2233-÷- = (9))2()3(32-⨯-= (10)22)21(3-÷-=(11)()()3322222+-+--(12)235(4)0.25(5)(4)8⎛⎫-⨯--⨯-⨯- ⎪⎝⎭(13)()34255414-÷-⎪⎭⎫ ⎝⎛-÷ (14)()⎪⎭⎫ ⎝⎛-÷----721322246(15)()()()33220132-⨯+-÷---(16)[]24)3(2611--⨯--(17)])3(2[)]215.01(1[2--⨯⨯--(18)(19)()()()33220132-⨯+-÷--- (20)22)2(3---; (21)]2)33()4[()10(222⨯+--+-;(22)])2(2[31)5.01()1(24--⨯⨯---;(23)94)211(42415.0322⨯-----+-; (24)20022003)2()2(-+-;332222()(3)(3)33÷--+-(25))2()3(]2)4[(3)2(223-÷--+-⨯--;(26)200420094)25.0(⨯-.(27)()0252423132.⨯--÷-⎛⎝ ⎫⎭⎪+⎡⎣⎢⎢⎤⎦⎥⎥(28)()()----⨯-221410222(29)()()()-⨯÷-+-⎛⎝ ⎫⎭⎪⨯-÷-3120313312232325.. (30)()()()-⎛⎝ ⎫⎭⎪⨯-⨯-⨯-212052832. (31)(32)(56)(79)---(33)(3)(9)(8)(5)-⨯---⨯- (34)3515()26÷-+(35)5231591736342--+- (36)()()22431)4(2-+-⨯---(37)411)8()54()4()125.0(25⨯-⨯-⨯-⨯-⨯(38)如果0)2(12=-++b a ,求20112010()-3ab a b a a ++-()的值 (39)已知|1|a +与|4|b -互为相反数,求b a 的值。
七年级数学上册计算题(428道题)(1)()22--= (2)3112⎛⎫⎪⎝⎭-=(3)()91- = (4)()42-- =(5)()20031-= (6)()2332-+-=(7)()33131-⨯--= (8)()2233-÷- =(9))2()3(32-⨯-= (10)22)21(3-÷-=(11)()()3322222+-+-- (12)235(4)0.25(5)(4)8⎛⎫-⨯--⨯-⨯- ⎪⎝⎭(13)()34255414-÷-⎪⎭⎫ ⎝⎛-÷ (14)()⎪⎭⎫ ⎝⎛-÷----721322246(15)()()()33220132-⨯+-÷--- (16) []24)3(2611--⨯--(17)])3(2[)]215.01(1[2--⨯⨯-- (18)(19)()()()33220132-⨯+-÷--- (20)22)2(3---;(21)]2)33()4[()10(222⨯+--+-; (22)])2(2[31)5.01()1(24--⨯⨯---;332222()(3)(3)33÷--+-(23)94)211(42415.0322⨯-----+-; (24)20022003)2()2(-+-;(25))2()3(]2)4[(3)2(223-÷--+-⨯--; (26)200420094)25.0(⨯-.(27)()0252423132.⨯--÷-⎛⎝ ⎫⎭⎪+⎡⎣⎢⎢⎤⎦⎥⎥ (28)()()----⨯-221410222(29)()()()-⨯÷-+-⎛⎝ ⎫⎭⎪⨯-÷-3120313312232325.. (30)()()()-⎛⎝ ⎫⎭⎪⨯-⨯-⨯-212052832.(31) (32)(56)(79)---(33)(3)(9)(8)(5)-⨯---⨯- (34)3515()26÷-+(35)5231591736342--+- (36)()()22431)4(2-+-⨯---(37)411)8()54()4()125.0(25⨯-⨯-⨯-⨯-⨯33182(4)8-÷--(38)如果0)2(12=-++b a ,求20112010()-3ab a b a a ++-()的值(39)已知|1|a +与|4|b -互为相反数,求b a 的值。
人教版七年级上册数学整式的加减 计算题专项训练一.化简(1)(5a-3b )-3(a 2-2b ) (2)8a+2b+(5a-b )(3)()()()y x y x y x 3242332+--+-- (4)()[]1253---a a a(5)()()43537422+-----x x x x(6))(2)(2b a b a a +-++(7)3a -[-2b +(4a -3b)] (8))32(2[)3(1yz x x xy +-+--(9)4xy ﹣3x 2﹣3xy+2x 2 (10)﹣3(2x 2﹣xy )﹣(x 2+xy ﹣6)(11)3(2x 2﹣y 2)﹣2(3y 2﹣2x 2) (12)2(x 2y+xy 2)﹣(2x 2y+xy 2)二.化简求值(1)先化简,再求值:2(a 2b+3ab )-(2ab-a 2b ),其中a=-2,b=1.(2)求()()xy y x y x 745352222+++-的值,其中.2,1=-=y x(3)先化简,再求值:已知A=4x2y-5xy2,B=3x2y-4xy2,当x=-2,y=1时,求2A-B的值.(5)已知:A=2x2+3xy-5x+1,B=-x2+xy+2.1、求A+2B.2、若A+2B的值与x的值无关,求y的值.(6)求5(3a2b﹣ab2)﹣(ab2+3a2b)的值,其中a=,b=.(7)求(﹣x2+5x+4)+(5x﹣4+2x2)的值,其中x=﹣2.(8)一个整式A与x2﹣x﹣1的和是﹣3x2﹣6x+21、求整式A;2、当x=2时,求整式A的值.(9)若代数式 2x+3y 的值为﹣5,求代数式 4x+6y+3 的值(10). 已知M=3a2﹣2ab+1,N=2a2+ab﹣2,求M﹣N的值。
(11). 已知 A=3x2﹣5x+1,B=﹣2x+3x2﹣5,求当x=时,A﹣B 的值.(12)大刚计算“一个整式A减去2ab﹣3bc+4ac”时,误把“减去”算成“加上”,得到的结果是2bc+ac﹣2ab.请你帮他求出正确答案.(13). 先化简再求值:﹣2(3a2﹣ab+2)﹣(5ab﹣6a2)+4,其中a=2,b=﹣1.(14). 已知A=2x2﹣3x﹣1,B=3x2+mx+2,且3A﹣2B的值与x无关,求m的值.(15).先化简,再求值:﹣(3a2﹣4ab)+[a2﹣2(2a+2ab)],其中a=﹣2,b=2017.(16).如果关于x的多项式5x2﹣(2y n+1﹣mx2)﹣3(x2+1)的值与x的取值无关,且该多项式的次数是三次.求m,n的值.(17).某同学做一道数学题,“已知两个多项式A、B,B=2x2+3x﹣4,试求A﹣2B”.这位同学把“A﹣2B”误看成“A+2B”,结果求出的答案为5x2+8x﹣10.请你替这位同学求出“A ﹣2B”的正确答案.。
初一數學上冊計算題(400道題)(1)()22--= (2)3112⎛⎫⎪⎝⎭-=(3)()91- = (4)()42-- =(5)()20031-= (6)()2332-+-=(7)()33131-⨯--= (8)()2233-÷- =(9))2()3(32-⨯-= (10)22)21(3-÷-=(11)()()3322222+-+-- (12)235(4)0.25(5)(4)8⎛⎫-⨯--⨯-⨯- ⎪⎝⎭(13)()34255414-÷-⎪⎭⎫ ⎝⎛-÷ (14)()⎪⎭⎫ ⎝⎛-÷----721322246(15)()()()33220132-⨯+-÷--- (16) []24)3(2611--⨯--(17)])3(2[)]215.01(1[2--⨯⨯-- (18) (19)()()()33220132-⨯+-÷--- (20)22)2(3---;(21)]2)33()4[()10(222⨯+--+-; (22)])2(2[31)5.01()1(24--⨯⨯---; 332222()(3)(3)33÷--+-(23)94)211(42415.0322⨯-----+-; (24)20022003)2()2(-+-;(25))2()3(]2)4[(3)2(223-÷--+-⨯--; (26)200420094)25.0(⨯-.(27)()0252423132.⨯--÷-⎛⎝ ⎫⎭⎪+⎡⎣⎢⎢⎤⎦⎥⎥ (28)()()----⨯-221410222(29)()()()-⨯÷-+-⎛⎝ ⎫⎭⎪⨯-÷-3120313312232325.. (30)()()()-⎛⎝ ⎫⎭⎪⨯-⨯-⨯-212052832.(31) (32)(56)(79)---(33)(3)(9)(8)(5)-⨯---⨯- (34)3515()26÷-+(35)5231591736342--+- (36)(37)411)8()54()4()125.0(25⨯-⨯-⨯-⨯-⨯ ()()22431)4(2-+-⨯---33182(4)8-÷--(38)如果0)2(12=-++b a ,求20112010()-3ab a b a a ++-()の值(39)已知|1|a +與|4|b -互為相反數,求b a の值。
七年级上册人教版数学计算题一、有理数的混合运算类1. 计算:公式题目解析:本题考查有理数的加减法运算。
减去一个数等于加上这个数的相反数。
解题步骤:公式。
然后,公式(因为负负得正)。
公式。
2. 计算:公式题目解析:本题考查有理数的乘除法和加法运算。
按照先乘除后加减的顺序进行计算。
解题步骤:先计算乘法:公式。
再计算除法:公式。
最后计算加法:公式。
二、整式的加减类1. 化简:公式题目解析:本题考查整式的加减法。
同类项才能合并,同类项是指所含字母相同,并且相同字母的指数也相同的项。
解题步骤:合并同类项中的公式项:公式。
然后,合并同类项中的公式项:公式。
所以,化简结果为公式。
2. 先化简,再求值:公式,其中公式题目解析:本题先需要对整式进行化简,然后将给定的值代入化简后的式子求值。
解题步骤:先去括号:原式公式。
再合并同类项:公式。
当公式时,代入得:原式公式。
三、一元一次方程类1. 解方程:公式题目解析:本题考查一元一次方程的解法。
通过移项、合并同类项来求解方程。
解题步骤:移项,将含公式的项移到等号左边,常数项移到等号右边,得到公式。
然后,合并同类项得公式。
2. 解方程:公式题目解析:本题需要先去分母,再去括号,然后移项、合并同类项求解方程。
解题步骤:去分母,给方程两边同时乘以6,得到公式。
去括号得公式。
移项得公式。
合并同类项得公式,解得公式。
人教版七年级数学上册《整式的加减》计算题训练附答案解析第二章整式的加减第一节整式的加减法(高效训练1--20)1、计算下列各式2、化简:1、计算下列各式2、化简:3、先化简再求值:其中,4、先化简,再求值.,其中与互为相反数1、合并同类项2、化简:先化简,后求值:,其中.3、有这样一道题:计算的值,其中。
某同学把抄成了,但计算结果也是正确的,试说明理由,并求出这个结1、计算下列各式2、计算下列各式3、已知a是绝对值等于4的负数,b是最小的正整数,c的倒数的相反数是,求a,b,c的值;求:、1、计算下列各式计算:计算:化简:化简并求值:;其中,;2、计算下列各式3、先化简,再求值.已知,求的值.1、计算下列各式2、计算下列各式3、已知:,求的值;若的值与x无关,求y的值.1、计算下列各式若,,求:当时,的值.已知,,求代数式的值.2、在关于x,y的多项式中,无论x,y取任何数,多项式的值都不变,求a,b的值.3、已知,求的值1、计算下列各式(2)2、合并下列多项式中的同类项.3、先化简,再求值:,其中,1、计算下列各式2、化简:3、化简求值:已知,求代数式的值1、计算下列各式2、已知代数式,马小虎同学在做整式加减运算时,误将“”看成“”了,计算的结果是.请你帮马小虎同学求出正确的结果;是最大的负整数,将x代入问的结果求值3、已知,,且,求C1、计算下列各式2、计算下列各式化简:先化简,再求值:,其中,3、已知:已知,.求B;当时,求的1、计算下列各式2、化简下列各式:.3、老师在黑板上书写了一个正确的演算过程,随后用手掌捂住了如图所示的一个二次三项式,形式如图:求所捂的二次三项式;若,求所捂二次三项式的值1、计算下列各式2、化简下列各式先化简,再求值.,其中,.已知,,求代数式的值3、已知,.求;若,求的值;试将用A与B的式子表示出来.1、计算下列各式2、求值:,其中,3、先化简,再求值:,其中.,其中,.1、计算下列各式2、已知,,按要求完成下列各小题.若的结果中不存在含x的一次项,求a的值;当时,求的结果.3、已知,求的值.1、先化简,再求值:,其中.,其中,2、先化简,再求值:,其中,.有一道题是一个多项式减去“”,小强误当成了加法计算,得到的结果是“”,请求出正确的计算结果.3、已知,.若化简是常数的结果中没有常数项,求m的值;当时,求的值.1、计算下列各式,其中.,其中,.2、若代数式中不含xy项,求:的值.3、已知多项式与多项式A的和为,且式子的计算结果中不含关于x的一次项,求多项式A.求m的值1、计算下列各式2、已知,.求;若,求的值.3、化简或求值化简:;化简求值:,其中,.1、计算下列各式2、已知,求的值3、如果代数式的值与字母x取值无关,试求代数式的值.4、若,求的值高效训练20 第周星期1、计算下列各式先化简,再求值:,其中,.已知整式,整式M与整式N之差是,求出整式N.2、有这样一道题:计算的值,其中,甲同学把“”错抄成了“”但他计算的结果也是正确的,请你通过计算说明原因.3、已知:,求的值;当x的取任意数值,的值是一个定值时,求的值4、如果关于x的多项式的值与x的取值无关,且该多项式的次数是三次.求m,n的值.参考答案与解析高效训练11.原式原式原式原式原式原式2.解:原式;原式.高效训练21.原式;原式.2.原式原式3.解:4.解:原式,,,原式高效训练31.原式.原式原式原式2.原式;原式;原式,原式.3..当时,原式.因为化简的结果中不含x,所以原式的值与x值无关.高效训练41.(1).(2).(3).2.(1);(2).3.由题意可知:,,当,,时,原式高效训练51.原式;原式;原式;原式.原式.2.原式原式.3.=10高效训练61.解:原式;原式;原式原式2.原式;原式3.原式;原式要使原式的值与x无关,则,解得:.高效训练71.原式;原式;,,,当时,原式;,,原式.2.解:,无论x,y取任何数,多项式的值都不变,,,解得:,3.解:,,原式高效训练81.(1);(2);;(4).2.原式;原式;原式;原式.3.原式原式高效训练91.原式;原式;原式;原式;原式;原式.2.原式;原式;原式;原式.3.原式原式高效训练101.原式;原式;原式;原式;原式;原式.2.根据题意知,则;是最大的负整数,,则原式.3.,,,高效训练111.原式;原式;原式;原式.2.原式;原式,原式.3.(1)B;(2),原式.高效训练121.原式原式原式.2.(1)原式(2)原式(3)原式.3.根据题意得:;当时,原式.高效训练131.原式;原式;原式;原式2.原式,当,时,原式;原式,当,时,原式.3.(1)(2)原式;.高效训练141.(1).(2)(3).(4).2.原式,当,时,原式3.(1),当时,原式.(2),当,时,原式.高效训练151.原式;原式;原式;原式.2.,,,由结果中不含x的一次项,得到,解得:;,,,3.原式,当,时,原式.高效训练161.原式,原式;原式,当,时,原式.2.原式,当,时,原式;原式则正确的计算结果.3.(1),由结果不含常数项,得到,解得:;(2)原式,当时,原式.高效训练171.原式当时,原式.原式当,时,原式.2.原式,由结果不含xy项,得到,解得:,则原式.3.根据题意得:;,结果不含关于x的一次项,,即高效训练181.原式;原式;原式;原式.2.(2)解得,,.3.(1);(2);(3).高效训练191.原式;原式2.原式当时,原式3.,根据题意知且,解得:、,4.,,,,当,时,原式.高效训练201.(1),当,时,原式;整式.2.原式,此题的结果与x的取值无关.3...当x的取任意数值,的值是一个定值,即的值是一个定值,.4.由题意得,,,解得,,.。
七年级上学期计算题专题训练人教版七年级上学期总共四章的内容,其中三章都涉及到计算。
分别是第一章有理数的运算,第二章整式的加减,第三章一元一次方程。
第一章有理数的运算时,我们需要注意:有理数的运算顺序:①先乘方,在乘除,最后加减②同级运算,从左往右依次进行③有括号的,先从小括号去起,再去中括号,最后去大括号特别要注意的是:1:(−2)2与−22的区别:前者表示的是2个-2相乘,(−2)2=(−2)×(−2)×=4后者表示2个2相乘的积的相反数,−22=−2×2=−4,做题时一定要注意区别两者之间的相同点和不同点。
2:1的任何次幂都是1-1的奇次幂为-1,-1的偶次幂为1例如:12019=1,,12020=1(−1)2019=−1,(−1)2020=1第二章整式的加减运算时,我们需要注意:1、按照去括号法则,先去括号,再合并同类项。
2、去括号法则:括号前面是正号时,去掉括号后,括号里的每一项都不变;括号前面是负号时,去掉括号后,括号里的每一项都要变。
3、合并同类项:合并同类项时,字母连同它的指数都不变,只把系数相加减。
第三章:解一元一次方程,我们需要注意:①去分母:1:找到最小公倍数2:每一项都要乘以最小公倍数3:分子是多项式的话,去掉分母后,要加括号。
②去括号:牢记去括号法则③移项:从等式的一边移到等式的另一边要变号(进攻变号,防守不变)④合并同类项⑤系数化为1:注意符号的问题,两数相除,同号为正,异号为负第一章:有理数的运算1、(−1)100×5+(−2)4÷42、(−3)3−3×(−13)43、76×(16−13)×314÷354、(−10)3+[(−4)2−(1−32)×2]5、−23÷49×(−23)26、4+(−2)3×5−(−0.28)÷47、(−2)2×5−(−2)3÷4 8、−(3−5)+32×(1−3)9、32×(−12)3−0.52×(−2)310、36-27×(73−119+227)11、−1101−[−3×(2÷3)2−43÷22] 12、−(14)2×(−4)2÷(−18)13、−23+[(−4)2−(1−32)×3] 14、17−23÷(−2)×3第二章:整式的加减1、8a+2b+(5a-b)2、(5a-3b)-(a2−2b)3、-5a+(3a-2)-(3a-7)4、(2x-3y)+(5x+4y)5、(8a-7b)-(4a-5b)6、3x-x+5x-2x7、m-4n+3m-2n 8、(-x+2x2+5)+(4x2−3−6x)9、(3a2−ab+7)−(−4a2+2ab+7)10、(5a+4c+7b)−(5c-3b-6a)11、(8xy-x2+y2)-(x2−y2+8xy)12、3x2−[7x−(4x−3)−2x2] 13、(4a3b−10b3)+(−3a2b2+10b3))14、(4x2y−5xy2−(3x2y−4xy2))15、5a2−[a2+(5a2−2a)−2(a2−3a)]16、15+3(1-a)-(1-a-a2)+(1-a+a2−a3)17、(4a2b−3ab)+(−5a2b+2ab) 18、(6m2−4m−3)+(2m2−4m+1)x−3)+2x2] 19、(5a2+2a−1)−4(3−8a+2a3)20、3x2−[5x−(1221、3(x2−2x−1)−4(3x−2)+2(x−1),其中x=-322、3x2y2−[5xy−(4xy2−3)+2x2y2],其中x=-3,y=2第三章:解一元一次方程1、x+3x=-162、2(x+3)=5x3、4x+3(2x-3)=12-(x+4)4、2-3(x+1)=1-2(1+0.5x)5、2(x+8)=3(x-1)6、6(12x−4)+2x=7−(13x−1)7、8x=-2(x+4) 8、2(10-0.5y)=-(1.5y+2) 9、2x+3x+4x=18 10、13x+3=15-x11、3x+5=4x+1 12、3x+22−1=2x−14−2x+1513、x+12−1=2+2−x414、3x+x−12=3−2x−1315、19100x=21100(x−2) 16、x+12−2=x4。
初一上册数学计算题分类练习题一.解答题(共30小题)1.计算题(1)5.6+4.4+(﹣8.1)(2)(﹣7)+(﹣4)+(+9)+(﹣5)(3)+(﹣)+(4)5(5)(﹣9)+15(6)(﹣18)+(+53)+(﹣53.6)+(+18)+(﹣100)2.解答下列各题:(1)(﹣3.6)+(+2.5)(2)﹣(﹣3)﹣2(3)(﹣49)﹣(+91)﹣(﹣5)+(﹣9)(4)﹣5﹣(﹣11)﹣(﹣)(5)3﹣(﹣)+(﹣)(6)﹣|﹣1|﹣()﹣(﹣2.75)(7)(﹣7)﹣(﹣11)+(﹣9)﹣(+2)(8)(﹣4)﹣(+5)﹣(﹣4)3.(1)+(﹣)++(﹣)+(﹣);(2)(﹣0.5)+3+2.75+(﹣5)(3)7+(﹣6.9)+(﹣3.1)+(﹣8.7)(4).4.计算:(1)(﹣85)×(﹣25)×(﹣4);(2)﹣;(3);(4).5.计算(1)(﹣3)×(﹣9)﹣8×(﹣5)(2)﹣63÷7+45÷(﹣9)(3)(﹣)×1÷(﹣1)(4)(1﹣+)×(﹣48).(1)27﹣18+(﹣7)﹣32;(2);(3);(4).7.(1)(﹣4)﹣(﹣3)﹣(﹣6)+(﹣2)(2)7×1÷(﹣9+19)(3)(﹣+﹣+)×(﹣24)(4)﹣13﹣(1﹣0.5)×[2﹣(﹣3)2](5)﹣22×|﹣3|+(﹣6)2×(﹣)﹣|+|÷(﹣)3.(6)[2﹣(+﹣)×24]÷5×(﹣1)2003.(1)24+(﹣22)﹣(+10)+(﹣13)(2)(﹣1.5)+4+2.75+(﹣5)(3)(﹣8)+(﹣7.5)+(﹣21)+(+3)(4)(﹣24)×(﹣++)9.计算(1)(﹣)÷×(﹣)÷(﹣)(2)﹣3﹣[﹣5+(1﹣0.2×)÷(﹣2)](3)(4﹣3)×(﹣2)﹣2÷(﹣)(4)[50﹣(﹣+)×(﹣6)2]÷(﹣7)2.10.计算:(1);(2)﹣24+3﹣16﹣5;(3);(4);(5);(6);(7);(8);(9);(10);(11);(12)(﹣47.65)×2+(﹣37.15)×(﹣2)+10.5×(﹣7).11.先化简,再求值:(1),其中x=﹣3.(2),其中a=2,b=1.12.先化简,再求值:(1)(5x+y)﹣(3x+4y),其中x=,y=;(2)(a﹣b)2+9(a﹣b)+15(a﹣b)2﹣(a﹣b),其中a﹣b=.13.已知|x+1|+(y﹣2)2=0,求(2x2y﹣2xy2)﹣[(3x2y2+3x2y)+(3x2y2﹣3xy2)]的值.14.去括号,合并同类项(1)﹣3(2s﹣5)+6s;(2)3x﹣[5x﹣(x﹣4)];(3)6a2﹣4ab﹣4(2a2+ab);(4)﹣3(2x2﹣xy)+4(x2+xy﹣6)15.化简:(1)3a+(﹣8a+2)﹣(3﹣4a)(2)2(xy2+3y3﹣x2y)﹣(﹣2x2y+y3+xy2)﹣4y3(3)先化简,再求值,其中16.化简:(1)﹣9y+6x2+3(y﹣x2);(2)5(a2b﹣3ab2)﹣2(a2b﹣7ab2);(3)3x2﹣[7x﹣(4x﹣3)﹣2x2];(4)5a2﹣[a2+(5a2﹣2a)﹣2(a2﹣3a)].17.先去括号,后合并同类项:(1)x+[﹣x﹣2(x﹣2y)];(2);(3)2a﹣(5a﹣3b)+3(2a﹣b);(4)﹣3{﹣3[﹣3(2x+x2)﹣3(x﹣x2)﹣3]}.18.计算:(1)﹣0.52+﹣|﹣22﹣4|﹣(﹣1)3×(2)2x2﹣{﹣3x+[4x2﹣(3x2﹣x)]}.19.先化简,再求值.(1)已知(a+2)2+|b﹣|=0,求a2b﹣[2a2﹣2(ab2﹣2a2b)﹣4]﹣2ab2的值.(2)已知a﹣b=2,求多项式(a﹣b)2﹣9(a﹣b)﹣(a﹣b)2﹣5(b﹣a).(3)已知:a+b=﹣2,a﹣b=﹣3,求代数式:2(4a﹣3b﹣2ab)﹣3(2a﹣)的值.20.化简求值(1)先化简,再求值:﹣﹣[3(abc)﹣4a2c]﹣3abc,其中a=﹣1,b=﹣3,c=1.(2)已知A=2a2﹣a,B=﹣5a+1.①化简:3A﹣2B+2;②当a=﹣,求3A﹣2B+2的值.21.解方程:(1)5x+3(2﹣x)=8(2)=1﹣(3)+=(4)[x﹣(x﹣1)]=(x﹣1)22.解一元一次方程:(1)﹣2x=5x;(2)x++3x﹣=1;(3)x﹣﹣1=2﹣+2;(4)+1=﹣x++5.23.解方程:(1);(2).24.解方程:(1)2(x﹣2)﹣3(4x﹣1)=9(1﹣x)(2)(x+15)=﹣(x﹣7)(3)﹣=0.25﹣x(4)=+.25.解下列方程(1)3x+3=2x+7(2)4x+3=2(x﹣1)+1(3)﹣=1(4)(x+15)=﹣(x﹣7)26.解下列方程.(1)5(x+8)=6(2x﹣7)+5(2)(3)(4).27.依据下列解方程的过程,请在前面的括号内填写变形步骤,在后面的括号内填写变形依据.解:原方程可变形为()去分母,得3(3x+5)=2(2x﹣1).()去括号,得9x+15=4x﹣2.()(),得9x﹣4x=﹣15﹣2.()合并,得5x=﹣17.()(),得x=.()28.解一元一次方程.(1)(2)﹣=3(3).29.(1)设,,当x为何值时,y1与y2相等?(2)当x等于什么数时,的值与1互为相反数.30.已知|a﹣3|+(b+1)2=0,代数式的值比的值多1,求m的值.1.计算题(1)5.6+4.4+(﹣8.1)(2)(﹣7)+(﹣4)+(+9)+(﹣5)(3)+(﹣)+(4)5(5)(﹣9)+15(6)(﹣18)+(+53)+(﹣53.6)+(+18)+(﹣100)2.解答下列各题:(1)(﹣3.6)+(+2.5)(2)﹣(﹣3)﹣2(3)(﹣49)﹣(+91)﹣(﹣5)+(﹣9)(4)﹣5﹣(﹣11)﹣(﹣)(5)3﹣(﹣)+(﹣)(6)﹣|﹣1|﹣()﹣(﹣2.75)(7)(﹣7)﹣(﹣11)+(﹣9)﹣(+2)(8)(﹣4)﹣(+5)﹣(﹣4)3.(1)+(﹣)++(﹣)+(﹣);(2)(﹣0.5)+3+2.75+(﹣5)(3)7+(﹣6.9)+(﹣3.1)+(﹣8.7)(4).4.计算:(1)(﹣85)×(﹣25)×(﹣4);(2)﹣;(3);(4).5.计算(1)(﹣3)×(﹣9)﹣8×(﹣5)(2)﹣63÷7+45÷(﹣9)(3)(﹣)×1÷(﹣1)(4)(1﹣+)×(﹣48).6.计算(1)27﹣18+(﹣7)﹣32;(2);(3);(4).7.(1)(﹣4)﹣(﹣3)﹣(﹣6)+(﹣2)(2)7×1÷(﹣9+19)(3)(﹣+﹣+)×(﹣24)(4)﹣13﹣(1﹣0.5)×[2﹣(﹣3)2](5)﹣22×|﹣3|+(﹣6)2×(﹣)﹣|+|÷(﹣)3.(6)[2﹣(+﹣)×24]÷5×(﹣1)2003.8.计算:(1)24+(﹣22)﹣(+10)+(﹣13)(2)(﹣1.5)+4+2.75+(﹣5)(3)(﹣8)+(﹣7.5)+(﹣21)+(+3)(4)(﹣24)×(﹣++)9.计算(1)(﹣)÷×(﹣)÷(﹣)(2)﹣3﹣[﹣5+(1﹣0.2×)÷(﹣2)](3)(4﹣3)×(﹣2)﹣2÷(﹣)(4)[50﹣(﹣+)×(﹣6)2]÷(﹣7)2.10.计算:(1);(2)﹣24+3﹣16﹣5;(3);(4);(5);(6);(7);(8);(9);(10);(11);(12)(﹣47.65)×2+(﹣37.15)×(﹣2)+10.5×(﹣7).11.先化简,再求值:(1),其中x=﹣3.(2),其中a=2,b=1.12.先化简,再求值:(1)(5x+y)﹣(3x+4y),其中x=,y=;(2)(a﹣b)2+9(a﹣b)+15(a﹣b)2﹣(a﹣b),其中a﹣b=.13.已知|x+1|+(y﹣2)2=0,求(2x2y﹣2xy2)﹣[(3x2y2+3x2y)+(3x2y2﹣3xy2)]的值.14.去括号,合并同类项(1)﹣3(2s﹣5)+6s;(2)3x﹣[5x﹣(x﹣4)];(3)6a2﹣4ab﹣4(2a2+ab);(4)﹣3(2x2﹣xy)+4(x2+xy﹣6)15.化简:(1)3a+(﹣8a+2)﹣(3﹣4a)(2)2(xy2+3y3﹣x2y)﹣(﹣2x2y+y3+xy2)﹣4y3(3)先化简,再求值,其中=﹣a﹣1;16.化简:(1)﹣9y+6x2+3(y﹣x2);(2)5(a2b﹣3ab2)﹣2(a2b﹣7ab2);(3)3x2﹣[7x﹣(4x﹣3)﹣2x2];(4)5a2﹣[a2+(5a2﹣2a)﹣2(a2﹣3a)].17.先去括号,后合并同类项:(1)x+[﹣x﹣2(x﹣2y)];(2);(3)2a﹣(5a﹣3b)+3(2a﹣b);(4)﹣3{﹣3[﹣3(2x+x2)﹣3(x﹣x2)﹣3]}.18.计算:(1)﹣0.52+﹣|﹣22﹣4|﹣(﹣1)3×(2)2x2﹣{﹣3x+[4x2﹣(3x2﹣x)]}.19.先化简,再求值.(1)已知(a+2)2+|b﹣|=0,求a2b﹣[2a2﹣2(ab2﹣2a2b)﹣4]﹣2ab2的值.(2)已知a﹣b=2,求多项式(a﹣b)2﹣9(a﹣b)﹣(a﹣b)2﹣5(b﹣a).(3)已知:a+b=﹣2,a﹣b=﹣3,求代数式:2(4a﹣3b﹣2ab)﹣3(2a﹣)的值.20.化简求值(1)先化简,再求值:﹣﹣[3(abc)﹣4a2c]﹣3abc,其中a=﹣1,b=﹣3,c=1.(2)已知A=2a2﹣a,B=﹣5a+1.①化简:3A﹣2B+2;②当a=﹣,求3A﹣2B+2的值.21.解方程:(1)5x+3(2﹣x)=8(2)=1﹣(3)+=(4)[x﹣(x﹣1)]=(x﹣1)22.解一元一次方程:(1)﹣2x=5x;(2)x++3x﹣=1;(3)x﹣﹣1=2﹣+2;(4)+1=﹣x++5.23.解方程:(1);(2).(2)原方程可以变形为[x﹣(x﹣x+)﹣]=x+,24.解方程:(1)2(x﹣2)﹣3(4x﹣1)=9(1﹣x)(2)(x+15)=﹣(x﹣7)(3)﹣=0.25﹣x(4)=+.25.解下列方程(1)3x+3=2x+7(2)4x+3=2(x﹣1)+1(3)﹣=1(4)(x+15)=﹣(x﹣7)26.解下列方程.(1)5(x+8)=6(2x﹣7)+5(2)(3)(4).27.依据下列解方程的过程,请在前面的括号内填写变形步骤,在后面的括号内填写变形依据.解:原方程可变形为()去分母,得3(3x+5)=2(2x﹣1).()去括号,得9x+15=4x﹣2.()(),得9x﹣4x=﹣15﹣2.()合并,得5x=﹣17.()(),得x=.()28.解一元一次方程.(1)(2)﹣=3(3).29.(1)设,,当x为何值时,y1与y2相等?(2)当x等于什么数时,的值与1互为相反数.30.已知|a﹣3|+(b+1)2=0,代数式的值比的值多1,求m的值.。