社保测算表
- 格式:xlsx
- 大小:10.76 KB
- 文档页数:7
社会保险基金缴纳金额测算一、2009年山西省职工社会平均工资(简称社平工资)额为每人每月2153元。
以“社平工资”的60%为基数筹缴社会保险的五个险种,即:以1292元为基数筹缴(2153元×60%=1292元)。
二、五个险种分别测算如下:1、基本养老保险金额,按基数的28%筹缴。
其中:用人单位负担20%,员工个人负担8% (1)用人单位负担:1292×20%=258.40元/人/月258.40元/人/月×12=3100.80元/人/年(用人单位每年为每个员工负担3100.80元的养老保险)(2)员工个人负担:1292元×8%=103.36元/人/月103.36元×12=1240.32元/人/年2、基本医疗保险金额按基数的8.5%筹缴。
其中:用人单位负担6.5%,员工个人负担2% (1)用人单位负担:1292元×6.5%=83.98元/人/月83.98元×12=1007.76元/人/年(用人单位每年为每个员工缴纳1007.76元的基本医疗保险金)(2)员工个人负担:1292元×2%=25.84元/人/月25.84元×12=310.08元/人/年3、工伤保险:按基数的1%筹缴,全部由用人单位负担。
1292元×1%×12=155.40元/人/年4、生育保险:按基数的0.8%筹缴,全部由用人单位负担。
1292元×0.8%×12=124.032元/人/年5、失业保险:按基数的3%筹缴。
其中:用人单位负担2%,员工个人负担1%(1)用人单位负担:1292元×2%×12=310.08元/年/人(用人单位每年为每个员工缴纳310.08元的失业保险金)(2)员工自己负担:1292元×1%×12=155.04元另外:还有一项大病医疗保险,属基本医保范畴,缴纳标准是每个员工每月5元。
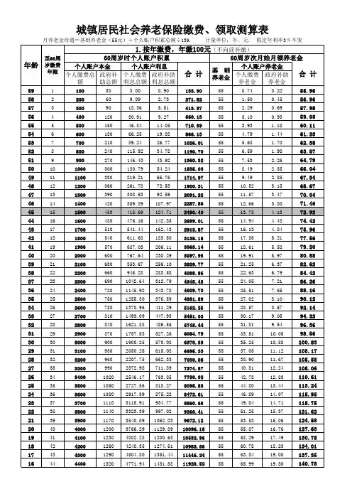
城乡居民基本养老保险缴费15-30年每月领取待遇测算表
单位:元
注:1、本表政府补贴按缴费100元补30元,200元补35元,300元补40元,400元补45元,500元补60元, 600元补65元,700元补70元,800元补100元,900元补120元,1000元补150元,1500元补175元,2000元以上统一补贴200元计算。
2、本表个人账户累积额按年均存款利率2.25%测算,实际个人账户资金滚存增值利率高低与养老待遇成正比;
3、本表的月养老金待遇按个人账户累积总额除以139,加上中央财政补贴和地方财政补贴的基础养老金116元,再加上缴费年限养老金(缴费满15年后每多缴一年,每月增发缴费年限基础养老金2元)计算;
4、本表按自治区人民政府办公厅桂政办发〔2014〕70号文件和自治区人社厅、财政厅联合印发桂人社规〔2018〕22号的规定测算,如统筹地人民政府出台更优惠政策,则待遇标准累加计发。