四川大学继续教育高等数学考试试题
- 格式:doc
- 大小:670.00 KB
- 文档页数:22
2024年四川成人高考专升本高等数学(一)真题及答案1. 【选择题】当x→0时,ln(1+x2)为x的( )A. 高阶无穷小量B. 等价无穷小量C. 同阶但不等价无穷小量D. 低阶无穷小量正确答案:A参考解析:2. 【选择题】A.B.C.D.正确答案:C参考解析:3. 【选择题】设y(n-2)=sinx,则y(n)=A. cosxB. -cosxC. sinxD. -sinx正确答案:D参考解析:4. 【选择题】设函数f(x)=3x3+ax+7在x=1处取得极值,则a=A. 9B. 3C. -3D. -9正确答案:D参考解析:函数f(x)在x=1处取得极值,而f'(x)=9x2+a,故f'(1)=9+a=0,解得a=-9.5. 【选择题】A.B.C.D.正确答案:B参考解析:6. 【选择题】A. sin2xB. sin2xC. cos2xD. -sin2x正确答案:B参考解析:7. 【选择题】A.B.C.D.正确答案:D参考解析:8. 【选择题】函数f(x,y)=x2+y2-2x+2y+1的驻点是A. (0,0)B. (-1,1)C. (1,-1)D. (1,1)正确答案:C参考解析:由题干可求得f x(x,y)=2x-2,f y(x,y)=2y+2,令f x(x,y)=0,f y(z,y)=0,解得x=1,y=-1,即函数的驻点为(1,-1).9. 【选择题】下列四个点中,在平面x+y-z+2=0上的是A. (-2,1,1)B. (0,1,1)C. (1,0,1)D. (1,1,0)正确答案:A参考解析:把选项中的几个点带入平面方程,只有选项A满足方程,故选项A是平面上的点.10. 【选择题】A.B.C.D.正确答案:B 参考解析:11. 【填空题】参考解析:12. 【填空题】参考解析:13. 【填空题】参考解析:14. 【填空题】参考解析:15. 【填空题】参考解析:16. 【填空题】参考解析:17. 【填空题】参考解析:18. 【填空题】参考解析:19. 【填空题】参考解析:20. 【填空题】过点(1,0,-1)与平面3x-y-z-2=0平行的平面的方程为____.参考解析:平面3x-y-z-2=0的法向量为(3,-1,-1),所求平面与其平行,故所求平面的法向量为(3,-1,-1),由平面的点法式方程得所求平面方程为3(x-1)-(y-0)-(z+1)=0,即3x-y-z-4=0.21. 【解答题】参考解析:22. 【解答题】参考解析:23. 【解答题】求函数f(x)=x3-x2-x+2的单调区间.参考解析:24. 【解答题】求曲线y=x2在点(1,1)处的切线方程.参考解析:25. 【解答题】参考解析:26. 【解答题】参考解析:27. 【解答题】参考解析:28. 【解答题】证明:当x>0时,e x>1+x.参考解析:设f(x)=e x-1-x,则f'(x)=e x-1.当x>0时,f'(x)>0,故f(x)在(0,+∞)单调递增.又因为f(x)在x=0处连续,且f(0)=0,所以当x>0时,f(x)>0.因此当x>0时,e x-1-x>0,即e x>1+x.。
第一学期高等数学试题(一) 一、 1.[5分] 设,求 。
2.[5分] 求3.[5分] 讨论极限4.[5分] 函数与函数 y = x 是否表示同一函数,并说明理由。
二、 1.[6分] 讨论数列当 时的极限。
2.[6分] 讨论函数在 x = 0 处的可导性。
3.[6分] 设求 。
4.[6分] 求曲线的凹凸区间。
三、1.[8分] 求 。
2.[8分] 求 。
3.[8分] 计算。
4.[8分] 求 。
四、 [8分] 设试讨论f (x) 的单调性和有界性。
五、 [8分] 求曲线 及 x 轴所围图形绕y 轴旋转所得旋转体的体积 V 。
六、 [8分] A ,B 两厂在直河岸的同侧,A 沿河岸,B 离岸4公里,A 与B 相距5公里,今在河岸边建一水厂C ,从水厂到B 厂的每公里水管材料费是A 厂的倍,问水厂C 设在离A 厂多远处才使两厂所耗总的水管材料费为最省。
()3222+-=-x x x f ()2+x f 3423lim 431+-+-→x x x x x xx x sin lim→()x y arcsin sin =()()(),2,1,161212=-++=n n n n n a n ∞→n ()⎩⎨⎧<-≥=010sin x x x x x f ⎩⎨⎧==-t ttey e x 22dx yd ()()212-+=x x y ()dxx x ⎰+23sin sindx x x ⎰+33⎰xdx x x 202cos ⎰+∞-02dx xe x ()()+∞<≤+=x xx x f 012()221,-==x y x y 5第一学期高等数学试题(一)解答一、 1.[5分],。
2.[5分]3.[5分] 因,故原极限不存在。
4.[5分] 函数 与函数 y = x 不表示同一函数。
因前者定义域为[-1,1],后者定义域为[-∞,∞]。
二、 1.[6分]。
2.[6分] 函数在 x = 0 处的左右极限不等,故f (x) 在x=0处不连续亦不可导。
川大20秋《高等数学(理)》在线作业2-参考资料请仔细阅读下面说明再下载:预览的题目和您自己的作业顺序必须完全相同再下载百!!!!第1题(单选题)题目见图A、1B、2C、3D、4参考答案:C第2题(单选题)题目见图A、AB、BC、CD、D参考答案:C第3题(单选题)题目见图A、-3B、-2C、-1D、0参考答案:C第4题(单选题)题目见图A、(1,1)B、(1,-1)C、(-1,1)D、(-1,-1)参考答案:A第5题(单选题)题目见图A、AB、BC、CD、D参考答案:D第6题(单选题)题目见图A、AB、BC、CD、D参考答案:D第7题(单选题)题目见图A、AB、BC、CD、D参考答案:D第8题(单选题)题目见图A、AB、BC、CD、D参考答案:C第9题(单选题)题目见图A、AB、BC、CD、D参考答案:A第10题(单选题)题目见图A、AB、BC、CD、D参考答案:B第11题(单选题)题目见图A、AB、BC、CD、D参考答案:D第12题(单选题)题目见图A、2B、1C、-1D、0参考答案:D第13题(单选题)题目见图A、AB、BC、CD、D参考答案:B第14题(单选题)题面见图A、奇函数B、偶函数C、非奇非偶函数D、以上均不对参考答案:B第15题(单选题)题目见图A、AB、BC、CD、D参考答案:A第16题(单选题)题目见图A、AB、BC、C参考答案:C第17题(单选题)题目见图A、奇函数B、偶函数C、非奇非偶函数D、以上均不对参考答案:A第18题(单选题)题目见图A、e-1B、eC、1D、参考答案:B第19题(单选题)题目见图A、AB、BC、CD、D参考答案:B第20题(单选题)题目见图B、BC、CD、D参考答案:B第21题(单选题)题目见图A、充分条件,但不是必要条件B、必要条件,但不是充分条件C、充分必要条件D、既不是充分条件也不是必要条件参考答案:B第22题(单选题)题目见图A、AB、BC、CD、D参考答案:A第23题(单选题)题目见图A、AB、BC、CD、D参考答案:B第24题(单选题)题目见图A、AB、BC、CD、D参考答案:A第25题(单选题)题目见图A、3B、0C、1D、2参考答案:D第26题(单选题)题目见图A、在点(1,2)处取最大值5B、在点(1,2)处取最小值-5C、在点(0,0)处取最大值0D、在点(0,0)处取最小值0参考答案:B第27题(单选题)题目见图A、AB、BC、CD、D参考答案:B第28题(单选题)题目见图A、AB、BC、CD、D参考答案:C第29题(单选题)题目见图A、1B、2C、3D、4参考答案:A第30题(单选题)题目见图A、AB、BC、CD、D参考答案:C第31题(单选题)题目见图A、(0,12)B、(1,10)C、(2,8)D、(3,12)参考答案:B第32题(单选题)题面见图A、AB、BC、CD、D参考答案:A第33题(单选题)题目见图A、垂直B、斜交C、平行D、重合参考答案:A第34题(单选题)题目见图A、AB、BC、CD、D参考答案:B第35题(单选题)题目见图A、AB、BC、CD、D参考答案:A第36题(单选题)题目见图A、-1B、0C、1D、2参考答案:B第37题(单选题)题目见图A、AB、BC、CD、D参考答案:B第38题(单选题)题目见图A、AB、BC、CD、D参考答案:D第39题(单选题)题目见图A、AB、BC、CD、D参考答案:B第40题(单选题)题目见图A、2B、1C、0D、-1参考答案:C。
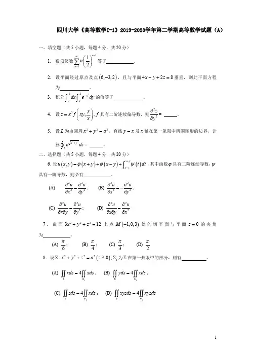
四川大学《高等数学I-1》2019-2020学年第二学期高等数学试题(A )一、填空题(共5小题,每题4分,共20分)1. 数项级数1112n n n -∞=⎛⎫⎪⎝⎭∑等于 。
2. 设平面经过原点及点()6,3,2-,且与平面428x y z -+=垂直,则此平面方程为 。
3. 积分222y x dx e dy -⎰⎰的值等于 。
4. 设3,y z x f xy x ⎛⎫= ⎪⎝⎭,f 具有二阶连续偏导数,则22z y ∂∂= 。
5. 设L 为由圆周222x y a +=,直线y x =及x 轴在第一象限中所围图形的边界,计算L⎰= 。
二、选择题(共5小题,每题4分,共20分) 6.设()()()(),x yx yu x y x y x y t dt ϕϕψ+-=++-+⎰,其中函数ϕ具有二阶连续导数,ψ具有一阶导数,则必有 。
(A)2222u u x y ∂∂=∂∂; (B) 2222u u xy ∂∂=-∂∂; (C) 222u u x y y ∂∂=∂∂∂; (D)222u ux y x ∂∂=∂∂∂7.曲面222312x y z ++=上点()1,0,3M -处的切平面与平面0z =的夹角为 。
(A) 6π; (B) 4π; (C) 3π; (D)2π 8.设()22221:0,x y z a z ∑++=≥∑为∑在第一卦限中的部分,则有 。
(A) 14xds xds ∑∑=⎰⎰⎰⎰; (B) 14yds xds ∑∑=⎰⎰⎰⎰;(C)14zds xds ∑∑=⎰⎰⎰⎰; (D) 14xyzds xyzds ∑∑=⎰⎰⎰⎰9.累次积分()cos 20d cos ,sin d f r r r r πθθθθ⎰⎰可以写成 。
(A)()10d ,y f x y dx ⎰⎰; (B)()10d ,y f x y dx ⎰⎰;(C)()1100d ,x f x y dy ⎰⎰; (D)()10d ,x f x y dy ⎰⎰10.若级数1n n u∞=∑收敛,则级数21nn u∞=∑是 。
四川大学继续教育高等数学考试试题单选题(共80题)1. 极限().A.1B.C.D..2. 函数的定义域为,则函数的定义域为().A.[0,1];B.;C.;D..3. 当时,与比较,则().A.是较高阶的无穷小;B.是与等价的无穷小;C.是与同阶但不等价的无穷小;D.是较低阶无穷小..4. ( )。
A.-1B.0C.1D.不存在.5. 设, 则A.B.C.D..6. 当时,是().A.无穷小量;B.无穷大量;C.有界变量;D.无界变量. .7. 函数是()函数.A.单调B.有界C.周期D.奇.8. 设则常数( )。
A.0B.-1C.-2D.-3.9. 下列函数在区间上单调增加的是().A.B.C.D..10. 设函数,则的连续区间为()A.B.C.D..11. 当时,与比较,则().A.是较高阶的无穷小量;B.是较低阶的无穷小量;C.与是同阶无穷小量,但不是等价无穷小;D.与是等价无穷小量..12. 下列函数中()是奇函数A.B.C.D..13. 如果存在,则在处().A.一定有定义;B.一定无定义;C.可以有定义,也可以无定义;D.有定义且有.14. ( )。
A.0B.1C.2D.不存在.15. 极限( )。
A.1/2B.1C.0D.1/4 .16. 设,则()A.B.C.D..17. 函数的复合过程为().A.B.C.D..18. ( ).A.1B.C.D..19. 存在是在连续的().A.充分条件,但不是必要条件;B.必要条件,但不是充分条件;C.充分必要条件;D.既不是充分条件也不是必要条件..20. 已知,求().A.3B.2C.1D.0 .21. 函数是()函数.A.单调B.无界C.偶D.奇.22. ( ).A.0B.1C.2D..23. 下面各组函数中表示同一个函数的是()。
A.;B.;C.D..24. 函数是()函数.A.单调B.有界C.周期D.奇.25. ()A.B.C.D..26. 设求的值为( ) A.B.C.D..27. 当时,与无穷小量等价的无穷小量是(). A.B.C.D..28. ( ).A.-1B.0C.1D.不存在29. 设,则( ) A.B.C.D..30. 设,则( ) A.B.C.D..31. 设,则A.B.C.D.132. 极限=()。
关于四川大学网络教育入学考试高等数学试题标准化管理部编码-[99968T-6889628-J68568-1689N]四川大学网络教育入学考试高等数学试题1、题目Z1-2(2)()A.AB.BC.CD.D标准答案:A2、题目20-1:(2)()A.AB.BC.CD.D标准答案:A3、题目20-2:(2)()A.AB.BC.CD.D标准答案:B4、题目20-3:(2)()A.AB.BC.CD.D标准答案:A5、题目20-4:(2)()A.AB.BC.CD.D标准答案:D6、题目20-5:(2)()A.AB.BC.CD.D标准答案:D7、题目20-6:(2)()A.AB.BC.CD.D标准答案:A8、题目20-7:(2)()B.BC.CD.D标准答案:D9、题目20-8:(2)() A.AB.BC.CD.D标准答案:C10、题目11-1(2)() A.AB.BC.CD.D标准答案:C11、题目11-2(2)() A.AB.BC.CD.D标准答案:B12、题目11-3(2)() A.AB.BC.CD.D标准答案:A13、题目20-9:(2)() A.AB.BC.CD.D标准答案:C14、题目11-4:(2)() A.AB.BC.CD.D标准答案:D15、题目11-5(2)() A.AB.BC.C标准答案:C16、题目20-10:(2)() A.AB.BC.CD.D标准答案:B17、题目11-6(2)()A.AB.BC.CD.D标准答案:B18、题目11-7(2)()A.AB.BC.CD.D标准答案:C19、题目11-8(2)()A.AB.BC.CD.D标准答案:C20、题目11-9(2)()A.AB.BC.CD.D标准答案:D21、题目11-10(2)() A.AB.BC.CD.D标准答案:B22、题目19-1:(2)() A.AB.BC.CD.D标准答案:C23、题目19-2:(2)()B.BC.CD.D标准答案:B24、题目19-3:(2)() A.AB.BC.CD.D标准答案:D25、题目12-1(2)() A.AB.BC.CD.D标准答案:D26、题目12-2(2)() A.AB.BC.CD.D标准答案:D27、题目19-4:(2)() A.AB.BC.CD.D标准答案:B28、题目12-3(2)() A.AB.BC.CD.D标准答案:B29、题目12-4(2)() A.AB.BC.CD.D标准答案:C30、题目12-5(2)() A.AB.BC.C标准答案:A31、题目19-5:(2)() A.AB.BC.CD.D标准答案:C32、题目12-6(2)() A.AB.BC.CD.D标准答案:A33、题目12-7(2)() A.AB.BC.CD.D标准答案:B34、题目19-6:(2)() A.AB.BC.CD.D标准答案:B35、题目12-8(2)() A.AB.BC.CD.D标准答案:B36、题目19-7:(2)() A.AB.BC.CD.D标准答案:B37、题目12-9(2)() A.AB.BC.CD.D标准答案:A38、题目12-10(2)()B.BC.CD.D标准答案:C39、题目19-8:(2)() A.AB.BC.CD.D标准答案:D40、题目19-9:(2)() A.AB.BC.CD.D标准答案:A41、题目19-10:(2)() A.AB.BC.CD.D标准答案:C42、题目18-1:(2)() A.AB.BC.CD.D标准答案:A43、题目18-2:(2)() A.AB.BC.CD.D标准答案:C44、题目18-3:(2)() A.AB.BC.CD.D标准答案:D45、题目13-1(2)()A.AB.BC.C标准答案:D46、题目18-4:(2)() A.AB.BC.CD.D标准答案:A47、题目13-2(2)() A.AB.BC.CD.D标准答案:B48、题目13-3(2)() A.AB.BC.CD.D标准答案:D49、题目18-5:(2)() A.AB.BC.CD.D标准答案:D50、题目13-4(2)() A.AB.BC.CD.D标准答案:B51、题目13-5(2)() A.AB.BC.CD.D标准答案:D52、题目18-6:(2)() A.AB.BC.CD.D标准答案:B53、题目13-6(2)()B.BC.CD.D标准答案:C54、题目13-7(2)() A.AB.BC.CD.D标准答案:C55、题目18-7:(2)() A.AB.BC.CD.D标准答案:B56、题目18-8:(2)() A.AB.BC.CD.D标准答案:B57、题目13-8(2)() A.AB.BC.CD.D标准答案:B58、题目13-9(2)() A.AB.BC.CD.D标准答案:C59、题目18-9:(2)() A.AB.BC.CD.D标准答案:B60、题目13-10(2)() A.AB.BC.C标准答案:A61、题目18-10:(2)() A.AB.BC.CD.D标准答案:A62、题目17-1:(2)() A.AB.BC.CD.D标准答案:C63、题目17-2:(2)() A.AB.BC.CD.D标准答案:D64、题目17-3:(2)() A.AB.BC.CD.D标准答案:C65、题目17-4:(2)() A.AB.BC.CD.D标准答案:A66、题目17-5:(2)() A.AB.BC.CD.D标准答案:D67、题目14-1(2)()A.AB.BC.CD.D标准答案:D68、题目14-2(2)()C.CD.D标准答案:A69、题目17-6:(2)() A.AB.BC.CD.D标准答案:B70、题目14-3(2)() A.AB.BC.CD.D标准答案:D71、题目17-7:(2)() A.AB.BC.CD.D标准答案:B72、题目14-4(2)() A.AB.BC.CD.D标准答案:C73、题目14-5(2)() A.AB.BC.CD.D标准答案:C74、题目17-8:(2)() A.AB.BC.CD.D标准答案:D75、题目14-7(2)() A.AB.BC.C76、题目14-8(2)()A.AB.BC.CD.D标准答案:D77、题目17-9:(2)() A.AB.BC.CD.D标准答案:B78、题目14-9(2)()A.AB.BC.CD.D标准答案:C79、题目14-10(2)() A.AB.BC.CD.D标准答案:A80、题目17-10:(2)() A.AB.BC.CD.D标准答案:C81、题目16-1:(2)() A.AB.BC.CD.D标准答案:D82、题目16-2:(2)() A.AB.BC.CD.D标准答案:B83、题目16-3:(2)()C.CD.D标准答案:C84、题目15-1(2)() A.AB.BC.CD.D标准答案:C85、题目15-2(2)() A.AB.BC.CD.D标准答案:C86、题目16-4:(2)() A.AB.BC.CD.D标准答案:D87、题目15-3(2)() A.AB.BC.CD.D标准答案:D88、题目15-4(2)() A.AB.BC.CD.D标准答案:B89、题目15-5(2)() A.AB.BC.CD.D标准答案:B90、题目15-6(2)() A.AB.BC.C91、题目15-7(2)() A.AB.BC.CD.D标准答案:C92、题目15-8(2)() A.AB.BC.CD.D标准答案:C93、题目16-5:(2)() A.AB.BC.CD.D标准答案:A94、题目15-9(2)() A.AB.BC.CD.D标准答案:B95、题目15-10(2)() A.AB.BC.CD.D标准答案:D96、题目16-6:(2)() A.AB.BC.CD.D标准答案:B97、题目16-7:(2)() A.AB.BC.CD.D标准答案:C98、题目16-8:(2)()C.CD.D标准答案:B99、题目16-9:(2)() A.AB.BC.CD.D标准答案:A100、题目16-10:(2)() A.AB.BC.CD.D标准答案:D。
《高等数学(理)》课程考试考前辅导资料一、单项选择题1.设平面π过点(2,1,1)且与平面22x y z +-=平行,则平面π的方程为( C )(A) 240x y z ++-= (B) 210x y z +--= (C) 240x y z +--= (D) 240x y z ++-=2.极限(,)(0,2)sin lim x y xyxy →= ( A )(A)1 (B) 1- (C) 2- (D) 0 3.当0x →时,函数1cos2x -的等价无穷小量是( C ) (A) 24x (B) 23x (C) 22x (D) 2x4.二次曲面222x y z +=称为( A )(A) 圆锥面 (B) 旋转抛物面 (C) 柱面 (D) 球面5.设圆222x y a +=所围成的区域为D ,则二重积分Dy dxdy⎰⎰在极坐标系下可化为( B )(A)220 cos ad r drπθθ⎰⎰ (B)220sin ad r drπθθ⎰⎰(C)20cos ad r drπθθ⎰⎰ (D)20sin ad r drπθθ⎰⎰6.平面12:2310:220x y z x y ππ-++=⎧⎨++=⎩的位置关系为( B )(A) 平行 (B) 垂直 (C)斜交 (D) 重合7. 设(,)xyf x y e=,则fx ∂=∂( B )(A) x e (B) xyye (C) xy xe (D) ye8.当0x →1-的等价无穷小量是( D )(A) 24x (B) 23x (C) 22x (D) 2x9.设区域D 由圆221x y +=所围成的上半平面内的部分,则二重积分Dy dxdy⎰⎰在极坐标系下可化为( B )(A)12202sin d r drππθθ-⎰⎰ (B)120sin d r drπθθ⎰⎰(C) 120cos d r drπθθ⎰⎰ (D)12202cos d r drππθθ-⎰⎰10.对于二元函数(,)z f x y =,下列说法正确的是( A ) (A) (,)f x y 可微,则偏导数存在 (B) (,)f x y 的偏导数存在,则其连续 (C) (,)f x y 的偏导数存在,则其可微 (D) (,)f x y 可微,则偏导数连续11. 设级数1nn a∞=∑收敛,则下列级数必收敛的是( A )(A)11()nn n aa ∞+=+∑ (B)1||nn a∞=∑(C)21nn a∞=∑ (D)11()nnn a∞=-∑12.二元函数()f x y ,在一点处偏导数x y f f '',存在是函数在该点可微的( A )(A)必要条件 (B)充要条件 (C) 充分条件 (D) 无法判断13.在空间直角坐标系中,二次曲面222x y +=称为( B ) (A)圆锥面 (B)柱面 (C) 球面 (D) 椭圆面 14. 当0x →时与函数sin x x -等价的无穷小量为( B )(A) 2x (B) 36x (C) 3x (D) 33x15.设区域D 为122≤+y x 在0y >中的部分,则2Dx ydxdy ⎰⎰在极坐标系下可化为( B )(A) ⎰⎰1322sin cos drr d θθθπ(B) 1240sin cos d r drπθθθ⎰⎰(C) 12420cos sin d r drπθθθ⎰⎰ (D) 1230sin cos d r drπθθθ⎰⎰二、填空题1.极限201cos2limsin x xx →-= 2.。
《高等数学〔理〕》专科第一次作业答案你的得分: 100.0完成日期:20##12月03日 21点29分一、单项选择题.本大题共25个小题,每小题 4.0 分,共100.0分.在每小题给出的选项中,只有一项是符合题目要求的.< B >A.奇函数B.偶函数C.非奇非偶函数D.以上均不对< A >E. AF. BG. CH. D< B >I.0J. 1K. 2L. 3< D >M.-1N.0O. 1P.不存在< B >Q.有一条渐近线R.有二条渐近线S.有三条渐近线T.无渐近线< C >U. AV. BX. D < C >Y. AZ. BAA.CBB.D < C >CC.ADD.BEE.CFF.D < D >GG.AHH.BII.CJJ.D < C >KK.ALL.BMM.CNN.D < C >OO.APP.BQQ.CRR.D < B >SS.ATT.BUU.CVV.D < D >XX.BYY.CZZ.D < D >AAA.ABBB.BCCC.CDDD.D < C >EEE.AFFF.BGGG.CHHH.D < B >III.AJJJ.BKKK.CLLL.D < B >MMM.ANNN.BOOO.CPPP.D < B >QQQ.0RRR.1SSS.2TTT.3 < D >UUU.AVVV.BWWW.C< C >YYY.AZZZ.BAAAA. CBBBB. D< B >CCCC. ADDDD. BEEEE. CFFFF. D< B >GGGG. AHHHH. BIIII. CJJJJ. D< C >KKKK. ALLLL. BMMMM. CNNNN. D< B >OOOO. APPPP. BQQQQ. CRRRR. D< C >SSSS. ATTTT. BUUUU. CVVVV. DCopyright2007 四川大学网络教育学院所有。
四川大学远程教育数学考试试题一、单选题(共86题)1. 下列各式中正确的是 ( )A.B.C.D.2.A.2x+3B.-(2x+3)C.D.3. 化简3a+2b-4a=A.2b-aB.C.-2abD.b4.A.B.C.D.5. 因式分解A.B.C.D.6.A.(x+6)(x+1)B.(x-6)(x-1)C.(x+2)(x+3)D.(x-2)(x-3)7. 分母有理化A.B.C.D.8.A.B.-15C.D.9. x=-1是方程3a-2x=a的解,则a的值为( )A.-1B.1C.D.以上都不对10. 二元一次方程组的解是()A.B.C.D.11. 一元二次方程的一个根是-1,则k=( )A.-5B.9C.-9D.512. 的解是( )A.x=-1B.x=-5C.x=-1和x=-5D.x=1和x=513. 集合用区间表示是( )A.B.C.D.14. 集合用区间表示是( )A.B.C.D.15. 设集合,则这两个集合满足的关系是( )A.B.C.D.16. 设集合,则( )A.B.C.空集D.实数集17. 函数的定义域是( )A.B.C.(-1,5)D.[-1,5]18. 下列4个函数中,与函数定义域相同的函数是( )A.B.C.D.19. 已知函数,则( )A.-1B.0C.-4D.520. 设函数且,则( )A.B.1C.2D.21. 下列函数中,图象关于原点对称的是( )A.B.C.D.22. 函数的奇偶性是()A.奇函数B.偶函数C.非奇非偶函数D.既是奇函数也是偶函数23. 已知在上单调递增,则在上的最大值是( )A.B.C.D.以上都不对24. 在上单调递减,在上单调递增, 则与的大小关系是( )A.B.C.D.不能确定25. 一次函数是奇函数,则( )A.1 或 2B.1C.2D.以上都不对26. 反比例函数是减函数,则( )A.B.C.D.以上都不对27. 抛物线的顶点在第二象限,则( )A.B.C.D.28. 已知,则y的取值范围是( )A.B.C.D.29. 函数且,则的最小值为( )A.B.C.D.30. 已知二次函数的对称轴方程为,则抛物线的顶点坐标为( )A.(1,-3)B.(1,-1)C.(1,0)D.(-1,-3)31. 已知,那么A.B.C.D.32. 如果,,那么A.B.可以小于也可等于0C.D.可为任意实数33. 不等式的解集为A.B.或C.D.34. 不等式的解集为A.B.或C.D.35. 不等式组的解集为A.B.或C.D.36. 不等式组的解集为A.B.或C.D.空集37. 不等式的解集是A.全体实数B.空集C.D.38. 不等式的解集是A.全体实数B.空集C.D.39.A.B.C.D.40. 在下列各式中,正确的是A.B.C.D.41. 设,则A.2B.4C.D.42. 下列等式中:①, ②, ③,④,等式正确的个数是A.1个B.2个C.3个D.4个43. 函数的图像位于A.第二象限B.第一和第二象限C.第一象限D.第一和第三象限44. 函数的图像位于A.第一象限B.第一和第二象限C.第一和第三象限D.第二和第四象限45. 函数的反函数是A.B.C.D.46. 函数的反函数是A.B.C.D.47. 函数A.奇函数且在上是减函数B.奇函数且在上是增函数C.偶函数且在上是减函数D.偶函数且在上是增函数48. 若指数函数是减函数,则下列不等式中成立的是A.B.C.D.49. 数列的前项和为,则当时A.B.C.D.50. 数列的第7项为A.B.C.D.51. 已知等差数列中,,则A.15B.30C.31D.6452. 已知数列中,,则A.B.C.D.53. 设成等比数列,则的值为A.2或B.或2C.4或D.2或454. 在等比数列中,已知,那么的值等于A.5B.10C.15D.2555. 已知角,则的终边在()A.第一象限B.第二象限C.第三象限D.第四象限56. 375°是第()象限角A.一;B.二;C.三;D.四.57. 将角化为角度制表示时,等于A.420°;B.480°;C.60°;D.120°.58. 将角化为角度制表示时,等于( )A.B.C.D.59. 已知角的终边经过点,则A.B.C.D.60. 如果,那么的终边在()A.第一或第二象限B.第二或第四象限C.第二或第三象限D.第一或第三象限61.A.1B.2C.3D.462. ()A.1B.2C.3D.463. 恒等于()A.B.C.D.64. ( )A.B.C.D.65. 已知,且是第三象限角,则A.B.C.D.66. 已知,且是第二象限角,则A.B.C.D.67. 若,,则A.B.C.D.68. 已知,那么A.B.C.D.69. 已知,则()A.B.C.D.70. ()A.B.C.D.71. 的最小正周期是( )A.B.C.D.72. 函数的最小正周期是()A.;B.;C.;D.73. 函数的最小值是()A.0B.-3C.-5D.74. 若,则下列不等式正确的是()A.B.C.D.75. 已知,,则等于( )A.B.或C.或D.或76.A.B.C.D.77. 已知,且∥,则值是()A.B.C.D.78. 已知向量,向量,则()A.;B.;C.;D.79. 经过点P(2,3),斜率为-1的直线方程为()A.;B.;C.;D.80. 经过(-4,5)点,倾角是的直线方程是()A.B.C.D.81. 过点且与直线垂直的直线方程是( )A.B.C.D.82. 在轴上截距为2且垂直于直线的直线方程是()A.B.C.D.83. 过点P(1,2)与圆相切的直线方程是()A.B.C.D.84. 已知圆心在x轴上,且圆经过两点A(-1,3),B(-3,1),则该圆的方程为()A.;B.;C.;D.85. 若方程表示焦点在轴上的双曲线, 则满足()A.B.C.D..86. 中心在原点,长轴等于16,短轴等于8,焦点在轴上的椭圆方程是()A.B.C.D.。
| | | | | | | |装| | | | |订|| | | | |线| | | | | | | | |四川大学2018~ 2019学年 第二学期期末考试试卷高等数学试卷(A ) 班级 理工类本科专业 答题时间120分钟一、填空题(本大题5小题,每题3分,共15分)1. 点M 位于第Ⅱ卦限,向量OM 与y 轴和z 轴的夹角分别为4π和3π,且4OM =,则点M 坐标为______________. 2. 二次积分202(,)xdx f x y dy -⎰极坐标形式的二次积分为_____________.3. 设()2,3,,3a b a b π===,则以3a b -和4a b +为边的平行四边形面积为___________.4. 设xz u y =,则du =___________________.5. 曲面2223z x y =-在点(2,1,5)的法线方程为_____________. 二、 选择题(本大题5小题,每题3分,共15分)6. 直线34272x y z++==--和平面4234x y z --=-的位置关系为( ) A. 平行 B.垂直 C.斜交 D.在平面内7.考虑二元函数(,)f x y 下面的四条性质(1)(,)f x y 在点00(,)x y 连续;(2)(,)x f x y 和(,)y f x y 在点00(,)x y 连续;(3)(,)f x y 在点00(,)x y 可微;(4)00(,)x f x y 和00(,)y f x y 存在,用P Q ⇒表示由性质P 可推出Q ,则下列四个选项正确的是( )A. (3)(2)(1)⇒⇒B. (2)(3)(1)⇒⇒C. (3)(4)(1)⇒⇒D. (3)(1)(4)⇒⇒8.22(,)23)f x y x y =+在点0(1,2)P = 处减少最快的方向为( )A. 3i j -B.j C. j D. j +9. 12.设()f x 为连续函数,1()(),(1)ttyF t dy f x dx t =>⎰⎰,则'(2)F =( )A.2(2)fB. (2)f -C. (2)fD.0 10.幂级数1(2)32n n n x n∞=-⋅∑的收敛域为( )A.[1,5]-B. (1,5)-C. [1,5)-D. (1,5]-三、 偏导数计算(每题7分,共14分)11.若f 具有二阶连续偏导数,(,,)xyu f xy y z=,求2,u u z z x ∂∂∂∂∂12.若(,)u v Φ具有连续偏导数,证明由方程(,)0cx az cy bz Φ--=所确定的函数(,)z f x y =满足.z za b c x y∂∂+=∂∂四、 重积分计算(每题7分,共14分)13.计算二重积分22ln(1)DI x y d σ=++⎰⎰,其中D 是由圆周221x y +=及坐标轴所围成的在第一象限内的闭区域。
四川大学高等代数 2020 年试题
一、填空题(每题 5 分,共 20 分)
1. 设是一个阶方阵,则的行列式是行列式的__次方。
2. 设是一个有限维向量空间,是的一组基,则的维度是__。
3. 设是一个多项式,若,则可以分解为
,其中__。
4. 设是一个群,,则的阶是__。
二、选择题(每题 5 分,共 20 分)
5. 设是一个矩阵,,则是__。
(A) 可逆的
(B) 不可逆的
(C) 奇异的
(D) 正定矩阵
6. 设是一个内积空间,是中的内积,则__。
(A)
(B)
(C) 若,则和正交
(D) 以上所有
7. 设是一个多项式,若,则__。
(A) 的根都是有理数
(B) 可以分解为线性因子的乘积
(C) 的次数一定是偶数
(D) 以上都不正确
8. 设是一个循环群,则的中心是__。
(A) 一个单元素群
(B) 一个的子群
(C) 本身
(D) 空集
三、计算题(每题 10 分,共 40 分)
9. 求下列矩阵的秩:
10. 求下列内积空间中的正交基:
11. 分解下列多项式为不可约因子的乘积:
12. 求下列群的中心:
四、证明题(每题 10 分,共 20 分)
13. 证明:一个秩为的阶矩阵可逆。
14. 证明:一个有限维内积空间的任意两个子空间的直和仍然是子空间。
四川大学网络教育入学考试高等数学试题1、题目Z1-2(2)()A.AB.BC.CD.D标准答案:A2、题目20-1:(2)()A.AB.BC.CD.D标准答案:A3、题目20-2:(2)()A.AB.BC.CD.D标准答案:B4、题目20-3:(2)()A.AB.BC.CA.AB.BC.CD.D标准答案:D6、题目20-5:(2)() A.AB.BC.CD.D标准答案:D7、题目20-6:(2)() A.AB.BC.CD.D标准答案:A8、题目20-7:(2)() A.AB.BC.CA.AB.BC.CD.D标准答案:C10、题目11-1(2)() A.AB.BC.CD.D标准答案:C11、题目11-2(2)() A.AB.BC.CD.D标准答案:B12、题目11-3(2)() A.AB.BC.CA.AB.BC.CD.D标准答案:C14、题目11-4:(2)() A.AB.BC.CD.D标准答案:D15、题目11-5(2)() A.AB.BC.CD.D标准答案:C16、题目20-10:(2)() A.AB.BC.CA.AB.BC.CD.D标准答案:B18、题目11-7(2)() A.AB.BC.CD.D标准答案:C19、题目11-8(2)() A.AB.BC.CD.D标准答案:C20、题目11-9(2)() A.AB.BC.CA.AB.BC.CD.D标准答案:B22、题目19-1:(2)() A.AB.BC.CD.D标准答案:C23、题目19-2:(2)() A.AB.BC.CD.D标准答案:B24、题目19-3:(2)() A.AB.BC.CA.AB.BC.CD.D标准答案:D26、题目12-2(2)() A.AB.BC.CD.D标准答案:D27、题目19-4:(2)() A.AB.BC.CD.D标准答案:B28、题目12-3(2)() A.AB.BC.CA.AB.BC.CD.D标准答案:C30、题目12-5(2)() A.AB.BC.CD.D标准答案:A31、题目19-5:(2)() A.AB.BC.CD.D标准答案:C32、题目12-6(2)() A.AB.BC.CA.AB.BC.CD.D标准答案:B34、题目19-6:(2)() A.AB.BC.CD.D标准答案:B35、题目12-8(2)() A.AB.BC.CD.D标准答案:B36、题目19-7:(2)() A.AB.BC.CA.AB.BC.CD.D标准答案:A38、题目12-10(2)() A.AB.BC.CD.D标准答案:C39、题目19-8:(2)() A.AB.BC.CD.D标准答案:D40、题目19-9:(2)() A.AB.BC.CA.AB.BC.CD.D标准答案:C42、题目18-1:(2)() A.AB.BC.CD.D标准答案:A43、题目18-2:(2)() A.AB.BC.CD.D标准答案:C44、题目18-3:(2)() A.AB.BC.CA.AB.BC.CD.D标准答案:D46、题目18-4:(2)() A.AB.BC.CD.D标准答案:A47、题目13-2(2)() A.AB.BC.CD.D标准答案:B48、题目13-3(2)() A.AB.BC.CA.AB.BC.CD.D标准答案:D50、题目13-4(2)() A.AB.BC.CD.D标准答案:B51、题目13-5(2)() A.AB.BC.CD.D标准答案:D52、题目18-6:(2)() A.AB.BC.CA.AB.BC.CD.D标准答案:C54、题目13-7(2)() A.AB.BC.CD.D标准答案:C55、题目18-7:(2)() A.AB.BC.CD.D标准答案:B56、题目18-8:(2)() A.AB.BC.CA.AB.BC.CD.D标准答案:B58、题目13-9(2)() A.AB.BC.CD.D标准答案:C59、题目18-9:(2)() A.AB.BC.CD.D标准答案:B60、题目13-10(2)() A.AB.BC.CA.AB.BC.CD.D标准答案:A62、题目17-1:(2)() A.AB.BC.CD.D标准答案:C63、题目17-2:(2)() A.AB.BC.CD.D标准答案:D64、题目17-3:(2)() A.AB.BC.CA.AB.BC.CD.D标准答案:A66、题目17-5:(2)() A.AB.BC.CD.D标准答案:D67、题目14-1(2)() A.AB.BC.CD.D标准答案:D68、题目14-2(2)() A.AB.BC.CA.AB.BC.CD.D标准答案:B70、题目14-3(2)() A.AB.BC.CD.D标准答案:D71、题目17-7:(2)() A.AB.BC.CD.D标准答案:B72、题目14-4(2)() A.AB.BC.CA.AB.BC.CD.D标准答案:C74、题目17-8:(2)() A.AB.BC.CD.D标准答案:D75、题目14-7(2)() A.AB.BC.CD.D标准答案:A76、题目14-8(2)() A.AB.BC.CA.AB.BC.CD.D标准答案:B78、题目14-9(2)() A.AB.BC.CD.D标准答案:C79、题目14-10(2)() A.AB.BC.CD.D标准答案:A80、题目17-10:(2)() A.AB.BC.CA.AB.BC.CD.D标准答案:D82、题目16-2:(2)() A.AB.BC.CD.D标准答案:B83、题目16-3:(2)() A.AB.BC.CD.D标准答案:C84、题目15-1(2)() A.AB.BC.CA.AB.BC.CD.D标准答案:C86、题目16-4:(2)() A.AB.BC.CD.D标准答案:D87、题目15-3(2)() A.AB.BC.CD.D标准答案:D88、题目15-4(2)() A.AB.BC.CA.AB.BC.CD.D标准答案:B90、题目15-6(2)() A.AB.BC.CD.D标准答案:A91、题目15-7(2)() A.AB.BC.CD.D标准答案:C92、题目15-8(2)() A.AB.BC.CA.AB.BC.CD.D标准答案:A94、题目15-9(2)() A.AB.BC.CD.D标准答案:B95、题目15-10(2)() A.AB.BC.CD.D标准答案:D96、题目16-6:(2)() A.AB.BC.CA.AB.BC.CD.D标准答案:C98、题目16-8:(2)() A.AB.BC.CD.D标准答案:B99、题目16-9:(2)() A.AB.BC.CD.D标准答案:A100、题目16-10:(2)() A.AB.BC.C。
四川大学继续教育高等数学考试试题
单选题(共80题)
1. 极限().
A.1
B.
C.
D.
.
2. 函数的定义域为,则函数的定义域为().
A.[0,1];
B.;
C.;
D.
.
3. 当时,与比较,则().
A.是较高阶的无穷小;
B.是与等价的无穷小;
C.是与同阶但不等价的无穷小;
D.是较低阶无穷小.
.
4. ( )。
A.-1
B.0
C.1
D.不存在
.
5. 设, 则
A.
B.
C.
D.
.
6. 当时,是().
A.无穷小量;
B.无穷大量;
C.有界变量;
D.无界变量. .
7. 函数是()函数.
A.单调
B.有界
C.周期
D.奇
.
8. 设则常数( )。
A.0
B.-1
C.-2
D.-3
.
9. 下列函数在区间上单调增加的是().
A.
B.
C.
D.
.
10. 设函数,则的连续区间为()A.
B.
C.
D.
.
11. 当时,与比较,则().
A.是较高阶的无穷小量;
B.是较低阶的无穷小量;
C.与是同阶无穷小量,但不是等价无穷小;
D.与是等价无穷小量.
.
12. 下列函数中()是奇函数
A.
B.
C.
D.
.
13. 如果存在,则在处().
A.一定有定义;
B.一定无定义;
C.可以有定义,也可以无定义;
D.有定义且有
.
14. ( )。
A.0
B.1
C.2
D.不存在.
15. 极限( )。
A.1/2
B.1
C.0
D.1/4 .
16. 设,则()
A.
B.
C.
D.
.
17. 函数的复合过程为().
A.
B.
C.
D.
.
18. ( ).
A.1
B.
C.
D.
.
19. 存在是在连续的().
A.充分条件,但不是必要条件;
B.必要条件,但不是充分条件;
C.充分必要条件;
D.既不是充分条件也不是必要条件.
.
20. 已知,求().
A.3
B.2
C.1
D.0 .
21. 函数是()函数.
A.单调
B.无界
C.偶
D.奇.
22. ( ).
A.0
B.1
C.2
D.
.
23. 下面各组函数中表示同一个函数的是()。
A.;
B.;
C.
D.
.
24. 函数是()函数.
A.单调
B.有界
C.周期
D.奇.
25. ()
A.
B.
C.
D.
.
26. 设求的值为( ) A.
B.
C.
D.
.
27. 当时,与无穷小量等价的无穷小量是(). A.
B.
C.
D.
.
28. ( ).
A.-1
B.0
C.1
D.不存在
29. 设,则( ) A.
B.
C.
D.
.
30. 设,则( ) A.
B.
C.
D.
.
31. 设,则
A.
B.
C.
D.1
32. 极限=()。
A.1
B.
C.
D.
.
33. 设是可微函数,则?/span( )
A.
B.
C.
D.?/span
.
34. 设?/span则等于()A.
B.
C.
D.
.
35. 极限?/span( ).
A.1/2
B.1/3
C.1/6
D.0
36. 极限
A.
B.
C.
D.
.
37. ()
A.1
B.2
C.0
D.3 .
38. 已知,则( )。
A.2
B.
C.
D.
.
39. 设,且,则=()。
A.
B.
D.1
.
40. 设,其中b为常数,f存在二阶导数,则是()A.
B.
C.
D.
.
41. 若,则()
A.0
B.1
C.-ln2
D.1/ln2
.
42. 若则( )。
A.-1
B.1
C.2
D.-2
.
43. 函数单调增加区间是()
A.(-∞,-1)
B.( -1,1)
C.(1,+∞)
D.(-∞,-1)和(1,+∞)
.
44. 为()时与相切。
A.
B.
C.
D.
.
45. 函数的单调减的范围是()。
A.
B.
C.
D.
.
46. 下列等式中,不正确的是()。
A.
B.
C.
D.
.
47. 设则
A.1
B.
C.
D.
.
48. 函数在上的最小值是( ).
A.1
B.2
C.
D.
.
49. 若在区间内恒有,,则函数的曲线为()
A.上凹且上升
B.上凹且下降
C.下凹且上升
D.下凹且下降
.
50. 极限=()。
A.1;
B.2;
C.3;
D.4.
.
51. ,函数的微分是()
A.
B.
C.
D.
.
52. 若,则( )
A.
B.
C.
D.0
.
53. 函数的极大值为()。
A.
B.
C.
D.
.
54. 曲线在(1,1)处的切线方程为(). A.
B.
C.
D.
.
55. 若由方程确定,则( ). A.
B.
C.
D.
.
56. 函数在区间的最大值与最小值分别是()
A.15,4
B.13,2
C.15,2
D.13,4
.
57. 定积分(?)
A.
B.
C.
D.0
.
58. 求的不定积分()
A.
B.
C.
D.
.
59. 若函数,则(?)A.
B.
C.
D.
.
60. (?)
A.
B.
C.
D.
.
61. 设函数,则(?)A.
B.
C.
D.
.
62. (?)
A.
B.
C.
D.
.
63.
A.
B.
C.
D.
.
64. (?)
A.0
B.1
C.
D.
.
65.
A.
B.
C.0
D.
.
66. (?)A.
B.
C.
D.
.
67. ()
A.
B.0
C.
D.
.
68. (?)
A.
B.
C.
D.
.
69. ()
A.
B.
C.
D.
.
70. 若,则()
A.
B.
C.
D.
.
71. (?)A.
B.
C.
D.
.
72.
A.
B.
C.
D.
.
73.
A.
B.
C.
D.
.
74. 已知,则(?)
A.
B.
C.
D.
.
75. 极限()
A.-1
B.0
C.1
D.2 .
76. ()
A.
B.
C.
D.
.
77. 设函数,则(?).
A.; -3
B.
C.
D.
.
78. 设,则(?).
A.
B.
C.
D.
.
79. 设,则()
A.1
B.0
C.2
D.3
.
80. 设,则二阶偏导数().
A.
B.
C.0
D. .。