2018最新大一高等数学期末考试卷(精编试题)及答案详解
- 格式:doc
- 大小:1.11 MB
- 文档页数:48
大一高等数学期末考试试卷及答案详解本页仅作为文档封面,使用时可以删除This document is for reference only-rar21year.March大一高等数学期末考试试卷(一)一、选择题(共12分)1. (3分)若2,0,(),0x e x f x a x x ⎧<=⎨+>⎩为连续函数,则a 的值为( ).(A)1 (B)2 (C)3 (D)-1 2. (3分)已知(3)2,f '=则0(3)(3)lim2h f h f h→--的值为( ).(A)1 (B)3 (C)-1 (D)123. (3分)定积分22ππ-⎰的值为( ).(A)0 (B)-2 (C)1 (D)24. (3分)若()f x 在0x x =处不连续,则()f x 在该点处( ). (A)必不可导 (B)一定可导(C)可能可导 (D)必无极限 二、填空题(共12分)1.(3分) 平面上过点(0,1),且在任意一点(,)x y 处的切线斜率为23x 的曲线方程为 .2. (3分) 1241(sin )x x x dx -+=⎰ .3. (3分) 201lim sinx x x→= . 4. (3分) 3223y x x =-的极大值为 .三、计算题(共42分) 1. (6分)求2ln(15)lim.sin 3x x x x→+ 2. (6分)设2,1y x =+求.y '3. (6分)求不定积分2ln(1).x x dx +⎰4. (6分)求3(1),f x dx -⎰其中,1,()1cos 1, 1.x xx f x xe x ⎧≤⎪=+⎨⎪+>⎩5. (6分)设函数()y f x =由方程0cos 0y xt e dt tdt +=⎰⎰所确定,求.dy6. (6分)设2()sin ,f x dx x C =+⎰求(23).f x dx +⎰7. (6分)求极限3lim 1.2nn n →∞⎛⎫+ ⎪⎝⎭四、解答题(共28分)1. (7分)设(ln )1,f x x '=+且(0)1,f =求().f x2. (7分)求由曲线cos 22y x x ππ⎛⎫=-≤≤ ⎪⎝⎭与x 轴所围成图形绕着x 轴旋转一周所得旋转体的体积.3. (7分)求曲线3232419y x x x =-+-在拐点处的切线方程.4. (7分)求函数y x =+[5,1]-上的最小值和最大值. 五、证明题(6分)设()f x ''在区间[,]a b 上连续,证明1()[()()]()()().22bbaab a f x dx f a f b x a x b f x dx -''=++--⎰⎰(二)一、 填空题(每小题3分,共18分)1.设函数()23122+--=x x x x f ,则1=x 是()x f 的第 类间断点.2.函数()21ln x y +=,则='y. 3. =⎪⎭⎫⎝⎛+∞→xx x x 21lim. 4.曲线x y 1=在点⎪⎭⎫⎝⎛2,21处的切线方程为 . 5.函数2332x x y -=在[]4,1-上的最大值 ,最小值 .6.=+⎰dx xx21arctan .二、 单项选择题(每小题4分,共20分) 1.数列{}n x 有界是它收敛的( ) .() A 必要但非充分条件; () B 充分但非必要条件 ;() C 充分必要条件; () D 无关条件.2.下列各式正确的是( ) .() A C e dx e x x +=--⎰; () B C xxdx +=⎰1ln ; () C ()C x dx x +-=-⎰21ln 21211; () D C x dx xx +=⎰ln ln ln 1. 3. 设()x f 在[]b a ,上,()0>'x f 且()0>''x f ,则曲线()x f y =在[]b a ,上.() A 沿x 轴正向上升且为凹的; () B 沿x 轴正向下降且为凹的;() C 沿x 轴正向上升且为凸的; () D 沿x 轴正向下降且为凸的.4.设()x x x f ln =,则()x f 在0=x 处的导数( ).() A 等于1; () B 等于1-;() C 等于0; () D 不存在.5.已知()2lim 1=+→x f x ,以下结论正确的是( ).() A 函数在1=x 处有定义且()21=f ; () B 函数在1=x 处的某去心邻域内有定义;() C 函数在1=x 处的左侧某邻域内有定义;() D 函数在1=x 处的右侧某邻域内有定义.三、 计算(每小题6分,共36分) 1.求极限:xx x 1sinlim 20→. 2. 已知()21ln x y +=,求y '. 3. 求函数x x y sin =()0>x 的导数.4. ⎰+dx xx 221. 5. ⎰xdx x cos .6.方程yxx y 11=确定函数()x f y =,求y '.四、 (10分)已知2x e 为()x f 的一个原函数,求()⎰dx x f x 2.五、 (6分)求曲线x xe y -=的拐点及凹凸区间. 六、 (10分)设()()C ex dx x f x++='⎰1,求()x f .(三)一、填空题(本题共5小题,每小题4分,共20分).(1) 210)(cos lim x x x → =_____e 1________.(2)曲线x x y ln =上与直线01=+-y x 平行的切线方程为___1-=x y ______.(3)已知xx xe e f -=')(,且0)1(=f , 则=)(x f ______=)(x f 2)(ln 21x _____ .(4)曲线132+=x x y 的斜渐近线方程为 _______.9131-=x y __(5)微分方程522(1)1'-=++y y x x 的通解为_________.)1()1(32227+++=x C x y二、选择题 (本题共5小题,每小题4分,共20分). (1)下列积分结果正确的是( D )(A) 0111=⎰-dx x (B) 21112-=⎰-dx x(C) +∞=⎰∞+141dx x (D) +∞=⎰∞+11dx x(2)函数)(x f 在],[b a 内有定义,其导数)('x f 的图形如图1-1所示,则( D ).(A)21,x x 都是极值点.(B) ()())(,,)(,2211x f x x f x 都是拐点. (C) 1x 是极值点.,())(,22x f x 是拐点. (D) ())(,11x f x 是拐点,2x 是极值点. 图1-1(3)函数212e e e x x xy C C x -=++满足的一个微分方程是( D ).(A )23e .x y y y x '''--= (B )23e .xy y y '''--= (C )23e .x y y y x '''+-=(D )23e .xy y y '''+-=(4)设)(x f 在0x 处可导,则()()000limh f x f x h h →--为( A ).(A) ()0f x '. (B) ()0f x '-. (C) 0. (D)不存在 .(5)下列等式中正确的结果是 ( A ).(A)(())().f x dx f x '=⎰ (B) ()().=⎰df x f x(C) [()]().d f x dx f x =⎰ (D) ()().f x dx f x '=⎰三、计算题(本题共4小题,每小题6分,共24分).1.求极限)ln 11(lim 1x x x x --→. 解 )ln 11(lim 1x x x x --→=x x x x x x ln )1(1ln lim 1-+-→ 1分 =x x x x x ln 1ln lim1+-→ 2分 = x x x xx x ln 1ln lim1+-→ 1分= 211ln 1ln 1lim 1=+++→x x x 2分2.方程⎩⎨⎧+==t t t y t x sin cos sin ln 确定y 为x 的函数,求dx dy 与22dx y d .解 ,sin )()(t t t x t y dx dy =''= (3分).sin tan sin )()sin (22t t t t t x t t dx y d +=''= (6分)3. 4. 计算不定积分. 222(1) =2arctan 2 =2d x C =----------+------+---------⎰⎰分分(分4.计算定积分⎰++3011dxx x.解 ⎰⎰-+-=++3030)11(11dx x x x dx x x ⎰+--=3)11(dx x (3分)35)1(3233023=++-=x (6分)(或令t x =+1)四、解答题(本题共4小题,共29分).1.(本题6分)解微分方程256xy y y xe '''-+=.2.(本题7分)一个横放着的圆柱形水桶(如图4-1),桶内盛有半桶水,设桶的底半径为R ,水的比重为γ,计算桶的一端面上所受的压力.解:建立坐标系如图22022220322203*********RRRP gx R x dx g R x d R x g R x g R ρρρρ=----------=---------=--------=----------------⎰⎰分()分[()]分分3. (本题8分)设()f x 在[,]a b 上有连续的导数,()()0f a f b ==,且2()1b af x dx =⎰,试求()()b axf x f x dx'⎰.222()()()()21 ()221 =[()]()2211=0222b b aab ab b a a xf x f x dx xf x df x xdf x xf x f x dx '=-----=---------=----------⎰⎰⎰⎰解:分分分分4. (本题8分)过坐标原点作曲线x y ln =的切线,该切线与曲线x y ln =及x 轴围成平面图形D.(1) (3) 求D 的面积A; (2) (4) 求D 绕直线e x =旋转一周所得旋转体的体积V.x y 2122312*20101*223212-56012,31.1()111.21(1)121(1).12x x x x x x x r r r r e C e y x b x b e b b y x x e y e C e x x e +=----------==----------+-------=+-----------=-=-=-------------=+-+----解:特征方程分特征解.分 次方程的通解Y =C 分令分代入解得,所以分所以所求通解C 分解:(1) 设切点的横坐标为0x ,则曲线x y ln =在点)ln ,(00x x 处的切线方程是).(1ln 000x x x x y -+= ----1分由该切线过原点知 01ln 0=-x ,从而.0e x =所以该切线的方程为.1x e y =----1分平面图形D 的面积⎰-=-=10.121)(e dy ey e A y ----2分(2) 切线xe y 1=与x 轴及直线e x =所围成的三角形绕直线e x =旋转所得的圆锥体积为 .3121e V π= 2分曲线x y ln =与x 轴及直线e x =所围成的图形绕直线e x =旋转所得的旋转体体积为dye e V y 2102)(⎰-=π, 1分因此所求旋转体的体积为).3125(6)(312102221+-=--=-=⎰e e dy e e e V V V y πππ 1分五、证明题(本题共1小题,共7分).1.证明对于任意的实数x ,1xe x ≥+.解法一:2112xe e x x xξ=++≥+解法二:设() 1.xf x e x =--则(0)0.f = 1分 因为() 1.xf x e '=- 1分 当0x ≥时,()0.f x '≥()f x 单调增加,()(0)0.f x f ≥= 2分 当0x ≤时,()0.f x '≤()f x 单调增加,()(0)0.f x f ≥= 2分所以对于任意的实数x ,()0.f x ≥即1xe x ≥+。
2018最新⾼等数学期末考试试题及答案详解⾼等数学期末考试试题及答案详解⼀、填空题:(本题共5⼩题,每⼩题4分,满分20分,把答案直接填在题中横线上)1、已知向量a 、b 满⾜0a b += ,2a =,2b = ,则a b ?= .2、设ln()z x xy =,则32zx y= . 3、曲⾯229x y z ++=在点(1,2,4)处的切平⾯⽅程为.4、设()f x 是周期为2π的周期函数,它在[,)ππ-上的表达式为()f x x =,则()f x 的傅⾥叶级数在3x =处收敛于,在x π=处收敛于.5、设L 为连接(1,0)与(0,1)两点的直线段,则()Lx y ds +=? .※以下各题在答题纸上作答,答题时必须写出详细的解答过程,并在每张答题纸写上:姓名、学号、班级.⼆、解下列各题:(本题共5⼩题,每⼩题7分,满分35分)1、求曲线2222222393x y z z x y++==+在点0M (1,1,2)-处的切线及法平⾯⽅程. 2、求由曲⾯2222z x y =+及226z x y =--所围成的⽴体体积. 3、判定级数11(1)ln nn n n∞=+-∑是否收敛?如果是收敛的,是绝对收敛还是条件收敛? 4、设(,)sin x z f xy y y =+,其中f 具有⼆阶连续偏导数,求2,z zx x y. 5、计算曲⾯积分,dS z ∑其中∑是球⾯2222x y z a ++=被平⾯(0)z h h a =<<截出的顶部.三、(本题满分9分)抛物⾯22z x y =+被平⾯1x y z ++=截成⼀椭圆,求这椭圆上的点到原点的距离的最⼤值与最⼩值.计算曲线积分(sin )(cos )x x Le y m dx e y mx dy -+-?,其中m 为常数,L 为由点(,0)A a ⾄原点(0,0)O 的上半圆周22(0)x y ax a +=>.四、(本题满分10分)求幂级数13nn n x n ∞=?∑的收敛域及和函数.五、(本题满分10分)计算曲⾯积分332223(1)I x dydz y dzdx zdxdy ∑=++-??,其中∑为曲⾯221(0)z x y z =--≥的上侧.六、(本题满分6分)设()f x 为连续函数,(0)f a =,222()[()]tF t z f x y z dv Ω=+++,其中t Ω是由曲⾯z =与z =所围成的闭区域,求 30()lim t F t t+→.备注:①考试时间为2⼩时;②考试结束时,请每位考⽣按卷⾯→答题纸→草稿纸由表及⾥依序对折上交;不得带⾛试卷。
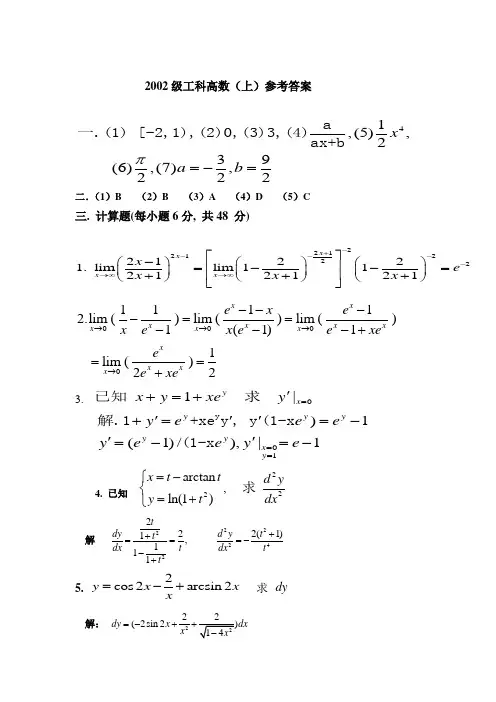
2002级工科高数(上)参考答案41,(5),239(6),(7),222x a b π=-=a 一.(1) [-2,1),(2)0,(3)3,(4)ax+b二.(1)B (2)B (3)A (4)D (5)C三. 计算题(每小题6分, 共48 分)2212122221221.lim lim 11212121-+----→∞→∞⎡⎤-⎛⎫⎛⎫⎛⎫⎢⎥=--= ⎪ ⎪ ⎪⎢⎥+++⎝⎭⎝⎭⎝⎭⎣⎦x x x x x e x x x 000011112.lim ()lim ()lim ()1(1)11lim ()22x x x x x x x x x x x x x e x e x e x e e xe e e xe →→→→----==---+==+3. 01|yx x y xey ='+=+已知求01)1(1)/),|1y y y y y x y y e e e y e e y e =='''+==-''=-=-y 解.1+xe y , y (1-x (1-x4. 已知222a r c t a n ,l n (1)x t t d ydx y t =-⎧⎨=+⎩求解 222242222(1)1,11tdy d y t t dx tdx tt++===--+ 5. 2cos 2arcsin 2y x x x=-+ 求 dy解:22(2sin 2dy x dx x =-+6.1|l n |eex d x⎰1111111|ln |ln ln 1[(ln 1)][(ln 1)]2(1)eeeeee x dx xdx xdxx x x x e=-+=--+-=-⎰⎰⎰7.⎰212(arccos )=-=++⎰⎰⎰x c008.||1xx x x xe dx xee dx e +∞+∞--+∞--+∞=-+=-=⎰⎰四. 设f(x) 在(0,)+∞内可微, 并满足1()()xx xf x f t dt +=⎰, 求f(x) (6分)1(())(()),1()()()11(),()ln ||(1)xx xf x f t dt f x xf x f x f x f x dx x cx x'''+=++='=-=-=-+⎰⎰在原式中,令x=1 得 1+f(1)=0, 从而得 f(x)=-1,代入(1)中得 c=-1所以 f(x)=-(1+lnx)五. 在曲线2(0)y x x =>上某一点A 处作切线,使之与该曲线以及X 轴所围成的图形的面积是112, 试求:(1)切点A 的坐标; (2)过切点A 的切线方程。
2008学年第1学期 考试科目:高等数学(经济类)一 .填空题(每小题3分,共15分) 1.设函数2()x f x e=,[()]1f g x x =-,且()0g x ≥,则()g x = 的定义域为 。
2. 设0x →时,tan xx ee -是与n x 同阶的无穷小,则n = 。
3. 某商品的需求量Q 与价格P 的函数关系为b Q aP =,其中a 和b 为常数,且0a ≠,则需求量Q 对价格P 的弹性是 。
4. 若函数()f x 的一个原函数是ln xx,则()xf x dx '=⎰ 。
5. 函数()f x 在[],a b 区间上可积的必要条件是 ;函数()f x 在[],a b 区间上可积的两个充分条件分别是 ; 。
二.单项选择题(每小题3分,共15分)1. 设函数1sin ,0()0,0x x f x x x ⎧≠⎪=⎨⎪=⎩ 在0x =处 ( )。
A .极限不存在;B .极限存在但不连续;C .连续但不可导;D.连续并且可导。
2. 设在[]0,1上,()0f x ''>,则(0),(1),(1)(0),(0)(1)f f f f f f''--这四个数字的大小顺序为( )。
A .(1)(0)(1)(0)f f f f ''>>-;B .(1)(1)(0)(0)f f f f ''>->C .(1)(0)(1)(0)f f f f ''->>;D .(1)(0)(1)(0)f f f f ''>-> 。
3. 设函数()f x 连续,且10()2()d f x x f t t =+⎰,则1()d f x x =⎰( )。
A .1; B .12; C .12-; D .2. 4.设()f x 是连续函数,且()()d x e xF x f t t -=⎰,则()F x '等于( )。
2004学年第1学期 考试科目:高等数学(经贸类)一.填空题(每空2分)1.已知0→x 时, 1)1(312-+ax 与1cos -x 为等价无穷小量,则=a2.函数216ln x x y -+=的定义域为3. 已知10)0('=f ,则xx f x f x )()2(lim 0-→= 。
4.已知x x a y 3cos 31sin +=在3π=x 处有极值,则=a 5.设)3cos(x y =,则)12(y = 。
6.若等式)34(x ad dx -=成立,则=a7.设收益函数201.0150)(x x x R -=(元),当产量100=x 时,其边际收益是 。
8.由曲线)(θr r =及射线βθαθ==,所围的曲边扇形面积公式为 。
9.设曲线的参数方程为⎩⎨⎧==)()(t y y t x x ,βα≤≤t ,则弧长公式为 。
10.53)1(lim e xk x x =+∞→,则=k 二.选择题(每题3分) 1.当0→x 时,x e x sin 1--是2x 的 无穷小。
A. 低阶; B. 高阶; C. 等价; D. 同阶非等价;2.设x x x f -+=22)(在区间),(+∞-∞内是 。
A 偶函数 B.单调增函数 C.有界函数 D.单调减函数3.设)1(1)(2--=x x x x f ,则x=1是)(x f 的 间断点。
A .第二类间断点; B.可去; C.跳跃;4.函数)(x f 在0x 处左、右连续是)(x f 在0x 处连续的 。
A .必要条件; B.充分条件; C.充分必要条件; D.都不是;5.⎰+=c e x dx x f x 22)(,则)(x f =A. x xe 22B. x e x 222C. c xe x +22D. )1(22x xe x +三.解答下列各题(第9题10分,其余每题5分)1.2002lim 22x dt e t x t x ⎰+→ 2. 设sin x y x =,求dy 3.⎰--+dx e e xx1 4. ⎰xdx ln 5. ⎰-2022adx x a 6. ⎰+∞-1dx xe x 7. 确定a 、b 的值,使函数⎩⎨⎧≤>+=1,1,)(2x x x b ax x f 在定义域内可导。
高等数学一(II )期末B 卷答案与评分标准一、 计算二重积分 ∬xy Ddxdy , 其中 D 为第一象限内的椭圆区域: x 24+y 2≤1,x ≥0, y ≥0.(7分)解:使用广义极坐标变换,即x =2r cos θ,y =r sin θ(1分),积分区域可表示为0≤θ<π2,0≤r ≤1(1分)注意到J =D (x,y )D (r,θ)=[2cos θsin θ−2r sin θr cos θ]=2r (1分),我们有 ∬xy D dxdy =∫dθπ/2∫2r cos θ⋅r sin θ⋅|J |10dr (1分)=∫4cos θ⋅sin θdθπ/2∫r 31dr (1分)=∫2sin 2θdθπ/2×r 44|01=−cos 2θ|0π2×14(1分) =−(−1−1)×14=12(1分)二、 设 Ω 为曲面 z =1 与上半球面 z =√3−x 2−y 2 所围成的区域,S 为 Ω 的边界,求第一型曲面积分 ∬(x +S1)dS 的值. (7分)解:首先通过方程z =1=√3−x 2−y 2,容易算得两曲面交线为x 2+y 2=2,故积分投影区域为D:x 2+y 2≤2,上表面为上半球面z 上=√3−x 2−y 2,下表面为平面z 下≡1.(1分)同时,可计算出√1+z 上x 2+z 上y2=√3−x 2−y 2√1+z 下x 2+z 下y2=1 (1分),由对称性,注意到两个表面均关于Oyz 平面对称,且x 关于x 为奇函数,所以有:∬(x +1)SdS =∬1SdS (对称性,1分)=∬3√3−x 2−y 2D +1dxdy (1分)=∫dθ2π0∫[3√3−r 21]⋅r √20dr (极坐标,1分) =2π×[−3√3−r 2+r 22]|0√2=2π×(−3−(−3√3)+1−0)=(6√3−4)π(1分)注:本题复杂度偏大,考生即使没有使用对称性,如果能正确列式评分至少可以给到4分。
大一高等数学期末考试试卷一、选择题(共12分)1. (3分)若2,0,(),0x e x f x a x x ⎧<=⎨+>⎩为连续函数,则a 的值为( ).(A)1 (B)2 (C)3 (D)-12. (3分)已知(3)2,f '=则0(3)(3)lim 2h f h f h →--的值为( ). (A)1 (B)3 (C)-1 (D)123. (3分)定积分22ππ-⎰的值为( ). (A)0 (B)-2 (C)1 (D)24. (3分)若()f x 在0x x =处不连续,则()f x 在该点处( ).(A)必不可导 (B)一定可导(C)可能可导 (D)必无极限二、填空题(共12分)1.(3分) 平面上过点(0,1),且在任意一点(,)x y 处的切线斜率为23x 的曲线方程为 .2. (3分) 1241(sin )x x x dx -+=⎰ .3. (3分) 201lim sin x x x→= .4. (3分) 3223y x x =-的极大值为 .三、计算题(共42分)1. (6分)求20ln(15)lim .sin 3x x x x →+ 2. (6分)设y =求.y ' 3. (6分)求不定积分2ln(1).x x dx +⎰4. (6分)求30(1),f x dx -⎰其中,1,()1cos 1, 1.x x x f x x e x ⎧≤⎪=+⎨⎪+>⎩5. (6分)设函数()y f x =由方程00cos 0y x t e dt tdt +=⎰⎰所确定,求.dy 6. (6分)设2()sin ,f x dx x C =+⎰求(23).f x dx +⎰7. (6分)求极限3lim 1.2nn n →∞⎛⎫+ ⎪⎝⎭四、解答题(共28分) 1. (7分)设(ln )1,f x x '=+且(0)1,f =求().f x2. (7分)求由曲线cos 22y x x ππ⎛⎫=-≤≤ ⎪⎝⎭与x 轴所围成图形绕着x 轴旋转一周所得旋转体的体积.3. (7分)求曲线3232419y x x x =-+-在拐点处的切线方程.4. (7分)求函数y x =+[5,1]-上的最小值和最大值.五、证明题(6分)设()f x ''在区间[,]a b 上连续,证明标准答案一、 1 B; 2 C; 3 D; 4 A.二、 1 31;y x =+ 2 2;33 0;4 0. 三、 1 解 原式205lim 3x x x x →⋅= 5分 53= 1分 2 解22ln ln ln(1),12x y x x ==-++Q 2分2212[]121x y x x '∴=-++ 4分 3 解 原式221ln(1)(1)2x d x =++⎰ 3分 222212[(1)ln(1)(1)]21x x x x dx x=++-+⋅+⎰ 2分 2221[(1)ln(1)]2x x x C =++-+ 1分4 解 令1,x t -=则 2分3201()()f x dx f t dt -=⎰⎰ 1分1211(1)1cos t tdt e dt t -=+++⎰⎰ 1分210[]t e t =++ 1分21e e =-+ 1分5 两边求导得cos 0,y e y x '⋅+= 2分cos y xy e '=-Q 1分cos sin 1xx =- 1分cos sin 1xdy dx x ∴=- 2分6 解 1(23)(23)(22)2f x dx f x d x +=++⎰⎰2分21sin(23)2x C =++ 4分7 解 原式=23323lim 12nn n ⋅→∞⎛⎫+ ⎪⎝⎭ 4分 =32e 2分四、1 解 令ln ,x t =则,()1,t t x e f t e '==+ 3分()(1)t f t e dt =+⎰=.t t e C ++ 2分(0)1,0,f C =∴=Q 2分().x f x x e ∴=+ 1分2 解 222cos x V xdx πππ-=⎰ 3分 2202cos xdx ππ=⎰ 2分 2.2π= 2分 3 解 23624,66,y x x y x '''=-+=- 1分令0,y ''=得 1.x = 1分当1x -∞<<时,0;y ''< 当1x <<+∞时,0,y ''> 2分 (1,3)∴为拐点, 1分该点处的切线为321(1).y x =+- 2分4 解1y '=-= 2分 令0,y '=得3.4x =1分35(5)5 2.55,,(1)1,44y y y ⎛⎫-=-+≈-== ⎪⎝⎭ 2分∴ 最小值为(5)5y -=-+最大值为35.44y ⎛⎫= ⎪⎝⎭ 2分 五、证明()()()()()()b b a ax a x b f x x a x b df x '''--=--⎰⎰ 1分 [()()()]()[2()b b a a x a x b f x f x x a b dx ''=----+⎰ 1分 [2()()b a x a b df x =--+⎰ 1分{}[2()]()2()b b a a x a b f x f x dx =--++⎰ 1分 ()[()()]2(),b a b a f a f b f x dx =--++⎰ 1分移项即得所证. 1分。
大一高等数学期末考试试卷及复习资料详解大一高等数学期末考试试卷(一)一、选择题(共12分)1.(3分)若/3= 2XXV0,为连续函数,则d的值为().a+ x,x>0(A)I (B) 2 (C)3 (D)-I2.(3分)已知厂⑶=2,则Ii y "7⑶的值为().λ→0 2hOOl (B) 3 (C)-I (D)I23.(3分)定积分∫>Λ∕1-COS23Xdx的值为()•■⑷ 0 (B)-2 (C)I (D) 24.(3分)若/⑴在“勺处不连续,则/3在该点处()・(A)必不可导(B)—定可导(C)可能可导(D)必无极限二、填空题(共12分)1.(3分)平面上过点(0,1),且在任意一点(Λ∙,y)处的切线斜率为3疋的曲线方程为_________________________ .2.( 3 分)∫ ι(x2+x4 Sin XyIX = _______ 1-3.(3 分)IilnX2 Sin丄= ・.r→υX4.(3分)y = 2√ -3√的极大值为________________ —2 (6分)设尸冕,求*JT + 1三、计算题(共42分)1.(6 分)求Iim史S.∙*→υ Sin 3x^3.(6分)求不定积分JXIn(I+十)厶.x .v<ι4.(6 分)求J /(X-1)JΛ∖其中/(x)= < l + cosχ,e' +l,x> 1.5.(6分)设函数y = f(x)由方程JO e,M + [cos∕d∕ = 0所确定,求dy.6.( 6 分)设 f f{x)dx = Sin + C,求j + 3)dx.7.(6 分)求极限IinJI÷-Γn→30k 2/7 7四、解答题(共28分)1.(7 分)设,Γ(lnx) = l+x,且/(0) = 1,求32.(7分)求由曲线y = cosx[-^-<x<^及X轴所围成图形绕着X轴旋I 2 2)转一周所得旋转体的体积.3.(7分)求曲线y = x3-3√÷24x-19在拐点处的切线方程•4.(7分)求函数y = x + √∏7在[-5,1]上的最小值和最大值.五、证明题(6分)设厂(X)在区间[“]上连续,证明i a f^dx = ¥ [/(“) + f(b)]+1 [(X - a)(x - b)fj)dx.(二)一、填空题(每小题3分,共18分)1.设函数/(χ)= 2χ2~1 ,则"1是心)的第_________ 类间断点.X -3x + 23.=∙v→∞V X)4・ 曲线 V 在点(扣)处的切线方程 为 ・5 .函数J = 2X 3-3X 2在[-1,4]上的最大值 _________________ ,最小值 __________ .二、 单项选择题(每小题4分,共20分)1.数列&”}有界是它收敛的( )•(A)必要但非充分条件; (C)充分必要条件; 2.下列各式正确的是((B)充分但非必要条件; (D)无关条件.)・(A) je-χdx=e"x+C i(B) J In X(IX = _ + C ; (C)JI 2∕x=2hl (l 2x)+C ;(D) f —5—JX = Inlllx+ C ・' ,J XInX3-设/(x)在RM 上,广(x)>O 且厂(x)>0,则曲线y = f(x)在[“问上•6.∣∙arctanx J l +x 2(IX(小沿X轴正向上升且为凹(B)沿兀轴正向下降且为凹的;的;(D)沿X轴正向下降且为凸(C)沿兀轴正向上升且为凸的;的.则/(x)在兀=0处的导? :( )•4. 设/(*)=XInX ’⑷等于1;(C)等于O ;(D)不存在•5.已知Ihn/(x)= 2,以下结论正确的是()•G)函数在工=1处有定义且/(1)=2 ; (B)函数在;V = I处的某去心邻域内有定义;(C)函数在2 1处的左侧某邻域内有定义;(D)函数在21处的右侧某邻域内有定义.三、计算(每小题6分,共36分)1.求极限:HlnX2 sinx→0X2.已知y = ln(l + χ2),求几3.求函数J = >0)的导数.5.J X COS XdX ・丄 16.方程y x =X y确定函数y = f(x)f求八四、(H)分)已知/为/(X)的一个原函数,求∫x2∕(x}∕x.五、(6分)求曲线,=壮7的拐点及凹凸区间.六、(10 分)设J广(√∑)/X = X(e、' +1)+C ,求/(X)・(三)填空题(本题共5小题,每小题4分,共20分)・±J_(1)⅛(COSX)r = ________ 石________ .(2)曲线A = Xlnx上及直线X-y + l= °平行的切线方程为y =x-∖(3 )已知f f(e x) = xe~x,且/(D = O ,则大一高等数学期末考试试卷及复习资料详解/(X)= _________ /Cv)= 2(In X)________ .X 211(4)曲线V =3777的斜渐近线方程为 _______ V= 3Λ^9,二、选择题(本题共5小题,每小题4分,共20分)・(1)下列积分结果正确的是(D )(2)函数/W 在[恥]内有定义,其导数广⑴的图形如图1-1所示, 则(D ) •(A)刁宀都是极值点.⑻ g ,/3)),(£,/(£))都是拐点.(C) F 是极值点.,U 是拐点. (D) WJy))是拐点,勺是极值点.(3) 函数y = qe v ÷C 2e-÷A -e'满足的一个微分方程是(D ).(A) /-y-2>∙ = 3xe t . (B) /-y-2y = 3e v . (C) / + y-2y = 3Λ∙e c .(D) / + y~2y = 3e r .lim∕(⅞)-∕(⅞~z0 (4) 设/W 在%处可导,则I h 为(A ) •⑷ 广仇). (B) -f ,M.(C) O. (D)不存在.(5)下列等式中正确的结果是((A) (J* /(x)"∙χ)'Z=/W-(C) 町 /(χ)"χ]=/W -) 微分方程= (V+1)-的通解为三、计算J (本 共4小题,每小题6分,共24分).y =3 _5 "3 O(或令 √Γ+χ = r)四、解答题(本题共4小题,共29分)•1. (本题6分)解微分方程r-5∕÷6j = xe -.解:特征方程r 2-5r + 6 = 0 ------------- 1分 特征解斤=2,r 2 =3. ------------ 1分 3x大一高等数学期末考试试卷及复习资料详解 恤(丄—丄)1∙求极限j X-I In —X 11. xlnx-x+1Iim (—— _ ——)IIm ---------In XIUn I XTl x-1 I---- + In xh ∖x Iim x →,X -1 + xln1.1 + In X 1 IUn -------- =— j 1 + In X +1 2Λ = In Sin t2.方程尸COSWSinf 确定V 为X 的函数,dy y ,(f)-=-一 =∕sm∕, 解 JX 十⑴求dx 及Jx 2 .(3分) (6分)arctan JX3. 4.计算不定积分J石(1+『. arctanA∕√7—— (i + χ)=21 arctan √7t∕ arctan y ∕x ——解 Hatan 仇=2 J √x(l + x)=(arctan2+C ——「一 dx4.计算定积分如+曲.'3χ(l -VTTX) 0解 分)oT7⅛7_ V dx = 一J(:(I-、/i+x)〃X(6分)LL i∖l4/1 «\ ? r V 八2.(本题7分)一个横放着的圆柱形水桶(如图4-1),桶内盛有半桶水,设桶的底半径为R ,水的比重为乙计算桶的一端面上所受的压力.解:建立坐标系如图3.(本题8分)设/B在S】上有连续的导数,f(u) = f(b) = θ9且∫O∕2(X)JΛ =1^试求∫>∕ω∕解:J:Xf(X)f∖x)dx = £ Xf(X)df(x) 2 分= -∫n^^W ------------ 2 分=IV 2(Λ-)⅛-|£72(X)厶一一2 分4.(本题8分)过坐标原点作曲线>, = h^的切线,该切线及曲线y =lnx及X轴围成平面图形D.⑴(3) 求D的面积A;⑵(4) 求D绕直线X = e旋转一周所得旋转体的体积V.解:(1)设切点的横坐标为",则曲线y = In Λ在点(⅞Jn ⅞)处的切线方程y = Inx0 + —(X-X0).氐__I分由该切线过原点知山心-1 = 0,从而心=匕所以该切线的方程为1y = -X.平面图形D的面积1V = -X(2)切线"及X轴及直线Xe所围成的三角形绕直线Xe旋转V I = -7te1所得的圆锥体积为,3 2分曲线尸IZ及X轴及直线所围成的图形绕直线Xe旋转所得的旋转体体积为V2=(oπ(e-e>)2dy9】分因此所求旋转体的体积为V=V l-V2=-^2-e y)2dy = -(5e2-∖2e + 3).五、证明题(本题共1小题,共7分)•1.证明对于任意的实数Y , eJl + x.e x = l + x + —Λ2≥l + x2解法二设fM = e x-x~^则/(0) = 0.因为f f M = e x-∖. 1 分当Xno时,f,M≥o.f(χ)单调增加,/(χ)≥∕(θ)=o.当x≤0时,∕,ω≤0.∕(Λ∙)单调增加,/(X)≥/(0) =0. 所以对于任意的实数X, ∕3≥°∙即e'≥l + I 解法三:由微分中值定理得,R -1 = “ -60 =^(X-O) = ^Xt 其中§位于0 到X 之一1分2分A = V -ey)dy = ~e~^∙解法一:2分2分1分2分间。
2018级大一上学期高数期末考试一、单项选择题 (本大题有4小题, 每小题4分, 共16分) 1. )(0),sin (cos )( 处有则在设=+=x x x x x f .(A )(0)2f '= (B )(0)1f '=(C )(0)0f '= (D )()f x 不可导.2. )时( ,则当,设133)(11)(3→-=+-=x x x x xx βα.(A )()()x x αβ与是同阶无穷小,但不是等价无穷小; (B )()()x x αβ与是等价无穷小;(C )()x α是比()x β高阶的无穷小; (D )()x β是比()x α高阶的无穷小.3. 若()()()02xF x t x f t dt=-⎰,其中()f x 在区间上(1,1)-二阶可导且'>()0f x ,则( ).(A )函数()F x 必在0x =处取得极大值; (B )函数()F x 必在0x =处取得极小值;(C )函数()F x 在0x =处没有极值,但点(0,(0))F 为曲线()y F x =的拐点; (D )函数()F x 在0x =处没有极值,点(0,(0))F 也不是曲线()y F x =的拐点。
4.)()( , )(2)( )(10=+=⎰x f dt t f x x f x f 则是连续函数,且设(A )22x (B )222x+(C )1x - (D )2x +.二、填空题(本大题有4小题,每小题4分,共16分) 5. =+→xx x sin 2)31(lim .6. ,)(cos 的一个原函数是已知x f xx=⋅⎰x xxx f d cos )(则.7.lim(cos cos cos )→∞-+++=22221L n n nnn n ππππ .8. =-+⎰21212211arcsin -dx xx x .三、解答题(本大题有5小题,每小题8分,共40分)9. 设函数=()y y x 由方程sin()1x ye xy ++=确定,求'()y x 以及'(0)y . 10. .d )1(177x x x x ⎰+-求11. . 求,, 设⎰--⎪⎩⎪⎨⎧≤<-≤=1 32)(1020)(dx x f x x x x xe x f x12. 设函数)(x f 连续,=⎰10()()g x f xt dt,且→=0()limx f x A x ,A 为常数. 求'()g x 并讨论'()g x 在=0x 处的连续性.13. 求微分方程2ln xy y x x '+=满足=-1(1)9y 的解.四、 解答题(本大题10分)14. 已知上半平面内一曲线)0()(≥=x x y y ,过点(,)01,且曲线上任一点M x y (,)00处切线斜率数值上等于此曲线与x 轴、y 轴、直线x x =0所围成面积的2倍与该点纵坐标之和,求此曲线方程. 五、解答题(本大题10分)15. 过坐标原点作曲线x y ln =的切线,该切线与曲线x y ln =及x 轴围成平面图形D.(1) 求D 的面积A ;(2) 求D 绕直线x = e 旋转一周所得旋转体的体积V .六、证明题(本大题有2小题,每小题4分,共8分)16. 设函数)(x f 在[]0,1上连续且单调递减,证明对任意的[,]∈01q ,1()()≥⎰⎰qf x d x q f x dx.17. 设函数)(x f 在[]π,0上连续,且0)(0=⎰πx d x f ,0cos )(0=⎰πdx x x f .证明:在()π,0内至少存在两个不同的点21,ξξ,使.0)()(21==ξξf f (提示:设⎰=xdxx f x F 0)()()解答一、单项选择题(本大题有4小题, 每小题4分, 共16分) 1、D 2、A 3、C 4、C二、填空题(本大题有4小题,每小题4分,共16分)5. 6e . 6.c x x +2)cos (21 .7. 2π. 8.3π.三、解答题(本大题有5小题,每小题8分,共40分) 9. 解:方程两边求导(1)cos()()0x y e y xy xy y +''+++= cos()()cos()x y x ye y xy y x e x xy +++'=-+0,0x y ==,(0)1y '=-10. 解:767u x x dx du == 1(1)112()7(1)71u du duu u u u -==-++⎰⎰原式 1(ln ||2ln |1|)7u u c =-++ 7712ln ||ln |1|77x x C =-++11. 解:1033()x f x dx xe dx ---=+⎰⎰⎰03()x xd e --=-+⎰⎰0232cos (1sin )x x xe e d x πθθθ----⎡⎤=--+-=⎣⎦⎰ 令3214e π=--12. 解:由(0)0f =,知(0)0g =。
大一高等数学期末考试试卷一、选择题(共12分)1. (3分)若2,0,(),0x e x f x a x x ⎧<=⎨+>⎩为连续函数,则a 的值为( ).(A)1 (B)2 (C)3 (D)-12. (3分)已知(3)2,f '=则0(3)(3)lim 2h f h f h→--的值为( ). (A)1 (B)3 (C)-1 (D)123. (3分)定积分22ππ-⎰的值为( ). (A)0 (B)-2 (C)1 (D)24. (3分)若()f x 在0x x =处不连续,则()f x 在该点处( ).(A)必不可导 (B)一定可导(C)可能可导 (D)必无极限二、填空题(共12分)1.(3分) 平面上过点(0,1),且在任意一点(,)x y 处的切线斜率为23x 的曲线方程为 .2. (3分) 1241(sin )x x x dx -+=⎰ . 3. (3分) 201lim sin x x x→= . 4. (3分) 3223y x x =-的极大值为 .三、计算题(共42分)1. (6分)求20ln(15)lim .sin 3x x x x→+2. (6分)设2,1y x =+求.y ' 3. (6分)求不定积分2ln(1).x x dx +⎰4. (6分)求30(1),f x dx -⎰其中,1,()1cos 1, 1.x x x f x x e x ⎧≤⎪=+⎨⎪+>⎩5. (6分)设函数()y f x =由方程00cos 0y xt e dt tdt +=⎰⎰所确定,求.dy6. (6分)设2()sin ,f x dx x C =+⎰求(23).f x dx +⎰7. (6分)求极限3lim 1.2nn n →∞⎛⎫+ ⎪⎝⎭四、解答题(共28分)1. (7分)设(ln )1,f x x '=+且(0)1,f =求().f x2. (7分)求由曲线cos 22y x x ππ⎛⎫=-≤≤ ⎪⎝⎭与x 轴所围成图形绕着x 轴旋转一周所得旋转体的体积.3. (7分)求曲线3232419y x x x =-+-在拐点处的切线方程.4. (7分)求函数y x =+[5,1]-上的最小值和最大值.五、证明题(6分)设()f x ''在区间[,]a b 上连续,证明标准答案一、 1 B; 2 C; 3 D; 4 A.二、 1 31;y x =+ 2 2;33 0;4 0. 三、 1 解 原式205lim3x x x x →⋅= 5分 53= 1分 2 解22ln ln ln(1),12x y x x ==-++ 2分2212[]121x y x x '∴=-++ 4分 3 解 原式221ln(1)(1)2x d x =++⎰ 3分 222212[(1)ln(1)(1)]21x x x x dx x=++-+⋅+⎰ 2分 2221[(1)ln(1)]2x x x C =++-+ 1分 4 解 令1,x t -=则 2分3201()()f x dx f t dt -=⎰⎰ 1分1211(1)1cos t t dt e dt t -=+++⎰⎰ 1分 210[]t e t =++ 1分 21e e =-+ 1分5 两边求导得cos 0,y e y x '⋅+= 2分 cos y x y e '=-1分 cos sin 1x x =- 1分 cos sin 1x dy dx x ∴=- 2分 6 解 1(23)(23)(22)2f x dx f x d x +=++⎰⎰ 2分 21sin(23)2x C =++ 4分7 解 原式=23323lim 12n n n ⋅→∞⎛⎫+ ⎪⎝⎭4分 =32e 2分四、1 解 令ln ,x t =则,()1,t t x e f t e '==+ 3分()(1)t f t e dt =+⎰=.t t e C ++ 2分 (0)1,0,f C =∴= 2分().x f x x e ∴=+ 1分2 解 222cos x V xdx πππ-=⎰ 3分 2202cos xdx ππ=⎰ 2分 2.2π= 2分3 解 23624,66,y x x y x '''=-+=- 1分 令0,y ''=得 1.x = 1分当1x -∞<<时,0;y ''< 当1x <<+∞时,0,y ''> 2分(1,3)∴为拐点, 1分该点处的切线为321(1).y x =+- 2分 4 解1y '=-= 2分 令0,y '=得3.4x = 1分35(5)5 2.55,,(1)1,44y y y ⎛⎫-=-+≈-== ⎪⎝⎭ 2分∴ 最小值为(5)5y -=-+最大值为35.44y ⎛⎫= ⎪⎝⎭ 2分五、证明()()()()()()bba a x a xb f x x a x b df x '''--=--⎰⎰ 1分 [()()()]()[2()b b a a x a x b f x f x x a b dx ''=----+⎰ 1分[2()()b a x a b df x =--+⎰ 1分{}[2()]()2()b b a a x a b f x f x dx =--++⎰ 1分()[()()]2(),b a b a f a f b f x dx =--++⎰ 1分移项即得所证. 1分。
(2017至2018学年第一学期)一、 单项选择题(15分,每小题3分)1、当∞→x 时,下列函数为无穷小量的是( )(A )x Cosx x - (B )x Sinx(C )121-x (D )x x )11(+2.函数)(x f 在点0x 处连续是函数在该点可导的( ) (A )必要条件 (B )充分条件(C )充要条件 (D )既非充分也非必要条件 3.设)(x f 在),(b a 内单增,则)(x f 在),(b a 内( ) (A )无驻点 (B )无拐点 (C )无极值点 (D )0)(>'x f4.设)(x f 在][b a ,内连续,且0)()(<⋅b f a f ,则至少存在一点),(b a ∈ξ使( )成立。
(A )0=)(ξf (B )0=')(ξf(C )0='')(ξf (D ))()()()(a b f a f b f -⋅'=-ξ 5.广义积分)0(>⎰∞+a dxax p当( )时收敛。
(A )1>p (B)1<p (C)1≥p (D)1≤p二、填空题(15分,每小题3分)1、 若当0→x 时,22~11x ax --,则=a ;2、设由方程22a xy =所确定的隐函数)(x y y =,则=dy ;3、函数)0(82>+=x xx y 在区间 单减;在区间 单增;4、若x xe x f λ-=)(在2=x 处取得极值,则=λ ;5、若dx x f dx x xf a ⎰⎰=10102)()(,则=a ;三、计算下列极限。
(12分,每小题6分)1、xx xx )1(lim +∞→ 2、 200)1(lim xdte xt x ⎰-→四、求下列函数的导数(12分,每小题6分)1、241x y -=,求y ' 2、⎪⎩⎪⎨⎧-=+=tt y t x arctan )1ln(2 ,求22dx y d五、计算下列积分(18分,每小题6分)1、dx xxx ⎰+++21arctan 1 2、dx x x ⎰--223cos cos ππ3、设dt ttx f x ⎰=21sin )(,计算dx x xf ⎰10)(六、讨论函数⎪⎪⎩⎪⎪⎨⎧≤>-=2,22,cos 2)(ππππx x x x x x f 的连续性,若有间断点,指出其类型。
高等数学(试卷号:2001-D 时间:150分钟 总分100) 院(系): 专业班: 姓名: 成绩报告表序号:一项符合题目要求,把所选项前的字母填写在题后的括号内。
1、下列函数中是奇函数的为(A )(A) ⎪⎩⎪⎨⎧<->+=00,0,)(22当当x x x x x x f (B) 12121)(+-+=x x x f (C) x x f arccos )(= (D) x e x x x f cos sin )(=2、0=x 是函数xx e x f x sin 12)(1++=的(B )间断点 (A) 跳跃 (B) 可去(C) 无穷 (D) 振荡3、⎩⎨⎧<≥-=00,20,1)(当当x x e x f x ,则)(x f 在0=x 处(D )(A) )(lim 0x f x →不存在 (B) )(lim 0x f x →存在,但在0=x 处不连续 (C) )0(f '存在 (D) )(x f 在0=x 处连续,但不可导4、设)0(,1)(ln >+='x x x f ,则=)(x f (C )换元法。
(A) C x x ++2)(ln 21ln (B) C x x ++221 (C) C e x x ++ (D) C e e x x ++221 5、设⎰⎰+==xxdt t x tdt x 20sin 0)1ln()(,2sin )(βα,则当0→x 时,)(x α与)(x β相比较,)(x α是)(x β的(B )(A) 等价无穷小 (B) 同阶但不等价无穷小(C) 高阶无穷小 (D) 低阶无穷小6、若b ax ax x f +-=236)(在]2,1[-上的最大值为3,最小值为-29,且0>a ,则应有 (A )(A) ;3,2==b a (B) ;3,1==b a(C) 29,2-==b a (D) .2,3==b a二、填空题(本题18分,每小题3分)1.设2)(a a f =',且0>>a b ,则=--→ab a f b f a b ln ln )()(lim 3a 2.曲线2ln 2x x y =的拐点是)23,2(2323-e e (y ’’=0) 3.曲线12+=x xe y 的铅直渐近线方程是0=x4.=+⎰-dx x x x 2222cos )sin 3(ππ8π 6.=+⎰∞+12)1(x x dx 2ln 21三、解答下列各题(本题36分,每小题6分)1.求极限)tan 11(lim 20xx x x -→ 313tan lim 31sec lim tan lim )tan 11(lim 2202203020==-=-=-→→→→xx x x x x x x x x x x x x 2.设⎩⎨⎧>≤+=0),sin(0,)(x ax x b e x f x ,试确定b a ,之值,使)(x f 在0=x 处连续可导, 并求)0(f '要)(x f 在0=x 处连续,1-=b ,⎩⎨⎧=+=+=-0)0()0(1)0(f f b f 而11lim )0(0=-='-→-xe f x x ,a x ax f x =='+→+)sin(lim )0(0 所以,要)(x f 在0=x 处可导,1=a 且1)0(='f3.方程⎪⎩⎪⎨⎧=+-++=01sin 3232y t e t t x y 确定y 是x 的函数,求0=t dx dy 的值2|)26(00=+===t t t dt dx 0cos sin ='-+'⋅t y t y y t e t y e ,1)0(,0===y e dt dy t 于是20e dx dy t ==4.求⎰-dx e xe x x 1 令t e x =-1,则⎰⎰++-+=+=-c t t t t dt t dx e xe x xarctan 44)1ln(2)1ln(2122 ⎰+-+--=-∴c e e x dx e xe x x x x1arctan 41)42(1 5.设⎪⎪⎩⎪⎪⎨⎧<+≥+=0,110,11)(x e x x x f x,求⎰-20)1(dx x f 令t x =-1,⎰⎰⎰⎰--+++==-1101102011)()1(x dx e dt dt t f dx x f t )1ln()]1[ln(|)]1ln([1001e x e t t +=+++-=- 6.计算⎰+31221x x dx令t x tan =,则⎰⎰-=-==+4322sin 1sin cos 13423122ππππt dt t t x x dx 四、(本题9分)在曲线21xy =上求点M ,使过该点的切线被两坐标轴所截得的长度最短。
华南农业大学2011级第一学期(2011-10-12)经济数学期中考试试卷姓名:____________ 学号:_______________ 班级:___ ___ 分数:______一、选择题(每题3分,共30分)1、设函数3()1f x x =- ,则()f x -=( )A.31x - B. 31x -- C. 31x -+ D. 31x +2、函数y = ( )A .3x <B .3x ≤C .4x <D . 4x ≤ 3、( )中的两个函数相同.A .()f x x = ,()g t =B .2()lg f x x =,()2lg g x x =C .21()1x f x x -=+,()1g x x =- D . sin 2()cos x f x x =,()2sin g x x =4、下列函数中 ( )是奇函数。
A .3sin()4x x - B .1010xx-+ C .2cos x x - D .sin xx5、1lim(1)nn n→∞-=( )A . 1B .2eC .1e - D .∞+ 6、下列函数在给定变化过程中是无穷大量的是( ) A.1sin (0)x x x→ B. (0)x e x → C. ln (0)x x +→ D. sin ()x x x→∞ 7、设10()10x e x f x x x ⎧+≤=⎨->⎩,则在0=x 处,)(x f ( )A .连续B .左、右极限不存在C .极限存在但不连续D .左、右极限存在但不相等8、若曲线()f x 在点0x x =处的切线平行于直线234x y +=,则0()f x '=( )A .2B .3C .23D .23- 9、设()x f x e =,则[(sin )]f x '=( )。
A .xe B .sin xeC .sin cos x xeD .sin sin x x e10、下列推导正确的是( )A .若0dy =,则0y =B .若()dy f x dx =,则()y f x '=C .若22y x y =+,则(22)dy x y dx =+D .若(),()y f u u x ϕ==,则(())dy f x dx ϕ'=二、解答题(每题10分,共50分)1、求极限:(1)n →∞ (2)1111122lim11144n n n -→∞-++++++2、求极限: (1)0sin 2lim sin 3x x x → (2)1)21(lim -∞→++x x x x3、设1(12),0()0x x x f x x ax ⎧⎪+>=⎨⎪+≤⎩,求常数a 的值,使()f x 在0x =处连续。
一、填空题(每小题3分,共18分)1)设()f x 连续,则()d f x dx =⎰()f x dx ;()f x dx '=⎰()f x C+。
2)sin x 的带皮亚诺余项的n 阶麦克劳林公式为:()351sin cos 3!5!2!nn x x n x x x x n πο-=-++++ 。
3)曲线()1ln ,0y x e x x ⎛⎫=+> ⎪⎝⎭的渐近线方程为:1y x e=+。
4)设22y x x =-,在1x =处,当0.01x ∆=时,对应有dy =0.03。
5)20x d dx ⎛⎫=⎪⎝⎭⎰2。
6)设{}{}1,2,2,2,1,2a b =-=-,则a b ⨯= {}1226,6,3212i j k-=--。
二、计算下列各题(每小题4分,共20分)1)求极限lim n →∞⎛⎫+解:原式110lim sin 26nn k x arc π→∞=⎡⎤====⎢⎥⎣⎦⎰2)求极限20tan lim sin x x xx x→-解:原式22322000tan 1sec tan 1lim lim lim 333x x x x x x x x x x →→→---====-3)求极限1lim n n →∞⎰解:因为当10,2x ⎡⎤∈⎢⎥⎣⎦时,有102n n ≤≤,由定积分的比较性质有11102n n +≤≤⎰由夹逼准则可得1lim 0n n →∞=⎰4)设函数()21arctan 000x x f x xx ⎧≠⎪=⎨⎪=⎩,讨论()f x '在点0x =处的连续性。
解:当0x ≠时,()22412arctan 1x f x x x '=-+当0x =时,()()()200010limlimarctan 02x x f x f f x x π→→-'===- 因为()()2240012lim lim arctan 012x x x f x f x x π→→⎛⎫''=-== ⎪+⎝⎭ 所以()f x '在点0x =处的连续。
大一高等数学期末考试卷(精编试题)及答案详解一、单项选择题 (本大题有4小题, 每小题4分, 共16分)1. )(0),sin (cos )( 处有则在设=+=x x x x x f . (A )(0)2f '= (B )(0)1f '=(C )(0)0f '= (D )()f x 不可导.2. )时( ,则当,设133)(11)(3→-=+-=x x x x xx βα.(A )()()x x αβ与是同阶无穷小,但不是等价无穷小; (B )()()x x αβ与是等价无穷小;(C )()x α是比()x β高阶的无穷小; (D )()x β是比()x α高阶的无穷小.3. 若()()()02xF x t x f t dt=-⎰,其中()f x 在区间上(1,1)-二阶可导且'>()0f x ,则( ).(A )函数()F x 必在0x =处取得极大值; (B )函数()F x 必在0x =处取得极小值;(C )函数()F x 在0x =处没有极值,但点(0,(0))F 为曲线()y F x =的拐点; (D )函数()F x 在0x =处没有极值,点(0,(0))F 也不是曲线()y F x =的拐点。
4.)()( , )(2)( )(1=+=⎰x f dt t f x x f x f 则是连续函数,且设(A )22x (B )222x+(C )1x - (D )2x +.二、填空题(本大题有4小题,每小题4分,共16分)5. =+→xx x sin 20)31(lim .6.,)(cos 的一个原函数是已知x f xx=⋅⎰x xxx f d cos )(则.7.lim(cos cos cos )→∞-+++=22221n n nnnn ππππ .8.=-+⎰21212211arcsin -dx xx x .三、解答题(本大题有5小题,每小题8分,共40分)9. 设函数=()y y x 由方程sin()1x ye xy ++=确定,求'()y x 以及'(0)y . 10. .d )1(177x x x x ⎰+-求11. . 求,, 设⎰--⎪⎩⎪⎨⎧≤<-≤=1 32)(1020)(dx x f x x x x xe x f x12. 设函数)(x f 连续,=⎰10()()g x f xt dt,且→=0()limx f x A x ,A 为常数. 求'()g x 并讨论'()g x 在=0x 处的连续性.13. 求微分方程2ln xy y x x '+=满足=-1(1)9y 的解.四、 解答题(本大题10分)14. 已知上半平面内一曲线)0()(≥=x x y y ,过点(,)01,且曲线上任一点M x y (,)00处切线斜率数值上等于此曲线与x 轴、y 轴、直线x x =0所围成面积的2倍与该点纵坐标之和,求此曲线方程. 五、解答题(本大题10分)15. 过坐标原点作曲线x y ln =的切线,该切线与曲线x y ln =及x 轴围成平面图形D.(1) 求D 的面积A ;(2) 求D 绕直线x = e 旋转一周所得旋转体的体积V .六、证明题(本大题有2小题,每小题4分,共8分)16. 设函数)(x f 在[]0,1上连续且单调递减,证明对任意的[,]∈01q ,1()()≥⎰⎰qf x d x q f x dx.17. 设函数)(x f 在[]π,0上连续,且0)(0=⎰πx d x f ,0cos )(0=⎰πdx x x f .证明:在()π,0内至少存在两个不同的点21,ξξ,使.0)()(21==ξξf f (提示:设⎰=xdxx f x F 0)()()一、单项选择题(本大题有4小题, 每小题4分, 共16分) 1、D 2、A 3、C 4、C二、填空题(本大题有4小题,每小题4分,共16分)5. 6e .6.cx x +2)cos (21 .7. 2π. 8.3π.三、解答题(本大题有5小题,每小题8分,共40分) 9. 解:方程两边求导(1)cos()()0x ye y xy xy y +''+++=cos()()cos()x y x ye y xy y x e x xy +++'=-+0,0x y ==,(0)1y '=-10. 解:767u x x dx du == 1(1)112()7(1)71u du duu u u u -==-++⎰⎰原式 1(ln ||2ln |1|)7u u c =-++ 7712ln ||ln |1|77x x C =-++11.解:10330()xf x dx xe dx ---=+⎰⎰⎰3()xxd e --=-+⎰⎰00232cos (1sin )x x xe e d x πθθθ----⎡⎤=--+-=⎣⎦⎰令3214e π=--12. 解:由(0)0f =,知(0)0g =。
===⎰⎰1()()()xxt uf u dug x f xt dt x(0)x ≠02()()()(0)xxf x f u dug x x x-'=≠⎰20()()A(0)lim lim22xx x f u duf xg x x →→'===⎰02()()lim ()lim22xx x xf x f u duA Ag x A x→→-'==-=⎰,'()g x 在=0x 处连续。
13. 解:2ln dy y x dx x +=22(ln )dx dx x x y e e xdx C -⎰⎰=+⎰211ln 39x x x Cx -=-+1(1),09y C =-=,11ln 39y x x x=- 四、 解答题(本大题10分)14. 解:由已知且02d xy y x y'=+⎰,将此方程关于x 求导得y y y '+=''2特征方程:022=--r r 解出特征根:.2,121=-=r r其通解为 xx e C e C y 221+=-代入初始条件y y ()()001='=,得31,3221==C C故所求曲线方程为:xx e e y 23132+=-五、解答题(本大题10分)15. 解:(1)根据题意,先设切点为)ln ,(00x x ,切线方程:)(1ln 000x x x x y -=-由于切线过原点,解出e x =0,从而切线方程为:x e y 1=则平面图形面积⎰-=-=1121)(e dy ey e A y(2)三角形绕直线x = e 一周所得圆锥体体积记为V 1,则2131e V π=曲线x y ln =与x 轴及直线x = e 所围成的图形绕直线x = e 一周所得旋转体体积为V 2⎰-=122)(dye e V y πD 绕直线x = e 旋转一周所得旋转体的体积)3125(6221+-=-=e e V V V π六、证明题(本大题有2小题,每小题4分,共12分)16. 证明:1()()qf x d x q f x dx -⎰⎰1()(()())qqqf x d x q f x d x f x dx =-+⎰⎰⎰10(1)()()qqq f x d x q f x dx=--⎰⎰1212[0,][,1]()()12(1)()(1)()0q q f f q q f q q f ξξξξξξ∈∈≥=---≥故有:1()()≥⎰⎰qf x d x q f x dx证毕。
17.证:构造辅助函数:π≤≤=⎰x dt t f x F x0,)()(0。
其满足在],0[π上连续,在),0(π上可导。
)()(x f x F =',且0)()0(==πF F由题设,有⎰⎰⎰⋅+===ππππ0)(sin cos )()(cos cos )(0|dxx F x x x F x xdF xdx x f ,有⎰=π00sin )(xdx x F ,由积分中值定理,存在),0(πξ∈,使0sin )(=ξξF 即0)(=ξF综上可知),0(,0)()()0(πξπξ∈===F F F .在区间],[,],0[πξξ上分别应用罗尔定理,知存在),0(1ξξ∈和),(2πξξ∈,使0)(1='ξF 及0)(2='ξF ,即0)()(21==ξξf f .高等数学I 解答一、单项选择题(在每个小题四个备选答案中选出一个正确答案,填在题末的括号中)(本大题有4小题, 每小题4分, 共16分)1. 当0x x →时,()(),x x αβ都是无穷小,则当0x x →时( D )不一定是无穷小.(A) ()()x x βα+(B) ()()x x 22βα+(C)[])()(1ln x x βα⋅+(D) )()(2x x βα2. 极限ax a x a x -→⎪⎭⎫ ⎝⎛1sin sin lim 的值是( C ). (A ) 1(B ) e(C ) aecot (D ) aetan3.⎪⎩⎪⎨⎧=≠-+=001sin )(2x a x xe x xf ax 在0x =处连续,则a =( D ). (A ) 1(B ) 0(C ) e (D ) 1-4. 设)(x f 在点x a =处可导,那么=--+→h h a f h a f h )2()(lim 0( A ). (A ) )(3a f ' (B ) )(2a f '(C) )(a f ' (D ) )(31a f '二、填空题(本大题有4小题,每小题4分,共16分)5. 极限)0(ln )ln(lim0>-+→a x a a x x 的值是 a 1.6. 由x x y e yx 2cos ln =+确定函数y (x ),则导函数='yxxe ye x yx xyxyln 2sin 2+++- . 7. 直线l 过点M (,,)123且与两平面x y z x y z +-=-+=202356,都平行,则直线l 的方程为131211--=--=-z y x . 8. 求函数2)4ln(2x x y -=的单调递增区间为 (-∞,0)和(1,+∞ ) .三、解答题(本大题有4小题,每小题8分,共32分)9. 计算极限10(1)limxx x ex →+-.解:11ln(1)12000(1)1ln(1)limlim lim2x xxx x x x e e x x ee e x xx +-→→→+--+-===-10. 已知:||3a =,||26b =,30a b ⋅=,求||a b ⨯。
解:1312cos 1sin ,135cos 2=-==⋅=θθθb a b a,72=⨯b a11. 设)(x f 在[a ,b ]上连续,且],[)()()(b a x dtt f t x x F xa∈-=⎰,试求出)(x F ''。