高等代数与解析几何第三章答案
- 格式:pdf
- 大小:325.38 KB
- 文档页数:22
高等代数(北大版第三版)习题答案I篇一:高等代数(北大版)第3章习题参考第三章线性方程组1.用消元法解以下线性方程组:?x1?x?1?1)?x1x1x13x25x34x413x22x32x42x2x3x4x54x2x3x4x52x2x3x4x5 x12x23x42x51x5??1?x1x23x3x43x523 2)2x?3x?4x?5x?2x?72345?139x9x6x16x2x252345?11x3?x7?0?3x1?4x2?5?x1?2x2?3x3?4x4?44x3?x2?0?x2?x3?x4??3?2x1?3x2?343)?4)?4x?11x?13x?16x?0x?3x??x?123424?1?17x?3x?x3?7x?2x?x?3x0234234??1?x1?2x2?3x3?x4?1?2x1?x2?x3?x4?1?3x1?2x2?x3?x4?13x1?2x2?2x3?3x4?25)? 6)?2x1?3x2?x3?x4?12x2x2xx15x1x2x32x4123412xxx3x4234?15x1?5x2?2x3?2解1)对方程组得增广矩阵作行初等变换,有111111000033?2?420000?1521112?3?20?1?4?2?11?1?1200101?1?11010001??110??30??3??01?011?200?0000030?5?7?10000?15?3?4?4?400?200423581200001?1?11010001?2?2? ?221?2?0? ?0?0由于rank(A)?rank(B)?4?5,因此方程组有无穷多解,其同解方程组为x1x412x1x52,?2x03x?x?0?24解得x1x2x3x4x51kk0k22k其中k为任意常数。
2)对方程组德增广矩阵作行初等变换,有112910 ??002?1?3?920?3463151632?3221??120?0725022?3?7?27120?346341110?2?5?2?1631?1 5161334512529?8?011??333033?2529??72?10??334?512529? 8001?1?3330000??01?由于rank(A)?4?rank(A)?3,因此原方程无解。
高代与解几第二章自测题(一)——行列式一、 判断题1. 一个排列施行一次对换后,其逆序数改变1.( × )2. 一个排列施行一次对换后,其奇偶性改变.( √ )3. 2≥n 时,n 级的奇排列共2!n 个. ( √ ) 二、填空题1. 排列)15342( 的逆序数是 5 ,它是一个 奇 排列. 排列 2)22)(2)(12(13 --n n n 的逆序数是 n (n -1) .2. 设行列式ijn nD a ⨯=,则n n A a A a A a 1112121111...+++= D ,n n A a A a A a 5152125111...+++= 0 .3. 行列式D =x x x x x x 2213321232321--的展开式中4x 的系数是 -4 ,常数项是 -18 .4. 排列821j j j 的逆序数是9,则排列 178j j j 的逆序数是 19 .5. 设82718491423123267----=D ,则14131211M M M M -+-= 240 .二、证明题3. nn D n 20012000302202002210002----=(提示:逐行向下叠加得上三角形行列式)4. nD n 222232222222221=(提示:爪型行列式)高代与解几第二章自测题(二)——矩阵,线性方程组一、 判断题1. 如果矩阵A 有r 阶子式大于零,那么r A rank >)(.( ×)2. 如果矩阵A 没有非零子式,那么0)(=A rank .(√ )3. 如果矩阵A 的r 阶子式都等于零,那么r A rank <)(.( √)4. 初等变换不改变矩阵的秩.(√ )5. 若n 元线性方程组有2个解,则其增广矩阵的秩小于n .(√ ) 三、填空题1. 54⨯矩阵A 的秩为2, 则A 的标准形为___⎪⎪⎪⎪⎪⎭⎫⎝⎛00000000000001000001____________. 2 若n 元线性齐次方程组仅有零解,则其系数矩阵的秩为 n .三、计算与证明题1. 求齐次线性方程组⎪⎪⎩⎪⎪⎨⎧=+++=++++=-++=++++04523,05734,03,02543254321543154321x x x x x x x x x x x x x x x x x x 的一般解. 解:对这个齐次线性方程组的系数矩阵施行行初等变换,得A =⎪⎪⎪⎪⎪⎭⎫⎝⎛-45230573411110312111→⎪⎪⎪⎪⎪⎭⎫ ⎝⎛----45230452304523012111→⎪⎪⎪⎪⎪⎪⎭⎫⎝⎛-→⎪⎪⎪⎪⎪⎭⎫⎝⎛00000000343532103131310100000000004523012111 取543,,x x x 为自由未知量,得其一般解为:……2. 解线性方程组12341234123421,4222,2 1.x x x x x x x x x x x x +-+=⎧⎪+-+=⎨⎪+--=⎩解 方程组的增广矩阵为:B =⎢⎢⎢⎣⎡112224112--- 111- 121⎥⎥⎥⎦⎤,….……………………………….. 2分 对B 做行初等变换:B =⎢⎢⎢⎣⎡211000010000- 100⎥⎥⎥⎦⎤,…………………………….....…… 6分 从而得方程组的解为……3. 设n a a a ,,,21 是数域K 中互不相同的数,n b b b ,,,21 是数域K 中任一组给定的数,证明:有唯一的数域K 上的多项式()112210--++++=n n x c x c x c c x f 使()i i b a f =,.,...,2,1n i =证明:要证有唯一的数域K 上的多项式()112210--++++=n n x c x c x c c x f 使()i i b a f =()n i ,,2,1 =,即要证有唯的一组数1210,...,,,-n c c c c ,使得⎪⎪⎩⎪⎪⎨⎧=++++==++++==++++=------n n n n n n n n n n n b a c a c a c c a f b a c a c a c c a f b a c a c a c c a f 112210212122221021111221101...)(......)(...)(1 …… (2分)即证方程组⎪⎪⎩⎪⎪⎨⎧=++++=++++=++++------n n n n n n n n n n b x a x a x a x b x a x a x a x b x a x a x a x 1122102112222120111122110............1 …… (4分) 有唯一一组解.而此方程组的方程个数与未知数个数相等.其系数行列式121323312222112111111----=n nn nn n n a a a a a a a a a a a a D……(5分) T D 是范德蒙德行列式,由范德蒙德行列式的结论知,∑≤<≤-==nj i i jT a aD D 1)( ……(7分)又n a a a ,,,21 是数域K 中互不相同的数,故0≠D ,由克莱姆法则知,上述方程组有唯一一组解.得证. …… (10分)4. 设n a a a ,...,,21是互不相同的数,b 是任意数,证明线性方程组⎪⎪⎩⎪⎪⎨⎧=+++=+++=+++----11212111221121......1...n n n n n n n n n bx a x a x a b x a x a x a x x x 只有唯一解,并求出这个解.证明:观察知此方程组的未知量个数与方程个数相等,其系数行列式D =1121121111---n nn n na a a a a a是n 阶范德蒙德行列式 …… (4分) 因此,D =∏≤<≤-ni j j ia a1)(,由于n a a a ,...,,21是互不相同的数,所以0≠D ,根据克莱姆法则知此线性方程组只有唯一解, n k DD x kk ,...,2,1,==,其中k D 是将系数行列式D 的第k 列换成 T n b b b ),...,,,1(12-, …… (7分)显然k D 依然是n 阶范德蒙德行列式,且k D 的值只是将D 的值中k a 的地方换成b ,因此n k a a a a a a a a a b a b b a b a x k k k k k k n k k n k ,...,2,1,))...()()...(())...()()...((111111=--------=-+-+ (10分)5. 假设有齐次线性方程组⎪⎩⎪⎨⎧=++=++=++,0,02,0321321321 x x x p x x x x x x当p 为何值时,方程组仅有零解?又在何时有非零解?在有非零解时,求出其一般解。
第三章 线性方程组1. 用消元法解下列线性方程组:123412345123451234512345354132211)234321x x x x x x x x x x x x x x x x x x x x x x x x ++-=ìï++-+=-ïï-+--=íï-++-=ïï++-+=-î 124512345123451234523213322)23452799616225x x x x x x x x x x x x x x x x x x x +-+=ìï--+-=ïí-+-+=ïï-+-+=î 1234234124234234433)31733x x x x x x x x x x x x x -+-=ìï-+=-ïí+++=ïï-++=-î 123412341234123434570233204)411131607230x x x x x x x x x x x x x x x x +-+=ìï-+-=ïí+-+=ïï-++=-î 123412341234123421322325)521234x x x x x x x x x x x x x x x x +-+=ìï-+-=ïí+-+=-ïï-+-=î 12341234123412341232313216)23122215522x x x x x x x x x x x x x x x x x x x ++-=ìï++-=ïï+++=íï++-=ïï++=î解 1)对方程组得增广矩阵作行初等变换,有135401135401132211003212121113054312141113074512121111014812--éùéùêúêú----êúêúêúêú®------êúêú-----êúêúêúêú-----ëûëû102101100101003212000212002000002000000000000000011100010000--éùéùêúêú---êúêúêúêú®®--êúêúêúêúêúêú---ëûëû因为()()45rank A rank B ==<所以方程组有无穷多解,其同解方程组为1415324122200x x x x x x x -=ìï+=-ïí-=ïï-+=î 解得123451022x k x k x x k x k=+ìï=ïï=íï=ïï=--î 其中k 为任意常数.2)对方程组德增广矩阵作行初等变换,有120321120321113132033451234527074125996162250276111616--éùéùêúêú------êúêú®êúêú----êúêú---ëûëû 120321120321033451033451252982529800110011333333003325297000001--éùéùêúêú------êúêú®®êúêú--êúêúêúêú--êúêúëûëû因为()4()3rank A rank A =>=所以原方程无解.3)对方程组德增广矩阵作行初等变换,有1234412344011130111313011053530731307313----éùéùêúêú----êúêú®êúêú--êúêú----ëûëû1012210008011130100300201200201200482400080---éùéùêúêú--êúêú®®êúêúêúêú--ëûëû因为(()4rank A rank A ==所以方程组有惟一解,且其解为12348360x x x x =-ìï=ïí=ïï=î 4)对方程组的增广矩阵作行初等变换,有34571789233223324111316411131672137213--éùéùêúêú----êúêú®êúêú--êúêú--ëûëû 17891789017192001719200171920000003438400000--éùéùêúêú----êúêú®®êúêú-êúêú--ëûëû即原方程组德同解方程组为123423478901719200x x x x x x x +-+=ìí-+-=î由此可解得1122123142313171719201717x k k x k k x k x k ì=-ïïï=-íï=ïï=î 其中12,k k 是任意常数g5)对方程组的增广矩阵作行初等变换,有2111121111322327001451121300122113440025--éùéùêúêú---êúêú®êúêú---êúêú---ëûëû 21111211117001470014100002100002100300001--éùéùêúêú--êúêú®®êúêúêúêú---ëûëû 因为()4()3rank A rank A =¹=所以原方程组无解.6)对方程组的增广矩阵作行初等变换,有12311354023211125202231112311122211453025520255202éùéùêúêú-êúêúêúêú®êúêú-êúêúêúêúëûëû2020000000552020570211611010015555101001010000000-éùéùêúêúêúêúêúêú®®-----êúêúêúêú--êúêúêúêúëûëû即原方程组的同解方程组为23341357261550x x x x x x +=ìïï-+=-íï-+=ïî 解之得123427551655x k x k x k x k =ìïï=-ïí=ïï=-+ïî其中k 是任意常数.2.把向量b 表成1234,,,a a a a 的线性组合.12341)(1,2,1,1)(1,1,1,1),(1,1,1,1)(1,1,1,1),(1,1,1,1)b a a a a ===--=--=--12342)(0,0,0,1)(1,1,0,1),(2,1,3,1)(1,1,0,0),(0,1,1,1)b a a a a =====--解 1)设有线性关系11223344k k k k b a a a a =+++代入所给向量,可得线性方程组12341234123412341211k k k k k k k k k k k k k k k k +++=ìï+--=ïí-+-=ïï--+=î 解之,得15,4k = 21,4k = 31,4k =- 414k =-因此123451114444b a a a a =+--2)同理可得13b a a =-3.证明:如果向量组12,,,r a a a L 线性无关,而12,,,,r a a a b L 线性相关,则向量可由12,,,r a a a L 线性表出.证 由题设,可以找到不全为零的数121,,,r k k k +L 使112210r r r k k k k a a a b +++++=L显然10r k +¹.事实上,若10r k +=,而12,,,r k k k L 不全为零,使11220r r k k k a a a +++=L成立,这与12,,,r a a a L 线性无关的假设矛盾,即证10r k +¹.故11rii i r k k b a =+=-å即向量b 可由12,,,r a a a L 线性表出.4.12(,,,)(1,2,,)i i i in i n a a a a ==L L ,证明:如果0ij a ¹,那么12,,,n a a a L 线性无关.证 设有线性关系11220n n k k k a a a +++=L代入分量,可得方程组111212112122221122000n n n nn n nn n k k k k k k k k k a a a a a a a a a +++=ìï+++=ïíïï+++=îL L L L L L L L L L L L L L 由于0ij a ¹,故齐次线性方程组只有零解,从而12,,,n a a a L 线性无关.5.设12,,,r t t t L 是互不相同的数,r n £.证明:1(1,,,)(1,2,,)n i i i t t i r a -==L L是线性无关的.证 设有线性关系11220r r k k k a a a +++=L则1211221111122000r r rn n n r rk k k t k t k t k t k t k t k ---+++=ìï+++=ïíïï+++=îL L L L L L L L L L L L L 1)当r n =时,方程组中的未知量个数与方程个数相同,且系数行列式为一个范德蒙行列式,即122221211112111()0nn j i i jn n n nt t t t t t t t t t t <---=-¹ÕL LL M M O M L所以方程组有惟一的零解,这就是说12,,,r a a a L 线性无关.2)当r n <时,令21111121222221(1,,,,)(1,,,,)(1,,,,)r r r r r r rt t t t t t t t t b b b ---ì=ï=ïíïï=îL L L L L L L L L L L 则由上面1)的证明可知12,,,r b b b L 是线性无关的.而12,,,r a a a L 是12,,,r b b b L 延长的向量,所以12,,,r a a a L 也线性无关.6.设123,,a a a 线性无关,证明122331,,a a a a a a +++也线性无关. 证 设由线性关系112223331()()()0k k k a a a a a a +++++=则131122233()()()0k k k k k k a a a +++++=再由题设知123,,a a a 线性无关,所以13122300k k k k k k +=ìï+=íï+=î 解得1230k k k ===所以122331,,a a a a a a +++线性无关.7.已知12,,,s a a a L 的秩为r ,证明:12,,,s a a a L 中任意r 个线性无关的向量都构成它的一个极大线性无关组.证 设12,,,i i ir a a a L 是12,,,s a a a L 中任意r 个线性无关向量组,如果能够证明任意一个向量(1,2,,)j j s a =L 都可由12,,,i i ir a a a L 线性表出就可以了.事实上,向量组12,,,,i i ir j a a a a L 是线性相关的,否则原向量组的秩大于r ,矛盾.这说明j a 可由12,,,i i ir a a a L 线性表出,再由j a 的任意性,即证.8.设12,,,s a a a L 的秩为r ,12,,,r i i i a a a L 是12,,,s a a a L 中的r 个向量,使得12,,,s a a a L 中每个向量都可被它们线性表出,证明:12,,,r i i i a a a L 是12,,,s a a a L 的一个极大线性无关组.证 由题设知12,,,r i i i a a a L 与12,,,s a a a L 等价,所以12,,,r i i i a a a L 的秩与12,,,s a a a L 的秩相等,且等于r .又因为12,,,r i i i a a a L 线性无关,故而12,,,r i i i a a a L 是12,,,s a a a L 的一个极大线性无关组.9.证明:一个向量组的任何一个线性无关组都可以扩充成一线性无关组.证 将所给向量组用(Ⅰ)表示,它的一个线性无关向量组用(Ⅱ)表示.若向量组(Ⅰ)中每一个向量都可由向量组(Ⅱ)线性表出,那么向量组(Ⅱ)就是向量组(Ⅰ)的极大线性无关组.否则,向量组(Ⅰ)至少有一个向量a 不能由向量组(Ⅱ)线性表出,此时将a 添加到向量组(Ⅱ)中去,得到向量组(Ⅲ),且向量组(Ⅲ)是线性无关的.进而,再检查向量组(Ⅰ)中向量是否皆可由向量组(Ⅲ)线性表出.若还不能,再把不能由向量组(Ⅲ)线性表出的向量添加到向量组(Ⅲ)中去,得到向量组(Ⅳ).继续这样下去,因为向量组(Ⅰ)的秩有限,所以只需经过有限步后,即可得到向量组(Ⅰ)的一个极大线性无关组.10.设向量组为1(1,1,2,4)a =-,2(0,3,1,2)a =,3(3,0,7,14)a =4(1,1,2,0)a =-,5(2,1,5,6)a =1) 证明:12,a a 线性无关.2) 把12,a a 扩充成一极大线性无关组.证 1)由于12,a a 的对应分量不成比例,因而12,a a 线性无关. 2)因为3123a a a =+,且由1122440k k k a a a ++=可解得1240k k k ===所以124,,a a a 线性无关.再令112244550k k k k a a a a +++=代入已知向量后,由于相应的齐次线性方程组的系数行列式为0,因而该齐次线性方程组存在非零解,即1245,,,a a a a 线性相关,所以5a 可由124,,a a a 线性表出.这意味着124,,a a a 就是原向量组的一个极大线性无关组.注 此题也可将1245,,,a a a a 排成54´的矩阵,再通过列初等变换化为行阶梯形或行最简形,然后得到相应结论.11.用消元法求下列向量组的极大线性无关组与秩:12341)(6,4,1,2),(1,0,2,3,4)(1,4,9,16,22),(7,1,0,1,3)a a a a =-=-=--=-,123452)(1,1,2,4),(0,3,1,2)(3,0,7,14),(1,1,2,0)(2,1,5,6)a a a a a =-===-=解 1)设12346411210234149162271013A a a a a -éùéùêúêú-êúêú==êúêú--êúêú-êúëûëû 对矩阵A 作行初等变换,可得0411192600102341023404111926004569980114223101142231A --éùéùêúêú-êúêú®®êúêú---êúêú----ëûëû 所以1234,,,a a a a 的秩为3,且234,,a a a 即为所求极大线性无关组.3) 同理可得124,,a a a 为所求极大线性无关组,且向量组的秩为3. 12.证明:如果向量组(Ⅰ)可以由向量组(Ⅱ)线性表出,那么(Ⅰ) 的秩不超过(Ⅱ)的秩.证 由题设,向量组(Ⅰ)的极大线性无关组也可由向量组(Ⅱ)的极大线性无关组线性表出,即证向量组(Ⅰ)的秩不超过向量组(Ⅱ)的秩.13.设12,,,n a a a L 是一组维向量,已知单位向量12,,,n e e e L 可被它们线性表出,证明:12,,,n a a a L 线性无关.证 设12,,,n a a a L 的秩为r n £,而12,,,n e e e L 的秩为n . 由题设及上题结果知n r £从而r n =.故12,,,n a a a L 线性无关.14.设12,,,n a a a L 是一组n 维向量,证明:12,,,n a a a L 线性无关的充分必要条件是任一n 维向量都可被它们线性表出.证 必要性.设12,,,n a a a L 线性无关,但是1n +个n 维向量12,,,,n a a a b L 必线性相关,于是对任意n 维向量b ,它必可由12,,,n a a a L 线性表出.充分性.任意n 维向量可由12,,,n a a a L 线性表出,特别单位向量12,,,n e e e L 可由12,,,n a a a L 线性表出,于是由上题结果,即证12,,,n a a a L 线性无关.15.证明:方程组11112211211222221122n n n n n n nn n na x a x a xb a x a x a x b a x a x a x b +++=ìï+++=ïíïï+++=îL L L L L L L L L L L L L 对任何12,,,n b b b L 都有解的充分必要条件是系数行列式0ij a ¹.证 充分性.由克拉默来姆法则即证.下证必要性.记1212(,,,)(1,2,,)(,,,)i i i ni n i n b b b a a a a b ===L L L则原方程组可表示为1122n n x x x b a a a =+++L由题设知,任意向量b 都可由线性12,,,n a a a L 表出,因此由上题结果可知12,,,n a a a L 线性无关.进而,下述线性关系12220n n k k k a a a +++=L仅有惟一零解,故必须有0ij A a =¹,即证.16.已知12,,,r a a a L 与121,,,,,,r r s a a a a a +L L 有相同的秩,证明: 与121,,,,,,r r s a a a a a +L L 等价.证 由于12,,,r a a a L 与121,,,,,,r r s a a a a a +L L 有相同的秩,因此它们的极大线性无关组所含向量个数必定相等.这样12,,,r a a a L 的极大线性无关组也必为121,,,,,,r r s a a a a a +L L 的极大线性无关组,从而它们有相同的极大线性无关组.另一方面,因为它们分别与极大线性无关组等价,所以它们一定等价. 17.设123213,,,r r b a a a b a a a =+++=+++L L L 121r r b a a a -=+++L证明:12,,,r b b b L 与12,,,r a a a L 具有相同的秩.证 只要证明两向量组等价即可.由题设,知12,,,r b b b L 可由12,,,r a a a L 线性表出.现在把这些等式统统加起来,可得12121()1r r r b b b a a a +++=+++-L L 于是121111(1)1111i i r r r r r a b b b b =+++-++----L L (1,2,,)i r =L即证12,,,r a a a L 也可由12,,,r b b b L 线性表出,从而向量组12,,,r b b b L 与12,,,r a a a L 等价.18.计算下列矩阵的秩:1)01112022200111111011-éùêú--êúêú--êú-ëû 2)11210224203061103001-éùêú--êúêú-êúëû3)141268261042191776341353015205éùêúêúêúêúëû 4)10014010250013612314324563277éùêúêúêúêúêúêúëû5)1010011000011000011001011éùêúêúêúêúêúêúëû解 1)秩为4.2)秩为3. 3)秩为2. 4)秩为3. 5)秩为5.19.讨论,,a b l 取什么值时,下列方程有解,并求解.1)12212321231x x x x x x x x x l l l l lì++=ï++=íï++=î 2)122123123(3)(1)23(1)(3)3x x x x x x x x x l l l l l l l l +++=ìï+-+=íï++++=î3)1221231234324ax x x x bx x x bx x ++=ìï++=íï++=î解 1)因为方程组的系数行列式21111(1)(2)11D l l l l l==-+所以当1l =时,原方程组与方程1221x x x ++=同解,故原方程组有无穷多解,且其解为11221321x k k x k x k=--ìï=íï=î 其中12,k k 为任意常数.当2l =-时,原方程组无解.当1l ¹且2l ¹-时,原方程组有惟一解.且12231212(1)2x x x l l l l l +ì=-ï+ïï=í+ïï+=ï=î2)因为方程组的系数行列式231211(1)333D l l l l l l l l +=-=-++所以当0l =时,原方程组的系数矩阵A 与增广矩阵A 的秩分别为2与3,所以无解.当1l =时,A 的秩为2,A 的秩为3,故原方程组也无解. 当0l ¹,且1l ¹时,方程组有唯一解321232232323159(1)129(1)43129(1)x x x l l l l l l l l l l l l l l ì+-+=ï-ïï-+ï=í-ïï--+=ï-ïî3) 因为方程组的系数行列式1111(1)121a Db b a b ==--所以当0D ¹时,即1a ¹且0b ¹时,方程组有惟一解,且为12321(1)1124(1)b x b a x b ab b x b a -ì=ï-ïï=íï+-ï=ï-î当0D =时1o若0b =,这时系数矩阵A 的秩为2,而它的增广矩阵A 的秩为3,故原方程组无解。
习题习题设A是一个"阶下三角矩阵。
证明:(1)如果A的对角线元素吗H勺(门=1,2,…/),则A必可对角化;(2)如果A的对角线元素a ll=a22=-=a ll…f且A不是对角阵,则A不可对角化。
证明:(1)因为A是一个〃阶下三角矩阵,所以A的特征多项式为I 2E - A 1= (2 - ! )(2 - «22)■ • (2 - 6/wj),又因心工勺(/, j = 1,2, •••,/?),所以人有" 个不同的特征值,即4有"个线性无关的特征向量,以这〃个线性无关的特征向量为列构成一个可逆阵P,则有厂虫卩为对角阵,故A必可对角化。
(2)假设A可对角化,即存在对角阵〃= 人. ,使得A与B相似,进而A与3有相同的特征值人,人,…人。
又因为矩阵A的特征多项式为Ixtf —A1=(几_°]])“ ,所以= ■ ■ ■ = A lt =, 从|([J / 、如B=如=如丘,于是对于任意非退化矩阵x ,都有、% >X"BX =X%EX =gE = B,而A不是对角阵,必有厂曲=3",与假设矛盾,所以A 不可对角化。
习题设“维线性空间V的线性变换”有$个不同的特征值入,易,…,入,匕是人的特征子空间(心1,2,…,s)。
证明:(1)叫+岭+…+匕是直和;(2)a可对角化的充要条件是V = %㊉匕㊉…㊉匕。
证明:(1)取岭+£+・•・ +匕的零向量0,写成分解式有a x +a 2 + -- + a x =0,其中 q e V ; J = 1,2,…,s 。
现用 6b[…,b分别作用分解式两边,可得印+色+…+ % = 0人 © + + ・・• + A s a s = 0 常匕+石么+・・・+町匕=0写成矩阵形式为‘1人( 、1(4S ,…心):J 人f 1由于人,人,…,人是互不相同的,所以矩阵3= 1零,即矩阵B 是可逆的,进而有(卬,色,aJBB" = (0,0,…,0)B" = (0,0,…,0), (a 「勺,…)=(0,0,…,0)。
第三章 常见曲面习题3.11.证明:如果2220a b c d ++->,那么由方程2222220x y z ax by cz d ++++++=给出的曲面是一球面,求出它的球心坐标和半径。
证明:将方程配方得222222()()()x a y b z c a b c d +++++=++-,由2220a b c d ++->,得到方程表示球心是(,,)a b c ---2.求过三点(3,0,0),(0,2,0),(0,0,1)的圆的方程。
解:空间中的圆可由过三点(3,0,0),(0,2,0),(0,0,1)的一个球面和一个平面的交线表示,设过该三点的球面方程为2220x y z ax by cz d ++++++=,得到930,420,10a d b d c d ++=⎧⎪++=⎨⎪++=⎩球面方程为22294(1)032d dx y z x y d z d ++++---++=,其中d 任意。
过该三点的平面方程是132x yz ++=,所以所求圆的方程可以为 2226()2(9)3(4)6(1)60,23660x y z d x d y d z d x y z ⎧++-+-+-++=⎨++-=⎩ 其中d 任意。
3.证明曲线24224324,1,(,)1,1t x t t t y t t t t z t t ⎧=⎪++⎪⎪=∈-∞+∞⎨++⎪⎪=⎪++⎩在一球面上,并此球面方程。
证明:因为曲线满足2322222224242422242424()()()111()(1)11tt t x y z t t t t t t t t t t y t t t t++=++++++++=++==++++即22211()24x y z +-+=,所以曲线在一个球面上。
4.适当选取坐标系,求下列轨迹的方程(1)到两定点距离之比等于常数的点的轨迹; (2)到两定点距离之和等于常数的点的轨迹; (3)到定平面和定点等距离的点的轨迹。
高等代数与解析几何答案同济大学高等代数与解析几何答案同济大学【篇一:大学所有课程课后答案】资料打开方法:按住ctrl键,在你需要的资料上用鼠标左键单击资料搜索方法:ctrl+f 输入关键词查找你要的资料【数学】?o?o?o?o?o?o?o?oo?o?o?o?o?o?o?o?o? 习题答案o?o??o?o?o?o?o?o?o?o?o?o?o?o?o?o?o?o?o【计算机/网络/信息】??o?o?o?o【经济/金融/营销/管理/电子商务】?o?o?o?o?o?o?o?【篇二:kehoudaanhuizong】的日志经济金融[pdf格式]《会计学原理》同步练习题答案[word格式]《成本会计》习题及答案(自学推荐,23页)[word格式]《成本会计》配套习题集参考答案[word格式]《实用成本会计》习题答案[word格式]《会计电算化》教材习题答案(09年)[jpg格式]会计从业《基础会计》课后答案[word格式]《现代西方经济学(微观经济学)》笔记与课后习题详解(第3版,宋承先)[word格式]《宏观经济学》习题答案(第七版,多恩布什)[word格式]《国际贸易》课后习题答案(海闻p.林德特王新奎)[pdf格式]《西方经济学》习题答案(第三版,高鸿业)可直接打印[word格式]《金融工程》课后题答案(郑振龙版)[word格式]《宏观经济学》课后答案(布兰查德版)[jpg格式]《投资学》课后习题答案(英文版,牛逼版)[pdf格式]《投资学》课后习题答案(博迪,第四版)[word格式]《微观经济学》课后答案(高鸿业版)[word格式]《公司理财》课后答案(英文版,第六版)[word格式]《国际经济学》教师手册及课后习题答案(克鲁格曼,第六版)[word格式]《金融市场学》课后习题答案(张亦春,郑振龙,第二版)[pdf格式]《金融市场学》电子书(张亦春,郑振龙,第二版)[word格式]《微观经济学》课后答案(平狄克版)[word格式]《中级财务会计》习题答案(第二版,刘永泽)[pdf格式]《国际经济学》习题答案(萨尔瓦多,英文版)[jpg格式]《宏观经济学》课后答案(曼昆,中文版)[pdf格式]《宏观经济学》答案(曼昆,第五版,英文版)pdf格式[word格式]《技术经济学概论》(第二版)习题答案[word格式]曼昆《经济学原理》课后习题解答[pdf格式]西方经济学(高鸿业版)教材详细答案[word格式]完整的英文原版曼昆宏观、微观经济学答案[word格式]《金融市场学》课后答案(郑振龙版)化学物理[word格式]《固体物理》习题解答(方俊鑫版)[word格式]《简明结构化学》课后习题答案(第三版,夏少武)[word格式]《生物化学》复习资料大全(3套试卷及答案+各章习题集)[pdf格式]《光学教程》习题答案(第四版,姚启钧原著)[word格式]《流体力学》实验分析答案(浙工大版)[word格式]《高分子化学》课后习题答案(第四版,潘祖仁主编)[pdf格式]《化工热力学》习题与习题答案(含各种版本)[word格式]《材料力学》习题答案[word格式]《量子力学导论》习题答案(曾谨言版,北京大学)[pdf格式]《理论力学》习题答案(动力学和静力学)[word格式]《大学物理》完整习题答案[ppt格式]流体输配管网习题详解(重点)[pdf格式]《结构化学基础》习题答案(周公度,北大版)[pdf格式]《物理化学》习题答案与课件集合(南大)[word格式]《传热学》课后习题答案(第四版)[word格式]《控制电机》习题答案[pdf格式]《化工原理答案》课后习题答案(高教出版社,王志魁主编,第三版)[pdf格式]《工程力学》课后习题答案(梅凤翔主编)[pdg格式]《工程电磁场导论》习题详解[pdf格式]《材料力学》习题答案(单辉祖,北京航空航天大学)[word格式]《热工基础》习题答案(张学学主编,第二版,高等教育出版社)[word格式]《大学物理实验》实验题目参考答案(第2版,中国林业出版社)[word格式]《大学物理基础教程》课后习题答案(第二版,等教育出版社)[word格式]《水力学》习题答案(李炜,徐孝平主编,武汉水利电力大学出版社)[pdf格式]《普通物理学教程电磁学》课后习题答案(梁灿斌,第2版)[word格式]《激光原理与激光技术》习题答案完整版(北京工业大学出版社)[word格式]《固体物理》习题解答(阎守胜版)[ppt格式]《仪器分析》课后答案(第三版,朱明华编)[word格式]《高分子化学》习题答案(第四版)[pdf格式]《物理化学》习题答案(南大,第五版)[ppt格式]《高频电子线路》习题参考答案(第四版)[pdf格式]《原子物理学》习题答案(褚圣麟版)[ppt格式]《分析力学》习题答案[word格式]《分析化学》习题答案(第三版,上册,高教版)[ppt格式]《普通物理》习题答案(磁学,电学,热学)[pdf格式]《材料力学》课后习题答案(单辉祖,第二版,高教出版社)[word格式]《分析化学》课后习题答案(第五版,高教版)[word格式]《分析化学》习题解答[word格式]《理论力学》课后习题答案(赫桐生,高教版)[word格式]《大学物理学》习题解答[pdf格式]《电动力学》习题答案(第三版,郭硕宏)[pdf格式]《大学物理》课后答案(陈信义)上下册的[pdf格式]《数学物理方法》(第三版)习题答案[jpg格式]《普通化学(第五版)》习题详解(配套浙大编的)[pdf格式]《光学》习题答案及辅导(赵凯华)[pdf格式]《工程光学》习题答案[pdf格式]《材料力学》详细习题答案及辅导(第四版,刘鸿文)[pdf格式]《电磁场与电磁波》(第4版)习题答案及自学辅导[pdf格式]《量子力学教程》习题解答(周世勋版)[word格式]《流体力学》习题答案[pdf格式]《有机化学》课后习题答案(胡宏纹,第三版)[word格式]《有机化学》习题答案(汪小兰主编)[word格式]《化工热力学》习题及详细解答[pdf格式]《工程热力学》课后全解(第三版,沈维道编,高教版)[pdf格式]《理论力学》课后习题答案[word格式]自动控制原理习题集(自学辅导推荐)[pdf格式]《自动控制原理》课后题答案(胡寿松,第四版)[pdf格式]大学物理习题及答案[pdf格式]《物理学》习题分析与解答(马文蔚主编,清华大学,第五版)[pdf格式]《电机与拖动基础》课后习题答案(第四版,机械工业出版社,顾绳谷主编)[word格式]《土力学》习题解答/课后答案[pdf格式]《数学物理方法》习题解答案详细版(梁昆淼,第二版)[pdf格式]《传热学》课后答案(杨世铭,陶文铨主编,高教版)[pdf格式]《材料力学》详细辅导及课后答案(pdf格式,共642页)[word格式]大学物理实验绪论课指导书及参考答案[word格式]《大学基础物理学》课后答案(共16个单元)[pdf格式]流体力学课后答案(高教版,张也影,第二版)[pdf格式]程守洙、江之永主编《普通物理学》(第五版)详细解答及辅导电子信息[pdf格式]《数字通信》习题答案(第四版,proakis)[pdf格式]《信号与系统》习题答案(第四版,吴大正)[word格式]《基础电子技术》习题解答(哈工大,蔡惟铮)[word格式]《微机原理及应用》习题答案[ppt格式]《通信电路》课后习题答案(沈伟慈,西安电子科技大学出版社)[jpg格式]《信号与系统》习题答案详解(郑君莉,清华大学,牛逼完整版)[ppt格式]《电路分析》习题答案(第2版,高等教育出版社,胡翔俊)[word格式]《热工测量与自动控制》习题及答案[pdf格式]《信息论与编码》学习辅导及习题详解(傅祖芸版)[pdf格式]《电工学——电子技术》习题答案(下册)[pdf格式]《数字逻辑电路与系统设计》习题答案[word格式]《数字电路与逻辑设计》课后习题答案,讲解详细[word格式]《电工学》课后习题答案(第六版,上册,秦曾煌主编)[pdf格式]《数字信号处理》完整习题答案(程佩青,英文版)[word格式]《微机原理》作业答案(李继灿版)[word格式]《通信原理》课后习题答案及每章总结(樊昌信,国防工业出版社,第五版)[pdf格式]《信号与系统》课后习题答案[pdf格式]《数字电子技术基础》课后习题答案(完整答案版)[word格式]《电子线路-非线性部分》课后答案(谢嘉奎高等教育出版社)[word格式]《通信原理》习题答案[pdf格式]《电路分析》课后答案及学习指导(第二版,胡翔骏,高教版)[pdf格式]《数字信号处理——基于计算机的方法》习题答案(第二版)[pdf格式]《数字电子技术基础》详细习题答案(阎石第四版)[word格式]《测控电路》习题答案(机械出版社)[word格式]《电力电子技术》习题答案(第四版,王兆安,王俊主编)[word格式]《单片机及接口技术》课后答案(梅丽凤,王艳秋,清华大学出版社)[pdf格式]《电路》习题答案上(邱关源,第五版)[ppt格式]《信息论与编码》辅导ppt及部分习题答案(曹雪虹,张宗橙,北京邮电大学出版社)[pdf格式]《电子电路分析与设计》课后题答案(英文版)[pdf格式]《电力电子技术》习题答案(第4版,西安交通大学)[word格式]《自动控制原理》课后题答案(卢京潮主编,西北工业大学出版社)[word格式]《控制工程基础》课后习题解答(清华版)[word格式]《控制工程基础》习题答案(第二版,燕山大学)[ppt格式]《自动控制原理》习题答案[swf格式]《微电子器件与ic设计》习题答案(科学出版社)[pdf格式]《电力拖动自动控制系统》习题答案[pdf格式]《电工学》习题答案(第六版,秦曾煌)[word格式]《数字信号处理》习题答案[pdf格式]《信号与系统》习题及精解[pdf格式]《信号与系统》课后习题答案(于慧敏著)[pdf格式]《信号与系统》课后习题答案(西安电子科技大学)[word格式]电子技术数字和模拟部分答案(第四版,康华光)[word格式]《信息论与编码》习题答案(高等教育出版社)仇佩亮编[pdf格式]《现代控制系统》答案(英文版)730页[pdf格式]《数字电子技术》课后习题答案详解(阎石,第四版)[pdf格式]《数字电子技术基础》习题答案(阎石,第五版)[pdf格式]《信号与系统》习题详解(奥本海姆版)[pdf格式]《信号与线性系统分析》习题答案及辅导参考(吴大正版)[word格式]《信号与系统》习题解析(燕庆明,第3版)非常详细[word格式]《ibm-pc汇编语言》课后习题答案[pdf格式]《数字信号处理教程》习题解答(第二版)[pdf格式]《数字信号处理》课后答案及详细辅导(丁美玉,第二版)[word格式]《现代通信原理》习题答案(曹志刚版)[word格式]《模拟电子技术基础》详细习题答案(童诗白,华成英版,高教版)[word格式]《模拟电子技术基础简明教程》课后习题答案(杨素行第三版)[word格式]《单片机原理及应用》课后习题答案(张毅刚主编,高教版)[word格式]《数字逻辑》(第二版)习题答案(欧阳明星主编)[ppt格式]《模拟电子技术基础》课后习题答案(共10章)[pdf格式]《数字逻辑》第四版习题答案法学政治[pdf格式]《公共关系学》习题及参考答案(复习必备)[word格式]《公司法》课后练习及参考答案[word格式]《国际经济法》课后参考答案[word格式]思想道德修养与法律基础课后习题答案[word格式]《毛泽东思想和中国特色社会主义理论体系概论》习题答案(2008年修订版的)[word格式]《马克思主义基本原理概论》新版完整答案文学历史[pdf格式]《语言学概论》习题答案(自考,新版教材)[pdf格式]《语言学概论练习题》答案[pdf格式]《语言学教程》课后答案[word格式]选修课《中国现当代文学》资料包[word格式]《传播学教程》课后答案(郭庆光主编,完整版)[word格式]现代汉语题库(语法部分)及答案[word格式]《中国近代史纲要》课后习题答案[word格式]《中国近现代史》选择题全集(共含250道题目和答案)[word格式]《中国近代史纲要》完整课后答案(高教版)数学应用[word格式]高等数学习题答案及提示[pdf格式]《线性代数》习题答案(魏福义,黄燕苹,中国农业出版社)[word格式]《概率论与数理统计》8套习题及习题答案(自学推荐)[word格式]《线性代数》9套习题+9套相应答案(自学,复习推荐)[pdf格式]《概率论与数理统计》习题册答案(四川大学版)[pdf格式]《近世代数基础》习题解答(张瑞禾版,高教版)[word格式]《数值分析)大作业(详细,英文版)[pdf格式]《算法导论》课后习题答案(英文版)[word格式]《概率论》完整习题答案(李贤平,复旦版)[word格式]《概率论与数理统计》课后习题解答(东南大学出版社)[pdf格式]《数学分析》完整习题答案(第二版,陈传璋编,复旦大学高等教育出版社)[pdf格式]《概率论与数理统计》优秀学习资料[word格式]《概率论与数理统计及其应用》课后答案(浙江大学盛骤谢式千编著)[word格式]《常微分方程》习题解答(王高雄版)[pdf格式]《泛函分析》习题解答(张恭庆版)[word格式]《线性代数》课后习题答案(陈维新,科学出版社)[pdf格式]《高等代数与解析几何》习题答案(同济大学)[pdf格式]《运筹学(第三版)》讲解和习题答案(清华大学出版社)[pdf格式]《复变函数》习题答案(第四版)[pdf格式]《理工类复习全书》课后答案详解(陈文灯)[pdf格式]《积分变换》习题答案(配套东南大学张元林编的)[word格式]《离散数学》习题答案(高等教育出版社)[word格式]《线性代数》习题解答(王中良)[word格式]工程数学《概率统计简明教程》习题全解(高教版)[word格式]《概率论与数理统计》习题答案(复旦大学出版社)[pdf格式]《概率论与数理统计》习题详解(浙大二、三版通用)[pdf格式]《复变函数与积分变换》习题答案[ppt格式]高等数学上下《习题ppt》[ppt格式]《概率论与数理统计》习题答案[word格式]离散数学习题解答(第四版)清华大学出版社【篇三:教高厅函200746号】txt>教育部办公厅关于公布2007年度普通高等教育精品教材书目的通知各省、自治区、直辖市教育厅(教委),新疆生产建设兵团教育局,部属各高等学校,有关出版社:为进一步提高高等教育教材质量,推动优秀教材进课堂,我部决定在已出版的“十一五”国家级规划教材中评选精品。
第三章 线性方程组习题解答1.用消元法解下列方程组:⑴⎪⎪⎪⎩⎪⎪⎪⎨⎧-=+-++=-++-=--+--=+-++=-++12343212231453543215432154321543214321x x x x x x x x x x x x x x x x x x x x x x x x ⑵⎪⎪⎩⎪⎪⎨⎧=+-+-=+-+-=-+--=+-+2521669972543223312325432154321543215421x x x x x x x x x x x x x x x x x x x⑶⎪⎪⎩⎪⎪⎨⎧-=++-=++-=+-=-+-33713344324324214324321x x x x x x x x x x x x x ⑷⎪⎪⎩⎪⎪⎨⎧=++-=+-+=-+-=+-+03270161311402332075434321432143214321x x x x x x x x x x x x x x x x ⑸⎪⎪⎩⎪⎪⎨⎧=-+--=+-+=-+-=+++43212523223124321432143214321x x x x x x x x x x x x x x x x ⑹⎪⎪⎪⎩⎪⎪⎪⎨⎧=++=-++=+++=-++=-++225512221321231323214321432143214321x x x x x x x x x x x x x x x x x x x 解:⑴对它的增广矩阵作初等行变换:⎥⎥⎥⎥⎥⎥⎦⎤⎢⎢⎢⎢⎢⎢⎣⎡----→⎥⎥⎥⎥⎥⎥⎦⎤⎢⎢⎢⎢⎢⎢⎣⎡------→⎥⎥⎥⎥⎥⎥⎦⎤⎢⎢⎢⎢⎢⎢⎣⎡---------→⎥⎥⎥⎥⎥⎥⎦⎤⎢⎢⎢⎢⎢⎢⎣⎡------------→⎥⎥⎥⎥⎥⎥⎦⎤⎢⎢⎢⎢⎢⎢⎣⎡----------00101000000000020*********1001001110000000000200212300101201001110007770005750212300104531213410215470213450212300104531111121311141311121112231104531即⎪⎪⎩⎪⎪⎨⎧=+-=--=+=-0022214235441x x x x x x x ,得⎪⎪⎩⎪⎪⎨⎧--====+=k x x k x x k x 220153421 k 为任意常数 ⑵无解⑶0,6,3,84321===-=x x x x⑷任意43432431,,17201719,1713173x x x x x x x x -=-=⑸无解 ⑹651,671,651434241x x x x x x +=-=+=2.把向量β表成4321αααα,,,的线性组合:⑴()()()()()1,1-1-11-1,1-11-1-,1,11,1,1,111,2,14321,,,,,,,,,,=====ααααβ ⑵()()()()()1-1-1,00,0,1,11,3,1,21,0,1,11,0,0,04321,,,,,,=====ααααβ 解:⑴令44332211ααααβk k k k +++=得方程组⎪⎪⎩⎪⎪⎨⎧=+--=-+-=--+=+++,1,1,2,14321432143214321k k k k k k k k k k k k k k k k 解得,41,41,41,454321-=-===k k k k 所以432141414145ααααβ--+=⑵仿上,可得31-ααβ=3.证明:如果向量组r ααα,,, 21线性无关,而βααα,21r ,,, 线性相关,则向量β可由r ααα,,, 21线性表出。
第三章习题3-11. 设s =12gt 2,求2d d t s t=.解:22221214()(2)2lim lim 22t t t g g ds s t s dt t t t →→=-⨯-==-- 21lim (2)22t g t g →=+= 2. 设f (x )=1x,求f '(x 0) (x 0≠0). 解:1211()()()f x x x x--'''===00201()(0)f x x x '=-≠ 3.试求过点(3,8)且与曲线2y x =相切的直线方程。
解:设切点为00(,)x y ,则切线的斜率为002x x y x ='=,切线方程为0002()y y x xx -=-。
由已知直线过点(3,8),得 00082(3)y x x -=- (1)又点00(,)x y 在曲线2y x =上,故200y x = (2)由(1),(2)式可解得002,4x y ==或004,16x y ==,故所求直线方程为44(2)y x -=-或168(4)y x -=-。
也即440x y --=或8160x y --=。
4. 下列各题中均假定f ′(x 0)存在,按照导数定义观察下列极限,指出A 表示什么:(1) 0limx ∆→00()()f x x f x x-∆-∆=A ;(2) f (x 0)=0, 0limx x →0()f x x x-=A ; (3) 0limh →00()()f x h f x h h+--=A .解:(1)0000000()()[()]()limlim ()x x f x x f x f x x f x f x x x→-→--+--'=-=--0()A f x '∴=- (2)00000()()()limlim ()x x x x f x f x f x f x x x x x →→-'=-=---0()A f x '∴=-(3)000()()limh f x h f x h h→+--00000[()()][()()]lim h f x h f x f x h f x h→+----=000000()()[()]()lim lim h h f x h f x f x h f x h h→-→+-+--=+-000()()2()f x f x f x '''=+= 02()A f x '∴=5. 求下列函数的导数: (1) y (2) y ;(3) y 322x .解:(1)12y x x ==11221()2y x x -''∴=== (2)23y x -=225133322()33y x x x ----''∴==-=-=(3)2152362y xx xx -==15661()6y x x-''∴===6. 讨论函数y x =0点处的连续性和可导性. 解:30lim 0(0)x x f →==000()(0)0lim lim 0x x x f x f x x →→→-===∞-∴函数y =0x =点处连续但不可导。
高等几何课后答案(第三版)第一章仿射坐标与仿射变换1.经过A(-32)和1)的直线AB与直线工+ 3,一6二0相交于P点、秦仃WP)=?U戌线AB的方程为x+9^- 15 = 0:F点的坐标为(yry);(ABP)= -L2.求一仿射更换,它使直线工+2』- 1 = D上妁每个点都不变J 且<A(b-l)< 为点(-L2).2 T在直线'工+ 2》一I =0上任取两点A Ui0)<B1 *1由于A(1 *D)fA C 10)I B_L l〉f E f - It1)* 又点(1・一1)f(-1 f 2)i仿輛变换式< . ' 可解得所求为ly =如严4 gy+如*2L y-b工_2y+ y -3.求仿射变换P = 7x -了十I ・'y - +r 十2y + 4的不变点和不变直线.3 r不变点为(一一2)・牛■变氏线为2r - 2_y _3 = 0与4⑦一_y = 0.4.问在仿射变换下,于列图形的对应图形为何?①菱形;②正方形;③梯形;④等腰三角形.4.(1)平行四边形;(2)平疔四边形:G)梯形;(4)三骨形.5.节述性质是否是仿射性质?①三角形的三高线共点;②三角形的三中线*点;③三角形内接于一國;④一角的平分线上的点到两边等距.5. 0)为仿射性质,其余皆不是.第二章射影平面习题一1.下列哪些图带具有射影性质?平行宣蝕;三点共线;三武錢共点;两点阿的陌离;两亶统的先角;两相聘找段L答:(2)>具有射影性质.2.求证:仟宦四边涉可以射齡虑甲行四边影. |2.捉示:将四边竝两对对也的交点连线収作燈消线,作•屮心射影即得.3・在平闻2上有一定直线宀以0対射右.投对封平面『上得到直线//•求证当Q变动时•”通过•定点.3.提灵平面(0-0)宀皆交于总线和它们与平而孑的交线为P;■如果p 口 J 交于点FS则嵐皿二…都通过点P. 如果P是无穷远点*则pjp.…彼此平行.4.设=xn P J P a.QiQ^fi|K I交于一点»Sl交二豈线2 于P M Q I.R.与齐求叫高找P.Q1与P1O|的交点・色&勻QR*的交氨点\Pi与殆兀的丸点启点共线,且就宜线与/i J3英点.4 ,捉力“如图2 —2 —2可卽选取射鏗中亡V与另呼面八将GT :点射影成平囱f上的无穷远直.如阍2-2-3,这时皆为平行网边形的对和线交点,容易证明它们扶线’且所共直线与I;平行’ 根抵站合性足射影性硕,所以夬线・11此J1线与石忆共点・5-试用稱脾格谟理证朗:任栽四边理各对时边中点的连线与二对角线中点的连线相理于一点.匚捉缺如图2-27段四边形AT3CD四边中点依次为E, F. ◎ H,对用线AQ.ED 的中点足P,Q,砂究三点形PER和QGF t利用捌萨格定理咐逆定理,可以证明其对应顶点连纯EG.FH.PQ 共点.6,ABCD Iffil面体』XftBC±,-直銭iS过X井別交AB.AC干巴。
第3章 平面与空间直线§ 3.1平面的方程1.求下列各平面的坐标式参数方程和一般方程:(1)通过点)1,1,3(1-M 和点)0,1,1(2-M 且平行于矢量}2,0,1{-的平面(2)通过点)1,5,1(1-M 和)2,2,3(2-M 且垂直于xoy 坐标面的平面;(3)已知四点)3,1,5(A ,)2,6,1(B ,)4,0,5(C )6,0,4(D 。
求通过直线AB 且平行于直线CD 的平面,并求通过直线AB 且与ABC ∆平面垂直的平面。
解: (1) }1,2,2{21--=M M ,又矢量}2,0,1{-平行于所求平面, 故所求的平面方程为:⎪⎩⎪⎨⎧++-=-=--=v u z u y vu x 212123一般方程为:07234=-+-z y x(2)由于平面垂直于xoy 面,所以它平行于z 轴,即}1,0,0{与所求的平面平行,又}3,7,2{21-=M M ,平行于所求的平面,所以要求的平面的参数方程为:⎪⎩⎪⎨⎧+-=+-=+=v u z u y u x 317521 一般方程为:0)5(2)1(7=+--y x ,即01727=--y x 。
(3)(ⅰ)设平面π通过直线AB ,且平行于直线CD : }1,5,4{--=AB ,}2,0,1{-=CD 从而π的参数方程为:⎪⎩⎪⎨⎧+-=+=--=v u z uy vu x 235145 一般方程为:0745910=-++z y x 。
(ⅱ)设平面π'通过直线AB ,且垂直于ABC ∆所在的平面∴}1,5,4{--=AB , }1,1,1{4}4,4,4{}1,1,0{}1,5,4{==-⨯--=⨯AC AB均与π'平行,所以π'的参数式方程为:⎪⎩⎪⎨⎧+-=++=+-=v u z v u y v u x 35145 一般方程为:0232=--+z y x .2.化一般方程为截距式与参数式: 042:=+-+z y x π.解: π与三个坐标轴的交点为:)4,0,0(),0,20(),0,0,4(--, 所以,它的截距式方程为:1424=+-+-z y x . 又与所给平面方程平行的矢量为:}4,0,4{},0,2,4{-,∴ 所求平面的参数式方程为:⎪⎩⎪⎨⎧=-=++-=v z uy v u x 24 3.证明矢量},,{Z Y X v =平行与平面0=+++D Cz By Ax 的充要条件为:0=++CZ BY AX . 证明: 不妨设0≠A ,则平面0=+++D Cz By Ax 的参数式方程为:⎪⎪⎩⎪⎪⎨⎧==---=v z uy v A C u A B A D x 故其方位矢量为:}1,0,{},0,1,{ACA B --,从而v 平行于平面0=+++D Cz By Ax 的充要条件为:v ,}1,0,{},0,1,{ACA B --共面⇔01001=--AC A B Z Y X ⇔ 0=++CZ BY AX .4.已知:连接两点),12,0(),5,10,3(z B A -的线段平行于平面0147=--+z y x ,求B 里的坐标z .解: }5,2,3{z AB +-= 而AB 平行于0147=--+z y x 由题3知:0)5(427)3(=+-⨯+⨯-z 从而18=z .§ 3.2 平面与点的相关位置1.计算下列点和平面间的离差和距离:(1))3,4,2(-M , :π 0322=++-z y x ; (2))3,2,1(-M , :π 0435=++-z y x . 解: 将π的方程法式化,得:01323132=--+-z y x , 故离差为:311332431)2()32()(-=-⨯-⨯+-⨯-=M δ,M 到π的距离.31)(==M d δ(2)类似(1),可求得0354353356355)(=-++-=M δ,M 到π的距离.0)(==M d δ2.求下列各点的坐标:(1)在y 轴上且到平面02222=--+z y 的距离等于4个单位的点;(2)在z 轴上且到点)0,2,1(-M 与到平面09623=-+-z y x 距离相等的点; (3)在x 轴上且到平面01151612=++-z y x 和0122=--+z y x 距离相等的点。
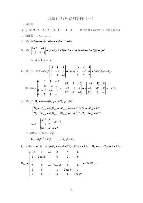
习题3.1计算下列行列式:①5312--+a a ②212313121+----a a a解 ①5312--+a a =(a+2)(a-5)+3=a 2-3a-7②212313121+----a a a =(a-1)(a-1)(a+2)-3-12+2(a-1)-3(a-1)+6(a+2)= a 3+2a习题3.2求从大到小的n 阶排列(n n-1 … 2 1)的逆序数. 解 τ(n n-1 … 2 1)=(n-1)+(n-2)+…+1+0=2)1(-n n 习题3.31.在6阶行列式中,项a 23a 31a 42a 56a 14a 65和项a 32a 43a 14a 51a 66a 25应各带有什么符号?解 因为a 23a 31a 42a 56a 14a 65=a 14a 23a 31a 42a 56a 65,而τ(4 3 1 2 6 5)=3+2+0+0+1+0=6,所以项a 23a 31a 42a 56a 14a 65带有正号.又因为项a 32a 43a 14a 51a 66a 25=a 14a 25a 32a 43a 51a 66,而τ(4 5 2 3 1 6)=3+3+1+1+0+0=8,所以项a 32a 43a 14a 51a 66a 25带有正号. 2.计算:000400010002000300050000 解 因为a 15a 24a 33a 42a 51的逆序数为τ(5 4 3 2 1)=5×4/2=10,带有正号,所以000400010002000300050000=5×3×2×1×4=120 习题3.4计算:6217213424435431014327427246-解 6217213424435431014327427246-=6211003424431001014327100246-=100×621134244*********1246-=-294×105习题3.51.计算下列行列式:①1723621431524021----- ②6234352724135342------解 ①1723621431524021-----=1374310294111120001------=137410291111-----=-726②6234352724135342------=1035732130010313410------=0105731331310---- =05723133710----=-5×72337--=-1002. 计算下列n 阶行列式(n ≥2):①ab ba b a b a 000000000000 ②1210010010011110-n a a a③n n n n x x x x x x a a a a x a 1322113211000000000-----+④111)()1()()1()()1(111n a a a n a a a n a a a n n n n n n --------- 解 ① n n a b b a b a b a ⨯000000000000=)1()1(00000000000-⨯-⨯n n a b a b a b a a+)1()1(1000000000000)1(-⨯-+⨯-n n n b a b b ab b=a n+(-1)n+1b n② D n =1210010*********-n a a a=a n-1×D n-1+(-1)n+1×)1)(1(2100000000001111---n n n a a= a n-1D n-1+(-1)n+1×(-1)1+(n-1)×)2)(2(232100000000----n n n n a a a a=a n-1D n-1-a 1a 2…a n-2=a n-1(a n-2D n-2-a 1a 2…a n-3)-a 1a 2…a n-2 =a n-1a n-2D n-2-a n-1a 1a 2…a n-3-a 1a 2…a n-2 …= a n-1a n-2…a 2D 2-a n-1a n-2…a 3a 1-…-a n-1a n-2a 1a 2…a n-4-a n-1a 1a 2…a n-3-a 1a 2…a n-2= a n-1a n-2…a 21110a -a n-1a n-2…a 3a 1-…-a n-1a n-2a 1a 2…a n-4-a n-1a 1a 2…a n-3-a 1a 2…a n-2=-a n-1a n-2…a 2-a n-1a n-2…a 3a 1-…-a n-1a n-2a 1a 2…a n-4-a n-1a 1a 2…a n-3-a 1a 2…a n-2 =-∑---11211)...(n i in a a a a ③ D n =nn n n x x x x x x a a a a x a 1322113211000000000-----+=112111...)1()1(---++-⨯-n n n n n n D x x x x a =a n x 1x 2…x n-1+x n D n-1=a n x 1x 2…x n-1+x n (a n-1x 1x 2…x n-2+x n-1D n-2) =a n x 1x 2…x n-1+x n a n-1x 1x 2…x n-2+x n x n-1D n-2 …=a n x 1x 2…x n-1+x n a n-1x 1x 2…x n-2+…+x n x n-1…x 4a 3x 1x 2+x n x n-1…x 4x 3D 2=a n x 1x 2...x n-1+x n a n-1x 1x 2...x n-2+...+x n x n-1...x 4a 3x 1x 2+x n x n-1...x 4x 3[(a 1+x 1)x 2+a 2x 1] =)( (1)1121121∑=+--+ni n i i i n n x x a xx x x x x x④D n+1=111)()1()()1()()1(111n a a a n a a a n a a a n n n nn n ---------=nn n n n n n n a a a n a a a n a a a )1()1()()1()()1(111)1(1112)1(----------+=)1()]}1([)2)(1)]{(()2)(1[()1(2)1(---------+ n n n n=2!3!...n!3.计算下列n 阶行列式(n ≥1):①n a a a a ++++1111111111111111321②ax x x x x a x x x x a x a x x x x x a x n n nn ----- 321321321321解 ① D n =na a a a ++++1111111111111111321=na a a a +++++++11110111*********11321=1111111111111111321a a a ++++na a a a111011101110111321+++ =110010010321a a a +1-n n D a =a n D n-1-a 1a 2…a n-1=a n (a n-1D n-2-a 1a 2…a n-2)-a 1a 2…a n-1 =a n a n-1D n-2-a n a 1a 2…a n-2-a 1a 2…a n-1 =n ni n i i a a a a a aa 211111)(+∑=+-=⎪⎪⎭⎫ ⎝⎛+∑=ni i n a a a a 12111 (a i ≠0) ②D n =a x x x x x a x x x x a x a x x x x x a x n n n n -----321321321321=ax x x x x a x x x x a x a x x x x x a x n n n n -+-+--+- 321321321321000=n n n n x x x x x a x x x x a x a x x x x x a x 321321321321----+ax x x a x x x a x a x x x x a x -----321321321321000 =x n (-a)n-1(x 1+x 2+…+x n )+(-a)n4.证明:n 阶行列式yz z x y y x z xzz zz y y x z z yy y x z yy y y x nn ----=)()( 其中z ≠y .解 D n =xzz zzy y x z z yy y x z x y zx00--=(x-z)D n-1-(y-x))1()1(-⨯-n n x zz zy y x zy y y z=(x-z)D n-1-(y-x)z)1()1(111-⨯-n n x z z y y x y yy=(x-z)D n-1-(y-x)z)1()1(10010001-⨯-----n n y x yz y z y x=(x-z)D n-1-(y-x)z(x-y)n-2=(x-z)D n-1+z(x-y)n-1即有D n =(x-z)D n-1+z(x-y)n-1(1)又D n =xzz zy y x z yy y x x z yy y y y x--=(x-y)D n-1-(z-x))1()1(-⨯-n n x zz zy y x zy y y y=(x-y)D n-1-(z-x)y)1()1(1111-⨯-n n x z z z yy x z=(x-y)D n-1-(z-x)y)1()1(001111-⨯-----n n z x z y z y z x=(x-y)D n-1-(z-x)y(x-z)n-2即有D n =(x-y)D n-1+y(x-z)n-1(2) 联立式(1)和式(2)得yz z x y y x z xzz zzy y x z z yy y x z yy y y x nn ----=)()( 习题3.61.设A,B,P ∈Mat n ×n (F),并且P 是可逆的,证明:如果B=P -1AP ,则|B|=|A|.证 因为|P -1||P|=1,所以|B|=|P -1AP|=|P -1||A||P|=|A|. 2*.仿照例3.6.1,试用分块初等变换,证明定理3.6.1. 证 设A ,B 都是n ×n 矩阵,则nE BA -0=B A B A A E B n n n n=-=--+)1(0)1(另一方面,对nE BA -0的第2行小块矩阵乘以A 加到第一行上去,有nE BA -0=AB E BAB n=0所以B A AB =.习题3.71.求下列矩阵的伴随矩阵和逆矩阵①⎪⎪⎭⎫⎝⎛--1112 ②⎪⎪⎪⎭⎫ ⎝⎛--325436752解 ①设原矩阵为A ,则A 11=-1,A 21=-1,A 12=1,A 22=2,伴随矩阵A *=⎪⎪⎭⎫⎝⎛--2111,|A|=-2+1=-1,所以,A -1=⎪⎪⎭⎫ ⎝⎛---211111=⎪⎪⎭⎫ ⎝⎛--2111②设原矩阵为A ,则A 11=3243--=-9+8=-1,A 21=3275---=-(-15+14)=1,A 31=4375=20-21=-1,A 12=3546--=38,A 22=3572-=-41,A 32=4672-=34, A 13=2536-=-27,A 23=2552--=29,A 33=3652=-24伴随矩阵A *=⎪⎪⎪⎭⎫ ⎝⎛-----242927344138111,|A|=-18-84+100-105+16+90=-1,所以,A -1=⎪⎪⎪⎭⎫ ⎝⎛------24292734413811111=⎪⎪⎪⎭⎫ ⎝⎛----2429273441381112.证明:上三角形矩阵是可逆矩阵的充分必要条件是:它的主对角线元全不为零.证 因为矩阵可逆的充分必要条件是它的行列式不为零,而上三角形矩阵的行列式等于它的主对角线上所有元的乘积,所以上三角形矩阵的行列式不为零的充分必要条件是:它的主对角线元全不为零,故上三角形矩阵可逆矩阵的充分必要条件是:它的主对角线元全不为零.3.设A 是n ×n 矩阵.证明:A 是可逆的,当且仅当A *也是可逆的.证 因为 AA *=|A|E ,两边取行列式得|A||A *|=|A|n.若A 可逆,则A 的行列式|A|≠0,从而有|A *|=|A|n-1≠0,所以A *可逆.反之,若A *可逆,设A *的逆阵为(A *)-1.用反证法,假设A 不可逆,则A 的行列式|A|=0,所以AA *=|A|E=0,对AA *=0两边同时右乘(A *)-1,得A=0,从而A 的任一n-1阶子式必为零,故A *=0,这与A *可逆相矛盾,因此A 可逆. 4.证明定理3.7.2的推论1.推论1的描述:设A 是分块对角矩阵,A=diag(A 1,A 2,…,A s ),证明:A 可逆当且仅当A 1,A 2,…,A s 均可逆,并且A -1=diag(A 1-1,A 2-1,…,A s -1).证 A 可逆,当且仅当A 的行列式|A|≠0,而|A|=|A 1||A 2|…|A s |,所以|A|≠0当且仅当|A 1|,|A 2|,…,|A s |都不为零,即A 1,A 2,…,A s 均可逆.令B=diag(A 1-1,A 2-1,…,A s -1),则有AB=⎪⎪⎪⎪⎪⎭⎫ ⎝⎛S A A A21⎪⎪⎪⎪⎪⎭⎫ ⎝⎛---11211s A A A =⎪⎪⎪⎪⎪⎭⎫⎝⎛S E E E21=E 故A -1=diag(A 1-1,A 2-1,…,A s -1).4.设A=⎪⎪⎪⎭⎫⎝⎛333231232221131211a a aa a a a a a 是实矩阵(实数域上的矩阵),且a 33=-1.证明:如果A 的每一个元都等于它的代数余子式,则|A|=1.证 如果A 的每一个元都等于它的代数余子式,则A 的伴随矩阵A *=⎪⎪⎪⎭⎫ ⎝⎛332313322212312111a a a a a a a a a =A T .所以|A *|=|A|,又AA *=|A|E ,两边取行列式得|A|2=|A|3. 由a 33=-1,得AA *=⎪⎪⎪⎭⎫ ⎝⎛333231232221131211a a aa a a a a a ⎪⎪⎪⎭⎫ ⎝⎛332313322212312111a a a a a a a a a =⎪⎪⎪⎭⎫ ⎝⎛-12313322212312111a a a a a a a a ⎪⎪⎪⎭⎫⎝⎛-12313322212312111a a a a a a a a =⎪⎪⎪⎭⎫ ⎝⎛++1232231a a =⎪⎪⎪⎭⎫ ⎝⎛||000||000||A A A比较最后一个等式两端第3行3列的元素知|A|=a 312+a 322+1≠0,对|A|2=|A|3两边同时除以|A|2得|A|=1.6.设A=(a ij )是n ×n 可逆矩阵,有两个线性方程组(Ⅰ)⎪⎪⎪⎩⎪⎪⎪⎨⎧=+++=+++=+++=+++u x c x c x c bx a x a x a b x a x a x a b x a x a x a n n nn nn n n n n n n (221122112222212111212111)(Ⅱ)⎪⎪⎪⎩⎪⎪⎪⎨⎧=+++=+++=+++=+++vx b x b x b cx a x a x a c x a x a x a c x a x a x a n n nn nn n n n n n n (221122112222211211221111)如果(Ⅰ)有解.证明:当且仅当u =v 时,(Ⅱ)有解.证 设方程组(Ⅰ)的解为x 1*, x 2*,…, x n *,代入方程组(Ⅰ)得(Ⅲ)⎪⎪⎪⎩⎪⎪⎪⎨⎧=+++=+++=+++=+++ux c x c x c bx a x a x a b x a x a x a b x a x a x a n n n n n nnn n n n n **2*1**2*12*2*22*211*1*12*11................................................ (212)12121 当u =v 时,因为 A=(a ij )是n ×n 可逆矩阵,A 的行列式不等于零,根据克莱姆法则,方程组(Ⅱ)的前n 个方程作为一个线性方程组,它有唯一解,记该解为x 1**, x 2**,…, x n **,代入方程组(Ⅱ)的前n 个方程中得(Ⅳ)⎪⎪⎪⎩⎪⎪⎪⎨⎧=+++=+++=+++=+++----nnn n n n nn n n n n c x a x a x a cx a x a x a c x a x a x a c x a x a x a n n nn ****2**11**1**12**112**2**22**121**1**21**11......................................................21212121 对等式组(Ⅳ)中第1个等式的两端同时乘以x 1*,第2个等式的两端同时乘以 x 2*,…, 第n个等式的两端同时乘以 x n *,然后将n 各等式的左边全部相加,也将右边全部相加,并利用(Ⅲ)式,可得b 1x 1**+b 2x 2**+…+b n x n **=c 1x 1*+ c 2x 2*+…+ c n x n *=u由u =v ,得b 1x 1**+b 2x 2**+…+b n x n **=u即x 1**, x 2**,…, x n **也满足(Ⅱ)中最后一个方程.所以方程组(Ⅱ)有解.反之,若方程组(Ⅱ)有解,设其解为x 1**, x 2**,…, x n **,代入(Ⅱ)得到(Ⅴ)⎪⎪⎪⎩⎪⎪⎪⎨⎧=+++=+++=+++=+++-vx b x b x b cx a x a x a c x a x a x a c x a x a x a n n n n n n nn n n n n ****2**11****2**12**2**22**121**1**21**11......................................................21212121 对等式组(Ⅲ)中第1个等式的两端同时乘以x 1**,第2个等式的两端同时乘以 x 2**,…,第n 个等式的两端同时乘以 x n **,然后将n 各等式的左边全部相加,也将右边全部相加,并利用(Ⅴ)式,可得c 1x 1*+c 2x 2*+…+c n x n *=b 1x 1**+ b 2x 2**+…+ b n x n **将上式左端与(Ⅴ)式中最后一个等式比较,将上式右端与(Ⅲ)式中最后一个等式比较,得 u =v .7.设A 是n ×n 矩阵.证明:|A *|=|A|n-1证 因为AA *=|A|E ,两边取行列式得 |A||A *|=|A|n .如果|A|≠0,两边除以|A|,得|A *|=|A|n-1如果|A|=0,也可写成|A *|=|A|n-1,总之,有|A *|=|A|n-1成立.。
第三章习题解答习题3.11、试说明行列式与矩阵是两个完全不同的概念解:虽然在形式上矩阵与行列式相近,但行列式经过计算最后得到一个数,而矩阵不论经过什么变换或运算,其结果都仍然还是矩阵。
2、举例说明矩阵的相等与行列式的相等有哪些不同?解:两个矩阵相等当且仅当它们的结构相同,并且所含的对应元素也全部相同;而行列式只要计算结果相同,就认为这两个行列式相等。
例如:110122103与232122103的计算结果都是5,所以这两个行列式相等,而作为矩阵 110122103⎛⎫ ⎪ ⎪ ⎪⎝⎭与232122103⎛⎫ ⎪ ⎪ ⎪⎝⎭是两个不同的矩阵 3、试问如下的两个矩阵是否相等,为什么?(1)1000⎛⎫ ⎪⎝⎭与100000⎛⎫ ⎪⎝⎭;(2)1000⎛⎫ ⎪⎝⎭与0100⎛⎫ ⎪⎝⎭解(1)这两个矩阵不相等,因为它们的结构不同,一个是2×2矩阵,另一个是2×3矩阵。
(2)这两个矩阵也不相等,虽然它们的结构相同,但对应元素不完全相同。
4、设2a b c d A a b c d ++⎛⎫=⎪--⎝⎭,3514B ⎛⎫= ⎪⎝⎭,问a ,b ,c ,d 为何实数时有A = B解:欲使A = B ,必须有a +b =3,2c +d =5,a -b = 1,c -d = 4,解之得:a=2,b=1,c=3,d =-15、计算(1)1212(,,,) n n a a b b b a ⎛⎫ ⎪ ⎪ ⎪ ⎪⎝⎭;(2)1212(,,,) n n a a b b b a ⎛⎫ ⎪ ⎪ ⎪ ⎪⎝⎭(3)51401620125347371213-⎛⎫-⎛⎫ ⎪⎪ ⎪- ⎪ ⎪- ⎪-⎪⎝⎭⎝⎭;(4)122122333333212212333333221221333333⎛⎫⎛⎫ ⎪⎪ ⎪⎪ ⎪⎪-- ⎪⎪ ⎪⎪ ⎪⎪-- ⎪⎪⎝⎭⎝⎭(5)111213112321222323132333(,,)a a a x x x x a a a x aa a x ⎛⎫⎛⎫⎪⎪ ⎪⎪ ⎪⎪⎝⎭⎝⎭;(6)123124245121241511132110327⎛⎫⎛⎫⎛⎫⎪⎪ ⎪--+- ⎪⎪ ⎪⎪⎪ ⎪---⎝⎭⎝⎭⎝⎭解:(1)原式11222 n a b a b a b =+++(2)原式111213212223313233a b a b a b a b a b a b a b a ba b ⎛⎫⎪= ⎪ ⎪⎝⎭(3)原式204647183075420313591845151442376232++--+⎛⎫⎛⎫ ⎪ ⎪=-+-+++=- ⎪ ⎪ ⎪ ⎪+---+--⎝⎭⎝⎭ (4)原式100010001⎛⎫ ⎪= ⎪ ⎪⎝⎭(5)原式222111122112133113222233223333()()()a x a a x x a a x x a x a a x x a x =++++++++ (6)原式236245411129251178371613274148-⎛⎫⎛⎫⎛⎫⎪ ⎪ ⎪=--+-=-- ⎪ ⎪ ⎪ ⎪ ⎪ ⎪---⎝⎭⎝⎭⎝⎭6、计算(1)20110⎛⎫ ⎪⎝⎭;(2)21111-⎛⎫ ⎪-⎝⎭;(3)1101n⎛⎫⎪⎝⎭(n 是正整数)(4)cos sin sin cos nϕϕϕϕ-⎛⎫⎪⎝⎭(n 是正整数); (5)100100nλλλ⎛⎫ ⎪ ⎪ ⎪⎝⎭解(1)原式010*********⎛⎫⎛⎫⎛⎫==⎪⎪ ⎪⎝⎭⎝⎭⎝⎭(2)原式111100111122--⎛⎫⎛⎫⎛⎫==⎪⎪ ⎪--⎝⎭⎝⎭⎝⎭(3)原式223 1111111211131101010101010101n n n---⎛⎫⎛⎫⎛⎫⎛⎫⎛⎫⎛⎫⎛⎫===⎪⎪⎪ ⎪⎪ ⎪⎪⎝⎭⎝⎭⎝⎭⎝⎭⎝⎭⎝⎭⎝⎭101n⎛⎫== ⎪⎝⎭(4)原式2 cos sin cos sin cos sinsin cos sin cos sin cosn ϕϕϕϕϕϕϕϕϕϕϕϕ----⎛⎫⎛⎫⎛⎫= ⎪⎪⎪⎝⎭⎝⎭⎝⎭22222cos sin cos sinsin cos sin cosnϕϕϕϕϕϕϕϕ---⎛⎫⎛⎫= ⎪⎪⎝⎭⎝⎭33333cos sin cos sinsin cos sin cosnϕϕϕϕϕϕϕϕ---⎛⎫⎛⎫= ⎪⎪⎝⎭⎝⎭cos sinsin cosn nn nϕϕϕϕ-⎛⎫== ⎪⎝⎭(5)原式2101010010101000000n λλλλλλλλλ-⎛⎫⎛⎫⎛⎫⎪⎪⎪= ⎪⎪⎪⎪⎪⎪⎝⎭⎝⎭⎝⎭2222211002010000nλλλλλλλλ-⎛⎫⎛⎫⎪ ⎪= ⎪ ⎪⎪⎪⎝⎭⎝⎭3 222211010 020101000000n λλλλλλλλλλλ-⎛⎫⎛⎫⎛⎫⎪ ⎪⎪= ⎪ ⎪⎪⎪⎪⎪⎝⎭⎝⎭⎝⎭332323331003010000nλλλλλλλλλ-⎛⎫⎛⎫⎪ ⎪= ⎪ ⎪⎪⎪⎝⎭⎝⎭4 32323331010 030101000000n λλλλλλλλλλλλ-⎛⎫⎛⎫⎛⎫ ⎪ ⎪⎪= ⎪ ⎪⎪⎪⎪ ⎪⎝⎭⎝⎭⎝⎭4432434461004010000nλλλλλλλλλ-⎛⎫⎛⎫⎪ ⎪= ⎪ ⎪⎪⎪⎝⎭⎝⎭4112211000 n n n n n n n n n n C C C λλλλλλ----⎛⎫⎪== ⎪⎪⎝⎭7、设301521471306A -⎛⎫ ⎪=- ⎪ ⎪⎝⎭,720114532038B -⎛⎫⎪=-- ⎪ ⎪⎝⎭,求53A B ''+ 解:66528537735261115954A B -⎛⎫ ⎪+= ⎪ ⎪⎝⎭,那么67116715535359282654A B ⎛⎫⎪- ⎪''+= ⎪⎪⎝⎭8、证明:若12,B B 都与A 可交换,则1212,B B B B +与A 都可交换 证明:12121212()()B B A B A B A AB AB A B B +=+=+=+121212121212()()()()()()B B A B AB B AB B A B AB B A B B =====9、若12()A B E =+,证明22A A B E =⇔= 证明:222111122242()()()()()A A B E B E B B E B E ⎛⎫⇒=⇒+=+⇒++=+ ⎪⎝⎭22222B B E B E B E ++=+⇒= 2()B E ⇐=,由于2B A E =-所以 2222244()B A E A A E E A A =-=-+=⇒= 10、设A 是一实对称矩阵,证明:如果20A =,则0A =证明:由于A 是实对称矩阵,所以由20A =得0AA '=,设()ij n n A a ⨯=,()ij AA c '=那么 11220 r k r k r k r n n k c a a a a a a ==+++,但ij ji a a =所以 222122012,,, kk k k k c a a ak n ==+++=,但诸ij a 都是实数,所以必有 222122012,,,, k k k a a a k n =====进一步有122012,,,, k k k a a a k n =====,从而有0A =11、证明:若A 为n 阶方阵,则,,A A AA A A '''+都是对称矩阵,A A '-是反对称矩阵。
第1章 多项式第1节 数域1.举出对加法、乘法及除法封闭但对减法不封闭的例子。
解:集合Q +={a ∈Q|a >0}对加法、乘法及除法封闭但是对减法不封闭。
2.举出对加法、减法封闭,但对乘法不封闭的例子。
解:集合1{}33n n n ⎧⎫=∈=∈⎨⎬⎩⎭Z Z Z ∣对加法、减法都封闭,但是对乘法不封闭。
3.举出对加法、减法都不封闭,但对乘法封闭的例子。
解:集合S ={2n|n ∈N},{1},{2m +1|m ∈Z}与集合{m|p ∤m ,p 素数}对加法、减法都是不封闭的,但是对乘法封闭。
4.试证C 的子集P 若对减法封闭,则必对加法封闭。
证明:可设P ≠∅,于是有a ∈P ,因此a -a =0∈P 。
又因为0-a =-a ∈P ,若有b ∈P ,则必有a +b =b +a =b -(-a )∈P 。
故P 若对减法封闭,则必对加法封闭。
5.试证C 的子集P 若对除法封闭,则必对乘法封闭。
证明:设P ≠∅,P ≠{0},于是有a ∈P ,a ≠0,因此a ÷a =1∈P 。
又因为1÷a =a -1∈P ,故若b ∈P成立,则有ab =ba =b ÷a -1∈P 。
因此P 若对除法封闭,则必对乘法封闭。
6.令{,,}a a b c =++∈Q Q试证明是一个数域。
证明:由题目易知1,0Q∈,若1,2)i i d a b c i =+=则有()((12121212d d a a b b c c ±=±+±+±Q即Q 对加法和减法都封闭。
又因为()((12121212122112122112555 d d a a b c c b a b a b c c a c a c b b =++++++++Q则Q 对乘法封闭。
下面需证明Q 对除法是封闭的。
由于对乘法封闭,故只需证明下面结论: 若d a=++≠则1d-∈Q成立。
下面分为三种情形讨论:(1)b=c=0,此时d=a≠0,11d a--=∈Q。
{}12 3.11.:(1)(1,1,1):-2-10;(2)(1,2,0)(2,1,1):10;(3)2-0.3:(1),2,1,1,,:2(1)(1)M x y z M M y x z x y n x y ππππ++=--=+==----+-习题写出下列平面的方程过点且平行于平面过点和且垂直于平面过轴且与平面的夹角为解所求平面与平行故其法向量由点法式方程所求平面方程012(1)0,:220(2):,{1,1,0}{1,1,1},110111,(1)(2)0,30z x y z n n n i j kM M n i jx y x y π--=-+-==-=-∴=-=+--+-=+-=即法一设所求平面的法向量为则由已知条件垂直于平面的法向量与由点法式方程所求平面方程为即法二:设所求平面方程为Ax+By+Cx+D=0将M 0{,,}20{1,1,0}2001 ,0,31 0,30.3(3),0,A B C A B D n A B C D A B A B D C D x D y D x y z A x B y ππ++=⎧⎪=-+++=⎨⎪-+=⎩-=-=-+=+-=+= 12,M 的坐标代入,且由向量与平面的法向量垂直得方程组解得所求平面方程为1-即3因平面过轴故可设其方程为因其与已知平面的夹角为00022,3{,,0}{2,1,,31cos ,32||||||||1 61660,33303-0.2.?.n A B n n n n n A A B BA B Bx y x y ππ∴==⋅∴===⋅∴+-==-∴+== 其法向量与已知平面的法向量的夹角为即或平面或为所求下列图形有何特点画出其图形 (1)230;(2)0;(3)340.:(1),.z y x y z xO y -==+-=解平面平行于面图形如下图00000000000000000 (2),. (3),.3.,(,,),.:(,,){,,},, :()()()0, xO z x y z x y z x y z x x x y y y z z z x x y y z -+-+-=++与面重合图形如下图平面过原点其图形如下图由原点向平面作垂线垂足为求此平面的方程解连结点与原点的向量可作为平面的法向量由平面的点法式方程得即2220000.4.(2,3,0),(1,1,2)(4,5,1),.:{3,4,2},45114531,34214(2)5(3)310 14z x y z A B n A B i j kn a A B i j k x y z =++--==-∴=⨯==---+---=为所求平面方程平面过点且与向量a 平行求此平面的方程解法一平面的法向量与与a垂直由点法式方程得即531430.:0,,,-230{,,}20,45014435 .433143:1453143x y z A x B y C z D A B A B D A B C a A B C D A B C A D B D C D x y z --+=+++=++=⎧⎪-++=⎨⎪++=⎩⎧=⎪⎪⎪=-⎨⎪⎪=-⎪⎩--+=解法二设平面的一般式方程为将坐标代入并由其法向量与垂直可得方程组解得由此得平面方程0.5.1.:,,,,1 ||,6x y z abcO A B C O A B C V abc A B C O d ++===求以平面与三坐标轴的交点为顶点的三角形面积解法一设原点为平面与坐标轴的三个交点为则四面体的体积平面上的高为到平面的距离3 :(,0,0),(0,,0),(0,0,),{,,0},{,0,},111||||0||2220A B C V S d A a B b C c AB a b AC a c ABC i j kS AB AC a b bci a c ∴∆===-=-∆=⨯=-=-的面积解法二设所求平面与三个坐标轴的交点为则则的面积1212||6.(2,0,8)2470,35230,.:,,124161411,352ac j ab k M x y z x y z n n n i j kn n n i j k ππ++=--+-=+-+=∴=⨯=-=-++-平面过点且与二平面都垂直求的方程解法一所求平面的法向量与两已知平面的法向量都垂直由点法12 16(-2)-14-11(8)0,16-14-11-1200.:0,,,2802403520x y z x y z Ax By C z D M n n A A C D A B C A B C +==+++=-+=⎧⎪-+=⎨⎪+-=⎩式方程得所求平面方程为即解法二设所求平面的一般式方程为将点的坐标代入由其法向量与两已知平面的法向量垂直可得方程组解得1612014120111201614111200D B DC D x y z ⎧=-⎪⎪⎪=⎨⎪⎪=⎪⎩∴---=所求平面方程为127.:3250:3230.:(,,), ::x y z x y z x y z ππ-+-=--+==求由平面与所成二面角的平分面方程解法一设平面上任一点的坐标为则由平面上任一点到两已知平面的距离相等得从而得所求平面方程为121212 2380,4520.:, (3)(23)(21)350.,,,.x y z x y z x y z n ππλλλλππππ+-+=-+-=+-++-+-=或解法二过平面的交线的平面束方程为由于它为的平分面因此其法向量与的法向量有相等的夹角得|(3)3(23)2(2-1)||3(3)2(23)(21)|11,,4-5-202-380.x y z x y z λ+++++++--==-+=++=解得或因此所求平面方程为或12121212112 3.41.1250 :12,:230(1)://;(2);(3).:(1){1,2,1}, x x y l y l y z z l l l l l l l s l λλλ=+⎧--=⎧⎪=-+⎨⎨-+=⎩⎪=⎩=习题对于直线与证明求与的距离求与所确定的平面方程解的方向向量的方向向量221121222 210{2,4,2},2,012 //,//.(2):(1,-3,0), (1)2(3)0,250, i j k s s s s s l l l A l x y z x y z =-==-∴-+++=+++=得法一在上找一点过该点作垂直于的平面即1112 12450,2 ,3172(,-,-).333 ||.:(1,1,0),l l B A B AB l C l λλλλ+-+++==-=-将的参数方程代入解得从而得平面与的交点则与的距离所求法二在上找一点上找111121(1,-3,0),, cos sin |||||||| ||||sin (3):(1,1,0),(1,-3,0), A AC l s AC s AC d AC l C l A n s θθθθ⋅===-=⋅==-=一点设与的夹角为则而则所求距离法一在上找一点上找一点则平面的法向量12121{2,0,2},22(-1)-20,--10. :(1,1,0),(0,3,1),(1,3,0)i j kA C x z x z l C D l A ⨯==--==----由点法式方程得即为所求法二在上找两点上找一点120,,,30 0030 10.2.:233020 ::10210760Ax By C z D A C D A B D A D A B D B B C D C D x z x y z x y l l x y x z +++=-+==-⎧⎧⎪⎪-+==⎨⎨⎪⎪--+==⎩⎩--=-++=-=⎧⎧⎨⎨+-=+-=⎩⎩设平面的一般式方程为将的坐标代入得方程组解得从而得平面方程证明二直线与1212111122212 ,,.:213{30,3,21},{10,1,7},110(21,0,15),{1,2,7}, (0,0,6) l l l l i j k l s s l A l s l B l l l =-=-=--=-相交并求出与的交点夹角以及与所确定的平面解法一的方向向量取在上找一点的方向向量上找一点从而得与的参数式方程12121212121212121221102110:,:2,215767 2,1,,(1,2,1),1919cos ,cos ,,,arccos ,3030x x y l y z z l l l l l l s s l l λλλλλλλλλλλλ=-=⎧⎧-=⎧⎪⎪==⎨⎨⎨=⎩⎪⎪=-+=-⎩⎩==-<>=<>=∴<>= 令解得分别代入的参数方程得为的交点12121212121221 {21,63,21}{1,3,1},(-21)3(15)0,3-60.:,,,,,,0,,//, ,1,n s s n x y z x y z s s A B s s AB l l s s l l l l λ=⨯=---=+++=++=⎡⎤=∴⎣⎦=平面的法向量取得平面方程即解法二同上则由知与共面而与相交将的参数式方程代入的第一个方程解得从 (1,2,-1),.而得交点坐标其余同解法一3. 3.2-3-6140,5.:2-3-60, 5,35,236350:(,,), x y z x y z D d D x y z A x y z O A +=+====±∴--±=求与平求与平面平行且与坐标原点的距离为的平面方程解法一由已知条件可设平面的一般式方程为原点到平面的距离得平面方程为解法二设原点到平面垂线的垂足为由与已知平面法向量平行可设5{2,3,6},||||7||5,,7101530 ,,,777 101530 2()-3()-6()0,2-3-6350.77741204.(3,1,4):2O A k k k O A k k A x y z x y z x y z M l x y =--===±⎛⎫∴± ⎪⎝⎭±±=±=--+=-+-由得的坐标为由点法式方程得平面方程即求点关于直线.230:(,,),114{6,6,3}212{2,2,1},:2(-3)-2(-1)(4)0, 2-20.(-5,7,0),2- z i j kA x y z l s s M l x y z x y z lB l x πλ⎧⎨+=⎩=--=--=-++=+==的对称点解法一设对称点的坐标为的方向向量取过作垂直于的平面为即在上找一点得的参数式方程58,,273158311548(,,),,,,333232323158(,,),333311548,,,232323y x y z M A M A x y z πλλππ⎧=⎨=-+⎩++-===++-===代入平面得从而l与的交点为的中点即从而l与的交点为的中点即从而7728 (-,,).33331-4:(,,),(,,)222442{2,2,1}2221,2207377728 ,(,,).33332835.(3,1,2)x y z A x y z M A l M Ax y z l s x y z x y z x y z P ++--=-⎧⎪=-+-=-⎨⎪-+=⎩⎧=-⎪⎪⎪=-⎨⎪⎪=⎪⎩得对称点坐标解法二设对称点为由的中点在上及与的方向向量垂直可得方程组解得得对称点为求点1:3,1,1,.:,3(-3)(-1)(-2)0,123-120,9-11-120,1136123(,,)||11111111:(3,1,1)l x t y t z t P P l d P l x y z x y z l t t t t P P l d PP l A t t t '==-=+++=++=+++=='==-+在直线上的投影并求点到的距离解法一过点作垂直于的平面其方程为即将的参数式方程代入得解得得投影点的坐标及到的距离解法二设上任一点的坐标为,,12||,1136123(,,).11111111P A PA t P l d ====则的距离当时此距离取得最小值即为到的距离从而得投影点坐标6.2350:.220:123{1,7,5},{1,7,5}.21111(0,1,1),.175:7-10,7-1005-x y z l x y z i j k l s s x y z l A l z x y x y xO y z l y x +--=⎧⎨-++=⎩=-=---=--+-==+=+=⎧⎨=⎩求直线的标准方程和在三个坐标面上的投影解的方向向量为取取上一点得直线标准方程法一在的一般式方程中消去得从而得在面上的投影在的一般式方程中消去得11-10,5--1005-7-120,5-7-120:(21)(2)(-3)(2-5)0,{0,0,1},3,7-10,7-1z x z xO z y l x y z y z yO z x l x y z xO y k x y l xO y x y λλλλπλπ==⎧⎨=⎩==⎧⎨=⎩++-+++===+=+=从而得在面上的投影在的一般式方程中消去得从而得在面上的投影法二过的平面束为其中与面垂直的平面的法向量与垂直得从而得的方程从而得在面上的投影05--10,,00571200x z xO z yO z z y y z x =⎧⎧⎨⎨==⎩⎩--=⎧⎨=⎩同样方法可得其在面上的投影在面上的投影121211112211127.:125721;;,234322.1273:,23,22,541212730,23222(1,x y z x y z l l x x l l y y z z l l l λλλλλλλλλλλλλ-+----====--=+=+⎧⎧⎪⎪=--=+⎨⎨⎪⎪=+=-⎩⎩+=+=⎧⎧⎨⎨--=+=-⎩⎩证明直线与位于同一平面内并求这平面及两直线间的夹角解法一的参数式方程为解方程组得将代入的参数式方程得与的交点1212121212122,5),234{2,16,13},3222-16-13310,8cos ,cos(,)-8,arccos .:,(1,2,5),(7,2,1),[,i j k l l n x y z l l s s l l l l A B s s -∴=-=--+=<>==⎛⎫∴<>=-⎝-与共面,平面的法向量由点法式方程得平面方程两直线间的夹角为其方向向量的夹角解法二在上分别取两点121,]0,,0,,,231-25016720,,31234013312-16-13310,.A B l l A x B y C z D A B l A D A B C D A B C D B D A B C C D x y z =∴+++=⎧=⎪++=⎧⎪⎪⎪+++==-⎨⎨⎪⎪-+=⎩⎪=-⎪⎩+=与共面设平面一般式方程为将坐标代入且由其法向量与的方向向量垂直得方程组解得得平面方程其余与法一同1221121212128.7432152::342641(1):;(2).:(1):,7321644,54,322732164454289289x y z x y z l l l l l l x x y y z z λλλλλλλλλλλλ+++-+-====---=-+=+⎧⎧⎪⎪=-+=--⎨⎨⎪⎪=--=-⎩⎩-+=+⎧⎨-+=--⎩⎧=⎪⎨=-对于直线与证明它们不在同一平面上写出过且平行于的平面方程解法一的参数式方程为解得1212121212121212212,,,,.//,.:,(7,4,3),(21,5,2)342,,6415070,.2815(2):(21,-5,2),34l l l l l l l l l l A B s s AB l l l B i j kn s s λλ⎪⎪⎪⎩∴-----⎡⎤=--=-≠∴⎣⎦-=⨯=-将代入的参数式方程知无公共交点而与不在同一平面上法二上分别取一点则与不共面法一取上点平面的法向量212{12,9,36},{4,3,12}6414312930(21,5,2),(27,9,1).0,,,21520 2790,3420493n x y z l B C Ax By C z D B C s A B C D A B C D A B C A =---=--++-=--+++=-++=⎧⎪-++=⎨⎪+-=⎩=-取由点法式方程得平面方程在上取两点设平面的一般式方程为将的坐标代入且其法向量与垂直可得解得1,.431293031431D B D x y z C D ⎧⎪⎪⎪=-++-=⎨⎪⎪=-⎪⎩代入得平面方程22221.,,||||1,,,4||||||||lim:||||cos ||||,42()2||||||||limlim(||||||||)(||||||||)2||||22.22,,x x x a b b a b a xb a xa b a a a xb aa bx xb a x a xb a x a xb a a r a i j k j ππ→→→=<>=+-⋅=⋅=+-⋅+∴====++++=--复习题三设均为非零向量且求解原式设向量与共线与成锐角||||15,.:,{,2,2},||||3||15.5,,5,{5,10,10},3.368,||||2,.:,68{0,8,6},||||10|r r r a r k k k r k k r j k r p q i j k x p p p q x p q i k jp k k p ==--===±∴=-=-=++=∴⨯=-+∴=-=且求解由于与共线设得由与成锐角取得设向量和向量与轴都垂直且求向量解由于与和轴都垂直平行于设123123123123123123123186|2,,{0,,}.5554.,,,:||||4,||||2,|||| 3.().:,,,,,0()||||||||k k p ααααααααααααααααααααα==±=±===⨯⋅∴<⨯>=∴⨯⋅=⨯⋅得从而设向量两两垂直且符合右手系规则计算解由于两两垂直且符合右手系规则12312121||||||||||||sin24.25.(1,1,1)(0,1,1)0,.:,{1,0,2}{1,1,1}.1022,2--0.111:M M x y z n M M n i j k n i j k x y z παααπππ=⋅⋅⋅=-++==--=∴=--=--=平面过和且与平面垂直求的方程解法一由已知条件平面的法向量与和均垂直由点法式方程得平面方程解法二设120,,00,0A x B y C z D M M A B C D B C D A B C π+++=+++=⎧⎪-+=⎨⎪++=⎩的一般式方程为将的坐标代入由的法向量与已知平面的法向量垂直得方程组12212220:2--0.6.:2310:0,.:,(21)(13)(1)03211-31-0,,2 8-A B C BD x y z x y z x y z x y z x ππππππππλλλλπλλλλπ=-⎧⎪=⎨⎪=⎩=--+=++=++-+-+=+++==解得从而得的方程 平面过与的交线且与平面垂直求的方程解法一过的平面束方程为且由其法向量与的法向量垂直得解得从而得的方程1211227-30.112:,235{2,3,5},235{8,7,1},1118730.::0,,(1,1,2),(1,2,3),,y z x y z ij k s n s n x y z Ax By C z D ππππππππππ+=++-==-=-=⨯=-=----+=+++=---解法二化的交线为标准方程其方向向量的法向量由点法式方程得的方程解法三设的一般式方程为在的交线上找两点将其代入的方程且由与垂直可83--207230301387303127.(1,-2,1):.234A D ABCD A B C D B D A B C C D x y z x y z A l π⎧=⎪++=⎧⎪⎪⎪+-+==-⎨⎨⎪⎪++=⎩⎪=-⎪⎩--+=+-+==-得方程组解得从而得的方程求点到直线的距离32:::1324(1,2,1)(32,13,24):,:,2(-1)-3()4(-1)02(-1)x t l y tz t A l t t t d d A l A l x y z z x =-+⎧⎪=-⎨⎪=-+⎩--+--+====++=解法一将写成参数方程点到上一点的距离为最小值为此即点到的距离法二过点做一平面与垂直平面方程为求平面与直线的交点1-3(2)4(-1)0,:2,31222341238.(1,2,3)(4,3,1),:211.::4(1)3(-2)(x y z y x y z z d x y z A l l A x y z αα=-⎧++=⎧⎪⎪=-+-+⎨⎨=-=⎪⎪=⎩⎩==-+--===+++解得故距离为求过点与向量垂直并与直线相交的直线方程解关键是求出待求直线与已知直线的交点法一过点且与向量垂直的平面方程为-3)0:4(1)3(-2)(-3)05510,(,,)123333211123:.8111:(12,2,3),0,(22,-4,)(4,3,1)04(22)3(-4)0l x y z x y z x y z t t t A t t t t t t αα=+++=⎧⎪-⎨-+-==⎪⎩+--==--+-++++=⇒++++=⇒此平面与的交点应满足求得交点为故待求直线方程为法二设待求之交点为此交点与的连线应与向量垂直即连线向量与之内积为即15510(,,)3333123:.8111t x y z =⇒-+---==-交点为故待求直线方程为。