2013年高考理科数学全国大纲卷试题与答案word解析版
- 格式:pdf
- 大小:871.95 KB
- 文档页数:11
高考注意事项1.进入考场时携带的物品。
考生进入考场,只准携带准考证、二代居民身份证以及2B铅笔、0.5毫米黑色墨水签字笔、直尺、圆规、三角板、无封套橡皮、小刀、空白垫纸板、透明笔袋等文具。
严禁携带手机、无线发射和接收设备、电子存储记忆录放设备、手表、涂改液、修正带、助听器、文具盒和其他非考试用品。
考场内不得自行传递文具等物品。
由于标准化考点使用金属探测仪等辅助考务设备,所以提醒考生应考时尽量不要佩戴金属饰品,以免影响入场时间。
2.准确填写、填涂和核对个人信息。
考生在领到答题卡和试卷后,在规定时间内、规定位置处填写姓名、准考证号。
填写错误责任自负;漏填、错填或字迹不清的答题卡为无效卡;故意错填涉嫌违规的,查实后按照有关规定严肃处理。
监考员贴好条形码后,考生必须核对所贴条形码与自己的姓名、准考证号是否一致,如发现不一致,立即报告监考员要求更正。
3.考场面向考生正前方的墙壁上方悬挂时钟,为考生提供时间参考。
考场时钟的时间指示不作为考试时间信号,考试时间一律以考点统一发出的铃声信号为准。
2013年全国统一高考数学试卷(理科)(大纲版)一、选择题:本大题共12小题,每小题5分.在每小题给出的四个选项中,只有一项是符合题目要求的.1.(5分)设集合A={1,2,3},B={4,5},M={x|x=a+b,a∈A,b∈B},则M中元素的个数为()A.3 B.4 C.5 D.62.(5分)=()A.﹣8 B.8 C.﹣8i D.8i3.(5分)已知向量=(λ+1,1),=(λ+2,2),若(+)⊥(﹣),则λ=()A.﹣4 B.﹣3 C.﹣2 D.﹣14.(5分)已知函数f(x)的定义域为(﹣1,0),则函数f(2x+1)的定义域为()A.(﹣1,1)B.C.(﹣1,0)D.5.(5分)函数f(x)=log2(1+)(x>0)的反函数f﹣1(x)=()A.B.C.2x﹣1(x∈R)D.2x﹣1(x>0)6.(5分)已知数列{a n}满足3a n+1+a n=0,a2=﹣,则{a n}的前10项和等于()A.﹣6(1﹣3﹣10)B.C.3(1﹣3﹣10)D.3(1+3﹣10)7.(5分)(1+x)3(1+y)4的展开式中x2y2的系数是()A.5 B.8 C.12 D.188.(5分)椭圆C:的左、右顶点分别为A1、A2,点P在C上且直线PA2斜率的取值范围是[﹣2,﹣1],那么直线PA1斜率的取值范围是()A.B.C. D.9.(5分)若函数f(x)=x2+ax+是增函数,则a的取值范围是()A.[﹣1,0]B.[﹣1,+∞)C.[0,3]D.[3,+∞)10.(5分)已知正四棱柱ABCD﹣A1B1C1D1中,AA1=2AB,则CD与平面BDC1所成角的正弦值等于()A.B.C.D.11.(5分)已知抛物线C:y2=8x的焦点为F,点M(﹣2,2),过点F且斜率为k的直线与C交于A,B两点,若,则k=()A.B.C.D.212.(5分)已知函数f(x)=cosxsin2x,下列结论中不正确的是()A.y=f(x)的图象关于(π,0)中心对称B.C.D.f(x)既是奇函数,又是周期函数二、填空题:本大题共4小题,每小题5分.13.(5分)已知α是第三象限角,sinα=﹣,则cotα=.14.(5分)6个人排成一行,其中甲、乙两人不相邻的不同排法共有种.(用数字作答)15.(5分)记不等式组所表示的平面区域为D.若直线y=a(x+1)与D有公共点,则a的取值范围是.16.(5分)已知圆O和圆K是球O的大圆和小圆,其公共弦长等于球O的半径,,则球O的表面积等于.三、解答题:解答应写出文字说明、证明过程或演算步骤.17.(10分)等差数列{a n}的前n项和为S n.已知S3=a22,且S1,S2,S4成等比数列,求{a n}的通项式.18.(12分)设△ABC的内角A,B,C的内角对边分别为a,b,c,满足(a+b+c)(a﹣b+c)=ac.(Ⅰ)求B.(Ⅱ)若sinAsinC=,求C.19.(12分)如图,四棱锥P﹣ABCD中,∠ABC=∠BAD=90°,BC=2AD,△PAB与△PAD 都是等边三角形.(Ⅰ)证明:PB⊥CD;(Ⅱ)求二面角A﹣PD﹣C的大小.20.(12分)甲、乙、丙三人进行羽毛球练习赛,其中两人比赛,另一人当裁判,每局比赛结束时,负的一方在下一局当裁判,设各局中双方获胜的概率均为,各局比赛的结果都相互独立,第1局甲当裁判.(Ⅰ)求第4局甲当裁判的概率;(Ⅱ)X表示前4局中乙当裁判的次数,求X的数学期望.21.(12分)已知双曲线C:=1(a>0,b>0)的左、右焦点分别为F1,F2,离心率为3,直线y=2与C的两个交点间的距离为.(I)求a,b;(II)设过F2的直线l与C的左、右两支分别相交于A、B两点,且|AF1|=|BF1|,证明:|AF2|、|AB|、|BF2|成等比数列.22.(12分)已知函数.(I)若x≥0时,f(x)≤0,求λ的最小值;(II)设数列{a n}的通项a n=1+.2013年全国统一高考数学试卷(理科)(大纲版)参考答案与试题解析一、选择题:本大题共12小题,每小题5分.在每小题给出的四个选项中,只有一项是符合题目要求的.1.(5分)设集合A={1,2,3},B={4,5},M={x|x=a+b,a∈A,b∈B},则M中元素的个数为()A.3 B.4 C.5 D.6【分析】利用已知条件,直接求出a+b,利用集合元素互异求出M中元素的个数即可.【解答】解:因为集合A={1,2,3},B={4,5},M={x|x=a+b,a∈A,b∈B},所以a+b的值可能为:1+4=5、1+5=6、2+4=6、2+5=7、3+4=7、3+5=8,所以M中元素只有:5,6,7,8.共4个.故选:B.【点评】本题考查集合中元素个数的最值,集合中元素的互异性的应用,考查计算能力.2.(5分)=()A.﹣8 B.8 C.﹣8i D.8i【分析】复数分子、分母同乘﹣8,利用1的立方虚根的性质(),化简即可.【解答】解:故选:A.【点评】复数代数形式的运算,是基础题.3.(5分)已知向量=(λ+1,1),=(λ+2,2),若(+)⊥(﹣),则λ=()A.﹣4 B.﹣3 C.﹣2 D.﹣1【分析】利用向量的运算法则、向量垂直与数量积的关系即可得出.【解答】解:∵,.∴=(2λ+3,3),.∵,∴=0,∴﹣(2λ+3)﹣3=0,解得λ=﹣3.故选:B.【点评】熟练掌握向量的运算法则、向量垂直与数量积的关系是解题的关键.4.(5分)已知函数f(x)的定义域为(﹣1,0),则函数f(2x+1)的定义域为()A.(﹣1,1)B.C.(﹣1,0)D.【分析】原函数的定义域,即为2x+1的范围,解不等式组即可得解.【解答】解:∵原函数的定义域为(﹣1,0),∴﹣1<2x+1<0,解得﹣1<x<﹣.∴则函数f(2x+1)的定义域为.故选:B.【点评】考查复合函数的定义域的求法,注意变量范围的转化,属简单题.5.(5分)函数f(x)=log2(1+)(x>0)的反函数f﹣1(x)=()A.B.C.2x﹣1(x∈R)D.2x﹣1(x>0)【分析】把y看作常数,求出x:x=,x,y互换,得到y=log2(1+)的反函数.注意反函数的定义域.【解答】解:设y=log2(1+),把y看作常数,求出x:1+=2y,x=,其中y>0,x,y互换,得到y=log2(1+)的反函数:y=,故选:A.【点评】本题考查对数函数的反函数的求法,解题时要认真审题,注意对数式和指数式的相互转化.6.(5分)已知数列{a n}满足3a n+1+a n=0,a2=﹣,则{a n}的前10项和等于()A.﹣6(1﹣3﹣10)B.C.3(1﹣3﹣10)D.3(1+3﹣10)【分析】由已知可知,数列{a n}是以﹣为公比的等比数列,结合已知可求a1,然后代入等比数列的求和公式可求+a n=0【解答】解:∵3a n+1∴∴数列{a n}是以﹣为公比的等比数列∵∴a1=4由等比数列的求和公式可得,S10==3(1﹣3﹣10)故选:C.【点评】本题主要考查了等比数列的通项公式及求和公式的简单应用,属于基础试题7.(5分)(1+x)3(1+y)4的展开式中x2y2的系数是()A.5 B.8 C.12 D.18【分析】由题意知利用二项展开式的通项公式写出展开式的通项,令x的指数为2,写出出展开式中x2的系数,第二个因式y2的系数,即可得到结果.【解答】解:(x+1)3的展开式的通项为T r=C3r x r+1令r=2得到展开式中x2的系数是C32=3,=C4r y r(1+y)4的展开式的通项为T r+1令r=2得到展开式中y2的系数是C42=6,(1+x)3(1+y)4的展开式中x2y2的系数是:3×6=18,故选:D.【点评】本题考查利用二项展开式的通项公式解决二项展开式的特定项问题,本题解题的关键是写出二项式的展开式,所有的这类问题都是利用通项来解决的.8.(5分)椭圆C:的左、右顶点分别为A1、A2,点P在C上且直线PA2斜率的取值范围是[﹣2,﹣1],那么直线PA1斜率的取值范围是()A.B.C. D.【分析】由椭圆C:可知其左顶点A1(﹣2,0),右顶点A2(2,0).设P (x0,y0)(x0≠±2),代入椭圆方程可得.利用斜率计算公式可得,再利用已知给出的的范围即可解出.【解答】解:由椭圆C:可知其左顶点A1(﹣2,0),右顶点A2(2,0).设P(x0,y0)(x0≠±2),则,得.∵=,=,∴==,∵,∴,解得.故选:B.【点评】熟练掌握椭圆的标准方程及其性质、斜率的计算公式、不等式的性质等是解题的关键.9.(5分)若函数f(x)=x2+ax+是增函数,则a的取值范围是()A.[﹣1,0]B.[﹣1,+∞)C.[0,3]D.[3,+∞)【分析】由函数在(,+∞)上是增函数,可得≥0在(,+∞)上恒成立,进而可转化为a≥﹣2x在(,+∞)上恒成立,构造函数求出﹣2x在(,+∞)上的最值,可得a的取值范围.【解答】解:∵在(,+∞)上是增函数,故≥0在(,+∞)上恒成立,即a≥﹣2x在(,+∞)上恒成立,令h(x)=﹣2x,则h′(x)=﹣﹣2,当x∈(,+∞)时,h′(x)<0,则h(x)为减函数.∴h(x)<h()=3∴a≥3.故选:D.【点评】本题考查的知识点是利用导数研究函数的单调性,恒成立问题,是导数的综合应用,难度中档.10.(5分)已知正四棱柱ABCD﹣A1B1C1D1中,AA1=2AB,则CD与平面BDC1所成角的正弦值等于()A.B.C.D.【分析】设AB=1,则AA1=2,分别以的方向为x轴、y轴、z轴的正方向建立空间直角坐标系,设=(x,y,z)为平面BDC1的一个法向量,CD与平面BDC1所成角为θ,则sinθ=||,在空间坐标系下求出向量坐标,代入计算即可.【解答】解:设AB=1,则AA1=2,分别以的方向为x轴、y轴、z轴的正方向建立空间直角坐标系,如下图所示:则D(0,0,2),C1(1,0,0),B(1,1,2),C(1,0,2),=(1,1,0),=(1,0,﹣2),=(1,0,0),设=(x,y,z)为平面BDC1的一个法向量,则,即,取=(2,﹣2,1),设CD与平面BDC1所成角为θ,则sinθ=||=,故选:A.【点评】本题考查直线与平面所成的角,考查空间向量的运算及应用,准确理解线面角与直线方向向量、平面法向量夹角关系是解决问题的关键.11.(5分)已知抛物线C:y2=8x的焦点为F,点M(﹣2,2),过点F且斜率为k的直线与C交于A,B两点,若,则k=()A.B.C.D.2【分析】斜率k存在,设直线AB为y=k(x﹣2),代入抛物线方程,利用=(x1+2,y1﹣2)•(x2+2,y2﹣2)=0,即可求出k的值.【解答】解:由抛物线C:y2=8x得焦点(2,0),由题意可知:斜率k存在,设直线AB为y=k(x﹣2),代入抛物线方程,得到k2x2﹣(4k2+8)x+4k2=0,△>0,设A(x1,y1),B(x2,y2).∴x1+x2=4+,x1x2=4.∴y1+y2=,y1y2=﹣16,又=0,∴=(x1+2,y1﹣2)•(x2+2,y2﹣2)==0∴k=2.故选:D.【点评】本题考查直线与抛物线的位置关系,考查向量的数量积公式,考查学生的计算能力,属于中档题.12.(5分)已知函数f(x)=cosxsin2x,下列结论中不正确的是()A.y=f(x)的图象关于(π,0)中心对称B.C.D.f(x)既是奇函数,又是周期函数【分析】根据函数图象关于某点中心对称或关于某条直线对称的公式,对A、B两项加以验证,可得它们都正确.根据二倍角的正弦公式和同角三角函数的关系化简,得f(x)=2sinx(1﹣sin2x),再换元:令t=sinx,得到关于t的三次函数,利用导数研究此函数的单调性可得f(x)的最大值为,故C不正确;根据函数周期性和奇偶性的定义加以验证,可得D项正确.由此可得本题的答案.【解答】解:对于A,因为f(π+x)=cos(π+x)sin(2π+2x)=﹣cosxsin2x,f(π﹣x)=cos(π﹣x)sin(2π﹣2x)=cosxsin2x,所以f(π+x)+f(π﹣x)=0,可得y=f(x)的图象关于(π,0)中心对称,故A正确;对于B,因为f(+x)=cos(+x)sin(π+2x)=﹣sinx(﹣sin2x)=sinxsin2x,f(﹣x)=cos(﹣x)sin(π﹣2x)=sinxsin2x,所以f(+x)=f(﹣x),可得y=f(x)的图象关于直线x=对称,故B正确;对于C,化简得f(x)=cosxsin2x=2cos2xsinx=2sinx(1﹣sin2x),令t=sinx,f(x)=g(t)=2t(1﹣t2),﹣1≤t≤1,∵g(t)=2t(1﹣t2)的导数g'(t)=2﹣6t2=2(1+t)(1﹣t)∴当t∈(﹣1,﹣)时或t∈(,1)时g'(t)<0,函数g(t)为减函数;当t∈(﹣,)时g'(t)>0,函数g(t)为增函数.因此函数g(t)的最大值为t=﹣1时或t=时的函数值,结合g(﹣1)=0<g()=,可得g(t)的最大值为.由此可得f(x)的最大值为而不是,故C不正确;对于D,因为f(﹣x)=cos(﹣x)sin(﹣2x)=﹣cosxsin2x=﹣f(x),所以f(x)是奇函数.因为f(2π+x)=cos(2π+x)sin(4π+2x)=cosxsin2x=f(x),所以2π为函数的一个周期,得f(x)为周期函数.可得f(x)既是奇函数,又是周期函数,得D正确.综上所述,只有C项不正确.故选:C.【点评】本题给出三角函数式,研究函数的奇偶性、单调性和周期性.着重考查了三角恒等变换公式、利用导数研究函数的单调性和函数图象的对称性等知识,属于中档题.二、填空题:本大题共4小题,每小题5分.13.(5分)已知α是第三象限角,sinα=﹣,则cotα=2.【分析】根据α是第三象限的角,得到cosα小于0,然后由sinα的值,利用同角三角函数间的基本关系求出cosα的值,进而求出cotα的值.【解答】解:由α是第三象限的角,得到cosα<0,又sinα=﹣,所以cosα=﹣=﹣则cotα==2故答案为:2【点评】此题考查学生灵活运用同角三角函数间的基本关系化简求值,是一道基础题.学生做题时注意α的范围.14.(5分)6个人排成一行,其中甲、乙两人不相邻的不同排法共有480种.(用数字作答)【分析】排列好甲、乙两人外的4人,然后把甲、乙两人插入4个人的5个空位中即可.【解答】解:6个人排成一行,其中甲、乙两人不相邻的不同排法:排列好甲、乙两人外的4人,有中方法,然后把甲、乙两人插入4个人的5个空位,有种方法,所以共有:=480.故答案为:480.【点评】本题考查了乘法原理,以及排列的简单应用,插空法解答不相邻问题.15.(5分)记不等式组所表示的平面区域为D.若直线y=a(x+1)与D有公共点,则a的取值范围是[,4] .【分析】本题考查的知识点是简单线性规划的应用,我们要先画出满足约束条件的平面区域,然后分析平面区域里各个角点,然后将其代入y=a(x+1)中,求出y=a(x+1)对应的a的端点值即可.【解答】解:满足约束条件的平面区域如图示:因为y=a(x+1)过定点(﹣1,0).所以当y=a(x+1)过点B(0,4)时,得到a=4,当y=a(x+1)过点A(1,1)时,对应a=.又因为直线y=a(x+1)与平面区域D有公共点.所以≤a≤4.故答案为:[,4]【点评】在解决线性规划的小题时,我们常用“角点法”,其步骤为:①由约束条件画出可行域⇒②求出可行域各个角点的坐标⇒③将坐标逐一代入目标函数⇒④验证,求出最优解.16.(5分)已知圆O和圆K是球O的大圆和小圆,其公共弦长等于球O的半径,,则球O的表面积等于16π.【分析】正确作出图形,利用勾股定理,建立方程,即可求得结论.【解答】解:如图所示,设球O的半径为r,AB是公共弦,∠OCK是面面角根据题意得OC=,CK=在△OCK中,OC2=OK2+CK2,即∴r2=4∴球O的表面积等于4πr2=16π故答案为16π【点评】本题考查球的表面积,考查学生分析解决问题的能力,属于中档题.三、解答题:解答应写出文字说明、证明过程或演算步骤.17.(10分)等差数列{a n}的前n项和为S n.已知S3=a22,且S1,S2,S4成等比数列,求{a n}的通项式.【分析】由,结合等差数列的求和公式可求a2,然后由,结合等差数列的求和公式进而可求公差d,即可求解通项公式【解答】解:设数列的公差为d由得,3∴a2=0或a2=3由题意可得,∴若a2=0,则可得d2=﹣2d2即d=0不符合题意若a2=3,则可得(6﹣d)2=(3﹣d)(12+2d)解可得d=0或d=2∴a n=3或a n=2n﹣1【点评】本题主要考查了等差数列的通项公式及求和公式的应用,等比数列的性质的简单应用,属于基础试题18.(12分)设△ABC的内角A,B,C的内角对边分别为a,b,c,满足(a+b+c)(a﹣b+c)=ac.(Ⅰ)求B.(Ⅱ)若sinAsinC=,求C.【分析】(I)已知等式左边利用多项式乘多项式法则计算,整理后得到关系式,利用余弦定理表示出cosB,将关系式代入求出cosB的值,由B为三角形的内角,利用特殊角的三角函数值即可求出B的度数;(II)由(I)得到A+C的度数,利用两角和与差的余弦函数公式化简cos(A﹣C),变形后将cos(A+C)及2sinAsinC的值代入求出cos(A﹣C)的值,利用特殊角的三角函数值求出A﹣C的值,与A+C的值联立即可求出C的度数.【解答】解:(I)∵(a+b+c)(a﹣b+c)=(a+c)2﹣b2=ac,∴a2+c2﹣b2=﹣ac,∴cosB==﹣,又B为三角形的内角,则B=120°;(II)由(I)得:A+C=60°,∵sinAsinC=,cos(A+C)=,∴cos(A﹣C)=cosAcosC+sinAsinC=cosAcosC﹣sinAsinC+2sinAsinC=cos(A+C)+2sinAsinC=+2×=,∴A﹣C=30°或A﹣C=﹣30°,则C=15°或C=45°.【点评】此题考查了余弦定理,两角和与差的余弦函数公式,以及特殊角的三角函数值,熟练掌握余弦定理是解本题的关键.19.(12分)如图,四棱锥P﹣ABCD中,∠ABC=∠BAD=90°,BC=2AD,△PAB与△PAD 都是等边三角形.(Ⅰ)证明:PB⊥CD;(Ⅱ)求二面角A﹣PD﹣C的大小.【分析】(I)取BC的中点E,连接DE,过点P作PO⊥平面ABCD于O,连接OA、OB、OD、OE.可证出四边形ABED是正方形,且O为正方形ABED的中心.因此OE⊥OB,结合三垂线定理,证出OE⊥PB,而OE是△BCD的中位线,可得OE∥CD,因此PB ⊥CD;(II)由(I)的结论,证出CD⊥平面PBD,从而得到CD⊥PD.取PD的中点F,PC的中点G,连接FG,可得FG∥CD,所以FG⊥PD.连接AF,可得AF⊥PD,因此∠AFG为二面角A﹣PD﹣C的平面角,连接AG、EG,则EG∥PB,可得EG⊥OE.设AB=2,可求出AE、EG、AG、AF和FG的长,最后在△AFG中利用余弦定理,算出∠AFG=π﹣arccos,即得二面角A﹣PD﹣C的平面角大小.【解答】解:(I)取BC的中点E,连接DE,可得四边形ABED是正方形过点P作PO⊥平面ABCD,垂足为O,连接OA、OB、OD、OE∵△PAB与△PAD都是等边三角形,∴PA=PB=PD,可得OA=OB=OD因此,O是正方形ABED的对角线的交点,可得OE⊥OB∵PO⊥平面ABCD,得直线OB是直线PB在内的射影,∴OE⊥PB∵△BCD中,E、O分别为BC、BD的中点,∴OE∥CD,可得PB⊥CD;(II)由(I)知CD⊥PO,CD⊥PB∵PO、PB是平面PBD内的相交直线,∴CD⊥平面PBD∵PD⊂平面PBD,∴CD⊥PD取PD的中点F,PC的中点G,连接FG,则FG为△PCD有中位线,∴FG∥CD,可得FG⊥PD连接AF,由△PAD是等边三角形可得AF⊥PD,∴∠AFG为二面角A﹣PD﹣C的平面角连接AG、EG,则EG∥PB∵PB⊥OE,∴EG⊥OE,设AB=2,则AE=2,EG=PB=1,故AG==3在△AFG中,FG=CD=,AF=,AG=3∴cos∠AFG==﹣,得∠AFG=π﹣arccos,即二面角A﹣PD﹣C的平面角大小是π﹣arccos.【点评】本题给出特殊的四棱锥,求证直线与直线垂直并求二面角平面角的大小,着重考查了线面垂直的判定与性质、三垂线定理和运用余弦定理求二面的大小等知识,属于中档题.20.(12分)甲、乙、丙三人进行羽毛球练习赛,其中两人比赛,另一人当裁判,每局比赛结束时,负的一方在下一局当裁判,设各局中双方获胜的概率均为,各局比赛的结果都相互独立,第1局甲当裁判.(Ⅰ)求第4局甲当裁判的概率;(Ⅱ)X表示前4局中乙当裁判的次数,求X的数学期望.【分析】(I)令A1表示第2局结果为甲获胜,A2表示第3局甲参加比赛时,结果为甲负,A表示第4局甲当裁判,分析其可能情况,每局比赛的结果相互独立且互斥,利用独立事件、互斥事件的概率求解即可.(II)X的所有可能值为0,1,2.分别求出X取每一个值的概率,列出分布列后求出期望值即可.【解答】解:(I)令A1表示第2局结果为甲获胜.A2表示第3局甲参加比赛时,结果为甲负.A表示第4局甲当裁判.则A=A1•A2,P(A)=P(A1•A2)=P(A1)P(A2)=;(Ⅱ)X的所有可能值为0,1,2.令A3表示第3局乙和丙比赛时,结果为乙胜.B1表示第1局结果为乙获胜,B2表示第2局乙和甲比赛时,结果为乙胜,B3表示第3局乙参加比赛时,结果为乙负,则P(X=0)=P(B1B2)=P(B1)P(B2)P()=.P(X=2)=P(B3)=P()P(B3)=.P(X=1)=1﹣P(X=0)﹣P(X=2)=.从而EX=0×+1×+2×=.【点评】本题考查互斥、独立事件的概率,离散型随机变量的分布列和期望等知识,同时考查利用概率知识解决问题的能力.21.(12分)已知双曲线C:=1(a>0,b>0)的左、右焦点分别为F1,F2,离心率为3,直线y=2与C的两个交点间的距离为.(I)求a,b;(II)设过F2的直线l与C的左、右两支分别相交于A、B两点,且|AF1|=|BF1|,证明:|AF2|、|AB|、|BF2|成等比数列.【分析】(I)由题设,可由离心率为3得到参数a,b的关系,将双曲线的方程用参数a表示出来,再由直线建立方程求出参数a即可得到双曲线的方程;(II)由(I)的方程求出两焦点坐标,设出直线l的方程设A(x1,y1),B(x2,y2),将其与双曲线C的方程联立,得出x1+x2=,,再利用|AF1|=|BF1|建立关于A,B坐标的方程,得出两点横坐标的关系,由此方程求出k的值,得出直线的方程,从而可求得:|AF2|、|AB|、|BF2|,再利用等比数列的性质进行判断即可证明出结论.【解答】解:(I)由题设知=3,即=9,故b2=8a2所以C的方程为8x2﹣y2=8a2将y=2代入上式,并求得x=±,由题设知,2=,解得a2=1所以a=1,b=2(II)由(I)知,F1(﹣3,0),F2(3,0),C的方程为8x2﹣y2=8 ①由题意,可设l的方程为y=k(x﹣3),|k|<2代入①并化简得(k2﹣8)x2﹣6k2x+9k2+8=0设A(x1,y1),B(x2,y2),则x1≤﹣1,x2≥1,x1+x2=,,于是|AF1|==﹣(3x1+1),|BF1|==3x2+1,|AF1|=|BF1|得﹣(3x1+1)=3x2+1,即故=,解得,从而=﹣由于|AF2|==1﹣3x1,|BF2|==3x2﹣1,故|AB|=|AF2|﹣|BF2|=2﹣3(x1+x2)=4,|AF2||BF2|=3(x1+x2)﹣9x1x2﹣1=16因而|AF2||BF2|=|AB|2,所以|AF2|、|AB|、|BF2|成等比数列【点评】本题考查直线与圆锥曲线的综合关系,考查了运算能力,题设条件的转化能力,方程的思想运用,此类题综合性强,但解答过程有其固有规律,一般需要把直线与曲线联立利用根系关系,解答中要注意提炼此类题解答过程中的共性,给以后解答此类题提供借鉴.22.(12分)已知函数.(I)若x≥0时,f(x)≤0,求λ的最小值;(II)设数列{a n}的通项a n=1+.【分析】(I)由于已知函数的最大值是0,故可先求出函数的导数,研究其单调性,确定出函数的最大值,利用最大值小于等于0求出参数λ的取值范围,即可求得其最小值;(II)根据(I)的证明,可取λ=,由于x>0时,f(x)<0得出,考察发现,若取x=,则可得出,以此为依据,利用放缩法,即可得到结论【解答】解:(I)由已知,f(0)=0,f′(x)==,∴f′(0)=0欲使x≥0时,f(x)≤0恒成立,则f(x)在(0,+∞)上必为减函数,即在(0,+∞)上f′(x)<0恒成立,当λ≤0时,f′(x)>0在(0,+∞)上恒成立,为增函数,故不合题意,若0<λ<时,由f′(x)>0解得x<,则当0<x<,f′(x)>0,所以当0<x<时,f(x)>0,此时不合题意,若λ≥,则当x>0时,f′(x)<0恒成立,此时f(x)在(0,+∞)上必为减函数,所以当x>0时,f(x)<0恒成立,综上,符合题意的λ的取值范围是λ≥,即λ的最小值为(II)令λ=,由(I)知,当x>0时,f(x)<0,即取x=,则于是a2n﹣a n+=++…++====>=ln2n﹣lnn=ln2所以【点评】本题考查了数列中证明不等式的方法及导数求最值的普通方法,解题的关键是充分利用已有的结论再结合放缩法,本题考查了推理判断的能力及转化化归的思想,有一定的难度。
2013年普通高等学校招生全国统一考试数学(理科)一、选择题:本大题共12小题,每小题5分.在每小题给出的四个选项中,只有一项是符合题目要求的. 1.设集合{}{}{}1,2,3,4,5,|,,,A B M x x a b a A b B ====+∈∈则M 中的元素个数为 ( )A.3B.4C.5D.6 【测量目标】集合的含义.【考查方式】给出两个集合,利用集合中元素的互异性求个数. 【难易程度】容易 【参考答案】B【试题解析】因为集合A ={1,2,3},B ={4,5},M={}|x x a b a A b B =+∈∈,,, 所以a+b 的值可能为:1+4=5、1+5=6、2+4=6、2+5=7、3+4=7、3+5=8, 所以M 中元素只有:5,6,7,8.共4个.故选B . 2.()31+3i= ( )A.8-B.8C.8i -D.8i 【测量目标】复数代数形式的四则运算.【考查方式】给出复数的幂运算,利用复数的乘法运算求值. 【难易程度】容易 【参考答案】A 【试题解析】()()()()()3221+3i1+3i 1+3i 1+3i 2+23i 26i8==-=-+=-.3.已知向量()()1,1,2,2λλ=+=+m n ,若()()+⊥-m n m n ,则=λ ( ) A.4- B.3- C.2- D.1- 【测量目标】向量的坐标运算.【考查方式】给出两个向量,利用向量的坐标运算,再根据向量的垂直的性质求值. 【难易程度】容易 【参考答案】B【试题解析】∵()1,1λ=+m , ()2,2λ=+n . ∴()23,3λ+=+m n ,()1,1-=--m n .(步骤1) ∵()()+⊥-m n m n , ∴()()+- m n m n =0,∴()2330λ-+-=,解得λ=−3.(步骤2)4.已知函数()f x 的定义域为()1,0-,则函数()21f x +的定义域为 ( )A.()1,1-B.11,2⎛⎫-- ⎪⎝⎭ C.()1,0- D.1,12⎛⎫ ⎪⎝⎭【测量目标】函数的定义域.【考查方式】给出函数的定义域求复合函数的定义域. 【难易程度】中等 【参考答案】B【试题解析】∵原函数的定义域为()1,0-,∴1-<2x +1<0,解得1-<x <12-. ∴则函数()21f x -的定义域为11,2⎛⎫-- ⎪⎝⎭.故选B . 5.函数()()21=log 10f x x x ⎛⎫+> ⎪⎝⎭的反函数()1=f x - ( )A.()1021x x >- B.()1021xx ≠- C.()21x x -∈R D.()210x x -> 【测量目标】反函数,函数的值域.【考查方式】给出函数的解析式,求它的反函数. 【难易程度】中等 【参考答案】A【试题解析】由21log 1y x ⎛⎫=+ ⎪⎝⎭得112,yx ⎛⎫+= ⎪⎝⎭故1.21yx =-(步骤1) 把x 和y 互换,即得()11.21xf x -=-(步骤2) 由0,x >得111,x+>可得0.y > 故所求反函数为()11(0).21x fx x -=>-(步骤3) 6.已知数列{}n a 满足12430,3n n a a a ++==-,则{}n a 的前10项和等于 ( ) A.()10613--- B.()101139-- C.()10313-- D.()1031+3- 【测量目标】等比数列的定义,等比数列前n 项和.【考查方式】给出关于数列的等式,利用等比数列的定义判断数列,进而求数列前n 项和. 【难易程度】中等 【参考答案】C【试题解析】由130,n n a a ++=得11,3n n a a +=-故数列{}n a 是公比13q =-的等比数列. (步骤1)又24,3a =-可得1 4.a =所以()1010101413313.113S -⎡⎤⎛⎫--⎢⎥⎪⎝⎭⎢⎥⎣⎦==-⎛⎫-- ⎪⎝⎭(步骤2) 7.()()8411+x y +的展开式中22x y 的系数是 ( )A.56B.84C.112D.168 【测量目标】二项式定理.【考查方式】利用二项展开式的通项公式求值. 【难易程度】中等 【参考答案】D【试题解析】因为()81x +的展开式中2x 的系数为28C ,()41y +的展开式中2y 的系数为24C ,所以22x y 的系数为2284C C 168=.故选D.8.椭圆22:143x y C +=的左、右顶点分别为12,A A ,点P 在C 上且直线2PA 的斜率的取值范围是[]2,1--,那么直线1PA 斜率的取值范围是 ( )A.1324⎡⎤⎢⎥⎣⎦,B.3384⎡⎤⎢⎥⎣⎦, C.112⎡⎤⎢⎥⎣⎦, D.314⎡⎤⎢⎥⎣⎦,【测量目标】斜率公式,直线与椭圆的位置关系. 【考查方式】给出椭圆及斜率范围,利用斜率公式求值. 【难易程度】中等 【参考答案】B【试题解析】设P 点坐标为(x 0,y 0),则2200=143x y +,2002PA y k x =-,1002PA y k x =+, 于是122200222003334244PA PA x y k k x x -===--- .故12314PA PA k k =-.(步骤1) ∵[]22,1PA k ∈--,∴133,84PA k ⎡⎤∈⎢⎥⎣⎦.故选B. (步骤2)9.若函数()21=f x x ax x ++在1,+2⎛⎫∞ ⎪⎝⎭是增函数,则a 的取值范围是 ( )A.[-1,0]B.[1,)-+∞C.[0,3]D.[3,)+∞【测量目标】利用导数判断函数的单调性,不等式恒成立问题. 【考查方式】结合导数解决不等式恒成立问题,求未知量. 【难易程度】中等 【参考答案】D【试题解析】由条件知()f x '=2x +a -21x …0在1,2⎛⎫+∞ ⎪⎝⎭上恒成立,即212a x x -…在1,2⎛⎫+∞ ⎪⎝⎭上恒成立. ∵函数212y x x =-在1,2⎛⎫+∞ ⎪⎝⎭上为减函数,∴max 211<23212y -⨯=⎛⎫⎪⎝⎭.∴a …3.故选D. 10.已知正四棱柱1111ABCD A BC D -中12AA AB =,则CD 与平面1BDC 所成角的正弦值等于 ( ) A.23C.3D.13 【测量目标】线面角,线面垂直的判定.【考查方式】已知正四棱柱,利用其性质和几何体中的垂直关系求线面角的正弦值. 【难易程度】较难 【参考答案】A【试题解析】如图,连结AC ,交BD 于点O ,由正四棱柱的性质,有.AC BD ⊥ 因为1CC ⊥平面ABCD ,所以 BD ⊥(步骤1)又1,CC AC C = 所以BD ⊥平面 O (步骤2) 在平面1CC O 内作1,CH C O ⊥垂足为H ,则.BD CH ⊥又1,BD C O O = 所以CH ⊥平面1,BDC (步骤3)连结DH ,则DH 为CD 在平面1BDC 上的射影,所以CDH ∠为CD 与平面1BDC 所成的角.(步骤4) 设12 2.AA AB ==在1Rt COC △中,由等面积变换易求得2,3CH =在Rt CDH △中,2sin .3CH CDH CD ∠==(步骤5)11.已知抛物线2:8C y x =与点()2,2M -,过C 的焦点且斜率为k 的直线与C 交于,A B 两点,若0MA MB =,则k = ( )A.12B.2D.2 【测量目标】直线与抛物线的位置关系,平面向量的坐标运算.【考查方式】已知抛物线标准方程,利用抛物线性质及直线与抛物线的位置关系求解过焦点的直线的斜率. 【难易程度】较难 【参考答案】D【试题解析】抛物线C 的焦点为()2,0,F 则直线方程为()2,y k x =-与抛物线方程联立,消去y 化简得()22224840.k x k x k -++=(步骤1)设点()()1122,,,,A x y B x y 则1212284, 4.x x x x k +=+= 所以()121284,y y k x x k k+=+-=()21212122416.y y k x x x x =-++=-⎡⎤⎣⎦(步骤2) ()()()()()()112212122,22,22222MA MB x y x y x x y y =+-+-=+++--()()121212122280,x x x x y y y y =+++-++=(步骤3)将上面各个量代入,化简得2440,k k -+=所以 2.k =(步骤4)12.已知函数()=cos sin 2f x x x ,下列结论中错误的是 ( )A.()y f x =的图象关于()π,0中心对称B.()y f x =的图象关于直线π2x =对称C.()f x 的最大值为2D.()f x 既奇函数,又是周期函数 【测量目标】三角函数的周期性、最值,对称性.【考查方式】利用三角函数的性质判断周期性、对称性,结合导数的应用判断最值. 【难易程度】中等 【参考答案】C【试题解析】A 项,因为(2π)cos(2π)sin(4π2)cos()sin(2)cos sin 2()f x x x x x x x f x -=--=--=-=-()f x 的图象关于点(,0)π中心对称,故正确.(步骤1)B 项,因为(π)cos(π)sin(2π2)cos sin 2(),f x x x x x f x -=--==所以()y f x =的图象关于直线2x π=对称,故正确,(步骤2)C 项,由题意知()()22=2cos sin 21sin sin f x x x x x =-. 令sin t x =,[]1,1t ∈-,则()()232122g t t t t t=-=-.(步骤3)令()2260g t t '=-=,得=3t ±.当1t =±时,函数值为0;当3t =-时,函数值为9-;当3t =时,函数值为9.∴()max g t = 9,即()f x 的最大值为9.故选C.(步骤4)D 项,由()cos()sin(2)cos sin 2()f x x x x x f x -=--=-=-知其为奇函数,综合选项A 、B 知()f x 为周期函数,故正确.(步骤5)二、填空题:本大题共4小题,每小题5分. 13.已知α是第三象限角,1sin 3α=-,则cot α= . 【测量目标】同角三角函数的基本关系,反三角函数. 【考查方式】给出角的范围及正弦值求余切值. 【难易程度】容易【参考答案】【试题解析】由题意知cos 3α==-.故cos cot sin ααα=14.6个人排成一行,其中甲、乙两人不相邻的不同排法共有 种.(用数字作答).【测量目标】排列组合及其应用.【考查方式】利用插空法解决排列组合中不相邻问题. 【难易程度】容易【参考答案】480【试题解析】先把排除甲、乙外的4人全排列,方法有44A 种,再将甲、乙插入这4人形成的5个间隔中,有25A 种排法,因此甲、乙不相邻的不同排法有4245A A 480= (种).15.记不等式组0,34,34,x x y x y ⎧⎪+⎨⎪+⎩………所表示的平面区域为D ,若直线()1y a x =+与D 有公共点,则a 的取值范围是 .【测量目标】判断不等式组表示的平面区域.【考查方式】结合图象利用线性规划的相关知识求未知数范围. 【难易程度】中等 【参考答案】12…a … 4 【试题解析】作出题中不等式组表示的可行域如下图中阴影部分所示.∵直线()1y a x =+过定点P (-1,0),由图并结合题意可知12AP k =,4BP k =, ∴要使直线()1y a x =+与平面区域D 有公共点, 则12…a …4.16.已知圆O 和圆K 是球O 的大圆和小圆,其公共弦长等于球O 的半径,32OK =,且圆O 与圆K 所在的平面所成的一个二面角为60,则球O 的表面积等于 .【测量目标】球的大圆、小圆及球的截面性质,二面角的平面角,球的表面积公式.【考查方式】已知二面角的平面角,根据球的截面性质,直角三角形的性质,求出球的半径,并由球的表面积公式求球的表面积. 【难易程度】较难【参考答案】16π【试题解析】如图所示,公共弦为AB ,设球的半径为R ,则,AB R =取AB 为中点M ,连接OM 、,KM 由圆的性质知,,OM AB KM AB ⊥⊥所以KMO ∠为圆O 与圆K 所在平面所成的一个二面角的平面角,则60.RMO ∠=(步骤1)Rt KOM △中,3,2OK =所以sin 60OK OM ==(步骤2) 在Rt OMA △中,因为222,OA OM AM =+所以2213,4R R =+解得24,R =(步骤3)所以球O 的表面积为24π16π.R =(步骤4)三、解答题:解答应写出文字说明、证明过程或演算步骤. 17.(本小题满分10分)等差数列{}n a 的前n 项和为n S ,已知232=S a ,且124,,S S S 成等比数列,求{}n a 的通项式.【测量目标】等差数列的通项及性质,等比数列的性质.【考查方式】给出数列及部分条件,利用等差中项及等比中项的性质求值. 【难易程度】中等【试题解析】设{}n a 的公差为d ,由232S a =得2223a a =,故2a =0或2a =3.(步骤1) 由124,,S S S 成等比数列得2214S S S =.又1222,2S a d S a d =-=-,4242S a d =+, 故()()()2222242a d a d a d -=-+.(步骤2)若2a =0,则222d d =- ,所以0d =,此时0n S =,不合题意;若2a =3,则()26d -=(3-d )(12+2d ),解得0d =或2d =. 因此{}n a 的通项公式为3n a =或21n a n =-.(步骤3)18.(本小题满分12分)设ABC △的内角,,A B C 的对边分别为,,a b c ,()()a b c a b c ac ++-+=.(I )求B ;(II )若sin sin A C =C . 【测量目标】余弦定理,两角和与差的余弦.【考查方式】已知三角形及部分条件,利用余弦定理,两角和与差的余弦公式求值. 【难易程度】中等【试题解析】(Ⅰ)因为()(),a b c a b c ac ++-+=所以222.a c b ac +-=-(步骤1)由余弦定理得2221cos ,22a c b B ac +-==-因此120.B =(步骤2)(Ⅱ)由(Ⅰ)知60,A C +=所以()cos cos cos sin sin A C A C A C -=+cos cos sin sin 2sin sin A C A C A C =-+()1cos 2sin sin 22A C A C =++=+=(步骤3) 故30A C -= 或30,A C -=-因此15C = 或45.C = (步骤4) 19.(本小题满分12分)如图,四棱锥P ABCD -中,902,ABC BAD BC AD PAB ∠=∠==,△与PAD △都是等边三角形.(I )证明:;PB CD ⊥(II )求二面角A PD C --的大小.【测量目标】平行于垂直关系的综合问题,二面角,空间直角坐标系,空间向量及其运算.【考查方式】(1)借助线线、线面垂直证线线垂直.(2)通过做辅助线将点面距离转化为图形中的线段求解;也可借助空间坐标的运算求值. 【难易程度】中等【试题解析】(1)证明:取BC 的中点E ,连接DE ,则四边形ABED 为正方形.过点P 作PO ABCD ⊥平面,垂足为O .连接OA ,OB,OD ,OE . 由PAB △和PAD △都是等边三角形知,PA PB PD ==(步骤1)所以,OA OB OD ==即O 为正方形ABED 对角线的交点,故 ,OE BD ⊥又,,OE OP BD OP O ⊥= 所以OE ⊥平面PDB ,从而.PB OE ⊥(步骤2) 因为O 是BD 的中点,E 是BC 的中点,所以OE //CD .因此.PB CD ⊥(步骤3)(2)解法一:(图1)由(1)知CD ⊥PB ,CD ⊥PO ,PB PO =P , 故CD ⊥平面PBD .又PD ⊂平面PBD ,所以CD ⊥PD .取PD 的中点F ,PC 的中点G ,连结FG , 则FG ∥CD ,FG ⊥PD .(步骤4)连结AF ,由△APD 为等边三角形可得AF ⊥PD . 所以∠AFG 为二面角A -PD -C 的平面角.(步骤5) 连结AG ,EG ,则EG ∥PB . 又PB ⊥AE ,所以EG ⊥AE .设AB =2,则CD =AE =22EG =12PB =1, 故AG 22AE EG + 3.(步骤6)在△AFG 中,FG =122CD =3AF =,AG =3,所以cos ∠AFG =222623FG AF AG FG AF +-=-⨯⨯因此二面角A -PD -C 的大小为6πarccos 3-(步骤7)解法二:(图2)由(1)知,OE ,OB ,OP 两两垂直.以O 为坐标原点,OE的方向为x 轴的正方向建立如图所示的空间直角坐标系O -xyz . 设|AB|=2,则A (2-0,0),D (0,2-0),C (222-0),P (0, 02. PC =(222-2-,PD=(0,2-2-. AP =202,AD=(22-,0).(步骤8)设平面PCD 的法向量为n 1=(x ,y ,z ),则n 1PC=(x ,y ,z ) (222-2-=0, n 1PD=(x ,y ,z ) (0,2-2-=0,可得2x -y -z =0,y +z =0.取y =-1,得x =0,z =1,故n 1=(0,-1,1).(步骤9)设平面P AD 的法向量为n=(m ,p,q ),则n 2AP=(m ,p ,q ) 0=0,n 2 AD=(m ,p ,q )0)=0,可得m +q =0,m -p =0.取m =1,得p =1,q =-1,故n2=(1,1,-1).(步骤10) 于是cos〈n 1,n 2〉=1212||||= n n n n . 由于〈n 1,n 2〉等于二面角A -PD -C 的平面角,所以二面角A -PD -C 的大小为π-(步骤11)20.(本小题满分12分)甲、乙、丙三人进行羽毛球练习赛,其中两人比赛,另一人当裁判,每局比赛结束时,负的一方在下一局当裁判,设各局中双方获胜的概率均为1,2各局比赛的结果相互独立,第1局甲当裁判. (I )求第4局甲当裁判的概率;(II )X 表示前4局中乙当裁判的次数,求X 的数学期望.【测量目标】相互独立事件的概率,离散型随机变量的期望.【考查方式】利用相互独立事件的概率公式求概率,进而求离散型随机变量的分布列. 【难易程度】中等【试题解析】(Ⅰ)记1A 表示事件“第2局结果为甲胜”,2A 表示“第3局甲参加比赛时,结果为甲负”, A 表示事件“第4局甲当裁判”. 则12.A A A =()()()()12121.4P A P A A P A P A === (步骤1)(Ⅱ)X 的可能取值为0,1,2.记3A 表示事件“第3局乙和丙比赛时,结果为乙胜丙”,1B 表示事件“第1局结果为乙胜丙”,2B 表示事件“第2局乙和甲比赛时,结果为乙胜甲”,3B 表示事件“第3局乙参加比赛时,结果为乙负”.(步骤2)则P (X =0)=()()()()123123P B B A P B P B P A = =18,P (X =2)=()()()1313P B B P B P B == 14,P (X =1)=1-P (X =0)-P (X =2)=1151848--=,EX =0 P (X =0)+1 P (X =1)+2 P (X =2)=98.(步骤3)21.(本小题满分12分)已知双曲线()2222:10,0x y C a b b-=>>的左、右焦点分别为12F F ,,离心率为3,直线2y =与C(I )求,a b ;(II )设过2F 的直线l 与C 的左、右两支分别相交于,A B 两点,且11AF BF =,证明:22AF AB BF 、、成等比数列.【测量目标】双曲线的标准方程及简单几何性质,直线与双曲线的位置关系,直接证明.【考查方式】利用直线与双曲线的位置关系及双曲线简单几何性质求双曲线方程,联立方程利用韦达定理求解线段,证明线段是否满足等比中项的性质. 【难易程度】较难【试题解析】(Ⅰ)由题设知3,c a =即2229,a b a+=故228.b a = 所以C 的方程为22288.x y a -=(步骤1)将y=2代入上式,求得x =(步骤2)由题设知,=解得2 1.a =所以1,a b ==(步骤3) (Ⅱ)证明:由(1)知,()()123,0,3,0,F F -C 的方程为2288.x y -=① (步骤4)由题设可设l 的方程为()3,y k x k =-<将其代入○1并化简,得 ()222286980.kx k x k --++=(步骤5)设()1122,,(,),A x y B x y 则22121212226981,1,,.88k k x x x x x x k k +-+==--剠(步骤6)于是()1131,AF x ===-+123 1.BF x ===+(步骤7)由11,AF BF =得()123131,x x -+=+(步骤8) 即2122262,,383k x x k +=-=--故 解得212419,.59k x x ==-从而(步骤9)由于2113,AF x ===-2231,BF x ===-故()2212234,AB AF BF x x =-=-+=(步骤10) ()221212=39116,AF BF x x x x +--=因而222,AF BF AB = 所以22AF AB BF 、、成等比数列(步骤11). 22.(本小题满分12分)已知函数()()()1=ln 1.1x x f x x xλ++-+(I )若0x …时,()0f x …,求λ的最小值; (II )设数列的{}n a 通项1111,23n a n =+++⋅⋅⋅+证明:21ln 2.4n n a a n-+> 【测量目标】利用导数求函数的最值,解决不等式问题【考查方式】结合导数的应用求参数范围,利用放缩法求和,证明不等式.【难易程度】较难【试题解析】(Ⅰ)解:由已知f (0)=0,()f x '=22121x x x λλ(-)-(+),()0f '=0.(步骤1) 若12λ<,则当0<x <2(1-2λ)时,()f x '>0,所以f (x )>0, 若12λ…,则当x >0时,()f x '<0,所以当x >0时,f (x )<0. 综上,λ的最小值是12.(步骤2) (Ⅱ)证明:令12λ=,(步骤3) 由(Ⅰ)知,当x >0时,f (x )<0,即2ln(1)22x x x x(+)>++.(步骤4) 取1x k =,则211>ln 21k k k k k++(+). 于是212111 422(1)n n n k n a a n k k -=⎡⎤-+=+⎢⎥+⎣⎦∑ =2121211ln 21n n k n k nk k k k k --==++>(+)∑∑ =ln 2n -ln n =ln 2. 所以21ln 24n n a a n-+>.(步骤5)。
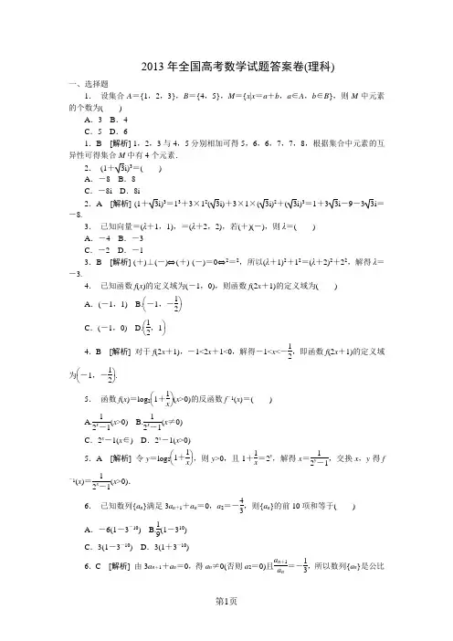
2013年全国高考数学试题答案卷(理科)一、选择题1. 设集合A ={1,2,3},B ={4,5},M ={x |x =a +b ,a ∈A ,b ∈B },则M 中元素的个数为( )A .3B .4C .5D .61.B [解析] 1,2,3与4,5分别相加可得5,6,6,7,7,8,根据集合中元素的互异性可得集合M 中有4个元素.2. (1+3i)3=( ) A .-8 B .8 C .-8i D .8i2.A [解析] (1+3i)3=13+3×12(3i)+3×1×(3i)2+(3i)3=1+33i -9-33i =-8.3. 已知向量=(λ+1,1),=(λ+2,2),若(+)(-),则λ=( ) A .-4 B .-3 C .-2 D .-13.B [解析] (+)⊥(-)⇔(+)·(-)=0⇔2=2,所以(λ+1)2+12=(λ+2)2+22,解得λ=-3.4. 已知函数f (x )的定义域为(-1,0),则函数f (2x +1)的定义域为( ) A .(-1,1) B.⎝⎛⎭⎫-1,-12 C .(-1,0) D.⎝⎛⎭⎫12,14.B [解析] 对于f (2x +1),-1<2x +1<0,解得-1<x <-12,即函数f (2x +1)的定义域为⎝⎛⎭⎫-1,-12. 5. 函数f (x )=log 2⎝⎛⎭⎫1+1x (x >0)的反函数f -1(x )=( ) A.12x -1(x >0) B.12x -1(x ≠0) C .2x -1(x ∈) D .2x -1(x >0)5.A [解析] 令y =log 2⎝⎛⎭⎫1+1x ,则y >0,且1+1x =2y ,解得x =12y -1,交换x ,y 得f -1(x )=12x-1(x >0). 6. 已知数列{a n }满足3a n +1+a n =0,a 2=-43,则{a n }的前10项和等于( )A .-6(1-3-10) B.19(1-310)C .3(1-3-10) D .3(1+3-10)6.C [解析] 由3a n +1+a n =0,得a n ≠0(否则a 2=0)且a n +1a n =-13,所以数列{a n }是公比为-13的等比数列,代入a 2可得a 1=4,故S 10=4×⎣⎡⎦⎤1-⎝⎛⎭⎫-13101+13=3×⎣⎡⎦⎤1-⎝⎛⎭⎫1310=3(1-3-10).7. (1+x )8(1+y )4的展开式中x 2y 2的系数是( ) A .56 B .84 C .112 D .1687.D [解析] (1+x )8展开式中x 2的系数是C 28,(1+y )4的展开式中y 2的系数是C 24,根据多项式乘法法则可得(1+x )8(1+y )4展开式中x 2y 2的系数为C 28C 24=28×6=168.8.、 椭圆C :x 24+y 23=1的左、右顶点分别为A 1,A 2,点P 在C 上且直线P A 2斜率的取值范围是[-2,-1],那么直线P A 1斜率的取值范围是( )A.⎣⎡⎦⎤12,34B.⎣⎡⎦⎤38,34C.⎣⎡⎦⎤12,1D.⎣⎡⎦⎤34,1 8.B [解析] 椭圆的左、右顶点分别为(-2,0),(2,0),设P (x 0,y 0),则kP A 1kP A 2=y 0x 0+2·y 0x 0-2=y 20x 20-4,而x 204+y 203=1,即y 20=34(4-x 20),所以kP A 1kP A 2=-34,所以kP A 1=-34kP A 2∈⎣⎡⎦⎤38,34.9.、 若函数f (x )=x 2+ax +1x 在⎝⎛⎭⎫12,+∞是增函数,则a 的取值范围是( ) A .[-1,0] B .[-1,+∞)C .[0,3]D .[3,+∞)9.D [解析] f ′(x )=2x +a -1x 2≥0在⎝⎛⎭⎫12,+∞上恒成立,即a ≥1x 2-2x 在⎝⎛⎭⎫12 ,+∞上恒成立,由于y =1x2-2x 在⎝⎛⎭⎫12,+∞上单调递减,所以y <3,故只要a ≥3. 10. 已知正四棱柱ABCD -A 1B 1C 1D 1中,AA 1=2AB ,则CD 与平面BDC 1所成角的正弦值等于( )A.23B.33C.23D.1310.A [解析] 如图,联结AC ,交BD 于点O .由于BO ⊥OC ,BO ⊥CC 1,可得BO ⊥平面OCC 1,从而平面OCC 1⊥平面BDC 1,过点C 作OC 1的垂线交OC 1于点E ,根据面面垂直的性质定理可得CE ⊥平面BDC 1,∠CDE 即为所求的线面角.设AB =2,则OC =2,OC 1=18=3 2,所以CE =CC 1·OC OC 1=4 23 2=43,所以sin ∠CDE =CE CD =23.11.、 已知抛物线C :y 2=8x 与点M (-2,2),过C 的焦点且斜率为k 的直线与C 交于A ,B 两点.若MA →·MB =0,则k =( )A.12B.22C. 2 D .211.D [解析] 抛物线的焦点坐标为(2,0),设直线l 的方程为x =ty +2,与抛物线方程联立得y 2-8ty -16=0.设A (x 1,y 1),B (x 2,y 2),则y 1y 2=-16,y 1+y 2=8t ,x 1+x 2=t (y 1+y 2)+4=8t 2+4,x 1x 2=t 2y 1y 2+2t (y 1+y 2)+4=-16t 2+16t 2+4=4.MA →·MB →=(x 1+2,y 1-2)·(x 2+2,y 2-2)=x 1x 2+2(x 1+x 2)+4+y 1y 2-2(y 1+y 2)+4 =4+16t 2+8+4-16-16t +4=16t 2-16t +4=4(2t -1)2=0,解得t =12,所以k =1t =2.12.、 已知函数f (x )=cos x sin 2x ,下列结论中错误的是( )A .y =f (x )的图像关于点(π,0)中心对称B .y =f (x )的图像关于直线x =π2对称C .f (x )的最大值为32D .f (x )既是奇函数,又是周期函数12.C [解析] 因为对任意x ,f (π-x )+f (π+x )=cos x sin 2x -cos x sin 2x =0,故函数f (x )图像关于点(π,0)中心对称;因为对任意x 恒有f (π-x )=cos x sin 2x =f (x ),故函数f (x )图像关于直线x =π2对称;f (-x )=-f (x ),f (x +2π)=f (x ),故f (x )既是奇函数也是周期函数;对选项C 中,f (x )=2cos 2x sin x =2(1-sin 2x )sin x ,令t =sin x ∈[-1,1],设y =(1-t 2)t =-t 3+t ,y ′=-3t 2+1,可得函数y 的极大值点为t =13,所以y 在[]-1,1上的极大值为-1313+13=2 39,函数的端点值为0,故函数y 在区间[]-1,1的最大值为2 39,函数f (x )的最大值为439,所以选项C 中的结论错误.13. 已知α是第三象限角,sin α=-13,则cot α=________.13.2 2 [解析] cos α=-1-sin 2α=-2 23,所以cot α=cos αsin α=2 2.14.、 6个人排成一行,其中甲、乙两人不相邻的不同排法共有________种.(用数字作答)14.480 [解析] 先排另外四人,方法数是A 44,再在隔出的五个位置安插甲乙,方法数是A 25,根据乘法原理得不同排法共有A 44A 25=24×20=480种.15. 记不等式组⎩⎪⎨⎪⎧x ≥0,x +3y ≥4,3x +y ≤4所表示的平面区域为D .若直线y =a (x +1)与D 有公共点,则a 的取值范围是________.15.⎣⎡⎦⎤12,4 [解析] 已知不等式组表示的平面区域如图1-2中的三角形ABC 及其内部,直线y =a (x +1)是过点(-1,0)斜率为a 的直线,该直线与区域D 有公共点时,a 的最小值为MA 的斜率,最大值为MB 的斜率,其中点A (1,1),B (0,4),故MA 的斜率等于1-01-(-1)=12,MB 的斜率等于4-00-(-1)=4,故实数a 的取值范围是⎣⎡⎦⎤12,4.16.、 已知圆O 和圆K 是球O 的大圆和小圆,其公共弦长等于球O 的半径,OK =32,且圆O 与圆K 所在的平面所成的一个二面角为60°,则球O 的表面积等于________.16.16π [解析] 设两圆的公共弦AB 的中点为D ,则KD ⊥DA ,OD ⊥DA ,∠ODK 即为圆O 和和圆K 所在平面所成二面角的平面角,所以∠ODK =60°.由于O 为球心,故OK垂直圆K 所在平面,所以OK ⊥KD .在直角三角形ODK 中,OK OD =sin60°,即OD =32×23=3,设球的半径为r ,则DO =32r ,所以32r =3,所以r =2,所以球的表面积为4πr 2=16π.17.、 等差数列{a n }前n 项和为S n .已知S 3=a 22,且S 1,S 2,S 4成等比数列,求{a n }的通项公式.17.解:设{a n }的公差为d .由S 3=a 22,得3a 2=a 22,故a 2=0或a 2=3.由S 1,S 2,S 4成等比数列得S 22=S 1S 4.又S 1=a 2-d ,S 2=2a 2-d ,S 4=4a 2+2d , 故(2a 2-d )2=(a 2-d )(4a 2+2d ).若a 2=0,则d 2=-2d 2,所以d =0, 此时S n =0,不合题意;若a 2=3,则(6-d )2=(3-d )(12+2d ),解得d =0或d =2.因此{a n }的通项公式为a n =3或a n =2n -1. 18.、 设△ABC 的内角A ,B ,C 的对边分别为a ,b ,c ,(a +b +c )(a -b +c )=ac . (1)求B ; (2)若sin A sin C =3-14,求C . 18.解:(1)因为(a +b +c )(a -b +c )=ac ,所以a 2+c 2-b 2=-ac . 由余弦定理得cos B =a 2+c 2-b 22ac =-12,因此B =120°.(2)由(1)知A +C =60°,所以cos(A -C )=cos A cos C +sin A sin C =cos A cos C -sin A sin C +2sin A sin C =cos(A +C )+2sin A sin C =12+2×3-14 =32, 故A -C =30°或A -C =-30°, 因此C =15°或C =45°. 19.、 如图,四棱锥P -ABCD 中,∠ABC =∠BAD =90°,BC =2AD ,△P AB 和△P AD 都是等边三角形.(1)证明:PB ⊥CD ;(2)求二面角A -PD -C 的大小.19.解:(1)取BC 的中点E ,联结DE ,则四边形ABED 为正方形. 过P 作PO ⊥平面ABCD ,垂足为O . 联结OA ,OB ,OD ,OE .由△P AB 和△P AD 都是等边三角形知P A =PB =PD ,所以OA =OB =OD ,即点O 为正方形ABED 对角线的交点, 故OE ⊥BD ,从而PB ⊥OE .因为O 是BD 的中点,E 是BC 的中点,所以OE ∥CD .因此PB ⊥CD .(2)解法一:由(1)知CD ⊥PB ,CD ⊥PO ,PB ∩PO =P , 故CD ⊥平面PBD .又PD ⊂平面PBD ,所以CD ⊥PD .取PD 的中点F ,PC 的中点G ,连FG . 则FG ∥CD ,FG ⊥PD .联结AF ,由△APD 为等边三角形可得AF ⊥PD .所以∠AFG 为二面角A -PD -C 的平面角. 联结AG ,EG ,则EG ∥PB . 又PB ⊥AE ,所以EG ⊥AE .设AB =2,则AE =2 2,EG =12PB =1,故AG =AE 2+EG 2=3,在△AFG 中,FG =12CD =2,AF =3,AG =3.所以cos ∠AFG =FG 2+AF 2-AG 22·FG ·AF =-63.因此二面角A -PD -C 的大小为π-arccos63. 解法二:由(1)知,OE ,OB ,OP 两两垂直.以O 为坐标原点,OE →的方向为x 轴的正方向建立如图所示的空间直角坐标系O -xyz .设|AB →|=2,则A (-2,0,0),D (0,-2,0), C (2 2,-2,0),P (0,0,2),PC →=(2 2,-2,-2),PD →=(0,-2,-2), AP →=(2,0,2),AD →=(2,-2,0). 设平面PCD 的法向量为1=(x ,y ,z ),则 1·PC →=(x ,y ,z )·(2 2,-2,-2)=0,1·PD →=(x ,y ,z )·(0,-2,-2)=0,可得2x -y -z =0,y +z =0.取y =-1,得x =0,z =1,故1=(0,-1,1). 设平面P AD 的法向量为2=(m ,p ,q ),则 2·AP →=(m ,p ,q )·(2,0,2)=0, 2·AD →=(m ,p ,q )·(2,-2,0)=0,可得m +q =0,m -p =0.取m =1,得p =1,q =-1,故2=(1,1,-1). 于是cos 〈,2〉=n 1·n 2|n 1||n 2|=-63.由于〈,2〉等于二面角A -PD -C 的平面角,所以二面角A -PD -C 的大小为π-arccos63. 20.、 甲、乙、丙三人进行羽毛球练习赛,其中两人比赛,另一人当裁判,每局比赛结束时,负的一方在下一局当裁判.设各局中双方获胜的概率均为12,各局比赛的结果相互独立,第1局甲当裁判.(1)求第4局甲当裁判的概率;(2)X 表示前4局中乙当裁判的次数,求X 的数学期望. 20.解:(1)记A 1表示事件“第2局结果为甲胜”, A 2表示事件“第3局甲参加比赛,结果为甲负”, A 表示事件“第4局甲当裁判”. 则A =A 1·A 2.P (A )=P (A 1·A 2)=P (A 1)P (A 2)=14.(2)X 的可能取值为0,1,2.记A 3表示事件“第3局乙和丙比赛时,结果为乙胜丙”, B 1表示事件“第1局结果为乙胜丙”,B 2表示事件“第2局乙和甲比赛时,结果为乙胜甲”, B 3表示事件“第3局乙参加比赛时,结果为乙负”. 则P (X =0)=P (B 1·B 2·A 3)=P (B 1)P (B 2)P (A 3)=18,P (X =2)=P (B 1·B 3)=P (B 1)P (B 3)=14,P (X =1)=1-P (X =0)-P (X =2)=1-18-14=58,E (X )=0·P (X =0)+1·P (X =1)+2·P (X =2)=98.21.、、 已知双曲线C :x 2a 2-y 2b 2=1(a >0,b >0)的左、右焦点分别为F 1,F 2,离心率为3,直线y =2与C 的两个交点间的距离为 6.(1)求a ,b ;(2)设过F 2的直线l 与C 的左、右两支分别交于A ,B 两点,且|AF 1|=|BF 1|,证明:|AF 2|,|AB |,|BF 2|成等比数列.21.解:(1)由题设知ca =3,即a 2+b 2a 2=9,故b 2=8a 2.所以C 的方程为8x 2-y 2=8a 2. 将y =2代入上式,求得x =±a 2+12.由题设知,2a 2+12=6,解得a 2=1.所以a =1,b =2 2.(2)证明:由(1)知,F 1(-3,0),F 2(3,0),C 的方程为8x 2-y 2=8.① 由题意可设l 的方程为y =k (x -3),|k |<2 2,代入①并化简得(k 2-8)x 2-6k 2x +9k 2+8=0. 设A (x 1,y 1),B (x 2,y 2),则 x 1≤-1,x 2≥1,x 1+x 2=6k 2k 2-8,x 1x 2=9k 2+8k 2-8.于是|AF 1|=(x 1+3)2+y 21=(x 1+3)2+8x 21-8=-(3x 1+1),|BF 1|=(x 2+3)2+y 22=(x 2+3)2+8x 22-8=3x 2+1.由|AF 1|=|BF 1|得-(3x 1+1)=3x 2+1,即x 1+x 2=-23.故6k 2k 2-8=-23,解得k 2=45,从而x 1x 2=-199.由于|AF 2|=(x 1-3)2+y 21=(x 1-3)2+8x 21-8=1-3x 1,|BF 2|=(x 2-3)2+y 22=(x 2-3)2+8x 22-8=3x 2-1, 故|AB |=|AF 2|-|BF 2|=2-3(x 1+x 2)=4, |AF 2|·|BF 2|=3(x 1+x 2)-9x 1x 2-1=16. 因而|AF 2|·|BF 2|=|AB |2,所以|AF 2|,|AB |,|BF 2|成等比数列.22. 已知函数f (x )=ln(1+x )-x (1+λx )1+x .(1)若x ≥0时f (x )≤0,求λ的最小值;(2)设数列{a n }的通项a n =1+12+13+…+1n ,证明:a 2n -a n +14n >ln 2.22.解:(1)由已知f (0)=0,f ′(x )=(1-2λ)x -λx 2(1+x )2,f ′(0)=0.若λ<12,则当0<x <2(1-2λ)时,f ′(x )>0,所以f (x )>0.若λ≥12,则当x >0时,f ′(x )<0,所以当x >0时,f (x )<0.综上,λ的最小值是12.(2)令λ=12.由(1)知,当x >0时,f (x )<0,即x (2+x )2+2x>ln (1+x ).取x =1k ,则2k +12k (k +1)>ln k +1k .于是a 2n -a n +14n =∑k =n 2n -1 ⎣⎡⎦⎤12k +12(k +1)=∑k =n2n -12k +12k (k +1)>k =n 2n -1lnk +1k=ln 2n-ln n =ln 2.所以a2n-a n+14n>ln 2.。
2013年全国统一高考数学试卷(理科)(大纲版)一、选择题:本大题共12小题,每小题5分.在每小题给出的四个选项中,只有一项是符合题目要求的.1.(5分)设集合A={1,2,3},B={4,5},M={x|x=a+b,a∈A,b∈B},则M 中元素的个数为()A.3 B.4 C.5 D.62.(5分)=()A.﹣8 B.8 C.﹣8i D.8i3.(5分)已知向量=(λ+1,1),=(λ+2,2),若(+)⊥(﹣),则λ=()A.﹣4 B.﹣3 C.﹣2 D.﹣14.(5分)已知函数f(x)的定义域为(﹣1,0),则函数f(2x+1)的定义域为()A.(﹣1,1)B.C.(﹣1,0)D.5.(5分)函数f(x)=log2(1+)(x>0)的反函数f﹣1(x)=()A.B.C.2x﹣1(x∈R)D.2x﹣1(x>0)6.(5分)已知数列{a n}满足3a n+1+a n=0,a2=﹣,则{a n}的前10项和等于()A.﹣6(1﹣3﹣10)B.C.3(1﹣3﹣10)D.3(1+3﹣10)7.(5分)(1+x)3(1+y)4的展开式中x2y2的系数是()A.5 B.8 C.12 D.188.(5分)椭圆C:的左、右顶点分别为A1、A2,点P在C上且直线PA2斜率的取值范围是[﹣2,﹣1],那么直线PA1斜率的取值范围是()A.B.C. D.9.(5分)若函数f(x)=x2+ax+是增函数,则a的取值范围是()A.[﹣1,0]B.[﹣1,+∞)C.[0,3]D.[3,+∞)10.(5分)已知正四棱柱ABCD﹣A1B1C1D1中,AA1=2AB,则CD与平面BDC1所成角的正弦值等于()A.B.C.D.11.(5分)已知抛物线C:y2=8x的焦点为F,点M(﹣2,2),过点F且斜率为k的直线与C交于A,B两点,若,则k=()A.B.C.D.212.(5分)已知函数f(x)=cosxsin2x,下列结论中不正确的是()A.y=f(x)的图象关于(π,0)中心对称B.C.D.f(x)既是奇函数,又是周期函数二、填空题:本大题共4小题,每小题5分.13.(5分)已知α是第三象限角,sinα=﹣,则cotα=.14.(5分)6个人排成一行,其中甲、乙两人不相邻的不同排法共有种.(用数字作答)15.(5分)记不等式组所表示的平面区域为D.若直线y=a(x+1)与D有公共点,则a的取值范围是.16.(5分)已知圆O和圆K是球O的大圆和小圆,其公共弦长等于球O的半径,,则球O的表面积等于.三、解答题:解答应写出文字说明、证明过程或演算步骤.17.(10分)等差数列{a n}的前n项和为S n.已知S3=a22,且S1,S2,S4成等比数列,求{a n}的通项式.18.(12分)设△ABC的内角A,B,C的内角对边分别为a,b,c,满足(a+b+c)(a﹣b+c)=ac.(Ⅰ)求B.(Ⅱ)若sinAsinC=,求C.19.(12分)如图,四棱锥P﹣ABCD中,∠ABC=∠BAD=90°,BC=2AD,△PAB与△PAD都是等边三角形.(Ⅰ)证明:PB⊥CD;(Ⅱ)求二面角A﹣PD﹣C的大小.20.(12分)甲、乙、丙三人进行羽毛球练习赛,其中两人比赛,另一人当裁判,每局比赛结束时,负的一方在下一局当裁判,设各局中双方获胜的概率均为,各局比赛的结果都相互独立,第1局甲当裁判.(Ⅰ)求第4局甲当裁判的概率;(Ⅱ)X表示前4局中乙当裁判的次数,求X的数学期望.21.(12分)已知双曲线C:=1(a>0,b>0)的左、右焦点分别为F1,F2,离心率为3,直线y=2与C的两个交点间的距离为.(I)求a,b;(II)设过F2的直线l与C的左、右两支分别相交于A、B两点,且|AF1|=|BF1|,证明:|AF2|、|AB|、|BF2|成等比数列.22.(12分)已知函数.(I)若x≥0时,f(x)≤0,求λ的最小值;(II)设数列{a n}的通项a n=1+.2013年全国统一高考数学试卷(理科)(大纲版)参考答案与试题解析一、选择题:本大题共12小题,每小题5分.在每小题给出的四个选项中,只有一项是符合题目要求的.1.(5分)设集合A={1,2,3},B={4,5},M={x|x=a+b,a∈A,b∈B},则M 中元素的个数为()A.3 B.4 C.5 D.6【分析】利用已知条件,直接求出a+b,利用集合元素互异求出M中元素的个数即可.【解答】解:因为集合A={1,2,3},B={4,5},M={x|x=a+b,a∈A,b∈B},所以a+b的值可能为:1+4=5、1+5=6、2+4=6、2+5=7、3+4=7、3+5=8,所以M中元素只有:5,6,7,8.共4个.故选:B.【点评】本题考查集合中元素个数的最值,集合中元素的互异性的应用,考查计算能力.2.(5分)=()A.﹣8 B.8 C.﹣8i D.8i【分析】复数分子、分母同乘﹣8,利用1的立方虚根的性质(),化简即可.【解答】解:故选:A.【点评】复数代数形式的运算,是基础题.3.(5分)已知向量=(λ+1,1),=(λ+2,2),若(+)⊥(﹣),则λ=()A.﹣4 B.﹣3 C.﹣2 D.﹣1【分析】利用向量的运算法则、向量垂直与数量积的关系即可得出.【解答】解:∵,.∴=(2λ+3,3),.∵,∴=0,∴﹣(2λ+3)﹣3=0,解得λ=﹣3.故选:B.【点评】熟练掌握向量的运算法则、向量垂直与数量积的关系是解题的关键.4.(5分)已知函数f(x)的定义域为(﹣1,0),则函数f(2x+1)的定义域为()A.(﹣1,1)B.C.(﹣1,0)D.【分析】原函数的定义域,即为2x+1的范围,解不等式组即可得解.【解答】解:∵原函数的定义域为(﹣1,0),∴﹣1<2x+1<0,解得﹣1<x<﹣.∴则函数f(2x+1)的定义域为.故选:B.【点评】考查复合函数的定义域的求法,注意变量范围的转化,属简单题.5.(5分)函数f(x)=log2(1+)(x>0)的反函数f﹣1(x)=()A.B.C.2x﹣1(x∈R)D.2x﹣1(x>0)【分析】把y看作常数,求出x:x=,x,y互换,得到y=log2(1+)的反函数.注意反函数的定义域.【解答】解:设y=log2(1+),把y看作常数,求出x:1+=2y,x=,其中y>0,x,y互换,得到y=log2(1+)的反函数:y=,故选:A.【点评】本题考查对数函数的反函数的求法,解题时要认真审题,注意对数式和指数式的相互转化.6.(5分)已知数列{a n}满足3a n+1+a n=0,a2=﹣,则{a n}的前10项和等于()A.﹣6(1﹣3﹣10)B.C.3(1﹣3﹣10)D.3(1+3﹣10)【分析】由已知可知,数列{a n}是以﹣为公比的等比数列,结合已知可求a1,然后代入等比数列的求和公式可求+a n=0【解答】解:∵3a n+1∴∴数列{a n}是以﹣为公比的等比数列∵∴a1=4由等比数列的求和公式可得,S10==3(1﹣3﹣10)故选:C.【点评】本题主要考查了等比数列的通项公式及求和公式的简单应用,属于基础试题7.(5分)(1+x)3(1+y)4的展开式中x2y2的系数是()A.5 B.8 C.12 D.18【分析】由题意知利用二项展开式的通项公式写出展开式的通项,令x的指数为2,写出出展开式中x2的系数,第二个因式y2的系数,即可得到结果.=C3r x r【解答】解:(x+1)3的展开式的通项为T r+1令r=2得到展开式中x2的系数是C32=3,=C4r y r(1+y)4的展开式的通项为T r+1令r=2得到展开式中y2的系数是C42=6,(1+x)3(1+y)4的展开式中x2y2的系数是:3×6=18,故选:D.【点评】本题考查利用二项展开式的通项公式解决二项展开式的特定项问题,本题解题的关键是写出二项式的展开式,所有的这类问题都是利用通项来解决的.8.(5分)椭圆C:的左、右顶点分别为A1、A2,点P在C上且直线PA2斜率的取值范围是[﹣2,﹣1],那么直线PA1斜率的取值范围是()A.B.C. D.【分析】由椭圆C:可知其左顶点A1(﹣2,0),右顶点A2(2,0).设P(x0,y0)(x0≠±2),代入椭圆方程可得.利用斜率计算公式可得,再利用已知给出的的范围即可解出.【解答】解:由椭圆C:可知其左顶点A1(﹣2,0),右顶点A2(2,0).设P(x0,y0)(x0≠±2),则,得.∵=,=,∴==,∵,∴,解得.故选:B.【点评】熟练掌握椭圆的标准方程及其性质、斜率的计算公式、不等式的性质等是解题的关键.9.(5分)若函数f(x)=x2+ax+是增函数,则a的取值范围是()A.[﹣1,0]B.[﹣1,+∞)C.[0,3]D.[3,+∞)【分析】由函数在(,+∞)上是增函数,可得≥0在(,+∞)上恒成立,进而可转化为a≥﹣2x在(,+∞)上恒成立,构造函数求出﹣2x在(,+∞)上的最值,可得a的取值范围.【解答】解:∵在(,+∞)上是增函数,故≥0在(,+∞)上恒成立,即a≥﹣2x在(,+∞)上恒成立,令h(x)=﹣2x,则h′(x)=﹣﹣2,当x∈(,+∞)时,h′(x)<0,则h(x)为减函数.∴h(x)<h()=3∴a≥3.故选:D.【点评】本题考查的知识点是利用导数研究函数的单调性,恒成立问题,是导数的综合应用,难度中档.10.(5分)已知正四棱柱ABCD﹣A1B1C1D1中,AA1=2AB,则CD与平面BDC1所成角的正弦值等于()【分析】设AB=1,则AA1=2,分别以的方向为x轴、y轴、z 轴的正方向建立空间直角坐标系,设=(x,y,z)为平面BDC1的一个法向量,CD与平面BDC1所成角为θ,则sinθ=||,在空间坐标系下求出向量坐标,代入计算即可.【解答】解:设AB=1,则AA1=2,分别以的方向为x轴、y 轴、z轴的正方向建立空间直角坐标系,如下图所示:则D(0,0,2),C1(1,0,0),B(1,1,2),C(1,0,2),=(1,1,0),=(1,0,﹣2),=(1,0,0),设=(x,y,z)为平面BDC1的一个法向量,则,即,取=(2,﹣2,1),设CD与平面BDC1所成角为θ,则sinθ=||=,故选:A.【点评】本题考查直线与平面所成的角,考查空间向量的运算及应用,准确理解线面角与直线方向向量、平面法向量夹角关系是解决问题的关键.11.(5分)已知抛物线C:y2=8x的焦点为F,点M(﹣2,2),过点F且斜率为k的直线与C交于A,B两点,若,则k=()【分析】斜率k存在,设直线AB为y=k(x﹣2),代入抛物线方程,利用=(x1+2,y1﹣2)•(x2+2,y2﹣2)=0,即可求出k的值.【解答】解:由抛物线C:y2=8x得焦点(2,0),由题意可知:斜率k存在,设直线AB为y=k(x﹣2),代入抛物线方程,得到k2x2﹣(4k2+8)x+4k2=0,△>0,设A(x1,y1),B(x2,y2).∴x1+x2=4+,x1x2=4.∴y1+y2=,y1y2=﹣16,又=0,∴=(x1+2,y1﹣2)•(x2+2,y2﹣2)==0∴k=2.故选:D.【点评】本题考查直线与抛物线的位置关系,考查向量的数量积公式,考查学生的计算能力,属于中档题.12.(5分)已知函数f(x)=cosxsin2x,下列结论中不正确的是()A.y=f(x)的图象关于(π,0)中心对称B.C.D.f(x)既是奇函数,又是周期函数【分析】根据函数图象关于某点中心对称或关于某条直线对称的公式,对A、B 两项加以验证,可得它们都正确.根据二倍角的正弦公式和同角三角函数的关系化简,得f(x)=2sinx(1﹣sin2x),再换元:令t=sinx,得到关于t的三次函数,利用导数研究此函数的单调性可得f(x)的最大值为,故C不正确;根据函数周期性和奇偶性的定义加以验证,可得D项正确.由此可得本题的答案.【解答】解:对于A,因为f(π+x)=cos(π+x)sin(2π+2x)=﹣cosxsin2x,f(π﹣x)=cos(π﹣x)sin(2π﹣2x)=cosxsin2x,所以f(π+x)+f(π﹣x)=0,可得y=f(x)的图象关于(π,0)中心对称,故A正确;对于B,因为f(+x)=cos(+x)sin(π+2x)=﹣sinx(﹣sin2x)=sinxsin2x,f(﹣x)=cos(﹣x)sin(π﹣2x)=sinxsin2x,所以f(+x)=f(﹣x),可得y=f(x)的图象关于直线x=对称,故B正确;对于C,化简得f(x)=cosxsin2x=2cos2xsinx=2sinx(1﹣sin2x),令t=sinx,f(x)=g(t)=2t(1﹣t2),﹣1≤t≤1,∵g(t)=2t(1﹣t2)的导数g'(t)=2﹣6t2=2(1+t)(1﹣t)∴当t∈(﹣1,﹣)时或t∈(,1)时g'(t)<0,函数g(t)为减函数;当t∈(﹣,)时g'(t)>0,函数g(t)为增函数.因此函数g(t)的最大值为t=﹣1时或t=时的函数值,结合g(﹣1)=0<g()=,可得g(t)的最大值为.由此可得f(x)的最大值为而不是,故C不正确;对于D,因为f(﹣x)=cos(﹣x)sin(﹣2x)=﹣cosxsin2x=﹣f(x),所以f(x)是奇函数.因为f(2π+x)=cos(2π+x)sin(4π+2x)=cosxsin2x=f(x),所以2π为函数的一个周期,得f(x)为周期函数.可得f(x)既是奇函数,又是周期函数,得D正确.综上所述,只有C项不正确.故选:C.【点评】本题给出三角函数式,研究函数的奇偶性、单调性和周期性.着重考查了三角恒等变换公式、利用导数研究函数的单调性和函数图象的对称性等知识,属于中档题.二、填空题:本大题共4小题,每小题5分.13.(5分)已知α是第三象限角,sinα=﹣,则cotα=2.【分析】根据α是第三象限的角,得到cosα小于0,然后由sinα的值,利用同角三角函数间的基本关系求出cosα的值,进而求出cotα的值.【解答】解:由α是第三象限的角,得到cosα<0,又sinα=﹣,所以cosα=﹣=﹣则cotα==2故答案为:2【点评】此题考查学生灵活运用同角三角函数间的基本关系化简求值,是一道基础题.学生做题时注意α的范围.14.(5分)6个人排成一行,其中甲、乙两人不相邻的不同排法共有480种.(用数字作答)【分析】排列好甲、乙两人外的4人,然后把甲、乙两人插入4个人的5个空位中即可.【解答】解:6个人排成一行,其中甲、乙两人不相邻的不同排法:排列好甲、乙两人外的4人,有中方法,然后把甲、乙两人插入4个人的5个空位,有种方法,所以共有:=480.故答案为:480.【点评】本题考查了乘法原理,以及排列的简单应用,插空法解答不相邻问题.15.(5分)记不等式组所表示的平面区域为D.若直线y=a(x+1)与D有公共点,则a的取值范围是[,4] .【分析】本题考查的知识点是简单线性规划的应用,我们要先画出满足约束条件的平面区域,然后分析平面区域里各个角点,然后将其代入y=a(x+1)中,求出y=a(x+1)对应的a的端点值即可.【解答】解:满足约束条件的平面区域如图示:因为y=a(x+1)过定点(﹣1,0).所以当y=a(x+1)过点B(0,4)时,得到a=4,当y=a(x+1)过点A(1,1)时,对应a=.又因为直线y=a(x+1)与平面区域D有公共点.所以≤a≤4.故答案为:[,4]【点评】在解决线性规划的小题时,我们常用“角点法”,其步骤为:①由约束条件画出可行域⇒②求出可行域各个角点的坐标⇒③将坐标逐一代入目标函数⇒④验证,求出最优解.16.(5分)已知圆O和圆K是球O的大圆和小圆,其公共弦长等于球O的半径,,则球O的表面积等于16π.【分析】正确作出图形,利用勾股定理,建立方程,即可求得结论.【解答】解:如图所示,设球O的半径为r,AB是公共弦,∠OCK是面面角根据题意得OC=,CK=在△OCK中,OC2=OK2+CK2,即∴r2=4∴球O的表面积等于4πr2=16π故答案为16π【点评】本题考查球的表面积,考查学生分析解决问题的能力,属于中档题.三、解答题:解答应写出文字说明、证明过程或演算步骤.17.(10分)等差数列{a n}的前n项和为S n.已知S3=a22,且S1,S2,S4成等比数列,求{a n}的通项式.【分析】由,结合等差数列的求和公式可求a2,然后由,结合等差数列的求和公式进而可求公差d,即可求解通项公式【解答】解:设数列的公差为d由得,3∴a2=0或a2=3由题意可得,∴若a2=0,则可得d2=﹣2d2即d=0不符合题意若a2=3,则可得(6﹣d)2=(3﹣d)(12+2d)解可得d=0或d=2∴a n=3或a n=2n﹣1【点评】本题主要考查了等差数列的通项公式及求和公式的应用,等比数列的性质的简单应用,属于基础试题18.(12分)设△ABC的内角A,B,C的内角对边分别为a,b,c,满足(a+b+c)(a﹣b+c)=ac.(Ⅰ)求B.(Ⅱ)若sinAsinC=,求C.【分析】(I)已知等式左边利用多项式乘多项式法则计算,整理后得到关系式,利用余弦定理表示出cosB,将关系式代入求出cosB的值,由B为三角形的内角,利用特殊角的三角函数值即可求出B的度数;(II)由(I)得到A+C的度数,利用两角和与差的余弦函数公式化简cos(A﹣C),变形后将cos(A+C)及2sinAsinC的值代入求出cos(A﹣C)的值,利用特殊角的三角函数值求出A﹣C的值,与A+C的值联立即可求出C的度数.【解答】解:(I)∵(a+b+c)(a﹣b+c)=(a+c)2﹣b2=ac,∴a2+c2﹣b2=﹣ac,∴cosB==﹣,又B为三角形的内角,则B=120°;(II)由(I)得:A+C=60°,∵sinAsinC=,cos(A+C)=,∴cos(A﹣C)=cosAcosC+sinAsinC=cosAcosC﹣sinAsinC+2sinAsinC=cos(A+C)+2sinAsinC=+2×=,∴A﹣C=30°或A﹣C=﹣30°,则C=15°或C=45°.【点评】此题考查了余弦定理,两角和与差的余弦函数公式,以及特殊角的三角函数值,熟练掌握余弦定理是解本题的关键.19.(12分)如图,四棱锥P﹣ABCD中,∠ABC=∠BAD=90°,BC=2AD,△PAB与△PAD都是等边三角形.(Ⅰ)证明:PB⊥CD;(Ⅱ)求二面角A﹣PD﹣C的大小.【分析】(I)取BC的中点E,连接DE,过点P作PO⊥平面ABCD于O,连接OA、OB、OD、OE.可证出四边形ABED是正方形,且O为正方形ABED的中心.因此OE⊥OB,结合三垂线定理,证出OE⊥PB,而OE是△BCD的中位线,可得OE ∥CD,因此PB⊥CD;(II)由(I)的结论,证出CD⊥平面PBD,从而得到CD⊥PD.取PD的中点F,PC的中点G,连接FG,可得FG∥CD,所以FG⊥PD.连接AF,可得AF⊥PD,因此∠AFG为二面角A﹣PD﹣C的平面角,连接AG、EG,则EG∥PB,可得EG ⊥OE.设AB=2,可求出AE、EG、AG、AF和FG的长,最后在△AFG中利用余弦定理,算出∠AFG=π﹣arccos,即得二面角A﹣PD﹣C的平面角大小.【解答】解:(I)取BC的中点E,连接DE,可得四边形ABED是正方形过点P作PO⊥平面ABCD,垂足为O,连接OA、OB、OD、OE∵△PAB与△PAD都是等边三角形,∴PA=PB=PD,可得OA=OB=OD因此,O是正方形ABED的对角线的交点,可得OE⊥OB∵PO⊥平面ABCD,得直线OB是直线PB在内的射影,∴OE⊥PB∵△BCD中,E、O分别为BC、BD的中点,∴OE∥CD,可得PB⊥CD;(II)由(I)知CD⊥PO,CD⊥PB∵PO、PB是平面PBD内的相交直线,∴CD⊥平面PBD∵PD⊂平面PBD,∴CD⊥PD取PD的中点F,PC的中点G,连接FG,则FG为△PCD有中位线,∴FG∥CD,可得FG⊥PD连接AF,由△PAD是等边三角形可得AF⊥PD,∴∠AFG为二面角A﹣PD﹣C的平面角连接AG、EG,则EG∥PB∵PB⊥OE,∴EG⊥OE,设AB=2,则AE=2,EG=PB=1,故AG==3在△AFG中,FG=CD=,AF=,AG=3∴cos∠AFG==﹣,得∠AFG=π﹣arccos,即二面角A﹣PD﹣C的平面角大小是π﹣arccos.【点评】本题给出特殊的四棱锥,求证直线与直线垂直并求二面角平面角的大小,着重考查了线面垂直的判定与性质、三垂线定理和运用余弦定理求二面的大小等知识,属于中档题.20.(12分)甲、乙、丙三人进行羽毛球练习赛,其中两人比赛,另一人当裁判,每局比赛结束时,负的一方在下一局当裁判,设各局中双方获胜的概率均为,各局比赛的结果都相互独立,第1局甲当裁判.(Ⅰ)求第4局甲当裁判的概率;(Ⅱ)X表示前4局中乙当裁判的次数,求X的数学期望.【分析】(I)令A1表示第2局结果为甲获胜,A2表示第3局甲参加比赛时,结果为甲负,A表示第4局甲当裁判,分析其可能情况,每局比赛的结果相互独立且互斥,利用独立事件、互斥事件的概率求解即可.(II)X的所有可能值为0,1,2.分别求出X取每一个值的概率,列出分布列后求出期望值即可.【解答】解:(I)令A1表示第2局结果为甲获胜.A2表示第3局甲参加比赛时,结果为甲负.A表示第4局甲当裁判.则A=A1•A2,P(A)=P(A1•A2)=P(A1)P(A2)=;(Ⅱ)X的所有可能值为0,1,2.令A3表示第3局乙和丙比赛时,结果为乙胜.B1表示第1局结果为乙获胜,B2表示第2局乙和甲比赛时,结果为乙胜,B3表示第3局乙参加比赛时,结果为乙负,则P(X=0)=P(B 1B2)=P(B1)P(B2)P()=.P(X=2)=P(B 3)=P()P(B3)=.P(X=1)=1﹣P(X=0)﹣P(X=2)=.从而EX=0×+1×+2×=.【点评】本题考查互斥、独立事件的概率,离散型随机变量的分布列和期望等知识,同时考查利用概率知识解决问题的能力.21.(12分)已知双曲线C:=1(a>0,b>0)的左、右焦点分别为F1,F2,离心率为3,直线y=2与C的两个交点间的距离为.(I)求a,b;(II)设过F2的直线l与C的左、右两支分别相交于A、B两点,且|AF1|=|BF1|,证明:|AF2|、|AB|、|BF2|成等比数列.【分析】(I)由题设,可由离心率为3得到参数a,b的关系,将双曲线的方程用参数a表示出来,再由直线建立方程求出参数a即可得到双曲线的方程;(II)由(I)的方程求出两焦点坐标,设出直线l的方程设A(x1,y1),B(x2,y2),将其与双曲线C的方程联立,得出x1+x2=,,再利用|AF1|=|BF1|建立关于A,B坐标的方程,得出两点横坐标的关系,由此方程求出k的值,得出直线的方程,从而可求得:|AF2|、|AB|、|BF2|,再利用等比数列的性质进行判断即可证明出结论.【解答】解:(I)由题设知=3,即=9,故b2=8a2所以C的方程为8x2﹣y2=8a2将y=2代入上式,并求得x=±,由题设知,2=,解得a2=1所以a=1,b=2(II)由(I)知,F1(﹣3,0),F2(3,0),C的方程为8x2﹣y2=8 ①由题意,可设l的方程为y=k(x﹣3),|k|<2代入①并化简得(k2﹣8)x2﹣6k2x+9k2+8=0设A(x1,y1),B(x2,y2),则x1≤﹣1,x2≥1,x1+x2=,,于是|AF1|==﹣(3x1+1),|BF1|==3x2+1,|AF1|=|BF1|得﹣(3x1+1)=3x2+1,即故=,解得,从而=﹣由于|AF2|==1﹣3x1,|BF2|==3x2﹣1,故|AB|=|AF2|﹣|BF2|=2﹣3(x1+x2)=4,|AF2||BF2|=3(x1+x2)﹣9x1x2﹣1=16因而|AF2||BF2|=|AB|2,所以|AF2|、|AB|、|BF2|成等比数列【点评】本题考查直线与圆锥曲线的综合关系,考查了运算能力,题设条件的转化能力,方程的思想运用,此类题综合性强,但解答过程有其固有规律,一般需要把直线与曲线联立利用根系关系,解答中要注意提炼此类题解答过程中的共性,给以后解答此类题提供借鉴.22.(12分)已知函数.(I)若x≥0时,f(x)≤0,求λ的最小值;(II)设数列{a n}的通项a n=1+.【分析】(I)由于已知函数的最大值是0,故可先求出函数的导数,研究其单调性,确定出函数的最大值,利用最大值小于等于0求出参数λ的取值范围,即可求得其最小值;(II)根据(I)的证明,可取λ=,由于x>0时,f(x)<0得出,考察发现,若取x=,则可得出,以此为依据,利用放缩法,即可得到结论【解答】解:(I)由已知,f(0)=0,f′(x)==,∴f′(0)=0欲使x≥0时,f(x)≤0恒成立,则f(x)在(0,+∞)上必为减函数,即在(0,+∞)上f′(x)<0恒成立,当λ≤0时,f′(x)>0在(0,+∞)上恒成立,为增函数,故不合题意,若0<λ<时,由f′(x)>0解得x<,则当0<x<,f′(x)>0,所以当0<x<时,f(x)>0,此时不合题意,若λ≥,则当x>0时,f′(x)<0恒成立,此时f(x)在(0,+∞)上必为减函数,所以当x>0时,f(x)<0恒成立,综上,符合题意的λ的取值范围是λ≥,即λ的最小值为(II)令λ=,由(I)知,当x>0时,f(x)<0,即取x=,则于是a2n﹣a n+=++…++====>=ln2n﹣lnn=ln2最新修正版所以【点评】本题考查了数列中证明不等式的方法及导数求最值的普通方法,解题的关键是充分利用已有的结论再结合放缩法,本题考查了推理判断的能力及转化化归的思想,有一定的难度。
2013年普通高等学校夏季招生全国统一考试数学理工农医类(全国新课标卷I)第Ⅰ卷一、选择题:本大题共12小题,每小题5分,在每小题给出的四个选项中,只有一项是符合题目要求的.1.(2013课标全国Ⅰ,理1)已知集合A ={x |x 2-2x >0},B ={x |-5<x <5},则( ). A .A ∩B = B .A ∪B =R C .B ⊆A D .A ⊆B2.(2013课标全国Ⅰ,理2)若复数z 满足(3-4i)z =|4+3i|,则z 的虚部为( ).A .-4B .45-C .4D .45 3.(2013课标全国Ⅰ,理3)为了解某地区的中小学生的视力情况,拟从该地区的中小学生中抽取部分学生进行调查,事先已了解到该地区小学、初中、高中三个学段学生的视力情况有较大差异,而男女生视力情况差异不大.在下面的抽样方法中,最合理的抽样方法是( ).A .简单随机抽样B .按性别分层抽样C .按学段分层抽样D .系统抽样4.(2013课标全国Ⅰ,理4)已知双曲线C :2222=1x y a b-(a >0,b >0)的离心率为52,则C 的渐近线方程为( ).A .y =14x ±B .y =13x ±C .y =12x± D .y =±x5.(2013课标全国Ⅰ,理5)执行下面的程序框图,如果输入的t ∈[-1,3],则输出的s 属于( ).A .[-3,4]B .[-5,2]C .[-4,3]D .[-2,5]6.(2013课标全国Ⅰ,理6)如图,有一个水平放置的透明无盖的正方体容器,容器高8 cm ,将一个球放在容器口,再向容器内注水,当球面恰好接触水面时测得水深为6 cm ,如果不计容器的厚度,则球的体积为( ).A .500π3cm3B .866π3cm3C .1372π3cm3D .2048π3cm37.(2013课标全国Ⅰ,理7)设等差数列{a n }的前n 项和为S n ,若S m -1=-2,S m =0,S m +1=3,则m =( ).A .3B .4C .5D .68.(2013课标全国Ⅰ,理8)某几何体的三视图如图所示,则该几何体的体积为( ).A .16+8πB .8+8πC .16+16πD .8+16π9.(2013课标全国Ⅰ,理9)设m 为正整数,(x +y )2m 展开式的二项式系数的最大值为a ,(x +y )2m +1展开式的二项式系数的最大值为b .若13a =7b ,则m =( ).A .5B .6C .7D .8 10.(2013课标全国Ⅰ,理10)已知椭圆E :2222=1x y a b+(a >b >0)的右焦点为F (3,0),过点F 的直线交E 于A ,B 两点.若AB 的中点坐标为(1,-1),则E 的方程为( ).A .22=14536x y +B .22=13627x y +C .22=12718x y + D .22=1189x y +11.(2013课标全国Ⅰ,理11)已知函数f (x )=220ln(1)0.x x x x x ⎧-+≤⎨+>⎩,,,若|f (x )|≥ax ,则a 的取值范围是( ).A .(-∞,0]B .(-∞,1]C .[-2,1]D .[-2,0]12.(2013课标全国Ⅰ,理12)设△A n B n C n 的三边长分别为a n ,b n ,c n ,△A n B n C n 的面积为S n ,n =1,2,3,….若b 1>c 1,b 1+c 1=2a 1,a n +1=a n ,b n +1=2n n c a +,c n +1=2n n b a +,则( ). A .{Sn}为递减数列 B .{Sn}为递增数列C .{S2n -1}为递增数列,{S2n}为递减数列D .{S2n -1}为递减数列,{S2n}为递增数列第Ⅱ卷本卷包括必考题和选考题两部分.第(13)题~第(21)题为必考题,每个试题考生都必须做答.第(22)题~第(24)题为选考题,考生根据要求做答.二、填空题:本大题共4小题,每小题5分.13.(2013课标全国Ⅰ,理13)已知两个单位向量a ,b 的夹角为60°,c =ta +(1-t )b .若b ·c =0,则t =__________.14.(2013课标全国Ⅰ,理14)若数列{an}的前n 项和2133n n S a =+,则{an}的通项公式是an =_______.15.(2013课标全国Ⅰ,理15)设当x =θ时,函数f(x)=sin x -2cos x 取得最大值,则cos θ=__________.16.(2013课标全国Ⅰ,理16)若函数f(x)=(1-x2)(x2+ax +b)的图像关于直线x =-2对称,则f(x)的最大值为__________.三、解答题:解答应写出文字说明,证明过程或演算步骤.17.(2013课标全国Ⅰ,理17)(本小题满分12分)如图,在△ABC 中,∠ABC =90°,ABBC =1,P 为△ABC 内一点,∠BPC =90°.(1)若PB =12,求PA ; (2)若∠APB =150°,求tan ∠PBA.18.(2013课标全国Ⅰ,理18)(本小题满分12分)如图,三棱柱ABC-A1B1C1中,CA=CB,AB=AA1,∠BAA1=60°.(1)证明:AB⊥A1C;(2)若平面ABC⊥平面AA1B1B,AB=CB,求直线A1C与平面BB1C1C所成角的正弦值.19.(2013课标全国Ⅰ,理19)(本小题满分12分)一批产品需要进行质量检验,检验方案是:先从这批产品中任取4件作检验,这4件产品中优质品的件数记为n.如果n=3,再从这批产品中任取4件作检验,若都为优质品,则这批产品通过检验;如果n=4,再从这批产品中任取1件作检验,若为优质品,则这批产品通过检验;其他情况下,这批产品都不能通过检验.假设这批产品的优质品率为50%,即取出的每件产品是优质品的概率都为12,且各件产品是否为优质品相互独立.(1)求这批产品通过检验的概率;(2)已知每件产品的检验费用为100元,且抽取的每件产品都需要检验,对这批产品作质量检验所需的费用记为X(单位:元),求X的分布列及数学期望.20.(2013课标全国Ⅰ,理20)(本小题满分12分)已知圆M:(x+1)2+y2=1,圆N:(x-1)2+y2=9,动圆P与圆M外切并且与圆N内切,圆心P的轨迹为曲线C.(1)求C的方程;(2)l是与圆P,圆M都相切的一条直线,l与曲线C交于A,B两点,当圆P的半径最长时,求|AB|. 21.(2013课标全国Ⅰ,理21)(本小题满分12分)设函数f(x)=x2+ax+b,g(x)=e x(cx+d).若曲线y =f(x)和曲线y=g(x)都过点P(0,2),且在点P处有相同的切线y=4x+2.(1)求a,b,c,d的值;(2)若x≥-2时,f(x)≤kg(x),求k的取值范围.请考生在第(22)、(23)、(24)三题中任选一题做答.注意:只能做所选定的题目.如果多做,则按所做的第一个题目计分,做答时请用2B铅笔在答题卡上将所选题号后的方框涂黑.22.(2013课标全国Ⅰ,理22)(本小题满分10分)选修4—1:几何证明选讲如图,直线AB为圆的切线,切点为B,点C在圆上,∠ABC的角平分线BE交圆于点E,DB垂直BE交圆于点D.(1)证明:DB=DC;(2)设圆的半径为1,BC,延长CE交AB于点F,求△BCF外接圆的半径.23.(2013课标全国Ⅰ,理23)(本小题满分10分)选修4—4:坐标系与参数方程已知曲线C1的参数方程为45cos,55sinx ty t=+⎧⎨=+⎩(t为参数),以坐标原点为极点,x轴的正半轴为极轴建立极坐标系,曲线C2的极坐标方程为ρ=2sin θ.(1)把C1的参数方程化为极坐标方程;(2)求C1与C2交点的极坐标(ρ≥0,0≤θ<2π).24.(2013课标全国Ⅰ,理24)(本小题满分10分)选修4—5:不等式选讲:已知函数f(x)=|2x-1|+|2x +a|,g(x)=x+3.(1)当a=-2时,求不等式f(x)<g(x)的解集;(2)设a>-1,且当x∈1,22a⎡⎫-⎪⎢⎣⎭时,f(x)≤g(x),求a的取值范围.2013年普通高等学校夏季招生全国统一考试数学理工农医类(全国卷I 新课标)第Ⅰ卷一、选择题:本大题共12小题,每小题5分,在每小题给出的四个选项中,只有一项是符合题目要求的. 1.答案:B解析:∵x (x -2)>0,∴x <0或x >2.∴集合A 与B 可用图象表示为:由图象可以看出A ∪B =R ,故选B.2.答案:D解析:∵(3-4i)z =|4+3i|, ∴55(34i)34i 34i (34i)(34i)55z +===+--+. 故z 的虚部为45,选D. 3.答案:C解析:因为学段层次差异较大,所以在不同学段中抽取宜用分层抽样.4.答案:C解析:∵c e a ==,∴22222254c a b e a a +===. ∴a 2=4b 2,1=2b a ±. ∴渐近线方程为12b y x x a =±±.5.答案:A解析:若t ∈[-1,1),则执行s =3t ,故s ∈[-3,3).若t ∈[1,3],则执行s =4t -t 2,其对称轴为t =2.故当t =2时,s 取得最大值4.当t =1或3时,s 取得最小值3,则s ∈[3,4].综上可知,输出的s ∈[-3,4].故选A.6.答案:A解析:设球半径为R ,由题可知R ,R -2,正方体棱长一半可构成直角三角形,即△OBA 为直角三角形,如图.BC =2,BA =4,OB =R -2,OA =R ,由R 2=(R -2)2+42,得R =5, 所以球的体积为34500π5π33=(cm 3),故选A. 7.答案:C解析:∵S m -1=-2,S m =0,S m +1=3,∴a m =S m -S m -1=0-(-2)=2,a m +1=S m +1-S m =3-0=3.∴d =a m +1-a m =3-2=1.∵S m =ma 1+12m m (-)×1=0,∴112m a -=-. 又∵a m +1=a 1+m ×1=3,∴132m m --+=. ∴m =5.故选C.8.答案:A解析:由三视图可知该几何体为半圆柱上放一个长方体,由图中数据可知圆柱底面半径r =2,长为4,在长方体中,长为4,宽为2,高为2,所以几何体的体积为πr 2×4×12+4×2×2=8π+16.故选A. 9.答案:B解析:由题意可知,a =2C m m ,b =21C m m +,又∵13a =7b ,∴2!21!13=7!!!1!m m m m m m ()(+)⋅⋅(+), 即132171m m +=+.解得m =6.故选B. 10.答案:D解析:设A (x 1,y 1),B (x 2,y 2),∵A ,B 在椭圆上, ∴2211222222221,1,x y a b x y a b ⎧+=⎪⎪⎨⎪+=⎪⎩①② ①-②,得1212121222=0x x x x y y y y a b(+)(-)(+)(-)+, 即2121221212=y y y y b a x x x x (+)(-)-(+)(-), ∵AB 的中点为(1,-1),∴y 1+y 2=-2,x 1+x 2=2, 而1212y y x x --=k AB =011=312-(-)-,∴221=2b a . 又∵a 2-b 2=9,∴a 2=18,b 2=9. ∴椭圆E 的方程为22=1189x y +.故选D. 11.答案:D解析:由y =|f (x )|的图象知:①当x >0时,y =ax 只有a ≤0时,才能满足|f (x )|≥ax ,可排除B ,C.②当x ≤0时,y =|f (x )|=|-x 2+2x |=x 2-2x .故由|f (x )|≥ax 得x 2-2x ≥ax .当x =0时,不等式为0≥0成立.当x <0时,不等式等价于x -2≤a .∵x -2<-2,∴a ≥-2.综上可知:a ∈[-2,0].12.答案:B第Ⅱ卷本卷包括必考题和选考题两部分.第(13)题~第(21)题为必考题,每个试题考生都必须做答.第(22)题~第(24)题为选考题,考生根据要求做答.二、填空题:本大题共4小题,每小题5分.13.答案:2解析:∵c =t a +(1-t )b ,∴b ·c =t a ·b +(1-t )|b |2.又∵|a |=|b |=1,且a 与b 夹角为60°,b ⊥c ,∴0=t |a ||b |cos 60°+(1-t ),0=12t +1-t . ∴t =2.14.答案:(-2)n -1解析:∵2133n n S a =+,① ∴当n ≥2时,112133n n S a --=+.② ①-②,得12233n n n a a a -=-, 即1n n a a -=-2. ∵a 1=S 1=12133a +, ∴a 1=1.∴{a n }是以1为首项,-2为公比的等比数列,a n =(-2)n -1.15.答案:5- 解析:f (x )=sin x -2cos xx x ⎫⎪⎭, 令cos αsin α=- 则f (x )α+x ),当x =2k π+π2-α(k ∈Z )时,sin(α+x )有最大值1,f (x )即θ=2k π+π2-α(k ∈Z ), 所以cos θ=πcos 2π+2k α⎛⎫- ⎪⎝⎭=πcos 2α⎛⎫- ⎪⎝⎭=sin α==. 16.答案:16解析:∵函数f (x )的图像关于直线x =-2对称,∴f (x )满足f (0)=f (-4),f (-1)=f (-3),即15164,0893,b a b a b =-(-+)⎧⎨=-(-+)⎩解得8,15.a b =⎧⎨=⎩∴f (x )=-x 4-8x 3-14x 2+8x +15.由f ′(x )=-4x 3-24x 2-28x +8=0,得x 1=-2x 2=-2,x 3=-2易知,f (x )在(-∞,-2)上为增函数,在(-22)上为减函数,在(-2,-2上为增函数,在(-2∴f (-2=[1-(-22][(-22+8(-2)+15]=(-8--=80-64=16.f (-2)=[1-(-2)2][(-2)2+8×(-2)+15]=-3(4-16+15)=-9.f (-2)=[1-(-22][(-22+8(-2+15]=(-8++=80-64=16.故f (x )的最大值为16.三、解答题:解答应写出文字说明,证明过程或演算步骤.17.解:(1)由已知得∠PBC =60°,所以∠PBA =30°.在△PBA 中,由余弦定理得PA 2=11732cos 30424+-︒=.故PA . (2)设∠PBA =α,由已知得PB =sin α.在△PBA 中,由正弦定理得sin sin150sin(30)αα=︒︒-,cos α=4sin α.所以tan α=4,即tan ∠PBA =4. 18.(1)证明:取AB 的中点O ,连结OC ,OA 1,A 1B .因为CA =CB ,所以OC ⊥AB .由于AB =AA 1,∠BAA 1=60°,故△AA 1B 为等边三角形,所以OA 1⊥AB .因为OC ∩OA 1=O ,所以AB ⊥平面OA 1C .又A 1C ⊂平面OA 1C ,故AB ⊥A 1C .(2)解:由(1)知OC ⊥AB ,OA 1⊥AB .又平面ABC ⊥平面AA 1B 1B ,交线为AB ,所以OC ⊥平面AA 1B 1B ,故OA ,OA 1,OC 两两相互垂直.以O 为坐标原点,OA 的方向为x 轴的正方向,|OA |为单位长,建立如图所示的空间直角坐标系O -xyz .由题设知A (1,0,0),A 1(0,3,0),C (0,0,B (-1,0,0).则BC =(1,0,1BB =1AA =(-1,0),1AC =(0,. 设n =(x ,y ,z )是平面BB 1C 1C 的法向量,2013 全国新课标卷1理科数学 第11页 则10,0,BC BB ⎧⋅=⎪⎨⋅=⎪⎩n n即0,30.x x y ⎧=⎪⎨-+=⎪⎩可取n =1,-1).故cos 〈n ,1AC 〉=11A CA C ⋅n n =5-. 所以A 1C 与平面BB 1C 1C 所成角的正弦值为5. 19.解:(1)设第一次取出的4件产品中恰有3件优质品为事件A 1,第一次取出的4件产品全是优质品为事件A 2,第二次取出的4件产品都是优质品为事件B 1,第二次取出的1件产品是优质品为事件B 2,这批产品通过检验为事件A ,依题意有A =(A 1B 1)∪(A 2B 2),且A 1B 1与A 2B 2互斥,所以 P (A )=P (A 1B 1)+P (A 2B 2)=P (A 1)P (B 1|A 1)+P (A 2)P (B 2|A 2) =41113161616264⨯+⨯=. (2)X 可能的取值为400,500,800,并且 P (X =400)=41111161616--=,P (X =500)=116,P (X =800)=14. 所以X 的分布列为EX =1111400+500+80016164⨯⨯⨯=506.25. 20.解:由已知得圆M 的圆心为M (-1,0),半径r 1=1;圆N 的圆心为N (1,0),半径r 2=3.设圆P 的圆心为P (x,y ),半径为R .(1)因为圆P 与圆M 外切并且与圆N 内切,所以|PM |+|PN |=(R +r 1)+(r 2-R )=r 1+r 2=4.由椭圆的定义可知,曲线C 是以M ,N 为左、右焦点,长半轴长为2的椭圆(左顶点除外),其方程为22=143x y +(x ≠-2). (2)对于曲线C上任意一点P (x ,y ),由于|PM |-|PN |=2R -2≤2,所以R ≤2,当且仅当圆P 的圆心为(2,0)时,R =2.所以当圆P 的半径最长时,其方程为(x -2)2+y 2=4.若l 的倾斜角为90°,则l 与y 轴重合,可得|AB |=若l的倾斜角不为90°,由r 1≠R 知l 不平行于x 轴,设l 与x 轴的交点为Q ,则1||||QP R QM r =,可求得Q (-4,0),所以可设l :y=k (x +4).由l 与圆M , 解得k =当k y x =代入22=143x y +, 并整理得7x 2+8x -8=0,解得x1,2=47-±.所以|AB|2118|7x x-=.当k=|AB|=187.综上,|AB|=|AB|=187.21.解:(1)由已知得f(0)=2,g(0)=2,f′(0)=4,g′(0)=4.而f′(x)=2x+a,g′(x)=e x(cx+d+c),故b=2,d=2,a=4,d+c=4.从而a=4,b=2,c=2,d=2.(2)由(1)知,f(x)=x2+4x+2,g(x)=2e x(x+1).设函数F(x)=kg(x)-f(x)=2k e x(x+1)-x2-4x-2,则F′(x)=2k e x(x+2)-2x-4=2(x+2)(k e x-1).由题设可得F(0)≥0,即k≥1.令F′(x)=0得x1=-ln k,x2=-2.①若1≤k<e2,则-2<x1≤0.从而当x∈(-2,x1)时,F′(x)<0;当x∈(x1,+∞)时,F′(x)>0.即F(x)在(-2,x1)单调递减,在(x1,+∞)单调递增.故F(x)在[-2,+∞)的最小值为F(x1).而F(x1)=2x1+2-21x-4x1-2=-x1(x1+2)≥0.故当x≥-2时,F(x)≥0,即f(x)≤kg(x)恒成立.②若k=e2,则F′(x)=2e2(x+2)(e x-e-2).从而当x>-2时,F′(x)>0,即F(x)在(-2,+∞)单调递增.而F(-2)=0,故当x≥-2时,F(x)≥0,即f(x)≤kg(x)恒成立.③若k>e2,则F(-2)=-2k e-2+2=-2e-2(k-e2)<0.从而当x≥-2时,f(x)≤kg(x)不可能恒成立.综上,k的取值范围是[1,e2].请考生在第(22)、(23)、(24)三题中任选一题做答.注意:只能做所选定的题目.如果多做,则按所做的第一个题目计分,做答时请用2B铅笔在答题卡上将所选题号后的方框涂黑.22.(1)证明:连结DE,交BC于点G.由弦切角定理得,∠ABE=∠BCE.而∠ABE=∠CBE,故∠CBE=∠BCE,BE=CE.又因为DB⊥BE,所以DE为直径,∠DCE=90°,由勾股定理可得DB=DC.(2)解:由(1)知,∠CDE=∠BDE,DB=DC,故DG是BC的中垂线,所以BG设DE的中点为O,连结BO,则∠BOG=60°.从而∠ABE=∠BCE=∠CBE=30°,所以CF⊥BF,故Rt△BCF.23.解:(1)将45cos,55sinx ty t=+⎧⎨=+⎩消去参数t,化为普通方程(x-4)2+(y-5)2=25,即C1:x2+y2-8x-10y+16=0.2013 全国新课标卷1理科数学第12页2013 全国新课标卷1理科数学 第13页 将cos ,sin x y ρθρθ=⎧⎨=⎩代入x 2+y 2-8x -10y +16=0得ρ2-8ρcos θ-10ρsin θ+16=0.所以C 1的极坐标方程为ρ2-8ρcos θ-10ρsin θ+16=0.(2)C 2的普通方程为x 2+y 2-2y =0.由2222810160,20x y x y x y y ⎧+--+=⎨+-=⎩ 解得1,1x y =⎧⎨=⎩或0,2.x y =⎧⎨=⎩ 所以C 1与C 2交点的极坐标分别为π4⎫⎪⎭,π2,2⎛⎫ ⎪⎝⎭. 24.解:(1)当a =-2时,不等式f (x )<g (x )化为|2x -1|+|2x -2|-x -3<0. 设函数y =|2x -1|+|2x -2|-x -3,则y =15,,212,1,236, 1.x x x x x x ⎧-<⎪⎪⎪--≤≤⎨⎪->⎪⎪⎩其图像如图所示.从图像可知,当且仅当x ∈(0,2)时,y <0.所以原不等式的解集是{x |0<x <2}.(2)当x ∈1,22a ⎡⎫-⎪⎢⎣⎭时,f (x )=1+a . 不等式f (x )≤g (x )化为1+a ≤x +3.所以x ≥a -2对x ∈1,22a ⎡⎫-⎪⎢⎣⎭都成立. 故2a -≥a -2,即43a ≤. 从而a 的取值范围是41,3⎛⎤- ⎥⎝⎦.。
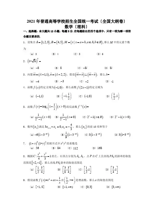
2021年普通高等学校招生全国统一考试〔全国大纲卷〕数学〔理科〕一、选择题:本大题共12小题,每题5分.在每题给出的四个选项中,只有一项为哪一项符合题目要求的.1.设集合{}{}{}1,2,3,4,5,|,,,A B M x x a b a A b B ====+∈∈那么M 中的元素个数为〔A 〕3 〔B 〕4 〔C 〕5 〔D 〕6 2.()31+3i=〔A 〕8- 〔B 〕8 〔C 〕8i - 〔D 〕8i 3.向量()()1,1,2,2m n λλ=+=+,假设()()m n m n +⊥-,那么=λ〔A 〕4- 〔B 〕3- 〔C 〕2- 〔D 〕-1 4.函数()f x 的定义域为()1,0-,那么函数()21f x -的定义域为〔A 〕()1,1- 〔B 〕11,2⎛⎫- ⎪⎝⎭ 〔C 〕()-1,0 〔D 〕1,12⎛⎫ ⎪⎝⎭5.函数()()21=log 10f x x x ⎛⎫+> ⎪⎝⎭的反函数()1=f x - 〔A 〕()1021x x >- 〔B 〕()1021xx ≠- 〔C 〕()21x x R -∈ 〔D 〕()210xx -> 6.数列{}n a 满足12430,3n n a a a ++==-,那么{}n a 的前10项和等于 〔A 〕()10613---〔B 〕()101139--〔C 〕()10313-- 〔D 〕()1031+3- 7. ()()8411+x y +的展开式中22x y 的系数是〔A 〕56 〔B 〕84 〔C 〕112 〔D 〕1688.椭圆22:143x y C +=的左、右顶点分别为12,A A ,点P 在C 上且直线2PA 的斜率的取值范围是[]2,1--,那么直线1PA 斜率的取值范围是〔A 〕1324⎡⎤⎢⎥⎣⎦, 〔B 〕3384⎡⎤⎢⎥⎣⎦, 〔C 〕112⎡⎤⎢⎥⎣⎦,〔D 〕314⎡⎤⎢⎥⎣⎦, 9.假设函数()21=f x x ax x ++在1,+2⎛⎫∞ ⎪⎝⎭是增函数,那么a 的取值范围是 〔A 〕[-1,0] 〔B 〕[1,)-+∞ 〔C 〕[0,3] 〔D 〕[3,)+∞10.正四棱柱1111ABCD A B C D -中12AA AB =,那么CD 与平面1BDC 所成角的正弦值等于〔A 〕23 〔B 〕33 〔C 〕23 〔D 〕1311.抛物线2:8C y x =与点()2,2M -,过C 的焦点且斜率为k 的直线与C 交于,A B 两点,假设0MA MB =,那么k =〔A 〕12〔B 〕22 〔C 〕2 〔D 〕212.函数()=cos sin 2f x x x ,以下结论中错误的选项是〔A 〕()y f x =的图像关于(),0π中心对称 〔B 〕()y f x =的图像关于直线2x π=对称〔C 〕()f x 的最大值为32〔D 〕()f x 既奇函数,又是周期函数 二、填空题:本大题共4小题,每题5分.13.α是第三象限角,1sin 3a =-,那么cot a = .14.6个人排成一行,其中甲、乙两人不相邻的不同排法共有 种.〔用数字作答〕15.记不等式组0,34,34,x x y x y ≥⎧⎪+≥⎨⎪+≤⎩所表示的平面区域为D ,假设直线()1y a x =+与D 公共点,那么a 的取值范围是 .16.圆O 和圆K 是球O 的大圆和小圆,其公共弦长等于球O 的半径,32OK =,且圆O 与圆K 所在的平面所成的一个二面角为60,那么球O 的外表积等于 .三、解答题:解容许写出文字说明、证明过程或演算步骤.17.〔本小题总分值10分〕等差数列{}n a 的前n 项和为n S ,232=S a ,且124,,S S S 成等比数列,求{}n a 的通项式。
2013年全国统一高考数学试卷(理科)(新课标Ⅰ)一、选择题:本大题共12小题,每小题5分,在每小题给出的四个选项中,只有一个是符合题目要求的.1.(5分)已知集合A={x|x2﹣2x>0},B={x|﹣<x<},则()A.A∩B=∅B.A∪B=R C.B⊆A D.A⊆B2.(5分)若复数z满足(3﹣4i)z=|4+3i|,则z的虚部为()A.﹣4B.C.4D.3.(5分)为了解某地区中小学生的视力情况,拟从该地区的中小学生中抽取部分学生进行调查,事先已经了解到该地区小学、初中、高中三个学段学生的视力情况有较大差异,而男女生视力情况差异不大.在下面的抽样方法中,最合理的抽样方法是()A.简单的随机抽样B.按性别分层抽样C.按学段分层抽样D.系统抽样4.(5分)已知双曲线C:(a>0,b>0)的离心率为,则C的渐近线方程为()A.y=B.y=C.y=±x D.y=5.(5分)执行程序框图,如果输入的t∈[﹣1,3],则输出的s属于()A.[﹣3,4]B.[﹣5,2]C.[﹣4,3]D.[﹣2,5] 6.(5分)如图,有一个水平放置的透明无盖的正方体容器,容器高8cm,将一个球放在容器口,再向容器注水,当球面恰好接触水面时测得水深为6cm,如不计容器的厚度,则球的体积为()A.B.C.D.7.(5分)设等差数列{a n}的前n项和为S n,若S m﹣1=﹣2,S m=0,S m+1=3,则m=()A.3B.4C.5D.68.(5分)某几何体的三视图如图所示,则该几何体的体积为()A.16+8πB.8+8πC.16+16πD.8+16π9.(5分)设m为正整数,(x+y)2m展开式的二项式系数的最大值为a,(x+y)2m+1展开式的二项式系数的最大值为b,若13a=7b,则m=()A.5B.6C.7D.810.(5分)已知椭圆E:的右焦点为F(3,0),过点F的直线交椭圆E于A、B两点.若AB的中点坐标为(1,﹣1),则E的方程为()A.B.C.D.11.(5分)已知函数f(x)=,若|f(x)|≥ax,则a的取值范围是()A.(﹣∞,0]B.(﹣∞,1]C.[﹣2,1]D.[﹣2,0] 12.(5分)设△A n B n C n的三边长分别为a n,b n,c n,△A n B n C n的面积为S n,n=1,2,3…若b1>c1,b1+c1=2a1,a n+1=a n,,,则()A.{S n}为递减数列B.{S n}为递增数列C.{S2n﹣1}为递增数列,{S2n}为递减数列D.{S2n﹣1}为递减数列,{S2n}为递增数列二.填空题:本大题共4小题,每小题5分.13.(5分)已知两个单位向量,的夹角为60°,=t+(1﹣t).若•=0,则t=.14.(5分)若数列{a n}的前n项和为S n=a n+,则数列{a n}的通项公式是a n=.15.(5分)设当x=θ时,函数f(x)=sinx﹣2cosx取得最大值,则cosθ=.16.(5分)若函数f(x)=(1﹣x2)(x2+ax+b)的图象关于直线x=﹣2对称,则f(x)的最大值为.三、解答题:解答应写出文字说明,证明过程或演算步骤.17.(12分)如图,在△ABC中,∠ABC=90°,AB=,BC=1,P为△ABC内一点,∠BPC=90°.(1)若PB=,求PA;(2)若∠APB=150°,求tan∠PBA.18.(12分)如图,三棱柱ABC﹣A1B1C1中,CA=CB,AB=AA1,∠BAA1=60°.(Ⅰ)证明AB⊥A1C;(Ⅱ)若平面ABC⊥平面AA1B1B,AB=CB=2,求直线A1C与平面BB1C1C所成角的正弦值.19.(12分)一批产品需要进行质量检验,检验方案是:先从这批产品中任取4件作检验,这4件产品中优质品的件数记为n.如果n=3,再从这批产品中任取4件作检验,若都为优质品,则这批产品通过检验;如果n=4,再从这批产品中任取1件作检验,若为优质品,则这批产品通过检验;其他情况下,这批产品都不能通过检验.假设这批产品的优质品率为50%,即取出的产品是优质品的概率都为,且各件产品是否为优质品相互独立.(Ⅰ)求这批产品通过检验的概率;(Ⅱ)已知每件产品检验费用为100元,凡抽取的每件产品都需要检验,对这批产品作质量检验所需的费用记为X(单位:元),求X的分布列及数学期望.20.(12分)已知圆M:(x+1)2+y2=1,圆N:(x﹣1)2+y2=9,动圆P与圆M外切并与圆N内切,圆心P的轨迹为曲线C.(Ⅰ)求C的方程;(Ⅱ)l是与圆P,圆M都相切的一条直线,l与曲线C交于A,B两点,当圆P 的半径最长时,求|AB|.21.(12分)已知函数f(x)=x2+ax+b,g(x)=e x(cx+d),若曲线y=f(x)和曲线y=g(x)都过点P(0,2),且在点P处有相同的切线y=4x+2.(Ⅰ)求a,b,c,d的值;(Ⅱ)若x≥﹣2时,f(x)≤kg(x),求k的取值范围.四、请考生在第22、23、24题中任选一道作答,并用2B铅笔将答题卡上所选的题目对应的题号右侧方框涂黑,按所涂题号进行评分;多涂、多答,按所涂的首题进行评分,不涂,按本选考题的首题进行评分.22.(10分)(选修4﹣1:几何证明选讲)如图,直线AB为圆的切线,切点为B,点C在圆上,∠ABC的角平分线BE交圆于点E,DB垂直BE交圆于D.(Ⅰ)证明:DB=DC;(Ⅱ)设圆的半径为1,BC=,延长CE交AB于点F,求△BCF外接圆的半径.23.已知曲线C1的参数方程为(t为参数),以坐标原点为极点,x 轴的正半轴为极轴建立极坐标系,曲线C2的极坐标方程为ρ=2sinθ.(1)把C1的参数方程化为极坐标方程;(2)求C1与C2交点的极坐标(ρ≥0,0≤θ<2π).24.已知函数f(x)=|2x﹣1|+|2x+a|,g(x)=x+3.(Ⅰ)当a=﹣2时,求不等式f(x)<g(x)的解集;(Ⅱ)设a>﹣1,且当x∈[﹣,]时,f(x)≤g(x),求a的取值范围.2013年全国统一高考数学试卷(理科)(新课标Ⅰ)参考答案与试题解析一、选择题:本大题共12小题,每小题5分,在每小题给出的四个选项中,只有一个是符合题目要求的.1.(5分)已知集合A={x|x2﹣2x>0},B={x|﹣<x<},则()A.A∩B=∅B.A∪B=R C.B⊆A D.A⊆B【考点】1D:并集及其运算;73:一元二次不等式及其应用.【专题】59:不等式的解法及应用;5J:集合.【分析】根据一元二次不等式的解法,求出集合A,再根据的定义求出A∩B和A∪B.【解答】解:∵集合A={x|x2﹣2x>0}={x|x>2或x<0},∴A∩B={x|2<x<或﹣<x<0},A∪B=R,故选:B.【点评】本题考查一元二次不等式的解法,以及并集的定义,属于基础题.2.(5分)若复数z满足(3﹣4i)z=|4+3i|,则z的虚部为()A.﹣4B.C.4D.【考点】A5:复数的运算.【专题】5N:数系的扩充和复数.【分析】由题意可得z==,再利用两个复数代数形式的乘除法法则化简为+i,由此可得z的虚部.【解答】解:∵复数z满足(3﹣4i)z=|4+3i|,∴z====+i,故z的虚部等于,故选:D.【点评】本题主要考查复数的基本概念,两个复数代数形式的乘除法法则的应用,属于基础题.3.(5分)为了解某地区中小学生的视力情况,拟从该地区的中小学生中抽取部分学生进行调查,事先已经了解到该地区小学、初中、高中三个学段学生的视力情况有较大差异,而男女生视力情况差异不大.在下面的抽样方法中,最合理的抽样方法是()A.简单的随机抽样B.按性别分层抽样C.按学段分层抽样D.系统抽样【考点】B3:分层抽样方法.【专题】21:阅读型.【分析】若总体由差异明显的几部分组成时,经常采用分层抽样的方法进行抽样.【解答】解:我们常用的抽样方法有:简单随机抽样、分层抽样和系统抽样,而事先已经了解到该地区小学、初中、高中三个学段学生的视力情况有较大差异,而男女生视力情况差异不大.了解某地区中小学生的视力情况,按学段分层抽样,这种方式具有代表性,比较合理.故选:C.【点评】本小题考查抽样方法,主要考查抽样方法,属基本题.4.(5分)已知双曲线C:(a>0,b>0)的离心率为,则C的渐近线方程为()A.y=B.y=C.y=±x D.y=【考点】KC:双曲线的性质.【专题】5D:圆锥曲线的定义、性质与方程.【分析】由离心率和abc的关系可得b2=4a2,而渐近线方程为y=±x,代入可得答案.【解答】解:由双曲线C:(a>0,b>0),则离心率e===,即4b2=a2,故渐近线方程为y=±x=x,故选:D.【点评】本题考查双曲线的简单性质,涉及的渐近线方程,属基础题.5.(5分)执行程序框图,如果输入的t∈[﹣1,3],则输出的s属于()A.[﹣3,4]B.[﹣5,2]C.[﹣4,3]D.[﹣2,5]【考点】3B:分段函数的解析式求法及其图象的作法;EF:程序框图.【专题】27:图表型;5K:算法和程序框图.【分析】本题考查的知识点是程序框图,分析程序中各变量、各语句的作用,再根据流程图所示的顺序,可知:该程序的作用是计算一个分段函数的函数值,由条件为t<1我们可得,分段函数的分类标准,由分支结构中是否两条分支上对应的语句行,我们易得函数的解析式.【解答】解:由判断框中的条件为t<1,可得:函数分为两段,即t<1与t≥1,又由满足条件时函数的解析式为:s=3t;不满足条件时,即t≥1时,函数的解析式为:s=4t﹣t2故分段函数的解析式为:s=,如果输入的t∈[﹣1,3],画出此分段函数在t∈[﹣1,3]时的图象,则输出的s属于[﹣3,4].故选:A.【点评】要求条件结构对应的函数解析式,要分如下几个步骤:①分析流程图的结构,分析条件结构是如何嵌套的,以确定函数所分的段数;②根据判断框中的条件,设置分类标准;③根据判断框的“是”与“否”分支对应的操作,分析函数各段的解析式;④对前面的分类进行总结,写出分段函数的解析式.6.(5分)如图,有一个水平放置的透明无盖的正方体容器,容器高8cm,将一个球放在容器口,再向容器注水,当球面恰好接触水面时测得水深为6cm,如不计容器的厚度,则球的体积为()A.B.C.D.【考点】LG:球的体积和表面积.【专题】11:计算题;5F:空间位置关系与距离.【分析】设正方体上底面所在平面截球得小圆M,可得圆心M为正方体上底面正方形的中心.设球的半径为R,根据题意得球心到上底面的距离等于(R﹣2)cm,而圆M的半径为4,由球的截面圆性质建立关于R的方程并解出R=5,用球的体积公式即可算出该球的体积.【解答】解:设正方体上底面所在平面截球得小圆M,则圆心M为正方体上底面正方形的中心.如图.设球的半径为R,根据题意得球心到上底面的距离等于(R﹣2)cm,而圆M的半径为4,由球的截面圆性质,得R2=(R﹣2)2+42,解出R=5,∴根据球的体积公式,该球的体积V===.故选:A.【点评】本题给出球与正方体相切的问题,求球的体积,着重考查了正方体的性质、球的截面圆性质和球的体积公式等知识,属于中档题.7.(5分)设等差数列{a n}的前n项和为S n,若S m﹣1=﹣2,S m=0,S m+1=3,则m=()A.3B.4C.5D.6【考点】83:等差数列的性质;85:等差数列的前n项和.【专题】11:计算题;54:等差数列与等比数列.【分析】由a n与S n的关系可求得a m+1与a m,进而得到公差d,由前n项和公式及S m=0可求得a1,再由通项公式及a m=2可得m值.【解答】解:a m=S m﹣S m﹣1=2,a m+1=S m+1﹣S m=3,所以公差d=a m﹣a m=1,+1S m==0,m﹣1>0,m>1,因此m不能为0,得a1=﹣2,所以a m=﹣2+(m﹣1)•1=2,解得m=5,另解:等差数列{a n}的前n项和为S n,即有数列{}成等差数列,则,,成等差数列,可得2•=+,即有0=+,解得m=5.又一解:由等差数列的求和公式可得(m﹣1)(a1+a m﹣1)=﹣2,m(a1+a m)=0,(m+1)(a1+a m+1)=3,可得a1=﹣a m,﹣2a m+a m+1+a m+1=+=0,解得m=5.故选:C.【点评】本题考查等差数列的通项公式、前n项和公式及通项a n与S n的关系,考查学生的计算能力.8.(5分)某几何体的三视图如图所示,则该几何体的体积为()A.16+8πB.8+8πC.16+16πD.8+16π【考点】L!:由三视图求面积、体积.【专题】16:压轴题;27:图表型.【分析】三视图复原的几何体是一个长方体与半个圆柱的组合体,依据三视图的数据,得出组合体长、宽、高,即可求出几何体的体积.【解答】解:三视图复原的几何体是一个长方体与半个圆柱的组合体,如图,其中长方体长、宽、高分别是:4,2,2,半个圆柱的底面半径为2,母线长为4.∴长方体的体积=4×2×2=16,半个圆柱的体积=×22×π×4=8π所以这个几何体的体积是16+8π;故选:A.【点评】本题考查了几何体的三视图及直观图的画法,三视图与直观图的关系,柱体体积计算公式,空间想象能力9.(5分)设m为正整数,(x+y)2m展开式的二项式系数的最大值为a,(x+y)2m+1展开式的二项式系数的最大值为b,若13a=7b,则m=()A.5B.6C.7D.8【考点】DA:二项式定理.【专题】5P:二项式定理.【分析】根据二项式系数的性质求得a和b,再利用组合数的计算公式,解方程13a=7b求得m的值.【解答】解:∵m为正整数,由(x+y)2m展开式的二项式系数的最大值为a,以及二项式系数的性质可得a=,同理,由(x+y)2m+1展开式的二项式系数的最大值为b,可得b==.再由13a=7b,可得13=7,即13×=7×,即13=7×,即13(m+1)=7(2m+1),解得m=6,故选:B.【点评】本题主要考查二项式系数的性质的应用,组合数的计算公式,属于中档题.10.(5分)已知椭圆E:的右焦点为F(3,0),过点F的直线交椭圆E于A、B两点.若AB的中点坐标为(1,﹣1),则E的方程为()A.B.C.D.【考点】K3:椭圆的标准方程.【专题】5D:圆锥曲线的定义、性质与方程.【分析】设A(x1,y1),B(x2,y2),代入椭圆方程得,利用“点差法”可得.利用中点坐标公式可得x1+x2=2,y1+y2=﹣2,利用斜率计算公式可得==.于是得到,化为a2=2b2,再利用c=3=,即可解得a2,b2.进而得到椭圆的方程.【解答】解:设A(x1,y1),B(x2,y2),代入椭圆方程得,相减得,∴.∵x1+x2=2,y1+y2=﹣2,==.∴,化为a2=2b2,又c=3=,解得a2=18,b2=9.∴椭圆E的方程为.故选:D.【点评】熟练掌握“点差法”和中点坐标公式、斜率的计算公式是解题的关键.11.(5分)已知函数f(x)=,若|f(x)|≥ax,则a的取值范围是()A.(﹣∞,0]B.(﹣∞,1]C.[﹣2,1]D.[﹣2,0]【考点】7E:其他不等式的解法.【专题】16:压轴题;59:不等式的解法及应用.【分析】由函数图象的变换,结合基本初等函数的图象可作出函数y=|f(x)|的图象,和函数y=ax的图象,由导数求切线斜率可得l的斜率,进而数形结合可得a的范围.【解答】解:由题意可作出函数y=|f(x)|的图象,和函数y=ax的图象,由图象可知:函数y=ax的图象为过原点的直线,当直线介于l和x轴之间符合题意,直线l为曲线的切线,且此时函数y=|f(x)|在第二象限的部分解析式为y=x2﹣2x,求其导数可得y′=2x﹣2,因为x≤0,故y′≤﹣2,故直线l的斜率为﹣2,故只需直线y=ax的斜率a介于﹣2与0之间即可,即a∈[﹣2,0]故选:D.【点评】本题考查其它不等式的解法,数形结合是解决问题的关键,属中档题.12.(5分)设△A n B n C n的三边长分别为a n,b n,c n,△A n B n C n的面积为S n,n=1,2,3…若b1>c1,b1+c1=2a1,a n+1=a n,,,则()A.{S n}为递减数列B.{S n}为递增数列C.{S2n﹣1}为递增数列,{S2n}为递减数列D.{S2n﹣1}为递减数列,{S2n}为递增数列【考点】82:数列的函数特性;8H:数列递推式.【专题】16:压轴题;54:等差数列与等比数列;55:点列、递归数列与数学归纳法.=a n可知△A n B n C n的边B n C n为定值a1,由b n+1+c n+1﹣【分析】由a n+12a1=及b1+c1=2a1得b n+c n=2a1,则在△A n B n C n中边长B n C n=a1为定值,另两边A n C n、A n B n的长度之和b n+c n=2a1为定值,由此可知顶点A n在以B n、C n为焦点的椭圆上,根据b n+1﹣c n+1=,得b n﹣c n=,可知n→+∞时b n→c n,据此可判断△A n B n C n的边B nC n的高h n随着n的增大而增大,再由三角形面积公式可得到答案.【解答】解:b1=2a1﹣c1且b1>c1,∴2a1﹣c1>c1,∴a1>c1,∴b1﹣a1=2a1﹣c1﹣a1=a1﹣c1>0,∴b1>a1>c1,又b1﹣c1<a1,∴2a1﹣c1﹣c1<a1,∴2c1>a1,∴,由题意,+a n,∴b n+1+c n+1﹣2a n=(b n+c n﹣2a n),∴b n+c n﹣2a n=0,∴b n+c n=2a n=2a1,∴b n+c n=2a1,由此可知顶点A n在以B n、C n为焦点的椭圆上,﹣c n+1=,∴=a1﹣b n,又由题意,b n+1﹣a1=,∴b n﹣a1=,∴b n+1∴,c n=2a1﹣b n=,∴[][]=[﹣]单调递增(可证当n=1时>0)故选:B.【点评】本题主要考查由数列递推式求数列通项、三角形面积海伦公式,综合考查学生分析解决问题的能力,有较高的思维抽象度,是本年度全国高考试题中的“亮点”之一.二.填空题:本大题共4小题,每小题5分.13.(5分)已知两个单位向量,的夹角为60°,=t+(1﹣t).若•=0,则t=2.【考点】9H:平面向量的基本定理;9O:平面向量数量积的性质及其运算.【专题】5A:平面向量及应用.【分析】由于•=0,对式子=t+(1﹣t)两边与作数量积可得=0,经过化简即可得出.【解答】解:∵,,∴=0,∴tcos60°+1﹣t=0,∴1=0,解得t=2.故答案为2.【点评】熟练掌握向量的数量积运算是解题的关键.14.(5分)若数列{a n}的前n项和为S n=a n+,则数列{a n}的通项公式是a n=(﹣2)n﹣1.【考点】88:等比数列的通项公式.【专题】54:等差数列与等比数列.【分析】把n=1代入已知式子可得数列的首项,由n≥2时,a n=S n﹣S n﹣1,可得数列为等比数列,且公比为﹣2,代入等比数列的通项公式分段可得答案.【解答】解:当n=1时,a1=S1=,解得a1=1当n≥2时,a n=S n﹣S n﹣1=()﹣()=,整理可得,即=﹣2,故数列{a n}从第二项开始是以﹣2为首项,﹣2为公比的等比数列,故当n≥2时,a n=(﹣2)n﹣1,经验证当n=1时,上式也适合,故答案为:(﹣2)n﹣1【点评】本题考查等比数列的通项公式,涉及等比数列的判定,属基础题.15.(5分)设当x=θ时,函数f(x)=sinx﹣2cosx取得最大值,则cosθ=﹣.【考点】GP:两角和与差的三角函数;H4:正弦函数的定义域和值域.【专题】16:压轴题;56:三角函数的求值.【分析】f(x)解析式提取,利用两角和与差的正弦函数公式化为一个角的正弦函数,由x=θ时,函数f(x)取得最大值,得到sinθ﹣2cosθ=,与sin2θ+cos2θ=1联立即可求出cosθ的值.【解答】解:f(x)=sinx﹣2cosx=(sinx﹣cosx)=sin(x﹣α)(其中cosα=,sinα=),∵x=θ时,函数f(x)取得最大值,∴sin(θ﹣α)=1,即sinθ﹣2cosθ=,又sin2θ+cos2θ=1,联立得(2cosθ+)2+cos2θ=1,解得cosθ=﹣.故答案为:﹣【点评】此题考查了两角和与差的正弦函数公式,同角三角函数间的基本关系,以及正弦函数的定义域与值域,熟练掌握公式是解本题的关键.16.(5分)若函数f(x)=(1﹣x2)(x2+ax+b)的图象关于直线x=﹣2对称,则f(x)的最大值为16.【考点】57:函数与方程的综合运用;6E:利用导数研究函数的最值.【专题】11:计算题;16:压轴题;51:函数的性质及应用;53:导数的综合应用.【分析】由题意得f(﹣1)=f(﹣3)=0且f(1)=f(﹣5)=0,由此求出a=8且b=15,由此可得f(x)=﹣x4﹣8x3﹣14x2+8x+15.利用导数研究f(x)的单调性,可得f(x)在区间(﹣∞,﹣2﹣)、(﹣2,﹣2+)上是增函数,在区间(﹣2﹣,﹣2)、(﹣2+,+∞)上是减函数,结合f(﹣2﹣)=f(﹣2+)=16,即可得到f(x)的最大值.【解答】解:∵函数f(x)=(1﹣x2)(x2+ax+b)的图象关于直线x=﹣2对称,∴f(﹣1)=f(﹣3)=0且f(1)=f(﹣5)=0,即[1﹣(﹣3)2][(﹣3)2+a•(﹣3)+b]=0且[1﹣(﹣5)2][(﹣5)2+a•(﹣5)+b]=0,解之得,因此,f(x)=(1﹣x2)(x2+8x+15)=﹣x4﹣8x3﹣14x2+8x+15,求导数,得f′(x)=﹣4x3﹣24x2﹣28x+8,令f′(x)=0,得x1=﹣2﹣,x2=﹣2,x3=﹣2+,当x∈(﹣∞,﹣2﹣)时,f′(x)>0;当x∈(﹣2﹣,﹣2)时,f′(x)<0;当x∈(﹣2,﹣2+)时,f′(x)>0;当x∈(﹣2+,+∞)时,f′(x)<0∴f(x)在区间(﹣∞,﹣2﹣)、(﹣2,﹣2+)上是增函数,在区间(﹣2﹣,﹣2)、(﹣2+,+∞)上是减函数.又∵f(﹣2﹣)=f(﹣2+)=16,∴f(x)的最大值为16.故答案为:16.【点评】本题给出多项式函数的图象关于x=﹣2对称,求函数的最大值.着重考查了函数的奇偶性、利用导数研究函数的单调性和函数的最值求法等知识,属于中档题.三、解答题:解答应写出文字说明,证明过程或演算步骤.17.(12分)如图,在△ABC中,∠ABC=90°,AB=,BC=1,P为△ABC内一点,∠BPC=90°.(1)若PB=,求PA;(2)若∠APB=150°,求tan∠PBA.【考点】HP:正弦定理;HR:余弦定理.【专题】58:解三角形.【分析】(I)在Rt△PBC,利用边角关系即可得到∠PBC=60°,得到∠PBA=30°.在△PBA中,利用余弦定理即可求得PA.(II)设∠PBA=α,在Rt△PBC中,可得PB=sinα.在△PBA中,由正弦定理得,即,化简即可求出.【解答】解:(I)在Rt△PBC中,=,∴∠PBC=60°,∴∠PBA=30°.在△PBA中,由余弦定理得PA2=PB2+AB2﹣2PB•ABcos30°==.∴PA=.(II)设∠PBA=α,在Rt△PBC中,PB=BCcos(90°﹣α)=sinα.在△PBA中,由正弦定理得,即,化为.∴.【点评】熟练掌握直角三角形的边角关系、正弦定理和余弦定理是解题的关键.18.(12分)如图,三棱柱ABC﹣A1B1C1中,CA=CB,AB=AA1,∠BAA1=60°.(Ⅰ)证明AB⊥A1C;(Ⅱ)若平面ABC⊥平面AA1B1B,AB=CB=2,求直线A1C与平面BB1C1C所成角的正弦值.【考点】LW:直线与平面垂直;LY:平面与平面垂直;MI:直线与平面所成的角.【专题】5F:空间位置关系与距离;5G:空间角.【分析】(Ⅰ)取AB的中点O,连接OC,OA1,A1B,由已知可证OA1⊥AB,AB ⊥平面OA1C,进而可得AB⊥A1C;(Ⅱ)易证OA,OA1,OC两两垂直.以O为坐标原点,的方向为x轴的正向,||为单位长,建立坐标系,可得,,的坐标,设=(x,y,z)为平面BB1C1C的法向量,则,可解得=(,1,﹣1),可求|cos <,>|,即为所求正弦值.【解答】解:(Ⅰ)取AB的中点O,连接OC,OA1,A1B,因为CA=CB,所以OC⊥AB,由于AB=AA1,∠BAA1=60°,所以△AA1B为等边三角形,所以OA1⊥AB,又因为OC∩OA1=O,所以AB⊥平面OA1C,又A1C⊂平面OA1C,故AB⊥A1C;(Ⅱ)由(Ⅰ)知OC⊥AB,OA1⊥AB,又平面ABC⊥平面AA1B1B,交线为AB,所以OC⊥平面AA1B1B,故OA,OA1,OC两两垂直.以O为坐标原点,的方向为x轴的正向,||为单位长,建立如图所示的坐标系,可得A(1,0,0),A1(0,,0),C(0,0,),B(﹣1,0,0),则=(1,0,),=(﹣1,,0),=(0,﹣,),设=(x,y,z)为平面BB1C1C的法向量,则,即,可取y=1,可得=(,1,﹣1),故cos<,>==,又因为直线与法向量的余弦值的绝对值等于直线与平面的正弦值,故直线A1C与平面BB1C1C所成角的正弦值为:.【点评】本题考查直线与平面所成的角,涉及直线与平面垂直的性质和平面与平面垂直的判定,属难题.19.(12分)一批产品需要进行质量检验,检验方案是:先从这批产品中任取4件作检验,这4件产品中优质品的件数记为n.如果n=3,再从这批产品中任取4件作检验,若都为优质品,则这批产品通过检验;如果n=4,再从这批产品中任取1件作检验,若为优质品,则这批产品通过检验;其他情况下,这批产品都不能通过检验.假设这批产品的优质品率为50%,即取出的产品是优质品的概率都为,且各件产品是否为优质品相互独立.(Ⅰ)求这批产品通过检验的概率;(Ⅱ)已知每件产品检验费用为100元,凡抽取的每件产品都需要检验,对这批产品作质量检验所需的费用记为X(单位:元),求X的分布列及数学期望.【考点】CG:离散型随机变量及其分布列;CH:离散型随机变量的期望与方差.【专题】5I:概率与统计.【分析】(Ⅰ)设第一次取出的4件产品中恰有3件优质品为事件A1,第一次取出的4件产品全是优质品为事件A2,第二次取出的4件产品全是优质品为事件B1,第二次取出的1件产品是优质品为事件B2,这批产品通过检验为事件A,依题意有A=(A1B1)∪(A2B2),且A1B1与A2B2互斥,由概率得加法公式和条件概率,代入数据计算可得;(Ⅱ)X可能的取值为400,500,800,分别求其概率,可得分布列,进而可得期望值.【解答】解:(Ⅰ)设第一次取出的4件产品中恰有3件优质品为事件A1,第一次取出的4件产品全是优质品为事件A2,第二次取出的4件产品全是优质品为事件B1,第二次取出的1件产品是优质品为事件B2,这批产品通过检验为事件A,依题意有A=(A1B1)∪(A2B2),且A1B1与A2B2互斥,所以P(A)=P(A1B1)+P(A2B2)=P(A1)P(B1|A1)+P(A2)P(B2|A2)==(Ⅱ)X可能的取值为400,500,800,并且P(X=800)=,P(X=500)=,P(X=400)=1﹣﹣=,故X的分布列如下:X 400 500 800P故EX=400×+500×+800×=506.25【点评】本题考查离散型随机变量及其分布列涉及数学期望的求解,属中档题.20.(12分)已知圆M:(x+1)2+y2=1,圆N:(x﹣1)2+y2=9,动圆P与圆M外切并与圆N内切,圆心P的轨迹为曲线C.(Ⅰ)求C的方程;(Ⅱ)l是与圆P,圆M都相切的一条直线,l与曲线C交于A,B两点,当圆P 的半径最长时,求|AB|.【考点】J3:轨迹方程;J9:直线与圆的位置关系.【专题】5B:直线与圆.【分析】(I)设动圆的半径为R,由已知动圆P与圆M外切并与圆N内切,可得|PM|+|PN|=R+1+(3﹣R)=4,而|NM|=2,由椭圆的定义可知:动点P的轨迹是以M,N为焦点,4为长轴长的椭圆,求出即可;(II)设曲线C上任意一点P(x,y),由于|PM|﹣|PN|=2R﹣2≤4﹣2=2,所以R ≤2,当且仅当⊙P的圆心为(2,0)R=2时,其半径最大,其方程为(x﹣2)2+y2=4.分①l的倾斜角为90°,此时l与y轴重合,可得|AB|.②若l的倾斜角不为90°,由于⊙M的半径1≠R,可知l与x轴不平行,设l与x轴的交点为Q,根据,可得Q(﹣4,0),所以可设l:y=k(x+4),与椭圆的方程联立,得到根与系数的关系利用弦长公式即可得出.【解答】解:(I)由圆M:(x+1)2+y2=1,可知圆心M(﹣1,0);圆N:(x﹣1)2+y2=9,圆心N(1,0),半径3.设动圆的半径为R,∵动圆P与圆M外切并与圆N内切,∴|PM|+|PN|=R+1+(3﹣R)=4,而|NM|=2,由椭圆的定义可知:动点P的轨迹是以M,N为焦点,4为长轴长的椭圆,∴a=2,c=1,b2=a2﹣c2=3.∴曲线C的方程为(x≠﹣2).(II)设曲线C上任意一点P(x,y),由于|PM|﹣|PN|=2R﹣2≤3﹣1=2,所以R≤2,当且仅当⊙P的圆心为(2,0)R=2时,其半径最大,其方程为(x﹣2)2+y2=4.①l的倾斜角为90°,则l与y轴重合,可得|AB|=.②若l的倾斜角不为90°,由于⊙M的半径1≠R,可知l与x轴不平行,设l与x轴的交点为Q,则,可得Q(﹣4,0),所以可设l:y=k(x+4),由l于M相切可得:,解得.当时,联立,得到7x2+8x﹣8=0.∴,.∴|AB|===由于对称性可知:当时,也有|AB|=.综上可知:|AB|=或.【点评】本题综合考查了两圆的相切关系、直线与圆相切问题、椭圆的定义及其性质、直线与椭圆相交问题转化为方程联立得到根与系数的关系、弦长公式等基础知识,需要较强的推理能力和计算能力及其分类讨论的思想方法.21.(12分)已知函数f(x)=x2+ax+b,g(x)=e x(cx+d),若曲线y=f(x)和曲线y=g(x)都过点P(0,2),且在点P处有相同的切线y=4x+2.(Ⅰ)求a,b,c,d的值;(Ⅱ)若x≥﹣2时,f(x)≤kg(x),求k的取值范围.【考点】3R:函数恒成立问题;6H:利用导数研究曲线上某点切线方程.【专题】16:压轴题;53:导数的综合应用.【分析】(Ⅰ)对f(x),g(x)进行求导,已知在交点处有相同的切线及曲线y=f (x)和曲线y=g(x)都过点P(0,2),从而解出a,b,c,d的值;(Ⅱ)由(I)得出f(x),g(x)的解析式,再求出F(x)及它的导函数,通过对k的讨论,判断出F(x)的最值,从而判断出f(x)≤kg(x)恒成立,从而求出k的范围.【解答】解:(Ⅰ)由题意知f(0)=2,g(0)=2,f′(0)=4,g′(0)=4,而f′(x)=2x+a,g′(x)=e x(cx+d+c),故b=2,d=2,a=4,d+c=4,从而a=4,b=2,c=2,d=2;(Ⅱ)由(I)知,f(x)=x2+4x+2,g(x)=2e x(x+1)设F(x)=kg(x)﹣f(x)=2ke x(x+1)﹣x2﹣4x﹣2,则F′(x)=2ke x(x+2)﹣2x﹣4=2(x+2)(ke x﹣1),由题设得F(0)≥0,即k≥1,令F′(x)=0,得x1=﹣lnk,x2=﹣2,①若1≤k<e2,则﹣2<x1≤0,从而当x∈(﹣2,x1)时,F′(x)<0,当x∈(x1,+∞)时,F′(x)>0,即F(x)在(﹣2,x1)上减,在(x1,+∞)上是增,故F(x)在[﹣2,+∞)上的最小值为F(x1),而F(x1)=﹣x1(x1+2)≥0,x≥﹣2时F(x)≥0,即f(x)≤kg(x)恒成立.②若k=e2,则F′(x)=2e2(x+2)(e x﹣e﹣2),从而当x∈(﹣2,+∞)时,F′(x)>0,即F(x)在(﹣2,+∞)上是增,而F(﹣2)=0,故当x≥﹣2时,F(x)≥0,即f(x)≤kg(x)恒成立.③若k>e2时,F′(x)>2e2(x+2)(e x﹣e﹣2),而F(﹣2)=﹣2ke﹣2+2<0,所以当x>﹣2时,f(x)≤kg(x)不恒成立,综上,k的取值范围是[1,e2].【点评】此题主要考查利用导数研究曲线上某点切线方程,函数恒成立问题,考查分类讨论思想,解题的关键是能够利用导数工具研究函数的性质,此题是一道中档题.四、请考生在第22、23、24题中任选一道作答,并用2B铅笔将答题卡上所选的题目对应的题号右侧方框涂黑,按所涂题号进行评分;多涂、多答,按所涂的首题进行评分,不涂,按本选考题的首题进行评分.22.(10分)(选修4﹣1:几何证明选讲)如图,直线AB为圆的切线,切点为B,点C在圆上,∠ABC的角平分线BE交圆于点E,DB垂直BE交圆于D.(Ⅰ)证明:DB=DC;(Ⅱ)设圆的半径为1,BC=,延长CE交AB于点F,求△BCF外接圆的半径.【考点】NC:与圆有关的比例线段.【专题】5B:直线与圆.【分析】(I)连接DE交BC于点G,由弦切角定理可得∠ABE=∠BCE,由已知角平分线可得∠ABE=∠CBE,于是得到∠CBE=∠BCE,BE=CE.由已知DB⊥BE,可知DE为⊙O的直径,Rt△DBE≌Rt△DCE,利用三角形全等的性质即可得到DC=DB.(II)由(I)可知:DG是BC的垂直平分线,即可得到BG=.设DE的中点为O,连接BO,可得∠BOG=60°.从而∠ABE=∠BCE=∠CBE=30°.得到CF⊥BF.进而得到Rt△BCF的外接圆的半径=.【解答】(I)证明:连接DE交BC于点G.由弦切角定理可得∠ABE=∠BCE,而∠ABE=∠CBE,∴∠CBE=∠BCE,BE=CE.又∵DB⊥BE,∴DE为⊙O的直径,∠DCE=90°.∴△DBE≌△DCE,∴DC=DB.(II)由(I)可知:∠CDE=∠BDE,DB=DC.故DG是BC的垂直平分线,∴BG=.设DE的中点为O,连接BO,则∠BOG=60°.从而∠ABE=∠BCE=∠CBE=30°.∴CF⊥BF.∴Rt△BCF的外接圆的半径=.【点评】本题综合考查了圆的性质、弦切角定理、等边三角形的性质、三角形全等、三角形的外接圆的半径等知识,需要较强的推理能力、分析问题和解决问题的能力.23.已知曲线C1的参数方程为(t为参数),以坐标原点为极点,x 轴的正半轴为极轴建立极坐标系,曲线C2的极坐标方程为ρ=2sinθ.(1)把C1的参数方程化为极坐标方程;(2)求C1与C2交点的极坐标(ρ≥0,0≤θ<2π).【考点】Q4:简单曲线的极坐标方程;QH:参数方程化成普通方程.【专题】11:计算题;35:转化思想;4R:转化法;5S:坐标系和参数方程.【分析】(1)曲线C1的参数方程消去参数t,得到普通方程,再由,能求出C1的极坐标方程.(2)曲线C2的极坐标方程化为直角坐标方程,与C1的普通方程联立,求出C1与C2交点的直角坐标,由此能求出C1与C2交点的极坐标.【解答】解:(1)将,消去参数t,化为普通方程(x﹣4)2+(y﹣5)2=25,即C1:x2+y2﹣8x﹣10y+16=0,将代入x2+y2﹣8x﹣10y+16=0,得ρ2﹣8ρcosθ﹣10ρsinθ+16=0.∴C1的极坐标方程为ρ2﹣8ρcosθ﹣10ρsinθ+16=0.(2)∵曲线C2的极坐标方程为ρ=2sinθ.∴曲线C2的直角坐标方程为x2+y2﹣2y=0,。
【答案】B【解析】(1,1)m λ=+,(2,2)n λ=+(2m n λ∴+=+,(1,m n -=--)()()m n m n +⊥-,()()0m n m n +-==0【提示】给出两个向量,利用向量的坐标运算,再根据向量的垂直的性质求值【考点】向量的坐标运算【解析】原函数的定义域为1220PA PA y k x =.2[PA k ∈-【提示】设0(,x y P 34.利用斜率计算公式可得12PA k ,再利用已.函数1AC C =,所以1CC O 内作1BDC O O =,所以DH ,则DH 1=,AB 3CD1BDC O O =1122(2,2)(2,2)(MA MB x y x y =+-+-=将上面各个量代入,化简得利用1122(2,2)(2,2)0MA MB x y x y =+-+-=【考点】直线与抛物线的位置关系,平面向量的坐标运算 sin 2(1x x =3342 45480A=(种).直线2260.= KOM中,360的表面积为4πR 4120.(Ⅱ)由(Ⅰ)知60,所以2sin sin A BDOP O =所以因为O 是BD 的中点,E 是BC 的中点,所以OE CD ∥.因此PB CD ⊥.PB PO P =,故CD ,FG PD ⊥为坐标原点,OE 的方向为的空间直角坐标系||2AB =,则(0,0,2).(22,PC =,(0,PD =-(2,0,AP =,(2,AD =设平面PCD 的法向量为1(,,n x y z =则1(,)(22,2,n x y PC =-,1(,,)(0,2,2)n PD x y z =--=0z =,1y =-,得0,1z =,故1(0,1,1)n =-. 的法向量为2(,n m p =22(,)(2,0,2)n m p AP =,22(,)(2,2,0)n m D p A =-0=,1,得1p =,1=-,故2(1,1,n =-, 1212126,3||||n n n n n n <>==-12,n n <>等于二面角A PD -312A A ,121())(P A A A P A =123)(B B A P B =131)(B B P B =009()1122()()8P X P X P X ===++=.2|||=3(BF x 22|BF AB =2与C 的两个交点间的距离为11 / 11。
绝密*启用前2013年普通高等学校招生全国统一考试(新课标)理科数学注息事项:1.本试卷分第Ⅰ卷(选择题)和第Ⅱ卷(非选择题)两部分。
答卷前,考生务必将自己的姓名、准考证号填写在本试卷和答题卡相应位置上。
2.问答第Ⅰ卷时。
选出每小题答案后,用铅笔把答题卡上对应题目的答案标号涂黑。
如需改动.用橡皮擦干净后,再选涂其它答案标号。
写在本试卷上无效.3.回答第Ⅱ卷时。
将答案写在答题卡上.写在本试卷上无效·4.考试结束后.将本试卷和答且卡一并交回。
第一卷一. 选择题:本大题共12小题,每小题5分,在每小题给同的四个选项中,只有一项是符合题目要求的。
(1)已知集合{1,2,3,4,5}A =,{(,),,}B x y x A y A x y A =∈∈-∈;,则B 中所含元素的个数为( )()A 3 ()B 6 ()C 8 ()D 10【解析】选D5,1,2,3,4x y ==,4,1,2,3x y ==,3,1,2x y ==,2,1x y ==共10个 (2)将2名教师,4名学生分成2个小组,分别安排到甲、乙两地参加社会实践活动,每个小组由1名教师和2名学生组成,不同的安排方案共有( )()A 12种 ()B 10种 ()C 9种 ()D 8种【解析】选A甲地由1名教师和2名学生:122412C C =种(3)下面是关于复数21z i=-+的四个命题:其中的真命题为( ) 1:2p z = 22:2p z i = 3:p z 的共轭复数为1i + 4:p z 的虚部为1-()A 23,p p ()B 12,p p ()C ,p p 24 ()D ,p p 34【解析】选C 22(1)11(1)(1)i z i i i i --===---+-+--1:p z =22:2p z i =,3:p z 的共轭复数为1i -+,4:p z 的虚部为1-(4)设12F F 是椭圆2222:1(0)x y E a b a b+=>>的左、右焦点,P 为直线32ax =上一点,∆21F PF 是底角为30的等腰三角形,则E 的离心率为( )()A 12 ()B 23 ()C 34()D 45【解析】选C∆21F PF 是底角为30 的等腰三角形221332()224c PF F F a c c e a ⇒==-=⇔==(5)已知{}n a 为等比数列,472a a +=,568a a =-,则110a a +=( )()A 7 ()B 5 ()C -5 ()D -7【解析】选D472a a +=,56474784,2a a a a a a ==-⇒==-或472,4a a =-= 471101104,28,17a a a a a a ==-⇒=-=⇔+=- 471011102,48,17a a a a a a =-=⇒=-=⇔+=-(6)如果执行右边的程序框图,输入正整数(2)N N ≥和实数12,,...,n a a a ,输出,A B ,则( )()A A B +为12,,...,n a a a 的和()B 2A B+为12,,...,n a a a 的算术平均数 ()C A 和B 分别是12,,...,n a a a 中最大的数和最小的数 ()D A 和B 分别是12,,...,n a a a 中最小的数和最大的数【解析】选C(7)如图,网格纸上小正方形的边长为1,粗线画出的是某几何体的三视图,则此几何体的体积为( )()A 6 ()B 9 ()C 12 ()D 18【解析】选B该几何体是三棱锥,底面是俯视图,高为3 此几何体的体积为11633932V =⨯⨯⨯⨯= (8)等轴双曲线C 的中心在原点,焦点在x 轴上,C 与抛物线x y 162=的准线交于,A B两点,AB =;则C 的实轴长为( )()A ()B()C 4 ()D 8【解析】选C设222:(0)C x y a a -=>交x y 162=的准线:4l x =-于(A-(4,B --得:222(4)4224a a a =--=⇔=⇔=(9)已知0ω>,函数()sin()4f x x πω=+在(,)2ππ上单调递减。
2013年普通高等学校招生全国统一考试(全国Ⅰ)数学(理科)第Ⅰ卷一、选择题:本大题共12小题,每小题5分,在每小题给出的四个选项中,只有一项是符合题目要求的.(1)【2013年全国Ⅰ,理1,5分】已知集合{}{2|20,|A x x x B x x =->=<,则( ) (A )A B =∅ (B )A B =R (C )B A ⊆ (D )A B ⊆ 【答案】B【解析】∵2()0x x ->,∴0x <或2x >.由图象可以看出A B =R ,故选B . (2)【2013年全国Ⅰ,理2,5分】若复数z 满足(34i)|43i |z -=+,则z 的虚部为( )(A )4- (B )45- (C )4 (D )45【答案】D【解析】∵(34i)|43i |z -=+,∴55(34i)34i 34i (34i)(34i)55z +===+--+.故z 的虚部为45,故选D . (3)【2013年全国Ⅰ,理3,5分】为了解某地区的中小学生视力情况,拟从该地区的中小学生中抽取部分学生进行调查,事先已了解到该地区小学、初中、高中三个学段学生的视力情况有较大差异,而男女生视力情况差异不大,在下面的抽样方法中,最合理的抽样方法是( )(A )简单随机抽样 (B )按性别分层抽样 (C )按学段分层抽样 (D )系统抽样 【答案】C【解析】因为学段层次差异较大,所以在不同学段中抽取宜用分层抽样,故选C .(4)【2013年全国Ⅰ,理4,5分】已知双曲线C :()2222=10,0x y a b a b->>C 的渐近线方程为( )(A )14y x =± (B )13y x =± (C )12y x =± (D )y x =±【答案】C【解析】∵c e a ==,∴22222254c a b e a a +===.∴224a b =,1=2b a ±. ∴渐近线方程为12b y x x a =±±,故选C .(5)【2013年全国Ⅰ,理5,5分】执行下面的程序框图,如果输入的[]1,3t ∈-,则输出的s 属于( ) (A )[3,4]- (B )[5,2]- (C )[4,3]- (D )[2,5]- 【答案】D【解析】若[)1,1t ∈-,则执行3s t =,故[)3,3s ∈-.若[]1,3t ∈,则执行24s t t =-,其对称轴为2t =.故当2t =时,s 取得最大值4.当1t =或3时,s 取得最小值3,则[]3,4s ∈. 综上可知,输出的[]3,4s ∈-,故选D .(6)【2013年全国Ⅰ,理6,5分】如图,有一个水平放置的透明无盖的正方体容器,容器高8cm , 将一个球放在容器口,再向容器内注水,当球面恰好接触水面时测得水深为6cm ,如果不计容器的厚 度,则球的体积为( )(A )35003cm π (B )38663cm π (C )313723cm π(D )320483cm π【答案】B【解析】设球半径为R ,由题可知R ,2R -,正方体棱长一半可构成直角三角形,即OBA ∆为直角三角形,如图,2BC =,4BA =,2OB R =-,OA R =,由()22224R R =-+,得5R =,所以球的体积为34500533ππ=(cm 3),故选B .(7)【2013年全国Ⅰ,理7,5分】设等差数列{}n a 的前n 项和为11,2,0,3n m m m S S S S -+=-==,则m =( )(A )3(B )4 (C )5 (D )6【答案】C 【解析】∵12m S -=-,0m S =,13m S +=,∴()1022m m m a S S -=-=--=,11303m m m a S S ++=-=-=.∴1321m m d a a +=-=-=.∵()11102m m m S ma -=+⨯=,∴112m a -=-. 又∵1113m a a m +=+⨯=,∴132m m --+=.∴5m =,故选C . (8)【2013年全国Ⅰ,理8,5分】某几何体的三视图如图所示,则该几何体的体积为( ) (A )168π+ (B )88π+ (C )1616π+ (D )816π+ 【答案】A【解析】由三视图可知该几何体为半圆柱上放一个长方体,由图中数据可知圆柱底面半径2r =,长为4,在长方体中,长为4,宽为2,高为2,所以几何体的体积为24422816r ππ⨯⨯+⨯⨯=+,故选A .(9)【2013年全国Ⅰ,理9,5分】设m 为正整数,()2m x y +展开式的二项式系数的最大值为a , ()21m x y ++展开式的二项式系数的最大值为b ,若137a b =,则m =( )(A )5 (B )6 (C )7 (D )8 【答案】B【解析】由题意可知,2m m a C =,21mm b C +=,又∵137a b =,∴2!21!13=7!!!1!m m m m m m ()(+)⋅⋅(+),即132171m m +=+.解得6m =,故选B .(10)【2013年全国Ⅰ,理10,5分】已知椭圆2222:1(0)x y E a b a b+=>>的右焦点为(3,0)F ,过点F 的直线交椭圆于,A B 两点.若AB 的中点坐标为(1,1)-,则E 的方程为( ) (A )2214536x y +=(B )2213627x y += (C )2212718x y += (D )221189x y +=【答案】D【解析】设11()A x y ,,22()B x y ,,∵A ,B 在椭圆上,∴2211222222221,1,x y a b x y a b ⎧+=⎪⎪⎨⎪+=⎪⎩①②,①-②,得 1212121222=0x x x x y y y y a b (+)(-)(+)(-)+,即2121221212=y y y y b a x x x x (+)(-)-(+)(-), ∵AB 的中点为()1,1-,∴122y y +=-,122x x +=,而1212011=312AB y y k x x --(-)==--, ∴221=2b a .又∵229a b -=,∴218a =,29b =.∴椭圆E 的方程为22=1189x y +,故选D . (11)【2013年全国Ⅰ,理11,5分】已知函数()()220ln 10x x x f x x x ⎧-+≤⎪=⎨+>⎪⎩,若()f x a x ≥|,则a 的取值范围是( ) (A )(],0-∞ (B )(],1-∞ (C )[2,1]- (D )[2,0]-【答案】D【解析】由()y f x =的图象知:①当0x >时,y ax =只有0a ≤时,才能满足()f x ax ≥,可排除B ,C .②当0x ≤时,()2222y f x x x x x ==-+=-.故由()f x ax ≥得 22x x ax -≥.当0x =时,不等式为00≥成立.当0x <时,不等式等价于2x a -≤.∵22x -<-,∴2a ≥-.综上可知:[]2,0a ∈-,故选D .(12)【2013年全国Ⅰ,理12,5分】设n n n A B C ∆的三边长分别为n a ,n b ,n c ,n n n A B C ∆的面积为n S ,1,2,3.n =⋯,若11b c >,1112b c a +=,1n n a a +=,12n n n c a b ++=,12n nn b a c ++=,则( )(A ){}n S 为递减数列 (B ){}n S 为递增数列(C ){}21n S -为递增数列,{}2n S 为递减数列 (D ){}21n S -为递减数列,{}2n S 为递增数列 【答案】B第II 卷本卷包括必考题和选考题两部分.第(13)题~第(21)题为必考题,每个试题考生都必须作答.第(22)题~第(24)题为选考题,考生根据要求作答. 二、填空题:本大题共4小题,每小题5分(13)【2013年全国Ⅰ,理13,5分】已知两个单位向量a ,b 的夹角为60°,()1t t =+-c a b .若·0=b c ,则t = . 【答案】2【解析】∵()1t t =+-c a b ,∴()2··1t t =+-bc ab b .又∵1==a b ,且a 与b 夹角为60°,⊥b c , ∴()0 601t cos t =︒+-a b ,1012t t =+-.∴2t =.(14)【2013年全国Ⅰ,理14,5分】若数列{}n a 的前n 项和2133n n S a =+,则{}n a 的通项公式是n a = .【答案】()12n --【解析】∵2133n n S a =+,① ∴当2n ≥时,112133n n S a --=+.② ①-②,得12233n n n a a a -=-,即12n n aa -=-.∵1112133a S a ==+,∴11a =.∴{}n a 是以1为首项,-2为公比的等比数列,()12n n a -=-.(15)【2013年全国Ⅰ,理15,5分】设当x θ=时,函数()2f x sinx cosx =-取得最大值,则cos θ= .【答案】 【解析】()s 2x f x sinx cosx x ⎫⎪==⎭-,令cos α=,sin α=,则()()f x x α=+,当22()x k k ππα=+-∈Z 时,()sin x α+有最大值1,()f x,即22()k k πθπα=+-∈Z ,所以cos θ=πcos =cos 2π+cos sin 22k πθααα⎛⎫⎛⎫-=-=== ⎪ ⎪⎝⎭⎝⎭(16)【2013年全国Ⅰ,理16,5分】若函数()()()221f x x x ax b =-++的图像关于直线2x =-对称,则()f x 的最大值为 .【答案】16【解析】∵函数()f x 的图像关于直线2x =-对称,∴()f x 满足()()04f f =-,()()13f f -=-,即151640893b a b a b =-(-+)⎧⎨=-(-+)⎩,得815a b =⎧⎨=⎩∴()432814815f x x x x x =---++.由()324242880f x x x x '=---+=,得12x =-22x =-,32x =-.易知,()f x在(,2-∞-上为增函数,在()22--上为减函数,在(2,2--上为增函数,在()2-+-∞上为减函数.∴(((((222122821588806416f ⎡⎤⎡⎤-=---+-+=---=-=⎢⎥⎢⎥⎣⎦⎣⎦.()()()()()22212282153416915f ⎡⎤⎡-=---+⨯⎤==-⎣⎦⎣⎦-+--+(((((222122821588806416f ⎡⎤⎡⎤-=---++-++=-++=-=⎢⎥⎢⎥⎣⎦⎣⎦.故f (x )的最大值为16.三、解答题:解答应写出文字说明,证明过程或演算步骤.(17)【2013年全国Ⅰ,理17,12分】如图,在ABC ∆中,90ABC ∠=︒,AB =,1BC =,P为ABC ∆内一点,90BPC ∠=︒.(1)若12PB =,求PA ;(2)若150APB ∠=︒,求tan PBA ∠.解:(1)由已知得60PBC ∠=︒,30PBA ∴∠=︒.在PBA ∆中,由余弦定理得211732cos 30424PA =+-︒=.故PA =(2)设PBA α∠=,由已知得sin PB α=.在PBA ∆sin sin(30)αα=︒-,4sin αα=.所以tan α,即tan PBA ∠= (18)【2013年全国Ⅰ,理18,12分】如图,三棱柱111ABC A B C -中,CA CB =,1AB AA =,160BAA ∠=︒. (1)证明:1AB A C ⊥;(2)若平面ABC ⊥平面11AA B B ,AB CB =,求直线1A C 与平面11BB C C 所成角的正弦值.解:(1)取AB 的中点O ,连结OC ,1OA ,1A B .因为CA CB =,所以OC AB ⊥.由于1AB AA =,160BAA ∠=︒,故1AA B ∆为等边三角形,所以1OA AB ⊥.因为1OC OA O = ,所以AB ⊥平面1OA C . 又1A C 平面1OA C ,故1AB A C ⊥.(2)由(1)知OC AB ⊥,1OA AB ⊥.又平面ABC ⊥平面11AA B B ,交线为AB ,所以OC ⊥平面11AA B B ,故OA ,1OA ,OC 两两相互垂直.以O 为坐标原点,OA 的方向为x 轴的正方向,OA为单位长,建立如图所示的空间直角坐标系O xyz -.由题设知()1,0,0A,1()0A ,(0,0C ,()1,0,0B -.则(1,03BC =,11()BB AA =-=,(10,A C = .设()n x y z =,,是平面11BB C C 的法向量,则100BC BB ⎧⋅=⎪⎨⋅=⎪⎩n n即0x x ⎧=⎪⎨-=⎪⎩可取1)n =-.故111cos ,n AC n AC n AC ⋅==⋅ .所以1A C 与平面11BB C C. (19)【2013年全国Ⅰ,理19,12分】一批产品需要进行质量检验,检验方案是:先从这批产品中任取4件作检验,这4件产品中优质品的件数记为n .如果n =3,再从这批产品中任取4件作检验,若都为优质品,则这批产品通过检验;如果n =4,再从这批产品中任取1件作检验,若为优质品,则这批产品通过检验;其他情况下,这批产品都不能通过检验.假设这批产品的优质品率为50%,即取出的每件产品是优质品的概率都为12,且各件产品是否为优质品相互独立.(1)求这批产品通过检验的概率;(2)已知每件产品的检验费用为100元,且抽取的每件产品都需要检验,对这批产品作质量检验所需的费用记为X (单位:元),求X 的分布列及数学期望.解:(1)设第一次取出的4件产品中恰有3件优质品为事件1A ,第一次取出的4件产品全是优质品为事件2A ,第二次取出的4件产品都是优质品为事件1B ,第二次取出的1件产品是优质品为事件2B ,这批产品通过检验为事件A ,依题意有()()1122A A B A B = ,且11A B 与22A B 互斥,所以 ()()()()()()()112211122241113||161616264P A P A B P A B P A P B A P A P B A ==⨯++⨯==+.(2)X 可能的取值为400,500,800,并且()41114001161616P X ==--=,()500116P X ==,()80140P X ==. 所以X 的分布列为()111400+500+800506.2516164E X =⨯⨯⨯=. (20)【2013年全国Ⅰ,理20,12分】已知圆()2211M x y ++=:,圆()2219N x y -+=:,动圆P 与圆M 外切并且与圆N 内切,圆心P 的轨迹为曲线C .(1)求C 的方程;(2)l 是与圆P ,圆M 都相切的一条直线,l 与曲线C 交于A ,B 两点,当圆P 的半径最长时,求AB . 解:由已知得圆M 的圆心为()1,0M -,半径11r =;圆N 的圆心为()1,0N ,半径23r =.设圆P 的圆心为(),P xy ,半径为R .(1)因为圆P 与圆M 外切并且与圆N 内切,所以()()12124PM PN R r r R r r +=++-=+=.由椭圆的定义可知,曲线C 是以M ,N 为左、右焦点,长半轴长为2(左顶点除外),其方程为()22=1243x y x +≠-.(2)对于曲线C 上任意一点()P x y ,,由于222PM PN R -=-≤,所以2R ≤,当且仅当圆P 的圆心为()2,0时,2R =.所以当圆P 的半径最长时,其方程为()2224x y -+=.若l 的倾斜角为90︒,则l 与y 轴重 合,可得AB =l 的倾斜角不为90︒,由1r R ≠知l 不平行于x 轴,设l 与x 轴的交点为Q ,则1||||QP R QM r =,可求得()4,0Q -,所以可设()4l y k x =+:.由l 与圆M ,解得k =. 当k =时,将y =+22=13x y +,并整理得27880x x +-=,解得1,2x =. 2118|7AB x x =-=.当k =时,由图形对称性可知187AB =.综上,AB =187AB =. (21)【2013年全国Ⅰ,理21,12分】设函数()2f x x ax b =++,()()x g x e cx d =+.若曲线()y f x =和曲线()y g x =都过点()0,2P ,且在点P 处有相同的切线42y x =+.(1)求a ,b ,c ,d 的值;(2)若2x ≥-时,()()f x kg x ≤,求k 的取值范围.解:(1)由已知得()02f =,()02g =,()04f '=,()04g '=.而()2f x x a '=+,()()x g x e cx d c '=++, 故2b =,2d =,4a =,4d c +=.从而4a =,2b =,2c =,2d =. (2)由(1)知,()242f x x x =++,()()21x g x e x =+.设函数()()()()22142x F x kg x f x ke x x x =-=+---,()()()()2224221x x F x ke x x x ke '=+--=+-.()00F ≥ ,即1k ≥.令()0F x '=得1ln x k =-,22x =-. ①若21k e ≤<,则120x -<≤.从而当12()x x ∈-,时,()0F x '<;当1()x x ∈+∞,时,()0F x '>. 即()F x 在1(2)x -,单调递减,在1()x +∞,单调递增.故()F x 在[)2-+∞,的最小值为()1F x . 而()()11111224220F x x x x x =+---=-+≥.故当2x ≥-时,()0F x ≥,即()()f x kg x ≤恒成立. ②若2k e =,则()()()2222x F x e x e e -'=+-.∴当2x >-时,()0F x '>,即()F x 在()2-+∞,单调递增. 而()20F -=,故当2x ≥-时,()0F x ≥,即()()f x kg x ≤恒成立. ③若2k e >,则()()22222220F k eek e ---=-+=--<.从而当2x ≥-时,()()f x kg x ≤不可能恒成立.综上,k 的取值范围是2[1]e ,. 请考生在(22)、(23)、(24)三题中任选一题作答.注意:只能做所选定的题目.如果多做,则按所做第一个题目计分,做答时,请用2B 铅笔在答题卡上将所选题号后的方框涂黑.(22)【2013年全国Ⅰ,理22,10分】(选修4-1:几何证明选讲)如图,直线AB为圆的切线,切点为B ,点C 在圆上,ABC ∠的角平分线BE 交圆于点E ,DB 垂直BE 交圆 于点D . (1)证明:DB DC =;(2)设圆的半径为1,BC =CE 交AB 于点F ,求BCF ∆外接圆的半径. 解:(1)连结DE ,交BC 于点G .由弦切角定理得,ABE BCE ∠=∠.而ABE CBE ∠=∠,故CBE BCE ∠=∠,BE CE =.又因为DB BE ⊥,所以DE 为直径,90DCE ∠=︒,DB DC =.(2)由(1)知,CDE BDE ∠=∠,DB DC =,故DG 是BC的中垂线,所以BG =设DE 的中点为O ,连结BO ,则60BOG ∠=︒.从而30ABE BCE CBE ∠=∠=∠=︒,所以CF BF ⊥,故Rt BCF ∆.(23)【2013年全国Ⅰ,理23,10分】(选修4-4:坐标系与参数方程)已知曲线1C 的参数方程为45cos 55sin x ty t=+⎧⎨=+⎩(t 为参数),以坐标原点为极点,x 轴的正半轴为极轴建立极坐标系,曲线2C 的极坐标方程为2sin ρθ=. (1)把1C 的参数方程化为极坐标方程;(2)求1C 与2C 交点的极坐标(0ρ≥,02θπ≤<).解:(1)将45cos 55sin x t y t =+⎧⎨=+⎩消去参数t ,化为普通方程()()224525x y -+-=,即221810160C x y x y +--+=:.将cos sin x y ρθρθ=⎧⎨=⎩代入22810160x y x y +--+=得28cos 10sin 160ρρθρθ--+=. 所以1C 的极坐标方程为28cos 10sin 160ρρθρθ--+=.(2)2C 的普通方程为2220x y y +-=.由222281016020x y x y x y y ⎧+--+=⎨+-=⎩,解得11x y =⎧⎨=⎩或02x y =⎧⎨=⎩, 所以1C 与2C交点的极坐标分别为π4⎫⎪⎭,π2,2⎛⎫ ⎪⎝⎭.(24)【2013年全国Ⅰ,理24,10分】(选修4-5:不等式选讲)已知函数()212f x x x a =-++,()3g x x =+.(1)当2a =-时,求不等式()()f x g x <的解集;(2)设1a >-,且当1,22a x ⎡⎫∈-⎪⎢⎣⎭时,()()f x g x ≤,求a 的取值范围.解:(1)当2a =-时,()()f x g x <化为212230x x x -+---<.设函数21223y x x x =-+---,则y =15,212,1236,1x x y x x x x ⎧-<⎪⎪⎪=--≤≤⎨⎪->⎪⎪⎩,其图像如图所示.从图像可知,当且仅当()0,2x ∈时,0y <.所以原不等式的解集是{}2|0x x <<.(2)当1,22x a ⎡⎫-⎪⎢⎣⎭∈时,()1f x a =+.不等式()()f x g x ≤化为13a x +≤+.所以2x a ≥-,对1,22x a ⎡⎫-⎪⎢⎣⎭∈都成立.故22a a -≥-,即43a ≤.从而a 的取值范围是41,3⎛⎤- ⎥⎝⎦.。
2013 年全国统一高考数学试卷(理科)(新课标Ⅰ)一、选择题:本大题共12 小题,每小题5 分,在每小题给出的四个选项中,只有一个是符合题目要求的.1.(5 分)已知集合A={x|x2﹣2x>0},B={x|﹣<x<},则()A.A∩B=∅B.A∪B=R C.B⊆A D.A⊆B2.(5分)若复数z 满足(3﹣4i)z=|4+3i|,则z 的虚部为()A.﹣4 B.C.4 D.3.(5分)为了解某地区中小学生的视力情况,拟从该地区的中小学生中抽取部分学生进行调查,事先已经了解到该地区小学、初中、高中三个学段学生的视力情况有较大差异,而男女生视力情况差异不大.在下面的抽样方法中,最合理的抽样方法是()A.简单的随机抽样B.按性别分层抽样C.按学段分层抽样D.系统抽样4.(5 分)已知双曲线C:(a>0,b>0)的离心率为,则C 的渐近线方程为()A.y= B.y= C.y=±x D.y=5.(5 分)执行程序框图,如果输入的t∈[﹣1,3],则输出的s 属于()A.[﹣3,4]B.[﹣5,2]C.[﹣4,3]D.[﹣2,5] 6.(5 分)如图,有一个水平放置的透明无盖的正方体容器,容器高8cm,将一个球放在容器口,再向容器注水,当球面恰好接触水面时测得水深为6cm,如不计容器的厚度,则球的体积为()A.B.C.D.7.(5分)设等差数列{a n}的前n 项和为S n,若S m﹣1=﹣2,S m=0,S m+1=3,则m=()A.3 B.4 C.5 D.68.(5 分)某几何体的三视图如图所示,则该几何体的体积为()A.16+8πB.8+8πC.16+16πD.8+16π9.(5 分)设m 为正整数,(x+y)2m展开式的二项式系数的最大值为a,(x+y)2m+1 展开式的二项式系数的最大值为b,若13a=7b,则m=()A.5 B.6 C.7 D.810.(5 分)已知椭圆E:的右焦点为F(3,0),过点F 的, ,直线交椭圆 E 于 A 、B 两点.若 AB 的中点坐标为(1,﹣1),则 E 的方程为()A .B .C .D .11.(5 分)已知函数f (x )=,若|f (x )|≥ax ,则 a 的取值范围是()A .(﹣∞,0]B .(﹣∞,1]C .[﹣2,1]D .[﹣2,0]12.(5 分)设△A n B n C n 的三边长分别为 a n ,b n ,c n ,△A n B n C n 的面积为 S n ,n=1, 2,3…若 b 1>c 1,b 1+c 1=2a 1,a n +1=a n,则( )A .{S n }为递减数列B .{S n }为递增数列C .{S 2n ﹣1}为递增数列,{S 2n }为递减数列D .{S 2n ﹣1}为递减数列,{S 2n }为递增数列二.填空题:本大题共 4 小题,每小题 5 分.13.(5 分)已知两个单位向量,的夹角为 60°,=t +(1﹣t ).若•=0,则 t=.14.(5 分)若数列{a n }的前 n 项和为 S n =a n +,则数列{a n }的通项公式是 a n =.15.(5 分)设当 x=θ 时,函数 f (x )=sinx ﹣2cosx 取得最大值,则 cosθ=.16.(5 分)若函数 f (x )=(1﹣x 2)(x 2+ax +b )的图象关于直线 x=﹣2 对称,则 f (x )的最大值为.三、解答题:解答应写出文字说明,证明过程或演算步骤.17.(12 分)如图,在△ABC 中,∠ABC=90°,AB=,BC=1,P 为△ABC 内一点,∠BPC=90°.(1)若PB=,求PA;(2)若∠APB=150°,求tan∠PBA.18.(12 分)如图,三棱柱ABC﹣A1B1C1 中,CA=CB,AB=AA1,∠BAA1=60°.(I)证明AB⊥A1C;(II)若平面ABC⊥平面AA1B1B,AB=CB=2,求直线A1C 与平面BB1C1C 所成角的正弦值.19.(12 分)一批产品需要进行质量检验,检验方案是:先从这批产品中任取4件作检验,这4 件产品中优质品的件数记为n.如果n=3,再从这批产品中任取4 件作检验,若都为优质品,则这批产品通过检验;如果n=4,再从这批产品中任取1 件作检验,若为优质品,则这批产品通过检验;其他情况下,这批产品都不能通过检验.假设这批产品的优质品率为50%,即取出的产品是优质品的概率都为,且各件产品是否为优质品相互独立.(I)求这批产品通过检验的概率;(II)已知每件产品检验费用为100 元,凡抽取的每件产品都需要检验,对这批产品作质量检验所需的费用记为X(单位:元),求X 的分布列及数学期望.20.(12 分)已知圆M:(x+1)2+y2=1,圆N:(x﹣1)2+y2=9,动圆P 与圆M 外切并与圆N 内切,圆心P 的轨迹为曲线C.(I)求C 的方程;(Ⅱ)l 是与圆P,圆M 都相切的一条直线,l 与曲线C 交于A,B 两点,当圆P 的半径最长时,求|AB|.21.(12 分)已知函数f(x)=x2+ax+b,g(x)=e x(cx+d),若曲线y=f(x)和曲线y=g(x)都过点P(0,2),且在点P 处有相同的切线y=4x+2.(I)求a,b,c,d 的值;(II)若x≥﹣2 时,f(x)≤kg(x),求k 的取值范围.四、请考生在第22、23、24 题中任选一道作答,并用2B 铅笔将答题卡上所选的题目对应的题号右侧方框涂黑,按所涂题号进行评分;多涂、多答,按所涂的首题进行评分,不涂,按本选考题的首题进行评分.22.(10 分)(选修4﹣1:几何证明选讲)如图,直线AB 为圆的切线,切点为B,点C 在圆上,∠ABC 的角平分线BE 交圆于点E,DB 垂直BE 交圆于D.(I)证明:DB=DC;(II)设圆的半径为1,BC=,延长CE 交AB 于点F,求△BCF 外接圆的半径.23.已知曲线C1 的参数方程为(t 为参数),以坐标原点为极点,x 轴的正半轴为极轴建立极坐标系,曲线C2 的极坐标方程为ρ=2sinθ.(1)把C1 的参数方程化为极坐标方程;(2)求C1 与C2 交点的极坐标(ρ≥0,0≤θ<2π).24.已知函数f(x)=|2x﹣1|+|2x+a|,g(x)=x+3.(I)当a=﹣2 时,求不等式f(x)<g(x)的解集;(II)设a>﹣1,且当x∈[﹣, ]时,f(x)≤g(x),求a 的取值范围.2013 年全国统一高考数学试卷(理科)(新课标Ⅰ)参考答案与试题解析一、选择题:本大题共12 小题,每小题5 分,在每小题给出的四个选项中,只有一个是符合题目要求的.1.(5 分)已知集合A={x|x2﹣2x>0},B={x|﹣<x<},则()A.A∩B=∅B.A∪B=R C.B⊆A D.A⊆B【考点】1D:并集及其运算;73:一元二次不等式及其应用.【专题】59:不等式的解法及应用;5J:集合.【分析】根据一元二次不等式的解法,求出集合A,再根据的定义求出A∩B 和A∪B.【解答】解:∵集合A={x|x2﹣2x>0}={x|x>2 或x<0},∴A∩B={x|2<x<或﹣<x<0},A∪B=R,故选:B.【点评】本题考查一元二次不等式的解法,以及并集的定义,属于基础题.2.(5 分)若复数z 满足(3﹣4i)z=|4+3i|,则z 的虚部为()A.﹣4 B.C.4 D.【考点】A5:复数的运算.【专题】5N:数系的扩充和复数.【分析】由题意可得z==,再利用两个复数代数形式的乘除法法则化简为+i,由此可得z 的虚部.【解答】解:∵复数z 满足(3﹣4i)z=|4+3i|,∴z====+i,故z 的虚部等于,故选:D.【点评】本题主要考查复数的基本概念,两个复数代数形式的乘除法法则的应用,属于基础题.3.(5分)为了解某地区中小学生的视力情况,拟从该地区的中小学生中抽取部分学生进行调查,事先已经了解到该地区小学、初中、高中三个学段学生的视力情况有较大差异,而男女生视力情况差异不大.在下面的抽样方法中,最合理的抽样方法是()A.简单的随机抽样C.按学段分层抽样B.按性别分层抽样D.系统抽样【考点】B3:分层抽样方法.【专题】21:阅读型.【分析】若总体由差异明显的几部分组成时,经常采用分层抽样的方法进行抽样.【解答】解:我们常用的抽样方法有:简单随机抽样、分层抽样和系统抽样,而事先已经了解到该地区小学、初中、高中三个学段学生的视力情况有较大差异,而男女生视力情况差异不大.了解某地区中小学生的视力情况,按学段分层抽样,这种方式具有代表性,比较合理.故选:C.【点评】本小题考查抽样方法,主要考查抽样方法,属基本题.4.(5 分)已知双曲线C:(a>0,b>0)的离心率为,则C 的渐近线方程为()A.y= B.y= C.y=±x D.y=【考点】KC:双曲线的性质.【专题】5D:圆锥曲线的定义、性质与方程.【分析】由离心率和abc 的关系可得b2=4a2,而渐近线方程为y=±x,代入可得答案.【解答】解:由双曲线C:(a>0,b>0),则离心率e===,即4b2=a2,故渐近线方程为y=±x= x,故选:D.【点评】本题考查双曲线的简单性质,涉及的渐近线方程,属基础题.5.(5 分)执行程序框图,如果输入的t∈[﹣1,3],则输出的s 属于()A.[﹣3,4] B.[﹣5,2] C.[﹣4,3] D.[﹣2,5]【考点】3B:分段函数的解析式求法及其图象的作法;EF:程序框图.【专题】27:图表型;5K:算法和程序框图.【分析】本题考查的知识点是程序框图,分析程序中各变量、各语句的作用,再根据流程图所示的顺序,可知:该程序的作用是计算一个分段函数的函数值,由条件为t<1 我们可得,分段函数的分类标准,由分支结构中是否两条分支上对应的语句行,我们易得函数的解析式.【解答】解:由判断框中的条件为t<1,可得:函数分为两段,即t<1 与t≥1,又由满足条件时函数的解析式为:s=3t;不满足条件时,即t≥1 时,函数的解析式为:s=4t﹣t2故分段函数的解析式为:s=,如果输入的t∈[﹣1,3],画出此分段函数在t∈[﹣1,3]时的图象,则输出的s 属于[﹣3,4].故选:A.【点评】要求条件结构对应的函数解析式,要分如下几个步骤:①分析流程图的结构,分析条件结构是如何嵌套的,以确定函数所分的段数;②根据判断框中的条件,设置分类标准;③根据判断框的“是”与“否”分支对应的操作,分析函数各段的解析式;④对前面的分类进行总结,写出分段函数的解析式.6.(5 分)如图,有一个水平放置的透明无盖的正方体容器,容器高8cm,将一个球放在容器口,再向容器注水,当球面恰好接触水面时测得水深为6cm,如不计容器的厚度,则球的体积为()A.B.C.D.【考点】LG:球的体积和表面积.【专题】11:计算题;5F:空间位置关系与距离.【分析】设正方体上底面所在平面截球得小圆M,可得圆心M 为正方体上底面正方形的中心.设球的半径为R,根据题意得球心到上底面的距离等于(R﹣2)cm,而圆M 的半径为4,由球的截面圆性质建立关于R 的方程并解出R=5,用球的体积公式即可算出该球的体积.【解答】解:设正方体上底面所在平面截球得小圆M,则圆心M 为正方体上底面正方形的中心.如图.设球的半径为R,根据题意得球心到上底面的距离等于(R﹣2)cm,而圆M 的半径为4,由球的截面圆性质,得R2=(R﹣2)2+42,解出R=5,∴根据球的体积公式,该球的体积V===.故选:A.【点评】本题给出球与正方体相切的问题,求球的体积,着重考查了正方体的性质、球的截面圆性质和球的体积公式等知识,属于中档题.7.(5分)设等差数列{a n}的前n 项和为S n,若S m﹣1=﹣2,S m=0,S m+1=3,则m=()A.3 B.4 C.5 D.6【考点】83:等差数列的性质;85:等差数列的前n 项和.【专题】11:计算题;54:等差数列与等比数列.【分析】由a n 与S n 的关系可求得a m+1 与a m,进而得到公差d,由前n 项和公式及S m=0 可求得a1,再由通项公式及a m=2 可得m 值.【解答】解:a m=S m﹣S m﹣1=2,a m+1=S m+1﹣S m=3,所以公差d=a m﹣a m=1,+1S m==0,m﹣1>0,m>1,因此m 不能为0,得a1=﹣2,所以a m=﹣2+(m﹣1)•1=2,解得m=5,另解:等差数列{a n}的前n 项和为S n,即有数列{}成等差数列,则,,成等差数列,可得2•=+,即有0=+,解得m=5.又一解:由等差数列的求和公式可得(m﹣1)(a1+a m﹣1)=﹣2,m(a1+a m)=0,(m+1)(a1+a m+1)=3,可得a1=﹣a m,﹣2a m+a m+1+a m+1=+=0,解得m=5.故选:C.【点评】本题考查等差数列的通项公式、前n 项和公式及通项a n 与S n 的关系,考查学生的计算能力.8.(5 分)某几何体的三视图如图所示,则该几何体的体积为()A.16+8πB.8+8πC.16+16πD.8+16π【考点】L!:由三视图求面积、体积.【专题】16:压轴题;27:图表型.【分析】三视图复原的几何体是一个长方体与半个圆柱的组合体,依据三视图的数据,得出组合体长、宽、高,即可求出几何体的体积.【解答】解:三视图复原的几何体是一个长方体与半个圆柱的组合体,如图,其中长方体长、宽、高分别是:4,2,2,半个圆柱的底面半径为2,母线长为4.∴长方体的体积=4×2×2=16,半个圆柱的体积=×22×π×4=8π所以这个几何体的体积是16+8π;故选:A.【点评】本题考查了几何体的三视图及直观图的画法,三视图与直观图的关系,柱体体积计算公式,空间想象能力9.(5 分)设m 为正整数,(x+y)2m展开式的二项式系数的最大值为a,(x+y)2m+1 展开式的二项式系数的最大值为b,若13a=7b,则m=()A.5 B.6 C.7 D.8【考点】DA:二项式定理.【专题】5P:二项式定理.【分析】根据二项式系数的性质求得a 和b,再利用组合数的计算公式,解方程13a=7b 求得m 的值.【解答】解:∵m 为正整数,由(x+y)2m展开式的二项式系数的最大值为a,以及二项式系数的性质可得a= ,同理,由(x+y)2m+1 展开式的二项式系数的最大值为b,可得b== .再由13a=7b,可得13 =7 ,即13×=7×,即13=7×,即13(m+1)=7(2m+1),解得m=6,故选:B.【点评】本题主要考查二项式系数的性质的应用,组合数的计算公式,属于中档题.10.(5 分)已知椭圆E:的右焦点为F(3,0),过点F 的直线交椭圆E 于A、B 两点.若AB 的中点坐标为(1,﹣1),则E 的方程为()A.B.C.D.【考点】K3:椭圆的标准方程.【专题】5D:圆锥曲线的定义、性质与方程.【分析】设A(x1,y1),B(x2,y2),代入椭圆方程得,利用“点差法”可得.利用中点坐标公式可得x1+x2=2,y1+y2=﹣2,利用斜率计算公式可得==.于是得到,化为a2=2b2,再利用c=3=,即可解得a2,b2.进而得到椭圆的方程.【解答】解:设A(x1,y1),B(x2,y2),代入椭圆方程得,相减得,∴.∵x1+x2=2,y1+y2=﹣2,==.∴,化为a2=2b2,又c=3=,解得a2=18,b2=9.∴椭圆E 的方程为.故选:D.【点评】熟练掌握“点差法”和中点坐标公式、斜率的计算公式是解题的关键.11.(5 分)已知函数f(x)= ,若|f(x)|≥ax,则a 的取值范围是()A.(﹣∞,0] B.(﹣∞,1] C.[﹣2,1] D.[﹣2,0]【考点】7E:其他不等式的解法.【专题】16:压轴题;59:不等式的解法及应用.【分析】由函数图象的变换,结合基本初等函数的图象可作出函数y=|f(x)|的图象,和函数y=ax 的图象,由导数求切线斜率可得l 的斜率,进而数形结合可得a 的范围.【解答】解:由题意可作出函数y=|f(x)|的图象,和函数y=ax 的图象,由图象可知:函数y=ax 的图象为过原点的直线,当直线介于l 和x 轴之间符合题意,直线l 为曲线的切线,且此时函数y=|f(x)|在第二象限的部分解析式为y=x2﹣2x,求其导数可得y′=2x﹣2,因为x≤0,故y′≤﹣2,故直线l 的斜率为﹣2,故只需直线y=ax 的斜率a 介于﹣2 与0 之间即可,即a∈[﹣2,0]故选:D.【点评】本题考查其它不等式的解法,数形结合是解决问题的关键,属中档题.12.(5 分)设△A n B n C n 的三边长分别为a n,b n,c n,△A n B n C n 的面积为S n,n=1,,,2,3…若b1>c1,b1+c1=2a1,a n+1=a n ,则()A.{S n}为递减数列B.{S n}为递增数列C.{S2n﹣1}为递增数列,{S2n}为递减数列D.{S2n﹣1}为递减数列,{S2n}为递增数列【考点】82:数列的函数特性;8H:数列递推式.【专题】16:压轴题;54:等差数列与等比数列;55:点列、递归数列与数学归纳法.=a n 可知△ A n B n C n的边B n C n 为定值a1 ,由b n+1+c n+1 ﹣【分析】由a n+12a1=及b1+c1=2a1 得b n+c n=2a1,则在△A n B n C n 中边长B n C n=a1 为定值,另两边A n C n、A n B n 的长度之和b n+c n=2a1 为定值,由此可知顶点A n 在以B n、C n 为焦点的椭圆上,根据b n+1﹣c n+1= ,得b n﹣c n= ,可知n→+∞时b n→c n,据此可判断△A n B n C n 的边B nC n 的高h n 随着n 的增大而增大,再由三角形面积公式可得到答案.【解答】解:b1=2a1﹣c1 且b1>c1,∴2a1﹣c1>c1,∴a1>c1,∴b1﹣a1=2a1﹣c1﹣a1=a1﹣c1>0,∴b1>a1>c1,又b1﹣c1<a1,∴2a1﹣c1﹣c1<a1,∴2c1>a1,∴,由题意,+a n,∴b n+1+c n+1﹣2a n=(b n+c n﹣2a n),∴b n+c n﹣2a n=0,∴b n+c n=2a n=2a1,∴b n+c n=2a1,由此可知顶点A n 在以B n、C n 为焦点的椭圆上,﹣c n+1=,∴=a1﹣b n,又由题意,b n+1﹣a1=,∴b n﹣a1= ,∴b n+1∴,c n=2a1﹣b n= ,∴[ ][]=[ ﹣]单调递增(可证当n=1 时>0)故选:B.【点评】本题主要考查由数列递推式求数列通项、三角形面积海伦公式,综合考查学生分析解决问题的能力,有较高的思维抽象度,是本年度全国高考试题中的“亮点”之一.二.填空题:本大题共4 小题,每小题5 分.13.(5 分)已知两个单位向量,的夹角为60°,=t+(1﹣t).若•=0,则t= 2 .【考点】9H:平面向量的基本定理;9O:平面向量数量积的性质及其运算.【专题】5A:平面向量及应用.【分析】由于•=0 ,对式子=t + (1 ﹣t )两边与作数量积可得=0,经过化简即可得出.【解答】解:∵,,∴=0,∴tcos60°+1﹣t=0,∴1 =0,解得t=2.故答案为2.【点评】熟练掌握向量的数量积运算是解题的关键.14.(5 分)若数列{a n}的前n 项和为S n=a n+,则数列{a n}的通项公式是a n=(﹣2)n﹣1 .【考点】88:等比数列的通项公式.【专题】54:等差数列与等比数列.【分析】把n=1 代入已知式子可得数列的首项,由n≥2 时,a n=S n﹣S n﹣1,可得数列为等比数列,且公比为﹣2,代入等比数列的通项公式分段可得答案.【解答】解:当n=1 时,a1=S1=,解得a1=1当n≥2 时,a n=S n﹣S n﹣1=()﹣()=,整理可得,即=﹣2,故数列{a n}从第二项开始是以﹣2 为首项,﹣2 为公比的等比数列,故当n≥2 时,a =(﹣2)n﹣1,n经验证当n=1 时,上式也适合,故答案为:(﹣2)n﹣1【点评】本题考查等比数列的通项公式,涉及等比数列的判定,属基础题.15.(5分)设当x=θ时,函数(f x)=sinx﹣2cosx 取得最大值,则cosθ=﹣.【考点】GP:两角和与差的三角函数;H4:正弦函数的定义域和值域.【专题】16:压轴题;56:三角函数的求值.【分析】f(x)解析式提取,利用两角和与差的正弦函数公式化为一个角的正弦函数,由x=θ时,函数f(x)取得最大值,得到sinθ﹣2cosθ=,与sin2θ+cos2θ=1 联立即可求出cosθ 的值.【解答】解:f(x)=sinx﹣2cosx= (sinx﹣cosx)= sin(x﹣α)(其中cosα=,sinα=),∵x=θ时,函数f(x)取得最大值,∴sin(θ﹣α)=1,即sinθ﹣2cosθ=,又sin2θ+cos2θ=1,联立得(2cosθ+ )2+cos2θ=1,解得cosθ=﹣.故答案为:﹣【点评】此题考查了两角和与差的正弦函数公式,同角三角函数间的基本关系,以及正弦函数的定义域与值域,熟练掌握公式是解本题的关键.16.(5 分)若函数f(x)=(1﹣x2)(x2+ax+b)的图象关于直线x=﹣2 对称,则f(x)的最大值为16 .【考点】57:函数与方程的综合运用;6E:利用导数研究函数的最值.【专题】11:计算题;16:压轴题;51:函数的性质及应用;53:导数的综合应用.【分析】由题意得f(﹣1)=f(﹣3)=0 且f(1)=f(﹣5)=0,由此求出a=8且b=15,由此可得f(x)=﹣x4﹣8x3﹣14x2+8x+15.利用导数研究f(x)的单调性,可得f(x)在区间(﹣∞,﹣2﹣)、(﹣2,﹣2+)上是增函数,在区间(﹣2﹣,﹣2)、(﹣2+,+∞)上是减函数,结合f(﹣2﹣)=f(﹣2+)=16,即可得到f(x)的最大值.【解答】解:∵函数f(x)=(1﹣x2)(x2+ax+b)的图象关于直线x=﹣2 对称,∴f(﹣1)=f(﹣3)=0 且f(1)=f(﹣5)=0,即[1﹣(﹣3)2][(﹣3)2+a•(﹣3)+b]=0 且[1﹣(﹣5)2][(﹣5)2+a•(﹣5)+b]=0,解之得,因此,f(x)=(1﹣x2)(x2+8x+15)=﹣x4﹣8x3﹣14x2+8x+15,求导数,得f′(x)=﹣4x3﹣24x2﹣28x+8,令f′(x)=0,得x1=﹣2﹣,x2=﹣2,x3=﹣2+,当x∈(﹣∞,﹣2﹣)时,f′(x)>0;当x∈(﹣2﹣,﹣2)时,f′(x)<0;当x∈(﹣2,﹣2+)时,f′(x)>0;当x∈(﹣2+,+∞)时,f′(x)<0∴f(x)在区间(﹣∞,﹣2﹣)、(﹣2,﹣2+)上是增函数,在区间(﹣2 -,﹣2)、(﹣2+,+∞)上是减函数.又∵f(﹣2﹣)=f(﹣2+)=16,∴f(x)的最大值为16.故答案为:16.【点评】本题给出多项式函数的图象关于x=﹣2对称,求函数的最大值.着重考,查了函数的奇偶性、利用导数研究函数的单调性和函数的最值求法等知识,属于中档题.三、解答题:解答应写出文字说明,证明过程或演算步骤. 17.(12 分)如图,在△ABC 中,∠ABC=90°,AB=,BC=1,P 为△ABC 内一点,∠BPC=90°.(1) 若 PB=,求 PA ;(2) 若∠APB=150°,求 tan ∠PBA .【考点】HP :正弦定理;HR :余弦定理. 【专题】58:解三角形.【分析】(I )在 Rt △PBC ,利用边角关系即可得到∠PBC=60°,得到∠PBA=30°.在 △PBA 中,利用余弦定理即可求得 PA .(II )设∠PBA=α,在 Rt △PBC 中,可得 PB=sinα.在△PBA 中,由正弦定理得,即,化简即可求出.【解答】解:(I )在 Rt △PBC 中 =,∴∠PBC=60°,∴∠PBA=30°.在 △ PBA 中 , 由 余 弦 定 理得PA 2=PB 2+AB 2 ﹣ 2PB•ABcos30°= =.∴PA=.(II )设∠PBA=α,在 Rt △PBC 中,PB=BCcos (90°﹣α)=sinα.在△PBA 中,由正弦定理得,即,化为.∴.【点评】熟练掌握直角三角形的边角关系、正弦定理和余弦定理是解题的关键.18.(12 分)如图,三棱柱ABC﹣A1B1C1 中,CA=CB,AB=AA1,∠BAA1=60°.(I)证明AB⊥A1C;(II)若平面ABC⊥平面AA1B1B,AB=CB=2,求直线A1C 与平面BB1C1C 所成角的正弦值.【考点】LW:直线与平面垂直;LY:平面与平面垂直;MI:直线与平面所成的角.【专题】5F:空间位置关系与距离;5G:空间角.【分析】(Ⅰ)取AB 的中点O,连接OC,OA1,A1B,由已知可证OA1⊥AB,AB ⊥平面OA1C,进而可得AB⊥A1C;(Ⅱ)易证OA,OA1,OC 两两垂直.以O 为坐标原点,的方向为x 轴的正向,||为单位长,建立坐标系,可得,,的坐标,设=(x,y,z)为平面BB1C1C 的法向量,则,可解得=(,1,﹣1),可求|c o s <,>|,即为所求正弦值.【解答】解:(Ⅰ)取AB 的中点O,连接OC,OA1,A1B,因为CA=CB,所以OC⊥AB,由于AB=AA1,∠BAA1=60°,所以△AA1B 为等边三角形,所以OA1⊥AB,又因为OC∩OA1=O,所以AB⊥平面OA1C,又A1C⊂平面OA1C,故AB⊥A1C;(Ⅱ)由(Ⅰ)知OC⊥AB,OA1⊥AB,又平面ABC⊥平面AA1B1B,交线为AB,所以OC⊥平面AA1B1B,故OA,OA1,OC 两两垂直.以O 为坐标原点,的方向为x 轴的正向,||为单位长,建立如图所示的坐标系,可得A(1,0,0),A 1(0,,0),C(0,0,),B(﹣1,0,0),则=(1,0,),=(﹣1,,0),=(0,﹣,),设=(x,y,z)为平面BB1C1C 的法向量,则,即,可取y=1,可得=(,1,﹣1),故cos<,>== ,又因为直线与法向量的余弦值的绝对值等于直线与平面的正弦值,故直线A1C 与平面BB1C1C 所成角的正弦值为:.【点评】本题考查直线与平面所成的角,涉及直线与平面垂直的性质和平面与平面垂直的判定,属难题.19.(12 分)一批产品需要进行质量检验,检验方案是:先从这批产品中任取4件作检验,这4 件产品中优质品的件数记为n.如果n=3,再从这批产品中任取4 件作检验,若都为优质品,则这批产品通过检验;如果n=4,再从这批产品中任取1 件作检验,若为优质品,则这批产品通过检验;其他情况下,这批产品都不能通过检验.假设这批产品的优质品率为50%,即取出的产品是优质品的概率都为,且各件产品是否为优质品相互独立.(I)求这批产品通过检验的概率;(II)已知每件产品检验费用为100 元,凡抽取的每件产品都需要检验,对这批产品作质量检验所需的费用记为X(单位:元),求X 的分布列及数学期望.【考点】CG:离散型随机变量及其分布列;CH:离散型随机变量的期望与方差.【专题】5I:概率与统计.【分析】(Ⅰ)设第一次取出的4 件产品中恰有3 件优质品为事件A1,第一次取出的4 件产品全是优质品为事件A2,第二次取出的4 件产品全是优质品为事件B1,第二次取出的1 件产品是优质品为事件B2,这批产品通过检验为事件A,依题意有A=(A1B1)∪(A2B2),且A1B1 与A2B2 互斥,由概率得加法公式和条件概率,代入数据计算可得;(Ⅱ)X 可能的取值为400,500,800,分别求其概率,可得分布列,进而可得期望值.【解答】解:(Ⅰ)设第一次取出的4 件产品中恰有3 件优质品为事件A1,第一次取出的4 件产品全是优质品为事件A2,第二次取出的4 件产品全是优质品为事件B1,第二次取出的1 件产品是优质品为事件B2,这批产品通过检验为事件A,依题意有A=(A1B1)∪(A2B2),且A1B1 与A2B2 互斥,所以P(A)=P(A1B1)+P(A2B2)=P(A1)P(B1|A1)+P(A2)P(B2|A2)==(Ⅱ)X 可能的取值为400,500,800,并且P(X=800)=,P(X=500)=,P(X=400)=1﹣﹣=,故X 的分布列如下:X 400 500 800P故EX=400×+500×+800×=506.25【点评】本题考查离散型随机变量及其分布列涉及数学期望的求解,属中档题.20.(12 分)已知圆 M :(x +1)2+y 2=1,圆 N :(x (I ) 求 C 的方程;(Ⅱ)l 是与圆 P ,圆 M 都相切的一条直线,l 与曲线 C 交于 A ,B 两点,当圆 P 的半径最长时,求|AB |.【考点】J3:轨迹方程;J9:直线与圆的位置关系. 【专题】5B :直线与圆.【分析】(I )设动圆的半径为 R ,由已知动圆 P 与圆 M 外切并与圆N 内切,可得 |PM |+|P N|=R+1(3﹣R)=4,而|N(II ) 设曲线 C 上任意一点 P (x ,y ),由于|PM |﹣|PN |=2R ﹣2≤4﹣2=2,所 以 R≤2,当且仅当⊙P 的圆心为(2,0)R=2 时,其半径最大,其方程为(x ﹣2) 2+y 2=4.分①l 的倾斜角为 90°,此时 l 与 y 轴重合,可得|AB |.②若 l 的倾斜 角不为 90°,由于⊙M 的半径 1≠R ,可知 l 与 x 轴不平行,设 l 与 x 轴的交点为 Q ,根据,可得 Q (﹣4,0),所以可设 l :y=k (x +4),与椭圆的方程联立,得到根与系数的关系利用弦长公式即可得出. 【解答】解:(I )由圆 M :(x +1)2+y 2=1,可知圆心 M (﹣1,0);圆 N :(x ﹣1) 2+y 2=9,圆心 N (1,0),半径 3.设动圆的半径为 R , ∵动圆 P 与圆 M 外切并与圆 N 内切,∴|PM |+|PN |=R +1+(3﹣R )=4, 而|NM |=2,由椭圆的定义可知:动点 P 的轨迹是以 M ,N 为焦点,4 为长轴长的椭圆, ∴a=2,c=1,b 2=a 2﹣c 2=3.∴曲线 C 的方程为(x ≠﹣2).(II )设曲线 C 上任意一点 P (x ,y ), 由于|PM |﹣|PN |=2R ﹣2≤3﹣1=2,所以 R ≤2,当且仅当⊙P 的圆心为(2,0) R=2 时,其半径最大,其方程为(x ﹣2)2+y 2=4.①l 的倾斜角为90°,则l 与y 轴重合,可得|AB|= .②若l 的倾斜角不为90°,由于⊙M 的半径1≠R,可知l 与x 轴不平行,设l 与x 轴的交点为Q,则,可得Q(﹣4,0),所以可设l:y=k(x+4),由l 于M 相切可得:,解得.当时,联立,得到7x2+8x﹣8=0.∴,.∴|AB|= ==由于对称性可知:当时,也有|AB|=.综上可知:|AB|= 或.【点评】本题综合考查了两圆的相切关系、直线与圆相切问题、椭圆的定义及其性质、直线与椭圆相交问题转化为方程联立得到根与系数的关系、弦长公式等基础知识,需要较强的推理能力和计算能力及其分类讨论的思想方法.21.(12 分)已知函数f(x)=x2+ax+b,g(x)=e x(cx+d),若曲线y=f(x)和曲线y=g(x)都过点P(0,2),且在点P 处有相同的切线y=4x+2.(I)求a,b,c,d 的值;(II)若x≥﹣2 时,f(x)≤kg(x),求k 的取值范围.【考点】3R:函数恒成立问题;6H:利用导数研究曲线上某点切线方程.【专题】16:压轴题;53:导数的综合应用.【分析】(Ⅰ)对f(x),g(x)进行求导,已知在交点处有相同的切线及曲线y=f (x)和曲线y=g(x)都过点P(0,2),从而解出a,b,c,d 的值;(Ⅱ)由(I)得出f(x),g(x)的解析式,再求出F(x)及它的导函数,通过对k 的讨论,判断出F(x)的最值,从而判断出f(x)≤kg(x)恒成立,从而求出k 的范围.【解答】解:(Ⅰ)由题意知f(0)=2,g(0)=2,f′(0)=4,g′(0)=4,而f′(x)=2x+a,g′(x)=e x(cx+d+c),故b=2,d=2,a=4,d+c=4,从而a=4,b=2,c=2,d=2;(Ⅱ)由(I)知,f(x)=x2+4x+2,g(x)=2e x(x+1)设F(x)=kg(x)﹣f(x)=2ke x(x+1)﹣x2﹣4x﹣2,则F′(x)=2ke x(x+2)﹣2x﹣4=2(x+2)(ke x﹣1),由题设得F(0)≥0,即k≥1,令F′(x)=0,得x1=﹣lnk,x2=﹣2,①若1≤k<e2,则﹣2<x1≤0,从而当x∈(﹣2,x1)时,F′(x)<0,当x∈(x1,+∞)时,F′(x)>0,即F(x)在(﹣2,x1)上减,在(x1,+∞)上是增,故F(x)在[﹣2,+∞)上的最小值为F(x1),而F(x1)=﹣x1(x1+2)≥0,x≥﹣2 时F(x)≥0,即f(x)≤kg(x)恒成立.②若k=e2,则F′(x)=2e2(x+2)(e x﹣e﹣2),从而当x∈(﹣2,+∞)时,F′(x)>0,即F(x)在(﹣2,+∞)上是增,而F(﹣2)=0,故当x≥﹣2 时,F(x)≥0,即f(x)≤kg(x)恒成立.③若k>e2时,F′(x)>2e2(x+2)(e x﹣e﹣2),而F(﹣2)=﹣2ke﹣2+2<0,所以当x>﹣2 时,f(x)≤kg(x)不恒成立,综上,k 的取值范围是[1,e2].【点评】此题主要考查利用导数研究曲线上某点切线方程,函数恒成立问题,考查分类讨论思想,解题的关键是能够利用导数工具研究函数的性质,此题是一道中档题.四、请考生在第22、23、24 题中任选一道作答,并用2B 铅笔将答题卡上所选的题目对应的题号右侧方框涂黑,按所涂题号进行评分;多涂、多答,按所涂的首题进行评分,不涂,按本选考题的首题进行评分.22.(10 分)(选修4﹣1:几何证明选讲)如图,直线AB 为圆的切线,切点为B,点C 在圆上,∠ABC 的角平分线BE 交圆于点E,DB 垂直BE 交圆于D.(I)证明:DB=DC;(II)设圆的半径为1,BC=,延长CE 交AB 于点F,求△BCF 外接圆的半径.【考点】NC:与圆有关的比例线段.【专题】5B:直线与圆.【分析】(I)连接DE 交BC 于点G,由弦切角定理可得∠ABE=∠BCE,由已知角平分线可得∠ABE=∠CBE,于是得到∠CBE=∠BCE,BE=CE.由已知DB⊥BE,可知DE 为⊙O 的直径,Rt△DBE≌Rt△DCE,利用三角形全等的性质即可得到DC=DB.(II)由(I)可知:DG 是BC 的垂直平分线,即可得到BG=.设DE 的中点为O,连接BO,可得∠BOG=60°.从而∠ABE=∠BCE=∠CBE=30°.得到CF⊥BF.进而得到Rt△BCF 的外接圆的半径=.【解答】(I)证明:连接DE 交BC 于点G.由弦切角定理可得∠ABE=∠BCE,而∠ABE=∠CBE,∴∠CBE=∠BCE,BE=CE.又∵DB⊥BE,∴DE 为⊙O 的直径,∠DCE=90°.∴△DBE≌△DCE,∴DC=DB.(II)由(I)可知:∠CDE=∠BDE,DB=DC.故DG 是BC 的垂直平分线,∴BG=.设DE 的中点为O,连接BO,则∠BOG=60°.从而∠ABE=∠BCE=∠CBE=30°.∴CF⊥BF.∴Rt△BCF 的外接圆的半径= .【点评】本题综合考查了圆的性质、弦切角定理、等边三角形的性质、三角形全等、三角形的外接圆的半径等知识,需要较强的推理能力、分析问题和解决问题的能力.23.已知曲线C1 的参数方程为(t 为参数),以坐标原点为极点,x 轴的正半轴为极轴建立极坐标系,曲线C2 的极坐标方程为ρ=2sinθ.(1)把C1 的参数方程化为极坐标方程;(2)求C1 与C2 交点的极坐标(ρ≥0,0≤θ<2π).【考点】Q4:简单曲线的极坐标方程;QH:参数方程化成普通方程.【专题】11:计算题;35:转化思想;4R:转化法;5S:坐标系和参数方程.【分析】(1)曲线C1 的参数方程消去参数t,得到普通方程,再由,能求出C1 的极坐标方程.(2)曲线C2 的极坐标方程化为直角坐标方程,与C1 的普通方程联立,求出C1 与C2 交点的直角坐标,由此能求出C1 与C2 交点的极坐标.【解答】解:(1)将,消去参数t,化为普通方程(x﹣4)2+(y﹣5)2=25,即C1:x2+y2﹣8x﹣10y+16=0,将代入x2+y2﹣8x﹣10y+16=0,得ρ2﹣8ρcosθ﹣10ρsinθ+16=0.∴C1 的极坐标方程为ρ2﹣8ρcosθ﹣10ρsinθ+16=0.(2)∵曲线C2 的极坐标方程为ρ=2sinθ.∴曲线C2 的直角坐标方程为x2+y2﹣2y=0,。
2013 年高考数学全国卷1(完整版试题 +答案 +解析 )2013 年普通高等学校招生全国统一考试(全国卷)理科数学本试卷分第Ⅰ卷(选择题)和第Ⅱ卷(非选择题)两部分,共 6 页.考试时间120 分钟.满分150 分.答题前,考生务必用0.5 毫米的黑色签字笔将自己的姓名、座号、考号填写在第Ⅰ 卷答题卡和第Ⅱ 卷答题纸规定的位置.参考公式:样本数据x1 , x2 ,x n的标准差( x1x) 2(x2x) 2( x n x)2s n其中 x 为样本平均数球的面积公式S 4 R2第Ⅰ卷(选择题共 60 分)注意事项:1.每小题选出答案后,用铅笔把答题卡上对应题目的答案标号涂黑,如需改动,用橡皮擦干净后,再选涂其它答案,不能答在试题卷上.2.第Ⅰ卷只有选择题一道大题.一、选择题:本大题共12 小题,每小题 5 分,共 60 分.在每小题给出的四个选项中,只有一项是符合题目要求的.1. 复数12i(i是虚数单位)的虚部是1 iA .31C.3 D .1 B.222. 已知R是实数集,M x 21 , N y y x 1 1 ,则N C R M xA.(1,2)B.0,2 C.D.1,23.现有 10 个数,其平均数是 4 ,且这 10 个数的平方和是 200 ,那么这个数组的标准差是A.1B.2C.3D.44.设 S n为等比数列 { a n } 的前 n 项和, 8a2a50,则S4 S2A.5B.8C.8D. 155.已知函数 f ( x)sin(2x) ,若存在a(0,) ,使得 f (x a) f (x a) 恒成立,则 a6的值是A .B .3C .4 D .626. 已知 m 、 n 表示直线, , , 表示平面,给出下列四个命题,其中真命题为( 1) m,n , nm, 则( 2) , m,n,则 nm( 3) m , m , 则 ∥( 4) m, n, mn,则A .( 1)、(2)B .(3)、( 4)C .(2)、( 3)D .(2)、( 4)7. 已知平面上不共线的四点O, A, B, C ,若 OA 3OB2OC,则| AB |等于|BC |A . 1B . 2C . 3D . 48. 已知三角形ABC 的三边长成公差为 2 的等差数列,且最大角的正弦值为3,则这个三2角形的周长是A . 18B . 21C . 24D . 159. 函数 f ( x)lg x1的零点所在的区间是xA . 0,1B . 1,10C . 10,100D . (100, )10. 过直线 yx 上一点 P 引圆 x 2y 26x 7 0 的切线,则切线长的最小值为23210 D . 2A .B .2C .2211. 已知函数 f ( x)x 2 ax 2b . 若 a,b 都是区间 0,4 内的数,则使 f (1)0 成立的概率是3B .13 5A .4C .D .48812. 已知双曲线的标准方程为x 2 y 2 1 ,F 为其右焦点, A 1 , A 2 是实轴的两端点, 设 P 为9 16双曲线上不同于A 1 , A 2 的任意一点, 直线 A 1 P, A 2 P 与直线 xa 分别交于两点 M , N , 若FM FN0 , 则 a 的值为16B .925 16A .5C .D .995第Ⅱ卷(非选择题共90分)注意事项:1.请用 0.5 毫米的黑色签字笔将每题的答案填写在第Ⅱ 卷答题纸的指定位置.书写的答案如需改动,要先划掉原来的答案,然后再写上新答案.2.不在指定答题位置答题或超出答题区域书写的答案无效.在试题卷上答题无效.3.第Ⅱ 卷共包括填空题和解答题两道大题.二、填空题:本大题共 4 小题,每小题 4 分,共 16 分.开始13. 如图所示的程序框图输出的结果为__________.a2, i 1 否14. 若一个底面是正三角形的三棱柱的正视图如下图所示,其顶点都在一个球面上,则该球的表面积为__________.i 10是1a1输出 aa111第14 题图i i1结束第13题图15. 地震的震级 R 与地震释放的能量 E 的关系为R 2(lg E 11.4).2011 年 3 月 11日,日3本东海岸发生了9.0 级特大地震, 2008 年中国汶川的地震级别为8.0 级,那么 2011年地震的能量是 2008年地震能量的倍.16.给出下列命题:①已知都是正数,且a1a,则a b;1bb②已知 f ( x) 是 f ( x) 的导函数,若x R , f (x) 0 ,则 f (1) f (2)一定成立;③命题“x R ,使得x2 2 x 1 0 ”的否定是真命题;④“ x1, 且 y 1 ”是“ x y 2 ”的充要条件.其中正确命题的序号是.(把你认为正确命题的序号都填上)三、解答题:本大题共6小题,共 74 分.解答应写出文字说明,证明过程或演算步骤.17.(本小题满分 12 分)已知向量 a(1, cos x ) 与 b ( 3 sin x cos x, y) 共线,且有函数 yf ( x) .2 2 2(Ⅰ)若 f ( x) 1,求 cos(22x) 的值;3(Ⅱ)在ABC 中,角 A, B, C ,的对边分别是 a, b, c ,且满足 2a cosC c 2b ,求函数f ( B) 的取值范围 .18.(本小题满分 12 分)已知等差数列a n的前 n 项和为n ,公差d 0,且3 5 1413 成等比数列.SS S50, a , a , a(Ⅰ)求数列a n 的通项公式;(Ⅱ)设b n 是首项为 1,公比为 3 的等比数列,求数列b n 的前 n 项和 T n .a n19.(本小题满分 12 分)已知四棱锥A BCDE ,其中AB BC AC,2,CD面ABC ,BE 1CD BE∥CD,F 为 AD的中点.D(Ⅰ)求证:EF ∥面 ABC ;(Ⅱ)求证:面ADE面ACD ;F( III)求四棱锥 A BCDE 的体积.EC AB20. (本小题满分 12 分)在某种产品表面进行腐蚀性检验,得到腐蚀深度y 与腐蚀时间x之间对应的一组数据:时间 x (秒)51015203040深度 y (微米)61010131617现确定的研究方案是:先从这 6 组数据中选取 2 组,用剩下的 4 组数据求线性回归方程,再对被选取的 2 组数据进行检验.(Ⅰ)求选取的 2 组数据恰好不相邻的概率;(Ⅱ)若选取的是第 2 组和第 5 组数据,根据其它 4 组数据,求得y 关于x的线性回归方程 y?4 x 139,规定由线性回归方程得到的估计数据与所选出的检验数据的误1326差均不超过 2 微米,则认为得到的线性回归方程是可靠的,判断该线性回归方程是否可靠.21.(本小题满分 12 分)已知函数ax b1, f ( 1)) 的切线方程为x y 3 0 .f (x)2在点 (x1(Ⅰ)求函数 f ( x) 的解析式;(Ⅱ)设 g ( x) ln x ,求证: g (x) f ( x) 在 x [1, ) 上恒成立.22. (本小题满分14 分)实轴长为 4 3 的椭圆的中心在原点,其焦点F1,, F2在x轴上.抛物线的顶点在原点O ,对称轴为 y 轴,两曲线在第一象限内相交于点 A ,且AF1AF2,△ AF1 F2的面积为3.(Ⅰ)求椭圆和抛物线的标准方程;(Ⅱ)过点 A 作直线 l 分别与抛物线和椭圆交于B,C ,若 AC 2 AB ,求直线l的斜率k.yAF1 B o F2xC参考答案及评分标准一.选择题(本大题共12 小题,每小题 5 分,共 60 分.)BDBADBBDBC CB二.填空题(本大题共4 小题,每小题 4 分,共 16 分.)313. 214.1915. 10216. ①③3三.解答题17.(本小题满分 12 分)解:(Ⅰ)∵ a 与 b 共线1cos x∴xy 23 sin x cos2 2y3 sin x cosxcos 2x3sin x1(1 cos x) sin( x) 1 ⋯⋯⋯⋯ 3 分22 2226 2∴ f ( x)sin( x ) 1 1 ,即 sin(x) 1 ⋯⋯⋯⋯⋯⋯⋯⋯⋯⋯⋯⋯⋯⋯⋯⋯ 4 分62 2 cos(26 12x) cos2( x) 2cos 2 ( x) 1 2sin 2 ( x ) 1 33 3 62⋯⋯⋯⋯⋯⋯⋯⋯⋯⋯⋯⋯⋯⋯⋯⋯6 分(Ⅱ)已知2a cosC c2b由正弦定理得:2sin A cosC sin C2sin B 2 sin( A C )2sin A cosC sin C2sin A cosC2 cos Asin C∴ cosA1 ,∴在ABC 中 ∠ A231f (B)sin(B)26 25 ∵∠ A∴ 0 B ,B3 3 666∴1sin(B) 1, 1 f ( B) 32623∴函数f (B) 的取值范围为 (1, ]⋯⋯⋯⋯⋯⋯⋯⋯⋯⋯⋯⋯⋯⋯⋯⋯⋯⋯⋯⋯⋯⋯⋯⋯⋯⋯⋯⋯⋯⋯⋯⋯⋯⋯⋯⋯⋯⋯⋯⋯⋯⋯⋯⋯⋯⋯⋯⋯8 分10 分12 分2013 年高考数学全国卷1(完整版试题 +答案 +解析 )18.(本小题满分12 分)解:(Ⅰ)依题意得3a132d5a1455022d⋯⋯⋯⋯⋯⋯⋯⋯⋯⋯⋯⋯⋯⋯⋯⋯2 分( a13d ) 2a1 ( a112d )解得 a13,⋯⋯⋯⋯⋯⋯⋯⋯⋯⋯⋯⋯⋯⋯⋯⋯ 4 分d2a n a1,即2n 1. 6 分⋯⋯⋯⋯⋯⋯⋯⋯⋯⋯⋯( Ⅱ) bn3n1, bn a n3n1(2n 1) 3n 1⋯⋯⋯⋯⋯⋯⋯⋯⋯⋯⋯⋯⋯⋯⋯⋯7 分a nT n353732(2n 1) 3n 13T n 3 3 5327 33(2n 1) 3n 1(2n 1) 3n⋯⋯⋯⋯⋯⋯⋯⋯9分2T n 3 2 3 2 32 2 3n 1(2n1)3n32 3(13n 1 )( 2n 1)3n132n 3n∴ T n n 3n⋯⋯⋯⋯⋯⋯⋯⋯⋯⋯⋯⋯⋯⋯⋯⋯ 12 分19.(本小题满分12 分)解:(Ⅰ)取AC 中点 G,连结 FG、 BG,∵F,G分别是 AD,AC的中点D1∴FG∥ CD,且 FG= DC=1 .2∵ BE∥ CD ∴ FG 与 BE 平行且相等F∴ EF∥ BG.⋯⋯⋯⋯⋯⋯⋯⋯⋯⋯⋯ 2 分EEF 面 ABC, BG面 ABC GC ∴ EF ∥面 ABC A⋯⋯⋯⋯⋯⋯⋯⋯⋯⋯⋯ 4 分(Ⅱ)∵△ ABC 为等边三角形∴ BG⊥ AC B 又∵ DC⊥面 ABC,BG面 ABC∴ DC⊥ BG2013 年高考数学全国卷1(完整版试题 +答案 +解析 )∴ BG 垂直于面 ADC 的两条相交直线AC,DC,∴ BG⊥面 ADC.⋯⋯⋯⋯⋯⋯⋯⋯⋯⋯⋯⋯⋯⋯⋯⋯ 6 分∵EF∥ BG∴EF⊥面 ADC∵ EF面 ADE,∴面 ADE⊥面 ADC .⋯⋯⋯⋯⋯⋯⋯⋯⋯⋯⋯⋯⋯⋯⋯⋯ 8 分(Ⅲ)连结 EC,该四棱锥分为两个三棱锥E-ABC和 E- ADC .V A BCDE V E ABC V E ACD131113333.⋯⋯⋯⋯⋯⋯⋯⋯⋯ 12 分34321264另法:取 BC 的中点为 O ,连结AO ,则 AO BC ,又 CD平面ABC ,∴CD AO, BC CD C , ∴AO平面,∴AO为V A BCDE的高,BCDEAO 3, S BCDE(12)1 3 ,V A BCDE1333.222322420.(本小题满分12 分)解:(Ⅰ)设 6 组数据的编号分别为1,2,3,4,5,6.设抽到不相邻的两组数据为事件A,从 6组数据中选取 2 组数据共有15 种情况:( 1,2 )( 1,3 )(1,4 )( 1,5 )( 1,6 )( 2,3 )( 2,4 )( 2,5 )( 2,6 )( 3,4 )( 3,5 )( 3,6 )( 4,5)( 4,6)( 5,6),其中事件A包含的基本事件有10种.⋯⋯⋯⋯⋯⋯⋯⋯⋯⋯⋯⋯⋯⋯⋯⋯ 3 分所以P( A)102.所以选取的 2 组数据恰好不相邻的概率是2.⋯⋯⋯⋯⋯⋯⋯⋯⋯ 6 分1533( Ⅱ )当 x10时, ?413921921910 |2;⋯⋯⋯⋯⋯⋯⋯⋯⋯⋯⋯⋯⋯⋯9 分26261326当x30时, ?413937937916 |2;2626132612 分所以,该研究所得到的回归方程是可靠的.⋯⋯⋯⋯⋯⋯⋯⋯⋯⋯⋯⋯⋯⋯⋯⋯21.(本小题满分12 分)解:(Ⅰ)将 x 1 代入切线方程得y2∴ f ( 1)b a2 ,化简得 b a 4 .⋯⋯⋯⋯⋯⋯⋯⋯⋯⋯⋯⋯⋯⋯⋯⋯ 2 分11f ( x)a( x21)(ax b) 2 x(1x 2 ) 22013 年高考数学全国卷1(完整版试题 +答案 +解析 )f ( 1)2a2(b a)2b b1 .442解得: a2, b2∴ f ( x)2x2x 2.12x2(Ⅱ)由已知得ln x在 [1,) 上恒成立x21化简得 ( x21) ln x2x2即 x2 ln x ln x 2 x20在 [1,) 上恒成立.设 h(x)x 2 ln x ln x 2x 2 ,⋯⋯⋯⋯⋯⋯⋯⋯⋯⋯⋯⋯⋯⋯⋯⋯⋯⋯⋯⋯⋯⋯⋯⋯⋯⋯⋯⋯⋯⋯⋯⋯⋯⋯⋯⋯⋯⋯⋯⋯⋯⋯⋯⋯⋯⋯⋯⋯4分6分8分h (x)2xln x x 12x1∵ x 1∴ 2x ln x0,2,即 h ( x) 0 .10 分x⋯⋯⋯⋯⋯⋯⋯⋯⋯⋯⋯⋯⋯⋯⋯⋯x∴ h(x) 在 [1,) 上单调递增, h( x)h(1) 0∴ g(x) f (x) 在 x[1,) 上恒成立.⋯⋯⋯⋯⋯⋯⋯⋯⋯⋯⋯⋯⋯⋯⋯⋯12 分22.(本小题满分 14分)解( 1)设椭圆方程为x2y21 (a b 0) , AF1 m, AF2 n a2b2m 2n24c2由题意知m n 4 3⋯⋯⋯⋯⋯⋯⋯⋯⋯⋯⋯⋯⋯⋯⋯⋯ 2 分mn 6解得 c 29 ,∴ b 212 9 3 .∴椭圆的方程为x 2y2⋯⋯⋯⋯⋯⋯⋯⋯⋯⋯⋯⋯⋯⋯⋯⋯ 4 分1213∵ y A c3,∴ y A1,代入椭圆的方程得x A 2 2 ,将点 A 坐标代入得抛物线方程为x 28 y .⋯⋯⋯⋯⋯⋯⋯⋯⋯⋯⋯⋯⋯⋯⋯⋯ 6 分( 2)设直线l的方程为y 1 k ( x 2 2 ) , B(x1, y1 ), C (x2 , y2 )---2013 年高考数学全国卷1(完整版试题 +答案 +解析 )由 AC 2AB得 x22 22( x 2 2),1化简得 2x1x222⋯⋯⋯⋯⋯⋯⋯⋯⋯⋯⋯⋯⋯⋯⋯⋯8 分联立直线与抛物线的方程y1k( x 2 2),x 28 y得 x28kx162k80∴ x1 2 28k ①⋯⋯⋯⋯⋯⋯⋯⋯⋯⋯⋯⋯⋯⋯⋯⋯10 分联立直线与椭圆的方程y1k( x2 2 )x 24y 212得2)2(8 1622)32216 28 0k x k x k kk∴ x2 2 2162k 28k②⋯⋯⋯⋯⋯⋯⋯⋯⋯⋯⋯⋯⋯⋯⋯⋯12 分14k2∴ 2x1x22(8k2 2 )162k 28k2 2 2 214k 2整理得: (16k42)(112k)0 4k 2∴ k2,所以直线 l的斜率为2.⋯⋯⋯⋯⋯⋯⋯⋯⋯⋯⋯⋯⋯⋯⋯⋯ 14 分44-11-/11。
2013年普通高等学校招生全国统一考试(新课标Ⅱ卷)数学(理科)注意事项:1. 本试卷分第Ⅰ卷(选择题)和第Ⅱ卷(非选择题)两部分。
答卷前考生将自己的姓名\准考证号填写在本试卷和答题卡相应位置。
2. 回答第Ⅰ卷时,选出每小题答案后,用铅笔把答题卡上对应题目的答案标号标黑,如需改动,用橡皮擦干净后,再选涂其他答案标号。
写在本试卷上无效。
3. 答第Ⅱ卷时,将答案写在答题卡上,写在本试卷上无效。
4. 考试结束,将试题卷和答题卡一并交回。
第Ⅰ卷(选择题 共50分)一、 选择题:本大题共10小题。
每小题5分,共50分。
在每个小题给出的四个选项中,只有一项是符合题目要求的。
1.已知集合M ={x |(x -1)2<4,x ∈R },N ={-1,0,1,2,3},则M ∩N 等于( ) A .{0,1,2} B .{-1,0,1,2} C .{-1,0,2,3} D .{0,1,2,3} 答案 A解析 化简集合M 得M ={x |-1<x <3,x ∈R },则M ∩N ={0,1,2}.2.设复数z 满足(1-i)z =2i ,则z =( )A .-1+iB .-1-IC .1+iD .1-i 答案 A解析 由已知得z =2i1-i =2i (1+i )(1-i )(1+i )=-1+i.3.等比数列{a n }的前n 项和为S n ,已知S 3=a 2+10a 1,a 5=9,则a 1等于( )A.13 B .-13 C.19 D .-19 答案 C解析 设等比数列{a n }的公比为q ,由S 3=a 2+10a 1得a 1+a 2+a 3=a 2+10a 1,即a 3=9a 1,q 2=9,又a 5=a 1q 4=9,所以a 1=19.4.已知m ,n 为异面直线,m ⊥平面α,n ⊥平面β.直线l 满足l ⊥m ,l ⊥n ,l ⊄α,l ⊄β,则( ) A .α∥β且l ∥α B .α⊥β且l ⊥βC .α与β相交,且交线垂直于lD .α与β相交,且交线平行于l 答案 D解析 假设α∥β,由m ⊥平面α,n ⊥平面β,则m ∥n ,这与已知m ,n 为异面直线矛盾,那么α与β相交,设交线为l 1,则l 1⊥m ,l 1⊥n ,在直线m 上任取一点作n 1平行于n ,那么l 1和l 都垂直于直线m 与n 1所确定的平面,所以l 1∥l .5.已知(1+ax )(1+x )5的展开式中x 2的系数为5,则a 等于( ) A .-4 B .-3 C .-2 D .-1 答案 D解析 (1+ax )(1+x )5中含x 2的项为:(C 25+C 15a )x 2,即C 25+C 15a =5,a =- 1.6.执行右面的程序框图,如果输入的N =10,那么输出的S =( )A .1+12+13+…+110B .1+12!+13!+…+110!C .1+12+13+…+111D .1+12!+13!+…+111!答案 B解析 k =1,T =11,S =1,k =2,T =11×2=12!,S =1+12!,k =3,T =11×2×3=13!,S =1+12!+13!,…由于N =10,即k >10时,结束循环,共执行10次.所以输出S =1+12!+13!+…+110!.7.一个四面体的顶点在空间直角坐标系O -xyz 中的坐标分别是(1,1,1),(1,1,0),(0,1,1),(0,0,0),画该四面体三视图中的正视图时,以zOx 平面为投影面,则得到正视图可以为()答案 A解析 在空间直角坐标系中,先画出四面体O -ABC 的直观图,以zOx 平面为投影面,则得到正视图,所以选A.8.设a =log 36,b =log 510,c =log 714,则( )A .c >b >aB .b >c >aC .a >c >bD .a >b >c 答案 D解析 设a =log 36=1+log 32=1+1log 23,b =log 510=1+log 52=1+1log 25,c =log 714=1+log 72=1+1log 27,显然a >b >c.(9)已知a >0,x ,y 满足约束条件()133x x y y a x ⎧≥⎪+≤⎨⎪≥-⎩,若z=2x+y 的最小值为1,则a=(A) 14 (B) 12(C)1(D)210.已知函数f (x )=x 3+ax 2+bx +c ,下列结论中错误的是( ) A .∃x 0∈R ,f (x 0)=0B .函数y =f (x )的图象是中心对称图形C .若x 0是f (x )的极小值点,则f (x )在区间(-∞,x 0)上单调递减D .若x 0是f (x )的极值点,则f ′(x 0)=0 答案 C解析 若c =0,则有f (0)=0,所以A 正确.由f (x )=x 3+ax 2+bx +c 得f (x )-c =x 3+ax 2+bx ,因为函数f (x )=x 3+ax 2+bx 的对称中心为(0,0),所以f (x )=x 3+ax 2+bx +c 的对称中心为(0,c ),所以B 正确.由三次函数的图象可知,若x 0是f (x )的极小值点,则极大值点在x 0的左侧,所以函数在区间(-∞,x 0 )单调递减是错误的,D 正确.选C.11.设抛物线C :y 2=2px (p ≥0)的焦点为F ,点M 在C 上,|MF |=5,若以MF 为直径的圆过点(0,2),则C 的方程为( ) A .y 2=4x 或y 2=8x B .y 2=2x 或y 2=8x C .y 2=4x 或y 2=16x D .y 2=2x 或y 2=16x 答案 C解析 由题意知:F ⎝⎛⎭⎫p 2,0,抛物线的准线方程为x =-p 2,则由抛物线的定义知,x M =5-p2,设以MF 为直径的圆的圆心为⎝⎛⎭⎫52,y M 2,所以圆的方程为⎝⎛⎭⎫x -522+⎝⎛⎭⎫y -y M 22=254,又因为圆过点(0,2),所以y M =4,又因为点M 在C 上,所以16=2p ⎝⎛⎭⎫5-p2,解得p =2或p =8,所以抛物线C 的方程为y 2=4x 或y 2=16x ,故选C.12.已知点A (-1,0),B (1,0),C (0,1),直线y =ax +b (a >0)将△ABC 分割为面积相等的两部分,则b 的取值范围是( )A .(0,1) B.⎝⎛⎭⎫1-22,12 C.⎝⎛⎭⎫1-22,13 D.⎣⎡⎭⎫13,12 答案 B二、填空题13.已知正方形ABCD 的边长为2,E 为CD 的中点,则AE →·BD →=________. 答案 2解析 由题意知:AE →·BD →=(AD →+DE →)·(AD →-AB →)=(AD →+12AB →)·(AD →-AB →)=AD →2-12AD →·AB →-12AB →2=4-0-2=2.14.从n 个正整数1,2,…,n 中任意取出两个不同的数,若取出的两数之和等于5的概率为114,则n=________. 答案 8解析 由题意,取出的两个数只可能是1与4,2与3这两种情况,∴在n 个数中任意取出两个不同的数的总情况应该是C 2n=n (n -1)2=2÷114=28,∴n =8.15.设θ为第二象限角,若tan ⎝⎛⎭⎫θ+π4=12,则sin θ+cos θ=________. 答案 -105解析 ∵tan ⎝⎛⎭⎫θ+π4=12,∴tan θ=-13,即{ 3sin θ=-cos θ,2θ+cos 2θ=1,解得sin θ=1010,cos θ=-31010. ∴sin θ+cos θ=-105.16.等差数列{a n }的前n 项和为S n ,已知S 10=0,S 15=25,则nS n 的最小值为________. 答案 -49解析 由题意知a 1+a 10=0,a 1+a 15=103.两式相减得a 15-a 10=103=5d ,∴d =23,a 1=-3.∴nS n =n ·⎝⎛⎭⎫na 1+n (n -1)2d =n 3-10n 23=f (n ), f ′(n )=13n (3n -20).由函数的单调性知f (6)=-48,f (7)=-49. ∴nS n 的最小值为-49.三、解答题17.△ABC 中内角A ,B ,C 的对边分别为a ,b ,c ,已知a =bcos C +c sin B . (1)求B ;(2)若b =2,求△ABC 面积的最大值. 解 (1)由已知及正弦定理得sin A =sin B cos C +sin C sin B ,① 又A =π-(B +C ),故sin A =sin(B +C )=sin B cos C +cos B sin C .② 由①,②和C ∈(0,π)得sin B =cos B .又B ∈(0,π),所以B =π4.(2)△ABC 的面积S =12ac sin B =24ac .由已知及余弦定理得4=a 2+c 2-2ac cos π4.又a 2+c 2≥2ac ,故ac ≤42-2,当且仅当a =c 时,等号成立. 因此△ABC 面积的最大值为2+1.18.如图,直三棱柱ABC -A 1B 1C 1中,D ,E 分别是AB ,BB 1的中点,AA 1=AC =CB =22AB . (1)证明:BC 1∥平面A 1CD ;(2)求二面角D -A 1C -E 的正弦值.(1)证明 连结AC 1交A 1C 于点F ,则F 为AC 1的中点. 又D 是AB 的中点,连结DF ,则BC 1∥DF . 因为DF ⊂平面A 1CD ,BC 1⊄平面A 1CD , 所以BC 1∥平面A 1CD .(2)解 由AC =CB =22AB 得,AC ⊥BC .以C 为坐标原点,CA →的方向为x 轴正方向,CB →的方向为y 轴正方向,CC 1→的方向为z 轴正方向,建立如图所示的空间直角坐标系C -xyz .设CA =2,则D (1,1,0),E (0,2,1),A 1(2,0,2), CD →=(1,1,0),CE →=(0,2,1),CA 1→=(2,0,2). 设n =(x 1,y 1,z 1)是平面A 1CD 的法向量,则{n ·CD →=0,n ·CA 1→=0,即{ x 1+y 1=0,x 1+2z 1=0.可取n =(1,-1,-1).同理,设m 是平面A 1CE 的法向量,则{m ·CE →=0,m ·CA 1→=0.可取m =(2,1,-2).从而cos 〈n ,m 〉=n ·m |n ||m |=33,故sin 〈n ,m 〉=63.即二面角D -A 1C -E 的正弦值为63.19.经销商经销某种农产品,在一个销售季度内,每售出1 t 该产品获利润500元,未售出的产品,每1 t 亏损300元.根据历史资料,得到销售季度内市场需求量的频率分布直方图,如图所示.经销商为下一个销售季度购进了130 t 该农产品.以X (单位: t,100≤X ≤150)表示下一个销售季度内的市场需求量,T (单位:元)表示下一个销售季度内经销该农产品的利润.(1)将T 表示为X 的函数;(2)根据直方图估计利润T 不少于57 000元的概率; (3)在直方图的需求量分组中,以各组的区间中点值代表该组的各个值,需求量落入该区间的频率作为需求量取该区间中点值的概率(例如:若x ∈[100,110),则取X =105,且X =105的概率等于需求量落入[100,110)的T 的数学期望.解 (1)当X ∈[100,130)时,T =500X -300(130-X )=800X -39 000. 当X ∈[130,150]时,T =500×130=65 000.所以T ={ 800X -39 000,100≤X <130,,130≤X ≤150. (2)由(1)知利润T 不少于57 000元当且仅当120≤X ≤150.由直方图知需求量X ∈[120,150]的频率为0.7,所以下一个销售季度内的利润T 不少于57 000元的概率的估计值为0.7.(3)依题意可得T 的分布列为所以E (T )=45 000×20.平面直角坐标系xOy 中,过椭圆M :x 2a 2+y 2b 2=1(a >b >0)右焦点的直线x +y -3=0交M 于A ,B 两点,P 为AB 的中点,且OP 的斜率为12.(1)求M 的方程;(2)C ,D 为M 上的两点,若四边形ACBD 的对角线CD ⊥AB ,求四边形的最大值.解 (1)设A (x 1,y 1),B (x 2,y 2),则 x 21a 2+y 21b 2=1① x 22a 2+y 22b2=1②①-②,得(x 1-x 2)(x 1+x 2)a 2+(y 1-y 2)(y 1+y 2)b 2=0.因为y 1-y 2x 1-x 2=-1,设P (x 0,y 0),因为P 为AB 的中点,且OP 的斜率为12,所以y 0=12x 0,即y 1+y 2=12(x 1+x 2).所以可以解得a 2=2b 2,即a 2=2(a 2-c 2),即a 2=2c 2, 又因为c =3,所以a 2=6,所以M 的方程为x 26+y 23=1.(2)因为CD ⊥AB ,直线AB 方程为x +y -3=0, 所以设直线CD 方程为y =x +m ,将x +y -3=0代入x 26+y 23=1得:3x 2-43x =0,即A (0,3),B ⎝⎛⎭⎫433,-33, 所以可得|AB |=463;将y =x +m 代入x 26+y 23=1得:3x 2+4mx +2m 2-6=0, 设C (x 3,y 3),D (x 4,y 4),则|CD |=2(x 3+x 4)2-4x 3x 4=22318-2m 2,又因为Δ=16m 2-12(2m 2-6)>0,即-3<m <3,所以当m =0时,|CD |取得最大值4,所以四边形ACBD 面积的最大值为12|AB |·|CD |=863.21.已知函数f (x )=e x -ln(x +m ).(1)设x =0是f (x )的极值点,求m ,并讨论f (x )的单调性; (2)当m ≤2时,证明f (x )>0.(1)解 f (x )=e x -ln(x +m )⇒f ′(x )=e x -1x +m ⇒f ′(0)=e 0-10+m=0⇒m =1,定义域为{x |x >-1},f ′(x )=e x-1x +m =e x (x +1)-1x +1,令1)1()(-+=x e x g x ,则0)2()(>+='x e x g x ,又0)0(=g显然f (x )在(-1,0]上单调递减,在[0,+∞)上单调递增.(2)证明 令g (x )=e x -ln(x +2),则g ′(x )=e x -1x +2(x >-2).h (x )=g ′(x )=e x -1x +2(x >-2)⇒h ′(x )=e x +1(x +2)2>0,所以h (x )是增函数,h (x )=0至多只有一个实数根,又g ′(-12)=1e -132<0,g ′(0)=1-12>0,所以h (x )=g ′(x )=0的唯一实根在区间⎝⎛⎭⎫-12,0内, 设g ′(x )=0的根为t ,则有g ′(t )=e t -1t +2=0⎝⎛⎭⎫-12<t <0,所以,e t =1t +2⇒t +2=e -t , 当x ∈(-2,t )时,g ′(x )<g ′(t )=0,g (x )单调递减; 当x ∈(t ,+∞)时,g ′(x )>g ′(t )=0,g (x )单调递增;所以g (x )min =g (t )=e t-ln(t +2)=1t +2+t =(1+t )2t +2>0,当m ≤2时,有ln(x +m )≤ln(x +2),所以f (x )=e x -ln(x +m )≥e x -ln(x +2)=g (x )≥g (x )min >0.22.[选修4-1]几何证明选讲如图,CD 为△ABC 外接圆的切线,AB 的延长线交直线CD 于点D ,E 、F 分别为弦AB 与弦AC 上的点,且BC ·AE =DC ·AF ,B 、E 、F 、C 四点共圆.(1)证明:CA 是△ABC 外接圆的直径;(2)若DB =BE =EA ,求过B 、E 、F 、C 四点的圆的面积与△ABC 外接圆面积的比值.(1)证明 因为CD 为△ABC 外接圆的切线,所以∠DCB =∠A ,由题设知BC F A =DCEA,故△CDB ∽△AEF ,所以∠DBC =∠EF A .因为B ,E ,F ,C 四点共圆,所以∠CFE =∠DBC , 故∠EF A =∠CFE =90°. 所以∠CBA =90°,因此CA 是△ABC 外接圆的直径.(2)解 连结CE ,因为∠CBE =90°,所以过B ,E ,F ,C 四点的圆的直径为CE , 由DB =BE ,有CE =DC , 又BC 2=DB ·BA =2DB 2, 所以CA 2=4DB 2+BC 2=6DB 2. 而DC 2=DB ·DA =3DB 2,故过B ,E ,F ,C 四点的圆的面积与△ABC外接圆面积的比值为12.23.[选修4-4]坐标系与参数方程已知动点P 、Q 都在曲线C :{ x =2cos t ,y =2sin t (t 为参数)上,对应参数分别为t =α与t =2α(0<α<2π),M 为PQ 的中点. (1)求M 的轨迹的参数方程;(2)将M 到坐标原点的距离d 表示为α的函数,并判断M 的轨迹是否过坐标原点. 解 (1)依题意有P (2cos α,2sin α),Q (2cos 2α,2sin 2α), 因此M (cos α+cos 2α,sin α+sin 2α).M 的轨迹的参数方程为{ x =cos α+cos 2α,y =sin α+sin 2α,(α为参数,0<α<2π). (2)M 点到坐标原点的距离d =x 2+y 2=2+2cos α(0<α<2π). 当α=π,d =0,故M 的轨迹过坐标原点.24.[选修4-5]不等式选讲设a 、b 、c 均为正数,且a +b +c =1,证明:(1)ab +bc +ac ≤13;(2)a 2b +b 2c +c 2a ≥1.证明 (1)由a 2+b 2≥2ab ,b 2+c 2≥2bc ,c 2+a 2≥2ac 得 a 2+b 2+c 2≥ab +bc +ca . 由题设得(a +b +c )2=1,即a 2+b 2+c 2+2ab +2bc +2ca =1.所以3(ab +bc +ca )≤1,即ab +bc +ca ≤13.(2)因为a 2b +b ≥2a ,b 2c +c ≥2b ,c2a +a ≥2c ,故a 2b +b 2c +c2a +(a +b +c )≥2(a +b +c ), 即a 2b +b 2c +c 2a ≥a +b +c .所以a 2b +b 2c +c 2a ≥1.。
2013年全国统一高考大纲版理科数学试卷及参考答案与解析一、选择题:本大题共12小题,每小题5分.在每小题给出的四个选项中,只有一项是符合题目要求的.1.(5分)设集合A={1,2,3},B={4,5},M={x|x=a+b,a∈A,b∈B},则M中元素的个数为( )A.3B.4C.5D.62.(5分)=( )A.-8B.8C.-8iD.8i3.(5分)已知向量=(λ+1,1),=(λ+2,2),若(+)⊥(-),则λ=( )A.-4B.-3C.-2D.-14.(5分)已知函数f(x)的定义域为(-1,0),则函数f(2x+1)的定义域为( )A.(-1,1)B.C.(-1,0)D.5.(5分)函数f(x)=log2(1+)(x>0)的反函数f-1(x)=( )A. B. C.2x-1(x∈R) D.2x-1(x>0)6.(5分)已知数列{an }满足3an+1+an=0,a2=-,则{an}的前10项和等于( )A.-6(1-3-10)B.C.3(1-3-10)D.3(1+3-10)7.(5分)(1+x)3(1+y)4的展开式中x2y2的系数是( )A.5B.8C.12D.188.(5分)椭圆C:的左、右顶点分别为A1、A2,点P在C上且直线PA2斜率的取值范围是[-2,-1],那么直线PA1斜率的取值范围是( )A. B. C. D.9.(5分)若函数f(x)=x2+ax+是增函数,则a的取值范围是( )A.[-1,0]B.[-1,+∞)C.[0,3]D.[3,+∞)10.(5分)已知正四棱柱ABCD-A1B1C1D1中,AA1=2AB,则CD与平面BDC1所成角的正弦值等于( )A. B. C. D.11.(5分)已知抛物线C:y2=8x的焦点为F,点M(-2,2),过点F且斜率为k的直线与C交于A,B两点,若,则k=( )A. B. C. D.212.(5分)已知函数f(x)=cosxsin2x,下列结论中不正确的是( )A.y=f(x)的图象关于(π,0)中心对称B.C.D.f(x)既是奇函数,又是周期函数二、填空题:本大题共4小题,每小题5分.13.(5分)已知α是第三象限角,sinα=-,则cotα=.14.(5分)6个人排成一行,其中甲、乙两人不相邻的不同排法共有种.(用数字作答)15.(5分)记不等式组所表示的平面区域为D.若直线y=a(x+1)与D有公共点,则a的取值范围是.16.(5分)已知圆O和圆K是球O的大圆和小圆,其公共弦长等于球O的半径,,则球O的表面积等于.三、解答题:解答应写出文字说明、证明过程或演算步骤.17.(10分)等差数列{an }的前n项和为Sn.已知S3=a22,且S1,S2,S4成等比数列,求{an}的通项式.18.(12分)设△ABC的内角A,B,C的内角对边分别为a,b,c,满足(a+b+c)(a-b+c)=ac. (Ⅰ)求B.(Ⅱ)若sinAsinC=,求C.19.(12分)如图,四棱锥P-ABCD中,∠ABC=∠BAD=90°,BC=2AD,△PAB与△PAD都是等边三角形.(Ⅰ)证明:PB⊥CD;(Ⅱ)求二面角A-PD-C的大小.20.(12分)甲、乙、丙三人进行羽毛球练习赛,其中两人比赛,另一人当裁判,每局比赛结束时,负的一方在下一局当裁判,设各局中双方获胜的概率均为,各局比赛的结果都相互独立,第1局甲当裁判.(Ⅰ)求第4局甲当裁判的概率;(Ⅱ)X表示前4局中乙当裁判的次数,求X的数学期望.21.(12分)已知双曲线C:=1(a>0,b>0)的左、右焦点分别为F1,F2,离心率为3,直线y=2与C的两个交点间的距离为.(I)求a,b;(II)设过F2的直线l与C的左、右两支分别相交于A、B两点,且|AF1|=|BF1|,证明:|AF2|、|AB|、|BF2|成等比数列.22.(12分)已知函数.(I)若x≥0时,f(x)≤0,求λ的最小值;(II)设数列{an }的通项an=1+.2013年全国统一高考数学试卷(理科)(大纲版)参考答案与试题解析一、选择题:本大题共12小题,每小题5分.在每小题给出的四个选项中,只有一项是符合题目要求的.1.(5分)设集合A={1,2,3},B={4,5},M={x|x=a+b,a∈A,b∈B},则M中元素的个数为( )A.3B.4C.5D.6【分析】利用已知条件,直接求出a+b,利用集合元素互异求出M中元素的个数即可.【解答】解:因为集合A={1,2,3},B={4,5},M={x|x=a+b,a∈A,b∈B},所以a+b的值可能为:1+4=5、1+5=6、2+4=6、2+5=7、3+4=7、3+5=8,所以M中元素只有:5,6,7,8.共4个.故选:B.【点评】本题考查集合中元素个数的最值,集合中元素的互异性的应用,考查计算能力.2.(5分)=( )A.-8B.8C.-8iD.8i【分析】复数分子、分母同乘-8,利用1的立方虚根的性质(),化简即可.【解答】解:故选:A.【点评】复数代数形式的运算,是基础题.3.(5分)已知向量=(λ+1,1),=(λ+2,2),若(+)⊥(-),则λ=( )A.-4B.-3C.-2D.-1【分析】利用向量的运算法则、向量垂直与数量积的关系即可得出.【解答】解:∵,.∴=(2λ+3,3),.∵,∴=0,∴-(2λ+3)-3=0,解得λ=-3.故选:B.【点评】熟练掌握向量的运算法则、向量垂直与数量积的关系是解题的关键.4.(5分)已知函数f(x)的定义域为(-1,0),则函数f(2x+1)的定义域为( )A.(-1,1)B.C.(-1,0)D.【分析】原函数的定义域,即为2x+1的范围,解不等式组即可得解.【解答】解:∵原函数的定义域为(-1,0),∴-1<2x+1<0,解得-1<x<-.∴则函数f(2x+1)的定义域为.故选:B.【点评】考查复合函数的定义域的求法,注意变量范围的转化,属简单题.5.(5分)函数f(x)=log2(1+)(x>0)的反函数f-1(x)=( )A. B. C.2x-1(x∈R) D.2x-1(x>0)【分析】把y看作常数,求出x:x=,x,y互换,得到y=log2(1+)的反函数.注意反函数的定义域.【解答】解:设y=log2(1+),把y看作常数,求出x:1+=2y,x=,其中y>0,x,y互换,得到y=log2(1+)的反函数:y=,故选:A.【点评】本题考查对数函数的反函数的求法,解题时要认真审题,注意对数式和指数式的相互转化.6.(5分)已知数列{an }满足3an+1+an=0,a2=-,则{an}的前10项和等于( )A.-6(1-3-10)B.C.3(1-3-10)D.3(1+3-10)【分析】由已知可知,数列{an }是以-为公比的等比数列,结合已知可求a1,然后代入等比数列的求和公式可求【解答】解:∵3an+1+an=0∴∴数列{an}是以-为公比的等比数列∵∴a1=4由等比数列的求和公式可得,S10==3(1-3-10)故选:C.【点评】本题主要考查了等比数列的通项公式及求和公式的简单应用,属于基础试题7.(5分)(1+x)3(1+y)4的展开式中x2y2的系数是( )A.5B.8C.12D.18【分析】由题意知利用二项展开式的通项公式写出展开式的通项,令x的指数为2,写出出展开式中x2的系数,第二个因式y2的系数,即可得到结果.【解答】解:(x+1)3的展开式的通项为Tr+1=C3r x r令r=2得到展开式中x2的系数是C32=3,(1+y)4的展开式的通项为Tr+1=C4r y r令r=2得到展开式中y2的系数是C42=6,(1+x)3(1+y)4的展开式中x2y2的系数是:3×6=18,故选:D.【点评】本题考查利用二项展开式的通项公式解决二项展开式的特定项问题,本题解题的关键是写出二项式的展开式,所有的这类问题都是利用通项来解决的.8.(5分)椭圆C:的左、右顶点分别为A1、A2,点P在C上且直线PA2斜率的取值范围是[-2,-1],那么直线PA1斜率的取值范围是( )A. B. C. D.【分析】由椭圆C:可知其左顶点A1(-2,0),右顶点A2(2,0).设P(x,y)(x≠±2),代入椭圆方程可得.利用斜率计算公式可得,再利用已知给出的的范围即可解出.【解答】解:由椭圆C:可知其左顶点A1(-2,0),右顶点A2(2,0).设P(x0,y)(x≠±2),则,得.∵=,=,∴==,∵,∴,解得.故选:B.【点评】熟练掌握椭圆的标准方程及其性质、斜率的计算公式、不等式的性质等是解题的关键.9.(5分)若函数f(x)=x2+ax+是增函数,则a的取值范围是( )A.[-1,0]B.[-1,+∞)C.[0,3]D.[3,+∞)【分析】由函数在(,+∞)上是增函数,可得≥0在(,+∞)上恒成立,进而可转化为a≥-2x在(,+∞)上恒成立,构造函数求出-2x在(,+∞)上的最值,可得a的取值范围.【解答】解:∵在(,+∞)上是增函数,故≥0在(,+∞)上恒成立,即a≥-2x在(,+∞)上恒成立,令h(x)=-2x,则h′(x)=--2,当x∈(,+∞)时,h′(x)<0,则h(x)为减函数.∴h(x)<h()=3∴a≥3.故选:D.【点评】本题考查的知识点是利用导数研究函数的单调性,恒成立问题,是导数的综合应用,难度中档.10.(5分)已知正四棱柱ABCD-A1B1C1D1中,AA1=2AB,则CD与平面BDC1所成角的正弦值等于( )A. B. C. D.【分析】设AB=1,则AA1=2,分别以的方向为x轴、y轴、z轴的正方向建立空间直角坐标系,设=(x,y,z)为平面BDC1的一个法向量,CD与平面BDC1所成角为θ,则sinθ=||,在空间坐标系下求出向量坐标,代入计算即可.【解答】解:设AB=1,则AA1=2,分别以的方向为x轴、y轴、z轴的正方向建立空间直角坐标系,如下图所示:则D(0,0,2),C1(1,0,0),B(1,1,2),C(1,0,2),=(1,1,0),=(1,0,-2),=(1,0,0),设=(x,y,z)为平面BDC1的一个法向量,则,即,取=(2,-2,1),设CD与平面BDC1所成角为θ,则sinθ=||=,故选:A.【点评】本题考查直线与平面所成的角,考查空间向量的运算及应用,准确理解线面角与直线方向向量、平面法向量夹角关系是解决问题的关键.11.(5分)已知抛物线C:y2=8x的焦点为F,点M(-2,2),过点F且斜率为k的直线与C交于A,B两点,若,则k=( )A. B. C. D.2【分析】斜率k存在,设直线AB为y=k(x-2),代入抛物线方程,利用=(x1+2,y1-2)•(x2+2,y2-2)=0,即可求出k的值.【解答】解:由抛物线C:y2=8x得焦点(2,0),由题意可知:斜率k存在,设直线AB为y=k(x-2), 代入抛物线方程,得到k2x2-(4k2+8)x+4k2=0,△>0,设A(x1,y1),B(x2,y2).∴x1+x2=4+,x1x2=4.∴y1+y2=,y1y2=-16,又=0,∴=(x1+2,y1-2)•(x2+2,y2-2)==0∴k=2.故选:D.【点评】本题考查直线与抛物线的位置关系,考查向量的数量积公式,考查学生的计算能力,属于中档题.12.(5分)已知函数f(x)=cosxsin2x,下列结论中不正确的是( )A.y=f(x)的图象关于(π,0)中心对称B.C.D.f(x)既是奇函数,又是周期函数【分析】根据函数图象关于某点中心对称或关于某条直线对称的公式,对A、B两项加以验证,可得它们都正确.根据二倍角的正弦公式和同角三角函数的关系化简,得f(x)=2sinx(1-sin2x),再换元:令t=sinx,得到关于t的三次函数,利用导数研究此函数的单调性可得f(x)的最大值为,故C不正确;根据函数周期性和奇偶性的定义加以验证,可得D项正确.由此可得本题的答案.【解答】解:对于A,因为f(π+x)=cos(π+x)sin(2π+2x)=-cosxsin2x,f(π-x)=cos(π-x)sin(2π-2x)=cosxsin2x,所以f(π+x)+f(π-x)=0,可得y=f(x)的图象关于(π,0)中心对称,故A正确;对于B,因为f(+x)=cos(+x)sin(π+2x)=-sinx(-sin2x)=sinxsin2x,f(-x)=cos(-x)sin(π-2x)=sinxsin2x,所以f(+x)=f(-x),可得y=f(x)的图象关于直线x=对称,故B正确;对于C,化简得f(x)=cosxsin2x=2cos2xsinx=2sinx(1-sin2x),令t=sinx,f(x)=g(t)=2t(1-t2),-1≤t≤1,∵g(t)=2t(1-t2)的导数g'(t)=2-6t2=2(1+t)(1-t)∴当t∈(-1,-)时或t∈(,1)时g'(t)<0,函数g(t)为减函数;当t∈(-,)时g'(t)>0,函数g(t)为增函数.因此函数g(t)的最大值为t=-1时或t=时的函数值,结合g(-1)=0<g()=,可得g(t)的最大值为.由此可得f(x)的最大值为而不是,故C不正确;对于D,因为f(-x)=cos(-x)sin(-2x)=-cosxsin2x=-f(x),所以f(x)是奇函数.因为f(2π+x)=cos(2π+x)sin(4π+2x)=cosxsin2x=f(x),所以2π为函数的一个周期,得f(x)为周期函数.可得f(x)既是奇函数,又是周期函数,得D正确.综上所述,只有C项不正确.故选:C.【点评】本题给出三角函数式,研究函数的奇偶性、单调性和周期性.着重考查了三角恒等变换公式、利用导数研究函数的单调性和函数图象的对称性等知识,属于中档题.二、填空题:本大题共4小题,每小题5分.13.(5分)已知α是第三象限角,sinα=-,则cotα=2.【分析】根据α是第三象限的角,得到cosα小于0,然后由sinα的值,利用同角三角函数间的基本关系求出cosα的值,进而求出cotα的值.【解答】解:由α是第三象限的角,得到cosα<0,又sinα=-,所以cosα=-=-则cotα==2故答案为:2【点评】此题考查学生灵活运用同角三角函数间的基本关系化简求值,是一道基础题.学生做题时注意α的范围.14.(5分)6个人排成一行,其中甲、乙两人不相邻的不同排法共有480 种.(用数字作答) 【分析】排列好甲、乙两人外的4人,然后把甲、乙两人插入4个人的5个空位中即可. 【解答】解:6个人排成一行,其中甲、乙两人不相邻的不同排法:排列好甲、乙两人外的4人,有中方法,然后把甲、乙两人插入4个人的5个空位,有种方法,所以共有:=480.故答案为:480.【点评】本题考查了乘法原理,以及排列的简单应用,插空法解答不相邻问题.15.(5分)记不等式组所表示的平面区域为D.若直线y=a(x+1)与D有公共点,则a 的取值范围是[,4] .【分析】本题考查的知识点是简单线性规划的应用,我们要先画出满足约束条件的平面区域,然后分析平面区域里各个角点,然后将其代入y=a(x+1)中,求出y=a(x+1)对应的a的端点值即可.【解答】解:满足约束条件的平面区域如图示:因为y=a(x+1)过定点(-1,0).所以当y=a(x+1)过点B(0,4)时,得到a=4,当y=a(x+1)过点A(1,1)时,对应a=.又因为直线y=a(x+1)与平面区域D有公共点.所以≤a≤4.故答案为:[,4]【点评】在解决线性规划的小题时,我们常用“角点法”,其步骤为:①由约束条件画出可行域⇒②求出可行域各个角点的坐标⇒③将坐标逐一代入目标函数⇒④验证,求出最优解.16.(5分)已知圆O和圆K是球O的大圆和小圆,其公共弦长等于球O的半径,,则球O的表面积等于16π.【分析】正确作出图形,利用勾股定理,建立方程,即可求得结论.【解答】解:如图所示,设球O的半径为r,AB是公共弦,∠OCK是面面角根据题意得OC=,CK=在△OCK中,OC2=OK2+CK2,即∴r2=4∴球O的表面积等于4πr2=16π故答案为16π【点评】本题考查球的表面积,考查学生分析解决问题的能力,属于中档题.三、解答题:解答应写出文字说明、证明过程或演算步骤.17.(10分)等差数列{an }的前n项和为Sn.已知S3=a22,且S1,S2,S4成等比数列,求{an}的通项式.【分析】由,结合等差数列的求和公式可求a2,然后由,结合等差数列的求和公式进而可求公差d,即可求解通项公式【解答】解:设数列的公差为d由得,3∴a2=0或a2=3由题意可得,∴若a2=0,则可得d2=-2d2即d=0不符合题意若a2=3,则可得(6-d)2=(3-d)(12+2d)解可得d=0或d=2∴an =3或an=2n-1【点评】本题主要考查了等差数列的通项公式及求和公式的应用,等比数列的性质的简单应用,属于基础试题18.(12分)设△ABC的内角A,B,C的内角对边分别为a,b,c,满足(a+b+c)(a-b+c)=ac. (Ⅰ)求B.(Ⅱ)若sinAsinC=,求C.【分析】(I)已知等式左边利用多项式乘多项式法则计算,整理后得到关系式,利用余弦定理表示出cosB,将关系式代入求出cosB的值,由B为三角形的内角,利用特殊角的三角函数值即可求出B的度数;(II)由(I)得到A+C的度数,利用两角和与差的余弦函数公式化简cos(A-C),变形后将cos(A +C)及2sinAsinC的值代入求出cos(A-C)的值,利用特殊角的三角函数值求出A-C的值,与A+C的值联立即可求出C的度数.【解答】解:(I)∵(a+b+c)(a-b+c)=(a+c)2-b2=ac,∴a2+c2-b2=-ac,∴cosB==-,又B为三角形的内角,则B=120°;(II)由(I)得:A+C=60°,∵sinAsinC=,cos(A+C)=,∴cos(A-C)=cosAcosC+sinAsinC=cosAcosC-sinAsinC+2sinAsinC=cos(A+C)+2sinAsinC=+2×=,∴A-C=30°或A-C=-30°,则C=15°或C=45°.【点评】此题考查了余弦定理,两角和与差的余弦函数公式,以及特殊角的三角函数值,熟练掌握余弦定理是解本题的关键.19.(12分)如图,四棱锥P-ABCD中,∠ABC=∠BAD=90°,BC=2AD,△PAB与△PAD都是等边三角形.(Ⅰ)证明:PB⊥CD;(Ⅱ)求二面角A-PD-C的大小.【分析】(I)取BC的中点E,连接DE,过点P作PO⊥平面ABCD于O,连接OA、OB、OD、OE.可证出四边形ABED是正方形,且O为正方形ABED的中心.因此OE⊥OB,结合三垂线定理,证出OE ⊥PB,而OE是△BCD的中位线,可得OE∥CD,因此PB⊥CD;(II)由(I)的结论,证出CD⊥平面PBD,从而得到CD⊥PD.取PD的中点F,PC的中点G,连接FG,可得FG∥CD,所以FG⊥PD.连接AF,可得AF⊥PD,因此∠AFG为二面角A-PD-C的平面角,连接AG、EG,则EG∥PB,可得EG⊥OE.设AB=2,可求出AE、EG、AG、AF和FG的长,最后在△AFG中利用余弦定理,算出∠AFG=π-arccos,即得二面角A-PD-C的平面角大小.【解答】解:(I)取BC的中点E,连接DE,可得四边形ABED是正方形过点P作PO⊥平面ABCD,垂足为O,连接OA、OB、OD、OE∵△PAB与△PAD都是等边三角形,∴PA=PB=PD,可得OA=OB=OD因此,O是正方形ABED的对角线的交点,可得OE⊥OB∵PO⊥平面ABCD,得直线OB是直线PB在内的射影,∴OE⊥PB∵△BCD中,E、O分别为BC、BD的中点,∴OE∥CD,可得PB⊥CD;(II)由(I)知CD⊥PO,CD⊥PB∵PO、PB是平面PBD内的相交直线,∴CD⊥平面PBD∵PD⊂平面PBD,∴CD⊥PD取PD的中点F,PC的中点G,连接FG,则FG为△PCD有中位线,∴FG∥CD,可得FG⊥PD连接AF,由△PAD是等边三角形可得AF⊥PD,∴∠AFG为二面角A-PD-C的平面角连接AG、EG,则EG∥PB∵PB⊥OE,∴EG⊥OE,设AB=2,则AE=2,EG=PB=1,故AG==3在△AFG中,FG=CD=,AF=,AG=3∴cos∠AFG==-,得∠AFG=π-arccos,即二面角A-PD-C的平面角大小是π-arccos.【点评】本题给出特殊的四棱锥,求证直线与直线垂直并求二面角平面角的大小,着重考查了线面垂直的判定与性质、三垂线定理和运用余弦定理求二面的大小等知识,属于中档题.20.(12分)甲、乙、丙三人进行羽毛球练习赛,其中两人比赛,另一人当裁判,每局比赛结束时,负的一方在下一局当裁判,设各局中双方获胜的概率均为,各局比赛的结果都相互独立,第1局甲当裁判.(Ⅰ)求第4局甲当裁判的概率;(Ⅱ)X表示前4局中乙当裁判的次数,求X的数学期望.【分析】(I)令A1表示第2局结果为甲获胜,A2表示第3局甲参加比赛时,结果为甲负,A表示第4局甲当裁判,分析其可能情况,每局比赛的结果相互独立且互斥,利用独立事件、互斥事件的概率求解即可.(II)X的所有可能值为0,1,2.分别求出X取每一个值的概率,列出分布列后求出期望值即可.【解答】解:(I)令A1表示第2局结果为甲获胜.A2表示第3局甲参加比赛时,结果为甲负.A表示第4局甲当裁判.则A=A1•A2,P(A)=P(A1•A2)=P(A1)P(A2)=;(Ⅱ)X的所有可能值为0,1,2.令A3表示第3局乙和丙比赛时,结果为乙胜.B 1表示第1局结果为乙获胜,B2表示第2局乙和甲比赛时,结果为乙胜,B3表示第3局乙参加比赛时,结果为乙负,则P(X=0)=P(B1B2)=P(B1)P(B2)P()=.P(X=2)=P(B3)=P()P(B3)=.P(X=1)=1-P(X=0)-P(X=2)=.从而EX=0×+1×+2×=.【点评】本题考查互斥、独立事件的概率,离散型随机变量的分布列和期望等知识,同时考查利用概率知识解决问题的能力.21.(12分)已知双曲线C:=1(a>0,b>0)的左、右焦点分别为F1,F2,离心率为3,直线y=2与C的两个交点间的距离为.(I)求a,b;(II)设过F2的直线l与C的左、右两支分别相交于A、B两点,且|AF1|=|BF1|,证明:|AF2|、|AB|、|BF2|成等比数列.【分析】(I)由题设,可由离心率为3得到参数a,b的关系,将双曲线的方程用参数a表示出来,再由直线建立方程求出参数a即可得到双曲线的方程;(II)由(I)的方程求出两焦点坐标,设出直线l的方程设A(x1,y1),B(x2,y2),将其与双曲线C的方程联立,得出x1+x2=,,再利用|AF1|=|BF1|建立关于A,B坐标的方程,得出两点横坐标的关系,由此方程求出k的值,得出直线的方程,从而可求得:|AF2|、|AB|、|BF2|,再利用等比数列的性质进行判断即可证明出结论.【解答】解:(I)由题设知=3,即=9,故b2=8a2所以C的方程为8x2-y2=8a2将y=2代入上式,并求得x=±,由题设知,2=,解得a2=1所以a=1,b=2(II)由(I)知,F 1(-3,0),F 2(3,0),C 的方程为8x 2-y 2=8 ① 由题意,可设l 的方程为y =k(x -3),|k|<2代入①并化简得(k 2-8)x 2-6k 2x +9k 2+8=0设A(x 1,y 1),B(x 2,y 2),则x 1≤-1,x 2≥1,x 1+x 2=,,于是 |AF 1|==-(3x 1+1), |BF 1|==3x 2+1, |AF 1|=|BF 1|得-(3x 1+1)=3x 2+1,即故=,解得,从而=- 由于|AF 2|==1-3x 1,|BF 2|==3x 2-1,故|AB|=|AF 2|-|BF 2|=2-3(x 1+x 2)=4,|AF 2||BF 2|=3(x 1+x 2)-9x 1x 2-1=16 因而|AF 2||BF 2|=|AB|2,所以|AF 2|、|AB|、|BF 2|成等比数列 【点评】本题考查直线与圆锥曲线的综合关系,考查了运算能力,题设条件的转化能力,方程的思想运用,此类题综合性强,但解答过程有其固有规律,一般需要把直线与曲线联立利用根系关系,解答中要注意提炼此类题解答过程中的共性,给以后解答此类题提供借鉴.22.(12分)已知函数.(I)若x ≥0时,f(x)≤0,求λ的最小值;(II)设数列{a n }的通项a n =1+.【分析】(I)由于已知函数的最大值是0,故可先求出函数的导数,研究其单调性,确定出函数的最大值,利用最大值小于等于0求出参数λ的取值范围,即可求得其最小值; (II)根据(I)的证明,可取λ=,由于x >0时,f(x)<0得出,考察发现,若取x =,则可得出,以此为依据,利用放缩法,即可得到结论【解答】解:(I)由已知,f(0)=0,f′(x)==,∴f′(0)=0欲使x ≥0时,f(x)≤0恒成立,则f(x)在(0,+∞)上必为减函数,即在(0,+∞)上f′(x)<0恒成立,当λ≤0时,f′(x)>0在(0,+∞)上恒成立,为增函数,故不合题意,若0<λ<时,由f′(x)>0解得x<,则当0<x<,f′(x)>0,所以当0<x<时,f(x)>0,此时不合题意,若λ≥,则当x>0时,f′(x)<0恒成立,此时f(x)在(0,+∞)上必为减函数,所以当x>0时,f(x)<0恒成立,综上,符合题意的λ的取值范围是λ≥,即λ的最小值为( II)令λ=,由(I)知,当x>0时,f(x)<0,即取x=,则于是a2n -an+=++…++====>=ln2n-lnn=ln2所以【点评】本题考查了数列中证明不等式的方法及导数求最值的普通方法,解题的关键是充分利用已有的结论再结合放缩法,本题考查了推理判断的能力及转化化归的思想,有一定的难度。
2013年普通高等学校招生全国统一考试(全国卷大纲版)理科数学一、选择题:本大题共12小题,每小题5分.在每小题给出的四个选项中,只有一项是符合题目要求的.1.(2013大纲全国,理1)设集合,,,则M 中元素的个数为( )A .3B .4C .5D .62. (2013大纲全国,理2)=( )A .-8B .8C .D .3. (2013大纲全国,理3)已知向量,,若,则=( )A .-4B .-3C .-2D .-14. (2013大纲全国,理4)已知函数f(x)的定义域为,则函数的定义域( ) A . B . C . D .5. (2013大纲全国,理5)函数(x>0)的反函数=( )A .B .C .D . 6. (2013大纲全国,理6)已知数列满足,,则的前10项和等于( ) A . B . C . D .7. (2013大纲全国,理7)的展开式中的系数是( )A .56B .84C .112D .1688. (2013大纲全国,理8)椭圆C :的左右顶点分别为,点P 在C 上且直线斜率的取值范围是,那么直线斜率的取值范围是( ) A . B . C . D . 9. (2013大纲全国,理9)若函数在是增函数,则a 的取值范围是( ) ={1,2,3}A B={45},={x|x=a+b,a A,b B}M ∈∈3(1)+8i -8i (1,1)m λ=+u r (2,2)n λ=+r ()()m n m n +⊥-u r r u r rλ(1,0)-(21)f x +(1,1)-1(1,)2--(1,0)-1(,1)221()log (1)f x x=+1()f x -1(0)21x x >-1(0)21xx ≠-21()x x R -∈21(0)x x ->{}n a 130n n a a ++=243a =-{}n a 106(13)---101(13)9-103(13)--103(13)-+84(1)(1)x y ++22x y 22143x y +=12,A A 2PA [2,1]--1PA 13[,]2433[,]841[,1]23[,1]421()f x x ax x =++1(,)2+∞A .B .C .D .10. (2013大纲全国,理10)已知正四棱柱中,,则CD 与平面所成角的正弦值等于( ) A .B .C .D .11.已知抛物线C :与点M (-2,2),过C 的焦点且斜率为k 的直线与C 交于A ,B 两点,若,则k=( )A .B .C .D .212. (2013大纲全国,理12)已知函数,下列结论中错误的是( ) A .的图像关于点中心对称 B .的图像关于直线对称C .的最大值为D .既是奇函数,又是周期函数 二、填空题:本大题共4小题,每小题5分.13.已知是第三象限角,,则14. 6个人排成一行,其中甲、乙两人不相邻的不同排法共有 种.(用数字作答)15.记不等式组,所表示的平面区域为D.若直线与D 有公共点,则a 的取值范围是16.已知圆O 和圆K 是球O 的大圆和小圆,其公共弦长等于球O 的半径,,且圆O 与圆K 所在的平面所成的一个二面角为,则球O 的表面积等于 三、解答题:解答应写出文字说明,证明过程或演算步骤. 17.(2013大纲全国,理17)(本小题满分10分)等差数列的前n 项和为.已知,且成等比数列,求的通项公式.[1,0]-[1,)-+∞[0,3][3,)+∞1111ABCD A B C D -12AA AB =1BDC 23321328y x =0MA MB •=u u u r u u u r12222()cos sin 2f x x x =()y f x =(,0)π()y f x =2x π=()f x 3()f x α1sin 3α=-cot α=03434x x y x y ≥⎧⎪+≥⎨⎪+≤⎩(1)y a x =+32OK =060{}n a n S 232S a =124,,S S S {}n a18. (2013大纲全国,理18)(本小题满分12分)设的内角A 、B 、C 的对边分别为a 、b 、c ,. (Ⅰ)求B ; (Ⅱ)若,求C. 19. (2013大纲全国,理19)(本小题满分12分)如图,四棱锥P-ABCD 中,,,和都是等边三角形.(Ⅰ)证明:; (Ⅱ)求二面角A-PD-C 的大小.20. (2013大纲全国,理20)(本小题满分12分)甲、乙、丙三人进行羽毛球练习赛,其中两人比赛,另一人当裁判,每局比赛结束时,负的一方在下一局当裁判.设各局中双方获胜的概率均为,各局比赛的结束相互独立,第1局甲当裁判. (Ⅰ)求第4局甲当裁判的概率;(Ⅱ)X 表示前4局中乙当裁判的次数,求X 的数学期望. 21. (2013大纲全国,理21)(本小题满分12分)已知双曲线C :(a>0,b>0)的左、右焦点分别为、,离心率为3,直线y=2与C 的两个交点间的距离为. (Ⅰ)求a,b ;(Ⅱ)设过的直线l 与C 的左、右两支分别交于A 、B 两点,且,证明:、、成等比数列.22. (2013大纲全国,理22)(本小题满分12分) 已知函数.(Ⅰ)若时,,求的最小值; (Ⅱ)设数列的通项,证明:.ABC ∆()()a b c a b c ac ++-+=31sin sin 4A C -=090ABC BAD ∠=∠=2BC AD =PAB∆PAD ∆PB CD ⊥1222221x y a b-=1F 2F 62F 11||||AF BF =2||AF ||AB 2||BF (1)()ln(1)1x x f x x xλ+=+-+0x ≥()0f x ≤λ{}n a 111123n a n =++++L 21ln 24n n a a n-+>参考答案一.二、填空题13. 14.480 15. 16. 三、解答题17. 设的公差为d.由得,故或. 由,,成等比数列得. 又,,, 故.若,则,,,所以,此时,不合题意;若,则,解得或.因此的通项公式为,,或.18. (Ⅰ),,因为,所以.由余弦定理得, 因此.(Ⅱ)由(Ⅰ)知,,,所以1[,4]216π{}n a 232S a =2223a a =20a =23a =124,,S S S 2214=S S S 12S a d =-222S a d =-4242S a d =+2222(2)()(42)a d a d a d -=-+20a =222d d =-0d =0n S =23a =2(6)(3)(122)d d d -=-+0d =2d ={}n a 3n a =21n a n =-()()a b c a b c ac ++-+=222a c b ac +-=-2221cos 22a cb B ac +-==-0120B =060A C +=故或, 因此或.19. (Ⅰ)证明:取BC 的中点E ,,,连结DE ,则ABED 为正方形. 过P 作PO ⊥平面ABCD ,垂足为O. 连结OA ,OB,OD,OE.由和都是等边三角形知PA=PB=PD , 所以OA=OB=OD ,,,即点O 为正方形ABED 对角线的交点, 故,从而.因为O是BD 的中点,,,E 是BC 的中点,所以OE//CD.因此. (Ⅱ)解法一:由(Ⅰ)知,,. 故平面PBD.又平面PBD ,,,所以. 取PD 的中点F ,PC 的中点G ,连结FG , 则FG//CD ,FG//PD.连结AF ,由为等边三角形可得AF ⊥PD.所以,,为二面角A-PD-C 的平面角. ……8分 连结AG ,EG ,则EG//PB. 又PB ⊥AE ,所以EG ⊥AE. 设AB=2,则, cos()cos cos sin sin A C A C A C -=+cos cos sin sin 2sin sin A C A C A C =-+cos()2sin sin A C A C =++122=+2=030A C -=030A C -=-015C =045C =PAB ∆PAD ∆OE BD ⊥PB OE ⊥PB CD ⊥CD PB ⊥CD PO ⊥PB PO P =I CD ⊥PD ⊂CD PD ⊥APD ∆AFG ∠AE =112EG PB ==故.在中,,, 所以.因此二面角A-PD-C 的大小为. 解法二:由(Ⅰ)知,OE,OB,OP 两两垂直.以O 为坐标原点,,,的方向为x 轴的正方向建立如图所示的空间直角坐标系O-xyz.设,则,,,.,. ,.设平面PCD 的法向量为,则 , ,可得,.取,得,,,故. 设平面PAD 的法向量为,则 , ,可得.取m=1,得,故.3AG ==AFG∆12FGCD ==AF =3AG =222cos2FG AF AG AFGFG AF +-∠==⨯⨯π-OE uuu r||2AB =u u ur(A (0,D CP PC =u u ur (0,PD =u u u rAP =u u u r AD =u u u r1(,,)n x y z =u r1(,,)0n PC x y z •=•=u r u u ur1(,,)(0,0n PD x y z •=•=u r u u u r20x y z --=0y z +=1y =-0,1x z ==1(0,1,1)n =-u r2(,,)n m p q =u u r2(,,)n AP m p q •=•u u r u u u r2(,,)n AD m p q •=•u u r u u u r0,0m p m p +=-=1,1p q ==-2(1,1,1)n =-u u r于是.由于,,等于二面角A-PD-C 的平面角,所以二面角A-PD-C 的大小为. 20. (Ⅰ)记表示事件,,“第2局结果为甲胜”, 表示事件“第3局甲参加比赛时,结果为甲负”, A 表示事件“第4局甲当裁判”.则.. (Ⅱ)X 的可能取值为0,1,2.记表示事件“第3局乙和丙比赛时,,,结果为乙胜丙”,表示事件“第1局结果为乙胜丙”,表示事件“第2局乙和甲比赛时,,,结果为乙胜甲”,表示事件“第3局乙参加比赛时,结果为乙负”.则 ,,.21.(Ⅰ)由题设知,,,即,故. 所以C 的方程为.将y=2代入上式,求得121212cos ,=-3||||n n n n n n •<>=u r u u ru r u u r u r u u r 12,n n <>u r u u rarccos3π-1A 2A 12=A A A •12121()=P()()()4P A A A P A P A •==3A 1B 2B 3B 1231231(0)()()()()8P X P B B A P B P B P A ==••==13131(2)()()=4P X P B B P B P B ==•=()115(1)1-(0)(2)1848P X P X P X ===-==--=9()0(0)1(=1)+2(2)8E X P X P X P X =•=+••==3c a=2229a b a +=228b a =22288x y a -=x =由题设知,. 所以(Ⅱ)由(Ⅰ)知,,,C 的方程为. ①由题意可设的方程为,,,,代入①并化简得.设,,则,,,.于是,由得,,,即.故,解得,,,从而. 由于,.故,.因而,,,所以、、成等比数列.22. (Ⅰ)由已知,,,,. 若,则当时,,所以. 若,则当时,,,,所以当时,.=21a =1,a b ==1(3,0)F -2(3,0)F2288xy -=l (3)y k x =-||k <2222(8)6980k x k x k --++=11(,)A x y 22(,)B x y 11x ≤-21x ≥212268k x x k +=-2122988k x x k +•=-11||(31)AF x ===-+12||31BF x ===+11||||AF BF=12(31)31x x -+=+1223x x +=-226283k k =--245k =12199x x •=-21||13AF x ===-22||31BF x ===-2212||||||23()4AB AF BF x x =-=-+=221212||||3()9-116AF BF x x x x •=+-=222|||||AB|AF BF •=2||AF ||AB 2||BF (0)0f =2'2(12)()(1)x x f x x λλ--=+'(0)0f =12λ<02(12)x λ<<-'()0f x >()0f x >12λ≥0x >'()0f x <0x >()0f x <综上,的最小值是. (Ⅱ)证明:令.由(Ⅰ)知,,,当时,, 即.取,则. 于是 . 所以. 考试高分秘诀是什么?试试这四个方法,特别是中考和高考生谁都想在考试中取得优异的成绩,但要想取得优异的成绩,除了要掌握好相关的知识定理和方法技巧之外,更要学会一些考试技巧。
1952013年普通高等学校招生全国统一考试理科数学(大纲卷)参考答案 第Ⅰ卷(选择题 60分)一、选择题(共60分) 1-12 BABBA CDBDA DC第Ⅱ卷(非选择题 90分)二、填空题(共20分)13..480 15.1[,4]216.16π 三、解答题17.(本小题满分10分)解:(Ⅰ)等差数列{}n a 的公差为d . 由232=S a 得21232+=a a a a +,即2223a a =,20a =,或23a =.由124,,S S S 成等比数列得2214S S S =. ∵1122242,2,42S a a d S a d S a d ==-=-=+, ∴()()()2222242a d a d a d -=-+,即222d a d =,0d =或223d a =. 当20a =时,0d =,从而0n S =,不符合题意;当23a =量,0d =或2d =.∴{}n a 的通项式为3n a =或21n a n =-. 18.(本小题满分12分) 解:(Ⅰ)∵()()a b c a b c ac ++-+=,∴222a cb ac +-=-. 由余弦定理得,2221cos 22a c b B ac +-==-,∴0120B =.(Ⅱ)由(Ⅰ)知060A C +=,∴cos()cos cos sin sin A C A C A C -=+ cos cos sin sin 2sin sin A C A C A C =-+cos()2sin sin A C A C=++122=+= ∴030A C -=或030A C -=-, ∴015C =或045C =.19.解:(Ⅰ)证明:取BC 的中点E ,连结DE ,则ABED 为正方形.过P 作OP ⊥平面ABCD ,垂足为O .连接,,,OA OB OD OE .由PAB ∆和PAD ∆都是等边三角形知PA PB PD ==,∴OA OB OD ==,即点O 为正方形ABED 对角线的交点,∴OE BD ⊥,从而PB OE ⊥. ∵O 是BD 的中点,E 是BC 的中点,∴OE //CD .∴PB CD ⊥. (Ⅱ)由(Ⅰ)知,PB CD ⊥,OP CD ⊥,PB OP P = , ∴CD ⊥平面PBD .∵PD ⊂平面PBD ,∴CD PD ⊥. 由知取PD 的中点F ,PC 中点G ,连接GF ,则GF //CD ,GF PD ⊥.连接AF ,由PAD ∆都是等边三角形知AF PD ⊥.∴AFG α∠=是二面角A PD C --的平面图角.连接,AG EG ,则EG //PB . 又PB AE ⊥,∴EG AE ⊥. 设2AB =,则112AE EG PB ===,3AG =.∴在AFG ∆中,12FG CD AF ===3AG =.∴222cos 23FG AF AG FG AF α+-==- ,二面角A PD C --的大小为196π-. 注:(Ⅱ)第小题可以用坐标方法求解. 20.(本小题满分12分) 解:(Ⅰ)记1A 表示事件“第2局结果为甲胜”,2A 表示事件“第3局甲参加比赛时,结果为甲负”,A 表示事件“第4局甲当裁判”.则12=A A A ⋅.12121()=P()()()4P A A A P A P A ⋅==. (Ⅱ)由条件知X 的可能取值为0,1,2. 3A 表示事件“第3局乙和丙比赛时,结果为乙胜”,记1B 表示事件“第1局结果为乙胜”,2B 表示事件“第2局乙和甲比赛时,结果为乙胜”,3B 表示事件“第3局乙参加比赛时,结果为乙负”. 则123(0)()P x P B B A ==⋅⋅1231()()()8P B P B P A =⋅⋅=,13(2)()P X P B B ==⋅131()()4P B P B ==,∴5(1)1(0)(2)8P X P X P X ==-=-==. ∴1519()0128848E X =⨯+⨯+⨯=. 21.(本小题满分12分) 解: (Ⅰ)由题设知3ca=,即 2229a b a+=,∴228b a =, ∴C 的方程为22288x y a -=.将2y =代入上式,求得,x =由题设知,=,解得,21a =.∴1,a b ==(Ⅱ)由(Ⅰ)知,1(3,0)F -,2(3,0)F ,C 的方程为2288x y -=. ①由题意可设l 的方程为(3)y k x =-,||k <,代入①并化简得2222(8)6980k x k x k --++=. ② 设11(,)A x y ,22(,)B x y ,则12,x x 是方程的两个根,且11x ≤-,21x ≥,212268k x x k +=-, 2122988k x x k +∙=-.∴1||AF =1(31)x ==-+,1||BF =231x ==+由11||||AF BF =得,12(31)31x x -+=+,即1223x x +=-. ∴226283k k =--,解得245k =,从而 12199x x ∙=-.由于2||AF =113x ==-,2||BF =231x ==-,∴2212||||||23()4AB AF BF x x =-=-+=,221212||||3()9-116AF BF x x x x ∙=+-=.∴222|||||AB|AF BF ∙=, ∴22AF AB BF ,,成等比数列. 22.(本小题满分12分)197解:(Ⅰ)由已知条件得22(12)(0)0,(),(0)0(1)x x f f x f x λλ--''===+.若12λ<,则当02(12)x λ<<-时,()0f x '>,∴()0f x >.若12λ≥,则当0x >时,()0f x '<,∴当0x >时,()0f x <.综上可得:λ的最小值为12.(Ⅱ)令1x k =12λ=由(Ⅰ)得当0x >时,()0f x <,即 ()()2ln 122x x x x+>++.取1x k =,则()21ln 1ln 2(1)k k k k k +>+-+. ∴214n n a a n -+11111224n n n n ⎛⎫=++⋅⋅⋅++ ⎪++⎝⎭111122(1)2(1)2(2)n n n n ⎛⎫⎛⎫=+++ ⎪ ⎪+++⎝⎭⎝⎭112(21)2(2)n n ⎛⎫+++⎪-⎝⎭21232(1)2(1)(2)n n n n n n ++=++++ 412(21)(2)n n n -++-()()ln(1)ln ln(2)ln(1)n n n n >+-++-+ ()ln(2)ln(21)n n ++--ln(2)ln n n =- ln 2=.∴21ln 24n n a a n-+>.2013年普通高等学校招生全国统一考试 理科数学理科数学(新课标I 卷)参考答案第Ⅰ卷(选择题 60分)一、选择题(共60分)1-12 BDCCA ACABD DB第Ⅱ卷(非选择题 90分)二填空题(共20分) 13.2 14.1(2)n --15. 16.16 三、解答题 17.(本小题满分12分)解:(Ⅰ)由已知得,∠PBC =o60, ∴∠PBA =30o .在△PBA 中,由余弦定理得2PA=o 1132cos3042+-=74, ∴PA(Ⅱ)设∠PBA =α,由已知得, sin PB α=.在△PBA中,由正弦定理得 o o sin sin150sin(30)αα=-,化简得 4sin αα=,即tanα, ∴tan PBA ∠说明:本题主要考查利用正弦定理、余弦定理解三角形及两角和与差公式,是容易题. 18.(本小题满分12分) 解:(Ⅰ)取AB 中点O ,连接OC ,1A B ,1OA .∵AB =1AA ,1BAA ∠=060,198∴1BAA ∆是正三角形,∴1OA ⊥AB . ∵AC BC =, ∴OC ⊥AB ,∵1OC OA O ⋂=,∴AB ⊥面1CEA , ∴AB ⊥1AC .(Ⅱ)由(Ⅰ)知OC ⊥AB ,1OA ⊥AB . 又∵面ABC ABC ⊥面11ABB A ,面ABC ∩面11ABB A =AB , ∴OC ⊥面11ABB A ,∴OC ⊥1OA . ∴OA ,OC ,1OA 两两相互垂直. 以O 为坐标原点,OA 的方向为x 轴正方向,OA 为单位长度,建立如图所示空间直角坐标系O xyz -.由题设知1(1,0,0),A A,C ,(1,0,0)B -,则11(1(1BC BB AA ===-,1(0,AC = . 设n =(,,)x y z 是平面11CBBC 的法向量,则100BC BB ⎧⋅=⎪⎨⋅=⎪⎩n n,即0,0.x x ⎧=⎪⎨-+=⎪⎩,可取,1)=-n ,∴111cos ,|AC AC AC ⋅<>==n n |n ||, ∴直线C A 1 与平面C C BB 11所成角的正弦说明:本题主要考查空间线面、线线垂直的判定与性质及线面角的计算,考查空间想象能力、逻辑推论证能力,是容易题. 19.(本小题满分12分)解:(Ⅰ)设第一次取出的4件产品中恰有3件优质品为事件A ,第一次取出的4件产品中全为优质品为事件B ,第二次取出的4件产品都是优质品为事件C ,第二次取出的1件产品是优质品为事件D ,这批产品通过检验为事件E ,根据题意有()()E AB CD = ,且AB 与CD 互斥,∴()()()P E P AB P CD =+()()()()P A P B A P C P D C =+244341111132222264C ⎛⎫⎛⎫⎛⎫=⨯⨯+⨯= ⎪⎪ ⎪⎝⎭⎝⎭⎝⎭. (Ⅱ)X 的可能取值为400,500,800,并且 343411111(400)122216P X C ⎛⎫⎛⎫==-⨯-= ⎪ ⎪⎝⎭⎝⎭,1(500)16P X ==,334111(800)224P X C ⎛⎫==⨯= ⎪⎝⎭,∴X 的分布列为1111()400500800506.2516164E X =⨯+⨯+⨯=. 20.(本小题满分12分)解:由已知得圆M 的圆心为(1,0)M -,半径1r =1,圆N 的圆心为(1,0)N ,半径2r =3. 设动圆P 的圆心为(,)P x y ,半径为R. (Ⅰ)∵圆P 与圆M 外切且与圆N 内切, ∴|PM|+|PN|=12()()R r r R ++-=12r r +=4,由椭圆的定义可知,曲线C 是以M ,N 为左、右焦点,长半轴长为2,的椭圆(左顶点除外),其方程为221(2)43x y x +=≠-. (Ⅱ)对于曲线C 上任意一点(,)P x y ,由于|PM|-|PN|=22R -≤2,∴2R ≤.当且仅当圆P 的圆心为(2,0)时,2R =, ∴当圆P 的半径最长时,其方程为22(2)4x y -+=.当l 的倾斜角为090时,则l 与y 轴重合,可得|AB|=199GF D EB A O 当l 的倾斜角不为090时,由1r R ≠知l 不平行x 轴,设l 与x 轴的交点为Q ,则||||QP QM =1Rr ,可求得(4,0)Q -,∴设l :(4)y k x =+.由l 于圆M1=,解得k =.当k时,将y x =+221(2)43x y x +=≠-并整理得 27880x x +-=,解得1,2x=47-±,∴12|x x -=187.当k =-时,由图形的对称性可知|AB |=187.综上,|AB |=187或|AB|=21.(本小题满分12分) 解:(Ⅰ)由已知得(0)2,(0)2,(0)4,(0)4f g f g ''====,而()2f x x b '=+,()()xg x e cx d c '=++, ∴a =4,b =2,c =2,d =2.(Ⅱ)由(Ⅰ)知,2()42f x x x =++,()2(1)x g x e x =+.设函数()F x =()()kg x f x -=22(1)42xke x x x +---(2x ≥-),则()F x '=2(2)24x ke x x +--=2(2)(1)xx ke +-.由题设可得(0)0F ≥,即1k ≥. 令()F x '=0得,1x =ln k -,22x =-.(1)若21k e ≤<,则120x -<≤, ∴当1(2,)x x ∈-时,()F x '<0, 当1(,)x x ∈+∞时,()F x '>0,即()F x 在1(2,)x -单调递减,在1(,)x +∞单调递增,∴()F x 在x =1x 取最小值1()F x ,而1()F x =21112242x x x +---=11(2)0x x -+≥, ∴当2x ≥-时,()0F x ≥,即 ()()f x kg x ≤恒成立.(2)若2k e =,则()F x '=222(2)()x e x e e -+-. ∴当2x ≥-时,()0F x '≥,∴()F x 在(-2,+∞)单调递增,而(2)F -=0,∴当2x ≥-时,()0F x ≥,即 ()()f x kg x ≤恒成立.(3)若2k e >,则(2)F -=222ke --+=222()e k e ---<0, ∴当2x ≥-时,()f x ≤()kg x 不可能恒成立.综上所述,k 的取值范围为[1,2e ].说明:本题主要考查利用导数的几何意义求曲线的切线、函数单调性与导数的关系、函数最值,考查运算求解能力及应用意识,是中档题. 22.(本小题满分10分) 解:(Ⅰ)连接DE ,交BC 与点G . 由弦切角定理得,ABF BCE ∠=∠, ∵ABE CBE ∠=∠,∴CBE BCE ∠=∠,BE CE =,200又∵BD BE ⊥,∴DE 是直径,90DCE ∠=︒, 由勾股定理可得DB DC =(Ⅱ)由(Ⅰ)知,CDEBDE ∠=∠,DB DC =,∴DG 是BC 的中垂线,∴BG =.设DE 中点为O ,连接OB ,则 60BOG ∠=︒,30ABE BCE CBE ∠=∠=∠=︒, ∴CF BF ⊥,∴Rt △BCF 说明:本题主要考查几何选讲的有关知识,是容易题. 23,(本小题满分10分)解(Ⅰ)将45cos 55sin x ty t =+⎧⎨=+⎩消去参数t ,化为普通方程22(4)(5)25x y -+-=,即1C :22810160x y x y +--+=. 将cos sin x y ρθρθ=⎧⎨=⎩ 代入22810160x y x y +--+=得,28cos 10sin 160ρρθρθ--+=,∴1C 的极坐标方程为28cos 10sin 160ρρθρθ--+=.(Ⅱ)2C 的普通方程为2220x y y +-=,由2222810160,20x y x y x y y ⎧+--+=⎪⎨+-=⎪⎩ 解得11x y =⎧⎨=⎩或02x y =⎧⎨=⎩,∴1C 与2C 的交点的极坐标分别为4π),(2,)2π. 说明:本题主要考查参数方程与普通方程互化、极坐标方程与直角坐标方程互化及两曲线交点求法、极坐标与直角坐标互化,是容易题.24.(本小题满分10分) 解:(Ⅰ)当2a =-时,不等式()f x <()g x 化为|21||22|30x x x -+---<. 设函数y =|21||22|3x x x -+---,则y =15, ,212, 236, 1,x x x x x x ⎧-<⎪⎪⎪--≤⎨⎪->⎪⎪⎩其图像如图所示,从图像可知,当且仅当(0,2)x ∈时,0y <,∴原不等式解集是{|02}x x <<.(Ⅱ)当x ∈1,22a ⎡⎫-⎪⎢⎣⎭时,()f x =1a +,不等式()()f x g x ≤化为13a x +≤+,∴2x a ≥-对x ∈[2a -,12)都成立,故2a-≥2a -,即a ≤43,∴a 的取值范围为41,3⎛⎤- ⎥⎝⎦.说明:本题主要考查含绝对值不等式解法、不等式恒成立求参数范围,是容易题.2012013年普通高等学校招生全国统一考试理科数学(新课标Ⅱ卷)参考答案 第Ⅰ卷(选择题 60分)一、选择题:(共60分) 1-12 AACDD BADBC CB第Ⅱ卷(非选择题 90分)二、填空题:本大题共4小题,每小题5分.13.2 14.8 15.510-16.-49 三.解答题:解答应写出文字说明,证明过程或演算步骤。