第1章 随机过程
- 格式:ppt
- 大小:6.10 MB
- 文档页数:45
第一章概论第1题某公共汽车站停放两辆公共汽车A 和B ,从t=1秒开始,每隔1秒有一乘客到达车站。
如果每一乘客以概率21登上A 车,以概率21登上B 车,各乘客登哪一辆车是相互统计独立的,并用j ξ代表t=j 时乘客登上A 车的状态,即乘客登上A 车则j ξ=1,乘客登上B 车则jξ=0,则,21}0{,21}1{====j j P P ξξ当t =n 时在A 车上的乘客数为n n j j n ηξη,1∑==是一个二项式分布的计算过程。
(1)求n η的概率,即;,...,2,1,0?}{n k k P n ===η(2)当公共汽车A 上到达10个乘客时,A 即开车(例如t =21时921=η,且t =22时又有一个乘客乘A 车,则t =22时A 车出发),求A 车的出发时间n 的概率分布。
解(1):nn k n k P ⎟⎠⎞⎜⎝⎛⎟⎟⎠⎞⎜⎜⎝⎛==21}{η 解(2):nn n n P P ⎟⎠⎞⎜⎝⎛⎟⎟⎠⎞⎜⎜⎝⎛−=⎟⎠⎞⎜⎝⎛⎟⎠⎞⎜⎝⎛⎟⎟⎠⎞⎜⎜⎝⎛−==−2191212191A)10n 9A 1-n (}n A {1名乘客登上车时刻第名乘客;在有时刻,车在开车在时刻车第2题设有一采用脉宽调制以传递信息的简单通信系统。
脉冲的重复周期为T ,每一个周期传递一个值;脉冲宽度受到随机信息的调制,使每个脉冲的宽度均匀分布于(0,T )内,而且不同周期的脉宽是相互统计独立的随机变量;脉冲的幅度为常数A 。
也就是说,这个通信系统传送的信号为随机脉宽等幅度的周期信号,它是以随机过程)(t ξ。
图题1-2画出了它的样本函数。
试求)(t ξ的一维概率密度)(x f t ξ。
解:00(1)()()(){()}{()0}[(1),],(0,){()}{[(1),]}{[(1)]}1(1)(1)1({()0}1{()}t A A n n n Tt n T f x P x A P x P t A P P t P t n T nT n T P t A P t n T nT P t n T d TT t n T T nT t T t n Tt n T T t n P t P t A ξδδξξηξηηηξξ−−=−+====∈−∈==∈−+=>−−=−+−=−==−−−=−−−==−==∫是任意的脉冲宽度01)(1)()()()()(1)()t A T tn T Tf x P x A P x t t n x A n x T T ξδδδδ=−−∴=−+⎛⎞⎛⎞=−−+−−⎜⎟⎜⎟⎝⎠⎝⎠第3题设有一随机过程)(t ξ,它的样本函数为周期性的锯齿波。
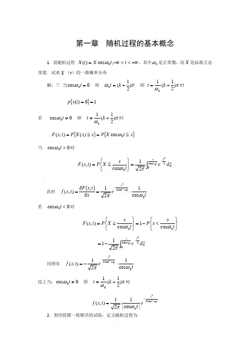
第一章 随机过程的基本概念1.设随机过程 +∞<<-∞=t t X t X ,cos )(0ω,其中0ω是正常数,而X 是标准正态变量。
试求X (t )的一维概率分布解:∵ 当0cos 0=t ω 即 πω)21(0+=k t 即 πω)21(10+=k t 时 {}10)(==t x p若 0cos 0≠t ω 即 πω)21(10+≠k t 时 {}{}x t X P x x X P t x F ≤=≤=0cos )(),(ω当 0cos 0>t ω时ξπωωξd et x X P t x F t x⎰-=⎭⎬⎫⎩⎨⎧≤=02cos 02021cos ),(·此时 ()te xt x F t x f tx 0cos 2cos 121,),(022ωπω⋅=∂∂=-若 0cos 0<t ω时⎭⎬⎫⎩⎨⎧<-=⎭⎬⎫⎩⎨⎧≥=t x x P t x X P t x F 00cos 1cos ),(ωωξπωξd et x⎰--=02cos 02211同理有 tet x f tx 0cos 2cos 121),(022ωπω⋅-=-综上当:0cos 0≠t ω 即 πω)21(10+≠k t 时 tx et x f 022cos 20|t cos |121),(ωωπ-=2.利用投掷一枚硬币的试验,定义随机过程为⎩⎨⎧=,2,cos )(出现反面出现正面t t t X π 假定“出现正面”和“出现反面”的概率各为21。
试确定)(t X 的一维分布函数)21,(x F 和)1,(x F ,以及二维分布函数)1,21;,(21x x F]解:(1)先求)21,(x F显然⎩⎨⎧=⎪⎩⎪⎨⎧-=⎪⎭⎫ ⎝⎛出现反面出现正面出现反面出现正面10,212,2cos 21πX随机变量⎪⎭⎫⎝⎛21X 的可能取值只有0,1两种可能,于是21021=⎭⎬⎫⎩⎨⎧=⎪⎭⎫ ⎝⎛X P 21121=⎭⎬⎫⎩⎨⎧=⎪⎭⎫ ⎝⎛X P 所以⎪⎩⎪⎨⎧≥<≤<=⎪⎭⎫ ⎝⎛1110210021,x x x x F再求F (x ,1)显然⎩⎨⎧-=⎩⎨⎧=出现反面出现正面出现反面出现正面 2 12cos (1)πX{}{}212)1(-1(1)====X p X p ?所以⎪⎪⎩⎪⎪⎨⎧≥<≤<=2121- 21-10,1)(x x x x F(2) 计算)1,21;,(21x x F⎩⎨⎧-=⎩⎨⎧=出现反面出现正面出现反面出现正面21)1(, 1 0)21( X X于是2 ,1 121 ,12 ,10 211 ,00 )1(;211,21;,21212121212121⎪⎪⎪⎩⎪⎪⎪⎨⎧≥><≤->≤<≤-<≥+∞<<∞-<=⎭⎬⎫⎩⎨⎧≤≤⎪⎭⎫ ⎝⎛=⎪⎭⎫ ⎝⎛x x x x x x x x x x x X x X p x x F x 或或3.设随机过程(){}+∞<<-∞t t X ,共有三条样本曲线t X t X X cos )t,( ,sin )t,( ,1)t,(321===ϖϖϖ且,31)p()p()p(321===ϖϖϖ试求随机过程()t X 数学期望EX(t)和相关函数R x (t 1,t 2)。
关键词第十二章随机过程基本概念关键词:随机过程状态和状态空间样本函数有限维分布函数均值函数方差函数自相关函数自协方差函数互相关函数互协方差函数独立不相关确定性过程确具有确定形式的变化过程,或者说具有必然的变化规律,用数学语言来说,就是事物的变化过程可以用一个时间t的确定函数来描述。
例如电容器通过电阻放电时电容两端例如,电容器通过电阻放电时,电容两端的电位差随时间的变化就是一个确定性函数。
2随机过程没有确定的变化形式,也即,每次对它的测量结果没有一个确定的变化规律。
用数学语言来说,这类事物的变化过程不能用一个时间t的确定性函数来描述:如果对该事物的变化全过程进行一次观察,可得到个时间t的函数,但若对该事物的变化过程重复地到一个时间的函数但若对该事物的变化过程重复地独立地进行多次观察,则每次所得到的结果是不相同的。
3§1 随机过程的概念是参数集对任意定义(){},(),T t T X t X t t T ∈∈设是一参数集,对任意是一个定义:随机变量,则称是随机过程.(,)X t e •(1)(,)X t •是随机变量(,e)X t 所有可能取值的全体称为状态空间(2)(,e)t X 是的函数,称为样本函数具体观察结果对随机过程的一次就是一条样本函数随机过程的分类:按照参数集T可分为离散时间和连续时间两种情况,状态空间为离散状态和连续状态两种况,状态空间为离散状态和连续状态两种。
11.离散时间离散状态续2.离散时间连续状态3.连续时间离散状态44.连续时间连续状态51例:()某人在打靶每次的命中率为二项过程,n n p S 并且各次的结果相互独 某人在打靶,每次的命中率为表示前次命中的次数立。
用。
{;1,2,}n S n ==L L 是一个离散时间离散状态的随机过程。
状态空间 则{0,1,2,}.I 状态空间)样本函数为: 所有{}123,1111,,...)011i i i i s s s s s s s s s ++====+(:或,或ns 65324n876543211例考虑抛掷颗骰子的试验例2:考虑抛掷一颗骰子的试验:{}{}(1),1)1(n n X n n X n ≥≥设是第次抛掷的点数,的状态空间为1,2,3,4,5,6。
随机过程课后习题答案第一章第二题:已知一列一维分布{();1}n F x n ≥,试构造一个概率空间及其上的一个相互独立的随机变量序列{(,);1}n n ξ⋅≥使得(,)n ξ⋅的分布函数为()n F x 。
解:有引理:设ξ为[0, 1]上均匀分布的随机变量,F(x)为某一随机变量的分布函数,且F(x)连续,那么1()F x η-=是以F(x)为分布的随机变量。
所以可以假设有相互独立的随机变量12,,...,n θθθ服从u[0, 1]分布,另有分布{()}n F x , 如果令1(,)()n n n F ξθ-⋅=,则有(,)n ξ⋅为服从分布()n F x 的随机变量。
又由假设条件可知,随机变量{(,),1}n n ξ⋅≥之间相互独立,则其中任意有限个随机变量12(,),(,),...,(,)n i i i ξξξ⋅⋅⋅的联合分布为:11221122{(,),(,),...,(,)}()()()i i n in i i i i in in P i x i x i x F x F x F x ξξξ⋅≤⋅≤⋅≤=⋅⋅⋅⋅再令112{,,...,,...},,{|()[0,1],1,2,...}n i i i i w w w w A A x F x i -Ω=∈=∈=,令F 为Ω所有柱集的σ代数,则由Kolmogorov 定理可知,存在F 上唯一的概率测度P 使得:11221122{(,),(,),...,(,)}()()()i i n in i i i i in in P i w i w i w F w F w F w ξξξ⋅≤⋅≤⋅≤=⋅⋅⋅⋅则所构造的概率空间为(Ω,F , P)。
第八题:令{};1n X n ≥是一列相互独立且服从(0,1)N (正态分布)的随机变量。
又令1n n S X X =++22(1)n S n n ξ+=1(,,)n n F X X σ=试证明:,;1n n F n ξ≥()是下鞅(参见23题)。
什么是随机过程(一)引言概述:随机过程是概率论和数学统计学中的重要概念,用于描述随机事件在时间和空间上的演化规律。
它在实际问题建模和分析中具有广泛的应用,涵盖了大量的领域,如通信系统、金融市场、生物学等。
本文将介绍随机过程的基本概念和特征,并探讨其在实际中的应用。
正文:1. 随机过程的定义1.1 随机过程的基本概念1.2 随机变量与随机过程的关系1.3 不同类型的随机过程(如离散随机过程、连续随机过程等)2. 随机过程的特征2.1 随机过程的时间域特征2.2 随机过程的统计特征2.3 随机过程的独立性和相关性2.4 随机过程的平稳性2.5 随机过程的马尔可夫性质3. 随机过程的应用3.1 通信系统中的随机过程3.2 金融市场中的随机过程3.3 生物学中的随机过程3.4 物理学中的随机过程3.5 工程控制中的随机过程4. 随机过程的建模和分析方法4.1 马尔可夫链模型4.2 随机演化方程模型4.3 随机微分方程模型4.4 随机过程的仿真方法4.5 随机过程的参数估计方法5. 随机过程的未来发展5.1 随机过程在人工智能中的应用5.2 随机过程在时空数据分析中的应用5.3 随机过程在大数据分析中的应用5.4 新兴领域中的随机过程研究5.5 随机过程理论与实际应用的结合总结:本文介绍了随机过程的定义、特征和应用,并讨论了随机过程的建模和分析方法。
随机过程作为概率论和数学统计学的重要分支,具有广泛的应用前景。
随着人工智能和大数据分析的发展,随机过程在各个领域中的应用将进一步扩展。
值得期待的是,未来随机过程理论和实际应用的结合将推动该领域的进一步发展。
第一章 随机过程及其分类1、 设随机向量),(Y X 的两个分量相互独立,且均服从标准正态分布)1,0(N 。
(a ) 分别写出随机变量Y X +和Y X -的分布密度(b ) 试问:Y X +与Y X -是否独立?说明理由。
2、 设1X 、2X 、3X 为独立同分布的随机变量,且服从标准正态分布。
令:233211X X X X Y ++=(a ) 试求随机变量Y 的分布密度函数;(b ) 试问有限个独立正态分布随机变量经过非线性变换是否可以服从正态分布?3、 设),0(~2σN X ,对于0>∀b ,试证明正态分布尾概率估计不等式:⎭⎬⎫⎩⎨⎧-⋅≤≥≤⎭⎬⎫⎩⎨⎧-⎥⎥⎦⎤⎢⎢⎣⎡⎪⎭⎫ ⎝⎛-222232ex p 21}{2ex p 21σσπσσσπb b b X P b b b 4、 设随机向量()()∑=,~,21μτN X X X ,其中:()()ττμμμ2,1,21==,⎪⎪⎭⎫ ⎝⎛=∑15/45/41,令随机向量()X Y Y Y ⎪⎪⎭⎫ ⎝⎛==3223,21τ。
(a ) 试求随机向量Y 的协方差矩阵、{}12Y Y E 及{}21Y Y E +; (b ) 试问{}122X X E X -与1X 是否独立?证明你的结论。
5、 设}0),({≥t t X 是一个实的均值为零,二阶矩存在的随机过程,其相关函数为t s s t B t X s X E ≤-=),()}()({,且是一个周期为T 的函数,即0),()(≥=+τττB T B ,试求方差函数)]()([T t X t X D +-。
6、 考察两个谐波随机信号)(t X 和)(t Y ,其中:)cos()(),cos()(t B t Y t A t X c c ωφω=+=式中A 和c ω为正的常数;φ是[]ππ,-内均匀分布的随机变量,B 是标准正态分布的随机变量。
(a ) 求)(t X 的均值、方差和相关函数;(b ) 若φ与B 独立,求)(t X 与)(t Y 的互相关函数。
第一章习题解答1. 设随机变量X 服从几何分布,即:(),0,1,2,k P X k pq k ===。
求X 的特征函数,EX 及DX 。
其中01,1p q p <<=-是已知参数。
解()()jtxjtk k X k f t E ee pq ∞===∑ 0()k jtkk p q e∞==∑ =0()1jt kjt k pp qe qe∞==-∑ 又20()kk k k q q E X kpq p kq pp p∞∞======∑∑ 222()()[()]q D X E X E X P =-=(其中 00(1)nnn n n n nxn x x ∞∞∞====+-∑∑∑)令 0()(1)n n S x n x ∞==+∑则 1000()(1)1xxnn k n x S t dt n tdt xx∞∞+===+==-∑∑⎰⎰ 202201()()(1)11(1)1(1)xn n dS x S t dt dxx xnx x x x ∞=∴==-∴=-=---⎰∑同理 2(1)2kkkk k k k k k x k x kx x ∞∞∞∞=====+--∑∑∑∑令20()(1)k k S x k x ∞==+∑ 则211()(1)(1)xkk k k k k S t dt k t dt k xkx ∞∞∞+====+=+=∑∑∑⎰)2、(1) 求参数为(,)p b 的Γ分布的特征函数,其概率密度函数为1,0()0,0()0,0p p bxb x e x p x b p p x --⎧>⎪=>>Γ⎨⎪≤⎩(2) 其期望和方差;(3) 证明对具有相同的参数的b 的Γ分布,关于参数p 具有可加性。
解 (1)设X 服从(,)p b Γ分布,则10()()p jtxp bxX b f t ex e dx p ∞--=Γ⎰ 1()0()p p jt b x b x e dx p ∞--=Γ⎰101()()()()(1)p u p p p p p b e u b u jt b x du jt p b jt b jt b∞----==Γ---⎰ 10(())x p p e x dx ∞--Γ=⎰ (2)'1()(0)X p E X f j b∴== 2''221(1)()(0)X p p E X f j b+==222()()()PD XE X E X b ∴=== (4) 若(,)i i X p b Γ 1,2i = 则121212()()()()(1)P P X X X X jt f t f t f t b-++==-1212(,)Y X X P P b ∴=+Γ+同理可得:()()iiP X b f t b jt∑=∑-3、设ln (),()(k Z F X E Z k =并求是常数)。
第一章 一、 填空1.设{t X ,t T ∈}是一族独立的随机变量,则对于任意2n ≥和12,,...,t t ,n t T ∈12,,...,,n x x x R ∈有1212(,,...,)n t t t n P X x X x X x ≤≤≤=( )。
答案:1()int i i P X x =≤∏2.若2EX <∞,2EY <∞,则2()EXY ≤( )。
答案:22EX EY (Schwarz 不等式)3.设随机变量X 的特征函数为()X g t ,Y aX b =+,其中a ,b 为任意实数,则Y 的特征函数()Y g t =( ()itb X e g at )。
解:()()()()[][][]()it aX b i at X ibt ibt i at X ibt Y X g t E e E e e e E e e g at +====。
4.若12,,...X X 是相互独立且同分布的非负整数值随机变量,N 是与12,,...X X 独立的非负整数值随机变量,并且1,N X 的母函数分别为()G s 和()P s 。
则1Nk k Y X ==∑的母函数()H s =((())G P s )。
解:0()()kk H s P Y k s ∞===∑=0(,())kk l P Y k N l s ∞∞====∑=00()()k k l P N l P Y k s ∞∞====∑∑=00()()k l k P N l P Y k s ∞∞====∑∑=01()()lkj l k j P N l P X k s∞∞=====∑∑∑0()[()][()]ll P N l P s G P s ∞===∑。
5.设12,,...X X 为一列独立同分布的随机变量,随机变量N 只取正整数值,且N 与{}n X 独立,则1()Ni i E X ==∑(1()()E X E N )。
解:1111()[(|)](|)()N N Ni i i i i n i E X E E X N E X N n P N n +∞========∑∑∑∑1111111()()()()()()n n i n n E X P N n nE X P N n E X np N n +∞+∞+∞==========∑∑∑∑1()()E X E N =6.若X 1,X 2,…,X n 是相互独立的随机变量,且g i (t)是X i 的特征函数,i=1,2,…,n)则X=X 1+X 2+…X n 的特征函数g(t)= _g 1(t) g 2(t)…g n (t) 二、解答与证明题1.设P(S)是X 的母函数,试证: (1)若E(X)存在,则()1EX P '=(2)若D(X)存在,则 DX = P"(1)+ P ′(1)-[ P ′(1)]2 证明:(1)因为()0kkk P s p s∞==∑,则()11k k k P s kp s∞-='=∑,令1s →,得()11kk EX P kp ∞='==∑ 。