高三数学每日一练
- 格式:doc
- 大小:232.00 KB
- 文档页数:2
高中数学每日试题及答案一、选择题(每题3分,共15分)1. 下列函数中,哪一个不是一次函数?A. y = 2x + 3B. y = 3x^2 - 1C. y = 4x - 5D. y = -x2. 若a、b、c是三角形的三边长,且满足a^2 + b^2 = c^2,根据勾股定理,这个三角形是:A. 锐角三角形B. 直角三角形C. 钝角三角形D. 不能确定3. 已知集合A = {1, 2, 3},B = {2, 3, 4},求A∪B的结果:A. {1, 2, 3}B. {1, 2, 3, 4}C. {2, 3}D. {1, 4}4. 函数f(x) = x^2 - 4x + 4的最小值是:A. 0B. -4C. 4D. 无法确定5. 若sinθ = 1/√2,且θ在第一象限,那么cosθ的值是:A. 1/√2B. √3/2C. -1/√2D. -√3/2二、填空题(每题2分,共10分)6. 已知等差数列的首项a1=3,公差d=2,求第5项a5的值是_________。
7. 函数y = log2(x)的定义域是_________。
8. 已知圆的半径为5,圆心到直线x + y - 7 = 0的距离是4,求圆与直线的位置关系是_________。
9. 已知正方体的棱长为a,求正方体的表面积S的公式是_________。
10. 若cosα = 1/3,且α在第一象限,求sinα的值是_________。
三、解答题(每题5分,共20分)11. 解不等式:2x^2 - 5x + 3 > 0。
12. 已知点A(-1, 2),B(2, -1),求直线AB的斜率k。
13. 证明:若a、b、c是正数,且a + b + c = 1,求证:1/a + 1/b + 1/c ≥ 9。
14. 已知函数f(x) = 3x - 2,求f(x)的反函数。
四、综合题(每题10分,共10分)15. 某工厂生产一种产品,每件产品的成本为20元,售价为40元。
高三数学每日一题,每天十分钟,高考好成绩(73题)高三每日一题(73):利用共圆角互补,求向量数量积高三每日一题(72):张角公式正弦定理,解边长最值问题高三每日一题(71):单调零点定理,解零点平移区间最值问题高三每日一题(70):利用对称,求两函数之间最短距离高三每日一题(69):利用绝对值不等式,解决向量取值范围高三每日一题(68):函数思想,解分段数列问题高三每日一题(67):构造函数换底公式,比较三数大小高三每日一题(66):换元或平方,求取值范围高三每日一题(65):先猜后证,恒成立求二元参数值高三每日一题(64):单调放缩,求数列和上限高三每日一题(63):变形出目标,恒成立一例高三每日一题(62):数形结合,解分段嵌套函数零点高三每日一题(61):巧取点,判断极值正负高三每日一题(60):形直译数解释,动圆问题高三每日一题(59):利用数量积,化为实数高三每日一题(58):齐次化,求三元最值高三每日一题(57):挖掘内涵,直线与圆高三每日一题(56):构建几何,二元最值高三每日一题(55):紧给目标,均值换元导数一题高三每日一题(54):另解网上热议的一道题恒成立问题高三每日一题(53):认清凸凹,分离变量高三每日一题(52):降维构图,空间最值高三每日一题(51)几何思想,向量最值高三每日一题(50)极化恒等,向量最值高三每日一题(49)任意存在,换元分类高三每日一题(48)辅助构图,解决向量高三每日一题(47)动中有静,圆中求角高三每日一题(46)恰当换元,数列通项高三每日一题(45)构建椭圆,三角最值高三每日一题(44)构造函数,拐点偏移高三每日一题(43)理解透彻,巧解导数高三每日一题(42)细致分类,倍值区间高三每日一题(41)小题大做,五法解最值高三每日一题(40)抓住核心,向量最值高三每日一题(39)合理化归,研究数列高三每日一题(38)直线过定点,巧用阿氏圆高三每日一题(37)由定义求离心率高三每日一题(36)换元求导,研究零点高三每日一题(35)合理赋值,抽象求值高三每日一题(34)嵌套函数,零点最值高三每日一题(33)夹逼取等,解三角形高三每日一题(32)步步为营,三角一题高三每日一题(31):取点放缩,函数零点高三每日一题(30):数列充要,先猜后证高三每日一题(29):直角距离,数形解释高三每日一题(28):幂指变换,赋值解决函数零点问题高三每日一题(27):保值函数高三每日一题(26):分离函数,巧解交点问题高三每日一题(25):抽象函数零点问题高三每日一题(24):换元巧解V函数一题高三每日一题(23):换元求导解三角函数最值高三每日一题(22):一道网上热议的向量题高三每日一题(21):几何法巧解三角函数最值高三每日一题(20):引线转换高三每日一题(19):根式值域,一题三解高三每日一题(18):嵌套函数高三每日一题(17):换位思考,巧解距离高三每日一题(16):均值在圆锥曲线中的应用高三每日一题(15):关羽开门刀举成功高三每日一题(14):小刀开门切口启封高三每日一题(13):极限思想高三每日一题(12):一道题弄明白极值点偏移高三每日一题(11):代换简化问题高三每日一题(10):一题七解高三每日一题(9):巧设参数高三每日一题(7):对称换元高三每日一题(6):几何分析法高三每日一题(5):降元构造线性规划高三每日一题(4):双主元法高三每日一题(3):设三角点解圆锥曲线高三每日一题(2):乔装圣裹贺岁题高三每日一题(1):解三角形不等式。
高三数学天天练习题为了帮助高三学生更好地备战数学考试,我们为大家准备了一套高质量的天天练习题。
这些练习题涵盖了高中数学各个知识点,旨在帮助学生夯实基础、巩固概念,并通过大量练习提高解题能力。
以下是部分练习题供大家参考:一、选择题1. 已知函数 f(x) = x^2 + 3x - 2,其中x为实数,求 f(x+h) - f(x) 的值,其中h为任意实数。
A. 2h + 3B. 2h + 6C. h^2 + 3h + 4D. h^2 + 3h + 62. 某试验的结果是事故率 p%。
若进行该试验 n 次,则至少发生一次事故的概率为:A. (1 - p/100)^nB. 1 - (1 - p/100)^nC. (p/100)^nD. 1 -(p/100)^n3. 已知函数 f(x) = 2x^3 - 5x^2 + 3x + 7,其中x为实数,求 f(-1) +f(2) - f(3) 的值。
A. 2B. 20C. -20D. -2二、填空题1. 符号∈表示 "属于",则下列集合中的元素是自然数的是:{ x | x > -3 }答案:0, 1, 2, 3, ...2. 已知集合 A = { -2, 0, 2 },集合 B = { 0, 1, 2 },则 A ∪ B = ?答案:{ -2, 0, 1, 2 }3. 若 log2(x - 3) = 4 ,则 x = ?答案:19三、解答题1. 已知直角三角形 ABC,其中∠C = 90°,AC = 8,BC = 15。
求四边形 ABED 的面积,其中 D、E 分别是 AC、BC 上的两点,且DE∥AB。
解答:首先,根据两条平行线与一组相交的交角相等的性质,可以得到∠C = ∠BDE。
又根据直角三角形中两条直角边的长度比例关系,可以得到 AD = (15/17)*8 = 120/17,BE = (8/17)*15 = 120/17。
每日一练6
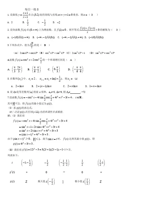
1.设a >1,且)2(log ),1(log )1(log 2a p a n a m a a a =-=+=,则p n m ,,的大小关系为(B )
(A) n >m >p (B) m >p >n (C) m >n >p (D) p >m >n
2.对于函数①()()
12lg +-=x x f ,②()()22-=x x f ,③()()2cos +=x x f .判断如下三个命题的真假:命题甲:()2+x f 是偶函数;命题乙:()()2,∞-在区间x f 上是减函数,在区间()+∞,2上是增函数;命题丙:()()x f x f -+2在()+∞∞-,上是增函数.能使命题甲、乙、丙均为真的所有函数的序号是(D )
A.①③
B.①②
C. ③
D. ②
3.函数())1,0(13log ≠>-+=a a x y a 的图象恒过定点A,若点A 在直线01=++ny mx 上,其中0>mn ,则n
m 21+的最小值为 8 . 4.函数π()3sin 23f x x ⎛⎫=- ⎪⎝
⎭的图象为C ,如下结论中正确的是 ①②③(写出所有正确结论的编号..). ①图象C 关于直线11π12x =
对称;②图象C 关于点2π03⎛⎫ ⎪⎝⎭
,对称; ③函数()f x 在区间π5π1212⎛⎫- ⎪⎝⎭
,内是增函数;④由3sin 2y x =的图角向右平移π3个单位长度可以得到图象C . 5.在数列{}n a 中,12a =,1431n n a a n +=-+,n ∈*N . (Ⅰ)证明数列
{}n a n -是等比数列;
(Ⅱ)求数列{}n a 的前n 项和n S ; (Ⅲ)证明不等式14n n S S +≤,对任意n ∈*
N 皆成立.。
每日一练7 1.若函数()1222-=--a ax x x f 的定义域为R ,则实数a 的取值范围 。
[]0,1-2.已知曲线24x y =的一条切线的斜率为12,则切点的横坐标为( A ) A .1 B .2 C .3 D .43.要得到函数sin y x =的图象,只需将函数cos y x π⎛⎫=-⎪3⎝⎭的图象( A ) A .向右平移π6个单位 B .向右平移π3个单位 C .向左平移π3个单位 D .向左平移π6个单位 4.已知数列{n a }的前n 项和29n S n n =-,第k 项满足58k a <<,则k =( )A .9B .8 C. 7 D .65.已知两个等差数列{}n a 和{}n b 的前n 项和分别为A n 和n B ,且7453n n A n B n +=+,则使得n na b 为整数的正整数n 的个数是( )A .2B .3C .4D .56.已知函数c bx x ax x f -+=44ln )((x>0)在x = 1处取得极值c --3,其中a,b,c 为常数。
(1)试确定a,b 的值;(2)讨论函数f(x)的单调区间;(3)若对任意x>0,不等式22)(c x f -≥恒成立,求c 的取值范围。
解:(I )由题意知(1)3f c =--,因此3b c c -=--,从而3b =-.又对()f x 求导得()34341ln 4'bx xax x ax x f +⋅+=3(4ln 4)x a x a b =++. 由题意(1)0f '=,因此40a b +=,解得12a =.(II )由(I )知3()48ln f x x x '=(0x >),令()0f x '=,解得1x =.当01x <<时,()0f x '<,此时()f x 为减函数;当1x >时,()0f x '>,此时()f x 为增函数.因此()f x 的单调递减区间为(01),,而()f x 的单调递增区间为(1)+,∞. (III )由(II )知,()f x 在1x =处取得极小值(1)3f c =--,此极小值也是最小值,要使2()2f x c -≥(0x >)恒成立,只需232c c ---≥.即2230c c --≥,从而(23)(1)0c c -+≥, 解得32c ≥或1c -≤.所以c 的取值范围为3(1]2⎡⎫-∞-+∞⎪⎢⎣⎭,,.。
高中数学高考复习每日一题(整理)高中数学高考复习每日一道好题11.已知P 是ABC ∆内任一点,且满足AP xAB yAC =+u u u r u u u r u u u r,x 、y R ∈,则2y x +的取值范围是 ___ .解法一:令1x y AQ AP AB AC x y x y x y ==++++u u u ru u u r u u u r u u u r ,由系数和1x y x y x y+=++,知点Q 在线段BC 上.从而1AP x y AQ +=<u u u ru u u r .由x 、y 满足条件0,0,1,x y x y >>⎧⎨+<⎩易知2(0,2)y x +∈.解法二:因为题目没有特别说明ABC ∆是什么三角形,所以不妨设为等腰直角三角形,则立刻变为线性规划问题了.2.在平面直角坐标系中,x 轴正半轴上有5个点, y 轴正半轴有3个点,将x 轴上这5个点和y 轴上这3个点连成15条线段,这15条线段在第一象限内的交点最多有 个.答案:30个高中数学高考复习每日一道好题21.定义函数()[[]]f x x x =,其中[]x 表示不超过x 的最大整数,如:[1.5]1[ 1.3]2=-=-,,当*[0)()x n n N ∈∈,时,设函数()f x 的值域为A ,记集合A 中的元素个数为n a ,则式子90n a n+的最小值为 . 【答案】13.【解析】当[)0,1n ∈时,[]0x x ⎡⎤=⎣⎦,其间有1个整数;当[),1n i i ∈+,1,2,,1i n =-L 时,[]2(1)i x x i i ⎡⎤≤<+⎣⎦,其间有i 个正整数,故(1)112(1)12n n n a n -=++++-=+L ,9091122na n n n +=+-, 由912n n=得,当13n =或14时,取得最小值13. 2. 有七名同学站成一排照毕业纪念照,其中甲必须站在正中间,并且乙、丙两倍同学要站在一起,则不同的站法有 种. 答案:192种a1.已知直线l ⊥平面α,垂足为O .在矩形ABCD 中,1AD =,2AB =,若点A 在l 上移动,点B 在平面α上移动,则O ,D 两点间的最大距离为 . 解:设AB 的中点为E ,则E 点的轨迹是球面的一部分,1OE =,DE 所以1OD OE ED ≤+=当且仅当,,O E D 三点共线时等号成立.2. 将A、B、C、D四个球放入编号为1,2,3的三个盒子中,每个盒子中至少放一个球且A、B两个球不能放在同一盒子中,则不同的放法有 种. 答案:30种高中数学高考复习每日一道好题41. 在平面直角坐标系xOy 中,设定点(),A a a ,P 是函数()10y x x=>图象上一动点.若点,P A 之间的最短距离为a 的所有值为 .解:函数解析式(含参数)求最值问题()222222211112222AP x a a x a x a x a a x x x x ⎡⎤⎛⎫⎛⎫⎛⎫⎛⎫=-+-=+-++-=+-+- ⎪ ⎪ ⎪ ⎪⎢⎥⎝⎭⎝⎭⎝⎭⎝⎭⎣⎦因为0x >,则12x x+≥,分两种情况:(1)当2a ≥时,min AP ==,则a =(2)当2a <时,min AP =1a =-2. 将5名实习教师分配到高一年级的3个班实习,每班至少1名,最多2名,则不同的分配方案有 种. 答案:90种1.已知,x y ∈R ,则()222x y x y ⎛⎫++- ⎪⎝⎭的最小值为 .解: 构造函数1y x =,22y x =-,则(),x x 与2,y y ⎛⎫- ⎪⎝⎭两点分别在两个函数图象上,故所求看成两点(),x x 与2,y y⎛⎫- ⎪⎝⎭之间的距离平方,令222080222y x mx mx m m y x =+⎧⎪⇒++=⇒∆=-=⇒=⎨=-⎪⎩, 所以22y x =+是与1y x =平行的22y x=-的切线,故最小距离为2d = 所以()222x y x y ⎛⎫++- ⎪⎝⎭的最小值为42. 某单位要邀请10位教师中的6人参加一个研讨会,其中甲、乙两位教师不能同时参加,则邀请的不同方法有 种. 答案:140种高中数学高考复习每日一道好题61.已知定圆12,O O 的半径分别为12,r r ,圆心距122O O =,动圆C 与圆12,O O 都相切,圆心C 的轨迹为如图所示的两条双曲线,两条双曲线的离心率分别为12,e e ,则1212e e e e +的值为( ) A .1r 和2r 中的较大者 B .1r 和2r 中的较小者C .12r r +D .12r r - 解:取12,O O 为两个焦点,即1c =若C e 与12,O O e e 同时相外切(内切),则121221CO CO R r R r r r -=--+=- 若C e 与12,O O e e 同时一个外切一个内切,则121221CO CO R r R r r r -=---=+ 因此形成了两条双曲线.此时21211212212111221122r r r r e e e e r r r r +-++=-+,不妨设21r r >,则12212e e r e e += 2.某班学生参加植树节活动,苗圃中有甲、乙、丙3种不同的树苗,从中取出5棵分别种植在排成一排的5个树坑内,同种树苗不能相邻,且第一个树坑和第5个树坑只能种甲种树苗的种法共有 种. 答案:6种高中数学高考复习每日一道好题71. 已知12,F F 是双曲线()222210,0x y a b ab-=>>的左右焦点,以12F F 为直径的圆与双曲线的一条渐近线交于点M ,与双曲线交于点N ,且M 、N 均在第一象限,当直线1//MF ON 时,双曲线的离心率为e ,若函数()222f x x x x=+-,则()f e = .解:()222,x y c M a b by x a ⎧+=⎪⇒⎨=⎪⎩1F M b k a c =+,所以ON b k a c =+,所以ON 的方程为b y x a c=+, 所以22221x y a a c a b N b y xa c ⎧-=⎪⎛⎫+⎪⇒⎨⎪=⎪+⎩又N 在圆222x y c +=上,所以222a a c c ⎛⎫⎛⎫++= 所以322220e e e +--=,所以()2222f e e e e=+-=2.用0,1,2,3,4这五个数字组成无重复数字的五位数,其中恰有一个偶数数字夹在两个奇数数字之间,这样的五位数的个数有 个. 答案:28个1. 已知ABC ∆的三边长分别为,,a b c ,其中边c 为最长边,且191a b+=,则c 的取值范围是 .解:由题意知,,a c b c ≤≤,故1919101a b c c c =+≥+=,所以10c ≥ 又因为a b c +>,而()1991016baa b a b a b a b ⎛⎫+=++=++≥ ⎪⎝⎭所以16c <故综上可得1016c ≤<2. 从5名志愿者中选出3名,分别从事翻译、导游、保洁三项不同的工作,每人承担一项,其中甲不能从事翻译工作,则不同的选派方案共有 种. 解: 48种高中数学高考复习每日一道好题91.在平面直角坐标系xoy 中,已知点A 是半圆()224024x y x x +-=≤≤上的一个动点,点C 在线段OA 的延长线上.当20OA OC =u u u r u u u rg 时,则点C 的纵坐标的取值范围是 .解:设()22cos ,2sin A θθ+,()22cos ,2sin C λλθλθ+,1λ>,,22ππθ⎡⎤∈-⎢⎥⎣⎦由20OA OC =u u u r u u u rg 得:522cos λθ=+所以()()[]5sin 055sin 2sin 5,522cos 1cos cos 1C y θθθθθθ-=⋅⋅==∈-++--2. 编号为1、2、3、4、5的五个人分别去坐编号为1、2、3、4、5的五个座位,其中有且只有两个的编号与座位号一致的坐法是 种. 答案:20种1.点D 是直角ABC ∆斜边AB 上一动点,3,2AC BC ==,将直角ABC ∆沿着CD 翻折,使'B DC ∆与ADC ∆构成直二面角,则翻折后'AB 的最小值是 . 解:过点'B 作'B E CD ⊥于E ,连结,BE AE , 设'BCD B CD α∠=∠=,则有'2sin ,2cos ,2B E CE ACE πααα==∠=-在AEC ∆中由余弦定理得22294cos 12cos cos 94cos 12sin cos 2AE παααααα⎛⎫=+--=+- ⎪⎝⎭在'RT AEB ∆中由勾股定理得22222''94cos 12sin cos 4sin 136sin 2AB AE B E ααααα=+=+-+=-所以当4πα=时,'AB 取得最小值为72.从1到10这是个数中,任意选取4个数,其中第二大的数是7的情况共有 种. 答案:45种高中数学高考复习每日一道好题111.已知函数()421421x x x x k f x +⋅+=++,若对于任意的实数123,,x x x 均存在以()()()123,,f x f x f x 为三边长的三角形,则实数k 的取值范围是 .解:()421111421212x x x x x x k k f x +⋅+-==+++++ 令()110,13212x x g x ⎛⎤=∈ ⎥⎝⎦++当1k ≥时,()213k f x +<≤,其中当且仅当0x =时取得等号所以若对于任意的实数123,,x x x 均存在以()()()123,,f x f x f x 为三边长的三角形,只需223k +≥,所以14k ≤≤ 当1k <时,()213k f x +≤<,其中当且仅当0x =时取得等号 所以若对于任意的实数123,,x x x 均存在以()()()123,,f x f x f x 为三边长的三角形,只需2213k +⋅≥,所以112k -≤<综上可得,142k -≤≤2.在一条南北方向的步行街同侧有8块广告牌,牌的底色可选用红、蓝两种颜色,若只要求相邻两块牌的底色不都为红色,则不同的配色方案共有 种. 答案:55种高中数学高考复习每日一道好题121.已知函数()2221f x x ax a =-+-,若关于x 的不等式()()0f f x <的解集为空集,则实数a 的取值范围是 .解:()()()222111f x x ax a x a x a =-+-=---+⎡⎤⎡⎤⎣⎦⎣⎦ 所以()0f x <的解集为()1,1a a -+所以若使()()0f f x <的解集为空集就是1()1a f x a -<<+的解集为空,即min ()1f x a ≥+所以11a -≥+,即2a ≤-2.某校举行奥运知识竞赛,有6支代表队参赛,每队2名同学,12名参赛同学中有4人获奖,且这4人来自3人不同的代表队,则不同获奖情况种数共有 种.答案:31116322C C C C 种高中数学高考复习每日一道好题131.已知定义在R上的函数()f x满足①()()20f x f x+-=;②()()20f x f x---=;③在[]1,1-上的表达式为()[](]21,1,01,0,1x xf xx x⎧-∈-⎪=⎨-∈⎪⎩,则函数()f x与函数()122,0log,0x xg x x x⎧≤⎪=⎨>⎪⎩的图象在区间[]3,3-上的交点个数为.2.若5(1)ax-的展开式中3x的系数是80,则实数a的值是.答案:2高中数学高考复习每日一道好题141.()f x是定义在正整数集上的函数,且满足()12015f=,()()()()212f f f n n f n+++=L,则()2015f=.解:()()()()212f f f n n f n+++=L,()()()()()212111f f f n n f n+++-=--L两式相减得()()()()2211f n n f n n f n=---所以()()111f n nf n n-=-+所以()()()()()()()()201520142201420132012121 201512015201420131201620152014320161008f f ff ff f f=⋅⋅=⋅⋅⋅==L2. 某次文艺汇演,要将A 、B 、C 、D 、E 、F 这六个不同节目编排成节目单,如下表:序号 1 2 3 4 5 6 节目如果A 、B 两个节目要相邻,且都不排在第3号位置,那么节目单上不同的排序方式 有 种. 答案:144种高中数学高考复习每日一道好题151. 若,a b r r 是两个非零向量,且a b a bλ==+r r r r,3,1λ⎡⎤∈⎢⎥⎣⎦,则b r 与a b -r r 的夹角的取值范围是 .解:令1a b ==r r ,则1a b λ+=r r设,a b θ=r r ,则由余弦定理得()22221111cos 1cos 22λπθθλ+--==-=- 又3,1λ⎡⎤∈⎢⎥⎣⎦,所以11cos ,22θ⎡⎤∈-⎢⎥⎣⎦所以2,33ππθ⎡⎤∈⎢⎥⎣⎦,所以由菱形性质得25,,36b a b ππ⎡⎤-∈⎢⎥⎣⎦r r r2. 若()11n x -的展开式中第三项系数等于6,则n = .答案:12高中数学高考复习每日一道好题161. 函数()22f x x x =+,集合()()(){},|2A x y f x f y =+≤,()()(){},|B x y f x f y =≤,则由A B I 的元素构成的图形的面积是 . 解:()()(){}()()(){}22,|2,|114A x y f x f y x y x y =+≤=+++≤()()(){}()()(){},|,|22B x y f x f y x y x y x y =≤=-++≤画出可行域,正好拼成一个半圆,2S π=2. 甲、乙、丙、丁四个公司承包8项工程,甲公司承包3项,乙公司承包1项,丙、丁两公司各承包2项,共有承包方式 种. 答案:1680种高中数学高考复习每日一道好题171. 在棱长为1的正方体1111ABCD A B C D -中,112AE AB =u u u ru u u ur ,在面ABCD 中取一个点F ,使1EF FC +u u u ru u u u r最小,则这个最小值为 .解:将正方体1111ABCD A B C D -补全成长方体,点1C 关于面ABCD 的对称点为2C ,连接2EC 交平面ABCD 于一点,即为所求点F ,使1EF FC +u u u r u u u u r最小.其最小值就是2EC . 连接212,AC B C ,计算可得21213,5,2AC B C AB ===,所以12AB C ∆为直角三角形,所以2142EC =2. 若()62601261mx a a x a x a x +=++++L 且123663a a a a ++++=L ,则实数m 的值为 . 答案:1或-31. 已知双曲线()222210,0x y a b a b-=>>的左、右焦点分别为12,F F ,过1F 的直线分别交双曲线的两条渐近线于点,P Q .若点P 是线段1FQ 的中点,且12QF QF ⊥,则此双曲线的离心率等于 . 解法一:由题意1F P b =,从而有2,a ab P c c ⎛⎫- ⎪⎝⎭,又点P为1FQ 的中点,()1,0F c -,所以222,a ab Q c cc ⎛⎫-+ ⎪⎝⎭ 所以222ab b a c c a c ⎛⎫=-+ ⎪⎝⎭,整理得224a c =,所以2e = 解法二:由图可知,OP 是线段1F P 的垂直平分线,又OQ 是12Rt F QF ∆斜边中线,所以1260FOP POQ QOF ∠=∠=∠=o ,所以2e = 解法三:设(),,0Q am bm m >,则()1,QF c am bm =---u u u r,()2,QF c am bm =--u u u u r由()()12,,0QF QF c am bm c am bm ⊥⇒-----=u u u r u u u u r,解得1m =所以(),Q a b ,,22a c b P -⎛⎫⎪⎝⎭ 所以22bb a ca -=-⋅,即2c a =,所以2e = 2. 现有甲、已、丙三个盒子,其中每个盒子中都装有标号分别为1、2、3、4、5、6的六张卡片,现从甲、已、丙三个盒子中依次各取一张卡片使得卡片上的标号恰好成等差数列的取法数为 . 答案:181. 已知O 为坐标原点,平面向量,,OA OB OC u u u r u u u r u u u r满足:24OA OB ==u u u r u u u r ,0OA OB =u u u r u u u rg ,()()20OC OA OC OB --=u u u r u u u r u u u r u u u rg ,则对任意[]0,2θπ∈和任意满足条件的向量OC u u u r ,cos 2sin OC OA OB θθ-⋅-⋅u u u r u u u r u u u r的最大值为 .解:建立直角坐标系,设()()(),,4,0,0,2C x y A B 则由()()20OC OA OC OB --=u u u r u u u r u u u r u u u rg ,得22220x y x y +--=cos 2sin OC OA OB θθ-⋅-⋅=u u u r u u u r u u u r等价于圆()()22112x y -+-=上一点与圆2216x y +=上一点连线段的最大值即为42. 已知数列{n a }的通项公式为121n n a -=+,则01na C +12n a C +33n a C +L +1n n n a C += .答案:23n n +高中数学高考复习每日一道好题201. 已知实数,,a b c 成等差数列,点()3,0P -在动直线0ax by c ++=(,a b 不同时为零)上的射影点为M ,若点N 的坐标为()2,3,则MN 的取值范围是 .解:因为实数,,a b c 成等差数列,所以2b a c =+,方程0ax by c ++=变形为2()20ax a c y c +++=,整理为()2(2)0a x y c y +++=所以2020x y y +=⎧⎨+=⎩,即12x y =⎧⎨=-⎩,因此直线0ax by c ++=过定点()1,2Q -画出图象可得90PMQ ∠=o ,25PQ = 点M 在以PQ 为直径的圆上运动,线段MN 的长度满足55FN MN FN -≤≤+ 即5555MN -≤≤+2. 如果一条直线与一个平面平行,那么称此直线与平面构成一个“平行线面组”,在一个长方体中,由两个顶点确定的直线与含有四个顶点的平面构成的“平行线面组”的个数是 个. 答案:48高中数学高考复习每日一道好题211. 已知函数是定义在R 上的偶函数,当0x ≥时,()()()2502161122xx x f x x ⎧≤≤⎪⎪=⎨⎛⎫⎪+> ⎪⎪⎝⎭⎩.若关于x 的方程()()20,,f x af x b a b ++=∈⎡⎤⎣⎦R ,有且仅有6个不同实数根,则实数a 的取值范围是 .解:设()t f x =,问题等价于()20g t t at b =++=有两个实根12,t t ,12501,14t t <≤<<或1255,144t t =<<所以()()0091014504g g h a g ⎧⎪>⎪⎪≤⇒-<<-⎨⎪⎛⎫⎪> ⎪⎪⎝⎭⎩或()5124591024504a g h a g ⎧<-<⎪⎪⎪>⇒-<<-⎨⎪⎛⎫⎪= ⎪⎪⎝⎭⎩综上, 5924a -<<-或914a -<<-2. 在243()x x +的展开式中,x 的幂的指数是整数的项共有 项.答案:5高中数学高考复习每日一道好题221. 已知椭圆221:132x y C +=的左、右焦点为12,F F ,直线1l 过点1F 且垂直于椭圆的长轴,动直线2l 垂直于1l 于点P ,线段2PF 的垂直平分线与2l 的交点的轨迹为曲线2C ,若()()()11221,2,,,,A B x y C x y 是2C 上不同的点,且AB BC ⊥,则2y 的取值范围是 . 解:由题意22:4C y x =设:(2)1AB l x m y =-+代入22:4C y x =,得()24840y my m -+-= 所以142y m =-,()()2144121x m m m =-+=-设()21:(42)21BC l x y m m m=--++-代入22:4C y x =,得()2248164210y y m m m ⎡⎤+++--=⎢⎥⎣⎦所以122442y y m y m+=-+=-所以(][)2442,610,y m m=--+∈-∞-+∞U2. 5人排成一排照相,要求甲不排在两端,不同的排法共有________种.(用数字作答) 答案:72高中数学高考复习每日一道好题231. 数列{}n a 是公比为23-的等比数列,{}n b 是首项为12的等差数列.现已知99a b >且1010a b >,则以下结论中一定成立的是 .(请填上所有正确选项的序号)①9100a a <;②100b >;③910b b >;④910a a >解:因为数列{}n a 是公比为23-的等比数列,所以该数列的奇数项与偶数项异号,即:当10a >时,2120,0k k a a -><;当10a <时,2120,0k k a a -<>;所以9100a a <是正确的;当10a >时,100a <,又1010a b >,所以100b <结合数列{}n b 是首项为12的等差数列,此时数列的公差0d <,数列{}n b 是递减的. 故知:910b b >当10a <时,90a <,又99a b >,所以90b <结合数列{}n b 是首项为12的等差数列,此时数列的公差0d <,数列{}n b 是递减的. 故知:910b b >综上可知,①③一定是成立的.2. 设5nx (的展开式的各项系数之和为M , 二项式系数之和为N ,若M -N =240, 则展开式中x 3的系数为 . 答案:150高中数学高考复习每日一道好题241. 已知集合(){}2,|21A x y y x bx ==++,()(){},|2B x y y a x b ==+,其中0,0a b <<,且A B I 是单元素集合,则集合()()(){}22,|1x y x a y b -+-≤对应的图形的面积为 .解:()()()2221221202y x bx x b a x ab y a x b ⎧=++⎪⇒+-+-=⎨=+⎪⎩ ()()2222241201b a ab a b ∆=---=⇒+=所以由2210,0a b a b ⎧+=⎪⎨<<⎪⎩得知,圆心(),a b 对应的是四分之一单位圆弧¼MPN (红色). 此时()()(){}22,|1x y x a y b -+-≤所对应的图形是以这四分之一圆弧¼MPN上的点为圆心,以1为半径的圆面.从上到下运动的结果如图所示:是两个半圆(¼ABO 与¼ODE )加上一个四分之一圆(AOEF ),即图中被绿实线包裹的部分。
高三数学每日一练习题高三学生在备战数学考试的过程中,每天都需要进行一些练习题来巩固知识、提高解题能力。
下面是一道高三数学每日一练习题,希望能够帮助同学们夯实数学基础,迎接考试的挑战。
1.已知函数y=f(x)的图像如下图所示,求函数y=f(x)的值域。
(插入图1)解析:对于给出的函数图像,我们可以通过观察来确定其值域。
从图上可以看出,当x取任意实数时,y的取值范围为[-2,2],即y∈[-2,2]。
因此,函数y=f(x)的值域为[-2,2]。
2.已知正方形ABCD的边长为a,点E在AB上且AE:EB=1:2,连接DE并延长交BC于F点,连接AF并延长交BE于G点,求证:DG⊥GF。
(插入图2)证明:为了证明DG⊥GF,我们可以利用数学推理来解决问题。
首先,由于点E在AB上且AE:EB=1:2,可以得知AE为AB的1/3长,EB为AB的2/3长。
同时,因为正方形ABCD的边长为a,所以可以得出AE为a/3长,EB为2a/3长。
接下来,我们来观察三角形DAF和三角形CBF。
由于正方形的对角线相等且垂直,可以得知AF=CD=a。
又因为三角形DAF和三角形CBF有同一个边CF,所以它们的高也相等。
由于CF⊥AB,所以三角形DAF和三角形CBF的高都是CF。
因此,三角形DAF和三角形CBF是全等三角形,它们的两条边对应相等,即DF=FB。
再观察四边形ADFB,我们可以发现,在这个四边形中,AD=FB且DF=FB。
由于两条边相等且对边平行,所以四边形ADFB是一个平行四边形。
根据平行四边形的性质,我们可以得知对角线互相平分。
因此,AG=GB,并且AG=2b/3,GB=b/3。
最后,连接DG和GF。
由于AG=GB,所以点G在DG上。
又因为AF=CD,所以点F在DG上。
综上所述,可以得出结论:DG⊥GF。
通过以上证明,我们成功地证明了DG⊥GF。
3.已知曲线y=2x^2+2x+3的顶点为A,切线方程为y=3x+1,求顶点A的坐标。
寒假高三理科数学每日一练(1)一、选择题(本大题共5小题,每小题5分,满分25分.在每小题给出的四个选项中,只有一项是符合题目要求的.)1、复数z 满足()()212z i --=(为虚数单位),则z 的共轭复数z 是( )A .1i -B .1i +C .3i -D .3i +2、已知集合A ,B 均为全集{}U 1,2,3,4=的子集,且(){}U 4A B =ð,{}1,2B =,则()UA B =ð( ) A .{}3 B .{}4 C .{}3,4 D .∅3、已知等差数列{}n a 满足244a a +=,3510a a +=,则它的前10项和10S =( )A .85B .135C .95D .2395,则( ) 4、某程序框图如图所示,若该程序运行后输出的值是A .4a =B .5a =C .6a =D .7a =5、给出下列四个结论:①若命题:p 0R x ∃∈,20010x x ++<,则:p ⌝R x ∀∈,210x x ++≥;②“()()340x x --=”是“30x -=”的充分不必要条件;③命题“若0m >,则方程20x x m +-=有实数根”的逆否命题为“若方程20x x m +-=没有实数根,则0m ≤”;④若0a >,0b >,4a b +=,则11a b+的最小值为. 其中正确结论的个数是( )A .B .2C .3D .4二、填空题(本大题共4小题,每小题5分,满分20分.) 6、设二项式6的展开式中常数项为A ,则A = . 7、设z kx y =+,其中实数x ,y 满足20240240x y x y x y +-≥⎧⎪-+≥⎨⎪--≤⎩,若z 的最大值为12,则k = .8、在区间[]3,3-上随机取一个数x ,使得125x x -++≤成立的概率为 .9、(几何证明选讲选做题)如图,AB 为O 的直径,弦C A 、D B 相交于点P ,若3AB =,CD 1=,则cos ∠APB 的值是_________.三、解答题(本大题共2小题,共24分.解答应写出文字说明、证明过程或演算步骤.)10、(本小题满分12分)函数()()cos f x x πϕ=+(02πϕ<<)的部分图象如图所示.()1写出ϕ及图中0x 的值; ()2设()()13g x f x f x ⎛⎫=++ ⎪⎝⎭,求函数()g x 在区间11,23⎡⎤-⎢⎥⎣⎦上的最大值和最小值.11、(本小题满分12分)在某次考试中,从甲、乙两个班各抽取10名学生的数学成绩进行统计分析,两个班成绩的茎叶图如图所示,成绩不小于90分的为及格.()1用样本估计总体,请根据茎叶图对甲、乙两个班级的成绩进行比较;()2求从甲班10名学生和乙班10名学生中各抽取一人,已知有人及格的条件下乙班同学不及格的概率;()3从甲班10人中抽取一人,乙班10人中抽取二人,三人中及格人数记为X ,求X 的分布列和数学期望.寒假高三理科数学每日一练(1)参考答案1、C2、A3、C4、A5、C6、20-7、28、569、13- 10、解:()1ϕ的值是π6………………2分 0x 的值是53………………4分 ()2由题意可得:11ππ()cos(π())cos(π)sin π3362f x x x x +=++=+=-……………6分 所以1π()()cos(π)sin π36f x f x x x ++=+- ππcos πcos sin πsin sin π66x x x =--………………7分1πsin πsin π2x x x =--3ππsin ππ)23x x x =-=+………………9分 因为11[,]23x ∈- 所以ππ2ππ633x -≤+≤………………10分所以 当ππ03x +=,即13x =-时,()g x当π2ππ33x +=,即13x =时,()g x 取得最小值………………12分 11、解:()1从茎叶图可以得到:甲班的平均分为89分;乙班平均分为89分 甲班的方差>乙班的方差所以甲乙两班平均分相同,但是乙班比甲班成绩更集中更稳定……4分(本小问只要学生说出两点以上正确的分析内容就可以给分)()2事件“从甲班10名学生和乙班10名学生中各抽取一人,已知有人及格”记A ; 事件“从甲班10名学生和乙班10名学生中各抽取一人,乙班同学不及格”记B 则()()()2/7P A B P B A P A ⋅==……………………8分 ()3X 的取值为0,1,2,3数学期望()E X=……………………12分5。
——不等式性质应用1.已知0<<b a ,则( ) A.a1<b1 B.10<<b a C.ab >2b D.a b >ba 2.已知cb a ,,R ∈,则( )A. b a >⇒2ac >2bcB.b a cb ca>⇒>C.b a ab b a 11033<⇒⎭⎬⎫>>D.b a ab b a 11022<⇒⎭⎬⎫>> 3.若b a >,且0<+b a ,则( )A.b a >B.ba11> C. b a < D.ba11< 4.已知0<c ,则( )A.0c >c )21( B.2c >c )21( C.2c <c )21( D.c )21(>(31)c 5.已知b a ,R ∈,则( )A.“b a >”是“22b a >”的必要条件B.“b a >”是“b a -<-11”的充要条件C.“b a >”是b a >的充分条件D.“b a >”是22b a >的必要条件 6.若0<<y x ,则( )A.02<<xy xB. 22y xy x >>C. 022<<y xD. xy y x >>22 7.已知0=++z y x ,且z y x >>,则( )A.yz xy >B. yz xz >C. xz xy >D. y z y x > 8.已知0,0>>>>d c b a 则( )A.0>-cd abB.0>-ad bcC.0>-ab cdD.0>-bd ac—— 一元二次不等式解法1.不等式222x x +<的解集是( )A.),1(+∞B.)0,(-∞C. ),(+∞-∞D. ),0(+∞ 2.不等式3-5x -2x 2<0的解集为( )A.RB.空集C.}213|{<<-x xD.}213|{>-<x x x 或 3.不等式0412<++bx x 的解集为φ,则( ) A.1<b B.11<->b b 或 C.11≤≤-b D.11>-<b b 或4.不等式11622++--x x x x <0的解集为( )A.(+∞-,31)B.(21,∞-)C.(21,31-)D.(31,-∞-) 5.若函数()x f =12++mx mx 的定义域是全体实数,则实数m 的取值范围是 。
高三数学每日一练(29)——奇偶性(2)1.下列函数中既是奇函数又存在极值的是( )A .3x y = B .)ln(x y -= C .xxe y = D .xx y 2+= 2.已知函数)(x f 为奇函数,且当0>x 时,xx x f 1)(2+=,则=-)1(f ( ) A .-2 B .0 C .1 D .23.(2014·某某理,3)已知f (x )、g (x )分别是定义在R 上的偶函数和奇函数,且f (x )-g (x )=x 3+x 2+1,则f (1)+g (1)=( )A .-3B .-1C .1D .34.已知函数f (x )是R 上的偶函数,g (x )是R 上的奇函数,且g (x )=f (x -1),若g (1)=2,则f (2014)的值为( )A .2B .0C .-2D .±2 5.已知函数()1log 1a mxf x x -=-是奇函数()01a a <≠且 (1)求m 的值(2)判断()f x 在区间()1,+∞上的单调性并加以证明(3)当1,a >(x ∈时,()f x 的值域是()1,+∞,求a 的值高三数学每日一练(30)——奇偶性(3)1.(2014·某某某某灵宝实验高中月考)f (x )=tan x +sin x +1,若f (b )=2,则f (-b )=( )A .0B .3C .-1D .-22.已知f (x )是奇函数,g (x )是偶函数,且f (-1)+g (1)=2,f (1)+g (-1)=4,则g (1)等于 ( )A .4B .3C .2D .13.如果奇函数)(x f 在]7,3[上是增函数且最小值是5,那么)(x f 在]3,7[--上是( )A .增函数且最小值是5-B .增函数且最大值是5-C .减函数且最小值是5-D .减函数且最大值是5- 4.已知函数()sin 3f x x x π=+-, 则12340292015201520152015f f f f ⎛⎫⎛⎫⎛⎫⎛⎫++++ ⎪ ⎪ ⎪ ⎪⎝⎭⎝⎭⎝⎭⎝⎭的值为.5.已知函数()21ax f x bx c+=+是奇函数,,,a b c 为常数(1) 某某数c 的值;(2) 若,a b Z ∈,且()()12,23f f =<,求()f x 的解析式;(3) 对于(2)中的()f x ,若()2f x m x ≥-对()0,x ∈+∞恒成立,某某数m 的取值X 围.高三数学每日一练(31)——奇偶性(4)1.下列函数中,与函数,0,1,0x x e x y x e ⎧≥⎪=⎨⎛⎫<⎪ ⎪⎝⎭⎩的奇偶性相同,且在(),0-∞上单调性也相同的是( )A .1y x=-B .22y x =+C .33y x =- D .1log ey x =2.定义在R 上的偶函数()f x 满足:对任意的1212,[0,)()x x x x ∈+∞≠,有2121()()0f x f x x x -<-.则( )A .(3)(2)(1)f f f <-<B .(1)(2)(3)f f f <-<C .(2)(1)(3)f f f -<<D .(3)(1)(2)f f f <<-3.(2015某某市3月质检)已知函数(1)f x -是定义在R 上的奇函数,且在[0,)+∞上是增函数,则函数()f x 的图象可能是( )4.(2014·华师附中检测)已知函数f (x )是定义域为R 的偶函数,且f (x +1)=-f (x ),若f (x )在[-1,0]上是减函数,那么f (x )在[1,3]上是( )A .增函数B .减函数C .先增后减的函数D .先减后增的函数5.已知函数y =f (x )的定义域为R .且对任意a ,b ∈R ,都有f (a +b )=f (a )+f (b ).且当x >0时,f (x )<0恒成立,f (3)=-3.(1)证明:函数y =f (x )是R 上的减函数; (2)证明:函数y =f (x )是奇函数;(3)试求函数y =f (x )在[m ,n ](m ,n N ∈+)上的值域.高三数学每日一练(32)——奇偶性(5)1.(2014·某某某某专题练习)若函数f (x ),g (x )分别是R 上的奇函数、偶函数,且满足f (x )-g (x )=e x ,则有( )A .f (2)<f (3)<g (0)B .g (0)<f (3)<f (2)C .f (2)<g (0)<f (3)D .g (0)<f (2)<f (3) 2.(2014·某某和平区期末)已知函数y =f (x )是偶函数,y =f (x -2)在[0,2]上单调递减,设a =f (0),b =f (2),c =f (-1),则( )A .a <c <bB .a <b <cC .b <c <aD .c <b <a3.(2014·某某统一检测)已知f (x )是定义在R 上的奇函数,且在[0,+∞)上单调递增,若f (lg x )<0,则x 的取值X 围是( )A .(0,1)B .(1,10)C .(1,+∞) D.(10,+∞)4.(2014·某某某某一中调研)若f (x )=3x +sin x ,则满足不等式f (2m -1)+f (3-m )>0的m 的取值X 围为________.5.已知定义在(1,1)-上的函数2()1ax b f x x +=+为奇函数,且12()25f =. (1)求()f x 的解析式;(2)判断()f x 的单调性,并解关于t 的不等式(1)()0f t f t -+<.高三数学每日一练(33)——奇偶性(6)1.如果函数xx f )21()(=(-+∞<<∞x ),那么函数)(x f 是 ( )A. 奇函数,且在)0,(-∞上是增函数B. 偶函数,且在)0,(-∞上是减函数C. 奇函数,且在),0(+∞上是增函数D. 偶函数,且在),0(+∞上是减函数 2.偶函数)(x f 在区间],0[a (0>a )上是单调函数,且0)()0(<⋅a f f ,则方程0)(=x f 在区间],[a a -内根的个数是( )A .1B .2C .3D .03.定义两种运算:m n ⊕=,a b a b ⊗=-,则函数2()(2)2xf x x ⊕=⊗-是( )A .奇函数B .偶函数C .奇函数且为偶函数D .非奇函数且非偶函数4.已知R 上的不间断函数()g x 满足:(1)当0x >时,'()0g x >恒成立;(2)对任意的x R ∈都有()()g x g x =-。
1.330cos =( )A .23-B .21- C .21 D .23 2.“p 或q 是假命题”是“非p 为真命题”的 ( ) A .充分而不必要条件 B .必要而不充分条件C .充要条件D .既不充分也不必要条件3.函数2)21(2-==x xy y 与函数的图象关于( )A.直线x = 1对称B.直线x = 2对称C.点(1,0)对称D.点(2,0)对称4.已知向量x b b a x x b x a 则若其中,//)2(,1),1,(),21,8(+>==的值为( )A .0B .2C .4D .85.已知等比数列8050202991,01610,,0,}{a a a x x a a a a n n 则的两根为方程中=+->的值为A .32B .64C .128D .2566.若ααπααsin cos ,22)4sin(2cos +-=-则的值为( ) A.27- B.21- C.21 D.277.函数x e x f x1)(-=的零点个数为 。
8.若βαβαβαtan tan ,53)cos(,51)cos(⋅=-=+则= 。
9.等差数列1815183,18,6,}{S S S S S n a n n 则若项和为的前=--== 。
10.如图,某地一天从6时到14时的温度变化曲线近似满足函数)20()sin(πϕϕω<≤++=B x A y ,则温度变化曲线的函数解析式为 。
11.在△ABC 中,a 、b 、c 分别是角A 、B 、C 的对边,.21,53cos -=⋅=BC AB B 且(I )求△ABC 的面积; (II )若a = 7,求角C.1.设集合{2,1,0,1,2},{|12},()S T x R x ST =--=∈+≤=S 则C ( )A .∅B .{2}C .{1,2}D .{0,1,2}2.已知向量(1)(12)n n ==--,,,a b ,若a 与b 共线,则n 等于( )A .1BC .2D .43.函数221y x x =++在x =1处的导数等于( )A .2B .3C .4D .54.设p :0m ≤,q :关于x 的方程20x x m +-=有实数根,则p ⌝是q 的( )A .充分不必要条件B .必要不充分条件C .充分必要条件D .既不充分也不必要条件5.一个四边形的四个内角成等差数列,最小角为40,则最大角为( )A .140B .120C .100D .806已知函数f (x )在区间 [a ,b ]上单调,且f (a )•f (b )<0,则方程f (x )=0在区间[a ,b ]内( ) A .至少有一实根 B .至多有一实根 C .没有实根 D .必有惟一实根7.4只笔与5本书的价格之和小于22元,而6只笔与3本书的价格之和大于24元,则2只笔与3本书的价格比较( )A .2只笔贵B .3本书贵C .二者相同D .无法确定 8.函数3()31f x x x =-+的单调减区间是 ;9.定义在R 上的奇函数f (x )满足(1)()f x f x +=-,若(0.5)1,f =则(7.5)f =________; 10.已知0>a ,函数ax x x f -=3)(在[)∞+,1上是单调增函数,则a 的最大值是11.已知函数⎩⎨⎧<+≥-=10)]5([103)(n n f f n n n f ,其中*∈N n ,则)8(f 的值为 12.已知,圆C :012822=+-+y y x ,直线l :02=++a y ax .(1) 当a 为何值时,直线l 与圆C 相切;(2) 当直线l 与圆C 相交于A 、B 两点,且22=AB 时,求直线l 的方程.1、已知集合{}12S x x =∈+≥R ,{}21012T =--,,,,,则S T =( )A .{}2B .{}12,C .{}012,,D .{}1012-,,,2. 函数2log 2-=x y 的定义域是( ) A.),3(+∞ B.),3[+∞ C.),4(+∞ D.),4[+∞3.在等比数列}{n a 中,123401,9n a a a a a >+=+=且,则54a a +的值为 ( )A .16B .27C .36D .814.若直线0201)1(22=-+=+++x y x y x a 与圆相切,则a 的值为 ( )A .1,-1B .2,-2C .1D .-15a b =3b a -=7,则向量a与向量b 的夹角是( )A .6πB .4π C .3π D .2π6.1-=a 是直线03301)12(=++=+-+ay x y a ax 和直线垂直的 ( )A .充分而不必要的条件B .必要而不充分的条件C .充要条件D .既不充分又不必要的条件7、函数2()1log f x x =+与1()2x g x -+=在同一直角坐标系下的图象大致是( )8.已知53)4cos(=+x π,则x 2sin 的值为( ) A.2524- B.257- C.2524 D.257 9、已知函数()y f x =为奇函数,若(3)(2)1f f -=,则(2)(3)f f ---= .10、已知236,-0,30x y x y z x y y +≤⎧⎪≥=-⎨⎪≥⎩则.的最大值为 。
高中数学每日试题及答案1. 已知函数f(x) = 2x^2 - 3x + 1,求f(-1)的值。
答案:将-1代入函数f(x) = 2x^2 - 3x + 1中,得到f(-1) = 2(-1)^2 - 3(-1) + 1 = 2 + 3 + 1 = 6。
2. 解方程:3x - 5 = 2x + 1。
答案:首先将方程两边的x项移项,得到3x - 2x = 1 + 5,简化后得到x = 6。
3. 计算下列极限:lim (x→0) [sin(x) / x]。
答案:根据洛必达法则,当x趋近于0时,sin(x) / x的极限等于1。
4. 已知数列{an}满足a1 = 1,an = 2an-1 + 1,求a3的值。
答案:根据递推公式,a2 = 2a1 + 1 = 2 * 1 + 1 = 3,a3 = 2a2 +1 =2 *3 + 1 = 7。
5. 求解不等式:x^2 - 4x + 3 < 0。
答案:首先将不等式因式分解为(x - 1)(x - 3) < 0,解得1 < x < 3,即不等式的解集为(1, 3)。
6. 已知圆的方程为(x - 2)^2 + (y - 3)^2 = 9,求圆心坐标和半径。
答案:圆心坐标为(2, 3),半径为3。
7. 计算定积分:∫(0 to 1) (2x + 1) dx。
答案:首先求被积函数的原函数F(x) = x^2 + x,然后将上限1和下限0代入F(x),得到F(1) - F(0) = 1^2 + 1 - (0^2 + 0) = 2。
8. 已知向量a = (3, 4),向量b = (-1, 2),求向量a与向量b的点积。
答案:向量a与向量b的点积为a·b = (3 * -1) + (4 * 2) = -3 +8 = 5。
9. 求函数y = x^3 - 6x^2 + 9x + 1在x = 2处的导数值。
答案:首先求函数的导数y' = 3x^2 - 12x + 9,然后将x = 2代入y'得到y'(2) = 3(2)^2 - 12(2) + 9 = 12 - 24 + 9 = -3。
一、选择题(每题5分,共50分)1. 已知函数$f(x)=x^3-3x^2+4x+6$,若存在实数$a$,使得$f(a)=0$,则$f'(a)$的值为()A. 1B. 2C. 3D. 42. 若向量$\vec{a}=(1,2,3)$,向量$\vec{b}=(2,1,-1)$,则$\vec{a}\cdot\vec{b}$的值为()A. 8B. 7C. 6D. 53. 在三角形ABC中,角A、B、C的对边分别为a、b、c,且$cosA=\frac{1}{2}$,$cosB=\frac{3}{4}$,则角C的大小为()A. $30^\circ$B. $45^\circ$C. $60^\circ$D. $90^\circ$4. 已知等差数列$\{a_n\}$的前$n$项和为$S_n$,若$a_1+a_5=10$,$a_2+a_4=12$,则$S_6$的值为()A. 30B. 36C. 42D. 485. 函数$f(x)=\frac{x^2-4}{x-2}$的图像与x轴的交点个数为()A. 1B. 2C. 3D. 46. 已知椭圆$\frac{x^2}{a^2}+\frac{y^2}{b^2}=1$的离心率为$\frac{\sqrt{3}}{2}$,且经过点$(2,1)$,则$a$的值为()A. 2B. 4C. 6D. 87. 若等比数列$\{a_n\}$的首项$a_1=2$,公比$q=3$,则$a_5$的值为()A. 18B. 24C. 30D. 368. 若函数$f(x)=ax^2+bx+c$在$x=1$时取得极值,则$a$、$b$、$c$之间的关系为()A. $a+b+c=0$B. $a+b+c=1$C. $a+b+c\neq0$D. $a+b+c\neq1$9. 已知函数$f(x)=\ln x$在区间$(0,+\infty)$上单调递增,则$f(x)$的反函数在区间$(0,+\infty)$上的单调性为()A. 单调递增B. 单调递减C. 不单调D. 无法确定10. 已知函数$f(x)=\frac{1}{x}$在区间$(0,+\infty)$上连续,则$f(x)$的图像在x轴上的对称轴为()A. x=1B. x=0C. x=-1D. 无对称轴二、填空题(每题5分,共50分)11. 已知函数$f(x)=x^3-6x^2+9x$,若$f'(x)=0$,则$x$的值为______。
一、选择题(本大题共12小题,每小题5分,共60分)1. 下列各式中,不是基本初等函数的是()A. y = x^2B. y = log2xC. y = sinxD. y = e^x2. 函数f(x) = x^3 - 3x在区间[-1, 1]上的极值点是()A. x = -1B. x = 0C. x = 1D. 不存在3. 已知函数f(x) = ax^2 + bx + c在x = 1时取得最小值,则a, b, c应满足()A. a > 0, b = 0, c = 0B. a < 0, b = 0, c = 0C. a > 0, b ≠ 0, c ≠ 0D. a < 0, b ≠ 0, c ≠ 04. 下列各数中,属于实数集R的是()A. √(-1)B. iC. √4D. π5. 若复数z满足|z - 1| = 2,则复数z在复平面内的轨迹是()A. 圆B. 线段C. 双曲线D. 双曲线的一部分6. 已知向量a = (1, 2),向量b = (2, 3),则向量a和向量b的夹角θ的余弦值是()A. 1/5B. 2/5C. 3/5D. 4/57. 已知等差数列{an}的前n项和为Sn,且S5 = 35,S10 = 105,则公差d等于()A. 1B. 2C. 3D. 48. 已知函数f(x) = (x - 1)^2 + 2x,则f(x)的对称轴是()A. x = 1B. x = -1C. y = 1D. y = -19. 若等比数列{an}的首项a1 = 1,公比q = 2,则数列的第4项a4等于()A. 8B. 4C. 2D. 110. 下列各函数中,是奇函数的是()A. y = x^2B. y = |x|C. y = x^3D. y = x^411. 已知圆C的方程为x^2 + y^2 - 2x - 4y + 5 = 0,则圆C的半径r等于()A. 1B. 2C. √5D. 512. 若直线l的方程为2x + 3y - 6 = 0,点P(1, 2)到直线l的距离d等于()A. 1B. 2C. √5D. 3二、填空题(本大题共6小题,每小题5分,共30分)13. 已知函数f(x) = x^2 - 4x + 4,则f(x)的顶点坐标是______。
高三数学基础训练题每日一练(7周)(总6页)--本页仅作为文档封面,使用时请直接删除即可----内页可以根据需求调整合适字体及大小--每日一练(三十一)1、给出下列函数①3y x x =-,②sin cos ,y x x x =+③sin cos ,y x x =④22,x x y -=+其中是偶函数的有( ) A .1个 B .2个C .3 个D .4个2、在等差数列{a n }中,,3321=++a a a 165302928=++a a a 则此数列前30项和等于( )(A )810 (B )840 (C )870 (D )9003、程序框图如下:如果上述程序运行的结果为S =132,那么判断框中应填入( )A .10?k ≤B .10?k ≥C .11?k ≤D .11?k ≥4、(cos 2,sin ),(1,2sin 1),(,)2a b πααααπ==-∈,若2,tan()54a b πα=+=则( )A .13B .27C .17D .235、已知椭圆中心在原点,一个焦点为(23,0)F -,且长轴是短轴长的2倍,则该椭圆的标准方程是 。
6、函数()sin()(0,0,||)2f x A x A πωϕωϕ=+>><的部分图象如图1所示,则()f x = 图17、函数)2(log 221x x y -=的定义域是 ,单调递减区间是_______8、已知函数32)(2+-=mx x x f ,当()+∞-∈,2x 时为增函数,在()2,-∞-∈x 时为减函数,则f(1) = 。
2-2O 62xy9、若点(2,41)既在函数y=2ax+b的图象上,又在它的反函数的图象上,则a=_____, b=____. 10、已知tan 2θ=(Ⅰ)求tan()4πθ+的值 (Ⅱ)求cos2θ的值每日一练(三十二)1、若函数f(x)=x 2+b x +c 的图象的顶点在第四象限,则函数f ˊ(x)的图象是( )2、在各项均为正数的等比数列{a n }中,若a 2a 9=9,则3132310log log log a a a +++=(A )12 (B )10 (C )8 (D )32log 5+3、在△ABC 中,a ,b ,c 分别是角A 、B 、C 的对边,)cos ,(cos ),,2(C B b c a =+= 且⊥,则∠B 的值为( ) A .3π B .32π C .2π D .323ππ或4、已知函数xxx f +-=11lg)(,若b a f =)(,则=-)(a f ____________ 5、若以连续掷两次骰子分别得到的点数m,n 作为P 点的坐标,则点P 在圆1622=+y x 内的概率为__________6、双曲线22y x m -=(0m >)的离心率为 。
一、选择题(本大题共10小题,每小题5分,共50分。
在每小题给出的四个选项中,只有一项是符合题目要求的。
)1. 函数f(x) = x^3 - 3x + 1在区间[-1, 2]上的极值点个数为:A. 1个B. 2个C. 3个D. 4个2. 已知等差数列{an}的前n项和为Sn,若S10 = 55,S20 = 145,则公差d为:A. 1B. 2C. 3D. 43. 已知复数z = 1 + bi(b∈R),若|z-2i| = √5,则b的值为:A. 2B. -2C. 1D. -14. 若不等式x^2 - 4x + 3 < 0的解集为A,不等式x^2 - 6x + 9 ≥ 0的解集为B,则集合A∩B的元素个数是:A. 1B. 2C. 3D. 45. 已知函数f(x) = (x-1)/(x+1),则f(-1)的值为:A. 0B. 1C. -1D. 不存在6. 若a、b是等差数列的前两项,且a+b=6,ab=8,则该等差数列的公差为:A. 2B. 4C. 6D. 87. 已知等比数列{an}的首项a1=1,公比q=2,则该数列的第5项an为:A. 16B. 32C. 64D. 1288. 若等差数列{an}的前n项和为Sn,且S5 = 50,S10 = 150,则该数列的公差d 为:A. 5B. 10C. 15D. 209. 已知函数f(x) = ax^2 + bx + c(a≠0),若f(-1) = 3,f(1) = 5,则f(0)的值为:A. 1B. 2C. 3D. 410. 已知复数z = 3 + 4i,若|z-2i| = √5,则z的实部为:A. 3B. 4C. 5D. 6二、填空题(本大题共10小题,每小题5分,共50分。
把答案填写在题中的横线上。
)11. 已知等差数列{an}的前n项和为Sn,若S10 = 55,则S15 = ________。
12. 若复数z = 1 + bi(b∈R),且|z-2i| = √5,则b的值为 ________。
每日一练6.18
1.已知函数()f x 满足()12f =,()()
()
111f x f x f x ++=-,
则()()()()1232007f f f f ⋅⋅⋅⋅L 的值为 。
-3
2.若圆0422
2
2
=-+-+m mx y x 与圆084422
2
2
=-+-++m my x y x 相切,则实数m 的
取值集合是 _________}2,0,2
5
,512{--
3.已知()x f =x 3-3ax ,R x ∈。
(1)若当x=1时,()x f 取得极值,求证:对任意x 1,x 2()1,1-∈都有()()421<-x f x f ; (2)若()x f 是[)+∞,1上的单调函数,求实数a 的取值范围;
(3)在(2)的条件下,若x 01≥,()10≥x f 有()[]00x x f f =,求证:()00x x f = 解:(1)∵()x f '=3x 2
-3a ,x=1是y=()x f 的一个极值点
∴()1f '=3-3a=0 ∴()x f '=3x 2
-3 ()x f =x 3-3x
∵当-1≤x ≤1时, ()x f '≤0 ∴()x f 在[]1,1-上是减函数 ∴当x ∈[]1,1-时,()x f 的最大值为()1-f =1,最小值为()1f =-2 ∴对任意x 1,x 2()1,1-∈时都有()()()()41121<--<-f f x f x f 。
(2)()x f '=3x 2
-3a
若()x f 在[)+∞,1上是减函数,则3x 2
-3a ≤0在[)+∞,1上恒成立,
即a ≥x 2在[)+∞,1上恒成立,此时a 不存在
若()x f 在[)+∞,1上是增函数,则3x 2
-3a ≥0在[)+∞,1上恒成立,
即a ≤x 2在[)+∞,1上恒成立,∴a ≤1。
(3)若()100≥>x x f ,由(2)知()[]()00x f x f f > ∵()[]00x x f f = ∴()00x f x >这与假设矛盾。
若()100≥>x f x ,由(2)知()()[]00x f f x f >
∵()[]00x x f f = ∴()00x f x <这与假设矛盾,因此()00x x f =
每日一练6.19
1. 已知直线l 过点)1,2(P ,且与x 轴、y 轴的正半轴分别交于A 、B 两点,O 为坐标原点,则
△OAB 面积的最小值为 ____________。
当2
1
-=k 时,OAB S ∆有最小值4 2.两圆1)1(22=+-y x 和1)1(2
2=-+y x
3.已知4()log (41)x
f x kx =++()k R ∈是偶函数.
(1) 求k 的值;
(2) 证明:对任意实数b ,函数()y f x =的图象与直线b x y +=2
1
最多只有一个交点; (3)设⎪⎭
⎫
⎝
⎛-
⋅=a a x g x
342log )(4,若函数()f x 与()g x 的图象有且只有一个公共点,求实数a 的取值范围.
.解:(1) 由题设()()f x f x -=,即44log (4
1)log (41)x
x kx kx -+-=++
整理得 kx kx x x
x
++=-+)14(log 4
14log 44, 44log (41)(1)log (41)x x k x kx +-+=++,解得2
1-=k .
(2)由(1)得41()log (41)2
x f x x =+-
. 令b x x x +=-+2121)14(log 4,得4144x b x
+=⋅.
假设方程有两个不相同的实根x 1、x 2,则 1
1
4414x b x ⋅=+, ① 2
2
4414x b x ⋅=+,② ②-①得 )44(4441
2
1
2
x x b x x -=-. 因为21
44
x x ≠,所以4b =1,即b =0,
代入①或②不成立,假设错误,命题成立. (注:本小题也可利用函数单调性质求解如下: 对于22
4414
x b x ⋅=+,若0b =,则414x x +=,矛盾;若0b ≠,则1
441
x b =
-, 当0b <时,40x
<,方程4144x b x
+=⋅无解; 当0b >时,1
4041
x
b
=
>-,由指数函数的性质可知,x 的值存在且唯一, 所以4144x
b x
+=⋅有唯一解,命题成立.
(3) 由()()f x g x =得 4414log (41)log 22
3x x x a a ⎛⎫+-=⋅- ⎪⎝
⎭
,
即2
414(2)3
4x x x a +=-,4412(2)3
x x x a +=⋅-,整理得0123
42)1(2=---x x a a 令2x
t =,则0t >
由题设,方程24(1)103
a a t t ---=只有一个正实根.
① 当a =1时,方程4103t --=无正实根;
② 当a ≠1时,若0)1(49162=-+=∆a a ,解得4
3
=a 或a=-3. 而 43=a 时,t=-2;a=-3时,t =21
>0 .
若0)1(49162>-+=∆a a ,即a <-3或43>a ,则应有t 1t 2=1
1--a <0,所以a >1.
综上所述,当a ∈{-3}∪(1,∞)时,函数()f x 与()g x 的图象有且只有一个公共点。