常见函数的泰勒级数展开
- 格式:pdf
- 大小:98.67 KB
- 文档页数:4
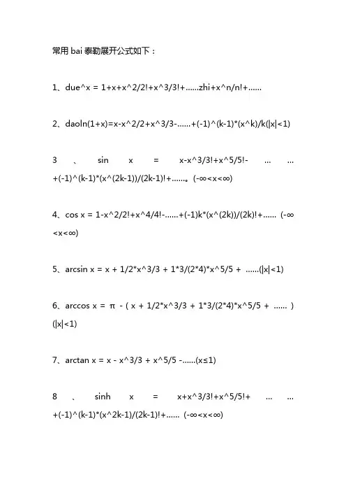
常用十个泰勒绽开公式常用bai泰勒绽开公式如下:1、due^x = 1+x+x^2/2!+x^3/3!+……zhi+x^n/n!+……2、daoln(1+x)=x-x^2/2+x^3/3-……+(-1)^(k-1)*(x^k)/k(|x|<1)3、sin x = x-x^3/3!+x^5/5!-……+(-1)^(k-1)*(x^(2k-1))/(2k-1)!+……。
(-∞<x<∞)4、cos x = 1-x^2/2!+x^4/4!-……+(-1)k*(x^(2k))/(2k)!+……(-∞<x<∞)5、arcsin x = x + 1/2*x^3/3 + 1*3/(2*4)*x^5/5 + ……(|x|<1)6、arccos x = π- ( x + 1/2*x^3/3 + 1*3/(2*4)*x^5/5 + ……) (|x|<1)7、arctan x = x - x^3/3 + x^5/5 -……(x≤1)8、sinh x = x+x^3/3!+x^5/5!+……+(-1)^(k-1)*(x^2k-1)/(2k-1)!+……(-∞<x<∞)9、cosh x = 1+x^2/2!+x^4/4!+……+(-1)k*(x^2k)/(2k)!+……(-∞<x<∞)10、arcsinh x = x - 1/2*x^3/3 + 1*3/(2*4)*x^5/5 - ……(|x|<1)11、arctanh x = x + x^3/3 + x^5/5 + ……(|x|<1)扩展资料:数学中,泰勒公式是一个用函数在某点的信息描述其四周取值的公式。
假如函数足够平滑的话,在已知函数在某一点的各阶导数值的状况之下,泰勒公式可以用这些导数值做系数构建一个多项式来近似函数在这一点的邻域中的值。
泰勒公式还给出了这个多项式和实际的函数值之间的偏差。
泰勒公式得名于英国数学家布鲁克·泰勒。
8个常用泰勒展开式
1.正弦泰勒展开式:将正弦函数展开为无限级数形式,可以用于解决周期性振动问题。
2. 余弦泰勒展开式:类似于正弦泰勒展开式,将余弦函数展开为无限级数形式,也可用于周期性振动问题。
3. 指数函数泰勒展开式:将指数函数展开为无限级数形式,可用于求解微积分学和常微分方程等问题。
4. 自然对数函数泰勒展开式:将自然对数函数展开为无限级数形式,常常用于求解复杂的微积分问题。
5. 三角函数反函数泰勒展开式:将三角函数的反函数展开为无限级数形式,可用于求解三角函数的反函数值。
6. 阶乘函数泰勒展开式:将阶乘函数展开为无限级数形式,可以用于解决组合学和离散数学等问题。
7. 多项式函数泰勒展开式:将多项式函数展开为无限级数形式,可用于求解各种数学问题。
8. 分段函数泰勒展开式:将分段函数展开为无限级数形式,可用于求解分段函数在不同区间的表达式。
- 1 -。
8个常用泰勒级数展开常用泰勒级数是数学中的一个重要概念,它可以用来近似计算各种函数的值。
在本文中,我们将介绍8个常用泰勒级数,并讨论它们的应用。
1. 正弦函数的泰勒级数正弦函数的泰勒级数是一个无限级数,它可以用来近似计算正弦函数在某个点的值。
这个级数的形式非常简单,只需要将正弦函数在0点处展开即可。
正弦函数的泰勒级数在物理学和工程学中有广泛的应用。
2. 余弦函数的泰勒级数余弦函数的泰勒级数与正弦函数的泰勒级数非常相似,只是系数有所不同。
余弦函数的泰勒级数也可以用来近似计算余弦函数在某个点的值。
3. 指数函数的泰勒级数指数函数的泰勒级数是一个无限级数,它可以用来近似计算指数函数在某个点的值。
这个级数的形式非常简单,只需要将指数函数在0点处展开即可。
指数函数的泰勒级数在金融学和经济学中有广泛的应用。
4. 对数函数的泰勒级数对数函数的泰勒级数是一个无限级数,它可以用来近似计算对数函数在某个点的值。
这个级数的形式比较复杂,但是可以通过一些技巧来简化计算。
对数函数的泰勒级数在统计学和计算机科学中有广泛的应用。
5. 正切函数的泰勒级数正切函数的泰勒级数是一个无限级数,它可以用来近似计算正切函数在某个点的值。
这个级数的形式比较复杂,但是可以通过一些技巧来简化计算。
正切函数的泰勒级数在物理学和工程学中有广泛的应用。
6. 反正弦函数的泰勒级数反正弦函数的泰勒级数是一个无限级数,它可以用来近似计算反正弦函数在某个点的值。
这个级数的形式比较复杂,但是可以通过一些技巧来简化计算。
反正弦函数的泰勒级数在统计学和计算机科学中有广泛的应用。
7. 反余弦函数的泰勒级数反余弦函数的泰勒级数是一个无限级数,它可以用来近似计算反余弦函数在某个点的值。
这个级数的形式比较复杂,但是可以通过一些技巧来简化计算。
反余弦函数的泰勒级数在统计学和计算机科学中有广泛的应用。
8. 反正切函数的泰勒级数反正切函数的泰勒级数是一个无限级数,它可以用来近似计算反正切函数在某个点的值。
常见泰勒级数一、概述泰勒级数是数学中的一个重要概念,用来近似表示函数。
通过泰勒级数可以把一个函数表示成无穷级数的形式,从而可以更好地理解函数的性质和行为。
常见的泰勒级数包括正弦级数、余弦级数和指数级数等。
二、正弦级数正弦级数是指将一个任意的函数表示成无穷级数形式的一种表示方法。
对于一个可导的函数f(x),正弦级数的形式为:f(x)=a0+a1sin(x)+a2sin(2x)+⋯+a n sin(nx)+⋯其中,a n是f(x)的傅里叶系数,具体计算公式为:a n=1π∫fπ−π(x)sin(nx)dx三、余弦级数余弦级数是将函数表示成无穷级数形式的另一种表示方法。
对于一个可导的函数f(x),余弦级数的形式为:f(x)=a0+a1cos(x)+a2cos(2x)+⋯+a n cos(nx)+⋯余弦级数的傅里叶系数的计算公式为:a n=1π∫fπ−π(x)cos(nx)dx四、指数级数指数级数是将一个函数表示成无穷级数形式的一种重要方法。
形式如下:f(x)=⋯+a−2e−2x+a−1e−x+a0+a1e x+a2e2x+⋯其中,a n是f(x)的傅里叶系数,计算公式为:a n=12π∫fπ−π(x)e−inx dx五、常见函数的泰勒级数展开1.指数函数的泰勒级数展开式为:e x=1+x+x22!+x33!+x44!+⋯2.正弦函数的泰勒级数展开式为:sin(x)=x−x33!+x55!−⋯+(−1)nx2n+1(2n+1)!+⋯3.余弦函数的泰勒级数展开式为:cos(x)=1−x22!+x44!−⋯+(−1)nx2n(2n)!+⋯六、应用泰勒级数的应用非常广泛,可以用来近似计算各种复杂函数。
比如,在物理学、工程学等领域中,常常需要对复杂的曲线进行近似,这时可以使用泰勒级数来展开函数,从而得到更简洁、易于计算的表达式。
另外,泰勒级数还可以用来研究函数的性质和行为。
通过泰勒级数展开,我们可以更好地理解函数的变化规律,推导出一些重要的数学结论。
泰勒展开常用公式泰勒展开常用公式1. 泰勒展开的概念泰勒展开是数学中一种重要的方法,用于将函数表示为无穷级数的形式。
它基于泰勒定理,是将函数在某一点的邻域内用无穷多个项的级数进行逼近的方法。
常用于近似计算和函数的求导等领域。
2. 一阶泰勒展开公式一阶泰勒展开公式是最简单的泰勒展开形式,它将函数在某一点附近展开为一阶级数。
一阶泰勒展开公式的表达式如下:f (x )=f (a )+f′(a )(x −a )其中,f (x )为待展开的函数,f (a )为函数在点a 处的取值,f′(a )为函数在点a 处的导数。
举例说明:对于函数f (x )=sin (x ),我们希望在点a =π4处展开。
首先求出函数在该点的取值和导数:f (π4)=sin (π4)=√22f′(π4)=cos (π4)=√22将这些值带入一阶泰勒展开公式:f(x)=√22+√22(x−π4)3. 多项式泰勒展开公式多项式泰勒展开公式是将函数在某一点附近展开为多项式级数的形式。
多项式泰勒展开公式的表达式如下:f(x)=f(a)+f′(a)(x−a)+f″(a)2!(x−a)2+f‴(a)3!(x−a)3+⋯+f(n)(a)n!(x−a)n其中,f(n)(a)表示函数f(x)在点a处的n阶导数。
举例说明:对于函数f(x)=e x,我们希望在点a=0处展开。
首先求出函数在该点的取值和导数:f(0)=e0=1f′(0)=ddxe x|x=0=1f″(0)=d2dx2e x|x=0=1f‴(0)=d3dx3e x|x=0=1依次类推,可以得到:f(n)(0)=1将这些值带入多项式泰勒展开公式:f(x)=1+(x−0)+12!(x−0)2+13!(x−0)3+⋯+1n!(x−0)n4. 麦克劳林展开公式麦克劳林展开公式是一种特殊形式的泰勒展开公式,它将函数在原点附近展开为多项式级数。
麦克劳林展开公式的表达式如下:f(x)=f(0)+f′(0)(x−0)+f″(0)2!(x−0)2+f‴(0)3!(x−0)3+⋯+f(n)(0)n!(x−0)n其中,f(n)(0)表示函数f(x)在原点处的n阶导数。
常用bai泰勒展开公式如下:1、due^x = 1+x+x^2/2!+x^3/3!+……zhi+x^n/n!+……2、daoln(1+x)=x-x^2/2+x^3/3-……+(-1)^(k-1)*(x^k)/k(|x|<1)3、sin x = x-x^3/3!+x^5/5!-……+(-1)^(k-1)*(x^(2k-1))/(2k-1)!+……。
(-∞<x<∞)4、cos x = 1-x^2/2!+x^4/4!-……+(-1)k*(x^(2k))/(2k)!+……(-∞<x<∞)5、arcsin x = x + 1/2*x^3/3 + 1*3/(2*4)*x^5/5 + ……(|x|<1)6、arccos x = π- ( x + 1/2*x^3/3 + 1*3/(2*4)*x^5/5 + ……) (|x|<1)7、arctan x = x - x^3/3 + x^5/5 -……(x≤1)8、sinh x = x+x^3/3!+x^5/5!+……+(-1)^(k-1)*(x^2k-1)/(2k-1)!+……(-∞<x<∞)9、cosh x = 1+x^2/2!+x^4/4!+……+(-1)k*(x^2k)/(2k)!+……(-∞<x<∞)10、arcsinh x = x - 1/2*x^3/3 + 1*3/(2*4)*x^5/5 - ……(|x|<1)11、arctanh x = x + x^3/3 + x^5/5 + ……(|x|<1)扩展资料:数学中,泰勒公式是一个用函数在某点的信息描述其附近取值的公式。
如果函数足够平滑的话,在已知函数在某一点的各阶导数值的情况之下,泰勒公式可以用这些导数值做系数构建一个多项式来近似函数在这一点的邻域中的值。
泰勒公式还给出了这个多项式和实际的函数值之间的偏差。
泰勒公式得名于英国数学家布鲁克·泰勒。
泰勒公式展开常用泰勒公式是一种将函数展开成无穷级数的方法,可以用来近似计算函数的值。
它是数学分析中的重要工具,在物理学、工程学等领域也有广泛的应用。
本文将介绍泰勒公式的基本概念和常用的展开形式。
一、泰勒公式的基本概念泰勒公式是由英国数学家布鲁克·泰勒于18世纪提出的。
它的基本思想是将一个函数在某一点的附近用多项式来逼近,从而得到函数的近似值。
泰勒公式的一般形式如下:f(x) = f(a) + f'(a)(x-a) + f''(a)(x-a)^2/2! + f'''(a)(x-a)^3/3! + ...其中,f(x)是要近似计算的函数,a是展开的中心点,f'(x)、f''(x)、f'''(x)等表示函数的导数。
二、常用的泰勒展开形式1. 麦克劳林级数展开当中心点a为0时,泰勒公式简化为麦克劳林级数展开。
麦克劳林级数展开是泰勒公式的一种特殊形式,它将函数展开成以0为中心的无穷级数。
麦克劳林级数展开的公式如下:f(x) = f(0) + f'(0)x + f''(0)x^2/2! + f'''(0)x^3/3! + ...麦克劳林级数展开在计算机科学中有广泛的应用,例如在数值计算、图像处理等领域。
2. 泰勒展开的应用泰勒展开在物理学、工程学等领域有着重要的应用。
例如,在力学中,可以利用泰勒展开来近似计算物体的运动轨迹;在电路分析中,可以利用泰勒展开来近似计算电路中的电流、电压等参数。
3. 泰勒展开的误差估计泰勒展开是一种近似计算方法,展开的级数项数越多,计算结果越接近真实值。
误差估计是判断泰勒展开逼近的精度的重要方法。
常用的误差估计方法有拉格朗日余项和佩亚诺余项。
拉格朗日余项的公式如下:Rn(x) = f(n+1)(c)(x-a)^(n+1)/(n+1)!其中,Rn(x)为泰勒展开的余项,f(n+1)(c)为函数f(x)在a和x之间某一点c的(n+1)阶导数。
常用泰勒公式展开泰勒公式是数学中的一种展开方法,它可以将一个函数在某一点的邻域内用无穷级数表示。
这种展开方法常用于近似计算和数值分析中。
本文将介绍常用的泰勒公式展开,并探讨其应用。
一、泰勒公式的基本形式泰勒公式的基本形式可以表示为:f(x) = f(a) + f'(a)(x-a) + f''(a)(x-a)^2/2! + f'''(a)(x-a)^3/3! + ...其中,f(x)是要展开的函数,a是展开点,f'(a)、f''(a)、f'''(a)分别是函数f(x)在点a处的一阶、二阶、三阶导数。
二、泰勒公式的应用1. 近似计算泰勒公式的一个重要应用是进行近似计算。
通过将一个复杂的函数用泰勒公式展开,可以将其转化为一个简单的多项式函数,从而方便进行计算。
例如,我们可以用泰勒公式展开sin(x),得到以下近似公式:sin(x) ≈ x - x^3/3! + x^5/5! - x^7/7! + ...这个公式可以用来计算较小的角度下的sin值,而不需要使用复杂的三角函数表或计算器。
类似地,我们还可以用泰勒公式展开cos(x)、e^x等函数进行近似计算。
2. 极值点和拐点的判断通过泰勒公式展开,我们可以判断一个函数的极值点和拐点。
对于一个函数f(x),如果在某一点a处,f'(a)=0且f''(a)>0,那么a就是f(x)的一个极小值点;如果f''(a)<0,那么a就是f(x)的一个极大值点。
类似地,如果f'''(a)=0且f''''(a)>0,那么a就是f(x)的一个拐点。
通过泰勒公式展开并计算导数,我们可以得到函数在某一点处的导数值,从而判断函数的极值点和拐点,进一步分析函数的性质。
3. 函数的逼近和插值泰勒公式展开还可以用于函数的逼近和插值。
常用函数泰勒展开公式常用函数的泰勒展开公式是一种用来将复杂的函数近似为多项式的方法。
它是数学分析中重要的工具之一,被广泛应用于科学计算、物理学、工程学等领域。
泰勒展开公式基于泰勒级数的概念,它通过一系列的导数来近似表示一个函数。
对于一个无穷可微的函数f(x),在一些点a处进行泰勒展开,可以得到以下的公式:f(x)=f(a)+f'(a)(x-a)+(f''(a)/2!)(x-a)^2+(f'''(a)/3!)(x-a)^3+...其中f'(a)表示函数f(x)在点a处的一阶导数,f''(a)表示函数f(x)在点a处的二阶导数,以此类推。
泰勒展开公式的优点在于可以将复杂的函数用多项式来近似表示,从而简化计算和分析。
同时,泰勒展开公式还可以用于求解函数的极限、计算函数的导数和积分等。
泰勒展开公式在实际应用中非常重要,下面将介绍几个常用函数的泰勒展开公式:1. 以自然对数函数为例,自然对数函数 ln(x) 在点a处的泰勒展开为:ln(x) = ln(a) + (x-a)/a - ((x-a)^2)/(2a^2) + ((x-a)^3)/(3a^3) - ...2.正弦函数和余弦函数的泰勒展开公式如下:sin(x) = x - (x^3)/3! + (x^5)/5! - (x^7)/7! + ...cos(x) = 1 - (x^2)/2! + (x^4)/4! - (x^6)/6! + ...3.以指数函数为例,指数函数e^x在点a处的泰勒展开为:e^x=e^a+e^a(x-a)+(e^a)(x-a)^2/2!+(e^a)(x-a)^3/3!+...这些是常见的函数的泰勒展开公式,它们可以用于不同的数学计算和近似分析。
在实际应用中,我们经常会使用到这些公式来简化复杂函数的计算和分析。
极限常用泰勒展开公式泰勒展开公式是一种非常重要的数学工具,它可以将一个函数在某个点附近展开成一个无限级数,这个级数能够在一定程度上反映这个函数的性质。
极限常用的泰勒展开公式有以下几个:1.正弦函数的泰勒展开公式:$$\sin x=x-\frac{x^3}{3!}+\frac{x^5}{5!}-\frac{x^7}{7!}+⋯$$这个公式表示,对于任意一个实数x,可以用一个无限级数去逼近它所处的正弦函数。
这个级数是一个交错级数,也就是每一项的符号都不一样,而且随着指数的增加,每一项的绝对值都在逐渐减小。
因此,在一定条件下,这个级数是可以求和的。
2.指数函数的泰勒展开公式:$$\mathrm e^x=1+x+\frac{x^2}{2!}+\frac{x^3}{3!}+⋯$$这个公式表示,对于任意一个实数x,可以用一个无限级数去逼近它所处的指数函数。
这个级数没有任何的周期性或者交错性质,而是一个逐项递增的级数。
因此,当x比较小的时候,只需要计算前面几项,就可以得到一个比较准确的近似值。
3.对数函数的泰勒展开公式:$$\ln(1+x)=x-\frac{x^2}{2}+\frac{x^2}{3}-\frac{x^4}{4}+⋯$$这个公式表示,对于任意一个实数x,可以用一个无限级数去逼近它所处的自然对数函数。
这个级数的每一项都是一个二次项,也就是指数最大为2。
这样的级数比较容易求和,因为每一项的贡献都比较明显。
这些泰勒展开公式在数学和物理中都有广泛的应用,因为它们可以用来近似计算很多复杂的函数和曲线。
如果你想更深入地了解泰勒展开公式,可以学习数学分析和微积分等高阶数学课程。
泰勒展开常用公式(二)泰勒展开常用公式定义泰勒展开是一种将函数表示为以函数在某一点的导数为系数的无穷级数的方法。
泰勒级数可以近似地表示原始函数的值,并且在数学和物理学中有着广泛的应用。
常用公式泰勒展开公式:f(x)=f(a)+f′(a)(x−a)+f″(a)2!(x−a)2+f‴(a)3!(x−a)3+...常见函数的泰勒展开公式:1.正弦函数的泰勒展开:sin(x)=x−x33!+x55!−x77!+...2.余弦函数的泰勒展开:cos(x)=1−x22!+x44!−x66!+...3.指数函数的泰勒展开:e x=1+x+x22!+x33!+x44!+...4.对数函数的泰勒展开:ln(1+x)=x−x22+x33−x44+...应用举例例子 1:求sin(x)在x=π6附近的泰勒展开。
根据公式可知:sin(x)=sin(a)+cos(a)(x−a)−sin(a)2!(x−a)2−cos(a)3!(x−a)3+...将a=π6代入得:sin(x)=sin(π6)+cos(π6)(x−π6)−sin(π6)2!(x−π6)2−cos(π6)3!(x−π6)3+...化简可得:sin(x)=12+√32(x−π6)−12(x−π6)2+√36(x−π6)3+...这个展开式可以用来近似计算任意接近π6的角度的正弦值。
例子 2:求e x在x=0附近的泰勒展开。
根据公式可知:e x=e0+e0(x−0)+e02!(x−0)2+e03!(x−0)3+...化简可得:e x=1+x+x22!+x33!+...这个展开式可以用来近似计算任意接近零的数的指数函数值。
总结泰勒展开是一种重要的近似方法,可以将函数表示为一个无穷级数。
通过使用泰勒展开,我们可以在某一点附近用多项式来逼近原始函数的值。
在许多数学和物理问题中,泰勒展开都具有重要的应用价值。
常用的级数展开公式在数学和物理学中,级数展开是一种重要的技术,用于将一个函数表示为一系列项的和,从而可以更好地理解和计算函数的行为。
以下是一些常用的级数展开公式。
1.泰勒级数展开公式:泰勒级数展开公式是一种常见的用于展开函数的公式。
给定一个可无限次可微的函数f(x)在特定点a处的值和各阶导数,泰勒级数展开公式可以将函数f(x)表示为一个无穷级数的形式:f(x)=f(a)+f'(a)(x-a)/1!+f''(a)(x-a)^2/2!+f'''(a)(x-a)^3/3!+...2.欧拉公式展开:欧拉公式展开是一个非常重要和有趣的级数展开公式,它将复数的指数形式表示为三角函数的形式:e^(ix) = cos(x) + i*sin(x)3.幂级数展开公式:幂级数展开公式是一种特殊的级数展开形式,将函数f(x)表示为幂函数的和,具有以下形式:f(x)=a0+a1*x+a2*x^2+a3*x^3+...4.二项式展开公式:二项式展开公式是将一个二项式的幂展开为一系列项的和,具有以下形式:(a+b)^n=C(n,0)*a^n*b^0+C(n,1)*a^(n-1)*b^1+C(n,2)*a^(n-2)*b^2+...+C(n,n)*a^0*b^n其中C(n,k)表示从n个不同元素中选择k个的组合数。
5.对数级数展开公式:对数级数展开公式用于展开一个函数的自然对数形式,具有以下形式:ln(1+x) = x - x^2/2 + x^3/3 - x^4/4 + ...6.正弦级数展开公式:正弦级数展开公式将一个周期为2π的周期性函数展开为正弦函数的级数:f(x) = a0 + a1*sin(x) + a2*sin(2x) + a3*sin(3x) + ...其中a0,a1,a2,...是待定系数。
7.傅里叶级数展开公式:傅里叶级数展开是将一个周期为T的函数表示为基本频率为1/T的正弦和余弦函数的线性组合,具有以下形式:f(x) = a0/2 + Σ (an*cos(nω0x) + bn*sin(nω0x))其中 a0, an, bn 是待定系数,ω0 = 2π/T 是基本角频率。
泰勒公式常用展开式泰勒公式是数学中常用的工具,用于将一个函数在某个点附近展开成无穷级数的形式。
这个级数称为泰勒级数,而泰勒公式则是计算泰勒级数的方法之一。
泰勒公式的一般形式可以表示为:$$f(x) = f(a) + f'(a)(x-a) + frac{f''(a)}{2!}(x-a)^2 + frac{f'''(a)}{3!}(x-a)^3 + cdots$$其中,$f(a)$表示函数在点$a$处的函数值,$f'(a)$表示函数在点$a$处的一阶导数值,$f''(a)$表示函数在点$a$处的二阶导数值,依此类推。
$(x-a)$表示$x$与$a$之间的差值。
泰勒公式的展开系数可以通过函数在给定点处的导数值来确定。
如果已知$f(x)$在点$a$的$n$阶导数存在,那么泰勒公式的展开式实际上是一个$n$次多项式。
泰勒公式的展开式在数学和物理学中有着广泛的应用。
通过使用泰勒公式,我们可以近似计算函数在某个点附近的值,尤其是当函数难以直接计算时。
此外,通过截取泰勒级数的有限项,我们可以得到一个多项式函数,这个多项式函数可以在点$a$的附近代替原函数进行计算,从而简化问题的求解过程。
虽然泰勒公式在一般情况下是无限级数,但在实际应用中,通常只需要考虑前几项即可达到所需的精度。
因为随着项数的增加,展开式中的高阶导数会越来越小,所以高阶项对于整个级数的贡献逐渐减弱。
需要注意的是,泰勒公式只适用于那些具有足够光滑性质的函数,即在展开点附近具有足够次数的导数存在和连续性。
对于不满足这些条件的函数,泰勒公式可能会引入较大的误差,因此在使用泰勒公式进行近似计算时需要谨慎。
总的来说,泰勒公式是一种非常实用的数学工具,通过将函数展开为无穷级数的形式,可以简化复杂的计算过程,并且在数学和物理学中有着广泛的应用。
常用函数的泰勒展开式
函数的泰勒展开式是将一个函数在某个点附近展开成多项式的形式,它在数学和工程中有着非常广泛的应用。
在本文中,我们将介绍一些常用函数的泰勒展开式,以及它们的应用。
$$\sin(x) = x - \frac{x^3}{3!} + \frac{x^5}{5!} - \frac{x^7}{7!} + \cdots $$
其中,$x$ 为展开点,展开式中的系数为 $\pm 1/n!$。
正弦函数的泰勒展开式是非常重要的,因为它可以用来求解非线性问题,例如计算机图形学中的变形等。
余弦函数的泰勒展开式也是非常重要的,并且它与正弦函数的泰勒展开式密切相关,可以通过它们来求解微积分、物理学、信号处理等领域中的问题。
自然指数函数的泰勒展开式如下所示:
自然指数函数的泰勒展开式在微积分和工程中非常常见,它可用于求解微积分中的极限、微分和积分问题。
自然对数函数的泰勒展开式可以用于计算导数和积分,在物理学中经常被用到。
5. $\frac{1}{1-x}$ 函数的泰勒展开式:
$$\frac{1}{1-x} = 1+x+x^2+x^3+\cdots$$
展开式中的系数为 $1$。
总结:
在本文中,我们介绍了一些常用函数的泰勒展开式,它们在微积分、工程和物理学中都有非常广泛的应用。
在实际应用中,我们可以使用这些展开式来求解非线性问题、计算微积分中的极限、微分和积分问题,以及计算无限级数等。
20个常用的麦克劳林公式展开麦克劳林公式(MacLaurin series)是一个函数在特定点的泰勒级数展开。
泰勒级数是用无限项的幂级数来逼近一个函数的方法,在该函数的其中一点附近进行展开。
以下是20个常用的麦克劳林公式展开。
1. $$e^x = 1 + x + \frac{x^2}{2} + \frac{x^3}{6} +\frac{x^4}{24} + \cdots$$2. $$\cos(x) = 1 - \frac{x^2}{2} + \frac{x^4}{24} -\frac{x^6}{720} + \cdots$$3. $$\sin(x) = x - \frac{x^3}{6} + \frac{x^5}{120} -\frac{x^7}{5040} + \cdots$$4. $$\ln(1+x) = x - \frac{x^2}{2} + \frac{x^3}{3} -\frac{x^4}{4} + \cdots$$5. $$\arctan(x) = x - \frac{x^3}{3} + \frac{x^5}{5} -\frac{x^7}{7} + \cdots$$6. $$(1+x)^n = 1 + nx + \frac{n(n-1)}{2!} x^2 + \frac{n(n-1)(n-2)}{3!} x^3 + \cdots$$ (斯特灵公式)7. $$\cosh(x) = 1 + \frac{x^2}{2} + \frac{x^4}{24} +\frac{x^6}{720} + \cdots$$8. $$\sinh(x) = x + \frac{x^3}{6} + \frac{x^5}{120} +\frac{x^7}{5040} + \cdots$$9. $$\tan(x) = x + \frac{x^3}{3} + \frac{2x^5}{15} +\frac{17x^7}{315} + \cdots$$10. $$\sqrt{1+x} = 1 + \frac{x}{2} - \frac{x^2}{8} +\frac{x^3}{16} - \cdots$$11. $$(1+x)^{\frac{1}{2}} = 1 + \frac{x}{2} - \frac{x^2}{8} + \frac{x^3}{16} - \cdots$$12. $$\arccos(x) = \frac{\pi}{2} - x - \frac{x^3}{6} -\frac{3x^5}{40} - \cdots$$13. $$\arcsin(x) = x + \frac{x^3}{6} + \frac{3x^5}{40} +\frac{5x^7}{112} + \cdots$$14. $$\sqrt{1-x^2} = 1 - \frac{x^2}{2}-\frac{x^4}{8}-\frac{x^6}{16}-\cdots$$15. $$\arctan(\frac{1}{x}) = \frac{\pi}{2} - \frac{1}{x} + \frac{1}{3x^3} - \frac{1}{5x^5} + \cdots$$16. $$\sec(x) = 1 + \frac{x^2}{2} + \frac{5x^4}{24} +\frac{61x^6}{720} + \cdots$$18. $$\cot(x) = \frac{1}{x} - \frac{x}{3} - \frac{x^3}{45} - \frac{2x^5}{945} + \cdots$$19. $$\ln(1-x) = -x - \frac{x^2}{2} - \frac{x^3}{3} -\frac{x^4}{4} - \cdots$$20. $$\tan^{-1}(x) = x - \frac{x^3}{3} + \frac{x^5}{5} -\frac{x^7}{7} + \cdots$$这些是一些常见的函数在麦克劳林公式下的展开形式,可以在特定点附近使用这些公式来近似计算函数值。
n Taylor Series for Functions of One Variable f ''(a )(x - a )2f (n -1) (a )(x - a )n -122.1.f (x ) = f (a ) + f '(a )(x - a ) + 2!+ ⋅⋅⋅ +(n - 1)!+ R nwhere R n , the remainder after n terms, is given by either of the following forms:22.2. Lagrange’s form: R n =f (n ) (ξ)(x - a )nn ! 22.3. Cauchy’s form: R n =f (n ) (ξ)(x - ξ)n -1 (x - a )(n - 1)!The value ξ, which may be different in the two forms, lies between a and x . The result holds if f (x ) has continuous derivatives of order n at least. If lim R = 0, the infinite series obtained is called the Taylor series for f (x ) about x = a . If a = 0, the series n →∞is often called a Maclaurin series. These series, often called power series, generally converge for all values of x in some interval called the interval of convergence and diverge for all x outside this interval.Some series contain the Bernoulli numbers B n and the Euler numbers E n defined in Chapter 23, pages 142—143.Binomial Series22.4. (a + x )n = a n + na n -1 x +n (n - 1) a n -2 x 2 + n (n - 1)(n - 2) a n -3 x 3+ ⋅⋅⋅ 2! 3!= a n + n a n -1 x + n a n -2 x 2 + n a n -3 x 3+ ⋅⋅⋅Special cases are1 2 322.5. (a + x )2 = a 2 + 2ax + x 222.6. (a + x )3 = a 3 + 3a 2 x + 3ax 2 + x 322.7. (a + x )4 = a 4 + 4a 3 x + 6a 2 x 2 + 4ax 3 + x 422.8. (1 + x )-1 = 1 - x + x 2 - x 3 + x 4 - ⋅⋅⋅—1 < x < 122.9. (1 + x )-2 = 1 - 2x + 3x 2 - 4 x 3 + 5x 4 - ⋅⋅⋅—1 < x < 122.10.(1 + x )-3 = 1 - 3x + 6x 2 - 10x 3 + 15x 4 - ⋅⋅⋅—1 < x < 12 3 3!2! 22.11. (1 + x )-1/ 2 = 1 - 1 x + 1 i 3 x 2 - 1 i 3 i 5 x 3+ ⋅⋅⋅—1 < x ÷ 1 2 22.12. (1 + x )1/ 2= 1 + 1 x - 2 i 4 1 2 i 4x 2 + 2 i 4 i 6 1 i 3 2 i 4 i 6x 3- ⋅⋅⋅—1 < x ÷ 1 22.13. (1 + x )-1/ 3 = 1 - 1 x + 1 i 4 x 2 - 1 i 4 i 7 x 3+ ⋅⋅⋅—1 < x ÷ 1 3 3 i 6 3 i 6 i 922.14. (1 + x )1/ 3 = 1 + 1x - 2 3 i 6x 2 + 2 i 5 3 i 6 i 9 x 3 - ⋅⋅⋅—1 < x ÷ 1Series for Exponential and Logarithmic Functions22.15. e x = 1 + x +x 2 + x 3+ ⋅⋅⋅ —∞ < x < ∞22.16. a x = e x ln a = 1 + x ln a + (x ln a )2 + (x ln a )3+ ⋅⋅⋅—∞ < x < ∞2! 3!22.17.ln (1 + x ) = x - x 2 + x 3 - x 4+ ⋅⋅⋅1 < x12 3 4 —÷1ln1 + x= x + x 3 + x 5 + x 7+ ⋅⋅⋅22.18.2 1 - x♣♠ x - 13 5 7 1 x - 1 31 x - 1 5 ↔♠—1 < x < 122.19. ln x = 2 ♦♠ x + 1 + 3 x +1 + 5 x + 1 + ⋅⋅ ⋅←♠↑ x > 0 x - 1 1 x - 1 2 1 x - 131 22.20. ln x = x +2 x +3 x+ ⋅⋅⋅ x ÷ 2Series for Trigonometric Functions22.21. sin x = x - x 3 + x 5 - x 7+…- ∞< x < ∞ 3! 5! 7! 22.22. cos x = 1 - x 2 + x 4 - x 6+…- ∞< x < ∞22.23. tan x = 2! 4! x 3 2x 5 6! 17x 722 n (22 n - 1)B n x 2 n -1πx + 3 + 15 + 315+… + (2n )! +… | x |< 2cot 1 x x 3 2x 5 22 n B n x 2 n -122.24. x = x - 3 - 45 - 945 -… - (2n )! -… 0 < | x | < π 22.25. sec x = 1 + x 2 + 5x 4 + 61x 6 +… + E n x 2 n +…| | < π2 24 720 (2n )! x2 22.26. csc x = 1 + x + 7x 3+31x 5+… + 2(22 n -1- 1)B n x 2 n -1 +…0 < | | < πx 6 360 15,120(2n )!x22.27. sin -1x = x + 1 x 3 + 1 i 3 x 5 + 1 i 3 i 5 x 7+…| x | < 1 2 3 2 i 4 5 2 i 4 i 6 7 22.28. cos -1 x = π - sin -1 x = π -x + 1 x 3 + 1 i 3 x 5 + …| x | < 1222 3 2 i 4 5♥♦ 3 5 7x 2 8 15 ♣ x 3 x 5 x 7♠x - + - +… | x | < 122.29. tan -1x = ♦ 3 5 7π♠± - 1 + 1 - 1 +… (+ if x ÷ 1, - if x ÷ - 1)♥ 2 x 3x 3 5x 5 ♣π - x - x 3 + x 5-| x | < 1- π -♠ 2 3 5 … 22.30. cot 1 x = - tan 1 x = ♦2 ♠p π + 1 - 1 + 1 -… ( p = 0 if x > 1, p = 1 if x < - 1)♥♠ x 3x 3 5x 522.31. sec -1 x = cos -1(1/x ) = π - 1 + 1 + 1⋅3+| x | > 1 2 x 2 i 3x 3 2 i 4 i 5x 5 …22.32. csc -1 x = sin -1(1/x ) = 1 + 1 + 1⋅ 3+…| x | > 1x 2 i 3x 3 2 i 4 i 5x 5Series for Hyperbolic Functions22.33. sinh x = x + x 3 + x 5 + x 7+…- ∞< x < ∞ 3! 5! 7! 22.34. cosh x = 1 + x 2 + x 4 + x 6+…- ∞< x < ∞22.35. tanh x = 2! 4! x 3 2x 5 6! 17x 7(-1)n -1 22 n (22 n - 1)B n x 2 n -1 | x | < πx - 3 + 15 - 315+... (2n )! + (2)22.36. coth x = 1 + x - x 3 + 2x 5 +… (-1)n -1 22 n B n x 2 n -1 +…0 < | | < πx3 45 945(2n )! x22.37. sech x = 1 - x 2 + 5x 4 - 61x 6+… (-1)n E n x 2 n +…| x | <πcsch 2 1 x 24 7x 3 72031x 5 (2n )! 2(-1)n 2(22 n -1 - 1)B n x 2 n -1 22.38. x = x - 6 + 360 - 15,120 +… (2n )!+…0 < | x | < π ♣ x 3 1 i 3x 5 1 i 3 i 5x 7 ♠x - 2 i + - +… || x | < 122.39. sinh -1 x = ♠ 3 2 i 4 i 5 1 2 i 4 i 6 i 7 1 i 3 1 i 3 i 5 ϒ + if x ÷ 1 / ♠± ln | 2x | + - + -…cosh -1♥♠ ♣♠ 2 i 2x 21 2 i 4 i 4x 4 1 i 3 2 i 4 i 6 i 6x 61 i 3 i 5 ↔♠ '≤- if x ÷ - 1∞ƒ ϒ+ if cosh -1 x > 0, x ÷ 1/ 22.40.x = ± ♦ln(2x ) - 2 i 2x 2 + 2 i 4 i 4x 4 + 2 i 4 i 6 i 6x 6 + … ←'- if cosh -1 x < 0, x ÷ 1∞ ♥♠ ♠↑≤ ƒ 22.41. tanh -1 x = x + x 3 + x 5 + x 7+…| x | < 122.42. coth -1 x = 1+ 1 3x 3 1 5x 5 1 7x 7 +…| x | > 1Miscellaneous Series22.43. e sin x= 1 + x + x 2 - x 4 - x 5+…-∞< x < ∞22.44. e cos x = e 1 - x 2 + x 4 - 31x 6 + …-∞< x < ∞2 6 720 + ++ - 22.45. e tan x= 1 + x + x 2 + x 3 + 3x 4+…| x | < π2 2 82 22.46. e x sin x = x + x 2 + x3 - x 5- x 6 +… + 2n /2 sin (n π /4)x n+…-∞< x < ∞ 3 30 90 n ! 22.47. e xcos x = 1 + x - x 3 - x 4 +… + 2n /2 cos(n π / 4)x n+…-∞< x < ∞ 3 6 22.48. ln | sin x | = ln | x | - x 2 - x 4 - x6n ! -… - 22 n -1B n x 2 n +… 0 < | | < π6 180 2835 n (2n )! x22.49. ln | cos x | = -x 2- x 4 - x 6 - 17x 8-… - 22 n -1 2 n- 1)B n x 2 n +…| | < π2 12 45 2520 n (2n )! x2 22.50. ln | tan x | = ln | x | + x 2 + 7x 4 + 62x 6+… + 22 n (22 n -1- 1)B n x 2 n +… 0 < | | < π3902835n (2n )!x 222.51. ln(1 + x )= x - (1 + 1 )x 2 + (1 + 1 + 1 )x 3 -…| x | < 11 + x2 2 3Reversion of Power SeriesSuppose22.52. y = C 1 x + C 2 x 2 + C 3 x 3 + C 4 x 4 + C 5 x 5 + C 6 x 6 +… then22.53. x = C 1 y + C 2 y 2 + C 3 y 3 + C 4 y 4 + C 5 y 5 + C 6 y 6 +… where22.54.c 1C 1 = 122.55. c 3C = -c1 2222.56. c 5C = 2c 2 - c c1 321 322.57. c 7C = 5c c c - 5c 3 - c 2c1 41 2 321 422.58. c 9C = 6c 2c c+ 3c 2c 2 - c 3c + 14c 4 - 21c c 2c1 51 2 41 31 521 2 322.59. c 11C = 7c 3c c + 84c c 3c + 7c 3c c - 28c 2c c 2 - c 4 c- 28c 2c 2c - 42c 5161 2 51 2 31 3 41 2 31 61 2 42Taylor Series for Functions of Two Variables22.60.f (x , y ) = f (a , b ) + (x - a ) f x (a , b ) + (y - b ) f y (a , b )1{(x a )2f 2!xx (a , b ) + 2(x - a )(y - b ) f xy (a , b ) + (y - b )2f yy(a , b )} +… where f x (a , b ), f y (a , b ),… denote partial derivatives with respect to x , y , … evaluated at x = a , y = b .。