10个常用三角函数的泰勒展开
- 格式:pdf
- 大小:31.50 KB
- 文档页数:1
常见函数泰勒公式展开式大全泰勒公式是数学分析中的重要工具,用于将一个函数在某个点的局部行为用多项式来近似表示。
它的形式如下:设函数f(x)在点x=a处n阶可导,那么对于x在a附近的数值,f(x)可以展开为泰勒公式:f(x) = f(a) + f'(a)(x-a) + f''(a)(x-a)²/2! + f'''(a)(x-a)³/3! + ... +fⁿ(a)(x-a)ⁿ/n!其中f(a)表示函数在点x=a处的函数值,f'(a)表示函数在点x=a处的一阶导数值,f''(a)表示函数在点x=a处的二阶导数值,以此类推。
n!表示n的阶乘。
泰勒公式的一个重要应用是计算函数的近似值,当x离a越近,展开式的高阶项对应的值就越小,因此可以用前面几项来近似表示函数的值。
泰勒公式也是微积分中很多重要定理的基础,如拉格朗日中值定理、柯西中值定理等。
下面是一些常见函数的泰勒展开式:1. 指数函数e^x的泰勒展开:e^x = 1 + x + x²/2! + x³/3! + x⁴/4! + ...2. 正弦函数sin(x)的泰勒展开:sin(x) = x - x³/3! + x⁵/5! - x⁷/7! + ...3. 余弦函数cos(x)的泰勒展开:cos(x) = 1 - x²/2! + x⁴/4! - x⁶/6! + ...4. 自然对数函数ln(1+x)的泰勒展开:ln(1+x) = x - x²/2 + x³/3 - x⁴/4 + ...5. 反正切函数arctan(x)的泰勒展开:arctan(x) = x - x³/3 + x⁵/5 - x⁷/7 + ...通过使用泰勒公式展开式,我们可以将复杂的函数转化为多项式进行分析,从而得到函数在某一点附近的近似值和行为趋势。
常用十个泰勒公式常用十个泰勒公式是由伟大的数学家兼物理学家泰勒创立的一种数学理论,它提供了一种快速而简单的方法来计算数学问题,特别是一些比较复杂的数学问题。
它可以帮助我们研究和解决一些很复杂的数学难题。
在科学发展的今天,泰勒公式在计算机编程、机器学习和仿真等领域中有着重要的应用。
它不仅可以用于计算定理,还可以用于解决复杂问题。
泰勒公式被称为泰勒展开式,它可以将任何函数分解为一系列有限项。
由于它是用渐进等式来描述的,所以可以将它看做一种数列。
泰勒公式可用于求解函数值,其中只需要逐步累加几行等式就可以求解出函数的值,从而可以用更少的计算量来计算出结果。
下面介绍十个最常用的泰勒公式:1、阶乘公式:可以用来计算某一个数的阶乘。
可以用来计算阶乘为某种数要乘以一个比它小的数,一直乘到1,也就是 N! =N(N-1)(N-2)...3*2*1。
2、求导公式:可以用来计算某种函数的导数,也就是函数变化率的大小,求导公式可以简化计算,方便求解。
3、傅里叶级数:可以用来将复杂的函数分解为一系列的简单的函数,从而更好的理解其特性。
4、正弦,余弦,托勒密三角函数:这些函数可以用来研究一些特殊图形的边界以及它们相互之间的关系。
5、椭圆函数:可以用来计算椭圆的长短轴,大小角度,椭圆的面积以及椭圆的总变换。
6、幂函数:可用来计算数字的幂次,例如2的3次方就是8,它可以用来解决一些比较复杂的运算问题。
7、指数函数:指数函数可以用来计算一个数的指数值,例如a 的b次方,指数函数的应用范围很广,可以用来处理一些数字计算问题。
8、指数函数:指数函数可以用来计算不同指数的函数结果,也就是函数y=ax的b次方的值,它的应用也很广泛,可以用来处理一些复杂的函数运算。
9、对数函数:对数函数可以用来计算一个数的对数值,对数函数最常见的应用就是处理压缩数据。
10、三角函数:三角函数可以用来计算三角形的面积以及描述三角形的形状,它也被广泛用于建筑设计,电子工程等领域。
常用十个泰勒展开公式比较通俗地讲解一下泰勒公式是什么。
泰勒公式,也称泰勒展开式。
是用一个函数在某点的信息,描述其附近取值的公式。
如果函数足够平滑,在已知函数在某一点的各阶导数值的情况下,泰勒公式可以利用这些导数值来做系数,构建一个多项式近似函数,求得在这一点的邻域中的值所以泰勒公式是做什么用的?简单来讲就是用一个多项式函数去逼近一个给定的函数(即尽量使多项式函数图像拟合给定的函数图像),注意,逼近的时候一定是从函数图像上的某个点展开。
如果一个非常复杂函数,想求其某点的值,直接求无法实现,这时候可以使用泰勒公式去近似的求该值,这是泰勒公式的应用之一。
泰勒公式在机器学习中主要应用于梯度迭代。
******************************************************************* ******************************************************************************************************************************** ************************************************************* 1. 问题的提出多项式是最简单的一类初等函数。
关于多项式,由于它本身的运算仅是有限项加减法和乘法,所以在数值计算方面,多项式是人们乐于使用的工具。
因此我们经常用多项式来近似表达函数。
这也是为什么泰勒公式选择多项式函数去近似表达给定的函数。
******************************************************************* ******************************************************************************************************************************* ************************************************************2. 近似计算举例初等数学已经了解到一些函数如:的一些重要性质,但是初等数学不曾回答怎样来计算它们,以f(x) = 的近似计算为例:①. 一次(线性)逼近利用微分近似计算公式f(x) f() + ()(x - ) (该式由导数/微分的极限表达公式转换得到),对 = 0 附近的 f(x) 的线性逼近为:f(x) f(0) + (0) x , 所以 f(x) = 1,所以f(x) 在 = 0 附近的线性逼近函数(x) = 1,如下图:线性逼近优点:形式简单,计算方便;缺点:离原点O越远,近似度越差。
八个泰勒公式展开式泰勒公式是微积分中的重要定理,它可以用来将一个函数在某一点的附近展开成无穷级数的形式。
这个无穷级数可以用来近似计算函数的值,也可以用来研究函数在某一点的性质。
在本文中,我们将介绍八个常用的泰勒公式展开式,分别是正弦函数、余弦函数、指数函数、自然对数函数、正切函数、反正切函数、双曲正弦函数和双曲余弦函数。
一、正弦函数的泰勒公式展开式正弦函数的泰勒公式展开式如下:$$ sin x = x - frac{x^3}{3!} + frac{x^5}{5!} - frac{x^7}{7!} + cdots = sum_{n=0}^{infty} frac{(-1)^n}{(2n+1)!} x^{2n+1} $$ 这个公式告诉我们,任何一个实数 x 都可以用一个无穷级数来表示它的正弦函数值。
这个级数的每一项都是 x 的奇次幂除以对应的阶乘,而且每一项的符号都是交替的。
二、余弦函数的泰勒公式展开式余弦函数的泰勒公式展开式如下:$$ cos x = 1 - frac{x^2}{2!} + frac{x^4}{4!} - frac{x^6}{6!} + cdots = sum_{n=0}^{infty} frac{(-1)^n}{(2n)!} x^{2n} $$ 这个公式告诉我们,任何一个实数 x 都可以用一个无穷级数来表示它的余弦函数值。
这个级数的每一项都是 x 的偶次幂除以对应的阶乘,而且每一项的符号都是交替的。
三、指数函数的泰勒公式展开式指数函数的泰勒公式展开式如下:$$ e^x = 1 + x + frac{x^2}{2!} + frac{x^3}{3!} + cdots = sum_{n=0}^{infty} frac{1}{n!} x^n $$这个公式告诉我们,任何一个实数 x 都可以用一个无穷级数来表示它的指数函数值。
这个级数的每一项都是 x 的 n 次幂除以 n的阶乘。
四、自然对数函数的泰勒公式展开式自然对数函数的泰勒公式展开式如下:$$ ln(1+x) = x - frac{x^2}{2} + frac{x^3}{3} - frac{x^4}{4} + cdots = sum_{n=1}^{infty} frac{(-1)^{n-1}}{n} x^n $$ 这个公式告诉我们,任何一个实数 x 都可以用一个无穷级数来表示它的自然对数函数值。
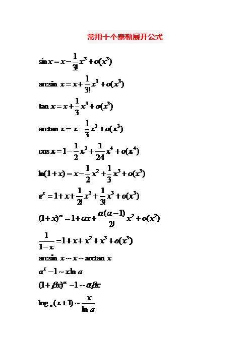
十个常用泰勒公式展开常用泰勒公式是在微积分中常用的一种展开函数的方法,可以将一个复杂的函数表示为一系列简单的多项式函数的和。
这些多项式函数的系数与原函数在某个点的导数有关,通过计算这些导数可以得到展开式的各项系数。
以下是十个常用的泰勒公式展开。
1. 正弦函数展开:正弦函数的泰勒展开式为:sin(x) = x - (x^3)/3! + (x^5)/5! - (x^7)/7! + ...2. 余弦函数展开:余弦函数的泰勒展开式为:cos(x) = 1 - (x^2)/2! + (x^4)/4! - (x^6)/6! + ...3. 自然指数函数展开:自然指数函数的泰勒展开式为:e^x = 1 + x + (x^2)/2! + (x^3)/3! + ...4. 对数函数展开:对数函数的泰勒展开式为:ln(1+x) = x - (x^2)/2 + (x^3)/3 - (x^4)/4 + ...5. 幂函数展开:幂函数的泰勒展开式为:(x+a)^n = a^n + n*a^(n-1)*x + (n*(n-1)*a^(n-2)*x^2)/2! + ...6. 反正弦函数展开:反正弦函数的泰勒展开式为:arcsin(x) = x + (x^3)/6 + (3*x^5)/40 + ...7. 反余弦函数展开:反余弦函数的泰勒展开式为:arccos(x) = π/2 - arcsin(x) = π/2 - x - (x^3)/6 - (3*x^5)/40 - ...8. 反正切函数展开:反正切函数的泰勒展开式为:arctan(x) = x - (x^3)/3 + (x^5)/5 - (x^7)/7 + ...9. 双曲正弦函数展开:双曲正弦函数的泰勒展开式为:sinh(x) = x + (x^3)/3! + (x^5)/5! + (x^7)/7! + ...10. 双曲余弦函数展开:双曲余弦函数的泰勒展开式为:cosh(x) = 1 + (x^2)/2! + (x^4)/4! + (x^6)/6! + ...以上是十个常用的泰勒公式展开。
三角函数的泰勒展开与近似计算三角函数是数学中常见的函数之一,其在数学、物理、工程等领域中都有着广泛的应用。
为了研究与计算三角函数的性质与值,数学家们提出了泰勒展开的方法,通过使用泰勒级数来逼近三角函数,从而实现对三角函数的近似计算。
一、泰勒级数及其原理泰勒级数是一种将一个函数用无穷多个项相加的级数表示的方法。
泰勒展开则是利用泰勒级数将复杂的函数近似为简单的多项式函数。
对于任意可导函数,其泰勒展开可以表示为如下形式:f(x) = f(a) + f'(a)(x-a) + f''(a)(x-a)²/2! + f'''(a)(x-a)³/3! + ...其中,f(x)为待展开的函数,a为展开点,f'(a)为函数在a点的一阶导数,f''(a)为函数在a点的二阶导数,以此类推。
二、三角函数的泰勒展开根据泰勒展开的原理,我们可以将常见的三角函数进行泰勒展开,从而得到其近似计算的多项式表示。
以下是几个常见三角函数的泰勒展开公式:1. 正弦函数的泰勒展开:sin(x) = x - x³/3! + x⁵/5! - x⁷/7! + ...2. 余弦函数的泰勒展开:cos(x) = 1 - x²/2! + x⁴/4! - x⁶/6! + ...3. 正切函数的泰勒展开:tan(x) = x + x³/3 + 2x⁵/15 + 17x⁷/315 + ...三、三角函数的近似计算通过使用三角函数的泰勒展开公式,我们可以将复杂的三角函数转化为多项式函数,从而进行近似计算。
近似计算的精度取决于所保留的泰勒展开的项数,项数越多,精度越高。
例如,若要计算sin(0.5),我们可以使用正弦函数的泰勒展开公式,将x取为0.5,展开到一定项数后相加,即可得到sin(0.5)的近似值。
然而,需要注意的是,泰勒展开只在展开点附近有效,而离展开点越远,近似计算的精度就越低。
常见函数泰勒公式展开式大全常见函数的泰勒公式展开式大全在数学中,泰勒公式是将一个函数在某一点附近展开成无穷级数的方法,它是微积分中的重要工具之一。
泰勒公式的展开可以帮助我们近似计算函数在某一点的值,进而研究函数的性质和行为。
下面是一些常见函数的泰勒公式展开式大全。
1.指数函数的泰勒公式展开式指数函数的泰勒公式展开式是:$$e^x = 1 + x + %frac{x^2}{2!} + %frac{x^3}{3!}+ %frac{x^4}{4!} + Íots$$这个展开式在$x=0$附近是收敛的,并且对于任意实数$x$都成立。
2.三角函数的泰勒公式展开式正弦函数的泰勒公式展开式是:$$%sin(x) = x - %frac{x^3}{3!} + %frac{x^5}{5!} -%frac{x^7}{7!} + Íots$$余弦函数的泰勒公式展开式是:$$%cos(x) = 1 - %frac{x^2}{2!} + %frac{x^4}{4!} -%frac{x^6}{6!} + Íots$$这两个展开式在$x=0$附近是收敛的,并且对于任意实数$x$都成立。
3.对数函数的泰勒公式展开式自然对数函数的泰勒公式展开式是:$$%ln(1+x) = x - %frac{x^2}{2} + %frac{x^3}{3} -%frac{x^4}{4} + Íots$$这个展开式在$x=0$附近是收敛的,并且对于$-1<x%leq 1$都成立。
4.幂函数的泰勒公式展开式幂函数的泰勒公式展开式是:$$(1+x)^a = 1 + ax + %frac{a(a-1)}{2!}x^2 + %frac{a(a-1)(a-2)}{3!}x^3 + Íots$$这个展开式在$x=0$附近是收敛的,并且对于任意实数$a$和$-1<x%leq 1$都成立。
5.反正弦函数的泰勒公式展开式反正弦函数的泰勒公式展开式是:$$%arcsin(x) = x + %frac{x^3}{3}+ %frac{1}{2}Íot%frac{3}{4}Íot%frac{x^5}{5}+ %frac{1Íot3}{2Íot4}Íot%frac{3Íot5}{4Íot6}Íot%frac{x^7}{7} + Íots$$这个展开式在$x=-1$到$x=1$之间是收敛的,并且对于任意实数$x$都成立。
三角函数的泰勒展开三角函数的泰勒展开与近似计算三角函数的泰勒展开与近似计算在数学中,三角函数是经常出现的重要函数,主要包括正弦函数、余弦函数和正切函数。
泰勒展开是一种常用的函数逼近方法,通过采用泰勒级数展开,可以将复杂的函数近似表示为一系列简单函数的和。
本文将介绍三角函数的泰勒展开原理,并探讨它在近似计算中的应用。
一、正弦函数的泰勒展开正弦函数的泰勒展开可以表示为:sin(x) = x - (x^3)/3! + (x^5)/5! - (x^7)/7! + ...其中,x表示自变量,符号"!"表示阶乘。
上述展开式中的每一项都是x的幂函数,系数则是依次递减的奇数阶乘。
通过取前面几项的和,我们可以得到正弦函数的近似值。
当x足够接近0时,取前几项即可得到较为准确的结果。
随着取项数的增加,计算结果的精度也会提高。
二、余弦函数的泰勒展开余弦函数的泰勒展开可以表示为:cos(x) = 1 - (x^2)/2! + (x^4)/4! - (x^6)/6! + ...与正弦函数的展开式类似,余弦函数展开式中的每一项都是x的幂函数,系数则是依次递减的偶数阶乘。
同样地,通过取前面几项的和,我们可以得到余弦函数的近似值。
当x足够接近0时,取前几项即可得到较为准确的结果。
三、正切函数的泰勒展开正切函数的泰勒展开可以表示为:tan(x) = x + (x^3)/3 + (2x^5)/15 + (17x^7)/315 + ...正切函数的展开式中的每一项都是x的幂函数,系数则依次递增。
需要注意的是,正切函数的展开式并不像正弦函数和余弦函数那样可以通过取前面几项近似计算,因为正切函数在某些点上不收敛。
四、三角函数近似计算的例子现在我们利用三角函数的泰勒展开来进行近似计算的示例。
假设我们要计算sin(0.2)的近似值,我们可以利用正弦函数的泰勒展开式,并取前几项进行计算。
sin(0.2) ≈ 0.2 - (0.2^3)/3! + (0.2^5)/5!按照展开式依次计算,我们可以得到近似值为0.19867。
8个常用泰勒展开式
1.正弦函数泰勒展开式:将正弦函数展开为无穷级数,可以用于计算近似值。
公式为:sin(x) = x - x^3/3! + x^5/5! - x^7/7! + ...
2. 指数函数泰勒展开式:将指数函数展开为无穷级数,可以用
于计算近似值。
公式为:e^x = 1 + x + x^2/2! + x^3/3! + ...
3. 对数函数泰勒展开式:将对数函数展开为无穷级数,可以用
于计算近似值。
公式为:ln(1+x) = x - x^2/2 + x^3/3 - x^4/4 + ...
4. 三角函数余弦泰勒展开式:将余弦函数展开为无穷级数,可
以用于计算近似值。
公式为:cos(x) = 1 - x^2/2! + x^4/4! - x^6/6! + ...
5. 三角函数正切泰勒展开式:将正切函数展开为无穷级数,可
以用于计算近似值。
公式为:tan(x) = x + x^3/3 + 2x^5/15 +
17x^7/315 + ...
6. 反三角函数arctan泰勒展开式:将反正切函数展开为无穷级数,可以用于计算近似值。
公式为:arctan(x) = x - x^3/3 + x^5/5 - x^7/7 + ...
7. 双曲函数sinh泰勒展开式:将双曲正弦函数展开为无穷级数,可以用于计算近似值。
公式为:sinh(x) = x + x^3/3! + x^5/5! + x^7/7! + ...
8. 双曲函数cosh泰勒展开式:将双曲余弦函数展开为无穷级数,可以用于计算近似值。
- 1 -。
常用十个泰勒展开公式1. e^x的泰勒展开公式:e^x = 1 + x + x^2/2! + x^3/3! + + x^n/n! +其中,n!表示n的阶乘。
2. sinx的泰勒展开公式:sinx = x x^3/3! + x^5/5! x^7/7! + + (1)^(n1)x^(2n1)/(2n1)! +其中,n为正整数。
3. cosx的泰勒展开公式:cosx = 1 x^2/2! + x^4/4! x^6/6! + + (1)^n x^(2n)/(2n)! +其中,n为正整数。
4. ln(1+x)的泰勒展开公式:ln(1+x) = x x^2/2 + x^3/3 x^4/4 + + (1)^(n1) x^n/n +其中,n为正整数。
5. (1+x)^a的泰勒展开公式:(1+x)^a = 1 + ax + a(a1)x^2/2! + a(a1)(a2)x^3/3! + +a(a1)(a2)(an+1)x^n/n! +其中,n为正整数,a为实数。
6. 1/(1x)的泰勒展开公式:1/(1x) = 1 + x + x^2 + x^3 + + x^n +其中,n为正整数。
7. sqrt(1+x)的泰勒展开公式:sqrt(1+x) = 1 + 1/2x 1/8x^2 + 1/16x^3 + (1)^(n1) (2n3)!! x^n/(2n)!! +其中,n为正整数,!!表示双阶乘。
8. arctanx的泰勒展开公式:arctanx = x x^3/3 + x^5/5 x^7/7 + + (1)^(n1)x^(2n1)/(2n1) +其中,n为正整数。
9. 1/sqrt(1x^2)的泰勒展开公式:1/sqrt(1x^2) = 1 + 1/2x^2 + 3/8x^4 + 5/16x^6 + +(2n1)/2^n x^(2n) +其中,n为正整数。
10. 1/(1+x^2)的泰勒展开公式:1/(1+x^2) = 1 x^2 + x^4 x^6 + + (1)^n x^(2n) +其中,n为正整数。
泰勒展开常用公式(二)泰勒展开常用公式定义泰勒展开是一种将函数表示为以函数在某一点的导数为系数的无穷级数的方法。
泰勒级数可以近似地表示原始函数的值,并且在数学和物理学中有着广泛的应用。
常用公式泰勒展开公式:f(x)=f(a)+f′(a)(x−a)+f″(a)2!(x−a)2+f‴(a)3!(x−a)3+...常见函数的泰勒展开公式:1.正弦函数的泰勒展开:sin(x)=x−x33!+x55!−x77!+...2.余弦函数的泰勒展开:cos(x)=1−x22!+x44!−x66!+...3.指数函数的泰勒展开:e x=1+x+x22!+x33!+x44!+...4.对数函数的泰勒展开:ln(1+x)=x−x22+x33−x44+...应用举例例子 1:求sin(x)在x=π6附近的泰勒展开。
根据公式可知:sin(x)=sin(a)+cos(a)(x−a)−sin(a)2!(x−a)2−cos(a)3!(x−a)3+...将a=π6代入得:sin(x)=sin(π6)+cos(π6)(x−π6)−sin(π6)2!(x−π6)2−cos(π6)3!(x−π6)3+...化简可得:sin(x)=12+√32(x−π6)−12(x−π6)2+√36(x−π6)3+...这个展开式可以用来近似计算任意接近π6的角度的正弦值。
例子 2:求e x在x=0附近的泰勒展开。
根据公式可知:e x=e0+e0(x−0)+e02!(x−0)2+e03!(x−0)3+...化简可得:e x=1+x+x22!+x33!+...这个展开式可以用来近似计算任意接近零的数的指数函数值。
总结泰勒展开是一种重要的近似方法,可以将函数表示为一个无穷级数。
通过使用泰勒展开,我们可以在某一点附近用多项式来逼近原始函数的值。
在许多数学和物理问题中,泰勒展开都具有重要的应用价值。
泰勒公式展开式大全泰勒公式是数学中的一个重要概念,它可以用来近似表示函数在某一点附近的取值。
泰勒公式展开式是数学分析中的一个重要内容,它在微积分、数值分析等领域有着广泛的应用。
本文将为大家详细介绍泰勒公式展开式的相关知识,并列举一些常见函数的泰勒展开式,希望能够帮助大家更好地理解和掌握这一内容。
泰勒公式展开式是用多项式来逼近函数的方法,它可以将一个函数在某一点的附近用一个无穷多项式来表示。
泰勒公式的一般形式如下:\[ f(x) = f(a) + f'(a)(x-a) + \frac{f''(a)}{2!}(x-a)^2 + \frac{f'''(a)}{3!}(x-a)^3 + \cdots \]其中,\( f(a) \) 表示函数 \( f(x) \) 在点 \( a \) 处的函数值,\( f'(a) \) 表示函数\( f(x) \) 在点 \( a \) 处的一阶导数值,\( f''(a) \) 表示函数 \( f(x) \) 在点 \( a \) 处的二阶导数值,依此类推。
泰勒公式的展开式可以用来近似计算函数在某一点的取值,特别是在数值计算中有着广泛的应用。
下面我们来看一些常见函数的泰勒展开式。
1. 指数函数的泰勒展开式。
指数函数 \( e^x \) 在点 \( a \) 处的泰勒展开式为:\[ e^x = e^a + e^a(x-a) + \frac{e^a}{2!}(x-a)^2 + \frac{e^a}{3!}(x-a)^3 + \cdots \]2. 三角函数的泰勒展开式。
正弦函数 \( \sin(x) \) 在点 \( a \) 处的泰勒展开式为:\[ \sin(x) = \sin(a) + \cos(a)(x-a) \frac{\sin(a)}{2!}(x-a)^2 \frac{\cos(a)}{3!}(x-a)^3 + \cdots \]余弦函数 \( \cos(x) \) 在点 \( a \) 处的泰勒展开式为:\[ \cos(x) = \cos(a) \sin(a)(x-a) \frac{\cos(a)}{2!}(x-a)^2 + \frac{\sin(a)}{3!}(x-a)^3 + \cdots \]3. 自然对数函数的泰勒展开式。