推荐 高等数学同济第七版上册课后习题答案
- 格式:pdf
- 大小:707.00 KB
- 文档页数:42
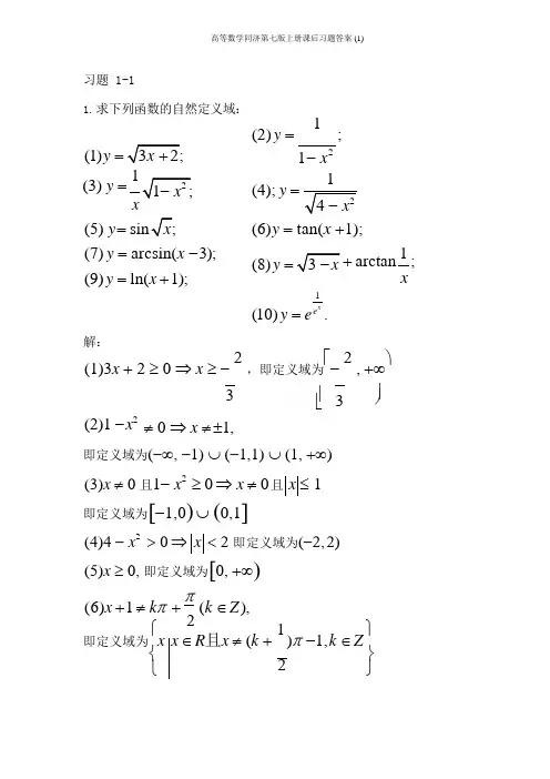
习题1-11.求下列函数的自然定义域:(1)1(3)(5)sin (7)arcsin(3);(9)ln(1);y y x y y x y x ====-=+211(2);1(4);(6)tan(1);1(8)arctan ;(10).xe y xy y x y xy e =-==+=+=解:2(1)3203x x +≥⇒≥-,即定义域为2,3⎡⎫-+∞⎪⎢⎣⎭2(2)101,x x -≠⇒≠±即定义域为(,1)(1,1)(1,)-∞-⋃-⋃+∞(3)0x ≠且2100x x -≥⇒≠且1x ≤即定义域为[)(]1,00,1-⋃2(4)402x x ->⇒<即定义域为(2,2)-(5)0,x ≥即定义域为[)0,+∞(6)1(),2x k k Z ππ+≠+∈即定义域为1(1,2x x R x k k Z π⎧⎫∈≠+-∈⎨⎬⎩⎭且(7)3124,x x -≤⇒≤≤即定义域为[]2,4(8)30x -≥且0x ≠,即定义域为(](,0)0,3-∞⋃(9)101x x +>⇒>-即定义域为(1,)-+∞(10)0,x ≠即定义域为(,0)(0,)-∞⋃+∞2.下列各题中,函数()f x 和()g x是否相同?为什么?222(1)()lg ,()2lg (2)(),()(3)()()(4)()1,()sec tan f x x g x x f x x g x f x g x f x g x x x========-解:(1)不同,因为定义域不同(2)不同,因为对应法则不同,,0(),0x x g x x x ≥⎧==⎨-<⎩(3)相同,因为定义域,对应法则均相同(4)不同,因为定义域不同3.设sin ,3()0,3x x x x πϕπ⎧<⎪⎪=⎨⎪≥⎪⎩求(),((),(2),644πππϕϕϕϕ--并指出函数()y x ϕ=的图形解:1()sin ,()sin 66244()sin(),(2)0,44ππππϕϕππϕϕ====-=-=-=()y x ϕ=的图形如图11-所示4.试证下列函数在指定区间内的单调性:(1);1(2)ln ,(0,)xy xy x x =-=++∞证明:1(1)()1,(,1)11x y f x x x===-+-∞--设121x x <<,因为212112()()0(1)(1)x x f x f x x x --=>--所以21()(),f x f x >即()f x 在(,1)-∞内单调增加(2)()ln ,(0,)y f x x x ==++∞设120x x <<,因为221211()()ln 0x f x f x x x x -=-+>所以21()()f x f x >即()f x 在(0,)+∞内单调增加5.设()f x 为定义在(,)l l -内的奇函数,若()f x 在(0,)l 内单调增加,证明()f x 在(,0)l -内也单调增加证明:设120l x x -<<<,则210x x l<-<-<由()f x 是奇函数,得2121()()()()f x f x f x f x -=-+-因为()f x 在(0,)l 内单调增加,所以12()()0f x f x --->即()f x 在(,0)l -内也单调增加6.设下面所考虑的函数都是定义在区间(,)l l -上的。
第二章 导数与微分2.2 课后习题详解习题2-1 导数概念1.设物体绕定轴旋转,在时间间隔[0,t]上转过角度θ,从而转角θ是t的函数:θ=θ(t).如果旋转是匀速的,那么称为该物体旋转的角速度.如果旋转是非匀速的,应怎样确定该物体在时刻t 0的角速度?解:物体在时间间隔上的平均角速度在时刻t 0的角速度2.当物体的温度高于周围介质的温度时,物体就不断冷却.若物体的温度T 与时间t 的函数关系为T =T(t),应怎样确定该物体在时刻t 的冷却速度?解:物体在时间间隔上平均冷却速度[,]t t t +∆在时刻t 的冷却速度3.设某工厂生产x件产品的成本为函数C(x)称为成本函数,成本函数C(x)的导数在经济学中称为边际成本.试求(1)当生产100件产品时的边际成本;(2)生产第101件产品的成本,并与(1)中求得的边际成本作比较,说明边际成本的实际意义.即生产第101件产品的成本为79.9元,与(1)中求得的边际成本比较,可以看出边际成本的实际意义是近似表达产量达到x单位时再增加一个单位产品所需的成本.4.设f(x)=10x2,试按定义求.解:5.证明证:6.下列各题中均假定存在,按照导数定义观察下列极限,指出A表示什么:以下两题中给出了四个结论,从中选出一个正确的结论:7.设则f(x)在x=1处的( ).A.左、右导数都存在B.左导数存在,右导数不存在C.左导数不存在,右导数存在D.左、右导数都不存在【答案】B【解析】 故该函数左导数存在,右导数不存在.8.设f(x)可导,,则f(0)=0是F(x)在x=0处可导的( ).A.充分必要条件B .充分条件但非必要条件C .必要条件但非充分条件D .既非充分条件又非必要条件【答案】A 【解析】 当f(0)=0时,,反之当时,f(0)=0,为充分必要条件.9.求下列函数的导数:10.已知物体的运动规律为s =t 3m ,求这物体在t =2s 时的速度.解:11.如果f(x)为偶函数,且f '(0)存在,证明f '(0)=0.证:f(x)为偶函数,得.因为所以f '(0)=0.。
高等数学同济第七版上册课后习题答案 (1)1 ⎭ 习题 1-11. 求下列函数的自然定义域:(2) y = 1;(1) y = 1 - x 2(3) y = 1x (4); y =1(5) y =(6) y = tan(x +1);(7) y = arcsin(x - 3); (9) y = ln(x + 1);(8) y1+ arctan ; x(10) y = e e x.解:(1)3x + 2 ≥ 0 ⇒ x ≥ - 2,即定义域为⎡- 2 , +∞⎫(2)1 - x 2 3 ≠ 0 ⇒ x ≠ ±1,⎣⎢ 3⎪ 即定义域为(-∞, -1) ⋃ (-1,1) ⋃ (1, +∞)(3)x ≠ 0 且1- x 2 ≥ 0 ⇒ x ≠ 0 且 x ≤ 1即定义域为[-1,0) ⋃ (0,1](4)4 - x 2 > 0 ⇒ x < 2 即定义域为(-2, 2) (5)x ≥ 0, 即定义域为[0, +∞)(6)x +1 ≠ k π + π(k ∈ Z ),2 即定义域为⎧x x ∈ R 且x ≠ (k + 1 )π -1, k ∈ Z ⎫⎨ 2 ⎬⎩ ⎭⎩⎪ π π π(7) x - 3 ≤ 1 ⇒ 2 ≤ x ≤ 4, 即定义域为[2, 4](8)3 - x ≥ 0且 x ≠ 0,即定义域为(-∞, 0) ⋃ (0,3] (9)x + 1 > 0 ⇒ x > -1即定义域为(-1, +∞) (10)x ≠ 0,即定义域为(-∞, 0) ⋃ (0, +∞)2. 下列各题中,函数 f (x ) 和 g (x ) 是否相同?为什么?(1) f (x ) = lg x 2 , g (x ) = 2 l g x (2) f (x ) = x , g (x )(3) f (x ) g (x ) = (4) f (x ) = 1, g (x ) = sec 2 x - tan 2 x解:(1) 不同,因为定义域不同(2) 不同,因为对应法则不同, g (x ) == ⎧ x , x ≥ 0(3) 相同,因为定义域,对应法则均相同(4) 不同,因为定义域不同⎨-x , x < 0⎧sin x , 3.设ϕ(x ) = ⎨ x < π 3 π ⎪ 0, x ≥⎩3求ϕ(),ϕ( ),ϕ(- 644),ϕ(-2), 并指出函数 y = ϕ (x )的图形( ) = sin = ,ϕ( ) = sin = ϕ π π1 π π 6 62 4 4 2 解:ϕ(- π ) = sin(- π ) = 2,ϕ(-2) = 0,4 4 2y = ϕ (x )的图形如图1-1所示4. 试证下列函数在指定区间内的单调性:(1) y =x ; 1 - x(2) y = x + ln x ,(0, +∞)证明:(1) y =f (x ) =x 1 - x= -1+1 1 - x,(-∞,1) 设x 1 < x 2 < 1,因为f (x ) - f (x ) = x 2 - x 1 > 02 1(1 - x )(1- x ) 1 2所以 f (x 2 ) > f (x 1 ), 即 f (x ) 在(-∞,1) 内单调增加(2) y = f (x ) = x + ln x ,(0, +∞)设0 < x 1 < x 2 ,因为2,f (x ) -f (x ) =x -x + ln x2 > 02 1 2 11所以 f (x2 ) > f (x1 )即f (x) 在(0, +∞) 内单调增加5.设f (x) 为定义在(-l,l) 内的奇函数,若 f (x) 在(0,l) 内单调增加,证明f (x) 在(-l, 0) 内也单调增加证明:设-l <x1 <x2< 0 ,则0 <-x2<-x1 <l由f (x) 是奇函数,得f (x2 ) - f (x1 ) =-f (x2 ) + f (-x1 )因为 f (x) 在(0,l) 内单调增加,所以 f (-x1 ) -f (-x2 ) > 0即f (x) 在(-l, 0) 内也单调增加6.设下面所考虑的函数都是定义在区间(-l,l) 上的。
习题1-101.证明方程x5-3x=1至少有一个根介于1和2之间.证明设f(x)=x5-3x-1,则f(x)是闭区间[1, 2]上的连续函数.因为f(1)=-3,f(2)=25,f(1)f(2)<0,所以由零点定理,在(1, 2)内至少有一点ξ(1<ξ<2),使f(ξ)=0,即x=ξ是方程x5-3x=1的介于1和2之间的根.因此方程x5-3x=1至少有一个根介于1和2之间.2.证明方程x=a sin x+b,其中a>0,b>0,至少有一个正根,并且它不超过a+b.证明设f(x)=a sin x+b-x,则f(x)是[0,a+b]上的连续函数.f(0)=b,f(a+b)=a sin (a+b)+b-(a+b)=a[sin(a+b)-1]≤0.若f(a+b)=0,则说明x=a+b就是方程x=a sin x+b的一个不超过a+b的根;若f(a+b)<0,则f(0)f(a+b)<0,由零点定理,至少存在一点ξ∈(0,a+b),使f(ξ)=0,这说明x=ξ也是方程x=a sin x+b的一个不超过a+b的根.总之,方程x=a sin x+b至少有一个正根,并且它不超过a+b.3.设函数f(x)对于闭区间[a,b]上的任意两点x、y,恒有|f(x)-f(y)|≤L|x-y|,其中L为正常数,且f(a)⋅f(b)<0.证明:至少有一点ξ∈(a,b),使得f(ξ)=0.证明设x0为(a,b)内任意一点.因为0||lim |)()(|lim 00000=-≤-≤→→x x L x f x f x x x x , 所以 0|)()(|lim 00=-→x f x f x x , 即 )()(lim 00x f x f x x =→. 因此f (x )在(a , b )内连续.同理可证f (x )在点a 处左连续, 在点b 处右连续, 所以f (x )在[a , b ]上连续.因为f (x )在[a , b ]上连续, 且f (a )⋅f (b )<0, 由零点定理, 至少有一点ξ∈(a , b ), 使得f (ξ)=0.4. 若f (x )在[a , b ]上连续, a <x 1<x 2< ⋅ ⋅ ⋅ <x n <b , 则在[x 1, x n ]上至少有一点ξ, 使nx f x f x f f n )( )()()(21+⋅⋅⋅++=ξ. 证明 显然f (x )在[x 1, x n ]上也连续. 设M 和m 分别是f (x )在[x 1, x n ]上的最大值和最小值.因为x i ∈[x 1, x n ](1≤ i ≤n ), 所以有m ≤f (x i )≤M , 从而有 M n x f x f x f m n n ⋅≤+⋅⋅⋅++≤⋅)( )()(21,M nx f x f x f m n ≤+⋅⋅⋅++≤)( )()(21. 由介值定理推论, 在[x 1, x n ]上至少有一点ξ . 使nx f x f x f f n )( )()()(21+⋅⋅⋅++=ξ. 5. 证明: 若f (x )在(-∞, +∞)内连续, 且)(lim x f x ∞→存在, 则f (x )必在(-∞, +∞)内有界.证明 令A x f x =∞→)(lim , 则对于给定的ε >0, 存在X >0, 只要|x |>X , 就有|f (x )-A |<ε , 即A -ε<f (x )<A +ε .又由于f (x )在闭区间[-X , X ]上连续, 根据有界性定理, 存在M >0, 使|f (x )|≤M , x ∈[-X , X ].取N =max{M , |A -ε|, |A +ε|}, 则|f (x )|≤N , x ∈(-∞, +∞), 即f (x )在(-∞, +∞)内有界.6. 在什么条件下, (a , b )内的连续函数f (x )为一致连续?。
高等数学(同济人学数学系-第七版)上册高等数学(同济大学数学系第七版)上册第三章:微分屮值定理与导数的应用课后习题答案微分中值定理&I.脸证罗尔定理对= Insin x任区间[于打]上的止确性.证函数/(x)=lnsinx^[y^]匕连续•在(卡•乎)内可导■又4f)= ,nsin 6 =,n \ /(T)= ,n,in T=,n T*即4才)唧认卜灯⑷在[:・丫]上満足罗尔定理条件•山罗尔定理®至少仔任T・(H(:、罟卜仙'(§)"•乂 JS二瓷令厂(丫)“得""T +于(w = 0. = 1 ・ ± 2 .・•・)・ JR 兀=0 w(? •普)・IM比罗尔定理对函数尸Insin x任区叫亍'寻]上是正确的•& 2.脸证拉格制日中值定理对函敎y・4』-5/u 2在区何[0,1]上的正确性.it 匪数/(尤)=4“・5/在区河卫・1上连缤■金(0.1)內叫导,故/(・丫)在0」上满足拉格朗H中值定理条件,从而至少存在一点f e(0J).使门小斗护二仝严“又•由八° =12^2 - 10f 4 I =0 olUlf =^~^G(0J) JM此拉俗阴H屮值定理对函敗y=4八5P r・2徃区何0」;上是正确的."i"及化X)’ + cos X在IX间|o,y]j;验让柯內中值定理的正确性.证旳数"+0*在区1叫0,;]上连续皿(0.;)內可品.M住卩•寸)内=1 -MOX ZO.故.心)屮(兀)满足柯两中值定理条件•从而至55/ 1.高等数学(同济人学数学系•第七版)上册55/ 2.高等数学(同济人学数学系•第七版)上册55/ 3.高等数学(同济大学数学系-第七版)上册.55/ 4.高等数学(同济人学数学系•第七版)上册.55/ 5.高等数学(同济人学数学系-第七版)上册86 一、《离等数学》(第七版)上冊习趣全解55 / 6.高等数学(同济人学数学系•第七版)上册件;)"(0)"(目1 -0 cos £ T . 1 - HI1 {T"14Z n = 0,得 go = 2arclan -一~ . 1*1 0 < < 丨•故 C = 2arckm j 4 ^ * | € (。
高等数学(同济第七版)第一章课后答案高等数学(同济第七版)第一章课后答案答案如下:1.a) 设 y=f(x)=x^2 +2x-3则f’(x)=2x+2当f’(x)=0 时,2x+2=0,解得 x=-1所以函数 f(x) 的驻点为 x=-1b) f’’(x)=2当 x=-1 时,f’’(x)=2>0所以驻点 x=-1 对应的函数值 f(-1)=4 为极小值c) 当x→±∞ 时,f(x)→+∞当x→-∞ 时,f(x)→+∞所以函数 f(x) 在 x=-1 处的极小值为最小值2.a) 设 y=f(x)=x^3-3x则f’(x)=3x^2-3当f’(x)=0 时,3x^2-3=0,解得 x=±1所以函数 f(x) 的驻点为 x=±1b) f’’(x)=6x当 x=1 时,f’’(1)=6>0,所以驻点 x=1 对应的函数值 f(1)=-2 为极小值当 x=-1 时,f’’(-1)=-6<0,所以驻点 x=-1 对应的函数值 f(-1)=2 为极大值c) 当x→±∞ 时,f(x)→+∞所以函数 f(x) 在 x=1 处的极小值为最小值,函数 f(x) 在 x=-1 处的极大值为最大值3.a) 设 y=f(x)=x^3-9x^2+24x-10则f’(x)=3x^2-18x+24当f’(x)=0 时,3x^2-18x+24=0,化简得 x^2-6x+8=0,解得 x=2 或x=4所以函数 f(x) 的驻点为 x=2 或 x=4b) f’’(x)=6x-18当 x=2 时,f’’(2)=6(2)-18=-6<0,所以驻点 x=2 对应的函数值f(2)=-10 为极大值当 x=4 时,f’’(4)=6(4)-18=6>0,所以驻点 x=4 对应的函数值f(4)=10 为极小值c) 当x→±∞ 时,f(x)→+∞所以函数 f(x) 在 x=2 处的极大值为最大值,函数 f(x) 在 x=4 处的极小值为最小值4.a) 设 y=f(x)=x^3-3x^2-9x+17则f’(x)=3x^2-6x-9当f’(x)=0 时,3x^2-6x-9=0,化简得 x^2-2x-3=0,解得 x=3 或 x=-1所以函数 f(x) 的驻点为 x=3 或 x=-1b) f’’(x)=6x-6当 x=3 时,f’’(3)=6(3)-6=18>0,所以驻点 x=3 对应的函数值f(3)=8 为极小值当 x=-1 时,f’’(-1)=6(-1)-6=-12<0,所以驻点 x=-1 对应的函数值f(-1)=18 为极大值c) 当x→±∞ 时,f(x)→+∞所以函数 f(x) 在 x=3 处的极小值为最小值,函数 f(x) 在 x=-1 处的极大值为最大值在本章的课后练习中,我们通过求导数、求二阶导数和讨论函数的单调性,求解了各种函数的极值及其最值。
高等数学同济第七版上册课后习题答案【注意:以下是根据题目需求给出的格式,仅供参考。
具体格式请根据实际情况自行调整。
】第一章函数与极限1.1 函数的概念与性质1.(1)解:设函数f(x) = x^2 + 3x - 2,则有:f(-1) = (-1)^2 + 3(-1) - 2 = 4 - 3 - 2 = -11.(2)解:设函数g(x) = 2x - 1,则有:g(3) = 2(3) - 1 = 6 - 1 = 51.(3)解:将x = 3代入f(x) = x^2 + g(x)中,得:f(3) = 3^2 + g(3) = 9 + 5 = 141.(4)解:由f(x) = 2x + g(2)可得:g(2) = f(x) - 2x = 2x + g(x) - 2x = g(x)1.(5)解:f(g(-1)) = f(2(-1) - 1) = f(-3) = (-3)^2 + 3(-3) - 2 = 9 - 9 - 2 = -21.(6)解:海伦公式中,设a = BC = 3,b = AC = 4,c = AB = 5,则有:p = (a + b + c) / 2 = 6S = √[p(p-a)(p-b)(p-c)] = √[6(6-3)(6-4)(6-5)] = √[6(3)(2)(1)] = √[36] = 62.极限与连续性2.(1)解:根据极限的定义,当x趋于2时,有:lim(x->2)(x^2 + 3x - 2) = 2^2 + 3(2) - 2 = 4 + 6 - 2 = 82.(2)解:根据极限的性质,当x趋于2时,有:lim(x->2)(2x - 1) = 2(2) - 1 = 4 - 1 = 32.(3)解:由题意得,当x趋于3时,有:lim(x->3)(x^2 + 2x) = 3^2 + 2(3) = 9 + 6 = 152.(4)解:在x = 2处,f(x)不连续。
习题1-11.求下列函数的自然定义域:(1)1(3)(5)sin (7)arcsin(3);(9)ln(1);y y x y y x y x ====-=+211(2);1(4);(6)tan(1);1(8)arctan ;(10).xe y xy y x y xy e =-==+=+=解:2(1)3203x x +≥⇒≥-,即定义域为2,3⎡⎫-+∞⎪⎢⎣⎭2(2)101,x x -≠⇒≠±即定义域为(,1)(1,1)(1,)-∞-⋃-⋃+∞(3)0x ≠且2100x x -≥⇒≠且1x ≤即定义域为[)(]1,00,1-⋃2(4)402x x ->⇒<即定义域为(2,2)-(5)0,x ≥即定义域为[)0,+∞(6)1(),2x k k Z ππ+≠+∈即定义域为1()1,2x x R x k k Z π⎧⎫∈≠+-∈⎨⎬⎩⎭且(7)3124,x x -≤⇒≤≤即定义域为[]2,4(8)30x -≥且0x ≠,即定义域为(](,0)0,3-∞⋃(9)101x x +>⇒>-即定义域为(1,)-+∞(10)0,x ≠即定义域为(,0)(0,)-∞⋃+∞2.下列各题中,函数()f x 和()g x是否相同?为什么?222(1)()lg ,()2lg (2)(),()(3)()()(4)()1,()sec tan f x x g x x f x x g x f x g x f x g x x x========-解:(1)不同,因为定义域不同(2)不同,因为对应法则不同,,0(),0x x g x x x ≥⎧==⎨-<⎩(3)相同,因为定义域,对应法则均相同(4)不同,因为定义域不同3.设sin ,3()0,3x x x x πϕπ⎧<⎪⎪=⎨⎪≥⎪⎩求((),(),(2),644πππϕϕϕϕ--并指出函数()y x ϕ=的图形解:1(sin ,()sin 66244(sin()(2)0,44ππππϕϕππϕϕ====-=-=-=()y x ϕ=的图形如图11-所示4.试证下列函数在指定区间内的单调性:(1);1(2)ln ,(0,)xy xy x x =-=++∞证明:1(1)()1,(,1)11x y f x x x===-+-∞--设121x x <<,因为212112()()0(1)(1)x x f x f x x x --=>--所以21()(),f x f x >即()f x 在(,1)-∞内单调增加(2)()ln ,(0,)y f x x x ==++∞设120x x <<,因为221211()()ln 0x f x f x x x x -=-+>所以21()()f x f x >即()f x 在(0,)+∞内单调增加5.设()f x 为定义在(,)l l -内的奇函数,若()f x 在(0,)l 内单调增加,证明()f x 在(,0)l -内也单调增加证明:设120l x x -<<<,则210x x l<-<-<由()f x 是奇函数,得2121()()()()f x f x f x f x -=-+-因为()f x 在(0,)l 内单调增加,所以12()()0f x f x --->即()f x 在(,0)l -内也单调增加6.设下面所考虑的函数都是定义在区间(,)l l -上的。
证明:(1)两个偶函数的和是偶函数,两个奇函数的和是奇函数(2)两个偶函数的乘积是偶函数,两个奇函数的乘积是偶函数,偶函数与奇函数的乘积是奇函数证明:(1)设12(),()f x f x 均为偶数,则1122()(),()()f x f x f x f x -=-=令12()()()F x f x f x =+于是1212()()()()()()F x f x f x f x f x F x -=-+-=+=故()F x 为偶函数设12(),()g x g x 均为奇函数,则1122()(),()()g x g x g x g x -=--=-令12()()()G x g x g x =+于是1212()()()()()()G x g x g x g x g x G x -=-+-=-+-=-故()G x 为奇函数(2)设12(),()f x f x 均为偶数,则1122()(),()()f x f x f x f x -=-=令12()()()F x f x f x =⋅于是1212()()()()()()F x f x f x f x f x F x -=-⋅-==故()F x 为偶函数设12(),()g x g x 均为奇函数,则1122()(),()()g x g x g x g x -=--=-令12()()()G x g x g x =⋅于是121212()()()()()()()()G x g x g x g x g x g x g x G x -=-⋅-=-⋅-==故()G x 为偶函数设()f x 为偶函数,()g x 为奇函数,则()(),()()f x f xg x g x -=-=-令()()()H x f x g x =⋅于是[]()()()()()()()()H x f x g x f x g x f x g x H x -=-⋅-=-=-⋅=-故()H x 为奇函数7.下列函数中哪些是偶函数,哪些是奇函数,哪些既非偶函数又非奇函数?2222(1)(1);1(3);1(5)sin cos 1;y x x x y x y x x =--=+=-+23(2)3;(4)(1)(1);(6)2x xy x x y x x x a a y -=-=-+-=解:(1)因为2222()()1()(1)()f x x x x x f x ⎡⎤-=---=-=⎣⎦所以()f x 为偶函数(2)因为2323()3()()3f x x x x x-=---=+()(),f x f x -≠且()()f x f x -≠-所以()f x 既非偶函数又非奇函数(3)因为22221()1()()1()1x x f x f x x x----===+-+所以()f x 为偶函数(4)因为()(1)(1)()f x x x x f x -=-+-=-所以()f x 奇函数(5)因为()sin()cos()1sin cos 1,f x x x x x -=---+=--+()()f x f x -≠且()()f x f x -≠-所以()f x 既非偶函数又非奇函数(6)因为()()2x xa af x f x -+-==所以()f x 为偶函数8.下列函数中哪些是周期函数?对于周期函数,指出其周期2(1)cos(2);(3)1sin ;(5)sin y x y x y xπ=-=+=(2)cos 4;(4)cos ;y x y x x ==解:(1)是周期函数,周期2l π=(2)是周期函数,周期2lπ=(3)是周期函数,周期2l =(4)不是周期函数(5)是周期函数,周期l π=9.求下列函数的反函数(1)(3)(0);(5)1ln(2);y ax by ad bc cx dy x =+=-≠+=++1(2);1(4)2sin 3(662(6)21xxxy xy x x y ππ-=+=-≤≤=+解:(1)由y=31x y =-,既反函数为31y x =-(2)由11x y x -=+解得11yx y -=+,既反函数为11x y x -=+(3)由ax b y cx d +=+解得dy bx cy a -+=-,既反函数为dx b y cx a-+=-(4)由2sin 3()66y x x ππ=-≤≤解得1arcsin 32yx =,既反函数为1arcsin32xy =(5)由1ln(2)y x =++解得log 1yx y=-,既反函数为log1xy x=-(6)由221x x y =+解得2log 1yx y=-,既反函数为2log 1xy x=-10.设函数()f x 在数集X 上有定义,试证:函数()f x 在X 上有界的充分必要条件是它在X 上既有上界又有下界解:设()f x 在X 上有界,既存在0M >,使得(),,f x M x X ≤∈故(),,M f x M x X -≤≤∈既()f x X 上有上界M ,下界M-反之,设()f x 在X 上有上界1K ,下界2K ,即21(),K f x K x X≤≤∈取{}12max ,MK K =,则有(),f x M x X≤∈即()f x 在X 上有界11.在下列各题中,求由所给函数构成的复合函数,并求这函数分别对应于给定自变量值1x 和2x的函数值21212212212212(1),sin ,,;63(2)sin ,2,,;84(3)1,1,2;(4),,0,1;(5),,1,1u xy u u x x x y u u x x x y u x x x y e u x x x y u u e x x ππππ=========+==========-解:22121212122221213(1)sin ,,44(2)sin 2,1(3)(4),1,(5),,x x y x y y y x y y y y y y e y y e y e y e y e -===============12.设的定义域[]0,1D=,求下列各函数的定义域:2(1)();(3)()(0);f x f x a a +>(2)(sin )(4)()()(0)f x f x a f x a a ++->解:[][][]2(1)011,1(2)0sin 12,(21),(3)01,1x x x x n n n Z x a x a a ππ≤≤⇒∈-≤≤⇒∈+∈≤+≤⇒∈--01(4)01x a x a ≤+≤⎧⇒⎨≤-≤⎩当102a <≤时,[],1x a a ∈-;当12a >时定义域为∅13.设1,1()0,1,()1,1xx f x x g x e x ⎧<⎪===⎨⎪->⎩求[]()f g x 和[]()g f x ,并作出这两个函数的图形解:[]1,0()()0,01,0xx f g x f e x x <⎧⎪===⎨⎪->⎩[]()1,1()1,1,1f x e x g f x e x e x -⎧<⎪===⎨⎪>⎩[]()f g x 与[]()g f x 的图形依次如图12-,图13-所示14.已知水渠的横断面为等腰梯形,斜角40 = (图1-4).当过水断面ABCD 的面积为定值0S 时,求湿周()L L AB BC CD =++与水深h之间的函数关系式,并指明其定义域解:sin 40hAB CD ==又01(2cot 40)2S h BC BC h ⎡⎤=++⋅⎣⎦得0cot 40S BC h h=-⋅ 所以02cos40sin 40S L h h -=+而0h >且0cot 400S h h-⋅> ,因此湿周函数的定义域为15.设xOy 平面上有正方形}(,)01,01D x y x y =≤≤≤≤及直线:(0)l x y t t +=≥若()S t 表示正方形D 位于直线左下方部分的面积,试求()S t 与t 之间的函数关系解:当01t ≤≤时,21()2S t t=当12t <≤时,2211()1(2)2122S t t t t =--=-+-当2t >时,()S t 1=故221,012121,1221,2t t t t t t ⎧≤≤⎪⎪⎪-+-<≤⎨⎪>⎪⎪⎩16.求联系华氏温度(用F 表示)和摄氏温度(用C 表示)的转换公式,并求(1)90F的等价摄氏温度和5C - 的等价华氏温度;(2)是否存在一个温度值,使华氏温度计和摄氏温度计的读数是一样的?如果存在,那么该温度值是多少?解:设,FmC b =+其中,m b 均为常数因为32F = 相当于0,212C F == 相当于100C = ,所以2123232, 1.8100b m -===故 1.832F C =+或5(32)9C F =-5(1)90,(32)32.295, 1.8(5)3223F C F C F ==-≈=-=⨯-+=(2)设温度值t 符合题意,则有1.82,40t t t =+=-即华氏40-恰好也是摄氏40-17.已知Rt ABC 中,直角边AC BC ,的长度分别为2015,,动点P 从C 出发,沿三角形边界按CB A →→方向移动;动点Q 从C 出发,沿三角边界按C A B →→方向移动,移动到两动点相遇时为止,且点Q 移动的速度是点P 移动的速度的2倍.设动点P 移动的距离为x ,CPQ 的面积为y ,试求y 与x 之间的函数关系.解:因为20,15,ACBC ==所以,25AB ==由202152025<⋅<+可知,点,P Q 在斜边AB 上相遇令2152025x x +=++得20x =,即当20x =时,点,P Q 相遇,因此所求函数的定义域为(0,20)(1)当010x <<时,点P 在CB 上,点Q 在CA 上(图1-5)由,2CPx CQ x ==,得2y x =(2)当1015x ≤≤时点P 在CB 上点Q 在AB 上(图1-6),220CP x AQ x ==-设点Q 到BC 的距离为h ,则452,202525BQ hx -==得4(452)5h x =-,故2124(452)18255y xh x x x x==-=-+(3)当1520x <<时点,P Q 都在AB 上(图1-7)15,220,603BP x AQ x PQ x=-=-=-设点C 到AB 的距离为h ',则15201225h ⋅'==得1183602y PQ h x '=⋅=-+综上可得22,010418,1015518360,1520x x x x x x x ⎧<<⎪⎪-+≤≤⎨⎪-+<<⎪⎩18.利用以下美国人口普查局提供的世界人口数据以及指数模型来推测2020年的世界人口解:1.1,于是由表中第3列,猜想2008年后世界人口的年增长率是00在2008年后的第t年,世界人口将是p t=⨯(百万)()6708.2(1.011)tt=,于是2020年对应1212(12)6708.2(1.011)7649.3p=⨯≈(百万)≈亿即推测2020年的世界人口约为76亿习题1-21.下列各题中,哪些数列收敛,哪些数列发散?对收敛数列,通过观察{}n x 的变化趋势,写出它们的极限:{}21(1);21(3)2;(5)(1);1(7);n n n n n n ⎧⎫⎨⎬⎩⎭⎧⎫+⎨⎬⎩⎭-⎧⎫-⎨⎬⎩⎭1(2)(1);1(4);121(6);31(8)(1)1n n n nn n n n n ⎧⎫-⎨⎬⎩⎭-⎧⎫⎨⎬+⎩⎭⎧⎫-⎨⎬⎩⎭+⎧⎫⎡⎤-+⎨⎬⎣⎦⎩⎭解:(1)收敛,2lim 0nn →=(2)收敛,1lim(1)0nn n→∞-=(3)收敛,21lim(2)2n n→∞+=(4)收敛,1lim11n n n →∞-=+(5){}(1)nn -发散(6)收敛,21lim 03n n →∞-=(7)1n n ⎧⎫-⎨⎬⎩⎭发散(8)1(1)1nn n +⎧⎫⎡⎤-+⎨⎬⎣⎦⎩⎭发散2.(1)数列的有界性是数列收敛的什么条件?(2)无界数列是否一定收敛?(3)有界数列是否一定收敛?解:(1)必要条件(2)一定发散(3)未必一定发散,如数列{}(1)n-有界,但它是发散的3.下列关于数列的极限是的定义,哪些是对的,哪些是错的?如果是对的,试说明理由;如果是错的,试给出一个反例。