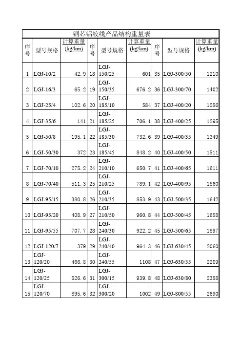
钢芯铝绞线、钢绞线重量计算表
- 格式:xls
- 大小:25.50 KB
- 文档页数:154
冷拉圆钢丝的直径、截面积及重量2 直径(mm)截面面积(mm)理论重量(kg/1000m)2直径(mm)截面面积(mm)理论重量(kg/1000m)0.50 0.00196 0.154 1.00 0.7854 6.17 0.55 0.00238 0.186 1.10 0.9503 7.46 0.63 0.00312 0.0245 1.20 1.1310 8.88 0.70 0.00385 0.0302 1.40 1.539 12.08 0.80 0.00503 0.0395 1.60 2.011 15.87 0.90 0.00636 0.0499 1.80 2.545 19.98 0.10 0.00785 0.0617 2.00 3.142 24.66 0.11 0.00950 0.0746 2.20 3.801 29.84 0.12 0.01131 0.0888 2.50 4.909 38.53 0.14 0.01539 0.121 2.80 6.158 48.34 0.16 0.02011 0.158 3.00 7.069 55.49 0.18 0.02545 0.200 3.20 8.042 63.13 0.20 0.03142 0.247 3.50 9.621 75.53 0.22 0.03801 0.298 4.00 12.57 98.6 0.25 0.04909 0.385 4.50 15.90 124.8 0.28 0.06158 0.483 5.00 19.63 154.1 0.30 0.07069 0.555 5.50 23.76 186.5 0.32 0.08042 0.631 6.00 28.27 222.0 0.35 0.09621 0.755 6.30 31.17 244.7 0.40 0.1257 0.986 7.00 38.48 302.1 0.45 0.1590 1.248 8.00 50.27 394.6 0.50 0.1963 1.541 9.00 63.62 499 0.55 0.2376 1.865 10.00 78.54 617 0.60 0.2827 2.220 11.00 95.0 746 0.63 0.3117 2.447 12.00 113.1 888 0.70 0.3848 3.021 14.00 153.9 1208 0.80 0.5027 3.95 16.00 201.1 1578 0.90 0.6362 4.99冷拉方钢丝的尺寸及重量直径(mm)截面面积(mm 2)2)理论重量(kg/1000m)直径(mm)截面面积(mm2)2)理论重量(kg/1000m)0.50 0.25 1.9625 2.5 6.25 49.0625 0.55 0.3025 2.3746 2.8 7.84 61.544 0.63 0.3969 3.1157 3.0 9.00 70.65 0.70 0.49 3.8465 3.2 10.24 80.384 0.80 0.64 5.024 3.5 12.25 96.16250.51 0.81 6.3585 4.0 16.00 125.60 0.56 1.00 7.85 4.5 20.25 158.9265 0.64 1.21 9.4985 5.0 25.00 196.25 0.71 1.44 11.304 5.5 30.25 237.4625 0.81 1.96 15.386 6.0 36.00 282.60 0.91 2.56 20.069 6.3 39.69 311.5665 0.13 3.24 25.434 7.0 49.00 384.65 0.15 4.00 31.40 8.0 64.00 502.40 0.17 4.84 37.994冷拉六角钢丝的尺寸及重量对边距离d(mm)截面面积(mm 2)2)理论重量(kg/1000m)对边距离d(mm)截面面积(mm2)2)理论重量(kg/1000m)0.19 2.2170 17.40 4.0 13.8560 108.77 0.21 2.8058 22.03 4.5 17.5365 137.66 0.23 3.4640 27.20 5.0 21.6500 169.95 0.26 4.1914 32.90 5.5 26.1965 205.64 0.29 5.4125 42.49 6.0 31.1760 244.73 0.31 6.7894 53.30 6.3 34.3715 269.82 0.33 7.7940 61.18 7.0 42.4340 333.11 0.36 8.8678 69.61 8.0 55.4240 435.08 0.41 10.6085 83.28钢绞线理论重量计算种类公称直径(mm)公称截面面积(mm2)理论重量(kg/m)0.4637.4 0.2951× 3 10.8 59.3 0.4650.5185.4 0.6710.5654.8 0.4321× 7 标准型0.6174.2 0.5800.6498.7 0.7740.71139 1.101钢绞线规格与力学性能产品名称规格钢筋截面积强度级每米油脂重量P E 塑料厚度筋壁磨擦系数影响系数理论重量结构(mm) (g/m) (mm) (kg/m) 别无粘结预应力钢丝束7Φ5157016700.52 50 0.8-1.2 0.1 0.0035 1.1717201×7-Φ12.70 1860 98.7 43 0.8-1.2 0.12 0.004 0.84 19601570 无粘结预应力钢绞1670 线1×7-Φ15.20 1770 140.00 50 0.12 0.004 1.19186019601×7-Φ15.24 1860 140.00 50 0.12 0.004 1.19钢丝公称直径、公称截面面积及理论重量表B.3公称直径(mm) 公称截面面积(mm 2) 理论重量(kg/m)0.57 12.57 0.0990.65 19.63 0.1540.72 28.27 0.2220.82 38.48 0.3020.92 50.26 0.3940.14 63.62 0.499预应力钢绞线大体上分为两种:一种叫无粘结钢绞线,一种叫有粘结钢绞线,无粘结钢绞线是在有粘接钢绞线的基础上做了涂包层,不与砼土直接接触,而有粘结钢绞线在施工过程中外套波纹管,一般待张拉完毕之后以P425 水泥灌浆,其钢绞线与水泥直接接触,故称为有粘接,如果应楼主的问题回答的话,无粘接预应力钢绞线,和有粘接钢绞线都属于预应务钢绞线的一种。