电大经济数学基础12全套试题及答案汇总演示教学
- 格式:doc
- 大小:1.72 MB
- 文档页数:21
2021年国家开放大学《经济数学基础12》课程综合练习题参考答案一、单项选择题(每小题3分,共15分)1.C 2. A 3. B 4. D 5. B二、填空题(每小题3分,共15分)6.32+x 7.218.4 9.3 10.-1三、微积分计算题(每小题10分,共20分)11.解 )(cos e 1sin x x y x +=' x x x y y y xd )cose 1(d d sin +='=12.解: x x x d 2cos 20⎰π=202sin 21πx x -x x d 2sin 2120⎰π=202cos 41πx =21-.四、线性代数计算题(每小题15分,共30分)13.解:因为⎥⎦⎤⎢⎣⎡10530121⎥⎦⎤⎢⎣⎡--→13100121⎥⎦⎤⎢⎣⎡--→13102501 即 ⎥⎦⎤⎢⎣⎡--=⎥⎦⎤⎢⎣⎡-132553211所以,X =153213221-⎥⎦⎤⎢⎣⎡⎥⎦⎤⎢⎣⎡=⎥⎦⎤⎢⎣⎡--⎥⎦⎤⎢⎣⎡13253221= ⎥⎦⎤⎢⎣⎡-110114.解:将方程组的增广矩阵化为阶梯形⎥⎥⎥⎦⎤⎢⎢⎢⎣⎡+-----→⎥⎥⎥⎦⎤⎢⎢⎢⎣⎡---2710222012511103121114796371231211λλ⎥⎥⎥⎦⎤⎢⎢⎢⎣⎡+---→⎥⎥⎥⎦⎤⎢⎢⎢⎣⎡+----→3000012511109490130000125111031211λλ 由此可知当3-≠λ时,方程组无解;当3-=λ时,方程组有解方程组的一般解为:⎩⎨⎧-+=+--=12511949432431x x x x x x , 其中3x ,4x 是自由未知量. 五、应用题(本题20分)15.解:因为总成本函数为⎰-=q q q C d )34()(=c q q +-322当q = 0时,C (0) = 18,得 c =18即 C (q )=18322+-q q又平均成本函数为 qq q q C q A 1832)()(+-== 令 0182)(2=-='q q A , 解得q = 3 (百台) 该题确实存在使平均成本最低的产量. 所以当x = 3时,平均成本最低. 最底平均成本为: 9318332)3(=+-⨯=A (万元/百台)。
电大经济数学基础12全套试题及答案一、填空题(每题3分,共15分)6.函数()f x =的定义域是 (,2](2,)-∞-+∞U .7.函数1()1xf x e=-的间断点是 0x = .8.若()()f x dx F x C =+⎰,则()xx ef e dx --=⎰()x F e c --+.9.设10203231A a ⎡⎤⎢⎥=⎢⎥⎢⎥-⎣⎦,当a = 0 时,A 是对称矩阵。
10.若线性方程组12120x x x x λ-=⎧⎨+=⎩有非零解,则λ= -1 。
6.函数()2x xe ef x --=的图形关于 原点 对称.7.已知sin ()1xf x x=-,当x → 0时,()f x 为无穷小量。
8.若()()f x dx F x C =+⎰,则(23)f x dx -=⎰1(23)2F x c -+ .9.设矩阵A 可逆,B 是A 的逆矩阵,则当1()T A -= TB 。
10.若n 元线性方程组0AX =满足()r A n <,则该线性方程组 有非零解 。
6.函数1()ln(5)2f x x x =++-的定义域是 (5,2)(2,)-+∞U . 7.函数1()1xf x e=-的间断点是 0x = 。
8.若2()22x f x dx x c =++⎰,则()f x =2ln 24x x +.9.设111222333A ⎡⎤⎢⎥=---⎢⎥⎢⎥⎣⎦,则()r A = 1 。
10.设齐次线性方程组35A X O ⨯=满,且()2r A =,则方程组一般解中自由未知量的个数为 3 。
6.设2(1)25f x x x -=-+,则()f x =x2+4 .7.若函数1sin 2,0(),0x x f x xk x ⎧+≠⎪=⎨⎪=⎩在0x =处连续,则k= 2 。
8.若()()f x dx F x c =+⎰,则(23)f x dx -=⎰1/2F(2x-3)+c.9.若A 为n 阶可逆矩阵,则()r A = n 。
电大经济数学基础12全套试题及答案一、填空题(每题3分,共15分)T 1设矩阵A 可逆,B 是A 的逆矩阵,则当(A )10 •若n 元线性方程组 AX 0满足r(A) n ,则该线性方程组 —有非零解 ___________________16 .函数 f(x) — ln(x 5)的定义域是 ______________ ( 5,2) U (2,) ____ .x 21 、 7 .函数f ( X ) -的间断点是 x 0 __________ 。
1 e x—&若 f(x)dx 2X 2x 2 c ,则 f(x)= _____________ 2X ln2 4x ___________ .1 1 19. 设A2 2 2 , 则 r(A)1。
33310 .设齐次线性方程组A 35XO 满,且r(A) 2 , 则方程组一般解中自由未知量的个数为3 。
6. 设 f(x 1) x 22x 5,则 f(x)= x2+4 .xsin12,x0亠 0处连续,则x在Xk= 2 。
函数 f(x)—4的定义域是(,2]U(2,)x 2函数 f(x)1丄的间断点是1 e xf (x)dx F(x) C ,则 e x f(e x )dxF(e x ) cio .若线性方程组X i X i函数 f (x)已知 f (x)f (x)dx ,当a时,A 是对称矩阵。
X 2 X 2有非零解,则x-的图形关于 _____ 原点 ’ sin x r,当xx对称.0 __ 时,f (x)为无穷小量。
F(x) C ,则 f (2x 3)dx12F(2x 3) cB T7.若函数f(x) k,x 09.若A 为n 阶可逆矩阵,则r(A)n。
11 2 310.齐次线性方程组 AXO 的系数矩阵经初等行变换化为A0 1 0 2 ,则此方程组的一0 0般解中自由未知量的个数为2。
1.下列各函数对中,(D )中的两个函数相等.A.C. y(x) =lnx s 4 =21rLisin x 小----- x 02 .函数f (x) X ' 在x 0处连续,则k ( C . 1 )。
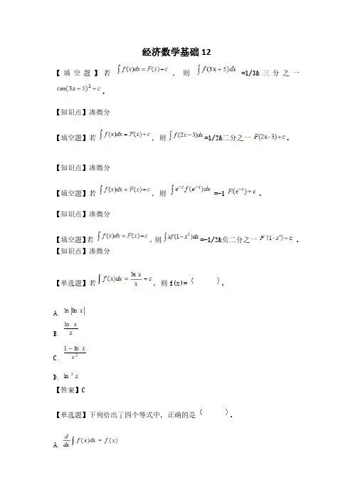
经济数学基础12【填空题】若,则=1/3&三分之一。
【知识点】凑微分【填空题】若,则=1/2&二分之一。
【知识点】凑微分【填空题】若,则=-1。
【知识点】凑微分【填空题】若,则=-1/2&负二分之一。
【知识点】凑微分【单选题】若,则f(x)=。
A.B.C.D.【答案】C【单选题】下列给出了四个等式中,正确的是。
A.B.C.D.【答案】A【单选题】若=。
A.4sin2xB.-4sin2xC.2cos2xD.-2cos2x【答案】B【单选题】若f(x)是可导函数,则下列等式中不正确的是。
A.B.C.D.【答案】D【单选题】微分=。
A.B.C.D.【答案】B【单选题】若f(x)可微,则=。
A.f(x)B.C.D.f(x)+c【答案】B【单选题】若,则f(x)=。
A.B.C.D.【答案】C【单选题】以下结论正确的是。
A.方程的个数小于未知量的个数的线性方程组一定有无穷多解B.方程的个数等于未知量的个数的线性方程组一定有唯一解C.方程的个数大于未知量的个数的线性方程组一定有无解D.A,B,C都不对【答案】D【单选题】若线性方程组AX=O只有零解,则线性方程组AX=b。
A.有唯一解B.有无穷多解C.无解D.解不能确定【答案】D【单选题】齐次线性方程组。
A.有非零解B.只有零解C.无解D.可能有解也可能无解【答案】A【单选题】线性方程组一定。
A.有无穷多解B.有唯一解C.只有零解D.无解【答案】B【单选题】线性方程组一定。
A.有唯一解B.有无穷多解C.无解D.有是一个解【答案】C【单选题】线性方程组的解的情况是。
A.无解B.只有零解C.有唯一解D.有无穷多解【答案】A【单选题】线性方程组解的情况是。
A.有无穷多解B.只有零解C.有唯一解D.无解【答案】D【单选题】线性方程组解的情况是。
A.有唯一解B.只有零解C.有无穷多解D.无解【答案】C【单选题】设线性方程组AX=b有唯一解,则相应的齐次方程组AX=O解的情况是。
国家开放高校电大专科《经济数学基础12》网络课形考网考作业试题及答案(第一套) 通过整理的国家开放高校电大专科《经济数学基础12》网络课形考网考作业试题及答案(第一套)相关文档,渴望对大家有所扶植,感谢观看!国家开放高校电大专科《经济数学基础12》网络课形考网考作业试题及答案(第一套) 考试说明:本课程形成性考核成果占总成果的50%,共100分。
其中包括:作业:包括4次测验,每次满分100分,折合实际成果为15分,共60分。
学习活动:包括4次,每次10分,共40分形考任务(共60分)作业一单项选择题(每题4分,共100分)题目1 函数的定义域为(). 选择一项:题目2 下列函数在指定区间上单调增加的是(). 选择一项:题目3 设,则=().选择一项:题目4 当时,下列变量为无穷小量的是(). 选择一项:题目5 下列极限计算正确的是(). 选择一项:题目6 (). 选择一项:A. 1 B. 0 C. 2 D. -1 题目7 . 选择一项:A. 5 B. -5 题目8 . 选择一项:题目9 题目10 选择一项:D. 2 题目11 当时,函数. 选择一项:题目12 曲线的切线方程是(). 选择一项:题目13 若函数处可导,则()是错误的.选择一项:题目14 题目15 题目16 题目17 题目18 题目19 题目20 题目21 题目22 题目23 题目24 题目25 作业二题目1 题目2 题目3 题目4 题目5 题目6 题目7 题目8 题目9题目10 题目11 题目12 题目13 题目14 题目15 题目16 题目17 题目18 题目19 题目20 作业三题目1 题目2 题目3 题目4 题目5 题目6 题目7 题目8 题目9 题目10 题目11 题目12 题目13 题目14 题目15 题目16 题目17 题目18 题目19 题目20 作业四答案如下:8、解:答案如下:学习活动(总40分)活动一:问卷答题(占形考总分的10% 题目1 形考任务中共有()次学习活动。
单项选择题(每题4分,共100分)题目1正确获得4.00分中的4.00分标记题目题干函数的定义域为().选择一项:A.B.C.D.反馈你的回答正确题目2正确获得4.00分中的4.00分标记题目题干下列函数在指定区间上单调减少的是().选择一项:A.B.C.D.反馈你的回答正确题目3正确获得4.00分中的4.00分标记题目题干设,则().选择一项:A.B.C.D.反馈你的回答正确题目4获得4.00分中的4.00分标记题目题干当时,下列变量为无穷小量的是().选择一项:A.B.C.D.反馈你的回答正确题目5正确获得4.00分中的4.00分标记题目题干下列极限计算正确的是().选择一项:A.B.C.D.反馈你的回答正确题目6正确获得4.00分中的4.00分标记题目题干().选择一项:A. 2B. -1C. 0D. 1反馈你的回答正确题目7正确获得4.00分中的4.00分标记题目题干().选择一项:A.B. -2C. 2D.反馈你的回答正确题目8标记题目题干().选择一项:A.B.C.D.反馈你的回答正确题目9正确获得4.00分中的4.00分标记题目题干().选择一项:A. -4B. 1C. 0D. 4反馈你的回答正确题目10正确获得4.00分中的4.00分标记题目题干设在处连续,则().选择一项:A. -1B. 1C.D. 0反馈你的回答正确题目11正确获得4.00分中的4.00分标记题目题干当(),()时,函数在处连续.选择一项:A.B.C.D.反馈你的回答正确题目12获得4.00分中的4.00分标记题目题干曲线在点的切线方程是().选择一项:A.B.C.D.反馈你的回答正确题目13正确获得4.00分中的4.00分标记题目题干若函数在点处可微,则()是错误的.选择一项:A. ,但B. 函数在点处有定义C. 函数在点处连续D. 函数在点处可导反馈你的回答正确题目14正确获得4.00分中的4.00分标记题目题干若,则().选择一项:A.B.C.D.反馈你的回答正确题目15正确获得4.00分中的4.00分标记题目题干设,则().选择一项:A.B.C.D.反馈你的回答正确题目16标记题目题干设函数,则().选择一项:A.B.C.D.反馈你的回答正确题目17正确获得4.00分中的4.00分标记题目题干设,则().选择一项:A.B.C.D.反馈你的回答正确题目18正确获得4.00分中的4.00分标记题目题干设,则().选择一项:A.B.C.D.反馈你的回答正确题目19正确获得4.00分中的4.00分标记题目题干设,则().选择一项:A.B.C.D.反馈你的回答正确题目20正确获得4.00分中的4.00分标记题目题干设,则().选择一项:A.B.C.D.反馈你的回答正确题目21获得4.00分中的4.00分标记题目题干设,则().选择一项:A.B.C.D.反馈你的回答正确题目22正确获得4.00分中的4.00分标记题目题干设,方程两边对求导,可得().选择一项:A.B.C.D.反馈你的回答正确题目23正确获得4.00分中的4.00分标记题目题干设,则().选择一项:A.B.C.D.反馈你的回答正确题目24正确获得4.00分中的4.00分标记题目题干函数的驻点是().选择一项:A.B.C.D.反馈你的回答正确题目25正确获得4.00分中的4.00分标记题目题干设某商品的需求函数为,则需求弹性().选择一项:A.B.C.D.反馈你的回答正确结束回顾跳过<span id="mod_quiz_navblock_title">测验导航</span>测验导航信息信息此页题目1此页题目2此页题目3此页题目4此页题目5此页题目6此页题目7此页题目8此页题目9此页题目10此页题目11此页题目12此页题目13此页题目14此页题目15此页题目16此页题目17此页题目18此页题目19此页题目20此页题目21此页题目22此页题目23此页题目24此页题目25此页结束回顾版权所有国家开放大学。
电大经济数学基础12全套试题及答案一、填空题(每题3分,共15分)6.函数()f x =的定义域是 (,2](2,)-∞-+∞U .7.函数1()1xf x e=-的间断点是 0x = .8.若()()f x dx F x C =+⎰,则()xx ef e dx --=⎰()x F e c --+.9.设10203231A a ⎡⎤⎢⎥=⎢⎥⎢⎥-⎣⎦,当a = 0 时,A 是对称矩阵。
10.若线性方程组12120x x x x λ-=⎧⎨+=⎩有非零解,则λ= -1 。
6.函数()2x xe ef x --=的图形关于 原点 对称.7.已知sin ()1xf x x=-,当x → 0时,()f x 为无穷小量。
8.若()()f x dx F x C =+⎰,则(23)f x dx -=⎰1(23)2F x c -+ .9.设矩阵A 可逆,B 是A 的逆矩阵,则当1()T A -= TB 。
10.若n 元线性方程组0AX =满足()r A n <,则该线性方程组 有非零解 。
6.函数1()ln(5)2f x x x =++-的定义域是 (5,2)(2,)-+∞U . 7.函数1()1xf x e=-的间断点是 0x = 。
8.若2()22x f x dx x c =++⎰,则()f x =2ln 24x x +.9.设111222333A ⎡⎤⎢⎥=---⎢⎥⎢⎥⎣⎦,则()r A = 1 。
10.设齐次线性方程组35A X O ⨯=满,且()2r A =,则方程组一般解中自由未知量的个数为 3 。
6.设2(1)25f x x x -=-+,则()f x =x2+4 .7.若函数1sin 2,0(),0x x f x xk x ⎧+≠⎪=⎨⎪=⎩在0x =处连续,则k= 2 。
8.若()()f x dx F x c =+⎰,则(23)f x dx -=⎰1/2F(2x-3)+c.9.若A 为n 阶可逆矩阵,则()r A = n 。
10.齐次线性方程组AX O =的系数矩阵经初等行变换化为112301020000A -⎡⎤⎢⎥→-⎢⎥⎢⎥⎣⎦,则此方程组的一般解中自由未知量的个数为 2 。
1.下列各函数对中,( D )中的两个函数相等.2.函数sin ,0(),0xx f x x k x ⎧≠⎪=⎨⎪=⎩在0x =处连续,则k =( C .1 )。
3.下列定积分中积分值为0的是( A ).4.设120300132413A -⎡⎤⎢⎥=-⎢⎥⎢⎥--⎣⎦,则()r A =( B . 2 ) 。
5.若线性方程组的增广矩阵为120124A λλ⎡⎤=⎢⎥--⎣⎦,则当λ=( A .1/2 )时该线性方程组无解。
6.242x y x -=-的定义域是 .7.设某商品的需求函数为2()10p q p e -=,则需求弹性p E =。
8.若()()f x dx F x c =+⎰,则()xx ef e dx --=⎰.9.当 a 时,矩阵13-1A a ⎡⎤=⎢⎥⎣⎦可逆。
10.已知齐次线性方程组AX O =中A 为35⨯矩阵,则()r A ≤ 。
1.函数21()9ln(3)f x x x =-+的定义域是 (-3,-2)(-2,3]⋃ .2.曲线()f x x =1,1)处的切线斜率是12.3.函数23(1)y x =-的驻点是x =1.4.若()f x '存在且连续,则[()]df x '⎰()f x ' . 5.微分方程3(4)7()4sin y xyy x ''+=的阶数为 4 。
1.函数22, 50()1, 02x x f x x x +-≤<⎧=⎨-≤<⎩的定义域是 [5,2)- .2.0sin limx x x x→-= 0 .3.已知需求函数20233q p =-,其中p 为价格,则需求弹性p E = 10pp - . 4.若()f x '存在且连续,则[()]df x '=⎰()f x ' . 5.计算积分11(cos 1)x x dx -+=⎰2 。
二、单项选择题(每题3分,本题共15分)1.下列函数中为奇函数的是 ( C .1ln 1x y x -=+ ). A .2y x x =-B .x xy e e -=+ C .1ln1x y x -=+D .sin y x x =2.设需求量q 对价格p 的函数为()32q p p =-p E =( D 32p p-- )。
A 32p p- B 32pp-32pp- D 32p p--3.下列无穷积分收敛的是 (B .211dx x+∞⎰).A . 0xe dx +∞⎰B .211dx x +∞⎰C.1+∞⎰D .1ln xdx +∞⎰4.设A 为32⨯矩阵,B 为23⨯矩阵,则下列运算中( A . AB )可以进行。
A . AB B . A B +C . TAB D . TBA 5.线性方程组12121x x x x +=⎧⎨+=⎩解的情况是( D .无解 ).A .有唯一解B .只有0解C .有无穷多解D .无解1.函数lg(1)xy x =+的定义域是 ( D .10x x >-≠且).A .1x >-B .0x >C .0x ≠D .10x x >-≠且2.下列函数在指定区间(,)-∞+∞上单调增加的是( B .xe )。
A .sin xB .x eC .2xD .3x -3.下列定积分中积分值为0的是(A . 112x xe e dx ---⎰ ). A . 112x x e e dx ---⎰ B .112x x e e dx --+⎰C .2(sin )x x dx ππ-+⎰ D .3(cos )x x dx ππ-+⎰4.设AB 为同阶可逆矩阵,则下列等式成立的是( C . ()TTTAB B A = )。
A . ()TTTAB A B= B . 111()()T T AB A B ---=C . ()T T T AB B A = D .111()()T T AB A B ---=5.若线性方程组的增广矩阵为12210A λ⎡⎤=⎢⎥⎣⎦,则当=λ( A .12 )时线性方程组无解. A .12B .0C .1D .21.下列函数中为偶函数的是( C .2x xe e y -+=).A .3y x x =- B .1ln 1x y x -=+ C .2x x e e y -+=D .2sin y x x =2.设需求量q 对价格p的函数为()3q p =-p E =( D. )。
ABC.D.3.下列无穷积分中收敛的是(C .211dx x +∞⎰ ).A . 0x e dx +∞⎰B.1+∞⎰ C .211dx x +∞⎰D .sin xdx +∞⎰4.设A 为34⨯矩阵,B 为52⨯矩阵, 且乘积矩阵TTAC B 有意义,则C 为 ( B . 24⨯ ) 矩阵。
A . 42⨯ B . 24⨯ C . 35⨯D .53⨯5.线性方程组12122123x x x x +=⎧⎨+=⎩的解的情况是( A .无解 ).A .无解B .只有0解C .有唯一解D .有无穷多解1.下列函数中为偶函数的是( C .1ln 1x y x -=+ ).A .3y x x =-B .xxy e e -=+ C .1ln1x y x -=+D .sin y x x =2.设需求量q 对价格p 的函数为2()100p q p e -=,则需求弹性为p E =( A .2p-)。
A .2p -B .2p C .50p - D .50p 3.下列函数中(B .21cos 2x - )是2sin x x 的原函数.A . 21cos 2xB .21cos 2x - C .22cos x -D .22cos x4.设121201320A -⎡⎤⎢⎥=-⎢⎥⎢⎥-⎣⎦,则()r A =( C . 2 ) 。
A . 0 B . 1 C . 2 D . 35.线性方程组12111110x x ⎡⎤⎡⎤⎡⎤=⎢⎥⎢⎥⎢⎥-⎣⎦⎣⎦⎣⎦的解的情况是( D .有唯一解 ). A .无解B .有无穷多解C .只有0解D .有唯一解1..下列画数中为奇函数是(C .2sin x x).A .ln xB .2cos x x C .2sin x x D .2x x +2.当1x →时,变量( D .ln x )为无穷小量。
A .11x - B .sin x x C .5xD .ln x3.若函数21, 0(), 0x x f x k x ⎧+≠=⎨=⎩,在0x =处连续,则k = ( B .1 ).A . 1-B .1C .0D .24.在切线斜率为2x 的积分曲线族中,通过点(3,5)点的曲线方程是( A . 24y x =- ) A . 24y x =- B . 24y x =+ C . 22y x =+ D . 22y x =- 5.设ln ()x f x dx C x=+⎰,则()f x =( C .21ln xx - ). A .ln ln x B .ln x x C .21ln xx-D .2ln x1..下列各函数对中,( D .22()sin cos ,()1f x x x g x =+= )中的两个函数相等.A .2(),()f x g x x ==B .21(),()11x f x g x x x -==+- C .2ln ,()2ln y x g x x == D .22()sin cos ,()1f x x x g x =+=2.已知()1sin xf x x=-,当( A .0x → )时,()f x 为无穷小量。
A .0x → B .1x → C .x →-∞ D .x →+∞ 3.若函数()f x 在点0x 处可导,则(B .0lim (),x x f x A →=但0()A f x ≠ )是错误的.A .函数()f x 在点0x 处有定义B .0lim (),x x f x A →=但0()A f x ≠C .函数()f x 在点0x 处连续D .函数()f x 在点0x 处可微4.下列函数中,(D . 21cos 2x - )是2sin x x 的原函数。
A .21cos 2x B . 22cos x C . 22cos x D . 21cos 2x - 5.计算无穷限积分311dx x +∞=⎰( C .12 ). A .0 B .12- C .12 D .∞三、微积分计算题(每小题10分,共20分) 11.设53cos xy x =+,求dy .12.计算定积分1ln ex xdx ⎰.11.设2cos ln y x x =+,求dy . 12.计算定积分ln 320(1)x x e e dx +⎰.1.计算极限22412lim 54x x x x x →---+。