土力学课后题答案教学提纲
- 格式:doc
- 大小:222.00 KB
- 文档页数:16
第一章:土的物理性质及工程分类名词解释1、土粒级配:是指土中各粒组的相对百分含量,或土中中各粒组占总质量的百分数。
2、不均匀系数:用来描述土粒的不均匀性大小的指标。
用公式表示 1060d d C u =3、曲率系数:用来反映颗分曲线的整体形状和细粒含量多少的指标。
用公式表示1060230)(d d d C c =4、液限:是指土体处于可塑态和流动态的界限含水率,用w l 表示。
5、塑限:是指土体处于可塑态和半固态的界限含水率。
用w p 表示。
6、塑性指数:表示粘性土呈可塑状态的含水率的变化范围,其大小等于液限与塑限的差值(去百分号)。
用公式表示100)(⨯-=p l p w w I7、液性指数:表征了粘性土的天然含水率和界限含水率之间的相对关系,用来区分天然土所处的状态。
用公式表示pppl p l I w w w w w w I -=--=8、最大干密度:在击实曲线中,当土的含水率增加到某一值时,干密度可以达到了最大值,这一干密度称为最大干密度,用ρdmax 表示。
9、最优含水率:在击实曲线中,当土的含水率增加到某一值时,干密度可以达到了最大值,这一含水率称为最优含水率,用w op 表示。
10、灵敏度:原状土的单轴抗压强度与重塑土的单轴抗压强度之比。
用公式表示uu t q q S =简答1、A 土样的孔隙比小于B 土样的孔隙比,那么A 土样一定比B 土样密实么?为什么? 答:不一定;如果对于同一种土来说,孔隙比的大小可以反映出土的密实程度;而对于不同土来说,仅仅用孔隙比是无法判断土的密实程度的,还与土样的物理性质有关。
2、什么是颗分试验?有几种方法?适用范围是什么?答:测定土体中各粒组的质量占总土重百分数,确定各粒径分布范围的试验。
常用方法有:筛分法,适用于粒径d ≥0.075mm 且P ≥90%的粗粒土;密度计法,适用于粒径d ≤0.075mm 且P ≥90%的细粒土。
对于粗细混合土可采用联合测定法。
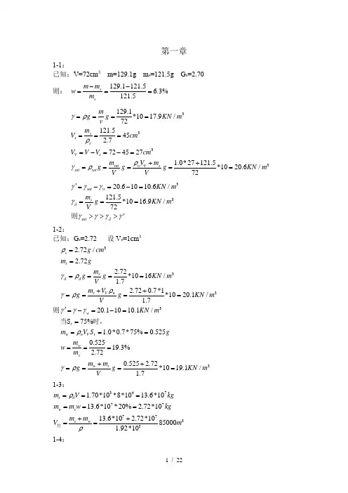
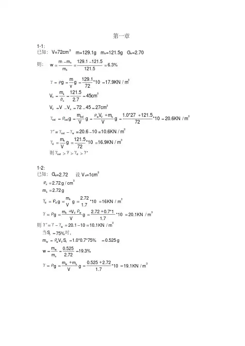
《土力学》课后习题答案第一章1-1:已知:V=72cm3m=129.1g m s=121.5g G s=2.70则:129.1121.56.3%121.5ssm mwm--===3333 129.1*1017.9/72121.5452.77245271.0*27121.5*1020.6/72sssV ssat w V ssat satmg g KN mvmV cmV V V cmm V mg g g KN mV Vγρρργρ========-=-=++=====3320.61010.6/121.5*1016.9/72sat wsdsat dKN mmg KN mVγγγγγγγγ'=-=-===='>>>则1-2:已知:G s=2.72 设V s=1cm3则33332.72/2.722.72*1016/1.72.720.7*1*1020.1/1.720.11010.1/75%1.0*0.7*75%0.5250.52519.3%2.720.525 2.721.sssd ds V wwrw w V rwsw sg cmm gmg g KN mVm Vg g KN mVKN mm V S gmwmm mg gVργρργργγγργρ======++===='=-=-========++===当S时,3*1019.1/7KN m=1-3:3477777331.70*10*8*1013.6*1013.6*10*20%2.72*1013.6*10 2.72*10850001.92*10s d w s s wm V kg m m w kg m m V m ρρ======++==挖1-4: 甲:33334025151* 2.72.7*30%0.81100%0.812.70.811.94/10.8119.4/2.71.48/1.8114.8/0.81p L P s s s s w r wV ws w s w s d s w d d vsI w w V m V g m g S m V m m g cm V V g KN m m g cm V V g KN m V e V ρρργρργρ=-=-=======∴==++===++=====+====设则又因为乙:3333381 2.682.68*22%0.47960.47962.680.47962.14/10.47962.14*1021.4/2.681.84/1.47961.84*1018.4/0.4796p L p s s s s w s V s w s V s d s w d d VsI w w V m V g m m w g V cm m m g cm V V g KN m m g cm V V g KN m V e V ρργρργρ=-========++===++======+=====设则则γγ∴<乙甲 d d γγ<乙甲 e e >乙甲 p p I I >乙甲则(1)、(4)正确1-5:1s w d G eρρ=+ 则2.7*1110.591.7022%*2.7185%0.59s wds r G e wG S e ρρ=-=-====>所以该料场的土料不适合筑坝,建议翻晒,使其含水率降低。
土力学习题参考解答土力学 主编 高向阳 北京大学出版社说明:本参考解答没有经过校核,仅仅作为做题方法参考 第一章 土的物理性质及工程分类 1.1【解】已知V=38.4cm3, M=67.21g, Ms=49.35g, ds=2.69%8909.136.0*69.2%5209.1109.1109.115.1736.1*9.261)1(%3635.49/)35.4921.67(//9.124.38/10*35.49//5.17/75.14.38/21.67/333====+=+==-=-+==-=========e d S e e n d e m m m kN v m m kN cm g v m s r w s s w s d ωγωγωγγ1.2【解】已知 γd =15.7, ω=19.3, d s =2.71, ωL =28.3%, ωP =16.7%,该土处于硬塑状态大于液性指数小于粘土,该土定名应该为粉质小于因为塑性指数大于025.01710224.06.117.163.196.117.163.28%7273.00193*71.2%4273.173.0173.017.151.271=-==-======+==-=-=L p s r dws I I e d S e e n d e ωγγ1.3【解】已知ω=9.43%, d s =2.7, ρ=1.66g/cm3 & 干燥后,ρdmax =1.62g/cm3, ρdmin =1.45g/cm344.052.1*)45.162.1(62.1*)45.152.1()()(/52.178.17.2178.0166.10943.1*1*7.21)1(min max max min 3=--=--===+==-=-+=d d d d d d r ws d w s D cm g e d d e ρρρρρρρρρωρ 中等密实 1.4【解】已知V=100cm3,M=187g ,Ms=167g ,ds=2.66%5459.012.0*66.259.017.1812.1*6.261)1(%12167/)167187(//7.18/87.1100/187/33====-=-+==-======e d S d e m m m kN cm g v m s r w s s w ωγωγωγ 1.5【解】已知 土方20万m 3,ω=12.0%,ρ=1.70g/cm3 ωL =32.0%, ωP =20.0%,d s =2.72.目标ρd2=1.65 g/cm3 1) 原来土的干密度为518.112.170.11==+=ωρρd 则所需要土料量V 万方要满足干土颗粒不变的要求 1.518V=20*1.65 V=21.74万m 3 2) ωopt =0.95*20=19%1方土加水量=ρd2ωopt -ρd ωV/20=1.65*0.19-1.518*0.12=0.115 m 3, 或者0.115 t所以每天加水量=3000*0.115=345m 3 3) 土坝:%80648.019.0*72.2648.0165.172.21====-=-=e d S d e s r d ws ωρρ第二章 112-113 2.1【解】已知水上土h1=3m, γ1=18,h2=2 m, γ2=18.4,水下土h3=3 m, γ3sat=19.5深7米处自重应力=∑γh=3*18+2*18.4+2*9.5=109.8kPa 2.2【解】已知b*l=2*3m, 基底M=500kNm ,N=600kN300)6/55.1(*2*3600*2)2/(3)(26/36/6/5600/500/min max ==-=-+==>===p kPae l b G F p l N M e ,属于大偏心2.3【解】已知如图所示,列表计算如下2.4【解】已知p0=100kPa ,其他如图2-37,各点应力列表计算如下:补充:矩形荷载的宽度改为2米第二章 1483.1【解】 已知h=2m ,e1=0.9,e2=0.8mm h e e e S 3.1052000*9.18.09.01121=-=+-=3.2【解】已知如下表 土的压缩系数,中等压缩性土1.05.02.1216.0952.11)(16.01.02.0936.0952.0111221<<==+==--=--=-a MPaa e E MPa p p e e a3.3【解】已知b*l=2*3.6m ,d=1m ,F=900kN ,γ=16,e1=1.0,a=0.4(MPa )-1kPa d p p kPad G F A G F p G 1291*161451451*206.3*29000=-=-==+=+=+=γγ 计算深度Zn=b(2.5-0.4lnb)=2*(2.5-0.4ln2)=4.45m 取Zn=4.6 验算厚度Δz=0.3Es=(1+e1)/a=(1+1.0)/0.4=5MPa, 查表得到沉降修正系数=1.2 列表计算如下最终沉降S=ψs ∑Δsi=1.2*57.4=68.9mm3.4【解】已知p0=100kPa,d=2,l*b=4*4,h1=6,γ1=18kN/m3 e=0.85-2p/3h2=6,γ’=20-10=10 kN/m3 e=1.0-p a=1>0.5MPa-1高压缩性土1规范法:第一层土:e0=0.85,a=2/3, Es1=1.85/2/3=2.775MPa第一层土:e0=1.00,a=1>0.5 高压缩, Es1=2.0/1=2.00MPa计算深度估计Zn=b(2.5-0.4ln4)=4*(2.5-0.4ln4)=8.57m取Zn=8.80m,验算厚度Δz=0.6列表计算如下最终沉降S=ψs∑Δsi=143.2*1.05=150.42. 分层总和法每层厚度不大于4*0.4=1.6米,水上分别取1.3,1.3,1.4米,水下,按照1.6米为层厚取层,具体列表计算如下:3.5【解】分析:沉降由再压缩50kPa 及压缩50kPa 构成已知Ce=0.05,Cc=0.3,e=0.85 p=100kPa ,pc=σc+50,γ=18kN/m3,h=4m第四章 4.1 【解】已知h=40cm ,L=15cm ,t=6.0s ,Q=400g=400cm3, d=5.5cm A=πd 2/4=23.8cm2s cm Ath QL k /05.140*6*8.2315*4002===4.2 【解】已知H=6m ,Cv=4.5*10-3cm2/s, γ=16.8kN/m3,p=120kPa1) α=1, Days C H T t v v 2.185)24*3600/(0045.0360000*2.02=== 2) α=120/(120+16.8*6)=120/220.8=0.54 U=50%,查表内插得到Tv=0.226,因此Days C H T t vv 3.2092.0/226.0*2.1852==== 第五章5.1【解】已知cu=40kPa ,σ3=100kPa则:σ1=σ3+2cu=180kPa5.2【解】已知c ’=0,φ’=280,σ1=200kPa ,σ3=150kPa ,u=100kPa 则,σ1’=200-100=100kPa ,在σ3=50kPa 土达到极限平衡状态时候的σ1j ’ =50tan 2(45+14)=138.5kPa>σ1’ =100kPa所以,该点没达到极限平衡状态,没破坏!5.3【解】已知砂土:σ=250kPa ,τf=100kPatan φ=100/250=0.4, φ=21.80 则破裂面与大主应力作用面的夹角为45+15.9=60.90(所以1008.21cos 22508.21sin 2-2313131=-=-+σσσσσσ解方程组得到:σ1=396.3kPa ,σ3==180.9kPa )第六章6.1【解】已知h=10m , c=0 E=Kh 2/26.2【解】已知γ1=19.0kN/m3, h1=2m ,c1=0, φ1=30;γ2=17.6kN/m3,h2=3m ,c2=5kPa, φ2=15从上到下编号点1、2、3点1,e a =0点2,e a 上=19.0*2*tan 2(45-15)=38/3kN/m=12.7 kN/m2e a 下=38.0* tan 2(45-7.5)-2*5tan37.5=14.7kN/m2点3,e a =(38.0+17.6*3)tan 2(45-7.5)-2*5tan37.5=38.1kN/m2E=12.7*2/2+(14.7+38.1)/2*3=12.7+79.2=91.9kN/m6.3【解】已知γ1=18.5kN/m3, h1=3m,c1=0, φ1=30;γ2=20.0kN/m3,h2=3m,, φ2=35γ3sat=20.0kN/m3,h3=4m,φ3=35从上到下编号点1、2、3、4点1,e a=0点2,e a上=18.5*3*tan2(45-15)=18.5kN/m2e a下=18.5*3* tan2(45-17.5) =15.0kN/m2点3,e a上= e a下=(18.5*3+20*3)*tan2(27.5)=31.3kN/me w=0点4,e a =(18.5*3+20*3+10*4)*tan2(27.5)=42.1kN/m2e w=10*4=40E=(0+18.5)*3/2+(15.0+31.3)*3/2+(31.3+42.1)*4/2=244kN/m Ew=40*4/2=80kN/mE=80+244=324 kN/m6.4已知γ1=18.5kN/m3, h1=3m,c1=0, φ1=30;q=20.0kN/m2 γ2=18.5kN/m3,h2=3m,, φ2=35γ3sat=20.0kN/m3,h3=4m,φ3=35从上到下编号点1、2、3、4点1,e a=20 tan2(45-15)=6.7kN/m2点2,e a上=(20+18.5*3)*tan2(45-15)=25.2kN/m2e a下=(20+18.5*3)* tan2(45-17.5) =20.4kN/m2点3,e a上= e a下=(20+18.5*3+18.5*3)*tan2(27.5)=35.5 kN/me w=0点4,e a =(20+18.5*3+18.5*3+10*4)*tan2(27.5)=46.3kN/me w=10*4=40E=(6.7+25.2)*3/2+(20.4+35.5)*3/2+(35.5+46.3)*4/2=295.3kN/mEw=40*4/2=80kN/mE=80+295.3=375.3 kN/m合力作用点省略6.5-6.8省略。
名词解释、简答题。
1.土的粒径级配:分析粒径的大小及其在土中所占的百分比,称为土的粒径级配。
2.土粒比重:土粒的质量与同体积纯蒸掰水在轮时的质量之比。
3.土的含水量:土中水的质星与土粒质房之比。
4.液性界限(气)简称液限:相当于土从塑性状态转变为液性状态时的含水量。
5.塑性界限(a)P)简称塑限:相当于土从半固休状态转变为塑性状态时的含水量。
6.最优含水景与最大干密度:最优含水量指的是对特定的土在一定的夯击能量下达到最大密实状态时所对应的含水呈。
在击数一定时,当含水率较低时,击实后的干密度随着含水量的增加而增大,而当含水率达到某一值时,干密度达到最大值,此时含水率继续增加反而导致干密度的减小。
干密度的这•-最大值称为最大干密度。
7.渗透力:称每单位土粒内土颗粒所受的渗透作用力称为渗透力。
玳在土中流动的过程中将受到土阻力的作用,便水头逐渐损失,同时,睡得渗透将对土骨架产生拖曳力,导致土体中的应力与变形发生变化,这种渗透水流作用对土骨架产生的拖曳力称为渗透力)8 达西定律:在层流状态的渗流中,渗透速度v与水力坡降i的一次方成正比,并与土的性质有关。
Q = kAi或v = — = kiA9.流网:由流线和等势线所组成的曲线正交网格称为流网。
1Q绘制流网的基本要求:位流线与等势线必须正交。
b.流线与等势线构成的各个网格的长宽比应为常数Cc必须满足流场的边界条件,以保证解的唯一•性。
1L临界水力坡降L 土体开始发生流土破坏时的水力坡降。
12 土的渗透变形类型:管涌、流土、接触流土、接触冲刷。
但就单一土层来说,主要是流土和管涌两种基本型式。
13.渗透变形的防治措施:①防治流土: a上游做垂直防渗帷幕。
b.上游做水平防渗铺盖。
c-下游挖减压沟或打减压井。
d下游加透水盖重②防治管涌:a.改变水力条件,降低土层内部和渗流逸出处的渗透坡降。
h改变几何条件,在渗流逸出部位铺设层间关系满足要求的反滤层。
14 土中的应力,就其产生的原因主要有两种:由土体自身重量引起的自重应力和由其自重以外的荷载引起的附加应力。
土力学(河海大学第二版)所有章节完整答案第一章 土的物理性质指标与工程分类1-1 解:(1) A 试样100.083d mm = 300.317d mm = 600.928d mm =60100.92811.180.083u d C d === 22301060()0.317 1.610.0830.928c d C d d ===⨯ (1) B 试样100.0015d mm = 300.003d mm = 600.0066d mm =60100.0066 4.40.0015u d C d === 22301060()0.0030.910.00150.0066c d C d d ===⨯ 1-2 解:已知:m =15.3g S m =10.6g S G =2.70饱和 ∴r S =1又知:wSm m m =-= 15.3-10.6=4.7g(1) 含水量 w Sm mω==4.710.6=0.443=44.3% (2) 孔隙比 0.443 2.71.201.0Sre G Sω⨯===(3) 孔隙率1.20.54554.5%11 1.2e e η====++ (4) 饱和密度及其重度32.7 1.21.77/11 1.2Ssat w G e g cm e ρρ++===++ 31.771017.7/sat sat g kN m γρ=⨯=⨯=(5) 浮密度及其重度3' 1.77 1.00.77/sat w g cm ρρρ=-=-= 3''0.77107.7/g kN m γρ=⨯=⨯= (6) 干密度及其重度32.7 1.01.23/11 1.2S w d G g cm e γρ⨯===++31.231012.3/d d g kN m γρ=⨯=⨯= 1-3 解:31.601.51/110.06d g cm ρρω===++ ∴ 2.70 1.01110.791.51s s w d d G e ρρρρ⨯=-=-=-= ∴ 0.7929.3%2.70sat s e G ω===1.60100150.91110.06s m V m g ρωω⨯====+++∴ (29.3%6%)150.935.2w s m m g ω∆=∆=-⨯=1-4 解:w Sm mω=w Sm m m =-sSm m mω=-∴ 1000940110.06s m m g ω===++0.16ω∆=∴ 0.16940150w s m m g ω∆=∆=⨯=1-5 解:(1)31.771.61/110.098d g cm w ρρ===++∴ 0 2.7 1.01110.681.61s s w d d G e ρρρρ⨯=-=-=-= (2) 00.6825.2%2.7sat s e G ω=== (3) max 0max min 0.940.680.540.940.46r e e D e e --===--1/32/3r D <<∴ 该砂土层处于中密状态。
土力学课后习题答案土力学课后习题答案土力学是土木工程中的重要学科之一,主要研究土体的力学性质和行为。
在学习土力学的过程中,习题练习是非常重要的一环。
通过解答习题,可以帮助学生巩固理论知识,提高问题解决能力。
以下是一些土力学课后习题的答案,供大家参考。
1. 问题:什么是土的孔隙比和饱和度?它们之间有什么关系?答案:土的孔隙比是指土壤中孔隙体积与固体体积的比值,通常用e表示。
饱和度是指土壤中孔隙水的体积与孔隙总体积的比值,通常用S表示。
孔隙比和饱和度之间的关系可以用公式表示为:S = (e / (1 + e)) × 100%。
即饱和度等于孔隙比除以孔隙比加1的结果再乘以100%。
2. 问题:什么是有效应力和孔隙水压力?答案:有效应力是指土壤颗粒之间的接触力,是土体中颗粒间的相互作用力。
有效应力可以用公式表示为:σ' = σ - u。
其中,σ是总应力,u是孔隙水压力。
孔隙水压力是指土壤中孔隙水对土壤颗粒的作用力,是由于孔隙水的存在而产生的压力。
3. 问题:什么是孔隙水压力的传递?答案:孔隙水压力的传递是指孔隙水在土体中的传导过程。
当土体中存在孔隙水时,孔隙水会通过土体颗粒之间的孔隙空隙传递,从而形成水力梯度。
孔隙水压力的传递是由于水分分子的运动和土体颗粒之间的相互作用力而产生的。
4. 问题:什么是土的固结?答案:土的固结是指土体在自重和外部荷载作用下,孔隙结构逐渐改变,导致土体体积减小的过程。
土的固结是由于颗粒间的重新排列和孔隙水的排出而引起的。
固结会导致土体的沉降和变形,对工程结构的稳定性和安全性产生影响。
5. 问题:什么是土的液化?答案:土的液化是指土体在地震等外部荷载作用下,孔隙水压力的急剧增大,导致土体失去抗剪强度,呈现液态行为的现象。
土的液化会导致土体的流动和沉降,对地震工程的安全性产生重大影响。
以上是一些土力学课后习题的答案,希望能对大家的学习有所帮助。
通过解答习题,可以更好地理解土力学的理论知识,提高问题解决能力。
土力学课后习题答案(清华大学出版社)第一章1-1:未知:v=72cm3m=129.1gms=121.5ggs=2.70则:w?m?ms129.1?121.5??6.3%ms121.5m129.1g?*10?17.9kn/m3v72m121.5vs?s??45cm3?s2.7g?vv?v?vs?72?45?27cm3?sat??satg?msat?v?ms1.0*27?121.5g?wvg?*10?20.6kn/m3vv72 sat??w?20.6?10?10.6kn/m3ms121.5g?*10?16.9kn/m3v72则?satdd?1-2:未知:gs=2.72设vs=1cm3s2.72g/cm3ms2.72gms2.72g*1016kn/m3v1.7mv2.720.7*1gsvwg*1020. 1kn/m3v1.7则w?20.1?10?10.1kn/m3ddg当sr?75%时,mw??wvvsr?1.0*0.7*75%?0.525gw?mw0.525??19.3%ms2.72mw?ms0.525?2.72g?*10?19.1kn/ m3v1.7g?1-3:ms??dv?1.70*103*8*104?13.6*107kgmw?msw?13.6*107*20%?2.72*107kgv挖出?ms?mw13.6*1072.72*10785000m331.92*101-4:甲:ip?wl?wp?40?25?15设vs?1则ms??s*vs?2.7gmw?2.7*30%?0.81g又因为sr?100%?vv?mw?0.81?w??ms?mw2.7?0.81??1.94g/cm3vs?vw1?0.81ms2.7??1.48g/cm3vs?vw 1.81g?19.4kn/m3?d??d??dg?14.8kn/m3e?vv?0.81vs乙:ip?wl?wp?8设vs?1则ms??svs?2.68gmw?msw?2.68*22%?0.4796g则vv?0.4796cm3ms?mw2.68?0.4796??2.14g/cm3vs?vv1?0.4796ms2.68??1.84g/cm3vs?vw1.4796g?2.14*10?21.4kn/m3?d??d??dg?1.8 4*10?18.4kn/m3e?vv?0.4796vs??甲??乙?d甲??d乙e甲?e乙ip甲?ip乙则(1)、(4)正确1-5:g??d?sw则1?ee?gs?wd1?2.7*1?1?0.591.70wgs22%*2.7sr1?85à.59所以该料场的土料不适宜堤坝,建议翻晒,并使其含水率减少。
第一章1-1:已知:V=72cm 3 m=129.1g m s =121.5g G s =2.70 则: 129.1121.56.3%121.5s s m m w m --===3333129.1*1017.9/72121.5452.7724527 1.0*27121.5*1020.6/72s s s V s sat w V s sat sat m g g KN m v m V cm V V V cm m V m g g g KN m V V γρρργρ========-=-=++=====3320.61010.6/121.5*1016.9/72sat w s d sat d KN m m g KN m V γγγγγγγγ'=-=-===='>>>则 1-2:已知:G s =2.72 设V s =1cm 3则33332.72/2.72 2.72*1016/1.7 2.720.7*1*1020.1/1.720.11010.1/75% 1.0*0.7*75%0.5250.52519.3%2.720.525 2.721.s s s d d s V w w r w w V r w s w s g cm m gm g g KN m V m V g g KN m V KN m m V S g m w m m m g g V ργρργργγγργρ======++===='=-=-========++===当S 时,3*1019.1/7KN m =1-3:3477777331.70*10*8*1013.6*1013.6*10*20%2.72*1013.6*10 2.72*10850001.92*10s d w s s wm V kg m m w kg m m V mρρ======++==挖1-4:甲:33334025151* 2.72.7*30%0.81100%0.812.70.811.94/10.8119.4/2.71.48/1.8114.8/0.81p L P s s s s w r wV ws w s w s d s w d d vsI w w V m V g m g S m V m m g cm V V g KN m m g cm V V g KN m V e V ρρργρργρ=-=-=======∴==++===++=====+====设则又因为乙:3333381 2.682.68*22%0.47960.47962.680.47962.14/10.47962.14*1021.4/2.681.84/1.47961.84*1018.4/0.4796p L p s s s s w s V s w s V s d s w d d VsI w w V m V g m m w g V cm m m g cm V V g KN m m g cm V V g KN m V e V ρργρργρ=-========++===++======+=====设则则γγ∴<乙甲 d d γγ<乙甲 e e >乙甲 p p I I >乙甲则(1)、(4)正确 1-5:1s w d G eρρ=+ 则2.7*1110.591.7022%*2.7185%0.59s wds r G e wG S e ρρ=-=-====>所以该料场的土料不适合筑坝,建议翻晒,使其含水率降低。
土力学课后题答案土力学课后习题与答案思考题11-1 什么叫土?土是怎样形成的?粗粒土和细粒土的组成有何不同?1-2 什么叫残积土?什么叫运积土?他们各有什么特征?1-3 何谓土的级配?土的粒径分布曲线是怎样绘制的?为什么粒径分布曲线用半对数坐标?1-4 何谓土的结构?土的结构有哪几种类型?它们各有什么特征?1-5 土的粒径分布曲线的特征可以用哪两个系数来表示?它们定义又如何?1-6 如何利用土的粒径分布曲线来判断土的级配的好坏?1-7 什么是吸着水?具有哪些特征?1-8 什么叫自由水?自由水可以分为哪两种?1-9 什么叫重力水?它有哪些特征?1-10 土中的气体以哪几种形式存在?它们对土的工程性质有何影响?1-11 什么叫的物理性质指标是怎样定义的?其中哪三个是基本指标?1-12 什么叫砂土的相对密实度?有何用途?1-13 何谓粘性土的稠度?粘性土随着含水率的不同可分为几种状态?各有何特性?1-14 何谓塑性指数和液性指数?有何用途?1-15 何谓土的压实性?土压实的目的是什么?1-16 土的压实性与哪些因素有关?何谓土的最大干密度和最优含水率?1-17 土的工程分类的目的是什么?1-18 什么是粗粒土?什么叫细粒土?思考题22-1 土中的应力按照其起因和传递方式分哪几种?怎么定义?2-2 何谓自重应力,何谓静孔隙水应力?计算自重应力应注意些什么?2-3 何谓附加应力,空间问题和平面问题各有几个附加应力分量?计算附加应力时对地基做了怎样的假定?2-4 什么叫柔性基础?什么叫刚性基础?这两种基础的基底压力有何不同?2-5 地基中竖向附加应力的分布有什么规律?相邻两基础下附加应力是否会彼此影响?2-6 附加应力的计算结果与地基中实际的附加应力能否一致,为什么?2-7 什么是有效应力?什么是孔隙应力?其中静孔隙应力如何计算?2-8 你能熟练掌握角度法和叠加原理的应用吗?会计算各种荷载条件下地基中任意点的竖向附加应力吗?思考题33-1 何谓达西定律,达西定律成立的条件有哪些?3-2 实验室内测定渗透系数的方法有几种?它们之间又什么不同?3-3 流网有什么特征?3-4 渗透变形有几种形式?各有什么特征?3-5 什么是临界水力梯度?如何对其进行计算?3-6 孔隙水应力在静水条件下和在稳定渗流作用下有什么不同?如何利用流网确定渗流作用的孔隙水压力。
3-7 根据达西定律计算出的流速和土水中的实际流速是否相同?为什么? 3-8 拉普拉斯方程是由哪两个基本定律推导出的?你认为土的透水系数是各向同性的吗?思考题44-1 引起土体压缩的主要原因是什么?4-2 试述土的各压缩性指标的意义和确定方法。
4-3 分层总和法计算基础的沉降量时,若土层较厚,为什么一般应将地基土分层?如果地基土为均质,且地基中自重应力和附加应力均为(沿高度)均匀分布,是否还有必要将地基分层?4-4 分层总和法中,对一软土层较厚的地基,用i 1i 2i i 1i S (e e )H /(1e )=-+或i vi i 1i S a pH /(1e )=∆+计算各分层的沉降时,用哪个公式的计算结果更准确?为什么?4-5 基础埋深d 〉0时,沉降计算为什么要用基底净压力?4-6 地下水位上升或下降对建筑物沉降有没有影响?4-7 工程上有一种地基处理方法——堆载预压法。
它是在要修建建筑物的地基上堆载,经过一段时间之后,移去堆载,再在该地基上修建筑物。
试从沉降控制的角度说明该方法处理地基的作用机理。
4-8 土层固结过程中,孔隙水压力和有效应力是如何转换的?他们间有何关系?4-9 固结系数v C 的大小反映了土体的压缩性有何不同?为什么?4-10 超固结土与正常固结土的压缩性有何不同?为什么?思考题55-1 什么叫土的抗剪强度?5-2 库仑的抗剪强度定律是怎样表示的,砂土和粘性土的抗剪强度表达式有何不同?5-3 为什么说土的抗剪强度不是一个定值?5-4 何谓摩尔—库仑破坏准则?何为极限平衡条件?5-5 土体中发生剪切破坏的平面是不是剪应力最大的平面?在什么情况下,破坏面与最大剪应力面是一致的?5-6 测定土的抗剪强度指标主要有哪几种方法?试比较它们的优缺点?5-7 何谓灵敏度和触变性?5-8 影响砂土抗剪强度的因素有哪些?5-9 何谓砂土液化?5-10 试述正常固结粘土在,,三种实验中的应力—应变、孔隙水应力—应变(或体变—应变)和强度特性。
5-11 试述超固结粘土在,,三种实验中的应力—应变、孔隙水应力—应变(或体变—应变)和强度特性。
5-12 试述正常固结粘土和超固结粘土的总应力强度包线与有效强度包线的关系。
思考题66-1 何谓主动土压力、静止土压力和被动土压力?试举实际工程实例。
6-2 试述三种典型土压力发生的条件。
6-3 为什么主动土压力是主动极限平衡时的最大值?而被动土压力是被动极限平衡时的最小值?6-4 朗肯土压力理论和库仑土压力理论各采用了什么假定?分别会带来什么样的误差?6-5 朗肯土压力理论和库仑土压力理论是如何建立土压力计算公式的?它们在什么样的条件下具有相同的计算结果?6-6 试比较说明朗肯土压力理论和库仑土压力理论的优缺点和存在的问题?思考题77-1 控制边坡稳定性的因素有哪些?7-2 为什么说所有计算安全系数的极限平衡分析方法都是近似的方法?由它计算的安全系数与实际值相比,假设抗剪强度指标是真值,计算结果是偏高还是偏低?7-3 简化毕肖普条分法与瑞典条分法的主要差别是什么? 为什么对同一问题毕肖普法计算的安全系数比瑞典法大?7-4 不平衡推力法与杨布法有什么区别?他们可以用于圆弧滑动分析吗?7-5 为什么不同工程和不同工期容许安全系数不同?思考题88-1 进行地基基础设计时,地基必须满足哪些条件?为什么?8-2 地基发生剪切破坏的类型有哪些?其中整体剪切破坏的过程和特征有哪些?8-3 确定地基承载力的方法有哪几类?8-4 按塑性开展区方法确定地基承载力的推导是否严谨?为什么?8-5 确定地基极限承载力时,为什么要假定滑动面?各种公式假定中.你认为哪些假定合理?哪些假定可能与实际有较大的差异?8-6 试分别就理论方法和规范方法分析研究影响地基承载力的因素有哪些?其影响的结果分别怎样?8-7 若存在较弱下卧层,为什么要对其进行承载力验算?土力学答案思考题11-1 土是松散颗粒的堆积物。
地球表层的整体岩石在大气中经受长期风化作用后形成形状不同,大小不一的颗粒,这些颗粒在不同的自然环境条件下堆积(或经搬运沉积),即形成了通常所说的土。
粗粒土中粒径大于0.075㎜的粗粒组质量多于总质量50%,细粒土中粒径小于0.075㎜的细粒组质量多于或等于总质量50%。
1-2 残积土是指岩石经风化后仍留在原地未经搬运的堆积物。
残积土的明显特征是,颗粒多为角粒且母岩的种类对残积土的性质有显著影响。
母岩质地优良,由物理风化生成的残疾土,通常是坚固和稳定的。
母岩质地不良或经严重化学风化的残积土,则大多松软,性质易变。
运积土是指岩石风化后经流水、风和冰川以及人类活动等动力搬运离开生成地点后的堆积物。
由于搬运的动力不同,分为坡积土、冲积土、风积土、冰碛土和沼泽土等。
坡积土一般位于坡腰或坡脚,上部与残积土相连,颗粒分选现象明显,坡顶粗坡下细;冲积土具有一定程度的颗粒分选和不均匀性;风积土随风向有一定的分选性,没有明显层里,颗粒以带角的细砂粒和粉粒为主,同一地区颗粒较均匀,黄土具有湿陷性;冰碛土特征是不成层,所含颗粒粒径的范围很宽,小至粘粒和粉粒,大至巨大的漂石,粗颗粒的形状是次圆或次棱角的有时还有磨光面;沼泽土分为腐植土和泥炭土,泥炭土通常呈海绵状,干密度很小,含水率极高,土质十分疏松,因而其压缩性高、强度很低而灵敏度很高。
1-3 土中各种大小的粒组中土粒的相对含量称为土的级配。
粒径分布曲线是以土粒粒径为横坐标(对数比例尺),小于某粒径土质量占试样总质量的百分数为纵坐标绘制而成的曲线。
由于土的粒径相差悬殊,因此横坐标用对数坐标表示,以突出显示细小颗粒粒径。
1-4 土的结构是指土的物质组成(主要指土里,也包括孔隙)在空间上的相互排列及土粒间联结特征的总和。
土的结构通常包括单粒、分散、絮状三种结构。
单粒结构比较稳定,孔隙所占的比例较小。
对于疏松情况下的砂土,特别是饱和的粉细砂,当受到地震等动力荷载作用时,极易产生液化而丧失其承载能力;分散结构的片状土粒间相互接近于平行排列,粒间以面-面接触为主;絮状结构的特征是土粒之间以角、边与面的接触或变与边的搭接形式为主,这种结构的土粒呈任意排列,具有较大的孔隙,因此其强度低,压缩性高,对扰动比较敏感,但土粒间的联结强度会由于压密和胶结作用逐渐得到增强。
1-5 粒径分布曲线的特征可用不均匀系数u C 和曲率系数c C 来表示。
定义为: d d u C 1060= dd d c C 60102)(30= 式中:d 10,d 30和d 60为粒径分布曲线上小于某粒径的土粒含量分别为10%,30%和60%时所对应的粒径。
1-6 土的级配的好坏可由土中的土粒均匀程度和粒径分布曲线的形状来决定,而土粒的均匀程度和曲线的形状又可用不均匀系数和曲率系数来衡量,对于纯净的砾、砂,当u C 大于或等于5,而且c C 等于1~3时,它的级配是良好的;不能同时满足上述条件时,它的级配是不良的。
1-7 吸着水是由土颗粒表面电分子力作用吸附在土粒表面的一层水。
吸着水比普通水有较大的粘滞性,较小的能动性和不同的密度。
距土颗粒表面愈近电分子引力愈强,愈远,引力愈弱。
又可分为强吸着水和弱吸着水。
1-8 离开土颗粒表面较远,不受土颗粒电分子引力作用,且可自由移动的水成为自由水。
自由水又可分为毛细管水和重力水两种。
1-9 在重力或水位差作用下能在土中流动的自由水称为重力水。
重力水与普通水一样,具有溶解能力,能传递静水和动水压力,对土颗粒有浮力作用。
它能溶蚀或析出土中的水溶盐,改变土的工程性质。
1-10 存在于土中的气体可分为两种基本类型:一种是与大气连通的气体;另一种是与大气不通的以气泡形式存在的封闭气体。
土的饱和度较低时,土中气体与大气相连通,当土受到外力作用时,气体很快就会从孔隙中排出,土的压缩稳定和强度提高都较快,对土的性质影响不大。
但若土的饱和度较高,土中出现封闭气泡时,封闭气泡无法溢出,在外力作用下,气泡被压缩或溶解于水中,而一旦外力除去后,气泡就又膨胀复原,所以封闭的气泡对土的性质有较大的影响。
土中封闭气泡的存在将增加土的弹性,它能阻塞土内的渗流通道使土的渗透性减小,并能延长土体受力后变形达到稳定的历时。
1-11 土的一些物理性质主要决定于组成土的固体颗粒、孔隙中的水和气体这三相所占的体积和质(重)量的比例关系,反映这种关系的指标称为土的物理性质指标。