分数除法练习题及答案
- 格式:docx
- 大小:226.44 KB
- 文档页数:1
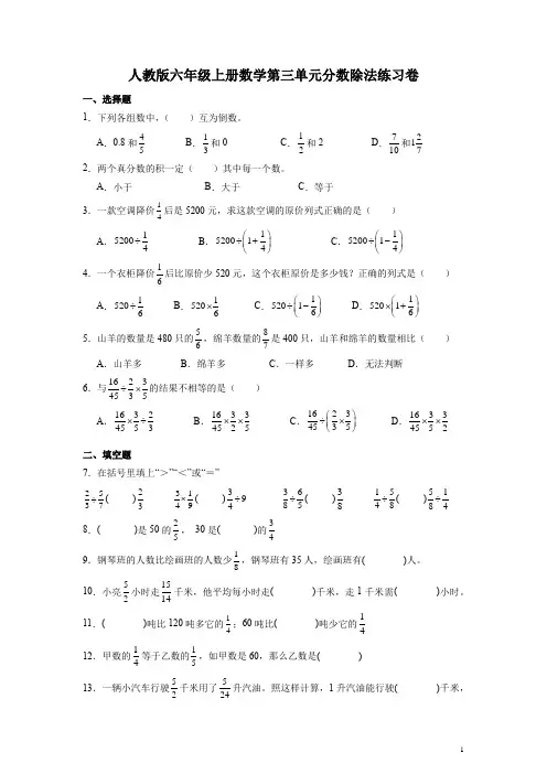
人教版六年级上册数学第三单元分数除法练习卷一、选择题1.下列各组数中,( )互为倒数。
A .0.8和45B .13和0 C .12和2 D .710和2172.两个真分数的积一定( )其中每一个数。
A .小于B .大于C .等于3.一款空调降价14后是5200元,求这款空调的原价列式正确的是( )A .152004÷B .1520014⎛⎫÷+ ⎪⎝⎭C .1520014⎛⎫÷- ⎪⎝⎭4.一个衣柜降价16后比原价少520元,这个衣柜原价是多少钱?正确的列式是( )A .15206÷B .15206⨯C .152016⎛⎫÷- ⎪⎝⎭D .152016⎛⎫⨯+ ⎪⎝⎭5.山羊的数量是480只的56,绵羊数量的87是400只,山羊和绵羊的数量相比( )A .山羊多B .绵羊多C .一样多D .无法判断 6.与16234535÷⨯的结果不相等的是( ) A .16324553⨯÷ B .16334525⨯⨯ C .16234535⎛⎫÷⨯ ⎪⎝⎭ D .16334552⨯⨯二、填空题7.在括号里填上“>”“<”或“=” 2537÷( )233149⨯( )394÷3685÷( )381548÷( )5184÷ 8.( )是50的25, 30是( )的349.钢琴班的人数比绘画班的人数少18,钢琴班有35人,绘画班有( )人。
10.小亮52小时走1514千米,他平均每小时走( )千米,走1千米需( )小时。
11.( )吨比120吨多它的14;60吨比( )吨少它的1412.甲数的14等于乙数的15,如甲数是60,那么乙数是( )13.一辆小汽车行驶52千米用了524升汽油。
照这样计算,1升汽油能行驶( )千米,行驶1千米要用汽油( )升。
14.把56米的绳子剪成每段长524米的小段,共剪成( )段,每段占全长的()()15.( )×74=8×( )=0.25×( )=116.写出各题的等量关系式.(1)一袋面粉,用去它的45,关系式为:( )×45=( )(2)六(1)班人数占六年级总人数的16,关系式为:( )×16=( )17.把5t 6煤平均分成4份,求每份是多少吨,就是求5t 6的( )是多少,是( )t 18.“一束花的34是玫瑰花”,这句话中把( )看作单位“1”,由此可得:( )=( )÷3419.1的倒数是( ),5的倒数是( ),75的倒数是( )20.两个因数的积是1,其中一个因数是47,另一个因数是( )三、判断题21.1除以一个分数,商等于这个分数的倒数 ( ) 22.得数是1的两个数互为倒数 ( ) 23.两个数的积一定大于这两个数的商 ( )24.黑麦的质量比小米多15,也就是说小米的质量比黑麦少15( )25.小华每分钟跑260m ,比小雪快15,这里是把小雪跑的速度看作单位“1” ( )四、计算题 26.直接写出得数。
分数除法练习题一、分数除以整数53÷3= 74÷2= 72÷3= 52÷2= 103÷6=65÷4= 107÷7= 101÷2=73÷4=85÷5= 119÷6=65÷10= 98÷12= 31÷2= 75÷15=95÷5= 1211÷11=31÷3= 54÷4= 53÷9= 21÷4=74÷8=145÷5=1310÷1=二、整数除以分数6÷72= 4÷158= 5÷21= 6÷43= 7÷83= 36÷4027= 6÷65= 7÷57= 4÷52= 24÷98= 3÷75= 12÷2516=9÷91= 2÷101= 3÷57= 1÷54=11÷1211= 5÷1415= 4÷74= 4÷47= 10÷1310= 36÷49= 5÷52= 8÷2516=三、分数除以分数185÷185=98÷2710= 49÷23= 87÷43= 51÷32= 74÷47= 21÷113= 31÷32= 65÷85= 107÷65=75÷65=98÷72= 2516÷98= 51÷41= 72÷75= 61÷3619= 158÷2516=1514÷1415=1310÷95=34÷2516=四、分数混合运算1-21×3141×51÷41×51113×(43-43)31+32-31+321÷75-1÷65 0×72+1×53107-72-75(21-31)÷65+3187+32×101+8185×41+41×83247÷154×0.32 6-2.4÷9810-(1-21)÷21(32-0.4)÷(61+0.5)54×(65-43)-15143×91+158÷2516(5-43÷83)×3619(0.75+61)÷1011÷0.4×8541×0.8+21÷43-0.8 0.25÷(1-95)+8397÷1514+92×1415417×(125 × 34)55574868121657516812240.75×75+72×0.754151434358.43442.2五、解方程1096552xx-85=10912x=109815X +512X = 57 X ÷35= 512×8153X +1335=57六、列式计算⒈一个数的32是64,这个数的85是多少2。
分数除法练习题一、分数除以整数 53÷3= 74÷2= 72÷3= 52÷2=103÷6= 65÷4= 107÷7= 101÷2=73÷4= 85÷5= 119÷6= 65÷10=98÷12= 31÷2= 75÷15= 95÷5=1211÷11= 31÷3= 54÷4= 53÷9=21÷4= 74÷8= 145÷5= 1310÷1=二、整数除以分数 6÷72= 4÷158= 5÷21= 6÷43=7÷83= 36÷4027= 6÷65= 7÷57= 4÷52= 24÷98= 3÷75= 12÷2516=9÷91= 2÷101= 3÷57= 1÷54=11÷1211= 5÷1415= 4÷74= 4÷47= 10÷1310= 36÷49= 5÷52= 8÷2516=三、分数除以分数 185÷185= 98÷2710= 49÷23= 87÷43=51÷32= 74÷47= 21÷113= 31÷32=65÷85= 107÷65= 75÷65= 98÷72=2516÷98= 51÷41= 72÷75= 61÷3619=158÷2516= 1514÷1415= 1310÷95= 34÷2516=四、分数混合运算 1-21×31 41×51÷41×51 113×(43-43) 31+32-31+321÷75-1÷65 0×72+1×53 107-72-75 (21-31)÷65+3187+32×101+81 85×41+41×83 247÷154×0.32 6-2.4÷9810-(1-21)÷21 (32-0.4)÷(61+0.5) 54×(65-43)-15143×91+158÷2516 (5-43÷83)×3619(0.75+61)÷1011÷0.4×8541×0.8+21÷43-0.8 0.25÷(1-95)+83 97÷1514+92×1415513217247⎛⎫++÷⨯ ⎪⎝⎭ 51216436⎛⎫-⨯÷ ⎪⎝⎭311314162020⎡⎤⎛⎫⎛⎫÷+⨯÷ ⎪ ⎪⎢⎥⎝⎭⎝⎭⎣⎦417 ×(125 × 34) 555748681216⎛⎫⨯+-- ⎪⎝⎭ 5751681224⎛⎫+-÷ ⎪⎝⎭200720062008÷111129999999999233333++++ 58738574÷+⨯⎥⎦⎤⎢⎣⎡⎪⎭⎫ ⎝⎛+÷⨯314314839 415313534÷⎥⎦⎤⎢⎣⎡⎪⎭⎫ ⎝⎛-- 661631÷÷⨯⎥⎦⎤⎢⎣⎡÷⎪⎭⎫ ⎝⎛-÷85218554 973297÷÷ ⎪⎭⎫ ⎝⎛-÷⨯5415133261⎪⎭⎫ ⎝⎛+÷544153 ⎪⎭⎫ ⎝⎛--÷138135341715871156÷+⨯0.75×75+72×0.75 4151÷÷ 434358.43442.2÷+⨯+÷)]512.1(75.3[43-⨯÷ 1146.04326.160÷-⨯ ⎥⎦⎤⎢⎣⎡⎪⎭⎫ ⎝⎛-÷⨯5410914.51357251375⨯+÷ ⎥⎦⎤⎢⎣⎡⎪⎭⎫ ⎝⎛-⨯÷8373562100 107523221÷⎥⎦⎤⎢⎣⎡⎪⎭⎫ ⎝⎛--五、解方程15132=-x x7221321=⨯+x6.3)521(=-÷x604316=-x125655=-x310855=-x35425=÷x613243=+x x1012831÷=⎪⎭⎫⎝⎛-⨯x3121465÷=+x87165=+x x762175=-x x1096552=+x x-85=10912x=109815 X +512 X = 57 X ÷35 = 512 ×815 3X +1335 = 57六、列式计算⒈ 一个数的32是64,这个数的85是多少? 2。
分数除法练习题一、分数除以整数 53÷3= 74÷2= 72÷3= 52÷2=103÷6= 65÷4= 107÷7= 101÷2=73÷4= 85÷5= 119÷6= 65÷10=98÷12= 31÷2= 75÷15= 95÷5=1211÷11= 31÷3= 54÷4= 53÷9=21÷4= 74÷8= 145÷5= 1310÷1=二、整数除以分数 6÷72= 4÷158= 5÷21= 6÷43=7÷83= 36÷4027= 6÷65= 7÷57= 4÷52= 24÷98= 3÷75= 12÷2516=9÷91= 2÷101= 3÷57= 1÷54=11÷1211= 5÷1415= 4÷74= 4÷47= 10÷1310= 36÷49= 5÷52= 8÷2516=三、分数除以分数 185÷185= 98÷2710= 49÷23= 87÷43=51÷32= 74÷47= 21÷113= 31÷32=65÷85= 107÷65= 75÷65= 98÷72=2516÷98= 51÷41= 72÷75= 61÷3619=158÷2516= 1514÷1415= 1310÷95= 34÷2516=四、分数混合运算 1-21×31 41×51÷41×51 113×(43-43) 31+32-31+321÷75-1÷65 0×72+1×53 107-72-75 (21-31)÷65+3187+32×101+81 85×41+41×83 247÷154×0.32 6-2.4÷9810-(1-21)÷21 (32-0.4)÷(61+0.5) 54×(65-43)-15143×91+158÷2516 (5-43÷83)×3619(0.75+61)÷1011÷0.4×8541×0.8+21÷43-0.8 0.25÷(1-95)+83 97÷1514+92×1415513217247⎛⎫++÷⨯ ⎪⎝⎭ 51216436⎛⎫-⨯÷ ⎪⎝⎭ 311314162020⎡⎤⎛⎫⎛⎫÷+⨯÷ ⎪ ⎪⎢⎥⎝⎭⎝⎭⎣⎦417 ×(125 × 34) 555748681216⎛⎫⨯+-- ⎪⎝⎭ 5751681224⎛⎫+-÷ ⎪⎝⎭200720062008÷111129999999999233333++++ 58738574÷+⨯⎥⎦⎤⎢⎣⎡⎪⎭⎫ ⎝⎛+÷⨯314314839 415313534÷⎥⎦⎤⎢⎣⎡⎪⎭⎫ ⎝⎛-- 661631÷÷⨯⎥⎦⎤⎢⎣⎡÷⎪⎭⎫ ⎝⎛-÷85218554 973297÷÷ ⎪⎭⎫ ⎝⎛-÷⨯5415133261⎪⎭⎫ ⎝⎛+÷544153 ⎪⎭⎫ ⎝⎛--÷138135341715871156÷+⨯0.75×75+72×0.75 4151÷÷ 434358.43442.2÷+⨯+÷)]512.1(75.3[43-⨯÷ 1146.04326.160÷-⨯ ⎥⎦⎤⎢⎣⎡⎪⎭⎫ ⎝⎛-÷⨯5410914.51357251375⨯+÷ ⎥⎦⎤⎢⎣⎡⎪⎭⎫ ⎝⎛-⨯÷8373562100 107523221÷⎥⎦⎤⎢⎣⎡⎪⎭⎫ ⎝⎛--五、解方程15132=-x x7221321=⨯+x6.3)521(=-÷x604316=-x125655=-x310855=-x35425=÷x613243=+x x1012831÷=⎪⎭⎫⎝⎛-⨯x3121465÷=+x87165=+x x762175=-x x1096552=+x x-85=10912x=109815 X +512 X = 57 X ÷35 = 512 ×815 3X +1335 = 57六、列式计算⒈ 一个数的32是64,这个数的85是多少? 2。
分数除法练习题一、分数除以整数3 ÷ 3= 4÷2= 2÷3= 2÷2=5 7 7 53÷6= 5÷4= 7÷7= 1÷2=10 6 10 103÷4= 5÷5= 9÷6= 5÷10=7 8 11 68 ÷ 12= 1÷2= 5÷15= 5÷5=9 3 7 911÷ 11=1÷3= 4÷4= 3÷9=12 3 5 51÷4= 4÷8= 5÷5= 10÷1=2 7 14 13二、整数除以分数6÷2= 4 ÷ 8 = 5 ÷ 1 = 6 ÷ 3 = 715 2 47÷3= 36 ÷27= 6 ÷ 5 = 7 ÷ 7 =8 40 6 54÷2= 24 ÷ 8 = 3 ÷ 5 = 12 ÷16 =59 7 259÷1= 2 ÷ 1 = 3 ÷ 7 = 1 ÷ 4 = 910 5 511÷11 = 5 ÷ 15= 4 ÷ 4 = 4 ÷ 7 =12 14 7 410÷10 = 36 ÷ 9 = 5 ÷ 2 = 8 ÷16 =13 4 5 25三、分数除以分数5÷ 5=8÷10 =9÷3=7÷3=18 18 9 27 4 2 8 41÷2=4÷7=1÷3=1÷2=5 37 4 2 11 3 35÷5=7÷5=5÷5=8÷ 2=6 810 67 6 9 716÷8=1÷1=2÷5=1÷19=25 9 5 4 7 7 6 368÷16=14÷ 15=10÷5=4÷16=15 25 15 14 13 9 3 25四、分数混合运算1- 1×11×1÷1×1 3×(3-3)1+2-1+22 3 4 5 4 5 11 4 4 3 3 3 31÷5-1÷50 ×2+1×37-2-5(1-1)÷ 5+17 6 7 5 10 7 7 2 3 6 37 + 2× 1 + 1 5 × 1 +1× 37 ÷4×0.326-2.4 ÷88 3 10 8 8 4 4 8 24 15 910-( 1-1)÷ 1(2-0.4)÷(1+0.5)4×( 5 -3)-12 23 6 5 64 153 × 1+8÷16 (5-3÷ 3)× 19(0.75 +1)÷11÷0.4 ×5 49 15 25 4 8 36 6 10 81×0.8+1÷ 3-0.80.25 ÷(1-5)+37÷14+2 × 154 2 4 9 8 9 15 9 145 1 3 2 5 1 2 1 3 1 11 312 4 7 6 43 64 1 6 2 0 2 074 5 5 5 7 5 7 5 117×(125 × 34)48 6 8 12 16 6 8 12 24 2007 1 1 1 1 2 4 5 3 82006 9 9 9 9 9 9 99993 28 7 52008 3 3 3 3 739 1 3 1 4 3 3 115 1 6 1 6 48 4 3 5 3 4 3 64 5 1 5 7 2 7 1 2 13 45 8 2 8 9 3 96 3 15 53 14 15 86 1 85 4 5 4 313 15 7713 155 2× 0.75 1 44.5830.75 × +7 1 5 2.42 3 47 4 3 43[ 3.75 (1.2 1)] 160.6 2 30.6 4 5.4 1 9 44 5 4 11 1 0 5 513 2 5 3 3 1 2 2 77 5 72100 568 2 3 5 10 13 7五、解方程2 x1 x 1 1 x3 1 2 7 x (1 2) 3.63 5 2 2 5165x 5 5 5 10x 4 606 58x3 12 325x 5 3 x 2 x 1 x 1 3 2 1 4 3 4 3 6 8 1054x 1 1 x 5 x7 5 x 1 x 66 2 3 16 87 2 72 5 x 9 x- 5 = 912x= 95 6 10 8 10108 53 58 13 5 15 X +12 X = 57X ÷5=12 ×153X +35=7六、列式计算 ⒈ 一个数的 2 3是 64,这个数的 58 是多少 ? 2。
小学六年级分数除法练习题一.选择题(共8题,共16分)1.图书馆有科技书150本,科技书的本数比故事书的本数多,故事书有()本。
A.180B.150C.1252.一个游泳池可装180吨水,甲管单独注要10小时注满水池,乙管单独注要9小时注满水池。
现两管同时注,几小时可注满水池?列式为()。
A.180÷10+180÷9B.180÷() C.1÷()3.在学校组织的“爱护环境卫生消除白色垃圾”活动中,王小花拾了40个塑料袋,是辛洪刚的,辛洪刚拾了()个塑料袋。
A.25B.64C.894.一根绳子,剪去,还剩米。
这根绳子长多少米?列式是()。
A. B. C.5.笑笑在看一本书,已经看了,还剩36页没看完,这本书一共有多少页?下列数量关系找错的是()。
A.这本书的总页数-已经看的页数=还没看的页数B.已经看了的页数+还没看的=这本书的总页数C.已经看了的页数-还没看的页数=这本书的总页数6.有一块三角形的铁皮,面积是平方米。
它的底是米,高是()米。
A. B. C.7.如果a大于0,那么商大于被除数的算式是()。
A.a÷B.a÷C.a÷18.种植场种西红柿公顷,相当于种黄瓜面积的,种黄瓜()。
A.公顷B.公顷C.公顷二.判断题(共8题,共16分)1.a、b都不为0,如果a×=b÷,那么a<b。
()2.要录入一份稿件,王兰要用6小时,黎明每小时可以录入.王兰比黎明录入的快。
()3.1kg苹果4天吃完,每天吃kg。
()4.一个不为0的数除以真分数,所得的商大于被除数。
()5.一个数(除0外)除以假分数,商大于被除数。
()6.已知a、均大于0,如果,则a>b。
()7.因为××=1,所以、、互为倒数。
()8.假分数的倒数一定是真分数。
()三.填空题(共8题,共13分)1.0.8的倒数是(),最小的合数的倒数是()。
六年级上册分数除法练习题含答案一、填空题1. 400 ÷ 20 = 202. 450 ÷ 30 = 153. 980 ÷ 70 = 144. 560 ÷ 40 = 145. 720 ÷ 60 = 126. 350 ÷ 50 = 77. 620 ÷ 20 = 31 8. 570 ÷ 30 = 19 9. 945 ÷ 35 = 2710. 640 ÷ 80 = 8在分数除法运算中,将被除数分成若干份,每份的大小由除数决定。
分数除法可以帮助我们更快速、方便地解决问题。
下面是一些六年级上册分数除法练习题,帮助你进行练习。
二、练习题1. 小明喜欢用饮料瓶子收集零钱,他收集了400元,如果他每个饮料瓶子可以收集20元,那么他一共需要多少个瓶子?400 ÷ 20 = 20小明需要收集20个饮料瓶子。
2. 小红和小明一起收集零钱,他们收集了450元,如果他们两个人一共有30个饮料瓶子,那么每个瓶子可以收集多少钱?450 ÷ 30 = 15每个饮料瓶子可以收集15元。
3. 一辆公交车最多可以坐70人,一辆公交车运送了980人,那么这些人需要多少辆公交车才能够坐下?需要14辆公交车。
4. 小华在玩具店里买了560元的玩具,如果他每个月可以存40元,那么他需要存多少个月才能够买到这些玩具?560 ÷ 40 = 14小华需要存14个月的钱才能购买这些玩具。
5. 小明想要购买一本价值720元的书,他每个月可以存60元,那么他需要存多少个月才能买到这本书?720 ÷ 60 = 12小明需要存12个月的钱才能购买这本书。
6. 小丽想要感谢她的7个好朋友,她有350元的预算,她可以为每个人购买多少元的礼物呢?350 ÷ 50 = 7每个好朋友可以得到50元的礼物。
7. 小李从家到学校的路途非常远,他每天需要乘坐公交车上学,每次需要10元,如果他有620元的零钱,那么他可以买到多少次公交车票?620 ÷ 20 = 31小李可以买到31张公交车票。
小学六年级分数除法练习题一.选择题(共8题, 共16分)1.如果a是一个大于零的自然数, 那么下面各式中得数最大的是()。
A.a×B.a÷C.÷a2.甲数的是18, 乙数的是18, 甲数()乙数。
A.大于B.小于C.等于3.周长都是36厘米的长方形和正方形, 长方形的宽是长的, 长方形的面积是正方形的面积的()。
A. B. C.4.种植场种西红柿公顷, 相当于种黄瓜面积的, 种黄瓜()。
A.公顷B.公顷C.公顷5.一个游泳池可装180吨水, 甲管单独注要10小时注满水池, 乙管单独注要9小时注满水池。
现两管同时注, 几小时可注满水池?列式为()。
A.180÷10+180÷9B.180÷() C.1÷()6.五(2)班男生人数的和女生人数的相等, 那么男生人数()女生人数。
A.大于B.小于C.等于7.已知a×=b÷=c×, 且a、b、c都不等于0, 则a、b、c中()最小。
A.aB.bC.c8.有一块三角形的铁皮, 面积是平方米。
它的底是米, 高是()米。
A. B. C.二.判断题(共8题, 共16分)1.甲数÷=乙数×(且甲数和乙数均不为0), 甲数小于乙数。
()2.甲数是乙数的, 乙数就是甲数的。
()3.一堆货物, 甲车单独运8小时运完, 乙车单独运6小时运完.甲、乙两车共同运, 当运完这堆货物的一半时, 用了还不到2小时。
()4.比例中, 两内项互为倒数, 则两外项之积一定是1。
()5.比1大的自然数的倒数一定是真分数。
()6.除数是真分数, 商一定大于被除数(被除数不为0)。
()7.1kg苹果4天吃完, 每天吃kg。
()8.大于1的假分数的倒数一定都是真分数。
()三.填空题(共8题, 共14分)1.根据×3=写出两道除法算式: ()、()。
2.晶晶三天看完一本书, 第一天看了全书的, 第二天看了全书的, 第二天比第一天多看了15页, 这本书共有()页。
苏教版六年级上册数学第三单元分数除法一、选择题1.将10g白糖放进90g的水中,糖和糖水的比是()A.1∶9 B.10∶1 C.1∶10 2.320÷4×3可以写成()A.320×34B.320÷34C.320×433.1615吨小麦可以磨出面粉23吨,磨1吨面粉需要()吨小麦。
A.3245B.58C.854.玲玲将一个数除以5看成乘5,计算出的结果是2527,正确的结果应该是()A.127B.527C.2527D.125275.一项工程,甲独做要10天完成,乙独做要8天完成,甲乙工作效率之比是()A.10∶8 B.5∶4 C.4∶5 D.8∶106.有一堆沙子,用去13,正好用去45吨,这堆沙子原来有多少吨?列式正确的是()A.4153÷B.1435÷C.4153⨯7.比35的27多9的数是()A.20 B.14 C.19 D.18.学校合唱队的女生人数比男生多15,那么女生人数与合唱队总人数的比是()A.5∶6 B.6∶5 C.6∶11 D.11∶6二、填空题9.5∶3=()()=( )÷6=15∶( )=( )∶1510.在括号填上“>”“<”或“=”11 15÷13( )111565×34( )567 18×619( )718÷19645×34( )4511.学校舞蹈队有男生8人,是女生人数的25,求女生有多少人,关系式是:( )×25=( ),女生有( )人。
12.把89升饮料平均倒入4个杯子中,每个杯子有( )升饮料。
13.一项工作,甲独做要7时,乙独做要9时,甲、乙两人所用时间比是( ),工作效率比是( )14.把甲班人数的18调入乙班后,两班人数相等,原来甲班与乙班人数相差8人,原来甲班有( )人。
15.25米是200米的()(),( )是24千克的23,920米是( )的35。
分数除法练习题及答案分数除法练习题及答案分数除法是数学中的一个重要概念,对于学生来说,掌握分数除法的方法和技巧是非常必要的。
本文将提供一些分数除法的练习题及其答案,帮助学生巩固和提高分数除法的能力。
一、简单的分数除法练习题1. 2/3 ÷ 1/4 = ?2. 5/6 ÷ 2/3 = ?3. 3/4 ÷ 1/2 = ?4. 1/2 ÷ 3/4 = ?5. 7/8 ÷ 1/8 = ?二、中等难度的分数除法练习题1. 3/5 ÷ 2/3 = ?2. 4/7 ÷ 3/5 = ?3. 5/6 ÷ 1/3 = ?4. 2/3 ÷ 4/5 = ?5. 1/4 ÷ 3/8 = ?三、较难的分数除法练习题1. 7/8 ÷ 2/3 = ?2. 5/6 ÷ 4/5 = ?3. 1/3 ÷ 1/4 = ?4. 3/4 ÷ 1/2 = ?5. 2/5 ÷ 1/3 = ?以上是一些分数除法的练习题,接下来将给出它们的答案。
一、简单的分数除法练习题的答案1. 2/3 ÷ 1/4 = 8/32. 5/6 ÷ 2/3 = 5/43. 3/4 ÷ 1/2 = 3/24. 1/2 ÷ 3/4 = 2/35. 7/8 ÷ 1/8 = 7二、中等难度的分数除法练习题的答案1. 3/5 ÷ 2/3 = 9/102. 4/7 ÷ 3/5 = 20/213. 5/6 ÷ 1/3 = 5/24. 2/3 ÷ 4/5 = 5/65. 1/4 ÷ 3/8 = 2/3三、较难的分数除法练习题的答案1. 7/8 ÷ 2/3 = 21/162. 5/6 ÷ 4/5 = 25/243. 1/3 ÷ 1/4 = 4/34. 3/4 ÷ 1/2 = 3/25. 2/5 ÷ 1/3 = 6/5通过以上练习题和答案,学生可以进行分数除法的巩固练习,提高自己的计算能力。
小学六年级分数除法练习题一.选择题(共8题, 共16分)1.在学校组织的“爱护环境卫生消除白色垃圾”活动中, 王小花拾了40个塑料袋, 是辛洪刚的, 辛洪刚拾了()个塑料袋。
A.25B.64C.892.周长都是36厘米的长方形和正方形, 长方形的宽是长的, 长方形的面积是正方形的面积的()。
A. B. C.3.一列火车3/4小时行90千米, 求火车每小时行多少千米?正确的列式是()。
4.甲数的是18, 乙数的是18, 甲数()乙数。
A.大于B.小于C.等于5.在计算a×63时(a>0)时, 小刚不慎将63错写成了36, 那么计算结果比正解答案少()。
A. B. C.6.一根绳子, 剪去, 还剩米。
这根绳子长多少米?列式是()。
A. B. C.7.一个数是50, 它的的是多少?正确列式是()。
A. B. C.8.种植场种西红柿公顷, 相当于种黄瓜面积的, 种黄瓜()。
A.公顷B.公顷C.公顷二.判断题(共8题, 共16分)1.如果a=(a、b均大于0), 则a和b互为倒数。
()2.如果a÷b= , 那么b就是a的5倍。
()3.男生人数占全班人数的, 那么女生人数比男生人数少。
()4.两个真分数相除, 商一定大于被除数。
()5.的倒数是。
()6.一个数(除0外)除以假分数, 商大于被除数。
()7.把米长的铁丝平均分成3段, 每段长米。
()8.自然数a的倒数是。
()三.填空题(共8题, 共16分)1.一袋大米, 吃了, 剩下的部分比吃了的多5千克, 剩下()千克。
2.在括号内填上“>”“<”或“=”。
3.一个数的倒数是, 这个数的是()。
4.0.8的倒数是(), 最小的合数的倒数是()。
5.把千克糖平均分给4个小朋友, 每人分到这些糖的(), 每个小朋友分到()千克。
6.在括号里填上或“>”“<”或“=”。
7.在括号里填上“>”、“<”或“=”。
8.晶晶三天看完一本书, 第一天看了全书的, 第二天看了全书的, 第二天比第一天多看了15页, 这本书共有()页。
分数除法练习题一、分数除以整数3 ÷ 3= 4÷2=2÷3=2÷2=57753÷6=5÷4=7 ÷7=1÷2=10610103÷4=5÷5=9 ÷6=5÷10=781168 ÷ 12= 1÷2=5÷15=5÷5=937911 ÷ 11=1÷3=4÷4=3÷9=123551÷4=4÷8=5÷5=10÷1=271413二、整数除以分数6÷2=4÷ 8=5÷ 1=6÷ 3=715247÷3=36÷27=6÷ 5 =7÷ 7=840654÷2=24÷ 8 =3÷ 5 =12÷16=597259÷1=2÷ 1=3÷ 7=1÷ 4=9105511÷11 =5÷15=4÷ 4 =4÷ 7=12147410÷10=36÷ 9 =5÷ 2 =8÷16=134525三、分数除以分数5÷ 5= 8÷10 = 9÷3= 7÷3= 18 18927428 41÷2= 4÷7= 1÷3= 1÷2= 5374211 33 5÷5= 7÷5= 5÷5=8÷ 2= 681067 69716÷8= 1÷1= 2÷5= 1÷19= 25954776368÷16= 14÷ 15= 10÷5= 4÷16= 15251514139325四、分数混合运算1- 1×11×1÷1×1 3×(3-3)1+2-1+223 45 4 511 443 3 3 31÷5-1÷50 ×2+1×37-2-5(1-1)÷ 5+17 6 7 5 10772 36 37 + 2 ×1 + 1 5 × 1 + 1×37 ÷ 4×0.326-2.4 ÷88 3 108844 82415 910-( 1-1)÷1( 2 - 0.4 )÷(1+0.5)4×( 5 - 3)-12 23 6 564 153 × 1+8÷16(5-3÷ 3)×19(0.75 +1)÷11÷0.4 ×54 9 15 25 4 8 36 6 10 81×0.8+1÷3-0.80.25÷(1-5)+37÷14+2 × 15 42 4 9 8915 9145 1 3 2 5 1 2 1 3 1 11312 47643641 62 0 2 07455 5 7 5 7 5 1 17 ×(125 × 34)4868 12 16 68 12242007 1 1 1 12 4 53 8200699 99 9 999993287 520083333 739 13 1 43 3 1151 6 1 6 484 35 343 645 1 5 7 2 7 1 2 13 4 5 8 289396 315 53 14 15 86 1 8 545431315 7713155 2 × 0.751 4 4.583 0.75 × +71 52.423 47 4343 [ 3.75 (1.21)] 160.6 230.64 5.4 19 4 454111 0 5513 2 53 3 1 2 2 77 57 2100 56823510137五、解方程2 x 1 x 11 x 3 12 7x (12) 3.63 5225165x5 5 5 10x 4 60658x312325 x 5 3 x 2 x 1 x 13 2 14 34368 105 4x 1 1 x5 x 7 5 x 1 x6 6 2 31687272 5 x 9 x- 5 = 912x= 95 6 10810108 5 3 58 13 515 X +12 X = 57X ÷5=12×153X +35=7六、列式计算⒈ 一个数的23是 64,这个数的58是多少 ?2。
分数除法练习题一、分数除以整数53÷3= 74÷2= 72÷3= 52÷2=103÷6= 65÷4= 107÷7= 101÷2=73÷4= 85÷5= 119÷6= 65÷10=98÷12= 31÷2= 75÷15= 95÷5=1211÷11= 31÷3= 54÷4= 53÷9=21÷4= 74÷8= 145÷5= 1310÷1=二、整数除以分数6÷72= 4÷158= 5÷21= 6÷43= 7÷83= 36÷4027= 6÷65= 7÷57= 4÷52= 24÷98= 3÷75= 12÷2516=9÷91= 2÷101= 3÷57= 1÷54=11÷1211= 5÷1415= 4÷74= 4÷47= 10÷1310= 36÷49= 5÷52= 8÷2516=三、分数除以分数185÷185= 98÷2710= 49÷23= 87÷43=51÷32= 74÷47= 21÷113= 31÷32=65÷85= 107÷65= 75÷65= 98÷72=2516÷98= 51÷41= 72÷75= 61÷3619=158÷2516= 1514÷1415= 1310÷95= 34÷2516=四、分数混合运算1-21×31 41×51÷41×51 113×(43-43) 31+32-31+321÷75-1÷65 0×72+1×53 107-72-75 (21-31)÷65+3187+32×101+81 85×41+41×83 247÷154×0.32 6-2.4÷9810-(1-21)÷21 (32-0.4)÷(61+0.5) 54×(65-43)-15143×91+158÷2516 (5-43÷83)×3619(0.75+61)÷1011÷0.4×8541×0.8+21÷43-0.8 0.25÷(1-95)+83 97÷1514+92×1415513217247⎛⎫++÷⨯ ⎪⎝⎭ 51216436⎛⎫-⨯÷ ⎪⎝⎭ 311314162020⎡⎤⎛⎫⎛⎫÷+⨯÷ ⎪ ⎪⎢⎥⎝⎭⎝⎭⎣⎦417 ×(125 × 34) 555748681216⎛⎫⨯+-- ⎪⎝⎭ 5751681224⎛⎫+-÷ ⎪⎝⎭200720062008÷111129999999999233333++++ 58738574÷+⨯⎥⎦⎤⎢⎣⎡⎪⎭⎫ ⎝⎛+÷⨯314314839 415313534÷⎥⎦⎤⎢⎣⎡⎪⎭⎫ ⎝⎛-- 661631÷÷⨯⎥⎦⎤⎢⎣⎡÷⎪⎭⎫ ⎝⎛-÷85218554 973297÷÷ ⎪⎭⎫ ⎝⎛-÷⨯5415133261⎪⎭⎫ ⎝⎛+÷544153 ⎪⎭⎫ ⎝⎛--÷138135341715871156÷+⨯ 0.75×75+72×0.75 4151÷÷ 434358.43442.2÷+⨯+÷)]512.1(75.3[43-⨯÷ 1146.04326.160÷-⨯ ⎥⎦⎤⎢⎣⎡⎪⎭⎫ ⎝⎛-÷⨯5410914.51357251375⨯+÷ ⎥⎦⎤⎢⎣⎡⎪⎭⎫ ⎝⎛-⨯÷8373562100 107523221÷⎥⎦⎤⎢⎣⎡⎪⎭⎫ ⎝⎛--五、解方程15132=-x x7221321=⨯+x6.3)521(=-÷x604316=-x125655=-x310855=-x35425=÷x613243=+x x1012831÷=⎪⎭⎫⎝⎛-⨯x3121465÷=+x87165=+x x762175=-x x1096552=+x x-85=109 12x=109815 X +512 X = 57 X ÷35 = 512 ×815 3X +1335 = 57六、列式计算⒈ 一个数的32是64,这个数的85是多少? 2。
人教版六年级数学上册第1单元《分数除法》复习练习题(含答案)一、填空题1.58×( )=( )×6=0.5×( )=1。
2.已知一个数的是32,这个数是( ).3.把一根45m长的绳子平均分成4段,每段长( )m,每段占全长的( )。
4.五个连续自然数,其中第三个数比第一、第五两数和的59少2。
那么第三个数是( )。
5.把一根910米长的铁丝截成了同样长的三段,每段铁丝的长度是()米,每段铁丝的长度是这根铁丝的() ()。
6.小明23小时走2千米,1小时走( )千米。
7.甲仓库的货物比乙仓库多16,甲仓库的货物是乙仓库的( ),乙仓库的货物是甲仓库的( )。
8.王阿姨的小汽车行驶2.5千米用了524升汽油,平均每升汽油能行驶( )千米,平均行驶1千米需要( )升汽油。
9.40是( )的,比20千克多是( )千克.10.甲数比乙数多14,乙数比甲数少()(),乙数是甲数的()()。
二、判断题11.a和b都是非零自然数,如果a÷15=b×15,那么a<b。
( )12.2233a b⨯=÷(a、b都为不0),那么a>b。
( )13.100比80多14. ( )14.因为0.5×0.2×10=1,所以0.5的倒数是0.2。
( ) 15.男生人数是全班人数的,男生人数比女生多.( )三、选择题A.a>b>c B.c>a>b C.b>a>c D.a>c>b六、解决问题30.小聪说:“我的体重是36千克。
”小明说:“小聪的体重是我体重的12 13。
”小智说:“我的体重比小聪的体重轻112。
”小慧说:“小聪比我重18。
”小真说:“我的体重比小聪的重118。
”小好说:“小聪的体重比我轻110。
”小明、小智、小慧、小真、小好的体重各是多少千克?参考答案。
分数除法练习题一、分数除以整数3 门4 2 门 2-3= 十2= 十3= 十2= 5 7 7 53 ° 5 7 1—6= 十4= -7= 十2= 10 6 10 103 5 9 ° 5-4= -5= —6= 十7 8 11 68 “ 1 5 , 5十12= 十2= 十15= -5= 9 3 7 911 一 1 4 , 3十11 = 十3= —4= 十9= 12 3 5 51 ., 4 5 10—4= 十8= -5= 十1 2 7 14 13、整数除以分数6十2 =7 4 8155 12634r 3 27 5 77十= 36 6 . —78 40 6 5,2 8 5 164十= 24 . _ — 3 . _ —125 9 7 25c 1 1 7 49十= 2 . _ 3 1 . _ 9105 5… 1115 4 711十= 5 . __ 4 . _ 4 .12 14 7 4“ 109 2 1610+ = 36 • _— 5 • _—813 4 5 25三、分数除以分数5 . 5_ -8 .10_9 . 3 = 7 .318 .18 9 .27 42 841亠2 = 4 .7- —1亠3 = 1亠25 3 7 4 2 11 3 3 5 5 7 5 5 5 8 2—i——= —• -- ——i—- = ——i—6 8 10 67 6 9 716 8 1 1 2 5 1 19_ __ = - = - = --- —25 9 5 4 7 7 6 368 16 14 15 10 5 4 16-- ————= 15 25 15 14 13 9 3 25四、分数混合运算,1 1 1 1 1 1 3 / 3 3、 1 2 1 21-—X -X - - X -X-+ -—十_2 3 4 5 4 5 11 4 4 3 3 3 3,5 ,5 、/ 2 — 3 7 2 5 / 1 1、.5 1 1十—1十0 X —+ 1 X —(-) --- + -7 6 7 5 10 7 7 2 3 6 37 2 1 1 5 1 1 3 7 4 …6 c , 8+X+ —X+X --—X 0.32 —2.4 -- 8 3 10 8 8 4 4 8 24 15 910—( 1—--2 2 / 2 c八,1 C 、 4 / 5 3、 10.4 )+ 0.5 )X((——)3 6 5 64 153 1 8 16 X -+ --- +—4 9 15 25 (5—19x —36(0.75 + 1)- 11- 0.4 X -6 10 81 1 3 / 5、 3 X 0.8 +-——0.8 0.25 -(1 —-)+ - 42 4 9 8 7 14 2 15---- +X9 15 9 14. 5 1 3 2 5 1 2 17247 6436 3 1 1 1 320 4 16 204 5 5 5 7X( 125 X 34 )48 一17 6 8 12 16 5 7 ? 丄6 8 12 242006 200720089- 99- 999 - 9999 - 23 3 3 3 339 1 3 1 48 4 3 31 1541 2 13 46 3 15 53 145 4 5 1 5 _8 _6 1 8-3 —7 4 13 13 15 7 150.75 殳+2X 0.757 74 32.42 - 4.58 3 43 43 14 [3.75 2 5)]160.6 2- 0.6 —4 115.415 13 2 £7 5 7 13 2100 56 - 37 8五、解方程lx 1 312 (12) 3.616x 3 60 5x 5 §6 1225 3 2 1x x —4 3 6 104x5 7x x16 85 1 6x x —7 2 712x=102 5 9 、,5 9— xX■—=5 6 10810六、列式计算2 5 1. 一个数的2是64,这个数的5是多少?381314 33.3乘;的积'减去5 '差是多少? 4.一个数的5是10,这个数是多少?七、解决问题1、美术班有男生20人,是女生的5,女生有多少人?62、甲铁块重5吨,相当于乙铁块的—。
小学六年级分数除法练习题一.选择题(共8题,共16分)1.如果a是一个大于零的自然数,那么下面各式中得数最大的是()。
A.a×B.a÷C.÷a2.一袋土豆,吃了它的,还剩30千克,这袋土豆原有()千克。
A.20B.50C.183.在学校组织的“爱护环境卫生消除白色垃圾”活动中,王小花拾了40个塑料袋,是辛洪刚的,辛洪刚拾了()个塑料袋。
A.25B.64C.894.一根绳子,剪去,还剩米。
这根绳子长多少米?列式是()。
A. B. C.5.五(2)班男生人数的和女生人数的相等,那么男生人数()女生人数。
A.大于B.小于C.等于6.在计算a×63时(a>0)时,小刚不慎将63错写成了36,那么计算结果比正解答案少()。
A. B. C.7.甲数的是18,乙数的是18,甲数()乙数。
A.大于B.小于C.等于8.下面互为倒数的两个数是()。
A.和0.6B.1.25和0.8C.和二.判断题(共8题,共15分)1.如果a÷=b÷(a,b都不为0),那么a>b。
()2.行一段路,甲车每小时行,乙车每小时行,甲车速度是乙车的速度的倍。
()3.假分数的倒数一定小于它本身。
()4.1kg苹果4天吃完,每天吃kg。
()5.的倒数是。
()6.一堆货物,甲车单独运8小时运完,乙车单独运6小时运完.甲、乙两车共同运,当运完这堆货物的一半时,用了还不到2小时。
()7.1÷a=b(a≠0),则a和b互为倒数。
()8.一个数(零除外)乘小数,积不一定比这个数小。
()三.填空题(共8题,共12分)1.把千克糖平均分给4个小朋友,每人分到这些糖的(),每个小朋友分到()千克。
2.晶晶三天看完一本书,第一天看了全书的,第二天看了全书的,第二天比第一天多看了15页,这本书共有()页。
3.0.8的倒数是(),最小的合数的倒数是()。
4.甲乙丙三人各以固定的速度进行百米赛跑,甲到终点时,乙离终点5米,丙离终点10米,乙到终点时,丙离终点还有()米。
WOIRD 格式
专业资料整理 1.计算下列各题。
8 ÷4÷ 21
5 7 2 3 × 1 ÷ 5 4 7 24÷ 8 × 21 5 21 3 ÷
20 3 4
÷ 2 7 6× 5 8 ÷ 15 4 1 ÷ 20 3 4 ×
4 5 2.水果店运进200箱梨子,第一天卖出总数的
1 4 ,第二天卖出第一天的
4 5。
第二天卖出 总数的几分之几?第二天卖出多少箱?
3. 7 除以一个数的商与 15 9 乘 11 7 的积相等,这个数是多少? 15
4.王师傅看一本科普书,第一周看了这本书的 2 7
,正好看了28页,第二周看了这本书
4 的,你知道王师傅第二周看了多少页吗?
7 5.妈妈买回一些苹果,小力吃了2个,吃了苹果的 2 ,爸爸吃了苹果的 17 3 ,你知道爸 17
爸吃了多少个苹果?
6.已知三角形的面积是 3 4
平方米,它的高是多少米?
答案
1. 2 15 7 30 15 7 10 1 4 75
2. 1 5 40箱
3. 11 9 4、28÷ 2 7 × 4 7
=
56(页)
5.2÷ 2 × 17 3 =3(个)
17
6. 3 4 ×2÷ 6 5 = 5 4
(米)。