二次根式提高培优
- 格式:doc
- 大小:282.00 KB
- 文档页数:5
【拔尖特训】2022-2023学年八年级数学下册尖子生培优必刷题【人教版】专题16.1专项提升训练(重难点培优)班级:___________________ 姓名:_________________ 得分:_______________注意事项:本试卷满分120分,试题共24题,其中选择10道、填空8道、解答6道.答卷前,考生务必用0.5毫米黑色签字笔将自己的姓名、班级等信息填写在试卷规定的位置.一、选择题(本大题共10小题,每小题3分,共30分)在每小题所给出的四个选项中,只有一项是符合题目要求的.1.(2022秋•南湖区校级期中)要使二次根式有意义,x的值可以是( )A.4B.2C.1D.0【分析】根据二次根式有意义的条件可得x﹣3≥0,再解即可.【解答】解:要使二次根式有意义,则x﹣3≥0,解得:x≥3,故x的值可以是4.故选:A.2.(2022秋•北碚区校级期中)要使式子有意义,则a的取值范围是( )A.a≠0B.a≥﹣2C.a>﹣2且a≠0D.a≥﹣2且a≠0【分析】根据分子的被开方数不能为负数,分母不能为零,可得答案.【解答】解:由题意得,a+2≥0且a≠0,即a≥﹣2且a≠0,故选:D.3.(2022秋•惠山区期中)下列各式中,一定是二次根式的是( )A.B.C.D.【分析】根据二次根式的定义进行判断.【解答】解:A.被开方数为负数,不是二次根式,故此选项不合题意;B.根指数是3,不是二次根式,故此选项不合题意;C.a﹣1的值不确定,被开方数的符号也不确定,不能确定是二次根式,故此选项不合题意;D.被开方数恒为正数,是二次根式,故此选项符合题意.4.(2022秋•奉贤区期中)使二次根式有意义的x的取值范围是( )A.B.C.D.【分析】根据二次根式的被开方数是非负数、分母不为0列出不等式,解不等式得到答案.【解答】解:由题意得:2x﹣1>0,解得:x>,故选:B.5.(2022秋•南湖区校级期中)已知y=++4,y x的平方根是( )A.16B.8C.±4D.±2【分析】根据二次根式有意义的条件可得,据此可得x的值,进而得出y的值,再代入所求式子计算即可.【解答】解:∵y=++4,∴,解得x=2,∴y=4,∴y x=42=16.∴y x的平方根是±4.故选:C.6.(2022秋•通州区期中)已知n是一个正整数,且是整数,那么n的最小值是( )A.6B.36C.3D.2【分析】先把=2,从而判断出6n是完全平方数,所以得出答案正整数n的最小值是6.【解答】解:=2,则6n是完全平方数,∴正整数n的最小值是6,故选:A.7.(2022秋•新蔡县校级月考)已知x、y为实数,且y=+1,则x+y的值是( )A.2022B.2023C.2024D.2025【分析】根据二次根式有意义的条件:被开方数是非负数求出x的值,代入求得y的值,代入代数式求【解答】解:∵x﹣2023≥0,2023﹣x≥0,∴x﹣2023=0,∴x=2023,∴y=1,∴x+y=2023+1=2024,故选:C.8.(2022春•东平县期中)已知a满足|2018﹣a|+=a,则a﹣20182=( )A.0B.1C.2018D.2019【分析】根据二次根式的被开方数是非负数求出a的取值范围,化简绝对值即可得出答案.【解答】解:根据题意得:a﹣2019≥0,∴a≥2019,∴原式可变形为:a﹣2018+=a,∴=2018,∴a﹣2019=20182,∴a﹣20182=2019.故选:D.9.已知a为实数,若在实数范围内有意义,那么等于( )A.a B.﹣a C.﹣1D.0【分析】根据非负数的性质与被开方数大于等于0列式计算即可得解.【解答】解:根据非负数的性质a2≥0,所以,﹣a2≤0,又∵﹣a2≥0,∴﹣a2=0,∴=0.故选:D.10.(2022春•荣昌区校级期末)若二次根式有意义,且关于分式方程﹣3=有正整数解,则符合条件的整数m的和是( )A.5B.3C.﹣2D.0【分析】根据二次根式有意义,可得m≤4,解出关于x的分式方程﹣3=的解为x=,解为正整数解,进而确定m的取值范围,注意增根时m的值除外,再根据m为整数,确定m的所有可能的整数值,求和即可.【解答】解:去分母得,2﹣3(x﹣1)=﹣m,解得x=,∵关于x的分式方程﹣3=有正整数解,∴>0,∴m>﹣5,又∵x=1是增根,当x=1时,=1,即m=﹣2∴m≠﹣2,∵有意义,∴4﹣m≥0,∴m≤4,因此﹣5<m≤4且m≠﹣2,∵m为整数且关于x的分式方程﹣3=有正整数解,∴m可以为1,4,其和为5.故选:A.二、填空题(本大题共8小题,每小题3分,共24分)请把答案直接填写在横线上11.(2022秋•南安市期中)若二次根式在实数范围内有意义,则x的取值范围是 x≤4 .【分析】根据二次根式的被开方数是非负数列出不等式,解不等式得到答案.【解答】解:由题意得:12﹣3x≥0,解得x≤4,故答案为:x≤4.12.(2022秋•罗湖区校级期中)若在实数范围内有意义,则x的取值范围是 x<4 .【分析】根据二次根式有意义的条件和分母不为0,即可求出x的取值范围.【解答】解:根据题意得:4﹣x>0,故答案为:x<4.13.(2022秋•海曙区校级期中)若,则x y= .【分析】直接利用二次根式有意义的条件得出x,y的值,进而代入得出答案.【解答】解:∵,∴2x﹣3≥0且3﹣2x≥0,解得:x=,则y=2,则x y=()2=.故答案为:.14.(2022秋•卧龙区校级月考)若y=+﹣3,则点P(x,y)在第 四 象限.【分析】根据二次根式的被开方数是非负数,求出x的值,进而得到y的值,再根据点的坐标特征解答即可.【解答】解:根据题意,得x﹣4≥0且4﹣x≥0,.所以x=4.所以y=﹣3.所以P(4,﹣3),位于第四象限.故答案为:四.15.(2022春•东莞市校级期中)若是整数,则满足条件的最小正整数n的值为 6 .【分析】24=22×6,所以要想能开平方,必须再乘一个6.【解答】解:=2,∵是整数,∴满足条件的最小正整数n=6.故答案为:6.16.(2022春•东平县期中)已知y=++2022,则x2+y﹣3的值为 2023 .【分析】根据二次根式有意义的条件得到x2=4,进而求出y的值,代入代数式求值即可.【解答】解:根据题意得:x2﹣4≥0,4﹣x2≥0,∴y=2022,∴原式=4+2022﹣3=2023.故答案为:2023.17.(2022•沙坪坝区校级开学)已知a,b分别为等腰三角形的两条边长,且a,b满足,则该三角形的周长为 10 .【分析】根据题意求出a、b的值,根据等腰三角形的三边关系确定三角形的边长,求出此三角形的周长.【解答】解:由题意得,a﹣2≥0,2﹣a≥0,解得a≥2,a≤2,∴a=2,则b=4,∵2+2=4,∴2、2、4不能组成三角形,∴该三角形的三边分别为2、4、4,∴此三角形的周长为2+4+4=10.18.(2021春•南通期中)实数a、b在数轴上对应点的位置如图所示,,b为整数,则a+b= ﹣2 .【分析】通过识图可得a<b<,从而利用二次根式的性质进行化简.【解答】解:∵a<b<,∵|b﹣2|=b﹣2,∵a+4≥0,b﹣2≥0,∴b≥2,∵b<,∴2≤b<,b为整数,∴b=2,将b=2代入|b﹣2|=b﹣2,∴a+b=﹣4+2=﹣2,故答案为:﹣2.三、解答题(本大题共6小题,共66分.解答时应写出文字说明、证明过程或演算步骤)19.(2021春•新泰市期中)(1)已知2a﹣1的平方根是±3,3a+b﹣1的平方根是±4,求a+2b的平方根;(2)若x,y都是实数,且y=+8,求x+3y的立方根.【分析】(1)根据平方根的定义求出a、b的值,然后代入a+2b即可求出答案.(2)根据二次根式有意义的条件可求出x与y的值,然后代入原式即可求出答案.【解答】解:(1)由题意可知:2a﹣1=9,3a+b﹣1=16,∴a=5,b=2,∴a+2b=5+4=9,∴9的平方根是±3,即a+2b的平方根为±3.(2)由题意可知:,∴x=3,∴y=8,∴x+3y=3+24=27,∴27的立方根是3,即x+3y的立方根是320.(2019秋•松北区期末)已知a,b分别为等腰三角形的两条边长,且a,b满足b=4++3,求此三角形的周长.【分析】根据题意求出a、b的值,根据三角形的三边关系确定三角形的边长,求出此三角形的周长.【解答】解:由题意得,3a﹣6≥0,2﹣a≥0,解得,a≥2,a≤2,则a=2,则b=4,∵2+2=4,∴2、2、4不能组成三角形,∴此三角形的周长为2+4+4=10.21.(2022秋•济南期中)已知实数a,b,c满足:.(1)a= ﹣3 ;b= 5 ;c= 2 ;(2)求﹣b﹣3a+2c的平方根.【分析】(1)根据二次根式有意义的条件求得b=5,再根据绝对值以及算术平方根的非负性求得a与c.(2)将(1)中a、b与c的值代入,再求得﹣b﹣3a+2c的平方根.【解答】解:(1)由题意得,b﹣5≥0,5﹣b≥0.∴b=5.∴|a+3|+=0.∵|a+3|≥0,,∴a+3=0,c﹣2=0.∴a=﹣3,c=2.故答案为:﹣3;5;2.(2)由(1)得,a=﹣3,b=5,c=2.∴﹣b﹣3a+2c=﹣5+9+4=8.∴﹣b﹣3a+2c的平方根是±=.22.(2022秋•锦江区校级月考)(1)若m﹣2=+,求n m的值;(2)已知有理数a,b,c在数轴上对应位置如图所示:①用“<”或“>”填空:a+c < 0,b﹣c > 0;②化简:|a+c|﹣+.【分析】(1)利用二次根式有意义的条件得到n﹣3≥0且3﹣n≥0,则n=3,所以m﹣2=0,则m=2,然后利用乘方的意义计算n m;(2)①利用数轴表示数的方法进行判断;②根据二次根式的性质和立方根的定义得到原式|=|a+c|﹣|b﹣c|+b+c,再利用①中的结论去绝对值,然后取括号合并即可.【解答】解:(1)根据题意得n﹣3≥0且3﹣n≥0,解得n=3,∴m﹣2=0,解得m=2,∴n m=32=9;(2)①a+c<0,b﹣c>0;故答案为:<,>;②|a+c|﹣+=|a+c|﹣|b﹣c|+b+c=﹣(a+c)﹣(b﹣c)+b+c=﹣a﹣c﹣b+c+b+c=﹣a+c.23.(2022春•定远县期末)在学习了算术平方根和二次根式等内容后,我们知道以下的结论:结论①:若实数a≥0时,=a;结论②:对于任意实数a,=|a|.请根据上面的结论,对下列问题进行探索:(1)若m<2,化简:+|m﹣3|.(2)若=4,|b|=8,且ab>0,求a+b的值.(3)若A=+|1﹣m|有意义,化简A.【分析】(1)先根据二次根式的性质和绝对值进行计算,再算加减即可;(2)先根据二次根式的性质和绝对值求出a、b的值,再求出a+b的值即可;(3)根据二次根式的性质得出m﹣2≥0,求出m≥2,再进行化简即可.【解答】解:(1)分为两种情况:①当m≤﹣3时,+|m﹣3|.=|m+3|+|m﹣3|=﹣m﹣3﹣m+3=﹣2m,②当﹣3<m<2时,+|m﹣3|=|m+3|+|m﹣3|=m+3+3﹣m=6;(2)∵,∴|a|=4,∴a=±4,∵|b|=8,∴b=±8,∵ab>0,∴a=4,b=8或a=﹣4,b=﹣8,当a=4,b=8时,则a+b=4+8=12,当a=﹣4,b=﹣8时,则a+b=﹣4﹣8=﹣12,∴a+b=±12;(3)∵有意义,∴m﹣2≥0,∴m≥2,∴1﹣m<0,∴A=m﹣2+m﹣1=2m﹣3.24.(2022春•天门校级月考)二次根式的双重非负性是指被开方数a≥0,其化简的结果≥0,利用的双重非负性解决以下问题:(1)已知=0,则a+b的值为 ﹣2 ;(2)若x,y为实数,且x2=+9,求x+y的值;(3)已知实数m,n(n≠0)满足|2m﹣4|+|n+2|++4=2m,求m+n的值.【分析】(1)利用非负数的性质,可求a,b的值,从而求得a+b的值为﹣2;(2)利用二次根式有意义的条件,可得y值,进而求x值,最终得x+y的值;(3)是上两个题目的综合运用,利用(1)(2)可出得m+n的值.【解答】解:(1)∵,且,∴a﹣1=0,且3+b=0,∴a=1,b=﹣3,∴a+b=﹣2.(2)∵,∴y﹣5≥0且5﹣y≥0,∴y≥5且y≤5,∴y=5,∴x2=9,∴x=±3,当x=3时,x+y=3+5=8;当x=﹣3时,x+y=﹣3+5=2.(3)∵|2m﹣4|+|n+2|++4=2m,∴(m﹣3)n2≥0,∴m≥3,∴2m﹣4>0,∴|2m﹣4|+|n+2|++4=2m2m﹣4+|n+2|++4=2m∴|n+2|+=0,∵|n+2|≥0,≥0,∴n+2=0,(m﹣3)n2=0,∴n=﹣2,m=3,∴m+n=3﹣2=1.。
知识点一:二次根式的概念【知识要点】1.二次根式的定义: 形如的式子叫二次根式,其中叫被开方数,只有当是一个非负数时,才有意义.2. ()()a aa 20=≥.3. 公式a a a a a a 200==≥-<⎧⎨⎩||()()与()()a aa 20=≥的区别与联系。
(1)a 2表示求一个数的平方的算术根,a 的范围是一切实数. (2)()a 2表示一个数的算术平方根的平方,a 的范围是非负数. (3)a 2和()a 2的运算结果都是非负的.精典考题类型一:考查二次根式的概念(求自变量取值范围)1、下列各式中,不是二次根式的是( ) A .45 B .3π- C .14 D .122、二次根式4122--x x 有意义时的x 的取值范围是 。
3、已知: 122+--++=x x y ,则2001)(y x += 。
类型二:考查二次根式的性质(非负性、化简)4、代数式243x --的最大值是 。
5、实数在数轴上的位置如图1所示,化简21(2)a a -+-=。
6、把34-的根号外的因式移到根号内得 ;625-的平方根是 。
7、化简:1x x-= ;=-+-+-222)72()57(2)73( 。
(图1)8、若y=5-x +x -5+2009,则x+y= 9、若x 、y 都是实数,且y=4x 233x 2+-+-,求xy 的值。
10、当a 取什么值时,代数式1取值最小,并求出这个最小值。
112440y y -+=,求xy 的值。
12、若│1995-a │=a ,求a —19952的值.13、 若—3≤x ≤2时,试化简│x —2│已知a 是5整数部分,b 是 5的小数部分,求12a b ++的值. 若3的整数部分是a ,小数部分是b ,则=-b a 3 。
若17的整数部分为x ,小数部分为y,求y x 12+的值.知识点二:二次根式的性质【知识要点】1. 非负性:a a ()≥0是一个非负数.注意:此性质可作公式记住,后面根式运算中经常用到. 2。
《二次根式》培优一、知识讲解1.根式中的相关概念⑴二次根式:形如)0a ≥的代数式叫做二次根式。
⑵ nn 次根式.其中若n 为偶数,则必须满足0a ≥。
⑶最简二次根式:满足以下两个条件的二次根式叫做最简二次根式:①被开方数的因数是整数,因式是整式;②被开方数中不含有能开方的因数或因式。
⑷同类二次根式:几个二次根式化成最简二次根式之后,如果被开方数相同,则这几个根式叫做同类二次根式。
⑸设a 、b 、c 、d 、m 是有理数,且m 不是完全平方数 ,则当且仅当a c =、b d =时,时,a c +=+2. 二次根式的性质 (1)()20a a =≥. (200 0 0a a a a a a >⎧⎪===⎨⎪-<⎩当时,当时,当时. 3.二次根式的运算法则:对于二次更是的加减,先把二次根式化为最简二次根式,然后再合并同类二次根式即可. (1)(a b =+ (2)0,0a b =≥≥(3))0,0a b =≥> (4))0ma =≥(5)若0a b >>>4. 分母有理化(1)把分母中的根号化去叫做分母有理化.(2)互为有理数因式:两个含有根式的代数式相乘,如果它们的积不含有根式,则这两个代数式互为有理化因式.互为有理数因式。
分母有理化时,一定要保证有理化因式的值不为0.二、习题讲解基础巩固1.化简:(1) (2(3(4)(5(6) 解:(1)(2. (3)(4. (5)232-(6). 2. 设y =,求使y 有意义的x 的取值范围.解:由题知2102010x x x -≥⎧⎪-≥⎨⎪->⎩,解得1221x x x ⎧≥⎪⎪≤⎨⎪>⎪⎩,所以x 的取值范围为122x ≤≤.3.(1)已知最简二次根式ba = ,b = . (2)已知0=,则2mn n +-的倒数的算术平方根为 .解:(1)由题知:2322b a b b a -=⎧⎨=-+⎩,解得02a b =⎧⎨=⎩.(2)因为0≥,2160m -≥0=所以221016040n m m m -+=⎧⎪-=⎨⎪->⎩,解得49m n =-⎧⎨=-⎩.所以15===.所以2mn n +-的倒数的算术平方根为15.4. (1)若m=试确定m 的值.(2)已知x 、y为实数,13y x =-,求56x y +.解:(1)因为19901990x y x y -+≥⎧⎨--≥⎩,即199199x y x y +≥⎧⎨+≤⎩,所以199x y+=①.所以0=.又因为0≥0≥,所以3520 230 x y m x y m +--=⎧⎨+-=⎩②③.由①,②,③可得:2001m =.5.在、1999是同类二次根式的共有多少个?解:由题知:==19个. 6.计算:(1)((1617解:(1)原式((16=⎡⎤⎣⎦()(16=1211-(2)(5+解:原式(()=5555256+--(3)22-解:原式22=⎤⎤-⎦⎦=⎤⎤⎦⎦===(4)计算:(1111x x ++++解:原式((1111x x ⎡⎤⎡⎤=++⎣⎦⎣⎦()()()()222311111x x x x x x ⎡⎤=-+-=-++=-⎢⎥⎣⎦(5)(解:原式{}{}⎤⎤⎡⎡=⎦⎦⎣⎣()()523235⎡⎤⎡⎤=--+-⎣⎦⎣⎦=24=.7.化简:=..A. BCD解:()()⎣⎦=⎡⎡-+⎣⎣=-=212+==12=+8.计算:. 解:原式()()4172x x --=())())417247x x x x --=---)12=-3=-.9.设x =,y =,n 为自然数,如果22219721993x xy y ++=成立,求n的值.解:由题知:()2222197221931993x xy y x y xy ++=++=x y +=+22+==42n =+.1xy ==.当x y +==-1xy =时,()224219311993n ++⨯=,即()242900n +=. 因为n 为自然数,所以4230n +=,解得7n =.10. 若正整数a 、m 、n=a 、m 、n 的值依次是 . 解:因为0≥,即m n ≥.由题知:22=,即2a m n -=+-.所以2a m n =+=.故有8mn=.因为a 、m 、n 为正整数,所以8m =,1n =,3a =. 11.(1))))201220112010121412010--+= .解:原式)))20102112142010⎡⎤=--+⎢⎥⎣⎦)2010151242010⎡⎤=+--+⎣⎦2010=.(2)化简:解:原式==3=3=3==3===.二、拓展提高1.已知x=,y=,求22y xx y+的值.解:由题知:原式()()()()()()()2 22332223x y xy xyx y x xy yy xxyxy xy⎡⎤++-+-++⎣⎦===x y+=22+=10=,1xy==. 当10x y+=,1xy=时,原式()22101031⨯-=970=.2.(1)). 5A-1B. 5C. 1D(2)代数式.解:(1)=)21=2=,==3=-所以231=+-=,故答案选D.(2)222=+82818=+=因为0≥==3.若1x =,则54322171816x x x x x +--+-的值为 .解:因为1x =,所以()221x -=,化简的22160xx --=.原式543322216216216x x x x x x x x =+---+++-()()222161x x x x =+--+()201x x =⨯-+0=4. 已知非零实数a 、b 满足等式542b a a b ab b a ++=+. 解:由542b a a b ab b a++=+可得:22542b a a b ++=+,即()()22120b a -+-=,解得2a =,1b =.所以原式1===.5.22006= 解:令2006x =,由题知: 原式2x =2x =2x =2x =221x x x =+--1200612005x =-=-=.6. 已知2=的值为 .解:令m =n =22210m n m n -=⎧⎨-=⎩. 所以()()()22210x y x y x y x y -=+-=+=5m n =+=.7.化简:.解:原式===2=51-=-5=.8.计算:⋅⋅⋅+.解:原式=+⋅⋅⋅+=+⋅⋅⋅4512025=-1145=-4445=.9.⋅⋅⋅+解:原式=37132612=++⋅⋅⋅1111111112233420102011⎛⎫⎛⎫⎛⎫⎛⎫=++++++⋅⋅++⎪ ⎪ ⎪ ⎪⨯⨯⨯⨯⎝⎭⎝⎭⎝⎭⎝⎭1112010122320102011=+++⋅⋅+⨯⨯⨯111112010122320102011=+-+-+⋅⋅+-1201012011=+-201020102011=。
二次根式的专题提高一、二次根式的双重非负性例题:1、使式子xx 2-有意义的x 的取值范围是 2、无论x 取任何实数,m x x +-62都有意义,则m 的取值范围是3、已知22284x x y -+-=,求x+y 的值4、已知实数a,b,c 满足0432=-++b a ,012442=--+c b c ,求a+b+c 的值.练习: 1、使式子11--x x 有意义的x 的取值范围是 2、若4342-=-+-b a a ,则b a 22-= 3、若a a a =-+-20152014,则22014-a = 二、简单的二次根式的化简例题:1、如果式子322)1(2-=-+-x x x ,则x 的取值范围是 2、把a b b a --1)(根号外的因式移到根号内的结果为练习:1、化简(1)a a 1- (2)22x xx --2、已知a ,b ,c 为∆ABC 的三边,化简2222)()()()(a b c c a b c b a c b a -----+--+++的结果为是3、若x x +=-11,则2)1(-x =三、二次根式的运算与规律探究例题:1、观察下列各式:1131432112+⨯+=⨯⨯⨯+,1232543212+⨯+=⨯⨯⨯+,1333654312+⨯+=⨯⨯⨯+,猜测=⨯⨯⨯+201720162015201412、计算2201612018201720162015-+⨯⨯⨯的结果为练习:1、设n,k 为正整数,,,,已知,则2、小明做数学题时,发现,,,,按上述规律,第n 个等式是3、设S=++…+,求不超过S 的最大整数四、分母有理化例题:黑白双雄、纵横江湖;双剑合璧,天下无敌.这是武侠小说中常见的描述,其意是指两人合在一起,取长补短,威力无比.在二次根式中也有这种相辅相成的“对子”如:,与的积不含有根号,我们就说这两个式子互为有理化因式,其中一个是另一个的有理化因式.于是二次根式可以这样解:,像这样,通过分子、分母同乘以一个式子把分母中的根号化去或把根号中的分母化去,叫做分母有理化.解决问题:①的有理化因式是 ,121分母有理化得 ②计算:③计算:.④已知,,则⑤已知:,,,试比较a 、b 、c 的大小。
《二次根式》提高测试(一)判断题:(每小题1分,共5分)1.ab 2)2(-=-2ab .…………………()【提示】2)2(-=|-2|=2.【答案】×.2.3-2的倒数是3+2.()【提示】231-=4323-+=-(3+2).【答案】×.3.2)1(-x =2)1(-x .…()【提示】2)1(-x =|x -1|,2)1(-x =x -1(x ≥1).两式相等,必须x ≥1.但等式左边x 可取任何数.【答案】×. 4.ab 、31b a 3、ba x 2-是同类二次根式.…( )【提示】31b a 3、ba x 2-化成最简二次根式后再判断.【答案】√. 5.x 8,31,29x +都不是最简二次根式.( )29x +是最简二次根式.【答案】×.(二)填空题:(每小题2分,共20分)6.当x __________时,式子31-x 有意义.【提示】x 何时有意义?x ≥0.分式何时有意义?分母不等于零.【答案】x ≥0且x ≠9. 7.化简-81527102÷31225a =_.【答案】-2aa .【点评】注意除法法则和积的算术平方根性质的运用. 8.a -12-a 的有理化因式是____________.【提示】(a -12-a )(________)=a 2-22)1(-a .a +12-a .【答案】a +12-a . 9.当1<x <4时,|x -4|+122+-x x =________________.【提示】x 2-2x +1=( )2,x -1.当1<x <4时,x -4,x -1是正数还是负数? x -4是负数,x -1是正数.【答案】3.10.方程2(x -1)=x +1的解是____________.【提示】把方程整理成ax =b 的形式后,a 、b 分别是多少?12-,12+.【答案】x =3+22.11.已知a 、b 、c 为正数,d 为负数,化简2222d c ab d c ab +-=______.【提示】22d c =|cd |=-cd .【答案】ab +cd .【点评】∵ ab =2)(ab (ab >0),∴ ab -c 2d 2=(cd ab +)(cd ab -).12.比较大小:-721_________-341.【提示】27=28,43=48.【答案】<.【点评】先比较28,48的大小,再比较281,481的大小,最后比较-281与-481的大小.13.化简:(7-52)2000·(-7-52)2001=______________.【提示】(-7-52)2001=(-7-52)2000·(_________)[-7-52.] (7-52)·(-7-52)=?[1.]【答案】-7-52.【点评】注意在化简过程中运用幂的运算法则和平方差公式. 14.若1+x +3-y =0,则(x -1)2+(y +3)2=____________.【答案】40. 【点评】1+x ≥0,3-y ≥0.当1+x +3-y =0时,x +1=0,y -3=0.15.x ,y 分别为8-11的整数部分和小数部分,则2xy -y 2=____________.【提示】∵ 3<11<4,∴_______<8-11<__________.[4,5].由于8-11介于4与5之间,则其整数部分x =?小数部分y =?[x =4,y =4-11]【答案】5.【点评】求二次根式的整数部分和小数部分时,先要对无理数进行估算.在明确了二次根式的取值范围后,其整数部分和小数部分就不难确定了. (三)选择题:(每小题3分,共15分)16.已知233x x +=-x 3+x ,则………………( )(A )x ≤0 (B )x ≤-3 (C )x ≥-3 (D )-3≤x ≤0【答案】D . 【点评】本题考查积的算术平方根性质成立的条件,(A )、(C )不正确是因为只考虑了其中一个算术平方根的意义. 17.若x <y <0,则222y xy x +-+222y xy x ++=………………………( )(A )2x (B )2y (C )-2x (D )-2y 【提示】∵ x <y <0,∴ x -y <0,x +y <0.∴222y xy x +-=2)(y x -=|x -y |=y -x .222y xy x ++=2)(y x +=|x +y |=-x -y .【答案】C . 【点评】本题考查二次根式的性质2a =|a |.18.若0<x <1,则4)1(2+-x x -4)1(2-+xx 等于………………………()(A )x 2 (B )-x 2(C )-2x (D )2x【提示】(x -x 1)2+4=(x +x 1)2,(x +x 1)2-4=(x -x 1)2.又∵ 0<x <1,∴ x +x 1>0,x -x1<0.【答案】D .【点评】本题考查完全平方公式和二次根式的性质.(A )不正确是因为用性质时没有注意当0<x <1时,x -x1<0. 19.化简aa 3-(a <0)得………………………………………………………………()(A )a - (B )-a (C )-a - (D )a【提示】3a -=2a a ⋅-=a -·2a =|a |a -=-a a -.【答案】C . 20.当a <0,b <0时,-a +2ab -b 可变形为………………………………………( )(A )2)(b a + (B )-2)(b a - (C )2)(b a -+- (D )2)(b a ---【提示】∵ a <0,b <0,∴ -a >0,-b >0.并且-a =2)(a -,-b =2)(b -,ab =))((b a --.【答案】C .【点评】本题考查逆向运用公式2)(a =a (a ≥0)和完全平方公式.注意(A )、(B )不正确是因为a <0,b <0时,a 、b 都没有意义. (四)在实数范围内因式分解:(每小题3分,共6分)21.9x 2-5y 2;【提示】用平方差公式分解,并注意到5y 2=2)5(y .【答案】(3x +5y )(3x -5y ).22.4x 4-4x 2+1.【提示】先用完全平方公式,再用平方差公式分解.【答案】(2x +1)2(2x -1)2.(五)计算题:(每小题6分,共24分)23.(235+-)(235--);【提示】将35-看成一个整体,先用平方差公式,再用完全平方公式.【解】原式=(35-)2-2)2(=5-215+3-2=6-215.24.1145--7114--732+;【提示】先分别分母有理化,再合并同类二次根式.【解】原式=1116)114(5-+-711)711(4-+-79)73(2--=4+11-11-7-3+7=1.25.(a 2m n -m ab mn +m n nm)÷a 2b 2m n ;【提示】先将除法转化为乘法,再用乘法分配律展开,最后合并同类二次根式. 【解】原式=(a 2mn-m ab mn +m n n m )·221ba n m=21bn m m n ⋅-mab 1n m mn ⋅+22b ma n n m n m ⋅ =21b-ab 1+221b a =2221b a ab a +-. 26.(a +ba abb +-)÷(b ab a ++a ab b --ab b a +)(a ≠b ).【提示】本题应先将两个括号内的分式分别通分,然后分解因式并约分. 【解】原式=ba ab b ab a +-++÷))(())(()()(b a b a ab b a b a b a b b b a a a -+-+-+--=b a ba ++÷))((2222b a b a ab b a b ab b ab a a -++----=ba b a ++·)())((b a ab b a b a ab +-+-=-b a +.【点评】本题如果先分母有理化,那么计算较烦琐. (六)求值:(每小题7分,共14分)27.已知x =2323-+,y =2323+-,求32234232y x y x y x xy x ++-的值.【提示】先将已知条件化简,再将分式化简最后将已知条件代入求值. 【解】∵ x =2323-+=2)23(+=5+26,y =2323+-=2)23(-=5-26.∴x +y =10,x -y =46,xy =52-(26)2=1.32234232y x y x y x xy x ++-=22)())((y x y x y x y x x +-+=)(y x xy yx +-=10164⨯=652. 【点评】本题将x 、y 化简后,根据解题的需要,先分别求出“x +y ”、“x -y ”、“xy ”.从而使求值的过程更简捷. 28.当x =1-2时,求2222ax x a x x+-++222222ax x x a x x +-+-+221ax +的值.【提示】注意:x 2+a 2=222)(a x +,∴ x 2+a 2-x22a x +=22a x +(22a x +-x ),x 2-x22a x +=-x (22a x +-x ).【解】原式=)(2222x a x a x x-++-)(22222x a x x a x x -++-+221ax +=)()()2(22222222222x a x a x x x a x x a x x a x x -++-+++-+-=)()(22222222222222x a x a x x x a x x a x a x x x -++-+++++-=)()(222222222x a x a x x a x x a x -+++-+=)()(22222222x a x a x x x a x a x -++-++=x 1.当x =1-2时,原式=211-=-1-2.【点评】本题如果将前两个“分式”分拆成两个“分式”之差,那么化简会更简便.即原式=)(2222x a x a x x-++-)(22222x a x x a x x -++-+221ax +=)11(2222a x x a x +--+-)11(22x x a x --++221a x +=x1.七、解答题:(每小题8分,共16分)29.计算(25+1)(211++321++431++…+100991+).【提示】先将每个部分分母有理化后,再计算. 【解】原式=(25+1)(1212--+2323--+3434--+…+9910099100--)=(25+1)[(12-)+(23-)+(34-)+…+(99100-)]=(25+1)(1100-)=9(25+1).【点评】本题第二个括号内有99个不同分母,不可能通分.这里采用的是先分母有理化,将分母化为整数,从而使每一项转化成两数之差,然后逐项相消.这种方法也叫做裂项相消法. 30.若x ,y 为实数,且y =x 41-+14-x +21.求xy y x ++2-xyy x +-2的值.【提示】要使y 有意义,必须满足什么条件?].014041[⎩⎨⎧≥-≥-x x 你能求出x ,y 的值吗?].2141[⎪⎪⎩⎪⎪⎨⎧==y x 【解】要使y 有意义,必须⎩⎨⎧≥-≥-014041[x x ,即⎪⎪⎩⎪⎪⎨⎧≥≤.4141x x ∴ x =41.当x =41时,y =21.又∵x y y x ++2-xyy x +-2=2)(x y y x +-2)(xy y x - =|xy yx +|-|x y y x -|∵ x =41,y =21,∴yx<xy .∴ 原式=x y y x +-y x xy+=2yx 当x =41,y =21时,原式=22141=2.【点评】解本题的关键是利用二次根式的意义求出x 的值,进而求出y 的值.。
2018-2019学年度第一学期华师大版九年级数学上_第21章_二次根式_培优提高单元检测试题考试总分: 120 分考试时间: 120 分钟学校:__________ 班级:__________ 姓名:__________ 考号:__________一、选择题(共 10 小题,每小题 3 分,共 30 分)1.已知式子①8,② x2+2,③−5,④16,⑤43,⑥ a2−1.其中一定是二次根式的有()A.6个B.5个C.4个D.3个2.下列各式中计算正确的是()A.(−1)(−9)=−1⋅−9=(−1)(−3)=3B.(−2)2=−2C.32+42=3+4=7D.252−242=25+24⋅25−24=7×1=73.若a、b为实数,且b=a−1+1−aa+7+4,则a+b的值为()A.±1B.4C.3D.54.已知x<1,那么化简 x2−2x+1的结果是()A.x−1B.1−xC.−x−1D.x+15.下列各式与3不是同类二次根式的是()A.12B.27C.8D.756.下列运算中,错误的有()①125144=1512,②42=±4,③(−2)2=2,④116+125=14+15=920.A.1个B.2个C.3个D.4个7.下列计算正确的是()A.2+8=10B.2⋅2=4C.(−2)2=−2D.82=28.下列根式中,最简二次根式是()A.9aB. a2+b2C.a3D.0.59.212×3(−4)252的运算结果是()A.152B.3210C.325D.−321010.设a=3−2,b=2−3,则a、b的大小关系为()A.a>bB.a=bC.a<bD.无法确定二、填空题(共 10 小题,每小题 3 分,共 30 分)11.若x=2+3,则代数式x2−4x+3的值为________.12.已知最简二次根式:2a+1与3−2a是同类二次根式:则a=________.13.对于任意不相等的两个实数a、b,定义运算如下:ab=a+ba−b,那么812=________.14.化简:3+15+37+5+⋯2n+1+2n−1=________.15.当x=________时,5+4x有最小值为________.16.计算:24×3−8=________.17.已知2+23=223、3+38=338、4+415=4415…则第四个式子为________,第n个式子为________.18.若代数式2x−1有意义,则实数x的取值范围是________.19.计算:(−b+ b2−4ac2a )(−b− b2−4ac2a)(其中b2−4ac>0)=________.20.在二次根式30,45a,0.5,212,2,54,17(x2+y2)中,最简二次根式有________个.三、解答题(共 6 小题,每小题 10 分,共 60 分)21.把下列各式化为最简二次根式(1)216(2)2112(3)132(4)−623(5)132−112(6)2+42.22.(1)计算:(−3)2−12+(π−4)022.(2)化简求值:当x=2−1时,求代数式1x+1−1x−1⋅x2−2x+1x+1的值23.计算:(312−213+48)÷23+(13)2.24.已知实数a、b满足4a−b+1+13b−4a−3=0,求2a ab⋅(ba÷1−b)的值.25.观察下面的运算,完成计算:5−26=3−26+2=(3)2−2×3×2+(2)2=(3−2)2=|3−2|=3−2(1)3−22(2)3+44+23.26.某小区物业为改善小区居民的生活环境,在小区建设中,特别注意环境的美化.小区中心广场有一长方形水池长为160π,宽为40π.为美化环境,给小区增加绿色,物业决定把这个长方形水池改建长一个圆形面积相等的圆形花坛,问改建的圆形花坛的半径是多少米?答案1.D2.D3.D4.B5.C6.A7.D8.B9.B10.A11.212.0.513.−12514.2n+1−1215.−540 16.4217.5+524=5×524n+nn−1=n×nn−118.x≥1219.ca 20.221.解:(1)216=66;(2)2112=2512=563;(3)132=182;(4)−623=−6×63=−26;(5)132−112=48=43;(6)62+42=52=213.22.解:(1)原式=9−23+1=10−23;(2)原式=1x+1−1(x+1)(x−1)⋅(x−1)2x+1=1x+1−x−1(x+1)2=2(x+1)2,当x=−1时,原式=(2−1+1)2=1.23.解:原式=(63−233+43)÷23+13=2833÷23+13=143+13=5.24.解:由题意可得4a−b+1=013b−4a−3=0,解得,a=−1 b=−3.当时a=−1、b=−3时,原式=−213⋅(3÷13)=−23.25.解:(1)原式=1−22+2=12−22+(2)2=(1−2)2=2−1;(2)4+23=3+23+1=(3−1)2(3+1)2=3+1,则原式=3+4(3+1)=43+7=212+7=3+24⋅3+4=(3)2+24⋅3+(4)2=(3+2)2=3+226.改建的圆形花坛的半径是45π米.。
二次根式培优专题 (一)一、基础知识回顾1.二次根式:式子a (a ≥0)叫做二次根式。
2.最简二次根式:必须同时满足下列条件: ⑴被开方数中不含开方开的尽的因数或因式; ⑵被开方数中不含分母; ⑶分母中不含根式。
3.同类二次根式:二次根式化成最简二次根式后,若被开方数相同,则这几个二次根式就是同类二次根式。
4.二次根式的性质:(1)2a =(a ≥0); (2)5.二次根式的运算:(1)因式的外移和内移:如果被开方数中有的因式能够开得尽方,那么,就可以用它的算术根代替而移到根号外面;如果被开方数是代数和的形式,那么先解因式,•变形为积的形式,再移因式到根号外面,反之也可以将根号外面的正因式平方后移到根号里面.(2)二次根式的加减法:先把二次根式化成最简二次根式再合并同类二次根式.(3)二次根式的乘除法:二次根式相乘(除),将被开方数相乘(除),所得的积(商)仍作积(商)的被开方数并将运算结果化为最简二次根式.0,0)a b =≥≥0,0)a b =>≥ (4)有理数的加法交换律、结合律,乘法交换律及结合律,•乘法对加法的分配律以及多项式的乘法公式,都适用于二次根式的运算.二、精典考题类型一:考查二次根式的概念(求自变量取值范围)1、下列各式中,不是二次根式的是( )A . 2、二次根式4122--x x 有意义时的x 的取值范围是 。
3、已知: 122+--++=x x y ,则2001)(y x += 。
类型二:考查二次根式的性质(非负性、化简)4、代数式243x --的最大值是 。
5、实数在数轴上的位置如图1所示,化简1a -= 。
6、把34-的根号外的因式移到根号内得 ;625-的平方根是 。
(图1)a (a >0) ==a a 2 a -(a <0) 0 (a =0);7、化简:= ;=-+-+-222)72()57(2)73( 。
类型三:考查同类二次根式与最简二次根式(化简)8、把313,32,2721,7521按由大到小的顺序排列为: 类型四:考查二次根式的运算(加减乘除混合运算、分母有理化)9、若32+=a ,32-=b ,则a 与b 的关系是( )A .互为相反数;B .互为倒数;C .互为负倒数;D .以上均不对。
学习资料收集于网络,仅供学习和参考,如有侵权,请联系网站删除二次根式典型习题训练一、概念(一)二次根式下列式子,哪些是二次根式,哪些不是二次根式114303x222yx? 0).0、,、-y、、、、x>0()?、≥(、x≥yx?x(二)最简二次根式x(y>0)化为最简二次根式结果是(.把二次根式).1y xyx xy.(y>0) C D.以上都不对(y>0)AB..)(y>0yy242x?xy=_________.(x2≥.化简0)a?1?化简二次根式号后的结果是_________.3.a2a?yx?xy的正确结果为4._________0已知.,化简二次根式2x(三)同类二次根式22327122是同类二次根式的是(①;④②)中,;与③.;1.以下二次根式:3A.①和②B.②和③C.①和④D.③和④122138125a30.2a9a75a3是同类二次-2、、2、.在、、、3中,与3a38根式的有______ (四)“分母有理化”与“有理化因式”32y的有理化因式是_________x-.的有理化因式是________;1. +1x?1x?的有理化因式是_______ --.2.把下列各式的分母有理化112?4233)4.(3);(;)()(1 ;25?11?2324?332?6学习资料.学习资料收集于网络,仅供学习和参考,如有侵权,请联系网站删除二、二次根式有意义的条件:3x?1在实数范围内有意义?是多少时,当x 1.(1)13?2x在实数范围内有意义?(2)当x是多少时,+x?12x?32+x在实数范围内有意义?是多少时,3)当x (x__________x?x?2?12有意义。
当时,(4)25)x??( 2.)个.使式子x有(有意义的未知数 3. .无数2 .A .0 B1 C. D x2x?x2?的值.+ 3.已知+5y=,求y?23xx3??x=_______有意义,则+.4.若1??m有意义,则的取值范围是若。
【拔尖特训】2022-2023学年八年级数学下册尖子生培优必刷题【人教版】专题16.5二次根式的求值问题大题提升训练(重难点培优30题)班级:___________________ 姓名:_________________ 得分:_______________注意事项:本试卷试题解答30道,共分成三个层组:基础过关题(第1-10题)、能力提升题(第11-20题)、培优压轴题(第21-30题),每个题组各10题,可以灵活选用.答卷前,考生务必用0.5毫米黑色签字笔将自己的姓名、班级等信息填写在试卷规定的位置.一.解答题(共30小题)1.(2022春•灵宝市月考)若a=,b=,求下列代数式的值.(1)a2b+ab2;(2)a2﹣ab+b2.【分析】(1)根据二次根式的加法法则、减法法则分别求出ab,a+b,再根据平方差公式计算;(2)根据完全平方公式计算.【解答】解:∵a=,b=,∴ab))=4,a+b)+)=(1)a2b+ab2=ab(a+b)=4×=(2)a2﹣ab+b2=(a+b)2﹣3ab=(2﹣12=20﹣12=8.2.(2022秋•龙岗区期中)已知a=2b=2(1)填空:a+b= 4 ,ab= ﹣2 ;(2)求a2﹣3ab+b2+(a+1)(b+1)的值.【分析】(1)根据二次根式的加法法则、乘法法则计算即可;(2)根据完全平方公式、多项式乘多项式的运算法则把原式变形,代入计算,得到答案.【解答】解:(1)∵a=2+b=2∴a+b=(2+(24,ab=(2(24﹣6=﹣2,故答案为:4;﹣2;(2)a2﹣3ab+b2+(a+1)(b+1)=a2﹣3ab+b2+ab+a+b+1=a2+2ab+b2﹣4ab+a+b+1=(a+b)2﹣4ab+a+b+1=42﹣4×(﹣2)+4+1=16+8+4+1=29.3.(2022秋•宁德期中)已知:x=y=(1)填空:|x﹣y|= (2)求代数式x2+y2﹣2xy的值.【分析】(1)根据二次根式的减法运算法则计算即可.(2)将代数式转化为(x﹣y)2,再分别求出x﹣y和xy的值,进而可得答案.【解答】解:(1)|x﹣y|=||=+=故答案为:(2)x2+y2﹣5xy=(x﹣y)2,∵x﹣y=∴(x﹣y)2﹣3xy=(2=8.即代数式x2+y2﹣2xy的值为8.4.(2022秋•三水区期中)(1)计算(直接写结果):(3+2=2=(2)把4+a+b)2的形式为 (1+(3)已知a,求代数式a2+2a+3的值.【分析】(1)用完全平方公式展开,再合并即可;(2)用完全平方公式可得答案;(3)将已知变形,可得a2+2a+1=7,从而可得答案.【解答】解:(1)(32=+2=(12=1﹣+5=6﹣故答案为:6﹣(2)+2=(1+2,故答案为:(1+2;(3)∵a=1,∴a+1=∴a2+2a+1=7,∴a2+2a+3=9.5.(2022秋•重庆期中)(1+⋯+(2)已知:a=a2+5a−1a的值.【分析】(1)先分母有理化,再相加合并同类二次根式;(2)将a的值分母有理化后代入计算即可.【解答】解:(1)原式=++...+(2)∵a2,∴a2+5a−1 a2)2+52)−1=5﹣10+2)=5﹣102=﹣3.6.(2022秋•济南期中)已知x 2,y=2.(1)对x,y进行化简;(2)求x2+xy+y2的值.【分析】(1)利用分母有理化即可;(2)先计算出x +y =xy =2,再根据完全平方公式得到x 2+xy +y 2=(x +y )2﹣xy ,然后利用整体代入的方法计算.【解答】解:(1)x =2=1,y =2=+1;(2)∵x =1,y =1,∴x +y =xy =3﹣1=2,∴x 2+xy +y 2=(x +y )2﹣xy =(2﹣2=10.7.(2022秋•x =5,y =15.【分析】利用二次根式的相应的法则进行化简,再代入相应的值运算即可.【解答】解:x−y==当x =5,y =15时,原式==8.(2022秋•锦江区校级月考)已知x =2y =2+(1)求xy 2﹣x 2y 的值;(2)若x 的小数部分是a ,y 的整数部分是b ,求ax +by 的值.【分析】(1)利用提公因式法,进行计算即可解答;(2)先估算出22+a ,b 的值,然后代入式子中进行计算即可解答.【解答】解:(1)∵x =2y =2+∴xy =(2(2+4﹣3=1,y ﹣x =2+(222+=∴xy 2﹣x 2y=xy(y﹣x)=1×=(2)∵1<3<4,∴12,∴3<2+4,∴23,∴b=3,∵12,∴﹣2<−1,∴0<21,∴20,小数部分=20=2∴a=2∴ax+by=(2(2+3(2=7﹣=13∴ax+by的值为139.(2022秋•皇姑区校级期中)阅读理解:已知x=1,求代数式x2﹣2x﹣5的值.王红的做法是:根据x+1得(x﹣1)2=2,∴x2﹣2x+1=2,得:x2﹣2x=1.把x2﹣2x作为整体代入:得x2﹣2x﹣5=1﹣5=﹣4.即:把已知条件适当变形,再整体代入解决问题.请你用上述方法解决下面问题:(1)已知x2,求代数式x2+4x﹣5的值;(2)已知x x3+x2+1的值.【分析】(1)仿照阅读材料解答即可;(2)把已知变形可得x2+x=1,代入即可求出答案.【解答】解:(1)∵x2,∴x+2=∴(x+2)22,∴x 2+4x =﹣1,∴x 2+4x ﹣5=﹣6;(2)∵x =2,∴2x +1=∴(2x +1)22,变形整理得:x 2+x =1,∴x 3+x 2+1=x (x 2+x )+1=x +1110.(2022秋•嘉定区月考)已知m =1,n =1,求m 2﹣mn +n 2的值.【分析】先根据分母有理化化简m 与n 的值,然后利用配方法即可求出答案.【解答】解:由题意可知:m ==2n ==2,∴m +n =﹣mn =(2(2)=﹣1,∴原式=(m +n )2﹣3mn=12﹣3×(﹣1)=15.11.(2022秋•虹口区校级期中)已知a +b =﹣4,ab =1,求:【分析】根据题意确定a 、b 的符号,根据二次根式的性质、完全平方公式把原式变形,代入计算即可.【解答】解:∵a +b =﹣4,ab =1,∴a <0,b <0,则原式=﹣a b =(a b +b a)==•(a b)2−2abab=﹣1×(−4)2−21=﹣14.12.(2022春•彭州市校级月考)已知x=y (1)xy;(2)x2+3xy+y2.【分析】(1)利用平方差公式进行运算即可;(2)利用完全平方公式及平方差公式进行运算即可.【解答】解:(1)xy=11=1 7−5=1 2;(2)x2+3xy+y2=(x+y)2+xy=(11)2+122+1 22+12=7+12=712.13.(2022秋•海淀区校级期末)已知x=y x2+3xy+y2的值.【分析】把所求的式子变形成(x+y)2+xy的形式,然后代入数值计算即可.【解答】解:原式=(x+y)2+xy,当x=y=原式=(2+=12+3﹣2=14.14.(2022秋•嘉定区校级月考)已知x =1,求代数式1x −x 2−5x 4的值.【分析】利用分母有理化把x 的值化简,根据分式的混合运算法则把原式化简,代入计算即可.【解答】解:x =1=2+4,∴原式=1x −=1x+x−4(x−4)(x−1) =1x +1x−1=2+=2+15.(2022秋•武侯区校级月考)已知a =b (1)a 2﹣ab +b 2;(2)b a+a b .【分析】利用分母有理化把a 、b 化简,根据二次根式的加法法则求出a +b ,根据二次根式的乘法法则求出ab ;(1)根据完全平方公式把原式变形,代入计算即可;(2)根据分式的加法法则、完全平方公式把原式变形,代入计算,得到答案.【解答】解:a ===3﹣b ==则a +b =3﹣+6,ab =(3﹣(1,(1)a 2﹣ab +b 2=(a +b )2﹣3ab=36﹣3=33;(2)b a +a b =a 2b 2ab =(a b )2−2ab ab=34.16.(2022秋•安溪县校级月考)已知x =1,y =1.①化简x 和y .②求代数式x 2y +xy 2的值.【分析】①利用分母有理化化简x 和y ;②先计算出x +y 与xy 的值,再利用因式分解法得到x 2y +xy 2=xy (x +y ),然后利用整体代入的方法计算.【解答】解:①x ==2y =12②∵x +y =4,xy =4﹣3=1,∴x 2y +xy 2=xy (x +y )=1×4=4.17.(2022秋•杏花岭区校级月考)小明在解决问题:已知a =1.求2a 2﹣8a +1的值,他是这样分析与解的:∵a =12a ﹣2=∴(a ﹣2)2=3,a 2﹣4a +4=3∴a 2﹣4a =﹣1∴2a 2﹣8a +1=2(a 2﹣4a )+1=2×(﹣1)+1=﹣1请你根据小明的分析过程,解决如下问题:(1)化简111⋯(2(填“>”或“<”)(3)A 题:若a =+1,则a 2﹣2a +3= 4 .B 题:若a 1,则4a 2﹣+7= 5 .【分析】(1)根据分母有理化的方法化简即可;(2(3)A 题:由a =+1,可得a ﹣1=(a ﹣1)2=2,从而可得a 2﹣2a =1,进一步求解即可;B 题:由a =1,可得a 2a 1,两边同时作平方,可得4a 2=−2,进一步求解即可.【解答】解:(1⋯=+⋯==;(2)1=故答案为:>;(3)A 题:∵a =1,∴a ﹣1=∴(a ﹣1)2=2,即a 2﹣2a +1=2,∴a 2﹣2a =1,∴a 2﹣2a +3=4,故答案为:4;B 题:∵a 1,∴a∴2a 1,∴2=1,即4a 2+3=1,∴4a 2=−2,∴4a 2﹣+7=5,故答案为:5.18.(2022秋•榆树市月考)已知a =4﹣b =(1)求ab ,a ﹣b 的值;(2)求2a 2+2b 2﹣a 2b +ab 2的值.【分析】(1)根据二次根式的乘法法则和二次根式的减法法则求出即可;(2)先分解因式得出原式=2[(a ﹣b )2+2ab ]﹣ab (a ﹣b ),代入后根据二次根式的运算法则进行计算即可.【解答】解:(1)∵a=4﹣b=∴ab=(4﹣×(=42﹣(2=16﹣12=4;a﹣b=(4﹣=4﹣4﹣=﹣(2)由(1)知:ab=4,a﹣b=﹣所以2a2+2b2﹣a2b+ab2=2(a2+b2)﹣ab(a﹣b)=2[(a﹣b)2+2ab]﹣ab(a﹣b)=2×[(﹣2+2×4]﹣4×(﹣=2×(48+8)=2×=19.(2022秋•沈阳月考)已知:x=y=(1)填空:|x﹣y|= 2(2)求代数式x2+y2﹣5xy的值.【分析】(1)根据二次根式的减法运算法则计算即可.(2)将代数式转化为(x﹣y)2﹣3xy,再分别求出x﹣y和xy的值,进而可得答案.【解答】解:(1)|x﹣y|=||=+=故答案为:(2)x2+y2﹣5xy=(x﹣y)2﹣3xy,∵x﹣y=xy×3﹣2=1,∴(x﹣y)2﹣3xy=(2−3×1=8﹣3=5.即代数式x2+y2﹣5xy的值为5.20.(2021秋•苏州期中)已知x=y(1)x2﹣y2;(2)x2﹣2xy+y2.【分析】(1)将x、y的值代入到原式=(x+y)(x﹣y)计算即可;(2)将x、y的值代入到原式=(x﹣y)2计算即可.【解答】解:(1)当x y=原式=(x+y)(x﹣y)×=2×(1=2﹣(2)当x=y原式=(x﹣y)22=(12=1﹣2=3﹣21.(2022春•阳新县期末)计算:(1)(2+22﹣;(2)化简求值:已知a=1,求a2−a−a28a16a4的值.【分析】(1)利用完全平方公式和二次根式的乘法法则运算;(2)先利用完全平方公式和二次根式的性质化简得到原式=a(a−1)|a−1|−(a+4),再利用a的值去绝对值,然后合并即可.【解答】解:(1)原式=2﹣12=18;(2)原式a=a(a−1)|a−1|−(a+4),∵a1,∴a﹣1=2>0,∴原式=a(a−1)(a−1)−a﹣4=a﹣a﹣4=﹣4.22.(2021秋•洛宁县月考)学习了二次根式的乘除后,李老师给同学们出了这样一道题:已知a,解:原式=a−1(a1)(a−1)=1a1.当a时,原式11=李老师看了之后说:小明错误地运用了二次根式的性质,请你指出小明错误地运用了二次根式的哪条性质,并写出正确的解题过程.|a|这条性质;利用a=1得到a﹣1<0,则原式=−(a−1)(a1)(a−1),约分得到原式=−1a1,然后把a的值代入计算即可.|a|这条性质;正确解法为:原式=|a−1|(a1)(a−1),∵a1,∴a﹣1<0,∴原式=−(a−1) (a1)(a−1)=−1 a1=−11=23.(2019春•番禺区月考)已知x=+1,y=1,求下列各式的值:(1)x2+2xy+y2,(2)yx−xy【分析】(1)将所求式子因式分解得到x 2+2xy +y 2=(x +y )2,再将已知代入即可;(2)化简所求式子得到y x −x y =(y x)(y−x)xy,再将已知代入.【解答】解:(1)∵x +1,y 1,∴x 2+2xy +y 2=(x +y )211)2=(2=12;(2)y x −x y =y 2−x 2xy =(y x)(y−x)xy ==−24.(2021春•江汉区期中)(1)已知x =2,y =2,求下列各式的值:①1x+1y ;②x 2﹣xy +y 2;(2+=8【分析】(1)①根据x =+2,y =2,可以得到xy 、x +y 的值,然后即可求得所求式子的值;②将所求式子变形,然后根据x =2,y 2,可以得到xy 、x +y 的值,从而可以求得所求式子的值;(2)根据完全平方公式和换元法可以求得所求式子的值.【解答】解:(1)①1x+1y =y x xy ,∵x +2,y 2,∴x +y =xy =3,当x +y =xy =3时,原式=②x 2﹣xy +y 2=(x +y )2﹣3xy ,∵x +2,y 2,∴x +y =xy =3,当x +y =xy =3时,原式=(2﹣3×3=19;(2=x y ,则39﹣a 2=x 2,5+a 2=y 2,∴x 2+y 2=44,8,∴(x +y )2=64,∴x 2+2xy +y 2=64,∴2xy =64﹣(x 2+y 2)=64﹣44=20,∴(x ﹣y )2=x 2﹣2xy +y 2=44﹣20=24,∴x ﹣y =±4<−故答案为:﹣25.(2020春•海陵区校级期中)当a +1a a 的值.【分析】根据二次根式的性质、分式的混合运算法则计算即可.【解答】解:∵a =∴a ﹣1<0,∴原式=1a a =1−a a(a−1)+1a a=−1a +1a a =1.26.(2019秋•|b−3|=0(1)求1(2)设x =y =,求1x+1y 的值.【分析】(1)先利用非负数的性质得到a =2,b =3+和二次根式的除法法则运算;(2)由于x y =,则1x +1y =11,然后分母有理化后合并即可.【解答】解:(1+|b−3|=0,∴a ﹣2=0,b ﹣3=0,∴a =2,b =3,∴1=1(2)∵x ==y +∴1x +1y =11+=27.(2018秋•东营区校级期中)求值:(1)已知a =b =3﹣a 2+ab +b 2的值;(2)已知:y 25﹣3x 的值.【分析】(1)根据a =b =3﹣a +b )2﹣ab 进行计算即可;(2)依据被开方数为非负数,即可得到x =23,进而得出y >2+5﹣3x 的值.【解答】解:(1)∵a =b =3﹣∴a 2+ab +b 2=a 2+2ab +b 2﹣ab=(a +b )2﹣ab=36﹣1=35;(2)∵3x−2≥02−3x ≥0,∴x ≥23x ≤23,∴x =23,∴y >2,5﹣3x5﹣3x =|y−2|−(y−2)+5﹣3x=﹣1+5﹣3x=4﹣3x =4﹣3×23=2.28.(2022秋•灞桥区校级月考)已知a =1,b 1,求代数式【分析】先将a ,b 分母有理化,再计算出a ﹣b 与ab 而可得出答案.【解答】解:∵a ==b =1=∴a ﹣b =ab =1,=29.(2022春•藁城区校级期中)求代数式a a =1011,如图所示的是小亮和小芳的解答过程.(1) 小亮 的解法是错误的;(2)求代数式a a =﹣2022.【分析】(1)先将被开方式进行因式分解,然后根据二次根式的性质进行化简,从而作出判断;(2)先将被开方式进行因式分解,然后根据二次根式的性质进行化简,最后代入求值.【解答】解:(1)小亮的解法是错误的,理由如下:原式=a +∵a =1011,∴1﹣a <0,∴原式=a +a ﹣1=2a ﹣1=2×1011﹣1=2021,故答案为:小亮;(2)原式=a ∵a =﹣2022,∴a ﹣3<0,∴原式=a +2(3﹣a )=a +6﹣2a=6﹣a=6﹣(﹣2022)=6+2022=2028.30.(2022春•赤坎区校级期末)阅读下面的材料,解答后面给出的问题:两个含有二次根式的代数式相乘,如果它们的积不含有二次根式,我们就说这两个代数式互为有理化因11.这样,化简一个分母含有二次根式的式子时,采用分子、分母同乘,2(1)请你写出3+的有理化因式: 3−(2b ≥0且b ≠1);(3)已知a 1,b =1,求【分析】(1)根据有理化因式的定义即可解答;(2)根据一个分母含有二次根式的式子时,采用分子、分母同乘以分母的有理化因式的方法进行化简;(3)通过分母有理化可化简a 、b ,从而求出a +b 、ab =a +b ,ab 的值代入即可求解.【解答】解:(1)∵(3+(39﹣11=﹣2,∴33故答案为:3(2)1−b=1(3)∵a =1=2,b 1=2∴a +b =﹣ab =﹣1,====4.。
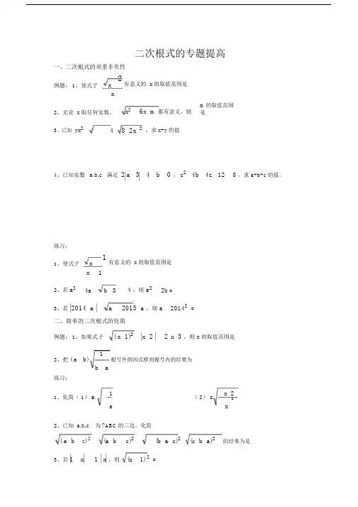
二次根式的专题提高一、二次根式的双重非负性例题: 1、使式子x 2有意义的 x 的取值范围是x2、无论 x 取任何实数,x2 6x m 都有意义,则m的取值范围是3、已知yx2 4 8 2x 2,求 x+y 的值4、已知实数a,b,c满足2 a 3 4 b 0 ,c24b 4c 12 0 ,求a+b+c的值。
练习:1、使式子x 1有意义的 x 的取值范围是x 12、若a2 4a b 3 4 ,则 a2 2b =3、若2014 a a 2015 a ,则a 20142 =二、简单的二次根式的化简例题: 1、如果式子( x 1)2 x 2 2 x 3 ,则x的取值范围是12、把( a b)根号外的因式移到根号内的结果为b a练习:1、化简( 1)a 1( 2)xx 2 a2x2、已知 a,b,c 为 ?ABC的三边,化简( a b c) 2 (a b c)2 (b a c)2 (c b a)2 的结果为是3、若1 x 1 x ,则(x 1) 2=三、二次根式的运算与规律探究例: 1、察下列各式: 1 1 2 3 4 12 3 1 1 , 1 2 3 4 5 22 3 2 1,1 3 4 5 6 323 3 1,猜 1 2014 2015 2016 20172、算2015 2016 2017 2018 1 20162的果:1、 n,k 正整数,,,,已知,2、小明做数学,,,,, 按上述律 , 第 n 个等式是3、 S=++⋯ +,求不超S 的最大整数四、分母有理化例:黑白双雄、横江湖;双合璧,天下无.是武侠小中常的描述,其意是指两人合在一起,取短,威力无比.在二次根式中也有种相相成的“ 子”如:,与的不含有根号,我就两个式子互有理化因式,其中一个是另一个的有理化因式.于是二次根式可以解:,像,通分子、分母同乘以一个式子把分母中的根号化去或把根号中的分母化去,叫做分母有理化.解决:①的有理化因式是,1分母有理化得12② 算:③ 算:.④已知,,⑤已知 :,,, 试比较 a、b、 c 的大小 .练习:1、计算( 1 1 1 1 )( 2004 1) =2 23 3 2 20031 20042、已知则3、已知实数x,y 满足, 则的值为五、二次根式的计算综合题例题:计算:(1)6 4 3 3 2( 2)2 6( 3)2 3 2 217 12 2 ( 6 3)( 3 2) 3 2 5练习:计算( 1)( 3 1)20012( 3 1)20002( 3 1)19992001(2)(3)(4)863 8 63 ( 5)1 14 59 30 2 3 66 40 2六、二次根式的求值例题: 1、先化简 , 再求值, 其中,.2、设 m>0,x 3x 1 m ,求代数式x 3x 1 的值3、若,, 求 xy.4、设 a=,求a5+2a4-17a3-a2+18a-17的值.5、正数 m,n 满足, 求的值.练习: 1、已知1x 1 ,那么1x 值是x x2、若,, 则3、当时,多项式的值为4、正实数a,b 满足, 且满足, 求的值5、如果, 求的值.。
《二次根式》培优专题一,二次根式培优专题一、【基础知识精讲】1.二次根式:形如a (其中 a)的式子叫做二次根式。
2.最简二次根式:必须同时满足下列条件:⑴被开方数中不含开方开得尽的;⑵被开方数中不含;⑶分母中不含。
3.同类二次根式:二次根式化成后,若相同,则这几个二次根式就是同类二次根式。
4.二次根式的性质:(1)(a)2=(其中 a)(2)a 2(其中 a)5.二次根式的运算:(1)因式的外移和内移:一定要注意根号内隐含的含字母的代数式的符号或根号外含字母的代数式的符号;如果被开方数是代数和的形式,则先分解因式,变形为积的形式,再移因式到根号外面。
(2)二次根式的加减法:先把二次根式化成最简二次根式再合并同类二次根式.(3)二次根式的乘除法:二次根式相乘(除) 将被开方数相乘(除),所得的积(商)仍作积(商)的式就是.2被开方数。
ab=(其中 a, b);ab=(其中 a, b).(4)分母有理化:把分母中的根号化去,就叫分母有理化,方法是分子分母都乘以分母的有理化因式,两个根式相乘后不再含有根式,这样的两个根式就叫互为有理化因式,如 3 的有理化因式就是 3 ,8的有理化因式可以是 8 也可以是 2 ,a + b 的有理化因a - b(5)有理数的加法交换律、结合律,乘法交换律及结合律,乘法对加法的分配律以及多项式的乘法公式,都适用于二次根式的运算.(6)二次根式的加减乘除运算,最后的结果都要化为最简二次根式.6.双重二次根式的化简:二次根号里又含有二次根式,称之为双重二次根式。
双重二次根式化简的方法是:设 x > 0, y > 0, a > 0,y > 0,且 x + y = a,xy = b,则a + 2b = ( x + y) + 2 xy = ( x ) 2 + ( y ) 2 + 2 x ⋅ y = ( x + y ) 2∴ a + 2 b = x + y如 : 要 化 简5 — 2 6, ∵2 +3 = 5,2 ⨯ 3 = 6∴5 — 26 = ( 2 — 3)= 3 — 2=。
二次根式提高题与常考题型压轴题(含解析)一.选择题(共 13 小题)1. 二次根式中 x 的取值范围是( )A .x >3B .x ≤3 且 x ≠0C .x ≤3D .x <3 且 x ≠02. 计算: ,正确的是()A .4B .C .2D .3. 如图,在长方形 ABCD 中无重叠放入面积分别为 16cm 2 和 12cm 2 的两张正方形纸片,则图中空白部分的面积为( )cm 2.A .16﹣8B .﹣12+8C .8﹣4D .4﹣2 4.若 1<x <2,则的值为()A .2x ﹣4B .﹣2C .4﹣2xD .25.下列计算正确的是( ) A .=2B . =C .=x D . =x6. 下列各式变形中,正确的是()A .x 2•x 3=x 6B .=|x |C .(x 2﹣)÷x=x ﹣1D .x 2﹣x +1=(x ﹣)2+7. 下列二次根式中,与是同类二次根式的是()A .B .C .D .8. 化简+ 的结果为()A .0B .2C .﹣2D .2﹣﹣﹣9. 已知,ab >0,化简二次根式 a 的正确结果是( )A .B .C .﹣D .﹣10. 设 a 为的小数部分,b 为的小数部分.则的值为( )A . +﹣1 B .+1C .﹣1 D .++111. 把中根号外面的因式移到根号内的结果是( )A .B .C .D .12.如果 =2a ﹣1,那么()A .aB .a ≤C .aD .a ≥ 13. 已知:a=,b=,则 a 与 b 的关系是()A .ab=1B .a +b=0C .a ﹣b=0D .a 2=b 2二.填空题(共 17 小题)14. 如果代数式有意义,那么 x 的取值范围为 .15. 在数轴上表示实数 a 的点如图所示,化简+|a ﹣2|的结果为.16.计算:= .17. 观察下列等式:第 1 个等式:a 1== ﹣1, 第 2 个等式:a 2== ,第 3 个等式:a 3==2﹣ , 第 4 个等式:a 4==﹣2,按上述规律,回答以下问题:﹣ ﹣﹣﹣ ﹣﹣ ﹣ (1)请写出第 n 个等式:a n = ;(2)a 1+a 2+a 3+…+a n =.18. 计算 2 的结果是.19. 计算(+)( )的结果等于.20.化简:(0<a <1)=.21. 如果最简二次根式与可以合并,那么使有意义的 x 的取值范围是 .22. 已知 a ,b 是正整数,且满足是整数,则这样的有序数对(a ,b )共有 对.23. 对正实数 a ,b 作定义 a*b=﹣a ,若 2*x=6,则 x=.24.已知 x +y=,x ﹣y=,则 x 4﹣y 4=.25. 已知=(x ,y 为有理数),则 x ﹣y=.26. 已知是正整数,则实数 n 的最大值为. 27. 三角形的三边长分别为 3、m 、5,化简= .28. 若实数 m 满足=m +1,且 0<m <,则 m 的值为.29. 计算下列各式的值:;;;.观察所得结果,总结存在的规律,应用得到的规律可得=.30.观察下列各式:=11+3×1+1,=22+3×2+1, =32+3×3+1,猜测:=.三.解答题(共 10 小题) 31.计算 (1)﹣4+÷﹣﹣(2)(1﹣)(1+)+(1+)2.32.若1<a<2,求+的值.33.已知x,y 都是有理数,并且满足,求的值.34.先化简,再求值:,其中x=﹣3 ﹣(π﹣3)0.35.(1)已知|2012﹣x|+=x,求x﹣20132的值;(2)已知a>0,b>0 且(+ )=3 (+5 ).求的值.36.观察下列各式及其验证过程:(1)按照上述两个等式及其验证过程的基本思路,猜想的变形结果并进行验证;(2)针对上述各式反应的规律,写出用n(n 为任意自然数,且n≥2)表示的等式,并说明它成立.37.先化简,再求值:(+)÷,其中a= +1.38.求不等式组的整数解.39.阅读与计算:请阅读以下材料,并完成相应的任务.古希腊的几何学家海伦在他的《度量》一书中给出了利用三角形的三边求三角形面积的“海伦公式”:如果一个三角形的三边长分别为a、b、c,设p=,则三角形的面积S=.我国南宋著名的数学家秦九韶,曾提出利用三角形的三边求面积的“秦九韶公式”(三斜求积术):如果一个三角形的三边长分别为a、b、c,则三角形的面积S=.(1)若一个三角形的三边长分别是5,6,7,则这个三角形的面积等于.(2)若一个三角形的三边长分别是,求这个三角形的面积.﹣40.已知:y= ++ ,求的值.﹣ ﹣二次根式提高题与常考题型压轴题(含解析)参考答案与试题解析一.选择题(共 13 小题) 1.(2017 春•启东市月考)二次根式中 x 的取值范围是()A .x >3B .x ≤3 且 x ≠0C .x ≤3D .x <3 且 x ≠0【分析】根据二次根式有意义的条件和分式有意义的条件得出 3﹣x ≥0 且 x ≠0, 求出即可. 【解答】解:要使有意义,必须 3﹣x ≥0 且 x ≠0,解得:x ≤3 且 x ≠0, 故选 B .【点评】本题考查了二次根式有意义的条件和分式有意义的条件等知识点,能根据题意得出 3﹣x ≥0 且 x ≠0 是解此题的关键.2.(2017 春•萧ft 区校级月考)计算: A .4B .C .2D .,正确的是( )【分析】直接化简二次根式进而合并求出答案.【解答】解: =2 =. 故选:D .【点评】此题主要考查了二次根式的加减运算,正确化简二次根式是解题关键. 3.(2017 春•嵊州市月考)如图,在长方形 ABCD 中无重叠放入面积分别为 16cm 2 和 12cm 2 的两张正方形纸片,则图中空白部分的面积为()cm 2.﹣A.16﹣8 B.﹣12+8 C.8﹣4 D.4﹣2【分析】根据正方形的面积求出两个正方形的边长,从而求出AB、BC,再根据空白部分的面积等于长方形的面积减去两个正方形的面积列式计算即可得解.【解答】解:∵两张正方形纸片的面积分别为16cm2和12cm2,∴它们的边长分别为=4cm,=2 cm,∴AB=4cm,BC=(2 +4)cm,∴空白部分的面积=(2+4)×4﹣12﹣16,=8 +16﹣12﹣16,=(﹣12+8 )cm2.故选B.【点评】本题考查了二次根式的应用,算术平方根的定义,解题的关键在于根据正方形的面积求出两个正方形的边长.4.(2016•呼伦贝尔)若1<x<2,则的值为()A.2x﹣4 B.﹣2 C.4﹣2x D.2【分析】已知1<x<2,可判断x﹣3<0,x﹣1>0,根据绝对值,二次根式的性质解答.【解答】解:∵1<x<2,∴x﹣3<0,x﹣1>0,原式=|x﹣3|+=|x﹣3|+|x﹣1|=3﹣x+x﹣1=2.故选D.【点评】解答此题,要弄清以下问题:1、定义:一般地,形如(a≥0)的代数式叫做二次根式.当a>0 时,表示a 的算术平方根;当a=0 时,=0;当a 小于0 时,非二次根式(若根号下为负数,则无实数根).2、性质:=|a|.5.(2016•南充)下列计算正确的是()A.=2 B.=C.=x D.=x【分析】直接利用二次根式的性质分别化简求出答案.【解答】解:A、=2 ,正确;B、=,故此选项错误;C、=﹣x ,故此选项错误;D、=|x|,故此选项错误;故选:A.【点评】此题主要考查了二次根式的化简,正确掌握二次根式的性质是解题关键.6.(2016•杭州)下列各式变形中,正确的是()A.x2•x3=x6 B.=|x| C.(x2﹣)÷x=x﹣1 D.x2﹣x+1=(x﹣)2+【分析】直接利用二次根式的性质以及同底数幂的乘法运算法则和分式的混合运算法则分别化简求出答案.【解答】解:A、x2•x3=x5,故此选项错误;B、=|x|,正确;C、(x2﹣)÷x=x﹣,故此选项错误;D、x2﹣x+1=(x﹣)2+,故此选项错误;故选:B.【点评】此题主要考查了二次根式的性质以及同底数幂的乘法运算和分式的混合运算等知识,正确掌握相关运算法则是解题关键. 7.(2016•巴中)下列二次根式中,与是同类二次根式的是( )A .B .C .D .【分析】直接利用同类二次根式的定义分别化简二次根式求出答案. 【解答】解:A 、=3,与不是同类二次根式,故此选项错误;B 、=,与 ,是同类二次根式,故此选项正确;C 、=2 ,与不是同类二次根式,故此选项错误;D 、==,与 不是同类二次根式,故此选项错误;故选:B .【点评】此题主要考查了同类二次根式,正确化简二次根式是解题关键.8.(2016•营口)化简+A .0B .2C .﹣2D .2的结果为( )【分析】根据根式的开方,可化简二次根式,根据二次根式的加减,可得答案.【解答】解:+ 故选:D .=3 +﹣2 =2 ,【点评】本题考查了二次根式的加减,先化简,再加减运算.9.(2016•安徽校级自主招生)已知,ab >0,化简二次根式 a 的正确结果是()A .B .C .﹣D .﹣【分析】直接利用二次根式的性质进而化简得出答案. 【解答】解:∵ab >0,∴a =a × =﹣ .﹣ ﹣﹣ ﹣ 故选:D .【点评】此题主要考查了二次根式的性质与化简,正确应用二次根式的性质是解题关键.10.(2016•邯郸校级自主招生)设 a 为的小数部分,b 为﹣的小数部分.则 的值为()A . +﹣1B . +1C . ﹣1D .++1【分析】首先分别化简所给的两个二次根式,分别求出 a 、b 对应的小数部分, 然后代、化简、运算、求值,即可解决问题. 【解答】解:∵===∴a 的小数部分=﹣1;∵===,∴b 的小数部分=﹣2,∴ = == =.故选 B .【点评】该题主要考查了二次根式的化简与求值问题;解题的关键是灵活运用二﹣ ﹣ ﹣ ﹣﹣= ,﹣次根式的运算法则来分析、判断、解答.11.(2016•柘城县校级一模)把中根号外面的因式移到根号内的结果是()A.B.C.D.【分析】先根据被开方数大于等于0 判断出a 是负数,然后平方后移到根号内约分即可得解.【解答】解:根据被开方数非负数得,﹣>0,解得a<0,﹣a ==.故选A.【点评】本题考查了二次根式的性质与化简,先根据被开方数大于等于0 求出 a 的取值范围是解题的关键,也是本题最容易出错的地方.12.(2016•杨浦区三模)如果=2a﹣1,那么()A.a B.a≤C.a D.a≥【分析】由二次根式的化简公式得到1﹣2a 为非正数,即可求出 a 的范围.【解答】解:∵=|1﹣2a|=2a﹣1,∴1﹣2a≤0,解得:a≥.故选D【点评】此题考查了二次根式的性质与化简,熟练掌握二次根式的化简公式是解本题的关键.13.(2016•临朐县一模)已知:a=,b=,则a 与b 的关系是()A.ab=1 B.a+b=0 C.a﹣b=0 D.a2=b2【分析】先分母有理化求出a、b,再分别代入求出ab、a+b、a﹣b、a2、b2,求出每个式子的值,即可得出选项.【解答】解:a= = =2+ ,b= = =2﹣,A、ab=(2+)×(2﹣)=4﹣3=1,故本选项正确;B、a+b=(2+)+(2﹣)=4,故本选项错误;C、a﹣b=(2+ )﹣(2﹣)=2 ,故本选项错误;D、∵a2=(2+ )2=4+4 +3=7+4 ,b2=(2﹣)2=4﹣4 +3=7﹣4 ,∴a2≠b2,故本选项错误;故选A.【点评】本题考查了分母有理化的应用,能求出每个式子的值是解此题的关键.二.填空题(共17 小题)14.(2017•静安区一模)如果代数式有意义,那么x 的取值范围为 x>﹣2 .【分析】根据二次根式有意义的条件、分式有意义的条件列出不等式,解不等式即可.【解答】解:由题意得,x+2>0,解得,x>﹣2,故答案为:x>﹣2.【点评】本题考查的是二次根式有意义的条件,掌握二次根式中的被开方数必须是非负数是解题的关键.15.(2016•乐ft)在数轴上表示实数a 的点如图所示,化简+|a﹣2|的结果为 3 .【分析】直接利用二次根式的性质以及绝对值的性质分别化简求出答案.﹣ 【解答】解:由数轴可得:a ﹣5<0,a ﹣2>0, 则+|a ﹣2|=5﹣a +a ﹣2 =3.故答案为:3.【点评】此题主要考查了二次根式的性质以及绝对值的性质,正确掌握掌握相关性质是解题关键.16.(2016•聊城)计算:= 12 .【分析】直接利用二次根式乘除运算法则化简求出答案. 【解答】解:=3 ×÷ =3=12.故答案为:12.【点评】此题主要考查了二次根式的乘除运算,正确化简二次根式是解题关键. 17.(2016•黄石)观察下列等式:第 1 个等式:a 1= =﹣1, 第 2 个等式:a 2== , 第 3 个等式:a 3==2﹣ , 第 4 个等式:a 4==﹣2,按上述规律,回答以下问题:(1) 请写出第 n 个等式:a n == ﹣ ; ;(2)a 1+a 2+a 3+…+a n = ﹣1 .﹣ ﹣ ﹣ 【分析】(1)根据题意可知,a 1== ﹣1,a 2== =﹣2,…由此得出第 n 个等式:a n ==(2) 将每一个等式化简即可求得答案.【解答】解:(1)∵第 1 个等式:a 1==﹣1,,a 3==2﹣ ,a 4=;第 2 个等式:a 2== , 第 3 个等式:a 3==2﹣ , 第 4 个等式:a 4==﹣2, ∴第 n 个等式:a n ==;(2)a 1+a 2+a 3+…+a n=( ﹣1)+( =﹣1.)+(2﹣ )+(﹣2)+…+()故答案为=;﹣1.【点评】此题考查数字的变化规律以及分母有理化,要求学生首先分析题意,找到规律,并进行推导得出答案.18.(2016•哈尔滨)计算 2的结果是 ﹣2 .【分析】先将各个二次根式化成最简二次根式,再把同类二次根式进行合并求解即可.【解答】解:原式=2×﹣3=﹣3=﹣2,故答案为:﹣2.【点评】本题考查了二次根式的加减法,解答本题的关键在于掌握二次根式的化简与同类二次根式合并.﹣ ﹣ ﹣ ﹣ ﹣19.(2016•天津)计算(+)()的结果等于 2 .﹣【分析】先套用平方差公式,再根据二次根式的性质计算可得.【解答】解:原式=()2﹣()2=5﹣3=2,故答案为:2.【点评】本题考查了二次根式的混合运算的应用,熟练掌握平方差公式与二次根式的性质是关键.20.(2016•博野县校级自主招生)化简:(0<a<1)= ﹣a .【分析】结合二次根式的性质进行化简求解即可.【解答】解:==|a﹣|.∵0<a<1,∴a2﹣1<0,∴a﹣=<0,∴原式=|a﹣|=﹣(a﹣)=﹣a.故答案为:﹣a.【点评】本题考查了二次根式的性质与化简,解答本题的关键在于熟练掌握二次根式的性质及二次根式的化简.21.(2016•绵阳校级自主招生)如果最简二次根式与可以合并,那么使有意义的x 的取值范围是x≤10 .【分析】根据二次根式可合并,可得同类二次根式,根据同类二次根式,可得 a 的值,根据被开方数是非负数,可得答案.【解答】解:由最简二次根式与可以合并,得3a﹣8=17﹣2a.解得a=5.由有意义,得20﹣2x≥0,解得x≤10,故答案为:x≤10.【点评】本题考查了同类二次根式,利用同类二次根式得出关于a 的方程是解题关键.22.(2016•温州校级自主招生)已知a,b 是正整数,且满足是整数,则这样的有序数对(a,b)共有7 对.【分析】A,B 只能是15n2,然后分别讨论及的取值,最终可确定有序数对的个数.【解答】解:15 只能约分成3,5那么A,B 只能是15n2先考虑A 这边:①,那么B 可以这边可以是1 或者,此时有:(15,60),(15,15),(60,15),②,只能B 这边也是,此时有:(60,60),③,那么B 这边也只能是,∴2×(+ )=1,此时有:(240,240)④ 的话,那么 B 这边只能是,那么2( + )=1,﹣此时有:(135,540),(540,135).综上可得共有 7 对. 故答案为:7.【点评】本题考查二次根式的化简求值,难度较大,关键是根据题意分别讨论及的取值.23.(2016•福州自主招生)对正实数a ,b 作定义a*b=﹣a ,若2*x=6,则x= 32 .【分析】根据定义把 2*x=6 化为普通方程,求解即可. 【解答】解: ∵a*b=﹣a , ∴2*x=﹣2,∴方程 2*x=6 可化为﹣2=6,解得 x=32,故答案为:32【点评】本题主要考查二次根式的化简,利用新定义把方程化为普通方程是解题的关键.24.(2016•黄冈校级自主招生)已知 x +y=,x ﹣y=,则 x 4﹣y 4=.【分析】把所给式子两边平方再相加可先求得 x 2+y 2,再求得 x 2﹣y 2,可求得答案. 【解答】解: ∵x +y=,x ﹣y=, ∴(x +y )2=x 2+2xy +y 2=()2=+,(x ﹣y )2=x 2﹣2xy +y 2=()2=,∴x 2+y 2=,又 x 2﹣y 2=( x +y ) ( x ﹣y ) =() () =﹣﹣ =1,∴x 4﹣y 4=(x 2+y 2)(x 2﹣y 2)=,故答案为:.【点评】本题主要考查二次根式的化简,利用乘法公式分别求得 x 2+y 2 和 x 2﹣y 2 的值是解题的关键.25.(2016•黄冈校级自主招生)已知=(x ,y 为有理数),则 x ﹣y= 1 .【分析】把已知条件两边平方,整理可得到 x +y ﹣2,结合 x 、y 均为有理数,可求得 x 、y 的值,可求得答案. 【解答】解:∵=, ∴()2=()2,即 2﹣3=x + y ﹣2,∴x +y ﹣2=2﹣ =+﹣2,∵x ,y 为有理数, ∴x +y= +,xy= ×, 由条件可知 x >y , ∴x= ,y= , ∴x ﹣y=1, 故答案为:1.【点评】本题主要考查二次根式的化简,由条件求得 x 、y 的值是解题的关键.26.(2016 春•固始县期末)已知是正整数,则实数 n 的最大值为 11 .【分析】根据二次根式的意义可知 12﹣n ≥0,解得 n ≤12,且 12﹣n 开方后是正整数,符合条件的 12﹣n 的值有 1、4、9…,其中 1 最小,此时 n 的值最大.﹣﹣【解答】解:由题意可知 12﹣n 是一个完全平方数,且不为 0,最小为 1, 所以 n 的最大值为 12﹣1=11.【点评】主要考查了二次根式有意义的条件,二次根式的被开方数是非负数.27.(2016•ft 西模拟)三角形的三边长分别为 3、m 、5,化简=2m ﹣10 .【分析】先利用三角形的三边关系求出 m 的取值范围,再化简求解即可. 【解答】解:∵三角形的三边长分别为 3、m 、5, ∴2<m <8,∴故答案为:2m ﹣10.=m ﹣2﹣(8﹣m )=2m ﹣10.【点评】本题主要考查了二次根式的性质与化简及三角形三边关系,解题的关键是熟记三角形的三边关系.28.(2016•武侯区模拟)若实数 m 满足=m +1,且 0<m <,则 m 的值为 .【分析】直接利用二次根式的性质化简进而得出关于 m 的等式即可得出答案. 【解答】解:∵=m +1,且 0<m <,∴2﹣m=m +1, 解得:m=. 故答案为:.【点评】此题主要考查了二次根式的性质与化简,正确开平方是解题关键. 29.(2016•龙岩模拟)计算下列各式的值:;; ; .﹣观察所得结果,总结存在的规律,应用得到的规律可得=102016 .【分析】直接利用已知数据计算得出结果的变化规律进而得出答案.【解答】解:=10;=100=102;=1000=103;=10000=104,可得=102016.故答案为:102016.【点评】此题主要考查了二次根式的性质与化简,正确得出结果变化规律是解题关键.30.(2016•丹东模拟)观察下列各式:=11+3×1+1,=22+3× 2+1,=32+3× 3+1,猜测:= 20112+3×2011+1 .【分析】根据题意得出数字变换规律进而得出答案.【解答】解:由题意可得:=20112+3×2011+1.故答案为:20112+3×2011+1.【点评】此题主要考查了二次根式的化简,正确得出数字变化规律是解题关键.三.解答题(共10 小题)31.(2017 春•临沭县校级月考)计算(1)﹣4 + ÷(2)(1﹣)(1+)+(1+)2.【分析】(1)先进行二次根式的除法运算,然后化简后合并即可;(2)利用完全平方公式和平方差公式计算.【解答】解:(1)原式=3﹣2 +=3 ﹣2 +2=3 ;(2)原式=1﹣5+1+2+5=2+2 .【点评】本题考查了二次根式的混合运算:先把各二次根式化简为最简二次根式,然后进行二次根式的乘除运算,再合并即可.32.(2017 春•沂源县校级月考)若1<a<2,求+的值.【分析】根据a 的范围即可确定a﹣2 和a﹣1 的符号,然后根据算术平根的意义进行化简求值.【解答】解:∵1<a<2,∴a﹣2<0,a﹣1>0.则原式=+=+=﹣1+1=0.【点评】本题考查了二次根式的化简求值,正确理解算术平方根的意义,理解=|a|是关键.33.(2017 春•启东市月考)已知x,y 都是有理数,并且满足,求的值.【分析】观察式子,需求出x,y 的值,因此,将已知等式变形:,x,y 都是有理数,可得,求解并使原式有意义即可.【解答】解:∵,∴.∵x,y 都是有理数,∴x2+2y﹣17 与y+4 也是有理数,∴解得∵有意义的条件是x≥y,∴取x=5,y=﹣4,∴.【点评】此类问题求解,或是转换式子,求出各个未知数的值,然后代入求解.或是将所求式子转化为已知值的式子,然后整体代入求解.34.(2016•锦州)先化简,再求值:,其中x=﹣3﹣(π﹣3)0.【分析】先根据分式混合运算的法则把原式进行化简,再把化简后x 的值代入进行计算即可.【解答】解:,=÷,=×,=.x= ﹣3 ﹣(π﹣3)0,=×4=2= ﹣1.﹣1,﹣1,﹣﹣把x=﹣1 代入得到:== .即= .【点评】本题考查的是分式的化简求值,在解答此类题目时要注意通分及约分的灵活应用.35.(2016•湖北校级自主招生)(1)已知|2012﹣x|+=x,求x﹣20132的值;(2)已知a>0,b>0 且(+ )=3 (+5 ).求的值.【分析】(1)由二次根式有意义的条件可知x≥2013,然后化简得=2012,由算术平方根的定义可知:x﹣2013=20122,最后结合平方差公式可求得答案.(2)根据单项式乘多项式的法则把(+)=3 (+5)进行整理,得出a﹣2﹣15b=0,再进行因式分解得出(﹣5)(+3)=0,然后根据a>0,b>0,得出﹣5 =0,求出a=25b,最后代入要求的式子约分即可得出答案.【解答】解:(1)∵x﹣2013≥0,∴x≥2013.∴x﹣2012+ =x.∴=2012.∴x﹣2013=20122.∴x=20122+2013.∴x﹣20132=20122﹣20132+2013=﹣(2012+2013)+2013=﹣2012.(2)∵(+)=3(+5),∴a+=3 +15b,∴a﹣2 ﹣15b=0,∴(﹣5)(+3)=0,∵a>0,b>0,∴﹣5 =0,∴a=25b,∴原式== =2.【点评】本题主要考查的是二次根式的混合运算,用到的知识点是二次根式有意义的条件、绝对值的化简、算术平方根的性质、平方差公式的应用,第(1)题求得x﹣2013=20122,第(2)求出a=25b 是解题的关键.36.(2016•ft西模拟)观察下列各式及其验证过程:(1)按照上述两个等式及其验证过程的基本思路,猜想的变形结果并进行验证;(2)针对上述各式反应的规律,写出用n(n 为任意自然数,且n≥2)表示的等式,并说明它成立.【分析】根据观察,可得规律,根据规律,可得答案.【解答】解:(1)5=验证:5====;(2)n = ,证明:n = = = = .【点评】本题考查了二次根式的性质与化简,运用n=的规律是解题关键.37.(2016•仙游县校级模拟)先化简,再求值:(+)÷,其中a=+1.【分析】利用通分、平方差公式等将原式化简为,代入a 的值即可得出结论.【解答】解:原式=(+)÷,=•,=•,=.当a= +1 时,原式==.【点评】本题考查了分式的化简求值,解题的关键是将原式化简成.本题属于基础题,难度不大,解决该题型题目时,先将原代数式进行化简,再代入数据求值是关键.38.(2016•高邮市一模)求不等式组的整数解.【分析】首先解不等式组,注意系数化“1”时,这两个不等式的系数为负数,不等号的方向要改变.还要注意题目的要求,按要求解题.【解答】解:整理不等式组,得∴∴∴;∴不等式组的整数解为﹣2,﹣1,0.【点评】此题考查了一元一次不等式组的解法.要注意系数化“1”时,系数是正还是负,正不等号的方向不变,负不等号的方向改变.还要注意审题,根据题意解题.39.(2016•太原一模)阅读与计算:请阅读以下材料,并完成相应的任务.古希腊的几何学家海伦在他的《度量》一书中给出了利用三角形的三边求三角形面积的“海伦公式”:如果一个三角形的三边长分别为a、b、c,设p=,则三角形的面积S=.我国南宋著名的数学家秦九韶,曾提出利用三角形的三边求面积的“秦九韶公式”(三斜求积术):如果一个三角形的三边长分别为a、b、c,则三角形的面积S=.(1)若一个三角形的三边长分别是5,6,7,则这个三角形的面积等于 6 .(2)若一个三角形的三边长分别是,求这个三角形的面积.【分析】(1)把a、b、c 的长代入求出S2,再开方计算即可得解;(2)把a、b、c 的长代入求出S2,再开方计算即可得解.【解答】解:(1)p===9,S===6 .答:这个三角形的面积等于6.(2)S===== .答:这个三角形的面积是. 故答案为:6.【点评】本题考查了二次根式的应用,难点在于对各项整理利用算术平方根的定义计算.40.(2016 春•饶平县期末)已知:y=++ ,求的值.【分析】首先根据二次根式中的被开方数必须是非负数,求出 x 的值是多少,进而求出 y 的值是多少;然后把求出的 x 、y 的值代入化简后的算式即可. 【解答】解:∵+有意义,∴,解得 x=8, ∴y= ++=++=0+0+= ∴=﹣ ﹣ ﹣=== =【点评】此题主要考查了二次根式有意义的条件,要熟练掌握,解答此题的关键是要明确:二次根式中的被开方数必须是非负数,否则二次根式无意义.单纯的课本内容,并不能满足学生的需要,通过补充,达到内容的完善教育之通病是教用脑的人不用手,不教用手的人用脑,所以一无所能。
【最新整理,下载后即可编辑】二次根式典型习题训练一、概念(一)二次根式1x、x>0)1x y+(x≥0,y•≥0).(二)最简二次根式1y>0)化为最简二次根式结果是().A(y>0)By>0)C(y>0)D2.(x≥0)3._________.4. 已知〉xy0,化简二次根式_________.(三)同类二次根式1是同类二次根式的是().A.①和②B.②和③C.①和④D.③和④2、是同类二次根式的有______3.若最简根式3a是同类二次根式,求a、b的值.【最新整理,下载后即可编辑】4.n是同类二次根式,求m、n的值.(四)“分母有理化”与“有理化因式”1.+的有理化因式是________;x-的有理化因式是_________.-的有理化因式是_______.2.把下列各式的分母有理化(1;(2;(3(4.二、二次根式有意义的条件:1.(1)当x在实数范围内有意义?(2)当x是多少时,+11x+在实数范围内有意义?(3)当x2在实数范围内有意义?(4)当__________2.x有()个.A.0 B.1 C.2 D.无数3.已知,求xy的值.4.5.若11m +有意义,则m 的取值范围是 。
6.要是下列式子有意义求字母的取值范围(1(2) (3)三、二次根式的非负数性1=0,求a 2004+b 2004的值.2,求x y 的3.2440y y -+=,求xy 的值。
四、⎪⎩⎪⎨⎧==a a a 2 的应用 1. a ≥0,比较它们的结果,下面四个选项中正确的是( ).A B C D .2.先化简再求值:当a=9时,求a ≥0x解答如下:甲的解答为:原式(1-a)=1;乙的解答为:原式=a+(a-1)=2a-1=17.两种解答中,_______的解答是错误的,错误的原因是__________.3.若│1995-a│,求a-19952的值.4. 若-3≤x≤2时,试化简│x-2│5.化简).B C.D.A6.把(a-1a-1)移入根号内得().AB C.D.五、求值问题:求x2-xy+y2的值1.当x=2.已知a=3+23.已知4.已知4x 2+y 2-4x-6y+10=0,求(23+y -(x 的值.52.236-()的值.(结果精确到0.01)6.先化简,再求值.(-(,其中x=32,y=27.7.当(结果用最简二次根式表示)8. 已知2310-+=x x六、大小的比较的大小。
二次根式—知识讲解(提高)【学习目标】1、理解二次根式及最简二次根式的概念,了解被开方数是非负数的理由.2、理解并掌握下列结论: a ≥0,(a ≥0),(a ≥0),(a ≥0),并利用它们进行计算和化简. 【要点梳理】要点一、二次根式的概念一般地,我们把形如(a ≥0)•的式子叫做二次根式,“”称为二次根号. 要点诠释:二次根式的两个要素:①根指数为2;②被开方数为非负数. 要点二、二次根式的性质 1.a ≥0,(a ≥0); 2.(a ≥0);3..4.积的算术平方根等于积中各因式的算术平方根的积,即(a ≥0,b ≥0).5.商的算术平方根等于被除数的算术平方根与除数的算术平方根的商, 即()a aa b a b b b=÷=÷或(a ≥0,b >0). 要点诠释: (1)二次根式(a ≥0)的值是非负数。
一个非负数可以写成它的算术平方根的形式,即2(0a a a =≥).(22a 2)a 要注意区别与联系:①a 的取值范围不同,2a 中a ≥02a a 为任意值。
②a ≥0时,2a 2a a ;a <0时,2a 2a a -. 要点三、最简二次根式(1)被开方数的因数是整数,因式是整式; (2)被开方数中不含能开得尽方的因数或因式. 满足这两个条件的二次根式叫最简二次根式.要点诠释:二次根式化成最简二次根式主要有以下两种情况: (1) 被开放数是分数或分式; (2)含有能开方的因数或因式.【典型例题】类型一、二次根式的概念1.当x 是__________时,+在实数范围内有意义?【答案】 x ≥-且x ≠-1【解析】依题意,得由①得:x ≥-由②得:x ≠-1 当x ≥-且x ≠-1时,+在实数范围内有意义.【总结升华】本题综合考查了二次根式和分式的概念. 举一反三:【变式】方程480x x y m -+--=,当0y >时,m 的取值范围是( )A .01m << B.m ≥2 C.2m < D.m ≤2【答案】C.类型二、二次根式的性质2.根据下列条件,求字母x 的取值范围:(1); (2).【答案与解析】(1)(2)【总结升华】二次根式性质的运用. 举一反三: 【变式】(春•铁东区校级月考)问题探究:因为,所以,因为,所以请你根据以上规律,结合你的以验化简下列各式:(1);(2).【答案】解:(1)==;(2)==.3.(春•江津区校级月考)我们可以计算出①=2=;=3而且还可以计算=2==3(1)根据计算的结果,可以得到:①当a>0时=a;②当a<0时=.(2)应用所得的结论解决:如图,已知a,b在数轴上的位置,化简﹣﹣.【思路点拨】(1)直接利用a的取值范围化简求出答案;(2)利用a,b的取值范围,进而化简二次根式即可.【答案与解析】解:(1)由题意可得:①当a>0时=a;②当a<0时=﹣a;故答案为:a,﹣a;(2)如图所示:﹣2<a<﹣1,0<b<1,则﹣﹣=﹣a﹣b+(a+b)=0.【总结升华】此题主要考查了二次根式的性质与化简以及实数与数轴,正确化简二次根式是解题关键.类型三、最简二次根式4....+++122389【思路点拨】此类题型为规律题型,应该是在分母有理化的基础上寻找规律. 【答案与解析】原式=1(21)1(32)19-8...(12)(21)(23)(32)+9-8⨯-⨯-⨯++++-+-()(89)()=2132...98-+-++-=91- =2【总结升华】找出规律,是这一类型题的特点,要总结此类题型并加以记忆.举一反三: 【变式】若2323+-的整数部分是a ,小数部分是b ,求22a ab b -+的值.【答案】2(23)(23)==2+3=7+43(23)(23)++-+原式()又因为整数部分是a ,小数部分是b 则a =13,b =436-22221313(436)(436)a ab b ∴-+=-⨯-+-=3311003-二次根式—巩固练习(提高)【巩固练习】一、选择题1. (•贵港)式子在实数范围内有意义,则x 的取值范围是( )A .x <1B .x ≤1C .x >1D .x ≥1 2.使式子有意义的未知数x 有( )个A .0B .1C .2D .无数 3.下列说法正确的是( )A .4是一个无理数B .函数11y x =-的自变量x 的取值范围是x ≥1 C .8的立方根是2±D.若点(2,)-3)P a Q和点(b ,关于x 轴对称,则a b +的值为5. 4.(•蓬溪县校级模拟)下列四个等式:①2(4)4-=;②(﹣)2=16;③()2=4;④2(4)4-=-.正确的是( )A.①②B.③④C.②④D.①③ 5. 若 ,则等于( )A .B .C .D .6.将a a --中的a 移到根号内,结果是( ) A .3a -- B. 3a - C.3a - D.3a 二. 填空题7.当x_________时,式子31xx --没有意义。
【最新整理,下载后即可编辑】二次根式的专题提高一、二次根式的双重非负性例题:1、使式子xx 2-有意义的x 的取值范围是2、无论x 取任何实数,m x x +-62都有意义,则m 的取值范围是3、已知22284x x y -+-=,求x+y 的值4、已知实数a,b,c 满足0432=-++b a ,012442=--+c b c ,求a+b+c 的值。
练习: 1、使式子11--x x 有意义的x 的取值范围是2、若4342-=-+-b a a ,则b a 22-=3、若a a a =-+-20152014,则22014-a =二、简单的二次根式的化简例题:1、如果式子322)1(2-=-+-x x x ,则x 的取值范围是 2、把ab b a --1)(根号外的因式移到根号内的结果为练习: 1、化简(1)aa1- (2)22x x x--2、已知a,b,c 为∆ABC 的三边,化简2222)()()()(a b c c a b c b a c b a -----+--+++的结果为是3、若x1,则2)1-1=x+x=(-三、二次根式的运算与规律探究例题:1、观察下列各式:121312+1431⨯+,⨯=⨯⨯+5463333+⨯+,猜测⨯⨯⨯=12++,1542312⨯3⨯⨯2=+12+⨯2015120142016⨯⨯⨯+2017练习:1、设n,k为正整数,,,,已知,则2、小明做数学题时,发现,,,,按上述规律,第n个等式是3、设S=++…+,求不超过S的最大整数四、分母有理化例题:黑白双雄、纵横江湖;双剑合璧,天下无敌.这是武侠小说中常见的描述,其意是指两人合在一起,取长补短,威力无比.在二次根式中也有这种相辅相成的“对子”如:,与的积不含有根号,我们就说这两个式子互为有理化因式,其中一个是另一个的有理化因式.于是二次根式可以这样解:,像这样,通过分子、分母同乘以一个式子把分母中的根号化去或把根号中的分母化去,叫做分母有理化.1分母有理化解决问题:①的有理化因式是,12得②计算:③计算:.④已知,,则⑤已知:,,,试比较a、b、c的大小.21++++3220032004232、已知则3、已知实数x,y满足,则的值为五、二次根式的计算综合题(2)(3)(4)638638-++(5)24066312305941--+++六、二次根式的求值例题:1、先化简,再求值,其中,.2 3、若,,求xy.4、设a=,求a 5+2a 4-17a 3-a 2+18a-17的值.5、正数m,n 满足,求的值.x x2、若,,则3、当时,多项式的值为4、正实数a,b满足,且满足,求的值5、如果,求的值.。
2 9a 、 125 、3 二次根式典型习题训练一、概念(一)二次根式下列式子,哪些是二次根式,哪些不是二次根式2 、3 3 、 1 x 1、 x (x>0)、 0 、 4 2 、- 2 、 、 x + y (x ≥0,y ≥0).x + y(二)最简二次根式1.把二次根式x y(y>0)化为最简二次根式结果是( ).A . xy xy (y>0) B . xy (y>0) C . (y>0) D .以上都不对y2.化简 x 4 + x 2 y 2 =_________.(x ≥0)3.a - a + 1 a 2化简二次根式号后的结果是_________.4. 已知 xy 〉 0,化简二次根式 x(三)同类二次根式- y x 2的正确结果为_________.1.以下二次根式:① 12 ;②2 2 ;③23;④ 27 中,与 3 是同类二次根式的是( ).A .①和②B .②和③C .①和④D .③和④2.在 8 、 1 2 175a 、 3a 3 、3 0.2 、-2 中,与 3a 是同类二次 3 a 8根式的有______(四) “分母有理化”与“有理化因式”1. 2 + 3 的有理化因式是________; x- y 的有理化因式是_________.- x + 1 - x - 1 的有理化因式是_______.2.把下列各式的分母有理化(1)1 123 3 +4 2 ; (2) ; (3) ; (4) .5 - 1 1 + 2 36 - 2 3 3 - 4 22x-5(3)1-x二、二次根式有意义的条件:1.(1)当x是多少时,3x-1在实数范围内有意义?(2)当x是多少时,2x+3+1x+1在实数范围内有意义?(3)当x是多少时,2x+3x+x2在实数范围内有意义?(4)当__________时,x+2+1-2x有意义。
2.使式子-(x-5)2有意义的未知数x有()个.3.A.0B.1C.2D.无数3.已知y=2-x+x-2+5,求xy的值.4.若3-x+x-3有意义,则x-2=_______.5.若-m+1有意义,则m的取值范围是。
八年级数学二次根式提高培优编辑整理:尊敬的读者朋友们:这里是精品文档编辑中心,本文档内容是由我和我的同事精心编辑整理后发布的,发布之前我们对文中内容进行仔细校对,但是难免会有疏漏的地方,但是任然希望(八年级数学二次根式提高培优)的内容能够给您的工作和学习带来便利。
同时也真诚的希望收到您的建议和反馈,这将是我们进步的源泉,前进的动力。
本文可编辑可修改,如果觉得对您有帮助请收藏以便随时查阅,最后祝您生活愉快业绩进步,以下为八年级数学二次根式提高培优的全部内容。
二次根式典型习题训练一、概念(一)二次根式下列式子,哪些是二次根式,哪些不是二次根式1x x 〉0)1x y +、≥0,y•≥0).(二)最简二次根式1y>0)化为最简二次根式结果是( ).A .(y 〉0) B y 〉0) C (y>0) D .以上都不对2..(x ≥0)3._________.4. 已知〉xy 0,化简二次根式_________. (三)同类二次根式1.以下二次根式:①是同类二次根式的是( ). A .①和② B .②和③ C .①和④ D .③和④2、—是同类二次根式的有______(四) “分母有理化”与“有理化因式”的有理化因式是________;_________.—_______.2。
把下列各式的分母有理化((2;(4.二、二次根式有意义的条件:1.(1)当x在实数范围内有意义?(2)当x是多少时,+11x+在实数范围内有意义?(3)当x+x2在实数范围内有意义?(4)当__________时.2.x有( )个.3.A.0 B.1 C.2 D.无数3.已知,求xy的值.4..5.11m+有意义,则m的取值范围是。
6.要是下列式子有意义求字母的取值范围(1(2(3) (4x(三、二次根式的非负数性1=0,求a 2004+b 2004的值.2,求x y 的3.2440y y -+=,求xy 的值。
四、⎪⎩⎪⎨⎧-==a aa a 2 的应用1. a ≥0().A . C .2.先化简再求值:当a=9时,求 甲的解答为:原式(1—a )=1;乙的解答为:原式=a+(a-1)=2a-1=17.两种解答中,_______的解答是错误的,错误的原因是__________.3.若│1995—a │+=a ,求a-19952的值.a ≥0a <04。
二次根式小结与提高
一、基本概念
(一)二次根式
下列式子,哪些是二次根式,、
1x x>0)
-1x y
+x ≥0,y•≥0). (二)最简二次根式
1(y>0)化为最简二次根式结果是( ).
A
(y>0) B y>0) C (y>0) D .以上都不对
2.(x ≥0)
3._________. (三)同类二次根式
1.以下二次根式:;是同类二次根式的是( ). A .①和② B .②和③ C .①和④ D .③和④
2.在、、是同类二次根式的有______
3.若最简根式3a a 、b 的值.
(四) “分母有理化”
1.把下列各式的分母有理化
(1
(2; (3; (4.
二、二次根式有意义的条件:
1.(1)当x
在实数范围内有意义?
(2)当x 是多少时,
11x +在实数范围内有意义?
(3)当x
是多少时,
x +x 2在实数范围内有意义?
(4)当__________
(5)当__________时,
有意义。
2. x 有( )个.
A .0
B .1
C .2
D .无数
3.已知,求x y
的值.
4. 11m +有意义,则m 的取值范围是 。
5 ).
A .2
B .3
C .4
D .1
6.已知111-的整数部分为a ,小数部分为b ,试求()()111++b a 的值
三、二次根式的非负数性
1,求x y 的
2.2440y y -+=,求xy 的值。
四、⎪⎩⎪⎨⎧-==a a a a 02
a=0 的应用
1. a ≥0 ).
A C .2.先化简再求值:当a=9时,求的值,甲乙两人的解答如下:
甲的解答为:原式(1-a )=1;
乙的解答为:原式(a-1)=2a-1=17.
两种解答中,_______的解答是错误的,错误的原因是__________.
3.化简 ). A ..4.把(a-1a-1)移入根号内得( ). A ..5. 若-3≤x ≤2时,试化简│x-2│
五、求值问题:
1.当y 求x 2-xy+y 2的值
2.已知a 2b-ab 2
=_________. 3. 已知2310x x -+=
a>0 a <0
六、计算
·(m>0,n>0)
2. 22
-
-
友情提示:本资料代表个人观点,如有帮助请下载,谢谢您的浏览!。