高等数学中的导数公式和等价无穷小公式
- 格式:doc
- 大小:110.00 KB
- 文档页数:2
高等数学微积分公式大全一、基本导数公式⑴()0c '= ⑵1x x μμμ-= ⑶()sin cos x x '= ⑷()cos sin x x '=- ⑸()2tan sec x x '= ⑹()2cot csc x x '=-⑺()sec sec tan x x x '=⋅ ⑻()csc csc cot x x x '=-⋅ ⑼()xxe e '= ⑽()ln xxa aa '= ⑾()1ln x x'=⑿()1log ln xax a'= ⒀()arcsin x '= ⒁()arccos x '=⒂()21arctan 1x x '=+ ⒃()21arc cot 1x x '=-+⒄()1x '=⒅'=二、导数的四则运算法则()u v u v '''±=± ()uv u v uv '''=+ 2u u v uv v v '''-⎛⎫= ⎪⎝⎭三、高阶导数的运算法则 (1)()()()()()()()n n n u x v x u x v x ±=±⎡⎤⎣⎦ (2)()()()()n n cu x cu x =⎡⎤⎣⎦(3)()()()()n n nu ax b a uax b +=+⎡⎤⎣⎦(4)()()()()()()()0nn n k k k n k u x v x c u x v x -=⋅=⎡⎤⎣⎦∑四、基本初等函数的n 阶导数公式 (1)()()!n nxn = (2)()()n ax b n ax b e a e ++=⋅ (3)()()ln n x x n a a a =(4)()()sin sin 2n n ax b a ax b n π⎛⎫+=++⋅⎡⎤ ⎪⎣⎦⎝⎭ (5) ()()cos cos 2n nax b a ax b n π⎛⎫+=++⋅⎡⎤ ⎪⎣⎦⎝⎭ (6)()()()11!1n n nn a n ax b ax b +⋅⎛⎫=- ⎪+⎝⎭+ (7) ()()()()()11!ln 1n n n na n axb ax b -⋅-+=-⎡⎤⎣⎦+五、微分公式与微分运算法则⑴()0d c = ⑵()1d x x dx μμμ-= ⑶()sin cos d x xdx =⑷()cos sin d x xdx =- ⑸()2tan sec d x xdx = ⑹()2cot csc d x xdx =-⑺()sec sec tan d x x xdx =⋅ ⑻()csc csc cot d x x xdx =-⋅⑼()x x d e e dx = ⑽()ln x xd a a adx = ⑾()1ln d x dx x=⑿()1logln xad dx x a =⒀()arcsin d x = ⒁()arccos d x =⒂()21arctan 1d x dx x =+ ⒃()21arc cot 1d x dx x=-+ 六、微分运算法则⑴()d u v du dv ±=± ⑵()d cu cdu = ⑶()d uv vdu udv =+ ⑷2u vdu udvd v v -⎛⎫= ⎪⎝⎭七、基本积分公式⑴kdx kx c =+⎰ ⑵11x x dx c μμμ+=++⎰ ⑶ln dx x c x =+⎰⑷ln xxa a dx c a=+⎰ ⑸x x e dx e c =+⎰ ⑹cos sin xdx x c =+⎰ ⑺sin cos xdx x c =-+⎰ ⑻221sec tan cos dx xdx x c x ==+⎰⎰⑼221csc cot sin xdx x c x ==-+⎰⎰⑽21arctan 1dx x c x =++⎰ ⑾arcsin x c =+八、补充积分公式tan ln cos xdx x c =-+⎰ cot ln sin xdx x c =+⎰ sec ln sec tan xdx x x c =++⎰ csc ln csc cot xdx x x c =-+⎰2211arctan x dx c a x a a=++⎰ 2211ln 2x adx c x a a x a-=+-+⎰arcsin xc a =+ln x c =+十、分部积分法公式⑴形如n ax x e dx ⎰,令n u x =,axdv e dx =形如sin n x xdx ⎰令nu x =,sin dv xdx =形如cos n x xdx ⎰令nu x =,cos dv xdx =⑵形如arctan n x xdx ⎰,令arctan u x =,ndv x dx =形如ln n x xdx ⎰,令ln u x =,ndv x dx =⑶形如sin ax e xdx ⎰,cos ax e xdx ⎰令,sin ,cos axu e x x =均可。
高等数学微积分公式大全一、基本导数公式⑴()0c '= ⑵1x xμμμ-= ⑶()sin cos x x '=⑷()cos sin x x '=- ⑸()2tan sec x x '= ⑹()2cot csc x x '=- ⑺()sec sec tan x x x '=⋅ ⑻()csc csc cot x x x '=-⋅⑼()xxee'= ⑽()ln xxaaa '= ⑾()1ln x x'=⑿()1log ln xax a'= ⒀()arcsin x '= ⒁()arccos x '=⒂()21arctan 1x x '=+ ⒃()21arccot 1x x '=-+⒄()1x '=⒅'=二、导数的四则运算法则()u v u v '''±=± ()uv u v uv '''=+ 2u u v uv v v '''-⎛⎫= ⎪⎝⎭三、高阶导数的运算法则 (1)()()()()()()()n n n u x v x u x v x ±=±⎡⎤⎣⎦ (2)()()()()n n cu x cu x =⎡⎤⎣⎦(3)()()()()n n nu ax b a uax b +=+⎡⎤⎣⎦(4)()()()()()()()0nn n k k k n k u x v x c u x v x -=⋅=⎡⎤⎣⎦∑ 四、基本初等函数的n 阶导数公式 (1)()()!n nxn = (2)()()n ax b n ax b e a e ++=⋅ (3)()()ln n x x n a a a =(4)()()sin sin 2n n ax b a ax b n π⎛⎫+=++⋅⎡⎤ ⎪⎣⎦⎝⎭ (5) ()()cos cos 2n nax b a ax b n π⎛⎫+=++⋅⎡⎤ ⎪⎣⎦⎝⎭ (6)()()()11!1n n nn a n ax b ax b +⋅⎛⎫=- ⎪+⎝⎭+ (7) ()()()()()11!ln 1n n n na n axb ax b -⋅-+=-⎡⎤⎣⎦+五、微分公式与微分运算法则 ⑴()0d c = ⑵()1d xxdx μμμ-= ⑶()sin cos d x xdx =⑷()cos sin d x xdx =- ⑸()2tan sec d x xdx = ⑹()2cot csc d x xdx =- ⑺()sec sec tan d x x xdx =⋅ ⑻()csc csc cot d x x xdx =-⋅ ⑼()xxd ee dx = ⑽()ln xxd a aadx = ⑾()1ln d x dx x=⑿()1logln xad dx x a =⒀()arcsin d x =⒁()arccos d x = ⒂()21arctan 1d x dx x =+ ⒃()21arccot 1d x dx x=-+ 六、微分运算法则⑴()d u v du dv ±=± ⑵()d cu cdu = ⑶()d uv vdu udv =+ ⑷2u vdu udvd v v -⎛⎫= ⎪⎝⎭七、基本积分公式⑴kdx kx c =+⎰ ⑵11x x dx c μμμ+=++⎰ ⑶ln dxx c x=+⎰ ⑷ln xxa a dx c a=+⎰ ⑸x x e dx e c =+⎰ ⑹cos sin xdx x c =+⎰ ⑺sin cos xdx x c =-+⎰⑻221sec tan cos dx xdx x c x ==+⎰⎰ ⑼221csc cot sin xdx x c x ==-+⎰⎰⑽21arctan 1dx x c x =++⎰ ⑾arcsin x c =+八、补充积分公式tan ln cos xdx x c =-+⎰ cot ln sin xdx x c =+⎰ sec ln sec tan xdx x x c =++⎰ csc ln csc cot xdx x x c =-+⎰2211arctan xdx c a x a a=++⎰ 2211ln 2x adx c x a a x a-=+-+⎰arcsinxc a=+ ln x c =+十、分部积分法公式⑴形如n ax x e dx ⎰,令nu x =,axdv e dx =形如sin n x xdx ⎰令nu x =,sin dv xdx =形如cos n x xdx ⎰令nu x =,cos dv xdx = ⑵形如arctan n x xdx ⎰,令arctan u x =,ndv x dx =形如ln n x xdx ⎰,令ln u x =,ndv x dx =⑶形如sin ax e xdx ⎰,cos ax e xdx ⎰令,sin ,cos axu e x x =均可。
湖北专升本高数知识点归纳湖北专升本高数,即湖北省普通高校专科生升本科的高等数学考试,是专科生升本科的重要途径之一。
高等数学作为基础学科,其知识点广泛且深入,以下是对湖北专升本高数知识点的归纳总结:一、函数与极限- 函数的概念:定义域、值域、奇偶性、周期性- 极限的概念:数列极限、函数极限- 极限的性质:唯一性、有界性、保号性- 无穷小量的比较:高阶无穷小、等价无穷小替换- 极限的运算法则:四则运算、复合函数的极限二、导数与微分- 导数的定义:导数的几何意义、物理意义- 基本初等函数的导数公式- 导数的运算法则:和差、积、商、复合函数的求导法则- 高阶导数- 隐函数、参数方程所确定的函数的导数- 微分的概念与运算三、中值定理与导数的应用- 罗尔定理、拉格朗日中值定理、柯西中值定理- 泰勒公式- 导数在几何上的应用:曲线的切线、法线- 导数在物理上的应用:速度、加速度- 函数的单调性、极值、最值问题四、不定积分与定积分- 不定积分的概念与性质- 基本积分公式- 换元积分法、分部积分法- 定积分的概念与性质- 定积分的计算- 定积分在几何上的应用:面积、体积- 定积分在物理上的应用:功、质心、转动惯量五、级数- 级数的概念:收敛、发散- 正项级数的收敛性判别:比较判别法、比值判别法- 任意项级数的收敛性判别:交错级数判别法、绝对收敛- 幂级数、泰勒级数- 函数的幂级数展开六、多元函数微分学- 多元函数的概念:偏导数、方向导数- 多元函数的极值问题- 多元函数的几何应用:切平面、法线七、常微分方程- 一阶微分方程:可分离变量方程、一阶线性微分方程- 高阶微分方程:齐次与非齐次、常系数与变系数- 微分方程的几何解释与物理意义结束语:通过对湖北专升本高数知识点的系统归纳,我们可以看到高等数学不仅在理论层面具有深刻的意义,在实际应用中也发挥着重要的作用。
掌握这些知识点,对于专科生在升本科过程中的数学考试至关重要。
精心整理公式篇目录一、函数与极限1.常用双曲函数2.常用等价无穷小3.两个重要极限二、导数与微分1.常用三角函数与反三角函数的导数公式2.n阶导数公式3.4.参数方程求导公式5.微分近似计算三、微分中值定理与导数的应用1.一阶中值定理2.高阶中值定理3.部分函数使用麦克劳林公式展开4.曲率四、定积分1.部分三角函数的不定积分2.几个简单分式的不定积分五、不定积分1.利用定积分计算极限2.积分上限函数的导数3.牛顿-4.三角相关定积分5.6.1.2.3.七、微分方程1.可降阶方程2.变系数线性微分方程3.常系数齐次线性方程的通解4.二阶常系数非齐次线性方程(特定形式)的特解形式5.特殊形式方程(选)一、函数与极限1.常用双曲函数(sh(x).ch(x).th(x))2.常用等价无穷小(x→0时)3.两个重要极限二、导数与微分1.常用三角函数与反三角函数的导数公式(凡是“余”求导都带负号)2.n 阶导数公式特别地,若n =λ3.高阶导数的莱布尼茨公式与牛顿二项式定理的比较函数的0阶导数可视为函数本身4.参数方程求导公式5.微分近似计算(x ∆很小时)(注意与拉格朗日中值定理比较)常用:(三、微分中值定理与导数的应用1.一阶中值定理()(x f 在],[b a 连续,),(b a 可导)罗尔定理(端点值相等()(f a f =拉格朗日中值定理柯西中值定理(0)('≠x g ≠0)2.)n R 为余项(ξ在x 和0x 之间)令00=x ,得到麦克劳林公式3.部分函数使用麦克劳林公式展开(皮亚诺型余项)4.曲率四、不定积分1.部分三角函数的不定积分2.几个简单分式的不定积分五、定积分1.利用定积分计算极限2.积分上限函数的导数推广得3.牛顿-莱布尼茨公式和积分中值定理(1)牛顿-莱布尼茨公式(微积分基本公式)(2)积分中值定理函数)a上可积[bf在],(x,a上的平均值f在][b(xf称为))(ξ4.三角相关定积分三角函数系的正交性5.典型反常积分的敛散性(1)无穷限的反常积分推论1(2)瑕积分(无界函数的反常积分)推论2Convergence:收敛,Divergence:发散6.Γ函数(选)(1)递推公式:推论:(2)欧拉反射公式(余元公式)六、定积分的应用1.平面图形面积(1)直角坐标:由曲线0ax==,y及x)(≥=xf(2)极坐标:ρ=有曲线(φ2.体积(1)绕x(2)平行截面(与x轴垂直)面积为)(xA3.弧微分公式(1)直角坐标:(2)极坐标:七、微分方程1.可降阶方程(1))()(x f y n =型n 次积分得(2))',("y x f y =型作换元'y p =得),('p x f p =得通解),(1C x p ϕ=则21),(C dx C x y +=⎰ϕ(3))',("y y f y =型作换元'y p =,),(,"p y f dxdp p dx dp p dx dp y ===得通解dx dy C y p ==),(1ϕ 则21),(C x C y dy +=⎰ϕ 2.变系数线性微分方程(1)一阶线性微分方程:)()('x Q y x P y =+对应齐次方程:0)('=+y x P y 原方程)()('x Q y x P y =+的通解为(2)0)(')(1=+++-y x P y x P n n若(),(21x y x y n 个线性无关解)()()(22x y C x y C x n n +++若)(*x y 为非齐次方程的一个特解则非齐次方程的通解为)(*)(x y x Y y +=3.常系数齐次线性方程的通解(1)二阶方程0"=++q py y特征方程为02=++q pr r①0>∆,两个不等实根a b r a b r 2,221∆+-=∆--=通解为x r x r e C e C y 2121+=②0=∆,两个相等实根221p r r -== 通解为x r e x C C y 1)(21+=③0<∆,一对共轭复根2,2,,21∆-=-=-=+=βαβαβαp i r i r通解为)sin cos (21x C x C e y x ββα+=(2)高阶方程0'1)1(1)(=++++--y p y p y p y n n n n 特征方程为0111=++++--n n n n p r p r p r 对于其中的根r 的对应项①实根r一个单实根:rx Ce一个k 重实根:rx k k C x C C (121-+++②复根i r βα±=2,1一对单复根:cos (21C x C e x βα+一对k 重复根]sin )(cos )1211x x D x D D x x C k k k k ββ--+++++ 4.)的特解形式 '"qy py y =++02=++q pr r (1))()(x P e x f m x λ=)(x P m 为x 的m 次多项式 特解形式为x m k e x Q x y λ)(*=)(x Q m 是x 的m 次多项式(2)]sin )(cos )([)()2()1(x x P x x P e x f n l x ωωλ+=)(),()2()1(x P x P n l 分别为x 的n l ,次多项式 特解形式为x m m k e x x R x x Q x y λωω]sin )(cos )([*+= },max{n l m =,)(),(x R x Q m m 为x 的m 次多项式记i z ωλ+=5.特殊形式方程(选)(1)伯努利方程n y x Q y x P dxdy )()(=+(1,0≠n ) 令n y z -=1,dxdy y n dx dz n--=)1( 得通解),(C x z ϕ=(2)欧拉方程作变换t e x =或x t ln =,记dtd D = 将上各式代入原方程得到此为常系数线性微分方程 可得通解),,,,(21n C C C t y ϕ= 即可得原方程通解),,,,(21n C C C x y Φ=。
三角函数极限等价无穷小公式1.$x$趋向于0时的正弦极限:$$\lim_{x \to 0} \frac{\sin{x}}{x} = 1$$这个公式告诉我们,当$x$趋向于0时,$\sin{x}$与$x$之间的比值趋于1、这个公式是三角函数的基本极限之一,它在很多计算和推导中经常被使用。
2.$x$趋向于0时的余弦极限:$$\lim_{x \to 0} \frac{1 - \cos{x}}{x} = 0$$这个公式告诉我们,当$x$趋向于0时,$1 - \cos{x}$与$x$之间的比值趋于0。
这个公式在求解一些特定极限时非常有用。
3.$x$趋向于0时的正切极限:$$\lim_{x \to 0} \frac{\tan{x}}{x} = 1$$这个公式告诉我们,当$x$趋向于0时,$\tan{x}$与$x$之间的比值趋于1、这个公式在计算一些特殊函数的导数时经常被使用。
4.$x$趋向于0时的反正弦极限:$$\lim_{x \to 0} \frac{\sin^{-1}{x}}{x} = 1$$这个公式告诉我们,当$x$趋向于0时,$\sin^{-1}{x}$与$x$之间的比值趋于1、这个公式在计算一些特定反三角函数的导数时非常有用。
5.$x$趋向于0时的反余弦极限:$$\lim_{x \to 0} \frac{\cos^{-1}{x}}{x} = 1$$这个公式告诉我们,当$x$趋向于0时,$\cos^{-1}{x}$与$x$之间的比值趋于1、这个公式在计算一些特定反三角函数的导数时非常有用。
通过这些公式,我们可以简化和加速一些复杂的数学计算,在求解极限、导数和积分等问题时非常有应用价值。
这些公式的证明过程比较繁琐,需要使用一些高级的数学工具和技巧,因此在这里不进行详细推导。
除了这些基本的三角函数极限等价无穷小公式之外,还有一些其他的相似公式,例如:$$\lim_{x \to 0} \frac{1 - \cos{x}}{x^2} = \frac{1}{2}$$$$\lim_{x \to 0} \frac{\sin^2{x}}{x^2} = 1$$$$\lim_{x \to 0} \frac{\cos^2{x} - 1}{x^2} = -1$$这些公式在高等数学的课程中经常出现,学生需要注意掌握它们的应用场景和使用方法。
常用无穷小等价代换公式无穷小等价代换公式是数学中常用的一种计算方法,它可以帮助我们简化复杂的数学问题。
在求极限、求导数等问题中,经常需要利用无穷小等价代换公式进行转化。
首先,我们来看一些常用的无穷小等价代换公式:1. 当 x 趋向于零时,可以使用以下等价代换公式:- sin(x) ≈ x- tan(x) ≈ x- arcsin(x) ≈ x- arctan(x) ≈ x- ln(1+x) ≈ x- e^x - 1 ≈ x- (1 + x)^n ≈ nx (n为常数)2. 当 x 趋向于无穷大时,可以使用以下等价代换公式:- e^x ≈ x^n (n为常数)- ln(x) ≈ x^m (m为常数)- sin(x) ≈ x- cos(x) ≈ 1这些无穷小等价代换公式可以帮助我们快速简化复杂的数学问题,使得求极限、求导数等计算更加高效。
但需要注意的是,这些等价代换公式只在特定情况下成立,不可盲目使用。
例如,当我们在计算极限时遇到形如 lim (sin(x)/x) 的表达式,可以利用无穷小等价代换公式sin(x) ≈ x 进行简化,即将该极限转化为 lim (x/x) = 1。
在计算导数时,无穷小等价代换公式也常被应用。
例如,当需要求函数 f(x) = e^x 的导数时,可以将该函数利用等价代换公式简化为 f(x) = x^n 的形式,并计算导数为 f'(x) = nx^(n-1)。
总之,无穷小等价代换公式是数学中常用的一种计算方法,能够帮助我们简化复杂的数学问题,提高计算的效率。
但在应用过程中需注意适用条件,并避免盲目使用,以保证计算结果的准确性。
无穷小的等价代换公式大全
无穷小的等价代换公式是微积分中非常重要的一部分,它在极限计算和微分方程等领域有着广泛的应用。
下面我将从不同的角度列举一些常用的无穷小的等价代换公式。
1. 当 x 趋向于 0 时,常用的无穷小等价代换有:
sin(x) ≈ x.
tan(x) ≈ x.
1-cos(x) ≈ x^2/2。
ln(1+x) ≈ x.
e^x 1 ≈ x.
(1+x)^a 1 ≈ ax,其中 a 是常数。
2. 当 x 趋向于无穷大时,常用的无穷小等价代换有:
e^x ≈ x^n (n 是任意正整数)。
ln(x+1) ≈ x.
sin(x) ≈ x.
cos(x) ≈ x.
tan(x) ≈ x.
(1+1/x)^x ≈ e.
3. 在一些特殊的极限计算中,还可以利用洛必达法则进行无穷小的等价代换,即对于两个函数 f(x) 和 g(x) 当它们在某一点的极限为 0/0 或者±∞/±∞ 的形式时,可以对 f(x) 和 g(x) 求导数并用导数的极限值代替原函数,从而简化极限的计算。
总的来说,无穷小的等价代换公式是微积分中的重要内容,它们在求极限、解微分方程、近似计算等方面都有着重要的应用。
深入理解和灵活运用这些等价代换公式可以帮助我们更好地理解和应用微积分的知识。
第一章 函数类1. y=x 1,x ≠0 →y=□1,□≠0 (-∞,0)∪(0,+∞)类2.y=2n x ,x ≥0 →y=2n □,□≥0 [0,+∞)2. 若f (x )过(a ,b ),f -1(x )过(b ,a )3. f (x )和f -1(x )的图像关于y=x 对称4.Sinx sin[arcsinx]=x →arcsinx arcsin[sinx]=xEg.f[f-1(3)]=3基本初等函数幂函数:y=x u,u取任意的实数共同点(1,1)偶函数:图像关于y轴对称y=x2指数函数(变化最快):y=a x,a>0且a≠12共同点(0,1)共同点(1,0)y=e x反函数是y=log e x=lnxsinx :ππ单调增区间:z k k π2πk π2π-∈++),(cotx:→1.奇函数:sinx,tanx,cotx原点对称偶函数:cosx y=x对称2.有界函数:sinx,cosx 有界是根据值域定的3.周期函数:sinx,cosx→T=2πtanx,cotx→T=πtanx·cotx=1 sin0=0Sin2x=2sinxcosxCos2x=cos2x-sin2x=2cos2x-1=1-2sin2x2.特殊角度→函数值反三角函数:arcsinx,arccosx,arctanx,arccotx arcsinx:arccox:arctanx:arccotx:arctanx,arccotx 2234πarctan3=3π定义域: -1≤x≤1复合函数:y=f(u),u=g(x), y=f[g(x)] Z⊂D 复合1.y=u2,u=sinx→y=sin2x2.y=u3,u=cosv,v=2x+3→y=cos3(2x+3)条件:3.y=arccosu,u=x2+3→y=arccos(x2+3)×初等函数:由基本的初等函数经过有限次的四则运算及复合得到的函数 复合函数的分解:1.由内到外,分解的每一步必须为基本初等型 2.遇到四则运算或基本初等型则停止 x 的最大整数称为x 的整数部分,记作:[x] [e]=2 [π]=3x-1<[x]≤x x=t 2+2→y 与xy=3t引入参数,导致y 与x 有联系幂指函数:y=u (x )v (x )→1.lny=lnu (x )v (x )=v (x )lnu (x )2.)()()()(x lnu x v x lnu e ey x v ==,恒等变形函数的性质:必须在所给的定义域内单调性,有界性,周期性,奇偶性1.常见的有界函数:sinx,cosx,arcsinx,arccosx,arctanx,arccotx2.有界函数的运算:有界+有界=有界有界-有界=有界有界×有界=有界无穷大量±有界一定>0+∞+有界=+∞-∞+有界=-∞周期函数:sinx→T=2πcosx→T=2πtanx→T=πcotx→T=π奇偶性:1.偶函数:图像关于y轴对称,f(x0)=f(-x0)2.奇函数:图像关于原点对称,f(x0)=-f(-x0)常见的奇函数:sinx,tanx,cotx,arcsinx,arctanx,x n(n为奇数)常见的偶函数:cosx,x n(n为偶数),|x|常熟C C,C≠0→偶函数0,可奇可偶奇偶运算规则:偶偶:+ - ×÷是偶函数→x2,1-x2,x2(1-x)2,1+x2,,cosx1=secx奇奇:+ - 是奇函数x+x3×÷是偶函数x×x=x2x·sinx sin4x=sinx·sinx·sinx·sinx 1+x21+x2 1-x2奇偶:×÷是奇函数x×x2=x3+ - 可奇,可偶,非奇非偶极限等差数列: 1,2,3,4,……,n ,…… 公差d=1,通项x n =n=1+(n-1)×1通项x n =x 1+(n-1)d →等差数列:首项x 1,公差d前n 项和,(求和公式):2nxn +x1)(等比数列:2,22,23,24,……,2n 公比q=2,x n =2n =2·2n-1 1k =4.1k z =∞k 3=13+23+33+……+n 3=]2n 1n [)(+ 2 5.1n 1-n 131-2121-111n n 12?11?11k k 1z n 1k ++⋯⋯++=++⋯⋯++=+=)()(=1n 1-1+ =1n n + 数列极限的定义:若不存在常数a ,则极限不存在,或x n 发散几何含义:当n>N 时,所有的点x n 都落在(a-ε,a+ε)内,只有有限个(至多只有N 个)在其外数列的性质:极限存在的充要条件:左极限=右极限1.唯一性2.有界性:|x n -a|<ξ3.保号性:∀ξ>0,∃n >N ,使得|x n -a|<ξ 若a >0,n >N 时,x n >0 若a <0,n >N 时,x n <0 去心领域:只考虑点a 邻近的点,不考虑点a ,即考虑点集(a-δ,a )∪(a ,a+δ),称这个点集为点a 的去心邻域函数的极限性质:1.函数极限的唯一性:若A =∞→→)(x f lim x x0x ,则极限必唯一2.函数极限的局部有界性3.函数极限的局部保号性:若A =→)(x f lim x0xA >0,0<|x-x 0|<δ,f (x )>0A <0,0<|x-x 0|<δ,f (x )<0无穷小(无穷小量)与无穷大常数的极限永远是本身关系:1.∞=→)(x f lim x0x →0x f 1limx0x =→)(互为倒数关系2.0x f 0x f lim x0x ≠=→)(且)(→∞=→)(x f 1limx0x01=∞ ∞=01总结:极限不存在的三种情形 1.limf (x )=∞ 2.左极限≠右极限3.没有确定的函数值极限值区间内波动]1,1[sinx lim x -=∞→方法一:000=⨯=⨯有界)无穷小量(即无穷小量有界函数 方法二:四则运算:(极限存在,则可以拆) 1.lim[f (x )±g (x )]=limf (x )±limg (x )=A ±B 2.lim[f (x )·g (x )]=limf (x )·limg (x )=A ·B 3.)()()()()(0x lim g x lim f x g x f lim≠==B BA 4.limC ·f (x )=C ·limf (x )=C ·A C 是常数 5.lim[f(x)]n =limf (x )·limf (x )……=A n总结:x →x 0时,x 0在初等函数定义域内,可直接将值代入求极限 方法三:消0因子法(0)方法四:抓大头思想(∞∞) 方法五:利用分子有理化求极限 方法六:先求和再求极限 方法七:先求积再求极限方法八:利用夹逼准则求极限(找两边) 极限存在准则:1.夹逼准则(1)x n ≤y n ≤z n ,且a zn lim a xn lim n n ==∞→∞→,→a yn lim n =∞→→ 2.□→00·∞→∞⨯=⨯→001000 →01⨯∞=∞⨯∞→∞∞②e x 1limx1x =+→)( ①∞1 e x11limxx =+∞→)( ②1+形式→e □1lim 0□□1=+→时)(e n 11lim nn =+∞→)( ③互为倒数总结:若今后遇到∞1型①若)()](1[lim x g x f + 为∞1,则原式=)()(x g x limf e②若)(x g )]([lim x f 为∞1,则原式=)(x g ]1)([lim e ⨯-x f方法十:利用等价无穷小求极限 → 无穷小的比较→型→0,∞,c (c ≠0)注意1.因子:只有乘除关系,等价必须是因子 2.非0因子直接代入方法十一:利用左右极限求极限左极限:0-0x x x x x f lim -0<),(→ 右极限:+→+00x x x x x f lim 0<),(极限存在的充要条件:若A A =→→=+→→→)()()(x f lim x f lim x f lim 0-0x x x x x x左极限=右极限极限不存在:1.limf (x )=∞2.左极限≠右极限3.没有确定的函数值极限值区间内波动]1,1[sinx lim x -=∞→注意:分段函数分界点要分左右极限连续与间断→极限的应用设f (x )在x 0的邻域内又定义,如果)()(0x x x f x f lim 0=→,则称f (x )在x 0处连续。
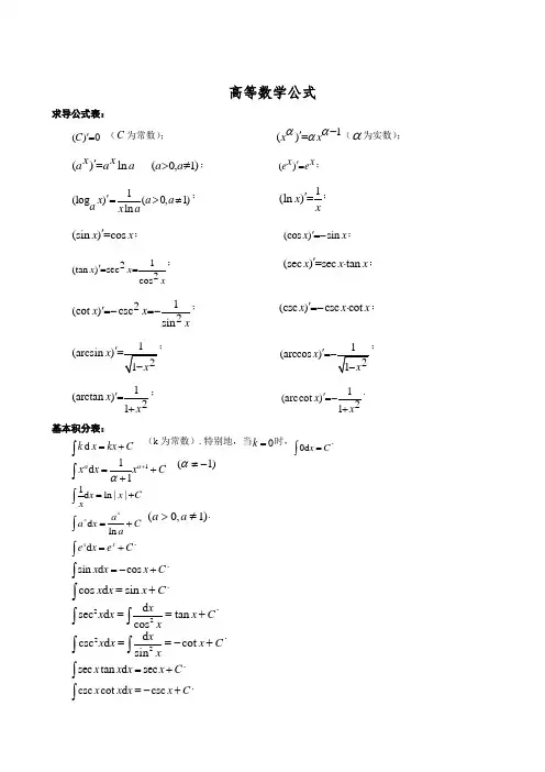
高等数学公式求导公式表:()0C '= (C 为常数); 1()x x ααα-'=(α为实数); ()ln (0,1)x x a a aa a '=>≠; ()x x e e '=;1(log )(0,1)ln x a a a x a'=>≠; 1(ln )x x '=;(sin )cos x x '=;(cos )sin x x '=-;12(tan )sec 2cos x x x'==; (sec )sec tan x x x '=⋅;12(cot )csc 2sin x x x'=-=-; (csc )csc cot x x x '=-⋅;(arcsin )x ';(arccos )x ';1(arctan )21x x '=+; 1(arccot )21x x '=-+.基本积分表:d k x kx C=+⎰ (k 为常数).特别地,当0k =时,0d x C=⎰.11d 1x x x C ααα+=++⎰ (1)α≠- 1d ln ||x x Cx =+⎰ d ln x xa a x Ca =+⎰ (0,1)a a >≠. d x x e x e C =+⎰.sin d cos x x x C=-+⎰. cos d sin x x x C=+⎰.22d sec d tan cos xx x x C x==+⎰⎰. 22d csc d cot sin xx x x C x==-+⎰⎰. sec tan d sec x x x x C =+⎰.csc cot d csc x x x x C =-+⎰.arcsinx x C=+arccos x C'=-+.21d arctan1x x Cx=++⎰cotarc x C'=-+.tan d ln cosx x x C=-+⎰.cot d ln sinx x x C=+⎰.sec d ln sec tanx x x x C=++⎰.csc d ln csc cotx x x x C=-+⎰.2211d arctanxx Ca x a a=++⎰.2211d ln2x ax Cx a a x a-=+-+⎰.arcsin(0)xx C aa=+>.lnx x C=+.21arcsin22a xx Ca=+.31sec d sec tan ln sec tan2x x x x x x C⎡⎤=+++⎣⎦⎰三角函数的有理式积分:2222212sin cos tan1121u u x du x x u dxu u u-====+++, , , 一些初等函数:()(0,1)log(0,1)sin,cos,tan,cot,sec,cscarcsin,arccos,arctan,arccotxay xy a a ay x a ay x y x y x y x y x y xy x y x y x y xμμ==>≠=>≠==========幂函数:为实数指数函数:对数函数:三角函数:反三角函数::2:2:x xx xx xx xe eshxe echxshx e ethxchx e e-----=+=-==+双曲正弦双曲余弦双曲正切ln(ln(11ln21arshx x archx x xarthx x==±++=-两个重要极限:sin lim 1x x x =→ ()11lim 1lim 10x xx ex x x ⎛⎫+=+= ⎪→∞→⎝⎭等价无穷小量替换当0x →时,~sin ~tan ~arcsin ~arctan x x x x x~ln(1)~x +1xe -,121cos ~2x x -,2~sin 2~tan 2x x x11~2x三角函数公式:·诱导公式:·和差角公式: ·和差化积公式:2sin2sin 2cos cos 2cos2cos 2cos cos 2sin2cos 2sin sin 2cos2sin2sin sin βαβαβαβαβαβαβαβαβαβαβαβα-+=--+=+-+=--+=+sin()sin cos cos sin cos()cos cos sin sin tan tan tan()1tan tan cot cot 1cot()cot cot αβαβαβαβαβαβαβαβαβαβαββα±=±±=±±=⋅⋅±=±·倍角公式:·半角公式:sin cos 221cos sin 1cos sin tancot 2sin 1cos 2sin 1cos αααααααααααα==-+======+- ·正弦定理:R CcB b A a 2sin sin sin === ·余弦定理:C ab b a c cos 2222-+=·反三角函数性质:arcsin arccos arctan cot 22x x x arc x ππ=-=- 高阶导数公式——莱布尼兹(Leibniz )公式:)()()()2()1()(0)()()(!)1()1(!2)1()(n k k n n n n nk k k n k n n uv v u k k n n n v u n n v nu v u v u C uv +++--++''-+'+==---=-∑中值定理与导数应用:()0()()()()()()()()()()F()f f b f a f b a f b f a f F b F a F x x ξξξξ'='-=-'-='-=罗尔中值定理:拉格朗日中值定理:柯西中值定理:当时,柯西中值定理就是拉格朗日中值定理。
高数B1复习知识点本页仅作为文档封面,使用时可以删除This document is for reference only-rar21year.March高等数学上册知识点一、 函数与极限(一) 函数1、函数定义及性质,常用的经济函数; 2、反函数、复合函数、函数的运算; 3、初等函数(5类):图像特征,性质 4、函数的连续性与间断点;(重点) 间断点:第一类,第二类;5、 闭区间上连续函数的性质. (二) 极限1、 定义2、 无穷小(大)量无穷小的阶:高阶无穷小、同阶无穷小、等价无穷小、k 阶无穷小 3、 求极限的方法1)极限运算准则及函数连续性; 2) 两类重要极限:(重点)a)1sin lim 0=→x x x b) e x x x x x x =+=++∞→→)11(lim )1(lim 10 3)等价无穷小代换:(重点)二、 导数与微分(一) 导数1、定义,左(右)导数定义 2、几何意义; 3、可导与连续的关系; 4、 求导的方法1)导数定义;(重点) 2)基本公式; 3)四则运算; 4)复合函数求导(链式法则);(重点) 5)隐函数求导数;(重点) 6)参数方程求导;(重点) 7)对数求导法. (重点) 8)抽象函数求导(重点) 5、高阶导数:定义,计算 6、 导数在经济中的应用:边际函数、弹性函数(二) 微分 1)定义; 2) 可微与可导的关系:可微⇔可导,且()dy f x dx '=(重点)三、 微分中值定理与导数的应用(一) 中值定理1、 Rolle 定理:(重点),Lagrange 中值定理(重点);(二) 洛必达法则(重点)(三) 单调性及极值1、 单调性判别法:(重点)2、 极值及其判定定理:a) 第一充分条件:(重点)b) 第二充分条件:(重点)3、 凹凸性及其判断,拐点1)判定定理(重点):3)拐点:坐标))(,(00x f x .4、最值及其判断,经济应用. (重点)(四) 不等式证明1、 利用微分中值定理;2、 利用函数单调性;(重点)3、 利用极值(最值).(五) 渐近线铅直渐近线,水平渐近线.四、 不定积分(一) 概念和性质1、 原函数: 定义(重点)2、 不定积分:定义,性质.3、 基本积分表(13个公式);(重点)(二) 换元积分法(重点)1、第一类换元法(凑微分): 2、 第二类换元法(三角代换、倒代换、根式代换等):(三) 分部积分法:⎰⎰-=vdu uv udv (重点)(四) 有理函数积分1、“拆”;五、 定积分(一) 概念与性质:1、 定义:2、 性质:(7条)(二) 微积分基本公式(牛顿-莱布尼茨公式)(重点)1、 变上限积分:定义,求导公式2、 (牛顿-莱布尼茨公式)。
两个重要极限1.1sin lim0=→x x x 1t a n lim 0=→xxx2. e xx x =+∞→)11(lim e x x x =+→)1(l i m 10 1∞型常用等价无穷小关系(0x →)(注意:等价无穷小代换仅适用于乘除关系,不适用于加减关系)sin ~x x tan ~x x arcsin ~x x arctan ~x x 211cos ~2x x - ()l n 1~x x + 1~x e x - 1~ln x a x a - ()11~x x ∂+-∂ 21sec 1~2x x -211~2x2~x 33sin ~()x x 导数000)()(lim )('x f x f x f x x -=→高阶求导公式 (1)()()!n nxn = (2)()()n ax b n ax b e a e ++=⋅ (3)()()ln n x x n a a a =(4) ()()(1)(1)u n u n x u u u n x -=--+ (5) ()()0n k x = (n>k) (6) ()()x n x e e =(7)()()sin sin 2n n ax b a ax b n π⎛⎫+=++⋅⎡⎤ ⎪⎣⎦⎝⎭(8) ()()cos cos 2n n ax b a ax b n π⎛⎫+=++⋅⎡⎤ ⎪⎣⎦⎝⎭(9)()()()11!1n n nn a n ax b ax b +⋅⎛⎫=- ⎪+⎝⎭+ (10) ()()()()()11!ln 1n n n na n axb ax b -⋅-+=-⎡⎤⎣⎦+(11)()()()()()()()n n n u x v x u x v x ±=±⎡⎤⎣⎦ (12)()()()()n n cu x cu x =⎡⎤⎣⎦(13)()()()()n n n u ax b a u ax b +=+⎡⎤⎣⎦(14)()()()()()()()00!()()!(!!)nn n k k k n k n n k k k u x v x c u x v x n x x k n k u v -=-=⋅=⎡⎤⎣⎦=-∑∑常用的凑微分公式11.02.(1)+113.ln 04.(0,1)ln5.()6.sin cos7.cos sin8.tan ln cos9.cot ln sin 10.sec ln sec tan 1x xx x dx ckdx kx c k x x dx cdx x cx xa a dx ca a a e dx e c a e xdx x c xdx x cxdx x c xdx x c xdx x x c μμμμ+==+=+≠-=+≠=+>≠=+==-+=+=-+=+=++⎰⎰⎰⎰⎰⎰⎰⎰⎰⎰⎰(是常数)()222221.csc ln csc cot 12.sec tan 13.csc cot 14.sec tan sec 15.csc cot csc 16.arcsin arccos 117.arctan cot 1118.arctan (0)19.xdx x x c xdx x c xdx x c x xdx x c x xdx x c x c x cdx x c arc x c x dx x c a a x a a d =-+=+=-+=+=-+=+=-+=+=-++=+>+⎰⎰⎰⎰⎰⎰⎰222221ln (0)220.arcsin (0)21.ln 22.arcsin 2223.ln(224.ln 22x a x c a a x a a x xc a a x ca x ca a x ca x c+=+>--=+>=++=++=+=-++⎰【特殊角的三角函数值】(1)sin00= (2)1sin62π=(3)sin 32π= (4)sin 12π=) (5)sin 0π=(6)cos01= (7)cos62π=(8)1cos 32π= (9)cos 02π=) (10)cos 1π=-(11)tan 00= (12)tan6π=(13)tan 3π= (14)tan 2π不存在(15)tan 0π= (16)cot 0不存在 (17)cot 6π= (18)cot33π=(19)cot02π=(20)cot π不存在三角函数公式 1.两角和公式sin()sin cos cos sin A B A B A B +=+ s i n ()s i n c o s c o s s A B A B A B -=- cos()cos cos sin sin A B A B A B +=- c o s ()c o sc o ss i n sA B A B A B -=+ tan tan tan()1tan tan A B A B A B ++=- tan tan tan()1tan tan A BA B A B --=+cot cot 1cot()cot cot A B A B B A ⋅-+=+ cot cot 1cot()cot cot A B A B B A ⋅+-=- 2.二倍角公式sin 22sin cos A A A =2222cos 2cos sin 12sin 2cos 1A A A A A =-=-=-22tan tan 21tan AA A=- 3.半角公式sin2A = cos 2A =sin tan21cos A A A ==+ sin cot 21cos A A A==- 4.和差化积公式sin sin 2sincos 22a b a b a b +-+=⋅ sin sin 2cos sin 22a b a ba b +--=⋅ cos cos 2cos cos 22a b a b a b +-+=⋅ cos cos 2sin sin22a b a ba b +--=-⋅()sin tan tan cos cos a b a b a b++=⋅5.积化和差公式()()1sin sin cos cos 2a b a b a b =-+--⎡⎤⎣⎦ ()()1cos cos cos cos 2a b a b a b =++-⎡⎤⎣⎦ ()()1s i n c o s s i n s i n 2a b a b a b =++-⎡⎤⎣⎦ ()()1c o s s i n s i n s i n 2a b a b a b =+--⎡⎤⎣⎦ 6.万能公式22tan2sin 1tan 2aa a=+ 221tan 2cos 1tan 2a a a -=+ 22t a n2t a n 1t a n2aa a=- 7.平方关系22sin cos 1x x += 22sec n 1x ta x -= 22csc cot 1x x -=8.倒数关系tan cot 1x x ⋅= sec cos 1x x ⋅= c sin 1cs x x ⋅= 9.商数关系sin tan cos x x x =cos cot sin xx x= 其他初等函数1.乘法公式与二项式定理 22()()a b a b a b -=-+3322()()a b a b a a b b -=-++ 1221()(?··)nnn n n n a b a ba ab a b b -----=-++++2.不等式···a b ln+++≤(a>b,b>0,…,l >0,共n 个数)3.数列等差数列前n 项和:12(1)2n a n dn S +-=等比数列前n 项和:1(1)1n n a q qS -=-无穷递减等比数列所以项和:11a S q=- (|q|<1) 4.对数运算l o g xa a M M x =⇔=l o g a Ma M = l o g ()l o g l o ga aMN M N =+无穷级数1. 收敛级数的必要条件1nn u∞=∑收敛,则必有lim 0n n u →∞=2.lim 0n n u →∞=,不能保证1n n u ∞=∑收敛3. 若lim 0n n u →∞≠,则1nn u∞=∑必定发散。
无穷小,即趋于零的量,是微积分中非常重要的概念。
在数学分析中,我们常常遇到一些函数,当自变量趋于某个特定的值时,函数值会趋于无穷小。
而在研究这些函数的性质和极限时,无穷小的分类和等价无穷小的公式成为了不可或缺的工具。
在本篇文章中,我们将系统地介绍x趋于无穷的等价无穷小公式,并探讨其中的深度和广度。
1. 无穷小的定义让我们回顾一下无穷小的定义。
设f(x)是定义在某个区间上的函数,在x趋于无穷时,如果有极限lim(f(x))=0,那么称f(x)是x趋于无穷时的无穷小。
在实际运用中,我们常常需要研究x趋于无穷时函数表现的特点,而无穷小的概念能够帮助我们更好地理解函数的极限性质。
2. 等价无穷小的概念在研究无穷小的时候,我们经常需要比较不同函数的无穷小量级。
这时,等价无穷小的概念应运而生。
若函数f(x)与g(x)满足lim(f(x)/g(x))=1,且lim(f(x))=0,那么称f(x)与g(x)是等价无穷小。
等价无穷小的概念为我们在研究函数极限的过程中提供了更灵活的工具,使得我们能够更准确地刻画函数的渐近性质。
3. x趋于无穷的等价无穷小公式大全接下来,让我们系统地介绍x趋于无穷的等价无穷小公式。
在实际运用中,掌握这些公式能够帮助我们更快速、更准确地计算函数的极限。
下面是一些常用的x趋于无穷的等价无穷小公式:(1)当x→∞时,有sin x ≈ x,cos x ≈ 1(2)当x→∞时,有tan x ≈ x(3)当x→0时,有ln(1+x) ≈ x(4)当x→∞时,有e^x ≈ x^n (n为任意实数)(5)当x→0时,有1-cos x ≈ 1/2 x^2(6)当x→0时,有x-sin x ≈ 1/6 x^3以上是一些常用的x趋于无穷的等价无穷小公式,它们在研究函数极限和渐近性质时有着重要的应用价值。
4. 个人观点和理解对于无穷小和等价无穷小的概念,我个人认为它们在数学分析中具有非常重要的地位。
在研究函数的极限和性质时,我们常常需要借助这些概念来刻画函数的渐近行为,以便更深入地理解函数的特点。
等价无穷小公式大全pdf等价无穷小公式大全PDF引言:在微积分中,我们经常会遇到一些与无穷小相关的概念和公式。
而等价无穷小是在求导、求极限等计算中非常重要的一种概念。
本文将为您介绍等价无穷小的基本概念和常用公式,并为您提供一个包含大量等价无穷小公式的PDF文件。
一、等价无穷小的定义和性质在微积分中,我们常常需要研究极限,而等价无穷小就是在极限计算中起到非常重要的作用。
等价无穷小定义为:在某一极限下,与其相比,具有相同数量级但更小的无穷小。
等价无穷小具有以下性质:1. 若 f(x) 和 g(x) 在某一点 c 的邻域内成等价无穷小,那么 f(x) - g(x) 在该点也是一个无穷小。
2. 若 f(x) 和 g(x) 的极限存在,且 f(x) 和 g(x) 在某一点 c 的邻域内成等价无穷小,那么两者的极限相等。
二、等价无穷小的常用公式1. 无穷小和常数的乘积公式:若 f(x) 是一个无穷小,c 是常数,则c×f(x) 也是一个无穷小。
2. 无穷小的和差公式:若f(x) 和g(x) 是两个无穷小,那么f(x) ± g(x) 也是一个无穷小。
3. 无穷小的乘积公式:若f(x) 和g(x) 是两个无穷小,那么f(x) × g(x) 也是一个无穷小。
4. 无穷小和高阶无穷小的乘积:若 f(x) 是一个无穷小,g(x) 是一个高阶无穷小,那么f(x) × g(x) 也是一个高阶无穷小。
5. 高阶无穷小公式:当 x 趋近于某一点 c 时,x^n (n > 0) 是一个高阶无穷小。
6. 高阶无穷小和常数的乘积公式:若 c 是一个常数,g(x) 是一个高阶无穷小,那么c × g(x) 也是一个高阶无穷小。
7. 无穷小和有界函数的乘积:若 f(x) 是一个无穷小,g(x) 是一个有界函数,那么f(x) × g(x) 也是一个无穷小。
8. 等价无穷小和有界函数的乘积:若 f(x) 和 g(x) 是等价无穷小,h(x) 是一个有界函数,那么f(x) × h(x) 也是一个等价无穷小。
x的n次方等价无穷小公式以x的n次方等价无穷小公式为标题,我们来探讨一下这个公式的含义和应用。
在数学中,无穷小是一种特殊的数值概念,表示一个数值非常接近于零,但不等于零。
而无穷小公式则是用来描述一个函数在某个点附近的行为,即函数的增长或减小情况。
x的n次方等价无穷小公式可以表示为:lim(x->0) (x^n) = 0这个公式表明,当自变量x趋近于零时,x的n次方的值趋近于零。
换句话说,当x接近于零时,x的n次方可以近似看作是无穷小。
这个公式在数学和物理中有着广泛的应用。
首先,它在极限计算中起着重要的作用。
我们可以利用这个公式来计算各种函数的极限值。
例如,当我们计算一个函数在某个点的导数时,可以利用这个公式来简化计算过程。
这个公式在泰勒展开中也有重要的应用。
泰勒展开可以将一个函数在某个点附近用无穷级数表示。
而在展开过程中,x的n次方等价无穷小公式可以帮助我们确定展开式的具体形式。
在物理学中,这个公式也常常用于近似计算。
当一些物理现象或过程中涉及到非常小的数值时,我们可以利用x的n次方等价无穷小公式来简化计算,并得到近似的结果。
举个例子来说明。
假设我们要计算一个物体在时间t内的位移s,已知物体的加速度恒定为a。
根据物理学的运动学公式,位移可以表示为s = (1/2)at^2。
当时间t非常小时,我们可以将t的平方近似为无穷小。
这样,我们就可以利用x的n次方等价无穷小公式,将位移近似为s = 0,即物体的位移非常接近于零。
总结一下,x的n次方等价无穷小公式是数学中的一条重要定理,它描述了函数在某个点附近的行为。
这个公式在极限计算、泰勒展开和物理学中都有着广泛的应用。
通过这个公式,我们可以简化计算过程,得到近似的结果。
无穷小的概念和应用可以帮助我们更好地理解数学和物理,并应用于实际问题的解决中。
ln等价无穷小公式众所周知,数学是自然科学的基础,而微积分则是数学的基础。
在微积分中,无穷小是一个很重要的概念。
在微积分中,无穷小是指比任何实数都小的数,它是微积分中的一个基本概念。
在微积分中,有一个很重要的公式,就是ln等价无穷小公式。
什么是ln等价无穷小公式呢?简单来说,ln等价无穷小公式是指当x趋近于0时,ln(1+x)和x是等价无穷小。
也就是说,当x趋近于0时,ln(1+x)和x的差别可以忽略不计。
这个公式在微积分中非常常见,也非常重要。
那么,为什么ln等价无穷小公式是这样的呢?为了更好地理解这个公式,我们需要从微积分的基本概念出发,来逐步推导这个公式。
首先,我们需要知道ln(1+x)的导数是什么。
根据求导法则,我们可以得到ln(1+x)的导数为1/(1+x)。
这个导数在微积分中也非常重要,因为它是ln(1+x)的导数,也就是斜率。
当x趋近于0时,1/(1+x)也趋近于1,这个我们可以用极限来证明:lim (1/(1+x)) = 1x->0这个极限的结果是1,也就是说,当x趋近于0时,ln(1+x)的斜率趋近于1。
接下来,我们来看看x的导数是多少。
根据求导法则,我们可以得到x的导数是1。
当x趋近于0时,x的斜率也趋近于1。
根据以上的推导,我们可以得到ln(1+x)和x的斜率都趋近于1,也就是说,它们的差别可以忽略不计。
因此,ln(1+x)和x是等价无穷小。
那么,为什么ln等价无穷小公式在微积分中非常重要呢?其实,这个公式在微积分中非常常见,也非常重要。
在微积分中,我们经常需要对函数进行展开,而ln等价无穷小公式可以帮助我们更好地展开函数,从而更好地研究函数的性质。
同时,ln等价无穷小公式也可以帮助我们更好地理解微积分中的一些概念和定理,例如泰勒公式、极限、导数等等。
最后,我们来看一个具体的例子,来说明ln等价无穷小公式的应用。
假设我们要求函数f(x) = ln(1+x)在x=0处的二阶泰勒展开式。
高等数学(同济第七版)上册-知识点总结第 1 章 函数与极限一. 函数的概念1. 两个无穷小的比较设lim f (x ) = 0, lim g (x ) = 0 且lim f (x ) = l g (x )(1)l = 0,称f (x)是比g(x)高阶的无穷小,记以f (x) = 0[ g (x ) ],称g(x) 是比f(x)低阶的无穷小。
(2)l ≠ 0,称f (x)与g(x)是同阶无穷小。
(3)l = 1,称f (x)与g(x)是等价无穷小,记以f (x) ~ g(x)2. 常见的等价无穷小当x →0时sin x ~ x ,tan x ~ x , arcsin x ~ x , arccos x ~ x ,1− cos x ~ x ^2 / 2 , e x −1 ~ x , ln(1+ x ) ~ x , (1+ x ) -1~ x二.求极限的方法1. 两个准则准则 1. 单调有界数列极限一定存在准则 2.(夹逼定理)设g (x ) ≤ f (x ) ≤ h (x )若lim g (x ) = A , lim h (x ) = A ,则lim f (x ) = A2. 两个重要公式公式 1 lim sin x = 1x →0 x公式 2 lim(1+ x )1/ x = e x →03. 用无穷小重要性质和等价无穷小代换4. 用泰勒公式当 x → 0 时,有以下公式,可当做等价无穷小更深层次2 3 n 3 5 2 4 e x = 1+ x + x + 2! x +... + 3! x + o (x n ) n ! sin x = x - x +3!x +... + (-1)n 5!x 2n +1 (2n +1)! + o (x 2n +1 ) cos x = 1- x + 2! x +... + (-1) 4!n x 2n 2n ! + o (x 2n )ln(1+ x ) = x - x 2 + x 3 3... + (-1) n +1 x n n + o (x n ) (1+ x ) = 1+x +(-1) x 2 +... + (-1)...(- (n -1)) x n + o (x n ) arctan x = x - x 3 + x 5 5 2! -... + (-1) n +1x 2n +1 2n +1 n ! + o (x 2n +1 ) 5. 洛必达法则定理 1 设函数 f (x ) 、 F (x ) 满足下列条件:(1) lim f (x ) = 0 , lim F (x ) = 0 ;x → x 0 x → x 0(2) f (x ) 与 F (x ) 在 x 0 的某一去心邻域内可导,且 F '(x ) ≠ 0 ; (3) lim f '(x ) 存在(或为无穷大),则lim f (x ) = lim f '(x ) x → x 0 F '(x ) x → x 0 F (x ) x → x 0 F '(x ) 这个定理说明:当limf '(x ) 存在时, lim f (x ) 也存在且等于lim f '(x ) ; x → x 0 F '(x ) x → x 0 F (x ) x → x 0 F '(x ) 当lim f '(x ) 为无穷大时, lim f (x ) 也是无穷大.x → x 0 F '(x ) x → x 0 F (x )这种在一定条件下通过分子分母分别求导再求极限来确定未定式的极限值的方法称为洛必达( L 'H ospital )法则.∞ 型未定式∞定理 2 设函数 f (x ) 、 F (x ) 满足下列条件:(1) lim f (x ) = ∞ , lim F (x ) = ∞ ;x → x 0 x → x 0 (2) f (x ) 与 F (x ) 在 x 0 的某一去心邻域内可导,且 F '(x ) ≠ 0 ; (3) lim f '(x ) 存在(或为无穷大),则 lim f (x ) = lim f '(x )x → x 0 F '(x )x → x 0 F (x ) x → x 0 F '(x ) 注:上述关于 x → x 0 ∞ 型同样适用.∞时未定式∞型的洛必达法则,对于 x → ∞ 时未定式 ∞ 使用洛必达法则时必须注意以下几点: (1) 洛必达法则只能适用于“ 0 ”和“ ∞ ”型的未定式,其它的未定式须 0 ∞2 30 先化简变形成“ 0 ”或“ ∞”型才能运用该法则; 0 ∞(2) 只要条件具备,可以连续应用洛必达法则;(3) 洛必达法则的条件是充分的,但不必要.因此,在该法则失效时并不能断定原极限不存在.6. 利用导数定义求极限基本公式lim ∆x →0 f (x 0 + ∆x ) - f (x 0 ) = ∆xf ' (x ) (如果存在) 7. 利用定积分定义求极限1 n k 1基本格式lim n ∑ f ( n ) = ⎰ f (x )dx (如果存在) n →∞ k =1 03. 函数的间断点的分类函数的间断点分为两类:(1) 第一类间断点设 x 0 是函数 y = f (x )的间断点。