《复变函数与积分变换复旦大学修订版》全部_习题答案
- 格式:pdf
- 大小:3.41 MB
- 文档页数:39
一、将下列复数用代数式、三角式、指数式表示出来。
(1) i 解:2cossin22ii e i πππ==+(2) -1解:1cos sin i e i πππ-==+ (3)1+解:()/3122cos /3sin /3i e i πππ+==+ (4) 1cos sin i αα-+ 解:2221cos sin 2sin 2sincos2sin(sincos )2222222sincos()sin()2sin 222222i i i i i e πααααααααααπαπαα⎛⎫- ⎪⎝⎭-+=+=+⎛⎫=-+-= ⎪⎝⎭(5) 3z解:()3333cos3sin3i z r e r i θθθ==+ (6) 1i e +解:()1cos1sin1i i e ee e i +==+(7)11ii-+ 解:3/411cos3/4sin 3/411i i i i e i i i πππ--==-==+++二、计算下列数值(1) 解:1ar 21ar 21ar 2 b i ctg k a bi ctg abi ctgaπ⎛⎫+ ⎪⎝⎭==⎧⎪=⎨⎪⎩(2)解:6226363463222i k i i i i e i ee e iπππππππ⎛⎫⎛⎫++ ⎪ ⎪⎝⎭⎝⎭⎛⎫+ ⎪⎝⎭⎧=+⎪⎪⎪⎨====-+⎪⎪⎪=-⎩(3) i i 解:()2222ii k k i i e eππππ⎛⎫⎛⎫+-+ ⎪ ⎪⎝⎭⎝⎭==(4)解:()1/2222ii k k eeππππ⎛⎫⎛⎫++ ⎪ ⎪⎝⎭⎝⎭==(5) cos5α解:由于:()()552cos5i i e e ααα-+=,而:()()()()()()()()5555555555cos sin cos sin cos sin cos sin nni nn nni n n e i C i e i C i αααααααααα-=--==+==-=-∑∑所以:()()()()()()()()()()()555505555043253543251cos5cos sin cos sin 21 cos sin 112 5cos sin cos sin cos 5cos sin 10cos sin cos n n n nn n n n nn n C i i C i i C i ααααααααααααααααα--=--=⎡⎤=+-⎣⎦⎡⎤=+-⎣⎦=++=-+∑∑(6) sin5α解:由于:()()552sin 5i i ee ααα--=,所以:()()()()()()()()()()()()55550555505234245552341sin 5cos sin cos sin 21 cos sin 1121 sin cos sin sin cos sin 10cos sin 5sin cos n n n nn n n n nn n C i i i C i i i C i C i iααααααααααααααααα--=--=⎡⎤=--⎣⎦⎡⎤=--⎣⎦=++=-+∑∑ (7) cos cos2cos n ααα+++L L 解:()()221cos cos 2cos ()()2(1)1(1)11(1)(1)1 21122(1cos )1 2i i in i i in i in i i in i i in i in i i i n e e e e e e e e e e e e e e e e e e e e ααααααααααααααααααααααα----------⎡⎤+++=+++++++⎣⎦⎡⎤--+--⎡⎤--⎢⎥=+=⎢⎥---⎢⎥⎣⎦⎣⎦+=L L L L L L (1)(1)22(1cos )12cos 22cos(1)2cos cos 1cos(1)cos 22(1cos )2(1cos )1sin()sin22 2sin2i i n i n in in e e e e n n n n n ααααααααααααααααα+-+-⎡⎤---++⎢⎥-⎣⎦⎡⎤--++--++==⎢⎥--⎣⎦+-=(8) sin sin 2sin n ααα+++L L 解:()()221sin sin 2sin ()()2(1)1(1)11(1)(1)1 21122(1cos )1 2i i in i i in i in i i in i i in i in i i i n e e e e e e i e e e e e e e e e e i e e i e i αααααααααααααααααααααα---------⎡⎤+++=+++-+++⎣⎦⎡⎤-----⎡⎤--⎢⎥=-=⎢⎥---⎢⎥⎣⎦⎣⎦=L L L L L L (1)(1)112(1cos )12sin 2sin(1)2sin sin sin(1)sin 22(1cos )2(1cos )1cos()cos22 2sin2i n in i i n in e e e e e i i n i n n n i n αααααααααααααααααα+--+-⎡⎤--+-++-⎢⎥-⎣⎦⎡⎤-++-++==⎢⎥--⎣⎦-++=1.2 复变函数1、试证明函数f (z )=Arg(z ) (-π<Arg(z) ≤π),在负实轴上(包括原点)不连续。
复变函数与积分变换(修订版)主编:马柏林(复旦大学出版社)——课后习题答案习题一1. 用复数的代数形式a +ib 表示下列复数π/43513;;(2)(43);711i i e i i i i i-++++++.①解i 4πππe cos isin 44-⎛⎫⎛⎫⎛⎫=-+- ⎪ ⎪ ⎪⎪⎝⎭⎝⎭⎝⎭②解: ()()()()35i 17i 35i 1613i 7i 11+7i 17i 2525+-+==-++-③解: ()()2i 43i 834i 6i 510i ++=-++=+ ④解: ()31i 1335=i i i 1i 222-+-+=-+2.求下列各复数的实部和虚部(z =x +iy )(z a a z a -∈+); 33311;;;.22n z i ⎛⎛-+-- ⎝⎭⎝⎭①: ∵设z =x +iy则()()()()()()()22i i i i i i x a y x a y x y a x a y z a z a x y a x a y x a y -++-⎡⎤⎡⎤+--+-⎣⎦⎣⎦===+++++++ ∴()22222Re z a x a y z a x a y ---⎛⎫= ⎪+⎝⎭++,()222Im z a xyz a x a y-⎛⎫=⎪+⎝⎭++. ②解: 设z =x +iy ∵()()()()()()()()323222222223223i i i 2i i 22i33iz x y x y x y x y xy x y x x y xy y x y x y x xy x y y =+=++=-++⎡⎤=--+-+⎣⎦=-+- ∴()332Re 3z x xy =-,()323Im 3z x y y =-.③解:∵(()(){}33232111313188-+⎡⎤⎡⎤==--⋅-⋅+⋅-⎢⎥⎢⎥⎣⎦⎣⎦⎝⎭()180i 18=+=∴Re 1=⎝⎭, Im 0=⎝⎭. ④解:∵()()(()2332313131i 8⎡⎤--⋅-⋅+⋅-⎢⎥⎣⎦=⎝⎭()180i 18=+=∴Re 1=⎝⎭, Im 0=⎝⎭. ⑤解: ∵()()1,2i 211i,kn kn k k n k ⎧-=⎪=∈⎨=+-⋅⎪⎩¢. ∴当2n k =时,()()Re i 1kn=-,()Im i 0n=;当21n k =+时,()Re i 0n =,()()Im i 1kn =-.3.求下列复数的模和共轭复数12;3;(2)(32);.2ii i i +-+-++①解:2i -+==2i 2i -+=--②解:33-=33-=-③解:()()2i 32i 2i 32i ++=++=()()()()()()2i 32i 2i 32i 2i 32i 47i ++=+⋅+=-⋅-=-④解:1i 1i 22++==()1i 11i222i ++-⎛⎫== ⎪⎝⎭4、证明:当且仅当z z =时,z 才是实数.证明:若z z =,设i z x y =+,则有 i i x y x y +=-,从而有()2i 0y =,即y =0 ∴z =x 为实数.若z =x ,x ∈ ,则z x x ==. ∴z z =.命题成立.5、设z ,w ∈ ,证明: z w z w ++≤证明∵()()()()2z w z w z w z w z w +=+⋅+=++()()22222Re z z z w w z w wz zw z w w z wz w =⋅+⋅+⋅+⋅=++⋅+=++⋅()2222222z w z wz w z w z w ++⋅=++⋅=+≤∴z w z w ++≤.6、设z ,w ∈ ,证明下列不等式. ()2222Re z w z z w w +=+⋅+ ()2222Re z w z z w w -=-⋅+()22222z w z w z w++-=+并给出最后一个等式的几何解释.证明:()2222Re z w z z w w +=+⋅+在上面第五题的证明已经证明了.下面证()2222Re z w z z w w -=-⋅+.∵()()()()222z w z w z w z w z w z z w w z w-=-⋅-=--=-⋅-⋅+()222Re z z w w =-⋅+.从而得证.∴()22222z w z w z w ++-=+几何意义:平行四边形两对角线平方的和等于各边的平方的和.7.将下列复数表示为指数形式或三角形式3352π2π;;1;8π(1);.cos sin 7199i i i i +⎛⎫--+ ⎪+⎝⎭ ①解:()()()()35i 17i 35i 7i 117i 17i +-+=++-3816i 198i e 5025i θ⋅--==其中8πarctan 19θ=-.②解:e i i θ⋅=其中π2θ=.π2e i i =③解:ππi i 1e e -==④解:()28π116ππ3θ-+==-.∴()2πi 38π116πe--+=⋅⑤解:32π2πcos isin 99⎛⎫+ ⎪⎝⎭ 解:∵32π2πcosisin 199⎛⎫+= ⎪⎝⎭.∴322πi π.3i 932π2πcos isin 1e e 99⋅⎛⎫+=⋅= ⎪⎝⎭8.计算:(1)i 的三次根;(2)-1的三次根;(3)的平方根.⑴i 的三次根. 解:()13ππ2π2πππ22cos sin cosisin 0,1,22233++⎛⎫+=+= ⎪⎝⎭k k i k∴1ππ1cosisin i 662=+=+z .2551cos πisin πi 662=+=+z3991cos πisin πi 662=+=-z ⑵-1的三次根 解:()()132π+π2ππcos πisin πcosisin 0,1,233k k k ++=+=∴1ππ1cos isin 332=+=z2cos πisin π1=+=-z35513cos πisin πi 3322=+=--z ⑶33i +的平方根. 解: πi 42233i=6i 6e 22⎛⎫+⋅+=⋅ ⎪ ⎪⎝⎭∴()()1π12i 44ππ2π2π4433i 6e6cos isin 0,122k k k ⎛⎫++ ⎪+=⋅=⋅+= ⎪⎝⎭∴π11i 8441ππ6cos isin 6e 88⎛⎫=⋅+=⋅ ⎪⎝⎭z911πi 8442996cos πisin π6e 88⎛⎫=⋅+=⋅ ⎪⎝⎭z .9.设2πe,2inz n =≥. 证明:110n z z -+++=L证明:∵2πi e nz ⋅= ∴1n z =,即10n z -=.∴()()1110n z z z --+++=L又∵n ≥2. ∴z ≠1 从而211+0n z z z -+++=L11.设Γ是圆周{:},0,e .i z r r a c r z c α=>=+-令:Im 0z a L z b β⎧-⎫⎛⎫==⎨⎬⎪⎝⎭⎩⎭, 其中e i b β=.求出L β在a 切于圆周Γ的关于β的充分必要条件.解:如图所示.因为L β={z : Im z a b -⎛⎫⎪⎝⎭=0}表示通过点a 且方向与b 同向的直线,要使得直线在a 处与圆相切,则CA ⊥L β.过C 作直线平行L β,则有∠BCD =β,∠ACB =90° 故α-β=90°所以L β在α处切于圆周T 的关于β的充要条件是α-β=90°.12.指出下列各式中点z 所确定的平面图形,并作出草图.(1)arg π;(2);1(3)1|2;(4)Re Im ;(5)Im 1 2.z z z z i z z z z ==-<+<>><且解:(1)、argz =π.表示负实轴.(2)、|z -1|=|z |.表示直线z =12.(3)、1<|z +i|<2解:表示以-i 为圆心,以1和2为半径的周圆所组成的圆环域。
习题五1. 求下列函数的留数. (1)()5e 1zf z z-=在z =0处.解:5e 1zz-在0<|z |<+∞的罗朗展开式为23454321111111112!3!4!2!3!4!zzzz zz z z z+++++-=+⋅+⋅+⋅+ ∴5e 111R es ,014!24z z ⎡⎤-=⋅=⎢⎥⎣⎦(2)()11e z f z -=在z =1处.解:11ez -在0<1z -| <+∞的罗朗展开式为()()()11231111111e112!3!!111z nz n z z z -=++⋅+⋅++⋅+----∴11R es e ,11z -⎡⎤=⎣⎦.2. 利用各种方法计算f (z )在有限孤立奇点处的留数. (1)()()2322z f z z z +=+解:()()2322z f z z z +=+的有限孤立奇点处有z =0,z =-2.其中z =0为二级极点z =-2为一级极点.∴()[]()()120013232324Res ,0lim lim 11!242z z z z z f z z z →→++--⎛⎫=⋅=== ⎪⎝+⎭+ ()[]2232R es ,2lim 1z z f z z→-+-==- 3. 利用罗朗展开式求函数()211sinz z+⋅在∞处的留数.解:()()()22235111sin 21sin11111213!5!z z z zzz z z z z +⋅=++⋅⎛⎫=++⋅-⋅+⋅+ ⎪⎝⎭∴()[]1R es ,013!f z =-从而()[]1R es ,13!f z ∞=-+5. 计算下列积分.(1)ctan πd z z ⎰ ,n 为正整数,c 为|z |=n 取正向.解:ccsin πtan πd d cos πz z z zz=⎰⎰.为在c 内tan πz 有12k z k =+(k =0,±1,±2…±(n -1))一级极点由于()()2sin π1R es ,πcos πk z kzf z z z =⎡⎤==-⎣⎦'∴()c1tan πd 2πi R es ,2πi 24i πk kz z f z z n n ⎛⎫=⋅⎡⎤=⋅-⋅=- ⎪⎣⎦⎝⎭∑⎰(2) ()()()10cd i 13zz z z +--⎰c :|z |=2取正向.解:因为()()()101i 13z z z +--在c 内有z =1,z =-i 两个奇点.所以()()()()[]()[]()()[]()[]()()10c10d 2πi Res ,i Res ,1i 132πi Res ,3Res ,πi3i zf z f z z z z f z f z =⋅-++--=-⋅+∞=-+⎰6. 计算下列积分. (1)π0cos d 54cos m θθθ-⎰因被积函数为θ的偶函数,所以ππ1cos d 254cos m I θθθ-=-⎰令π1π1sin d 254cos m I θθθ-=-⎰则有i π1π1ei d 254cos m I I θθθ-+=-⎰设i e z θ= d 1d i zz θ=2os 12c z zθ+=则()121211d i 2i 15421d 2i521mz mz zzI I zz z zzz ==+=⎛⎫+- ⎪⎝⎭=-+⎰⎰被积函数()()2521mzf z z z =-+在|z |=1内只有一个简单极点12z =但()()[]12211R es ,lim232521mmz zf z z z →⎡⎤==⎢⎥⎣⎦⋅'-+所以111πi 2πi 2i 3232mmI I +=⋅⋅=⋅⋅又因为π1π1sin d 254s 0co m I θθθ-=-=⎰∴π0cos d 54cos π32mm θθθ=⋅-⎰(2) 202πcos 3d 12cos aa θθθ+-⎰,|a|>1.解:令2π102cos 3d 12cos I a aθθθ+=-⎰2π202sin 3d 12cos I a aθθθ+=-⎰32π120i2e i d 12cos I I a a θθθ-++=⎰令z =e i θ.31d d i os 2c zz z zθθ==,则 ()()()3122123221321i d 1i 1221d i1112π2πi R es ,i 1z z zI I zz za az zzaz a z af z a a a ==+=⋅+-⋅+=-++--⎡⎤=⋅⋅=⎢⎥⎣⎦-⎰⎰得()1322π1I a a =-(3)()()2222d xx a x b ∞+-∞++⎰,a >0,b >0.解:令()()()22221R z z a z b =++,被积函数R (z )在上半平面有一级极点z =i a 和i b .故()[]()[]()()()()()()()()()()22222222i i 22222πi Res ,i Res ,i 112πi lim i limi 112πi 2i 2i πz a z b I R z a R z b z a z b z a z b z a z b a b a b a b ab a b →→=+⎡⎤=-+-⎢⎥++++⎣⎦⎡⎤=+⎢⎥--⎣⎦=+(4). ()2222d xx x a ∞++⎰,a >0.解:()()222222221d d 2xxx x x a x a -∞++∞∞=++⎰⎰令()()2222zR z z a =+,则z =±a i 分别为R (z )的二级极点故()()[]()[]()()()22222222i 0i 1d 2πi R es ,i R es ,i 2πi lim lim i i π2z a z a xx R z a R z a x a z z z a z a a-→∞→-=⋅⋅+-+⎛⎫''⎡⎤⎡⎤ ⎪=+⎢⎥⎢⎥ ⎪+-⎣⎦⎣⎦⎝⎭=⎰(5) ()222sin d x x x b xβ∞+⋅+⎰,β>0,b>0.解:()()()i 222222222cos sin ed d i d xxx x x xxx xx b x b x b βββ+++--∞∞∞∞∞∞-⋅⋅⋅=++++⎰⎰⎰而考知()()222zR z z b =+,则R (z )在上半平面有z =b i 一个二级极点.()()[]()i i 222i i ed 2πi R ese ,i e π2πi lim e i i 2z xzzbb xx R z b x b z z b b βββββ+--→∞∞⋅=⋅⋅+'⎡⎤=⋅=⋅⋅⎢⎥+⎣⎦⎰()222sin πd e2bbb xx x x βββ+--∞∞⋅=⋅+⎰从而()222sin ππd e44ebbx x bb xx b βββββ+-∞⋅=⋅=+⎰(6) 22i ed xx x a+-∞∞+⎰,a >0 解:令()221R z z a=+,在上半平面有z =a i 一个一级极点()[]i i i 22ieeeπd 2πi Res e ,i 2πi lim2πi i2iexzazaz a x R z a x az a a a -+-→∞∞=⋅⋅=⋅=⋅=++⎰7. 计算下列积分(1)()2sin 2d 1xx x x ∞++⎰解:令()()211R z z z =+,则R (z )在实轴上有孤立奇点z =0,作以原点为圆心、r 为半径的上半圆周c r ,使C R ,[-R , -r ], C r ,[r , R ]构成封闭曲线,此时闭曲线内只有一个奇点i ,于是:()()[]{}()222i 201e1eIm d Im 2πi Res ,i lim d 2211rr xizc I x R z z z z x x +-∞∞→⎡⎤==⋅-⎢⎥++⎣⎦⎰⎰而()202ed lim πi1rizc r z zz →⋅=-+⎰.故:()()2221e 1e πIm 2πi lim πi Im 2πi πi 1e 2222zi i z I z z i --→⎡⎤⎡⎤⎛⎫=⋅+=⋅-+=- ⎪⎢⎥⎢⎥+⎝⎭⎣⎦⎣⎦.(2)21d 2πi z Taz z⎰,其中T 为直线Re z =c ,c >0, 0<a <1解:在直线z =c +i y (-∞< y <+∞)上,令()ln 22ez z aa f z zz==,()ln 22ei c af c y c y⋅+=+,()ln 22ei d d c af c y y yc y⋅++--∞∞∞∞+=+⎰⎰收敛,所以积分()i i d c c f z z ∞∞+-⎰是存在的,并且()()()i i i i d limd limd c c c c ABR RR R f z z f z z f z z ++--→+∞→+∞∞∞==⎰⎰⎰其中AB 为复平面从c -i R 到c +i R 的线段.考虑函数f(z)沿长方形-R ≤x ≤c ,-R ≤y ≤R 周界的积分.<如下图>因为f (z )在其内仅有一个二级极点z =0,而且()[]()()20Res ,0lim ln z f z z f z a →'=⋅=所以由留数定理.()()()()d d d d 2πi ln ABBEEFFAf z z f z z f z z f z z a +++=⋅⎰⎰⎰⎰而()()()()i ln ln ln ln 22222eeeed d d d 0i x R ax aaCC aRCC R BE CR Rf z z x x x C R x RRRx R →+⋅⋅-+--∞==⋅+−−−→++⎰⎰⎰⎰≤≤.。
第1章 复数与复变函数 (作业1)一、填空题 1、ieπ2的值为 。
2、k 为任意整数,则34+k 的值为 。
3、复数i i (1)-的指数形式为 。
4、设b a ,为实数,当=a , b= 时,).35)(1()3()1(i i b i a ++=-++ 二、判断题(正确的划√,错误的划 ) 1、2121z z z z +=+ ( )2、()()())z Re(iz Im ;z Im iz Re =-= ( )3、()()i i i 125432+=++ ( ) 三、选择题1.当ii z -+=11时,5075100z z z ++的值等于( ) (A )i (B )i - (C )1 (D )1-2.复数)(tan πθπθ<<-=2i z 的三角表示式是( )(A ))]2sin()2[cos(secθπθπθ+++i (B ))]23sin()23[cos(sec θπθπθ+++i (C ))]23sin()23[cos(secθπθπθ+++-i (D ))]2sin()2[cos(sec θπθπθ+++-i 3.使得22z z =成立的复数z 是( )(A )不存在的 (B )唯一的 (C )纯虚数 (D )实数 4.若θi re i i=+--2)1(3,则( ) (A )πθ-==3arctan ,5r (B )πθ-==3arctan ,210r (C )3arctan ,210-==πθr (D )3arctan ,5-==πθr 5. 设复数z 位于第二象限,则z arg 等于( )。
(A) x y arctan 2+π (B) x y arctan +π (C) x y arctan 2-π (D) xy arctan +-π 四、计算与证明题 1、设ii i i z -+-=11,求.),Im(),Re(z z z z2、当x y ,等于什么实数时,等式()i iy i x +=+-++13531成立?3、求复数ii-+23的辐角。
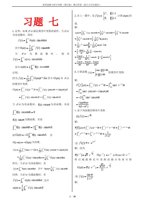
习题 七1.证明:如果f (t )满足傅里叶变换的条件,当f (t )为奇函数时,则有⎰+∞⋅=0d sin )()(ωωωt b t f其中()⎰+∞⋅=0tdt sin π2)(ωωt f b当f (t )为偶函数时,则有⎰+∞⋅=0cos )()(ωωtd w a t f其中⎰+∞⋅=02tdt c f(t))(ωωos a证明:因为ωωωd G t f t i ⎰+∞∞-=e )(π21)(其中)(ωG 为f (t )的傅里叶变换()()()(cos sin )i tG f t edt f t t i t dt ωωωω+∞+∞--∞-∞==⋅-⎰⎰()cos ()sin f t tdt i f t tdt ωω+∞+∞-∞-∞=⋅-⋅⎰⎰当f (t )为奇函数时,t cos f(t)ω⋅为奇函数,从而⎰+∞∞-=⋅0tdt cos f(t)ωt sin f(t)ω⋅为偶函数,从而⎰⎰+∞∞-+∞⋅=⋅0.sin f(t)2tdt sin f(t)tdt ωω故.sin f(t)2)(0tdt iG ωω⋅-=⎰+∞有)()(ωωG G -=-为奇数。
ωωωωπωωπωd t i t G d e G t f t i )sin (cos )(21)(21)(+⋅=⋅=⎰⎰+∞∞-+∞∞-=01()sin d ()sin d 2ππi G i t G t ωωωωωω+∞+∞-∞⋅=⋅⎰⎰ 所以,当f(t)为奇函数时,有2()b()sin d .b()=()sin dt.πf t t f t t ωωωωω+∞+∞=⋅⋅⎰⎰其中同理,当f(t)为偶函数时,有()()cos d f t a t ωωω+∞=⋅⎰.其中02()()cos πa f t tdt ωω+∞=⋅⎰ 2.在上一题中,设()f t =21,0,1t t t ⎧<⎪⎨≥⎪⎩.计算()a ω的值.解:1200111220012012011200222()()cos d cos d 0cos d πππ221cos d d(sin )ππ122sin sin 2d 0ππ2sin 4(cos )π2sin 4cos cos π2sin 4co a f t t t t t t t t t t t t t t t t t tt d t t t tdt ωωωωωωωωωωωωωωπωωωωωπωωπω+∞+∞=⋅=⋅+⋅=⋅=⋅=⋅⋅-⋅=⋅+⋅⎡⎤=+⋅-⎢⎥⎣⎦=+⎰⎰⎰⎰⎰⎰⎰⎰23s 4sin ωωπωπω-3.计算函数sin ,6π()0,6πt t f t t ⎧≤⎪=⎨≥⎪⎩的傅里叶变换. 解:[]6π6π6π6π6π02()()d sin d sin (cos sin )d 2sin sin d sin 6ππ(1)i t i t F f f t e t t e tt t i t ti t t t i ωωωωωωωω+∞---∞--=⋅=⋅=⋅-=-⋅=-⎰⎰⎰⎰4.求下列函数的傅里叶变换 (1)()tf t e -=解: []||(||)0(1)(1)2F f ()()d d d 2d d 1i t t i t t i t t i t i f te t e e t e te t e t ωωωωωωω+∞+∞+∞----+-∞-∞-∞+∞--+-∞==⋅==+=+⎰⎰⎰⎰⎰(2)2()t f t t e-=⋅解:因为22222/4F[].()(2)2.t t t t e ee e t t e ω-----==⋅-=-⋅而所以根据傅里叶变换的微分性质可得224()F()tG t e e ωω--=⋅=(3)2sin π()1tf t t =- 解:222202200sin π()F()()d 1sin π(cos sin )d 11[cos(π)cos(π)]sin πsin 2d 2d 11cos(π+)cos(π-)d d ()11sin ,||π20,|i tt G f e t t tt i t t t t t t t i t i t t t t t i t i t t t iωωωωωωωωωωωωω+∞--∞+∞-∞+∞+∞-∞+∞+∞==⋅-=⋅---+--⋅=-=---=----≤=⎰⎰⎰⎰⎰⎰利用留数定理当当|π.⎧⎪⎨⎪≥⎩(4)41()1f t t=+ 解:4444401cos sin ()d d d 111cos cos 2d d 11i tt t G e t t i t t t t t t t t t t ωωωωωω+∞+∞+∞--∞-∞-∞+∞+∞-∞==-+++==++⎰⎰⎰⎰⎰令41R(z)=1z +,则R(z)在上半平面有两个一级极1)i i +-+. R()d 2π[R())]2π[R()1)]i t i z i z t e t i Res z e i i Res z e i ωωω+∞-∞⋅=⋅⋅++⋅⋅-+⎰故.|244cos ||||d Re[d ]sin )1122i t t e t t t t ωωωωω+∞+∞--∞-∞=+++⎰⎰(5) 4()1tf t t =+ 解:4444()d 1sin cos d d 11sin d 1i t tG e t t t t t t t i t t t t t i tt ωωωωω+∞--∞+∞+∞-∞-∞+∞-∞=⋅+⋅=⋅-++⋅=-+⎰⎰⎰⎰ 同(4).利用留数在积分中的应用,令4R()=1zz z +则44|sin d ()Im(d )11sin22i tt tt e i t i t t t ie ωωωω+∞+∞-∞-∞-⋅⋅-=-++=-⋅⋅⎰⎰.5.设函数F (t )是解析函数,而且在带形区域Im()t δ<内有界.定义函数()L G ω为/2/2()()e d .L i t L L G F t t ωω--=⎰证明当L →∞时,有1p.v.()e d ()2πi t L G F t ωωω∞-∞→⎰ 对所有的实数t 成立.(书上有推理过程) 6.求符号函数 1,0sgn 1,0||t t t t t -<⎧==⎨>⎩的傅里叶变换. 解: 因为1F (())π().u t i δωω=+⋅把函数sgn()t 与u(t)作比较.不难看出 sgn()()().t u t u t =-- 故:[]11F[sgn()]F(())F(())π()[π()]π()22π()()t u t u t i i i i δωδωωδωδωωω=--=+⋅-+⋅--=+--=7.已知函数()f t 的傅里叶变换()00F()=π()(),ωδωωδωω++-求()f t解:[]000-100000001()F (F())=π()()d 2πF(cos )=cos d d 2π[()()]()cos i ti t i t i t i tf t e t t e te e e tf t tωωωωωωδωωδωωωωωδωωδωωω+∞-∞+∞--∞-+∞--∞=⋅++-⋅+=⋅=++-=⎰⎰⎰而所以8.设函数f (t )的傅里叶变换()F ω,a 为一常数. 证明1[()]().f at F a a ωω⎛⎫=⎪⎝⎭1F[()]()()d ()d()i t i t f at f at e t f at e at a ωωω+∞+∞---∞-∞=⋅=⋅⎰⎰解:当a >0时,令u=at .则11F[()]()()d u i a f at f u e u F a a a ωωω-+∞-∞⎛⎫=⋅= ⎪⎝⎭⎰当a <0时,令u=at ,则1F[()]()F()f at a aωω=-. 故原命题成立.9.设()[]();F F f ωω=证明()()[]()F f t ωω=--F .证明:()[]()()()()()[]()[]()()[]()()e d e d e d e d e d .i t i u i i u u i t F f t f uf t u t f u f uu u f t F t ωωωωωωω+∞+∞--∞-∞+∞+∞--⋅-⋅--∞-∞+∞-⋅--∞=⋅=-⋅--=⋅=⋅=⋅=-⎰⎰⎰⎰⎰10.设()[]()F F f ωω=,证明:()[]()()()0001cos 2F f t F F t ωωωωωω⋅=-++⎡⎤⎣⎦以及()[]()()()0001sin .2F f t F F t ωωωωωω⋅=--+⎡⎤⎣⎦ 证明:()[]()()()()()0000000e +e cos 21e e 22212i t i t i t i t F f t F t f t F F f f t t F F ωωωωωωωωω--⎡⎤⋅=⋅⎢⎥⎣⎦⎧⎫⎡⎤⎡⎤=+⋅⋅⎨⎬⎢⎥⎢⎥⎣⎦⎣⎦⎩⎭=-++⎡⎤⎣⎦同理:()[]()()(){}()()0000000e e sin 21e e 212i t i t i t i t Ff t F f t t i F F f f t t i F F i ωωωωωωωωω--⎡⎤-⋅=⋅⎢⎥⎣⎦=-⎡⎤⎡⎤⋅⋅⎣⎦⎣⎦=--+⎡⎤⎣⎦ 11.设()()π0,0sin ,0t 200e ,t t t f g t t t -⎧<⎧≤≤⎪==⎨⎨≥⎩⎪⎩,其他计算()*f g t . 解:()())*(d f y g y t f g t y +∞-∞-=⎰当t y o -≥时,若0,t <则()0,f y =故()*f g t =0.若0,0,2t y t π<≤<≤则()()()0()d sin d *t ty f y g y e y t f g t y t y -=⋅--=⎰⎰若,0..222t t y t y t πππ>≤-≤⇒-≤≤则()()2sin d *ty t e y t f g y t π--⋅-=⎰故()()()20,01,0sin cos e *221e .1e 22t t t t t t f g t t πππ--<⎧⎪⎪<≤-+=⎨⎪⎪>+⎩12.设()u t 为单位阶跃函数,求下列函数的傅里叶变换.()()()0e sin 1at f t u t t ω-=⋅()()()()()()()00000000002002e sin e e sin e e e e e 211e d d d d e 2d 2at i t at i t i t i t ati ta i t a i t ttG F t u f t t t i i i t t a i ωωωωωωωωωωωωωωωω+∞-∞+∞+∞+∞+--------+--++⎡⎤⎡⎤⎣∞⎣⎦⎦=====-=⋅⋅⋅⋅⋅-⋅⋅++⎰⎰⎰⎰⎰解:习题八1.求下列函数的拉普拉斯变换.(1)()sin cos f t t t =⋅,(2)4()etf t -=,(3)2()sin f t t= (4)2()f t t =, (5)()sinh f t bt=解: (1) 1()sin cos sin 22f t t t t =⋅=221121(())(sin 2)2244L f t L t s s ==⋅=++(2)411(())(e )24tL f t L s -==+(3)21cos 2()sin 2t f t t -==221cos21111122(())()(1)(cos2)222224(4)t L f t L L t s s s s -==-=⋅-⋅=++(4)232()L t s = (5)22e e 111111(())()(e )(e )22222bt bt bt bt bL f t L L L s b s b s b ---==-=⋅-⋅=-+-2.求下列函数的拉普拉斯变换.(1)2,01()1,120,2t f t t t ≤<⎧⎪=≤<⎨⎪≥⎩(2)cos ,0π()0,πt t f t t ≤<⎧=⎨≥⎩解: (1) 1220011(())()e 2e e (2e e )st st st s s L f t f t dt dt dt s +∞-----=⋅=⋅+=--⎰⎰⎰(2)πππ2011e (())()e cos e (1e )1s ststsL f t f t dt t dt s s -+∞---+=⋅=⋅=+++⎰⎰3.设函数()cos ()sin ()f t t t t u t δ=⋅-⋅,其中函数()u t 为阶跃函数, 求()f t 的拉普拉斯变换.解:20222(())()e cos ()e sin ()e cos ()e sin e 11cos e 1111st st st st st stt L f t f t dt t t dt t u t dtt t dt t dts t s s s δδ+∞+∞+∞---+∞+∞---∞-==⋅=⋅⋅-⋅⋅=⋅⋅-⋅=⋅-=-=+++⎰⎰⎰⎰⎰4.求图8.5所表示的周期函数的拉普拉斯变换解:2()e 1(())1e (1e )Tst T T as as f t dt as aL f t s s ---⋅+==---⎰5. 求下列函数的拉普拉斯变换.(1)()sin 2tf t lt l=⋅ (2)2()e sin5t f t t -=⋅(3)()1e t f t t =-⋅ (4)4()e cos4t f t t-=⋅(5()(24)f t u t =- (6()5sin 23cos 2f t t t =-(7) 12()e t f t t δ=⋅ (8) 2()32f t t t =++解:(1)222222221()sin [()sin ]221()(())(sin )[()sin ]22112()22()()tf t lt t lt l lt F s L f t L lt L t lt l ll ls s l s l l s l s l =⋅=--⋅==⋅=--⋅-'=-=-⋅=+++(2)225()(())(e sin 5)(2)25t F s L f t L t s -==⋅=++21(3)()(())(1e )(1)(e )(e )1111()1(1)t t t F s L f t L t L L t L t ss s s s ==-⋅=-⋅=+-⋅'=+=--- (4)424()(())(ecos 4)(4)16ts F s L f t L t s -+==⋅=++ (5)1,2(24)0,t u t >⎧-=⎨⎩其他22()(())((24))=(24)e 1=e =e st stsF s L f t L u t u t dtdt s∞-∞--==--⋅⎰⎰(6)222()(())(5sin 23cos2)5(sin 2)3(cos2)210353444F s L f t L t t L t L t s ss s s ==-=--=⋅-⋅=+++ (7)12332213(1)()22()(())(e )()()t F s L f t L t s s δδδΓ+Γ==⋅==-- (8)2221()(())(32)()3()2(1)(232)F s L f t L t t L t L t L s s s ==++=++=++6.记[]()()L f s F s =,对常数0s ,若00Re()s s δ->,证明00[e ]()()s t L f s F s s ⋅=-证明:00000()()00[e ]()e ()e ()e()e ()s t s tsts s ts s t L f s f t dtf t dt f t dt F s s ∞-∞∞---⋅=⋅⋅=⋅=⋅=-⎰⎰⎰7 记[]()()L f s F s =,证明:()()[(t)()]()n nF s L f t s =-⋅证明:当n=1时,0()()e st F s f t dt +∞-=⋅⎰0()[()e ][()e ]()e (())st stst F s f t dt f t dt t f t dt L t f t s+∞--+∞+∞-''=⋅∂⋅==-⋅⋅=-⋅∂⎰⎰⎰所以,当n=1时, ()()[(t)()]()n nFs L f t s =-⋅显然成立。
复变函数与积分变换(修订版)主编:马柏林(复旦大学出版社)——课后习题答案习题一1. 用复数的代数形式a +ib 表示下列复数π/43513;;(2)(43);711i i e i i i i i-++++++.①解i 4πππe cos isin 44-⎛⎫⎛⎫⎛⎫=-+- ⎪ ⎪⎪ ⎪⎝⎭⎝⎭⎝⎭ ②解: ()()()()35i 17i 35i 1613i7i 11+7i 17i 2525+-+==-++-③解: ()()2i 43i 834i 6i 510i ++=-++=+ ④解:()31i 1335=i i i 1i 222-+-+=-+2.求下列各复数的实部和虚部(z =x +iy )(z a a z a -∈+); 333;;;.n z i ①:∵设z =x +iy则()()()()()()()22i i i i i i x a y x a y x y a x a y z a z a x y a x a y x a y -++-⎡⎤⎡⎤+--+-⎣⎦⎣⎦===+++++++ ∴()22222Re z a x a y z a x a y ---⎛⎫= ⎪+⎝⎭++,()222Im z a xy z a x a y -⎛⎫= ⎪+⎝⎭++. ②解: 设z =x +iy∵()()()()()()()()323222222223223i i i 2i i 22i33iz x y x y x y x y xy x y x x y xy y x y x y x xy x y y =+=++=-++⎡⎤=--+-+⎣⎦=-+- ∴()332Re 3z x xy =-, ()323Im 3z x y y =-.③解:∵(()(){}33232111313188-+⎡⎤⎡⎤==--⋅-⋅+⋅-⎢⎥⎢⎥⎣⎦⎣⎦⎝⎭()180i 18=+=∴Re 1=⎝⎭, Im 0=⎝⎭. ④解:∵()()(()2332313131i 8⎡⎤--⋅-⋅+⋅-⎢⎥⎣⎦=⎝⎭()180i 18=+=∴Re 1=⎝⎭, Im 0=⎝⎭.⑤解: ∵()()1,2i 211i,knkn k k n k ⎧-=⎪=∈⎨=+-⋅⎪⎩. ∴当2n k =时,()()Re i 1k n =-,()Im i 0n =;当21n k =+时,()Re i 0n =,()()Im i 1kn =-.3.求下列复数的模和共轭复数12;3;(2)(32);.2ii i i +-+-++①解:2i -+=2i 2i -+=--②解:33-=33-=-③解:()()2i 32i 2i 32i ++=++=()()()()()()2i 32i 2i 32i 2i 32i 47i ++=+⋅+=-⋅-=-④解:1i 1i 22++==()1i 11i222i ++-⎛⎫== ⎪⎝⎭4、证明:当且仅当z z =时,z 才是实数.证明:若z z =,设i z x y =+,则有 i i x y x y +=-,从而有()2i 0y =,即y =0 ∴z =x 为实数.若z =x ,x ∈ ,则z x x ==. ∴z z =.命题成立.5、设z ,w ∈ ,证明: z w z w ++≤证明∵()()()()2z w z w z w z w z w +=+⋅+=++()()22222Re z z z w w z w wz zw z w w z wz w =⋅+⋅+⋅+⋅=++⋅+=++⋅()2222222z w z wz w z w z w ++⋅=++⋅=+≤∴z wz w ++≤.6、设z ,w ∈ ,证明下列不等式. ()2222Re z w z z w w +=+⋅+ ()2222Re z w z z w w -=-⋅+()22222z w z w z w++-=+并给出最后一个等式的几何解释.证明:()2222Re z w z z w w +=+⋅+在上面第五题的证明已经证明了. 下面证()2222Re z w z z w w -=-⋅+.∵()()()()222z w z w z w z w z w z z w w z w-=-⋅-=--=-⋅-⋅+()222Re z z w w =-⋅+.从而得证.∴()22222z w z w z w++-=+几何意义:平行四边形两对角线平方的和等于各边的平方的和. 7.将下列复数表示为指数形式或三角形式3352π2π;;1;8π(1);.cos sin 7199i i i i +⎛⎫--+ ⎪+⎝⎭ ①解:()()()()35i 17i 35i 7i 117i 17i +-+=++-3816i 198i e 5025i θ⋅--===其中8πarctan 19θ=-. ②解:e i i θ⋅=其中π2θ=.π2e ii =③解:ππi i 1e e -==④解:()28π116ππ3θ-==-.∴()2πi 38π116πe--+=⋅⑤解:32π2πcos isin 99⎛⎫+ ⎪⎝⎭解:∵32π2πcos isin 199⎛⎫+= ⎪⎝⎭.∴322πi π.3i 932π2πcos isin 1e e 99⋅⎛⎫+=⋅= ⎪⎝⎭8.计算:(1)i 的三次根;(2)-1的三次根;(3)的平方根. ⑴i 的三次根.解:()13ππ2π2πππ22cos sin cosisin 0,1,22233++⎛⎫+=+= ⎪⎝⎭k k i k∴1ππ1cos isin i 662=+=+z . 2551cos πisin πi 662=+=z3991cos πisin πi 662=+=-z⑵-1的三次根 解:()()132π+π2ππcos πisin πcosisin 0,1,233k k k ++=+=∴1ππ1cos isin 332=+=z2cos πisin π1=+=-z3551cos πisin π332=+=-z的平方根.πi 4e ⎫⎪⎪⎝⎭)()1π12i44ππ2π2π44e6cos isin 0,122k k k ⎛⎫++ ⎪=⋅+= ⎪⎝⎭∴π11i 8441ππ6cos isin 6e 88⎛⎫=⋅+=⋅ ⎪⎝⎭z911πi 8442996cos πisin π6e 88⎛⎫=⋅+=⋅ ⎪⎝⎭z .9.设2πe,2inz n =≥. 证明:110n z z -+++=证明:∵2πi e nz ⋅= ∴1n z =,即10n z -=.∴()()1110n z z z --+++=又∵n ≥2. ∴z ≠1从而211+0n z z z -+++=11.设Γ是圆周{:},0,e .i z r r a c r z c α=>=+-令:Im 0z a L z b β⎧-⎫⎛⎫==⎨⎬⎪⎝⎭⎩⎭, 其中e i b β=.求出L β在a 切于圆周Γ的关于β的充分必要条件. 解:如图所示.因为L β={z : Im z a b -⎛⎫⎪⎝⎭=0}表示通过点a 且方向与b 同向的直线,要使得直线在a 处与圆相切,则CA⊥L β.过C 作直线平行L β,则有∠BCD =β,∠ACB =90° 故α-β=90°所以L β在α处切于圆周T 的关于β的充要条件是α-β=90°.12.指出下列各式中点z 所确定的平面图形,并作出草图.(1)arg π;(2);1(3)1|2;(4)Re Im ;(5)Im 1 2.z z z z i z z z z ==-<+<>><且解:(1)、argz =π.表示负实轴.(2)、|z -1|=|z |.表示直线z =12.(3)、1<|z +i|<2解:表示以-i 为圆心,以1和2为半径的周圆所组成的圆环域。
一、将下列复数用代数式、三角式、指数式表示出来。
(1) i 解:2cossin22ii e i πππ==+(2) -1解:1cos sin i e i πππ-==+ (3)1+解:()/3122cos /3sin /3i e i πππ+==+ (4) 1cos sin i αα-+ 解:2221cos sin 2sin 2sincos2sin(sincos )2222222sincos()sin()2sin 222222i i i i i e πααααααααααπαπαα⎛⎫- ⎪⎝⎭-+=+=+⎛⎫=-+-= ⎪⎝⎭(5) 3z解:()3333cos3sin3i z r e r i θθθ==+ (6) 1i e +解:()1cos1sin1i i e ee e i +==+(7)11ii-+ 解:3/411cos3/4sin 3/411i i i i e i i i πππ--==-==+++二、计算下列数值(1) 解:1ar 21ar 21ar 2 b i ctg k a bi ctg abi ctgaπ⎛⎫+ ⎪⎝⎭==⎧⎪=⎨⎪⎩(2)解:6226363463222i k i i i i e i ee e iπππππππ⎛⎫⎛⎫++ ⎪ ⎪⎝⎭⎝⎭⎛⎫+ ⎪⎝⎭⎧=+⎪⎪⎪⎨====-+⎪⎪⎪=-⎩(3) i i 解:()2222ii k k i i e eππππ⎛⎫⎛⎫+-+ ⎪ ⎪⎝⎭⎝⎭==(4)解:()1/2222ii k k eeππππ⎛⎫⎛⎫++ ⎪ ⎪⎝⎭⎝⎭==(5) cos5α解:由于:()()552cos5i i e e ααα-+=,而:()()()()()()()()5555555555cos sin cos sin cos sin cos sin nni nn nni n n e i C i e i C i αααααααααα-=--==+==-=-∑∑所以:()()()()()()()()()()()555505555043253543251cos5cos sin cos sin 21 cos sin 112 5cos sin cos sin cos 5cos sin 10cos sin cos n n n nn n n n nn n C i i C i i C i ααααααααααααααααα--=--=⎡⎤=+-⎣⎦⎡⎤=+-⎣⎦=++=-+∑∑(6) sin5α解:由于:()()552sin 5i i ee ααα--=,所以:()()()()()()()()()()()()55550555505234245552341sin 5cos sin cos sin 21 cos sin 1121 sin cos sin sin cos sin 10cos sin 5sin cos n n n nn n n n nn n C i i i C i i i C i C i iααααααααααααααααα--=--=⎡⎤=--⎣⎦⎡⎤=--⎣⎦=++=-+∑∑ (7) cos cos2cos n ααα+++L L 解:()()221cos cos 2cos ()()2(1)1(1)11(1)(1)1 21122(1cos )1 2i i in i i in i in i i in i i in i in i i i n e e e e e e e e e e e e e e e e e e e e ααααααααααααααααααααααα----------⎡⎤+++=+++++++⎣⎦⎡⎤--+--⎡⎤--⎢⎥=+=⎢⎥---⎢⎥⎣⎦⎣⎦+=L L L L L L (1)(1)22(1cos )12cos 22cos(1)2cos cos 1cos(1)cos 22(1cos )2(1cos )1sin()sin22 2sin2i i n i n in in e e e e n n n n n ααααααααααααααααα+-+-⎡⎤---++⎢⎥-⎣⎦⎡⎤--++--++==⎢⎥--⎣⎦+-=(8) sin sin 2sin n ααα+++L L 解:()()221sin sin 2sin ()()2(1)1(1)11(1)(1)1 21122(1cos )1 2i i in i i in i in i i in i i in i in i i i n e e e e e e i e e e e e e e e e e i e e i e i αααααααααααααααααααααα---------⎡⎤+++=+++-+++⎣⎦⎡⎤-----⎡⎤--⎢⎥=-=⎢⎥---⎢⎥⎣⎦⎣⎦=L L L L L L (1)(1)112(1cos )12sin 2sin(1)2sin sin sin(1)sin 22(1cos )2(1cos )1cos()cos22 2sin2i n in i i n in e e e e e i i n i n n n i n αααααααααααααααααα+--+-⎡⎤--+-++-⎢⎥-⎣⎦⎡⎤-++-++==⎢⎥--⎣⎦-++=1.2 复变函数1、试证明函数f (z )=Arg(z ) (-π<Arg(z) ≤π),在负实轴上(包括原点)不连续。
习题 七1.证明:如果f (t )满足傅里叶变换的条件,当f (t )为奇函数时,则有⎰+∞⋅=0d sin )()(ωωωt b t f其中()⎰+∞⋅=0tdt sin π2)(ωωt f b 当f (t )为偶函数时,则有⎰+∞⋅=0cos )()(ωωtd w a t f其中⎰+∞⋅=02tdt c f(t))(ωωπos a证明: 因为ωωωd G t f t i ⎰+∞∞-=e )(π21)(其中)(ωG 为f (t )的傅里叶变换()()()(cos sin )i tG f t edt f t t i t dt ωωωω+∞+∞--∞-∞==⋅-⎰⎰()cos ()sin f t tdt i f t tdt ωω+∞+∞-∞-∞=⋅-⋅⎰⎰当f (t )为奇函数时,t cos f(t)ω⋅为奇函数,从而⎰+∞∞-=⋅0tdt cos f(t)ωt sin f(t)ω⋅为偶函数,从而⎰⎰+∞∞-+∞⋅=⋅0.sin f(t)2tdt sin f(t)tdt ωω故.sin f(t)2)(0tdt iG ωω⋅-=⎰+∞有)()(ωωG G -=-为奇数。
ωωωωπωωπωd t i t G d e G t f t i )sin (cos )(21)(21)(+⋅=⋅=⎰⎰+∞∞-+∞∞-=01()sin d ()sin d 2ππi G i t G t ωωωωωω+∞+∞-∞⋅=⋅⎰⎰ 所以,当f(t)为奇函数时,有2()b()sin d .b()=()sin dt.πf t t f t t ωωωωω+∞+∞=⋅⋅⎰⎰其中同理,当f(t)为偶函数时,有()()cos d f t a t ωωω+∞=⋅⎰.其中2()()cos πa f t tdt ωω+∞=⋅⎰2.在上一题中,设()f t =21,0,1t t t ⎧<⎪⎨≥⎪⎩.计算()a ω的值.解:1200111220012012011200222()()cos d cos d 0cos d πππ221cos d d(sin )ππ122sin sin 2d 0ππ2sin 4(cos )π2sin 4cos cos π2sin 4co a f t t t t t t t t t t t t t t t t t tt d t t t tdt ωωωωωωωωωωωωωωπωωωωωπωωπω+∞+∞=⋅=⋅+⋅=⋅=⋅=⋅⋅-⋅=⋅+⋅⎡⎤=+⋅-⎢⎥⎣⎦=+⎰⎰⎰⎰⎰⎰⎰⎰23s 4sin ωωπωπω-3.计算函数sin ,6π()0,6πt t f t t ⎧≤⎪=⎨≥⎪⎩的傅里叶变换. 解:[]6π6π6π6π6π02()()d sin d sin (cos sin )d 2sin sin d sin 6ππ(1)i t i t F f f t e t t e tt t i t ti t t t i ωωωωωωωω+∞---∞--=⋅=⋅=⋅-=-⋅=-⎰⎰⎰⎰4.求下列函数的傅里叶变换 (1)()tf t e -=解: []||(||)0(1)(1)2F f ()()d d d 2d d 1i t t i t t i t t i t i f t e t e e t e te t e t ωωωωωωω+∞+∞+∞----+-∞-∞-∞+∞--+-∞==⋅==+=+⎰⎰⎰⎰⎰(2)2()t f t t e-=⋅解:因为22222/4F[].()(2)2.t t t t e ee e t t e ω-----==⋅-=-⋅而所以根据傅里叶变换的微分性质可得224()F()2t G t e e iωω--=⋅=⋅(3)2sin π()1tf t t=- 解:222202200sin π()F()()d 1sin π(cos sin )d 11[cos(π)cos(π)]sin πsin 2d 2d 11cos(π+)cos(π-)d d ()11sin ,||π20,|i tt G f e t t tt i t t t t t t t i t i t t t t t i t i t t t iωωωωωωωωωωωωω+∞--∞+∞-∞+∞+∞-∞+∞+∞==⋅-=⋅---+--⋅=-=---=----≤=⎰⎰⎰⎰⎰⎰利用留数定理当当|π.⎧⎪⎨⎪≥⎩(4)41()1f t t=+ 解:4444401cos sin ()d d d 111cos cos 2d d 11i tt t G e t t i t t t t t t t t t t ωωωωωω+∞+∞+∞--∞-∞-∞+∞+∞-∞==-+++==++⎰⎰⎰⎰⎰令41R(z)=1z +,则R(z)在上半平面有两个一级极1)i i +-+. R()d 2π[R())]2π[R()1)]i t i z i z t e t i Res z e i i Res z e i ωωω+∞-∞⋅=⋅⋅++⋅⋅-+⎰故.|244cos ||||d Re[d ]sin )1122i t t e t t t t ωωωωω+∞+∞--∞-∞=+++⎰⎰(5) 4()1tf t t =+ 解:4444()d 1sin cos d d 11sin d 1i t tG e t t t t t t t i t t t t t i tt ωωωωω+∞--∞+∞+∞-∞-∞+∞-∞=⋅+⋅=⋅-++⋅=-+⎰⎰⎰⎰ 同(4).利用留数在积分中的应用,令4R()=1zz z +则44|sin d ()Im(d )11sin22i tt tt e i t i t t t ie ωωωω+∞+∞-∞-∞-⋅⋅-=-++=-⋅⋅⎰⎰.5.设函数F (t )是解析函数,而且在带形区域Im()t δ<内有界.定义函数()L G ω为/2/2()()e d .L i t L L G F t t ωω--=⎰证明当L →∞时,有1p.v.()e d ()2πi t L G F t ωωω∞-∞→⎰ 对所有的实数t 成立.(书上有推理过程) 6.求符号函数 1,0sgn 1,0||t t t t t -<⎧==⎨>⎩的傅里叶变换. 解: 因为1F (())π().u t i δωω=+⋅把函数sgn()t 与u(t)作比较.不难看出 sgn()()().t u t u t =-- 故:[]11F[sgn()]F(())F(())π()[π()]π()22π()()t u t u t i i i i δωδωωδωδωωω=--=+⋅-+⋅--=+--=7.已知函数()f t 的傅里叶变换()00F()=π()(),ωδωωδωω++-求()f t解:[]000-100000001()F (F())=π()()d 2πF(cos )=cos d d 2π[()()]()cos i ti t i t i t i tf t e t t e te e e tf t tωωωωωωδωωδωωωωωδωωδωωω+∞-∞+∞--∞-+∞--∞=⋅++-⋅+=⋅=++-=⎰⎰⎰而所以8.设函数f (t )的傅里叶变换()F ω,a 为一常数. 证明1[()]().f at F a a ωω⎛⎫=⎪⎝⎭1F[()]()()d ()d()i t i t f at f at e t f at e at a ωωω+∞+∞---∞-∞=⋅=⋅⎰⎰解:当a >0时,令u=at .则11F[()]()()d u i a f at f u e u F a a a ωωω-+∞-∞⎛⎫=⋅= ⎪⎝⎭⎰当a <0时,令u=at ,则1F[()]()F()f at a aωω=-. 故原命题成立.9.设()[]();F F f ωω=证明()()[]()F f t ωω=--F .证明:()[]()()()()()[]()[]()()[]()()e d e d e d e d e d .i t i u i i u u i t F f t f uf t u t f u f uu u f t F t ωωωωωωω+∞+∞--∞-∞+∞+∞--⋅-⋅--∞-∞+∞-⋅--∞=⋅=-⋅--=⋅=⋅=⋅=-⎰⎰⎰⎰⎰10.设()[]()F F f ωω=,证明:()[]()()()0001cos 2F f t F F t ωωωωωω⋅=-++⎡⎤⎣⎦以及()[]()()()0001sin .2F f t F F t ωωωωωω⋅=--+⎡⎤⎣⎦ 证明:()[]()()()()()0000000e +e cos 21e e 22212i t i t i t i t F f t F t f t F F f f t t F F ωωωωωωωωω--⎡⎤⋅=⋅⎢⎥⎣⎦⎧⎫⎡⎤⎡⎤=+⋅⋅⎨⎬⎢⎥⎢⎥⎣⎦⎣⎦⎩⎭=-++⎡⎤⎣⎦同理:()[]()()(){}()()0000000e e sin 21e e 212i t i t i t i t Ff t F f t t i F F f f t t i F F i ωωωωωωωωω--⎡⎤-⋅=⋅⎢⎥⎣⎦=-⎡⎤⎡⎤⋅⋅⎣⎦⎣⎦=--+⎡⎤⎣⎦ 11.设()()π0,0sin ,0t 200e ,t t t f g t t t -⎧<⎧≤≤⎪==⎨⎨≥⎩⎪⎩,其他计算()*f g t . 解:()())*(d f y g y t f g t y +∞-∞-=⎰当t y o -≥时,若0,t <则()0,f y =故()*f g t =0.若0,0,2t y t π<≤<≤则()()()0()d sin d *t ty f y g y e y t f g t y t y -=⋅--=⎰⎰若,0..222t t y t y t πππ>≤-≤⇒-≤≤则()()2sin d *ty t e y t f g y t π--⋅-=⎰故()()()20,01,0sin cos e *221e .1e 22t t t t t t f g t t πππ--<⎧⎪⎪<≤-+=⎨⎪⎪>+⎩12.设()u t 为单位阶跃函数,求下列函数的傅里叶变换.()()()0e sin 1at f t u t t ω-=⋅()()()()()()()00000000002002e sin e e sin e e e e e 211e d d d d e 2d 2at i t at i t i t i t ati ta i t a i t ttG F t u f t t t i i i t t a i ωωωωωωωωωωωωωωωω+∞-∞+∞+∞+∞+--------+--++⎡⎤⎡⎤⎣∞⎣⎦⎦=====-=⋅⋅⋅⋅⋅-⋅⋅++⎰⎰⎰⎰⎰解: 习题八1.求下列函数的拉普拉斯变换.(1)()sin cos f t t t =⋅,(2)4()etf t -=,(3)2()sin f t t=(4)2()f t t =, (5)()sinh f t bt=解: (1) 1()sin cos sin 22f t t t t =⋅=221121(())(sin 2)2244L f t L t s s ==⋅=++(2)411(())(e )24tL f t L s -==+(3)21cos 2()sin 2t f t t -==221cos21111122(())()(1)(cos2)222224(4)t L f t L L t s s s s -==-=⋅-⋅=++(4)232()L t s = (5)22e e 111111(())()(e )(e )22222bt bt bt bt bL f t L L L s b s b s b ---==-=⋅-⋅=-+-2.求下列函数的拉普拉斯变换.(1)2,01()1,120,2t f t t t ≤<⎧⎪=≤<⎨⎪≥⎩(2)cos ,0π()0,πt t f t t ≤<⎧=⎨≥⎩解: (1)1220011(())()e 2e e (2e e )st st st s s L f t f t dt dt dt s +∞-----=⋅=⋅+=--⎰⎰⎰(2)πππ2011e (())()e cos e (1e )1s ststsL f t f t dt t dt s s -+∞---+=⋅=⋅=+++⎰⎰3.设函数()cos ()sin ()f t t t t u t δ=⋅-⋅,其中函数()u t 为阶跃函数, 求()f t 的拉普拉斯变换.解:20222(())()e cos ()e sin ()e cos ()e sin e 11cos e 1111st st st st st stt L f t f t dt t t dt t u t dtt t dt t dts t s s s δδ+∞+∞+∞---+∞+∞---∞-==⋅=⋅⋅-⋅⋅=⋅⋅-⋅=⋅-=-=+++⎰⎰⎰⎰⎰4.求图8.5所表示的周期函数的拉普拉斯变换解:2()e 1(())1e (1e )Tst T Tas as f t dt as aL f t s s ---⋅+==---⎰5. 求下列函数的拉普拉斯变换.(1)()sin 2tf t lt l=⋅ (2)2()e sin5t f t t -=⋅(3)()1e t f t t =-⋅(4)4()e cos4t f t t -=⋅(5()(24)f t u t =- (6()5sin 23cos 2f t t t =-(7) 12()e t f t t δ=⋅ (8) 2()32f t t t =++ 解:(1)222222221()sin [()sin ]221()(())(sin )[()sin ]22112()22()()tf t lt t lt l lt F s L f t L lt L t lt l ll ls s l s l l s l s l =⋅=--⋅==⋅=--⋅-'=-=-⋅=+++(2)225()(())(e sin 5)(2)25t F s L f t L t s -==⋅=++21(3)()(())(1e )(1)(e )(e )1111()1(1)t t t F s L f t L t L L t L t ss s s s ==-⋅=-⋅=+-⋅'=+=--- (4)424()(())(e cos 4)(4)16t s F s L f t L t s -+==⋅=++(5) 1,2(24)0,t u t >⎧-=⎨⎩其他22()(())((24))=(24)e 1=e =e st st sF s L f t L u t u t dtdt s∞-∞--==--⋅⎰⎰(6)222()(())(5sin 23cos2)5(sin 2)3(cos2)210353444F s L f t L t t L t L t s ss s s ==-=--=⋅-⋅=+++ (7)12332213(1)()22()(())(e )()()t F s L f t L t s s δδδΓ+Γ==⋅==-- (8)2221()(())(32)()3()2(1)(232)F s L f t L t t L t L t L s s s ==++=++=++6.记[]()()L f s F s =,对常数0s ,若00Re()s s δ->,证明00[e ]()()s t L f s F s s ⋅=-证明:00000()()00[e ]()e ()e ()e ()e ()s t s t st s s t s s t L f s f t dtf t dt f t dt F s s ∞-∞∞---⋅=⋅⋅=⋅=⋅=-⎰⎰⎰7 记[]()()L f s F s =,证明:()()[(t)()]()n n F s L f t s =-⋅证明:当n=1时,0()()e st F s f t dt +∞-=⋅⎰0()[()e ][()e ]()e (())stst st F s f t dt f t dt t f t dt L t f t s+∞--+∞+∞-''=⋅∂⋅==-⋅⋅=-⋅∂⎰⎰⎰所以,当n=1时, ()()[(t)()]()n nFs L f t s =-⋅显然成立。
复变函数与积分变换(修订版)主编:马柏林(复旦大学出版社)——课后习题答案习题一1. 用复数的代数形式a +ib 表示下列复数π/43513;;(2)(43);711i i e i i i i i-++++++.①解i 4πππe cos isin 44-⎛⎫⎛⎫⎛⎫=-+- ⎪ ⎪ ⎪⎪⎝⎭⎝⎭⎝⎭②解: ()()()()35i 17i 35i 1613i 7i 11+7i 17i 2525+-+==-++-③解: ()()2i 43i 834i 6i 510i ++=-++=+ ④解: ()31i 1335=i i i 1i 222-+-+=-+2.求下列各复数的实部和虚部(z =x +iy )(z a a z a -∈+); 33311;;;.22n z i ⎛⎛-+-- ⎝⎭⎝⎭①: ∵设z =x +iy则()()()()()()()22i i i i i i x a y x a y x y a x a y z a z a x y a x a y x a y -++-⎡⎤⎡⎤+--+-⎣⎦⎣⎦===+++++++ ∴()22222Re z a x a y z a x a y ---⎛⎫= ⎪+⎝⎭++,()222Im z a xyz a x a y-⎛⎫=⎪+⎝⎭++. ②解: 设z =x +iy ∵()()()()()()()()323222222223223i i i 2i i 22i33iz x y x y x y x y xy x y x x y xy y x y x y x xy x y y =+=++=-++⎡⎤=--+-+⎣⎦=-+- ∴()332Re 3z x xy =-,()323Im 3z x y y =-.③解:∵(()(){}33232111313188-+⎡⎤⎡⎤==--⋅-⋅+⋅-⎢⎥⎢⎥⎣⎦⎣⎦⎝⎭()180i 18=+=∴Re 1=⎝⎭, Im 0=⎝⎭. ④解:∵()()(()2332313131i 8⎡⎤--⋅-⋅+⋅-⎢⎥⎣⎦=⎝⎭()180i 18=+=∴Re 1=⎝⎭, Im 0=⎝⎭. ⑤解: ∵()()1,2i 211i,kn kn k k n k ⎧-=⎪=∈⎨=+-⋅⎪⎩. ∴当2n k =时,()()Re i 1kn=-,()Im i 0n=;当21n k =+时,()Re i 0n =,()()Im i 1kn =-.3.求下列复数的模和共轭复数12;3;(2)(32);.2ii i i +-+-++①解:2i -+==2i 2i -+=--②解:33-=33-=-③解:()()2i 32i 2i 32i ++=++=()()()()()()2i 32i 2i 32i 2i 32i 47i ++=+⋅+=-⋅-=-④解:1i 1i 22++==()1i 11i222i ++-⎛⎫== ⎪⎝⎭4、证明:当且仅当z z =时,z 才是实数.证明:若z z =,设i z x y =+,则有 i i x y x y +=-,从而有()2i 0y =,即y =0 ∴z =x 为实数.若z =x ,x ∈ ,则z x x ==. ∴z z =.命题成立.5、设z ,w ∈ ,证明: z w z w ++≤证明∵()()()()2z w z w z w z w z w +=+⋅+=++()()22222Re z z z w w z w wz zw z w w z wz w =⋅+⋅+⋅+⋅=++⋅+=++⋅()2222222z w z wz w z w z w ++⋅=++⋅=+≤∴z w z w ++≤.6、设z ,w ∈ ,证明下列不等式. ()2222Re z w z z w w +=+⋅+ ()2222Re z w z z w w -=-⋅+()22222z w z w z w++-=+并给出最后一个等式的几何解释.证明:()2222Re z w z z w w +=+⋅+在上面第五题的证明已经证明了.下面证()2222Re z w z z w w -=-⋅+.∵()()()()222z w z w z w z w z w z z w w z w-=-⋅-=--=-⋅-⋅+()222Re z z w w =-⋅+.从而得证.∴()22222z w z w z w ++-=+几何意义:平行四边形两对角线平方的和等于各边的平方的和.3352π2π;;1;8π(1);.cos sin 7199i i i i +⎛⎫--+ ⎪+⎝⎭ ①解:()()()()35i 17i 35i 7i 117i 17i +-+=++-3816i 198i e 5025i θ⋅--==其中8πarctan 19θ=-.②解:e i i θ⋅=其中π2θ=.π2e i i =③解:ππi i 1e e -==④解:()28π116ππ3θ-+==-.∴()2πi 38π116πe--+=⋅⑤解:32π2πcos isin 99⎛⎫+ ⎪⎝⎭ 解:∵32π2πcosisin 199⎛⎫+= ⎪⎝⎭.∴322πi π.3i 932π2πcos isin 1e e 99⋅⎛⎫+=⋅= ⎪⎝⎭8.计算:(1)i 的三次根;(2)-1的三次根;(3)的平方根.⑴i 的三次根. 解:()13ππ2π2πππ22cos sin cosisin 0,1,22233++⎛⎫+=+= ⎪⎝⎭k k i k∴1ππ1cosisin i 662=+=+z .2551cos πisin πi 662=+=+z3991cos πisin πi 662=+=-z ⑵-1的三次根 解:()()132π+π2ππcos πisin πcosisin 0,1,233k k k ++=+=∴1ππ1cos isin 332=+=z 2cos πisin π1=+=-z3551cos πisin π332=+=-z的平方根. 解:πi 4e ⎫⎪⎪⎝⎭∴)()1π12i 44ππ2π2π44e6cos isin 0,122k k k ⎛⎫++ ⎪=⋅+= ⎪⎝⎭∴π11i 8441ππ6cos isin 6e 88⎛⎫=⋅+=⋅ ⎪⎝⎭z911πi 8442996cos πisin π6e 88⎛⎫=⋅+=⋅ ⎪⎝⎭z . 9.设2πe,2inz n =≥. 证明:110n z z -+++=证明:∵2πi e nz ⋅= ∴1n z =,即10n z -=.∴()()1110n z z z --+++=又∵n ≥2. ∴z ≠1 从而211+0n z z z -+++=11.设Γ是圆周{:},0,e .i z r r a c r z c α=>=+-令:Im 0z a L z b β⎧-⎫⎛⎫==⎨⎬⎪⎝⎭⎩⎭, 其中e i b β=.求出L β在a 切于圆周Γ的关于β的充分必要条件. 解:如图所示.因为L β={z : Im z a b -⎛⎫⎪⎝⎭=0}表示通过点a 且相切,则CA ⊥L β.过C 作直线平行L β,则有∠BCD =β,∠ACB =90° 故α-β=90°所以L β在α处切于圆周T 的关于β的充要条件是α-β=90°.12.指出下列各式中点z 所确定的平面图形,并作出草图.(1)arg π;(2);1(3)1|2;(4)Re Im ;(5)Im 1 2.z z z z i z z z z ==-<+<>><且解:(1)、argz =π.表示负实轴.(2)、|z -1|=|z |.表示直线z =12.(3)、1<|z +i|<2解:表示以-i 为圆心,以1和2为半径的周圆所组成的圆环域。
习题六1. 求映射1w z=下,下列曲线的像. (1) 22x y ax += (0a ≠,为实数) 解:222211i=+i i x y w u v z x y x y x y ===-+++ 221x x u x y ax a===+, 所以1w z =将22x y ax +=映成直线1u a=. (2) .y kx =(k 为实数) 解: 22221i x y w z x y x y ==-++ 故1w z=将y kx =映成直线v ku =-. 2. 下列区域在指定的映射下映成什么?(1)Im()0,(1i)z w z >=+;解: (1i)(i )()i(+)w x y x y x y =+⋅+=-+所以Im()Re()w w >.故(1i)w z =+⋅将Im()0,z >映成Im()Re()w w >.(2) Re(z )>0. 0<Im(z )<1, i w z=. 解:设z =x +i y , x >0, 0<y <1.Re(w )>0. Im(w )>0. 若w =u +i v , 则因为0<y <1,则22221101,()22u u v u v <<-+>+ 故i w z=将Re(z )>0, 0<Im(z )<1.映为 Re(w )>0,Im(w )>0, 1212w > (以(12,0)为圆心、12为半径的圆) 3. 求w =z 2在z =i 处的伸缩率和旋转角,问w =z 2将经过点z =i 且平行于实轴正向的曲线的切线方向映成w 平面上哪一个方向?并作图.解:因为w '=2z ,所以w '(i)=2i , |w '|=2, 旋转角arg w '=π2. 于是, 经过点i 且平行实轴正向的向量映成w 平面上过点-1,且方向垂直向上的向量.如图所示.→4. 一个解析函数,所构成的映射在什么条件下具有伸缩率和旋转角的不变性?映射w =z 2在z 平面上每一点都具有这个性质吗?答:一个解析函数所构成的映射在导数不为零的条件下具有伸缩率和旋转不变性映射w =z 2在z =0处导数为零,所以在z =0处不具备这个性质.5. 求将区域0<x <1变为本身的整体线性质变换w z αβ=⋅+的一般形式.6. 试求所有使点1±不动的分式线性变换. 解:设所求分式线性变换为az bw cz d +=+(ad -bc ≠0)由11-→-.得 因为(1)a z c dw cz d ++-=+, 即(1)(1)1a z c z w cz d ++++=+,由11→代入上式,得22a ca d c d +=⇒=+. 因此11(1)(1)dcd cd c w z z cz d z +++=+=+⋅++ 令dq c =,得其中a 为复数.反之也成立,故所求分式线性映射为1111w z a w z ++=⋅--, a 为复数.7. 若分式线性映射,az bw cz d +=+将圆周|z |=1映射成直线则其余数应满足什么条件? 解:若az bw cz d +=+将圆周|z |=1映成直线,则dz c =-映成w =∞. 而dz c =-落在单位圆周|z |=1,所以1dc -=,|c |=|d |.故系数应满足ad -bc ≠0,且|c |=|d |.8. 试确定映射,11z w z -=+作用下,下列集合的像.(1) Re()0z =; (2) |z |=2; (3) Im(z )>0.解:(1) Re(z )=0是虚轴,即z =i y 代入得. 写成参数方程为2211y u y -+=+, 221y v y =+, y -∞<<+∞.消去y 得,像曲线方程为单位圆,即u 2+v 2=1.(2) |z |=2.是一圆围,令i 2e ,02πz θθ=≤≤.代入得i i 2e 12e 1w θθ-=+化为参数方程.消去θ得,像曲线方程为一阿波罗斯圆.即(3) 当Im(z )>0时,即11Im()011w w z w w ++=-⇒<--, 令w =u +i v 得221(1)i 2Im()Im()01(1)i (1)w u v v w u v u v +++-==<--+-+. 即v >0,故Im(z )>0的像为Im(w )>0.9. 求出一个将右半平面Re(z )>0映射成单位圆|w |<1的分式线性变换.解:设映射将右半平面z 0映射成w =0,则z 0关于轴对称点0z 的像为w =∞, 所以所求分式线性变换形式为00z z w k z z -=⋅-其中k 为常数. 又因为00z z w k z z -=⋅-,而虚轴上的点z 对应|w |=1,不妨设z =0,则 故000e (Re()0)i z z w z z z θ-=⋅>-.10. 映射e 1i z w zϕαα-=⋅-⋅将||1z <映射成||1w <,实数ϕ的几何意义显什么? 解:因为 从而2i i 2221||1()e e (1||)1||w ϕϕαααα-'=⋅=⋅-- 所以i 2arg ()arge arg (1||)w ϕααϕ'=-⋅-=故ϕ表示i e 1z w zθαα-=⋅-在单位圆内α处的旋转角arg ()w α'. 11. 求将上半平面Im(z )>0,映射成|w |<1单位圆的分式线性变换w =f (z ),并满足条件(1) f (i)=0, arg (i)f '=0; (2) f (1)=1, f. 解:将上半平面Im(z )>0, 映为单位圆|w |<1的一般分式线性映射为w =k z z αα-⋅-(Im(α)>0). (1) 由f (i)=0得α=i ,又由arg (i)0f '=,即i 22i ()e (i)f z z θ'=⋅+, πi()21(i)e 02f θ-'==,得π2θ=,所以 i i iz w z -=⋅+. (2) 由f (1)=1,得k =11αα--;由f,得kα联立解得w =12. 求将|z |<1映射成|w |<1的分式线性变换w =f (z),并满足条件:(1) f (12)=0, f (-1)=1.(2) f (12)=0, 12πarg ()2f '=, (3) f (a )=a , arg ()f a ϕ'=.解:将单位圆|z |<1映成单位圆|w |<1的分式线性映射,为 i e 1z w zθαα-=-⋅ , |α|<1. (1) 由f (12)=0,知12α=.又由f (-1)=1,知 1i i i 2121e e (1)1e 1π1θθθθ--⋅=-=⇒=-⇒=+. 故12221112z z z w z --=-⋅=--. (2) 由f (12)=0,知12α=,又i 254e (2)z w z θ-'=⋅- i 11224π()e arg ()32f f θθ''=⇒==, 于是 π21i 2221e ()i 12z z z w z --==⋅--. (3) 先求=()z ξϕ,使z =a 0ξ→=,arg ()a ϕθ'=,且|z |<1映成|ξ|<1.则可知 i =()=e 1z a z a zθξϕ-⋅-⋅ 再求w =g (ξ),使ξ=0→w =a , arg (0)0g '=,且|ξ|<1映成|w |<1.先求其反函数=()w ξψ,它使|w|<1映为|ξ|<1,w =a 映为ξ=0,且arg ()arg(1/(0))0w g ψ''==,则 =()=1w a w a wξψ--⋅. 因此,所求w 由等式给出.i =e 11w a z a a w a zθ--⋅-⋅-⋅. 13. 求将顶点在0,1,i 的三角形式的内部映射为顶点依次为0,2,1+i 的三角形的内部的分式线性映射. 解:直接用交比不变性公式即可求得02w w --∶1i 01i 2+-+-=02z z --∶i 0i 1-- 2w w -.1i 21i +-+=1z z -.i 1i-4z (i 1)(1i)w z -=--+. 14. 求出将圆环域2<|z |<5映射为圆环域4<|w |<10且使f (5)=-4的分式线性映射.解:因为z=5,-5,-2,2映为w=-4,4,10,-10,由交比不变性,有2525-+∶2525---+=104104-+--∶104104+- 故w =f (z )应为55z z -+∶2525---+=44w w +-∶104105+- 即 44w w +-=55z z --+20w z⇒=-. 讨论求得映射是否合乎要求,由于w =f (z )将|z |=2映为|w |=10,且将z =5映为w =-4.所以|z |>2映为|w |<10.又w =f (z )将|z |=5映为|w |=4,将z =2映为w =-10,所以将|z |<5映为|w |>4,由此确认,此函数合乎要求.15.映射2w z =将z 平面上的曲线221124x y ⎛⎫-+= ⎪⎝⎭映射到w 平面上的什么曲线? 解:略.16. 映射w =e z 将下列区域映为什么图形.(1) 直线网Re(z )=C 1,Im(z )=C 2;(2) 带形区域Im(),02πz αβαβ<<≤<≤;(3) 半带形区域 Re()0,0Im(),02πz z αα><<≤≤.解:(1) 令z =x +i y , Re(z )=C 1,z =C 1+i y 1i =e e C y w ⇒⋅, Im(z )=C 2,则z =x +i C 22i =e e C x w ⇒⋅故=e z w 将直线Re(z )映成圆周1e C ρ=;直线Im(z )=C 2映为射线2C ϕ=.(2) 令z =x +i y ,y αβ<<,则i i =e e e e ,z x y x y w y αβ+==⋅<<故=e z w 将带形区域Im()z αβ<<映为arg()w αβ<<的张角为βα-的角形区域.(3) 令z =x +i y ,x >0,0<y < α, 02πα≤≤.则故=e zw 将半带形区域Re(z )>0,0<Im(z )<α, 02πα≤≤映为 |w |>1, 0arg w α<<(02πα≤≤).17. 求将单位圆的外部|z |>1保形映射为全平面除去线段-1<Re(w )<1,Im(w )=0的映射. 解:先用映射11w z=将|z |>1映为|w 1|<1,再用分式线性映射. 1211i 1w w w +=-⋅-将|w 1|<1映为上半平面Im(w 2)>0, 然后用幂函数232w w =映为有割痕为正实轴的全平面,最后用分式线性映射3311w w w -=+将区域映为有割痕[-1,1]的全平面. 故221121132222132111111i 1111111()11211i 1111z z z z w w w w w z w w z w w ⎛⎫⎛⎫++--⋅- ⎪ ⎪----⎝⎭⎝⎭=====+++⎛⎫⎛⎫++-⋅++ ⎪ ⎪--⎝⎭⎝⎭. 18. 求出将割去负实轴Re()0z -∞<≤,Im(z )=0的带形区域ππI m ()22z -<<映射为半带形区域πIm()πw -<<,Re(w )>0的映射.解:用1e z w =将区域映为有割痕(0,1)的右半平面Re(w 1)>0;再用1211ln 1w w w +=-将半平面映为有割痕(-∞,-1]的单位圆外域;又用3w =将区域映为去上半单位圆内部的上半平面;再用43ln w w =将区域映为半带形0<Im(w 4)<π,Re(w 4)>0;最后用42i πw w =-映为所求区域,故e 1ln e 1z z w +=-. 19. 求将Im(z )<1去掉单位圆|z |<1保形映射为上半平面Im(w )>0的映射.解:略.20. 映射cos w z =将半带形区域0<Re(z )<π,Im(z )>0保形映射为∞平面上的什么区域.解:因为 1cos ()2iz iz w z e e -==+ 可以分解为 w 1=i z ,12e ww =,32211()2w w w =+ 由于cos w z =在所给区域单叶解析,所以(1) w 1=i z 将半带域旋转π2,映为0<Im(w 1)<π,Re(w 1)<0. (2) 12e w w =将区域映为单位圆的上半圆内部|w 2|<1,Im(w 2)>0.(3) 2211()2w w w =+将区域映为下半平面Im(w )<0.。