高一(上)期末考试成绩
- 格式:xls
- 大小:32.50 KB
- 文档页数:1
高一年级期末考试成绩1. 引言高一年级期末考试成绩是学生们在高一学习阶段结束时的一次全面考核。
这次考试不仅能够反映学生们在各个学科上的学习情况,同时也对他们的学习能力和学习方法进行了一次检验。
本文将对高一年级期末考试成绩进行分析和讨论,探讨成绩背后的含义以及对学生们未来的影响。
2. 总体情况高一年级期末考试成绩综合了各个学科的表现,从语文、数学、英语、物理、化学、生物等方面评估了学生们的学业水平。
一般来说,高一年级期末考试成绩是学生们走向高二学习阶段的重要参考依据。
3. 成绩背后的含义3.1 学科水平评估语文、数学、英语等基础学科是衡量学生综合能力的重要指标。
高一年级期末考试成绩可以反映学生对这些学科知识的掌握程度。
在评估学生语文水平时,通过作文和阅读理解等题目,可以了解学生的写作能力和阅读理解能力。
对数学和英语等学科,通过解答问题和计算等题目,可以衡量学生的逻辑思维和问难解答能力。
3.2 学习态度和学习方法高一年级期末考试成绩还能反映学生的学习态度和学习方法。
对于那些成绩较好的学生,说明他们在学习上付出了较多的努力,注重细节的学习方法可能起到了积极的作用。
而对成绩较差的学生来说,可能意味着他们需要调整学习方法,提高学习效率。
4. 影响与应对策略4.1 对学生的影响高一年级期末考试成绩对学生未来的学习和发展具有重要影响。
成绩较好的学生可能会更加积极主动地参与课堂讨论,拥有更多的学习资源和机会。
而成绩较差的学生可能面临着补考或者需要在高二学习阶段更加努力提高成绩的压力。
4.2 应对策略面对高一年级期末考试成绩,学生们可以采取以下应对策略来提高学习水平:a. 重视基础学科:加强对语文、数学、英语等基础学科的学习,增加积累和练习。
b. 调整学习方法:及时总结和分析考试的失误和不足,调整学习方法和策略,提高学习效率。
c. 多参与课外活动:积极参加学校组织的各类活动,提高综合素质。
5. 结论高一年级期末考试成绩是学生们在高一学习阶段结束时的一次重要评估。
高一期末考试成绩背景高一期末考试是对学生在高中第一学年的学习成果进行评估的重要指标。
这次考试的成绩对学生是否能够顺利升入高二年级具有决定性的影响。
成绩分析总体表现期末考试的总体表现较为平均,大部分学生能够达到及格线以上的成绩。
成绩分布如下:分数段人数90及以上1080-89 3070-79 4060-69 2060以下10从上表可以看出,有10名学生获得了90分及以上的优异成绩,30名学生获得了80-89分的良好成绩,40名学生获得了70-79分的中等水平成绩,20名学生获得了60-69分的及格成绩,还有10名学生没有达到及格线。
科目表现数学数学科目是学生们的重点关注对象。
期末考试中,数学科目的平均分为80分,最高分为95分,最低分为60分。
成绩分布如下:分数段人数90及以上 580-89 2070-79 3060-69 1060以下 5可以看出,在数学科目中,有5名学生获得了90分及以上的优异成绩,20名学生获得了80-89分的良好成绩,30名学生获得了70-79分的中等水平成绩,10名学生获得了60-69分的及格成绩,还有5名学生没有达到及格线。
英语英语科目是学生们的另一个重要科目。
期末考试中,英语科目的平均分为85分,最高分为92分,最低分为70分。
成绩分布如下:分数段人数90及以上 380-89 1570-79 3560-69 560以下 2可以看出,在英语科目中,大部分学生获得了良好以上的成绩。
有3名学生获得了90分及以上的优异成绩,15名学生获得了80-89分的良好成绩,35名学生获得了70-79分的中等水平成绩,5名学生获得了60-69分的及格成绩,还有2名学生没有达到及格线。
个人表现李明李明同学是这次考试中的佼佼者,他获得了95分的总分,在班级中排名第一。
在数学科目中,他也是最高分,达到了92分的成绩。
此外,在英语科目中,他获得了90分的成绩,也是班级中的优等生。
张华张华同学是这次考试中的进步明显者,他的总分为80分,比上次考试的成绩提高了10分。
高一期末成绩分析与总结一、学科整体表现分析高一期末成绩分析显示,在各学科中,语文成绩整体表现较为稳定,数学成绩有所提高,英语成绩有待进一步提高,理科成绩相对较好而文科成绩相对较弱。
二、语文成绩分析语文作为一门基础性学科,在高一期末考试中表现出较好的稳定性。
学生在阅读理解和写作方面的表现较为突出,但是在词汇量和古文阅读方面仍存在一定的差距。
为了进一步提高语文成绩,学生应加强词汇积累和古文阅读训练。
三、数学成绩分析数学成绩整体有所提高,但部分学生在应用题和解题思路上仍存在较大困难。
在解题思维能力培养方面,需要更多的练习和实践。
为了提高数学成绩,学生应注重基础知识的掌握,并灵活运用于实际问题的解决过程中。
四、英语成绩分析英语成绩在高一期末考试中相对较低,主要表现在听力和口语方面。
学生需要更多的英语听说训练,扩大词汇量,并培养语感和表达能力。
同时,学习阅读技巧和写作技巧也是提高英语成绩的关键。
五、理科成绩分析理科成绩整体较好,学生在物理、化学和生物等学科方面表现出一定的实力。
然而,仍有个别学生在理论知识掌握和实验操作上存在欠缺。
为了进一步提高理科成绩,学生应注重实践操作和加强理论知识的巩固。
六、文科成绩分析文科成绩相对较弱,主要表现在历史和地理等学科中。
学生在知识记忆和分析能力上存在一定的欠缺。
提高文科成绩的关键在于积极参与课堂,注重复习和梳理知识框架,同时提升分析和解决问题的能力。
七、总结与建议综合以上成绩分析,为了提高高一学生的综合成绩,应注重以下几个方面的工作:1. 加强基础知识的掌握,充分理解和运用学科知识。
2. 增强解题思维能力,培养良好的问题分析与解决能力。
3. 注重实践操作,加强实验和实践能力的培养。
4. 扩大词汇量,提高听力和口语表达能力。
5. 注重课堂参与,积极主动地思考和表达。
6. 加强阅读和写作能力,培养文科学科的分析和解决问题的能力。
通过以上措施的有效实施,相信高一学生的学习成绩能够有所提高,为高中阶段的学习奠定坚实的基础。
高一期末成绩分析报告引言本文对高一期末成绩进行了全面的分析和总结。
通过对各个科目成绩的统计和分析,我们可以了解学生在不同科目上的表现,找出存在的问题,并提出改进措施,以进一步提高学生的学习成绩。
数据来源本次分析的数据来源于高一期末考试的成绩单,其中包括每位学生在各个科目上的得分情况。
数据经过整理和处理,以保护学生个人信息的安全和隐私。
成绩概况各科目平均得分分析显示,高一期末考试中,各科目的平均得分如下:•数学:80分•英语:75分•物理:78分•化学:82分•历史:70分•地理:72分从平均得分来看,化学科目成绩最高,历史科目成绩最低。
各科目成绩分布下图是各科目成绩的分布情况:科目成绩分布表格(省略)从图中可以看出,数学、英语和物理科目成绩相对较为集中,呈现正态分布的趋势;化学和历史科目成绩相对分散,呈现偏态分布的趋势;地理科目成绩分布较为平均。
各科目得分率得分率是指学生在某一科目上达到不同分数段的比例。
通过计算得分率,我们可以更加直观地了解学生在各个分数段上的表现。
科目得分率表格(省略)由表中数据可以看出,英语科目在90分以上的得分率相对较低,需要进一步加强学生的英语能力培养;数学、物理和化学科目在80~90分的得分率较高,说明学生在这些科目上的掌握程度较好。
学生综合素质分析综合素质是指学生在学业成绩以外的其他方面的表现,如思维能力、创新能力、合作能力等。
通过对学生综合素质的分析,可以全面了解学生的发展情况。
学生综合素质评价表下面是学生综合素质评价表的部分数据:学生综合素质评价表格(省略)通过对学生的综合素质评价,我们可以发现有些学生在学业成绩方面表现较好,但在创新能力和合作能力等方面有待提高。
因此,我们可以针对不同学生的特点,制定个性化的培养方案,以促进其全面发展。
学习方法分析学习方法是学生获得知识的途径和方式,对学习成绩有着重要的影响。
通过对学生的学习方法进行分析,可以为学生提供科学合理的学习建议。
2015年2月11日2014-2015年叶县高中期末考试学生成绩单学生家长您好:现将一01班学生刘秋实在本次联考的成绩公布如下2015年2月11日2014-2015年叶县高中期末考试学生成绩单学生家长您好:现将一01班学生王昊天在本次联考的成绩公布如下2015年2月11日2014-2015年叶县高中期末考试学生成绩单学生家长您好:现将一01班学生李世霖在本次联考的成绩公布如下2015年2月11日2014-2015年叶县高中期末考试学生成绩单学生家长您好:现将一01班学生张信哲在本次联考的成绩公布如下2015年2月11日2014-2015年叶县高中期末考试学生成绩单学生家长您好:现将一01班学生范慧棋在本次联考的成绩公布如下2015年2月11日2014-2015年叶县高中期末考试学生成绩单学生家长您好:现将一01班学生王金鹏在本次联考的成绩公布如下2015年2月11日2014-2015年叶县高中期末考试学生成绩单学生家长您好:现将一01班学生周世健在本次联考的成绩公布如下2015年2月11日2014-2015年叶县高中期末考试学生成绩单学生家长您好:现将一01班学生代铭哲在本次联考的成绩公布如下2015年2月11日2014-2015年叶县高中期末考试学生成绩单学生家长您好:现将一01班学生朱润祺在本次联考的成绩公布如下2015年2月11日2014-2015年叶县高中期末考试学生成绩单学生家长您好:现将一01班学生李梦悦在本次联考的成绩公布如下2015年2月11日2014-2015年叶县高中期末考试学生成绩单学生家长您好:现将一01班学生尚聪聪在本次联考的成绩公布如下2015年2月11日2014-2015年叶县高中期末考试学生成绩单学生家长您好:现将一01班学生余淑雅在本次联考的成绩公布如下2015年2月11日2014-2015年叶县高中期末考试学生成绩单学生家长您好:现将一01班学生宋晓辉在本次联考的成绩公布如下2015年2月11日2014-2015年叶县高中期末考试学生成绩单学生家长您好:现将一01班学生杨云霞在本次联考的成绩公布如下2015年2月11日2014-2015年叶县高中期末考试学生成绩单学生家长您好:现将一01班学生杨小露在本次联考的成绩公布如下2015年2月11日2014-2015年叶县高中期末考试学生成绩单学生家长您好:现将一01班学生郝振鹏在本次联考的成绩公布如下2015年2月11日2014-2015年叶县高中期末考试学生成绩单学生家长您好:现将一01班学生李冰在本次联考的成绩公布如下2015年2月11日2014-2015年叶县高中期末考试学生成绩单学生家长您好:现将一01班学生陈梦娇在本次联考的成绩公布如下2015年2月11日2014-2015年叶县高中期末考试学生成绩单学生家长您好:现将一01班学生王启迪在本次联考的成绩公布如下2015年2月11日2014-2015年叶县高中期末考试学生成绩单学生家长您好:现将一01班学生刘焰静在本次联考的成绩公布如下2015年2月11日2014-2015年叶县高中期末考试学生成绩单学生家长您好:现将一01班学生张帅举在本次联考的成绩公布如下2015年2月11日2014-2015年叶县高中期末考试学生成绩单学生家长您好:现将一01班学生黄雨晴在本次联考的成绩公布如下2015年2月11日2014-2015年叶县高中期末考试学生成绩单学生家长您好:现将一01班学生兰云鹤在本次联考的成绩公布如下2015年2月11日2014-2015年叶县高中期末考试学生成绩单学生家长您好:现将一01班学生杨新茹在本次联考的成绩公布如下2015年2月11日2014-2015年叶县高中期末考试学生成绩单学生家长您好:现将一01班学生张钰业在本次联考的成绩公布如下2015年2月11日2014-2015年叶县高中期末考试学生成绩单学生家长您好:现将一01班学生李昂在本次联考的成绩公布如下2015年2月11日2014-2015年叶县高中期末考试学生成绩单学生家长您好:现将一01班学生李志浩在本次联考的成绩公布如下2015年2月11日2014-2015年叶县高中期末考试学生成绩单学生家长您好:现将一01班学生魏鑫荻在本次联考的成绩公布如下2015年2月11日2014-2015年叶县高中期末考试学生成绩单学生家长您好:现将一01班学生陈逸飞在本次联考的成绩公布如下2015年2月11日2014-2015年叶县高中期末考试学生成绩单学生家长您好:现将一01班学生许金丽在本次联考的成绩公布如下2015年2月11日2014-2015年叶县高中期末考试学生成绩单学生家长您好:现将一01班学生张时强在本次联考的成绩公布如下2015年2月11日2014-2015年叶县高中期末考试学生成绩单学生家长您好:现将一01班学生刘会丽在本次联考的成绩公布如下2015年2月11日2014-2015年叶县高中期末考试学生成绩单学生家长您好:现将一01班学生朱芮霏在本次联考的成绩公布如下2015年2月11日2014-2015年叶县高中期末考试学生成绩单学生家长您好:现将一01班学生陈亚宁在本次联考的成绩公布如下2015年2月11日2014-2015年叶县高中期末考试学生成绩单学生家长您好:现将一01班学生刘鹏举在本次联考的成绩公布如下2015年2月11日2014-2015年叶县高中期末考试学生成绩单学生家长您好:现将一01班学生楚航在本次联考的成绩公布如下2015年2月11日2014-2015年叶县高中期末考试学生成绩单学生家长您好:现将一01班学生杨振东在本次联考的成绩公布如下2015年2月11日2014-2015年叶县高中期末考试学生成绩单学生家长您好:现将一01班学生赵晓静在本次联考的成绩公布如下2015年2月11日2014-2015年叶县高中期末考试学生成绩单学生家长您好:现将一01班学生段长林在本次联考的成绩公布如下2015年2月11日2014-2015年叶县高中期末考试学生成绩单学生家长您好:现将一01班学生张鹏斌在本次联考的成绩公布如下2015年2月11日2014-2015年叶县高中期末考试学生成绩单学生家长您好:现将一01班学生戴亚臻在本次联考的成绩公布如下2015年2月11日2014-2015年叶县高中期末考试学生成绩单学生家长您好:现将一01班学生高琼萨在本次联考的成绩公布如下2015年2月11日2014-2015年叶县高中期末考试学生成绩单学生家长您好:现将一01班学生张文涛在本次联考的成绩公布如下2015年2月11日2014-2015年叶县高中期末考试学生成绩单学生家长您好:现将一01班学生张德记在本次联考的成绩公布如下2015年2月11日2014-2015年叶县高中期末考试学生成绩单学生家长您好:现将一01班学生蒋正英在本次联考的成绩公布如下2015年2月11日2014-2015年叶县高中期末考试学生成绩单学生家长您好:现将一01班学生石文静在本次联考的成绩公布如下2015年2月11日2014-2015年叶县高中期末考试学生成绩单学生家长您好:现将一01班学生马牧原在本次联考的成绩公布如下2015年2月11日2014-2015年叶县高中期末考试学生成绩单学生家长您好:现将一01班学生高雪可在本次联考的成绩公布如下2015年2月11日2014-2015年叶县高中期末考试学生成绩单学生家长您好:现将一01班学生张文玺在本次联考的成绩公布如下2015年2月11日2014-2015年叶县高中期末考试学生成绩单学生家长您好:现将一01班学生王旭彬在本次联考的成绩公布如下2015年2月11日2014-2015年叶县高中期末考试学生成绩单学生家长您好:现将一01班学生樊绿迪在本次联考的成绩公布如下2015年2月11日2014-2015年叶县高中期末考试学生成绩单学生家长您好:现将一01班学生杜梦娇在本次联考的成绩公布如下2015年2月11日2014-2015年叶县高中期末考试学生成绩单学生家长您好:现将一01班学生王伟华在本次联考的成绩公布如下2015年2月11日2014-2015年叶县高中期末考试学生成绩单学生家长您好:现将一01班学生杜金珂在本次联考的成绩公布如下2015年2月11日2014-2015年叶县高中期末考试学生成绩单学生家长您好:现将一01班学生蒋云翀在本次联考的成绩公布如下2015年2月11日2014-2015年叶县高中期末考试学生成绩单学生家长您好:现将一01班学生张一涵在本次联考的成绩公布如下2015年2月11日2014-2015年叶县高中期末考试学生成绩单学生家长您好:现将一01班学生邢君在本次联考的成绩公布如下2015年2月11日2014-2015年叶县高中期末考试学生成绩单学生家长您好:现将一01班学生马尚飞在本次联考的成绩公布如下2015年2月11日2014-2015年叶县高中期末考试学生成绩单学生家长您好:现将一01班学生关硕在本次联考的成绩公布如下2015年2月11日2014-2015年叶县高中期末考试学生成绩单学生家长您好:现将一02班学生高盼盼在本次联考的成绩公布如下2015年2月11日2014-2015年叶县高中期末考试学生成绩单学生家长您好:现将一02班学生全会勇在本次联考的成绩公布如下2015年2月11日2014-2015年叶县高中期末考试学生成绩单学生家长您好:现将一02班学生刘崇在本次联考的成绩公布如下2015年2月11日2014-2015年叶县高中期末考试学生成绩单学生家长您好:现将一02班学生孙佳鑫在本次联考的成绩公布如下2015年2月11日2014-2015年叶县高中期末考试学生成绩单学生家长您好:现将一02班学生张明辉在本次联考的成绩公布如下2015年2月11日2014-2015年叶县高中期末考试学生成绩单学生家长您好:现将一02班学生赵钟阳在本次联考的成绩公布如下2015年2月11日2014-2015年叶县高中期末考试学生成绩单学生家长您好:现将一02班学生王昱旻在本次联考的成绩公布如下2015年2月11日2014-2015年叶县高中期末考试学生成绩单学生家长您好:现将一02班学生张茜童在本次联考的成绩公布如下2015年2月11日2014-2015年叶县高中期末考试学生成绩单学生家长您好:现将一02班学生蒋月在本次联考的成绩公布如下2015年2月11日2014-2015年叶县高中期末考试学生成绩单学生家长您好:现将一02班学生庞文静在本次联考的成绩公布如下2015年2月11日2014-2015年叶县高中期末考试学生成绩单学生家长您好:现将一02班学生王钊在本次联考的成绩公布如下2015年2月11日2014-2015年叶县高中期末考试学生成绩单学生家长您好:现将一02班学生李自龙在本次联考的成绩公布如下2015年2月11日2014-2015年叶县高中期末考试学生成绩单学生家长您好:现将一02班学生张荣榜在本次联考的成绩公布如下2015年2月11日2014-2015年叶县高中期末考试学生成绩单学生家长您好:现将一02班学生宋怡雯在本次联考的成绩公布如下2015年2月11日2014-2015年叶县高中期末考试学生成绩单学生家长您好:现将一02班学生韩应苛在本次联考的成绩公布如下2015年2月11日2014-2015年叶县高中期末考试学生成绩单学生家长您好:现将一02班学生王文蕊在本次联考的成绩公布如下2015年2月11日2014-2015年叶县高中期末考试学生成绩单学生家长您好:现将一02班学生郜鑫茹在本次联考的成绩公布如下2015年2月11日2014-2015年叶县高中期末考试学生成绩单学生家长您好:现将一02班学生包安妮在本次联考的成绩公布如下2015年2月11日2014-2015年叶县高中期末考试学生成绩单学生家长您好:现将一02班学生高旭柯在本次联考的成绩公布如下2015年2月11日2014-2015年叶县高中期末考试学生成绩单学生家长您好:现将一02班学生林靖松在本次联考的成绩公布如下2015年2月11日2014-2015年叶县高中期末考试学生成绩单学生家长您好:现将一02班学生张崧傧在本次联考的成绩公布如下2015年2月11日2014-2015年叶县高中期末考试学生成绩单学生家长您好:现将一02班学生祁上杰在本次联考的成绩公布如下2015年2月11日2014-2015年叶县高中期末考试学生成绩单学生家长您好:现将一02班学生兰书培在本次联考的成绩公布如下2015年2月11日2014-2015年叶县高中期末考试学生成绩单学生家长您好:现将一02班学生王梦可在本次联考的成绩公布如下2015年2月11日2014-2015年叶县高中期末考试学生成绩单学生家长您好:现将一02班学生姬正阳在本次联考的成绩公布如下2015年2月11日2014-2015年叶县高中期末考试学生成绩单学生家长您好:现将一02班学生潘克君在本次联考的成绩公布如下2015年2月11日2014-2015年叶县高中期末考试学生成绩单学生家长您好:现将一02班学生张瑞丽在本次联考的成绩公布如下2015年2月11日2014-2015年叶县高中期末考试学生成绩单学生家长您好:现将一02班学生王闪在本次联考的成绩公布如下2015年2月11日2014-2015年叶县高中期末考试学生成绩单学生家长您好:现将一02班学生刘乐乐在本次联考的成绩公布如下2015年2月11日2014-2015年叶县高中期末考试学生成绩单学生家长您好:现将一02班学生陈雅静在本次联考的成绩公布如下2015年2月11日2014-2015年叶县高中期末考试学生成绩单学生家长您好:现将一02班学生康静怡在本次联考的成绩公布如下2015年2月11日2014-2015年叶县高中期末考试学生成绩单学生家长您好:现将一02班学生孙可蹬在本次联考的成绩公布如下2015年2月11日2014-2015年叶县高中期末考试学生成绩单学生家长您好:现将一02班学生滕婉娅在本次联考的成绩公布如下2015年2月11日2014-2015年叶县高中期末考试学生成绩单学生家长您好:现将一02班学生刘玘爽在本次联考的成绩公布如下2015年2月11日2014-2015年叶县高中期末考试学生成绩单学生家长您好:现将一02班学生燕盼盼在本次联考的成绩公布如下2015年2月11日2014-2015年叶县高中期末考试学生成绩单学生家长您好:现将一02班学生岳淑蕾在本次联考的成绩公布如下2015年2月11日2014-2015年叶县高中期末考试学生成绩单学生家长您好:现将一02班学生万玲潘在本次联考的成绩公布如下2015年2月11日2014-2015年叶县高中期末考试学生成绩单学生家长您好:现将一02班学生李萌在本次联考的成绩公布如下2015年2月11日2014-2015年叶县高中期末考试学生成绩单学生家长您好:现将一02班学生顾超在本次联考的成绩公布如下2015年2月11日2014-2015年叶县高中期末考试学生成绩单学生家长您好:现将一02班学生韩森杰在本次联考的成绩公布如下2015年2月11日2014-2015年叶县高中期末考试学生成绩单学生家长您好:现将一02班学生杨涛鹏在本次联考的成绩公布如下2015年2月11日2014-2015年叶县高中期末考试学生成绩单学生家长您好:现将一02班学生黄书娜在本次联考的成绩公布如下2015年2月11日2014-2015年叶县高中期末考试学生成绩单学生家长您好:现将一02班学生孙太鑫在本次联考的成绩公布如下2015年2月11日2014-2015年叶县高中期末考试学生成绩单学生家长您好:现将一02班学生牛思兵在本次联考的成绩公布如下2015年2月11日2014-2015年叶县高中期末考试学生成绩单学生家长您好:现将一02班学生谷润婷在本次联考的成绩公布如下2015年2月11日2014-2015年叶县高中期末考试学生成绩单学生家长您好:现将一02班学生桂晨在本次联考的成绩公布如下2015年2月11日2014-2015年叶县高中期末考试学生成绩单学生家长您好:现将一02班学生王之源在本次联考的成绩公布如下2015年2月11日2014-2015年叶县高中期末考试学生成绩单学生家长您好:现将一02班学生杨梦迪在本次联考的成绩公布如下2015年2月11日2014-2015年叶县高中期末考试学生成绩单学生家长您好:现将一02班学生任旺在本次联考的成绩公布如下2015年2月11日2014-2015年叶县高中期末考试学生成绩单学生家长您好:现将一02班学生赵运强在本次联考的成绩公布如下2015年2月11日2014-2015年叶县高中期末考试学生成绩单学生家长您好:现将一02班学生闫家明在本次联考的成绩公布如下2015年2月11日2014-2015年叶县高中期末考试学生成绩单学生家长您好:现将一02班学生娄嘉龙在本次联考的成绩公布如下2015年2月11日2014-2015年叶县高中期末考试学生成绩单学生家长您好:现将一02班学生侯得果在本次联考的成绩公布如下2015年2月11日2014-2015年叶县高中期末考试学生成绩单学生家长您好:现将一02班学生叶璐阳在本次联考的成绩公布如下2015年2月11日2014-2015年叶县高中期末考试学生成绩单学生家长您好:现将一02班学生朱兴辉在本次联考的成绩公布如下2015年2月11日2014-2015年叶县高中期末考试学生成绩单学生家长您好:现将一02班学生杜林珂在本次联考的成绩公布如下2015年2月11日2014-2015年叶县高中期末考试学生成绩单学生家长您好:现将一02班学生詹智涛在本次联考的成绩公布如下2015年2月11日2014-2015年叶县高中期末考试学生成绩单学生家长您好:现将一03班学生郭孟津在本次联考的成绩公布如下2015年2月11日2014-2015年叶县高中期末考试学生成绩单学生家长您好:现将一03班学生潘申阳在本次联考的成绩公布如下2015年2月11日2014-2015年叶县高中期末考试学生成绩单学生家长您好:现将一03班学生杨勇攀在本次联考的成绩公布如下2015年2月11日2014-2015年叶县高中期末考试学生成绩单学生家长您好:现将一03班学生兰建杭在本次联考的成绩公布如下2015年2月11日2014-2015年叶县高中期末考试学生成绩单学生家长您好:现将一03班学生崔梦娟在本次联考的成绩公布如下2015年2月11日2014-2015年叶县高中期末考试学生成绩单学生家长您好:现将一03班学生闫苗苗在本次联考的成绩公布如下2015年2月11日2014-2015年叶县高中期末考试学生成绩单学生家长您好:现将一03班学生赵丽滢在本次联考的成绩公布如下2015年2月11日2014-2015年叶县高中期末考试学生成绩单学生家长您好:现将一03班学生毛沛龙在本次联考的成绩公布如下2015年2月11日2014-2015年叶县高中期末考试学生成绩单学生家长您好:现将一03班学生节鹏飞在本次联考的成绩公布如下2015年2月11日2014-2015年叶县高中期末考试学生成绩单学生家长您好:现将一03班学生宁梦娜在本次联考的成绩公布如下2015年2月11日2014-2015年叶县高中期末考试学生成绩单学生家长您好:现将一03班学生高兴业在本次联考的成绩公布如下2015年2月11日2014-2015年叶县高中期末考试学生成绩单学生家长您好:现将一03班学生侯泓捷在本次联考的成绩公布如下2015年2月11日2014-2015年叶县高中期末考试学生成绩单学生家长您好:现将一03班学生张梦迪在本次联考的成绩公布如下2015年2月11日2014-2015年叶县高中期末考试学生成绩单学生家长您好:现将一03班学生郑奇峰在本次联考的成绩公布如下2015年2月11日2014-2015年叶县高中期末考试学生成绩单学生家长您好:现将一03班学生刘景怡在本次联考的成绩公布如下2015年2月11日2014-2015年叶县高中期末考试学生成绩单学生家长您好:现将一03班学生侯鹏涛在本次联考的成绩公布如下2015年2月11日2014-2015年叶县高中期末考试学生成绩单学生家长您好:现将一03班学生凌佳在本次联考的成绩公布如下2015年2月11日2014-2015年叶县高中期末考试学生成绩单学生家长您好:现将一03班学生齐淑明在本次联考的成绩公布如下2015年2月11日2014-2015年叶县高中期末考试学生成绩单学生家长您好:现将一03班学生赵建业在本次联考的成绩公布如下2015年2月11日2014-2015年叶县高中期末考试学生成绩单学生家长您好:现将一03班学生金沛权在本次联考的成绩公布如下2015年2月11日2014-2015年叶县高中期末考试学生成绩单学生家长您好:现将一03班学生孟春阳在本次联考的成绩公布如下2015年2月11日2014-2015年叶县高中期末考试学生成绩单学生家长您好:现将一03班学生王卓凡在本次联考的成绩公布如下2015年2月11日2014-2015年叶县高中期末考试学生成绩单学生家长您好:现将一03班学生王世锦在本次联考的成绩公布如下2015年2月11日2014-2015年叶县高中期末考试学生成绩单学生家长您好:现将一03班学生王培鑫在本次联考的成绩公布如下2015年2月11日2014-2015年叶县高中期末考试学生成绩单学生家长您好:现将一03班学生高哲在本次联考的成绩公布如下2015年2月11日2014-2015年叶县高中期末考试学生成绩单学生家长您好:现将一03班学生张洁在本次联考的成绩公布如下2015年2月11日2014-2015年叶县高中期末考试学生成绩单学生家长您好:现将一03班学生刘世杰在本次联考的成绩公布如下2015年2月11日2014-2015年叶县高中期末考试学生成绩单学生家长您好:现将一03班学生宣妍在本次联考的成绩公布如下2015年2月11日2014-2015年叶县高中期末考试学生成绩单学生家长您好:现将一03班学生窦旭阳在本次联考的成绩公布如下2015年2月11日2014-2015年叶县高中期末考试学生成绩单学生家长您好:现将一03班学生刘小其在本次联考的成绩公布如下2015年2月11日2014-2015年叶县高中期末考试学生成绩单学生家长您好:现将一03班学生徐腾航在本次联考的成绩公布如下2015年2月11日2014-2015年叶县高中期末考试学生成绩单学生家长您好:现将一03班学生兰玲玲在本次联考的成绩公布如下2015年2月11日2014-2015年叶县高中期末考试学生成绩单学生家长您好:现将一03班学生吉少康在本次联考的成绩公布如下2015年2月11日2014-2015年叶县高中期末考试学生成绩单学生家长您好:现将一03班学生杨松柯在本次联考的成绩公布如下2015年2月11日2014-2015年叶县高中期末考试学生成绩单学生家长您好:现将一03班学生郑玉竹在本次联考的成绩公布如下2015年2月11日2014-2015年叶县高中期末考试学生成绩单学生家长您好:现将一03班学生谷晨阳在本次联考的成绩公布如下2015年2月11日2014-2015年叶县高中期末考试学生成绩单学生家长您好:现将一03班学生马婉婷在本次联考的成绩公布如下2015年2月11日2014-2015年叶县高中期末考试学生成绩单学生家长您好:现将一03班学生张乐乐在本次联考的成绩公布如下2015年2月11日2014-2015年叶县高中期末考试学生成绩单学生家长您好:现将一03班学生樊微微在本次联考的成绩公布如下2015年2月11日2014-2015年叶县高中期末考试学生成绩单学生家长您好:现将一03班学生李梦清在本次联考的成绩公布如下2015年2月11日2014-2015年叶县高中期末考试学生成绩单学生家长您好:现将一03班学生丁光宇在本次联考的成绩公布如下2015年2月11日2014-2015年叶县高中期末考试学生成绩单学生家长您好:现将一03班学生梁新月在本次联考的成绩公布如下2015年2月11日2014-2015年叶县高中期末考试学生成绩单学生家长您好:现将一03班学生贾竣然在本次联考的成绩公布如下2015年2月11日2014-2015年叶县高中期末考试学生成绩单学生家长您好:现将一03班学生刘晴在本次联考的成绩公布如下。
15黎子华110149138969690899294954 26罗梦诗108141134989588949298948 36黄小珏110146123998987979294937 45车俊陶106144133868189939698926 56郭柱宏1061371199683939194100919 65戴才杰101140125839288959696916 75劳马东103130125979288919393912 85陈晓琼1071361268889968880100910 86李一鸿101142121918591939294910 105林杨胜110140131878885879190909 105龙健雄109149137908380848889909 125戚春梅108131123848884929697903 126梁碗佳107145122948883818697903 145林景富91140131908980869897902 157黎卓玲103132123999695739090901 166全铭心114142122878372889596899 175邓清文112126130778984948394889 185叶景榕98136119958884918691888 195徐毓蔚1011351388180838485100887 206李雨柔98128138857891858994886 215谢康文1021251368585878084100884 225陈越敏107108121838687969597880 237叶靖达110129110868586879292877 246王康梅107130117818679949092876 256李宏伟106130126958273839089874 266王春燕107132125858085868686872 275卢世林94130127848182879492871 285陈锦漪101143128848478787698870 296袁梓晽101124123887388948890869 306陈渊锐103141117877979828496868 316余川96110132879183929185867 325陈德华81141120846889899597864 335苏美鸿104132123767282888798862 345谢汛恺105134116748180918791859 356陈义文103120121948381818590858 358樊文华8013295979487948198858 3726杨远林100130887688948890100854 386梁欣欣104137128685775939398853 396黎思嘉100129120817482878594852 396郑洲钊92138120898383778486852 398陈舒琪108106106808892859790852 424麦世鑫110106118798578918599851 436冼丹榕97128126847384778695850 446陈婵嫔107136116778473848983849 458潘舒怡112121117717589848593847 466李子晴103127108878082758796845 477周莹莹103118124836380898896844 4811苏用恒11199120748787769198843第 1 页,共 40 页4913马振迪98132118766388899187842 508陈海鹏108108107837875939594841 515张东慧107131111786873878798840 525陈欣欣109106135767569829196839 5311林景潘94120112839490737795838 546李曼琪111111130806273898695837 546黄非凡102103128787174919397837 546沈中驰83128107779084918394837 5411李宏鹏105107119728086858796837 586韩日瑜9412184829483889496836 588何源泰91135115768576769389836 605陈熙文100108103897189879197835 615黄梓峰109113114818073858693834 615蔡宇鸿96135107778073868694834 637郑沛源95116116778076799698833 646黄俊武99133107798674738297830 648李华锋10010695868791828796830 666卜婉蔓92112118848078917995829 667黄毓美100124109768079858294829 6611卢彦廷10390114758588908896829 695黄妙丽101119119726982818994826 708沈晓雁115111112776879938189825 7120马燕东10011980838483948992824 7211袁善源110921106969879095100822 737缪娟萍101112115877179838786821 745林振辉86106116856989908593819 7421陈志伟97143100867391607594819 7429冼帅志97123120685284919292819 774韩衍聪9511898917682809286818 775吴巧雯100115132707370888684818 777余宇民10713787807982828876818 778吴峥嵘91113105787780928696818 7711何君华9695112708386849399818 8219黄芝粤9711756918794938696817 835朱仁杰91118120697274959681816 847刘浩然10412788807270938794815 856欧忠宇106110116837070878784813 857余浩祺93108115787983898781813 8514杨宜帆85124100978881648292813 8519洪华平103121104716869958795813 8915袁铭泽9613889777580899474812 8927徐思恩93133111677076927892812 913肖国亮10012296859075678294811 925郑紫叶93140120727973828071810 925陈锦华85118116918175748090810 9213黄广业9197124757481908989810 9227常粒权96127102818672837093810 966赵丽建101125122845574858281809第 2 页,共 40 页9611李炳宽98117128519283767292809 982文天赐107120127898476728053808 983黄东超9313490817580718698808 1005李嘉杰96117138637275788187807 1005陈晓军100140129707063888463807 1027叶沛鑫10310795796485879096806 10222王文婕10279115819084888186806 10227符启东9812986907482639292806 1057杨晓雯97117128685586818984805 1058王彩月106108121766171858691805 10519陈海铭106100118776769888694805 1085何蔚伶94118125727278788087804 1086苏莆文88122130837978766385804 1087刘容榆8313095848273778298804 1088钟舟雨9513498796576868289804 1125程欣颖107118135626267878580803 11213戴小娟100107119796375738899803 11421陈仁9212093917488807688802 11519吴任平92110119756974869086801 1166吴洁怡104104124615375949095800 1168李林燕10289118767377869089800 11628钟陈庆8511199717381969688800 1196刘承恩92120124825577928473799 1207叶鸿宇98108102826391818984798 12012陈卓然93115129767371907873798 12018陈文政90103109717781829293798 12027苏建文10312799706586857687798 1246欧晓倩10194134726071928390797 1255陈卓颖93128128776979687282796 1256许文俊10712697744873879193796 12528杨泽伟94123112726186768884796 12812田景超100124120546286769281795 12816林举就9011498778885827487795 1306招映霞112117112655774769190794 1307李仕禄87129709474818178100794 1324唐俊威9611390697488769295793 13225陈小玲1019195807885848693793 1346周子淳110117122835162848677792 1346钟昌学91115112757574838285792 1347黄凤莲11397102679080967572792 1348卜倩怡9993102817386848985792 13411李靖瑜9682104667684968999792 13425唐勤伟8812091837181877992792 1407钟景发89115112827560739590791 14012赖剑峰88114105737575828891791 1425陈海波90116116706781828780789 1425方鹏程87106118694580939596789 1425朱穗茵104107117635285948186789第 3 页,共 40 页1427吴仲华97100110767579848880789 14210陈静娴101107110648177928077789 1477郑志强101128106825467758788788 14725林启鹏82119104737372798898788 1491徐思宇9496110806884769089787 1495杨东儒106126108727476728172787 1499彭淑林9889108667080908898787 14920劳思远9811982727573898396787 14926粱昌毅9710795707978839187787 1546王红蓝93111112747574818779786 1547许金凤97118108806981817577786 15620吕良伟9512297645576929391785 15628谢万诗9110297777182947695785 1587李让98111108627772759586784 1589沈华辉8411495698584837991784 15819陈彩连99110101696482818494784 1617张康泽10897109757366768792783 16129彭小霞10512882696482918082783 1638郑志伟909486898178889185782 1638陈翠兰949993816186938590782 16311周佐仁9099102688077888395782 16321庄怡105110128636077768083782 16328王学鹏9312464727687957893782 1688潘嘉茵9895109627582888488781 16825戴春仁10711690746370858294781 16828祝晓恒8111075778382859494781 1718郑荆羽92110107697961858592780 17112万文慧10097120547375868986780 17128余重9111478946981807895780 1743陈建龙9611380728573788696779 1746梁育豪9413996745573758687779 1747罗文慧96112115774872897892779 17417李如10580108676773989091779 1787郑守勇9810783806878917796778 1788刘巧钰10589109846971828584778 17828陈镇铸8591115746576908993778 17828陈文悦8212966936678897798778 1827李媚10184122647678827694777 1837郑景林9495859068847981100776 1848陈翠花1149288696576878599775 1848叶巧如11471108835978868888775 18428文明泽94112110706277759580775 1873蔡秀定9098120796677668593774 1879陈伟彬8712288885880818783774 18712许涛8513271797076818595774 18728黄俊杰91113117747078786885774 18728洪柳婷90112121706171759480774 1928全正中93101112826075868084773第 4 页,共 40 页1928黄思凡93127101837563777876773 19211麦思乐9011395718378797589773 19219周和创10875107527874969192773 19226徐兰青9811595717477727893773 1978陈猴贵9695109646382898787772 19713陈丽鑫11010590626870938391772 1991黄国豪93102106717376848185771 1996康雨茵10597120695869918181771 1997陈观侨10211495646678768888771 1998邓晓聪9579108758286768090771 1999李航桦8511190917377698689771 19926吴海映10610396706875877888771 19928杨顺明8510197727178938688771 19928薛石泰86115106825378858086771 19929吴小惠9311582796783868185771 2087戴莉莉99101120696166938279770 2087李梓欣10410195728173858871770 21021周尚营8010982727790858688769 21118李许明90114103877577806874768 21124陈铮华87107113656384857688768 21128郑晓华102106115575788809370768 2142袁冬梅98118119755666707689767 21429黄丽秀9011885786673917789767 2163周锦鑫989893868076768376766 21623詹凯欣1039192756389908380766 21627陈进芳8811586725586908490766 2194梁德豪9312178837964767992765 2196肖铭池94109128826180677470765 21913庞植元84118104857967906771765 21924陈美丽10514197716562836180765 21927麦健成9112483737173787993765 21928吴东腾8211881707382859183765 2253梁心如100103100837072707888764 2253张博艺10011976857478728080764 2258许莘杰9510492777779737889764 22520袁华启10112570765376938981764 2299杨邦造9112575897173827681763 22918林欣欣104120102716265866984763 22918陆倩冰1068396736181848396763 22922何壮9710485737271898290763 22927苏颖103122110496264768196763 2342陈绘莹10699102616278868286762 2346卢斯然99120123655065787983762 2347张陈连8012995825077818088762 2348蔡德剑94124105736474748470762 23420杨华明9611794755872897388762 2397白华娟113119122595267727681761 2398王景爱10185113786978837183761第 5 页,共 40 页2399李梦怡1068690717874849181761 23912陈华谋87130102908175487276761 2435庞茹尹99122128484558878984760 2436柯亮亮90145100838580756834760 2438姚景聪9010198786879758091760 24326黄祥晋9796103728261759084760 2477陈金蔚10113094755561789075759 24712余娴婧9791125727363778774759 24722赵马强9498104827070878074759 24727郁德礼8611780676186868492759 2515黄林非9212399737175608877758 25113徐博9812093767862837672758 25115卜水蜜961041025849719088100758 25119黎日升939679835581919387758 2552黄金丽9592119676771866595757 2554邓建明10295110557370858879757 2555陈婉妮106103121624170848783757 25512刘昶杉9892120736458839079757 25520钟敏婷99122115565583879248757 26011吴忠文10880108548274738691756 26011林景杰10280111668480707093756 26022符号东9410597856277677792756 2632黄晓丹8710791708087807281755 2635陈俊宇81114119727163747289755 26311陈俊英8610393748283667791755 26311陈柏林91103114538566787986755 26324钟崇铭9611285697571877486755 26328黄华城8512392636869837993755 2698陈诗韵1059296645781858391754 26912陈泰燊83111117716073887774754 26924秦晓婷100119117565066906690754 26928陈广杭9111590557071908389754 2738钟有志9010185699264688995753 27311吴尚秋1009188728775668787753 27315庄宗儒95102103766672678290753 27317邓诗欣9899108685881837781753 27321吴景田989181638075829687753 27322陈境丽1068092658069908685753 2791苏海桃1028896726084807595752 2798林秋雯1018999685480898191752 2798蔡盈盈909091567879898693752 27915杨良才8811791906076647294752 27918叶永振87120105765376877474752 27927殷德保9513396636470747879752 28525李建青879698788074787090751 2867程欣如103107108635569838676750 2868黄嘉璇9097105696274848683750 28618马嘉聪8510076738184827693750第 6 页,共 40 页28620林奕伦9211574566489888587750 28627罗媛鸿9811193725372838682750 2914罗睿智8610597786076748885749 2917李文霞100107103745764878077749 29112陈黄静96111103716669827774749 2945陈小凤96116105596366807192748 2948吴凤欣10874117665566909082748 29411陈远筹879396708265748794748 29424李开达949091677074927892748 2981林志发96118116786263707272747 2988黄思豪9111093607372789080747 29812王小莹8586122706666889173747 29814徐东区8811266756181819192747 29822袁颖森959690677576838382747 3034郭雯怡9092106796169868083746 3035李钊勤82122102736661828276746 3036李思婕105102104636073748778746 30317杨满10970113547769958376746 30317陈俊杰5897107787690817386746 30324肖诗婷79113118666078807181746 30325郑观娴9310484657970849275746 31025何海媚86102120596067847790745 31029陈华8913166788386646583745 3121陈广鸿78114105707565697989744 31212陈美霞90117100763668799385744 31212杨可欣8890116595882908180744 31213麦超颐939590686980799278744 3161杨健民96931075760717485100743 3161陈丽颖8396120626578678686743 3163陈妙蝉10494100568073857180743 3167吴云云98112111686466718271743 31617王泽伟9998108664868808888743 31624李广柠9512687667269766686743 31626陈里坤87115103754076848776743 32318周锦秀7711490678370817090742 32327钟文海10712588706673836862742 32329钟文聪9210572705076889396742 3267李博才1079096855366768781741 3267赵子轩9010391657765698992741 32610朱源8399117675475758685741 32614黄日文9011183646671908284741 32623林诗诗1029772627478778792741 3316戴秉成9793112736064709180740 3317廖雪娴10497113694777787679740 3318张玉凤1018494626083788494740 3319罗乾锐90102103806362838176740 33112麦忠禹799892646272888798740 33119陈马弟999181805882848085740第 7 页,共 40 页33124戴志鹏9010977768565758380740 33128徐昕然98100104605384818872740 3397劳洁茹9011275677676758088739 3399吴昌栋8212095595373758795739 33911黄静茹10571105557073908387739 33913朱晓林10494100775276848468739 33916杨华浩9010679746674799279739 33916符圣文9010991796168758581739 33926林慧娴8779128616082878471739 33928叶华佩9794103616073878678739 34715陈劳妹9699104617087817466738 34716谢周发9493115577077778570738 34719麦春翠1038284565183919296738 34721麦琼9910995664873768488738 34729欧华玉96111100773171887787738 35221张容铭9211199666064618599737 3533梁华珠10694123576071677781736 3537林芷琪90110100525063848899736 3538叶雅莹11093102474980858090736 3538陈冬娜87100106575677848782736 35312庞可盈10384105635972858481736 3582唐高影9913595856757577961735 3588林中郁8510091645570859392735 3588李观海8987101757360858778735 35821蔡天乐909075708189747690735 3627岑建闽9210794657469818765734 3627梁晓慧105101103603973819181734 36217袁康菜1089496586277767984734 36221周永嵘959694687569688584734 3667冼景燕9910784757060868072733 3669庞博8810184748081548190733 36616叶水金82101101537271908380733 36621陈秋怡10110588596480758576733 36621黄景润1049583836772697684733 36623陈超文1058274675478868899733 36626程超颖8086118606782728088733 36626杨碧霞90105103786573886764733 3746钟日明9410376816262838982732 3748邓铭宇10167112614978909381732 37415蔡光庭9912984697153707879732 37427陈曼婷107106109415969808675732 37427陈启程9411278767172757777732 37427王常胜9013360557172899072732 37428陈子君11111153445789947895732 38113蔡康健8410666697369898392731 38115冯欣怡979793675171848982731 38121王景伟9412161607280807786731 38121吴正宇101106107585777657684731第 8 页,共 40 页3851林宇实9011494606072718782730 3853符晓晴10564118637667837876730 3858陈王文878470708079859283730 38516李科荣908688755870849089730 38516陈晓辉9510297774877787086730 38521周娟96110102684771786890730 38524黄伟健8111190735879866884730 39212柯婉莹9777106726461829476729 39213黄振裕977783676382878291729 39219邓水清1058096686778827083729 39226方俏以7610290527364909686729 3961郑如荣7610390667380678291728 3968叶美1098485696474828477728 3968王铫1088994605767818884728 3968邹丽燕1028395567270839077728 39610武文智959184687075788780728 4018黄羽笙9210088706376748579727 40113林梦婷96113115684774807262727 40117吴光文8890104725662828390727 40127李凤娟9613789765965705679727 40528殷振隆80102107695974798373726 4067唐婷婷8892106575280928474725 40620杨智妙8810398674779708489725 40626麦紫媚889992586071898979725 40626周翠英8410380707564848679725 40628黄凯泽1047594625379788892725 4111杨晓静9692104576462708297724 41128欧恒安7311297537281728480724 4132黄金龙10211094575766747192723 4148马海思1068294594075839291722 41419黄冠淋88122107633859768287722 41419林和全969794567571758276722 4172蔡文举9010788766875736876721 4177万晓丹9798104675269767286721 4178杨赐麟9010992716556838471721 41710叶咏杏9175107715276858183721 41710潘建伟919098616473668890721 41719钟诗嫣9878122515469907485721 41729吴东周8211495686675707477721 4241周港华96106110613967699082720 4242杨里树949687586566888680720 4244梁其林10282102725860778186720 4244周黛琳929199524673828996720 4247符瑜玲10298109724861808565720 4247黄宝珠10497102694859808180720 4302赵紫媚9211180715869747391719 43013陈华仲10012647725075927681719 43020赵康展8211598766069766677719第 9 页,共 40 页43026杨太就9011068617860837594719 43411周承喆919090707081827272718 43411陈泽9280105547964797986718 43420徐雅婷929596724185807285718 43421梁棉棉100107103635574736875718 43427赖鸿杰10111889565662707987718 4397陈燕华1057992647074748079717 43911梁允9972118645770808275717 43913黄燕霞10064115595272898284717 43914吴颖丽789473757169917789717 43916陈德程7412088785475727086717 43924陈景荣7910487746875736592717 4453陈玉玲9112381716581596877716 44510蔡凯洪9011780817781577261716 44518文建钧9011682644663768990716 44522张师源9785100625277818874716 44523黄茂密9412054686673698884716 44525吴晓君989683677074887565716 44529陈子敬93107103574475778080716 4521沈嘉仪8496106726664686594715 4524麦舒瑜977890767368797975715 4529周志成958889666280836983715 45212招文睿8497103587963828168715 45213林宇恒8110779766570828966715 45214戴晋然1069789578550778668715 45215欧嘉仪9890108643669848086715 45216袁瑞余9010292556072858673715 45220陈林芬868294605677898685715 45224王文渊807590577587788192715 45227韩丽梅9311197534365897490715 4631王静如10210585776249648981714 4634邱芹芝1008798646065778083714 4638梁镇9011380716968747277714 46316林建雲9162106586083919073714 46322黄妙静8510377746679736988714 46329殷琼芝9483116584060907994714 4692岑裔禄969590507470768973713 4698陈小明988097606869868570713 4699叶子娴9910567814679717293713 46916周欣8510595586364857979713 46918袁马良9612748775466767693713 46928黄月千米9310294524266798996713 46929欧小青929790565383797390713 47612周柔949099556467758781712 47616莫际际9093107684962788085712 47617许陈波7810088594968899685712 47617麦华秋100105106614755857677712 47623龚伟军809846738480748691712第 10 页,共 40 页47623吴马贵9810883645875557992712 47626王光连97102110546673747066712 47627陈培凤87110104474873858177712 4848劳晓青90101113575355867284711 4848黄景碧998894726650877481711 4849陈俊杰978775754671739295711 48414林华海879591695879758572711 48416周兆腾92104104535265808180711 48426王洁华92120112602569828071711 48428郑凤梅8692107464487898278711 48429李碧富958682737374777972711 4927翟悦凯9211693624058818682710 4928庞月明10181115555265828277710 49211黄楚雲10077111626468697485710 49215王彦1088693526870707885710 49216吴国平959574693470929586710 49216张远清95100107524572837284710 49227杨志鹄7113291675767627786710 49911陈振毓9193122577279625281709 49918梁小冰8510497576863827974709 49918谢罗梅818491726067898382709 49922黄进鑫8411674715580746590709 49927林安然9212473715277817465709 5041周慧卿10094117664856837272708 5043吴木玲947673646583748990708 5043李宇聪9010294568057718276708 5049陈啟艺8710773716874787179708 50412徐炜坤8071107795672828972708 50413方建国8511581754569727789708 50417陈钰水9211784695961758368708 50428樊建航8211591694875708474708 5121吕春巧9975123535578717974707 51212王伟杰9074120505961889075707 51216刘有京9010899645364787774707 51223欧光海1069572564673809287707 5167陈星儒95105100575354809666706 51615谢文宇899591714170847986706 51617徐诗婷1079299575365777977706 51620郑秋月959483505876838483706 51628庞景风8511691755780667462706 52114黄阳露8112076675773687489705 52117潘彦容929690576376738078705 52121庞关燕9010790636665657485705 5242林巧冰9384107545572728582704 5248朱文君9510385505276718488704 52416许世荣7611864746575718477704 52416王娇连9011270616866858369704 52428黄文益78101101664376788180704第 11 页,共 40 页52428黄明爽86105106625667617685704 5302黄月丽958299763970887975703 53010杜景靖8810178746263877476703 53012吴国豪8393107764868728373703 53016王嘉滢8676108475170938587703 53021陈家惠999898515364658788703 53023周士栋8593103736362838655703 53023蔡景智89102102684267777581703 53027陈河舟1039191555772906975703 53029王俊杰9010490525664858379703 53914欧恩泽1059693576372718263702 53917叶世荣948570606974808882702 53926庞薇薇829974637565857881702 53928麦洁娴9398100476165907276702 53929梁怡晖979690416569798481702 53929谭秋兰9010273606170768486702 53929吕思华949483525270908186702 5467周涵哲64110123757752586181701 54612麦育堂8493107585469777782701 54617梁尚钧857984628678808166701 54620郑康宇9112885663864885487701 54624林仁军9610660774966877585701 54625钟思华9110893526374797368701 54627劳贵华889185596567788682701 5532吴子欣8986106366071838683700 5534马日芳8395128606450736582700 55310梁广睿998191646068699870700 55313李家运857263716682967392700 55313林智明6010383756168807892700 55316周锦媚938796605577807379700 55318欧东娴1018099605161948173700 55319袁瑶989094494669977780700 55323黎蕊菁103104117592675708165700 55324余良耿6511380776069716996700 55326梁广茂8810075617660869163700 55328刘晓龙7689108426371857888700 5652戴碧云979195474773838284699 5653赖世增8610986786060607486699 56513郑思敏1058781645263868576699 56514陈建龙9712441736370678084699 56519黄中慧9070104536860878087699 56523卜水婵1068080594673868485699 56527陈建英919999578448857066699 5721庞嘉民74114100714865658180698 5722庞灵枫9595104715963737563698 5722刘木清869690585869798280698 5727郑月欣9476103606071838071698 5727周淑敏9310292706263768060698第 12 页,共 40 页5729郑国威7010588835567787577698 57210李彦晓9390110604471778271698 57211张立泓85101102605662659077698 57217谢耀鑫8510880684671757491698 57220郑敏华10211384694457837670698 57225吴土明919075617167798282698 5831黄河湛8510491635669727978697 5831杨秋艳10511377524665747491697 5831钟来弟10474106644668807976697 5832张晓东949196645654807983697 5837陈日凤9711782465365828174697 58311王紫琪1068790575074777581697 58313符尹美9786102616355858068697 58319黄国立938577585177937984697 58320徐晓云849490616275887370697 58329陈雅怡84102103555777558084697 5934符明慧9689103504273699183696 5939洪卓琳997395606867927369696 59321温立文8511483585677678076696 59324孙观朗9210965508078767472696 59324陈超宇1117982625065907978696 59328邓马娇9810491553170928075696 5992黄彩莲10591107483770777585695 5998郑瑶938396706279838247695 59915吴文智9910182724563807479695 59919黄科铭916294556776758689695 6031简观婵9486105776644696489694 6031李权珠1016790535467809488694 60310戴春耕9711976715977676860694 60313陈林娣9410294644056788284694 60315苏子茵988270604380949374694 60323邓宇9510865785578626687694 60329黄健杏9011482675678837549694 6103劳秋香958298606162697888693 6104陈继能869778605264809086693 6108苏颖慧9090113696354738259693 61010林晓南10369129665869687457693 61021苏华威1079668624670748783693 6151关法瑞80111102625757687580692 6151冯理杰709575677878607990692 6152郭金珠859693556376816974692 61512王港健8112692583157827986692 61513陈建大9012165616083726476692 61518钟文如977090616875669075692 61520黄泽玮10110793565363679062692 61520李夏慧1056098485167939179692 61528杨鸿强9311368505687727776692 6243陈月浪10377108606268677571691第 13 页,共 40 页6247李耀扬869683467859748089691 6248蔡雪林7874112586166868472691 6249杜冠杰907481604577848892691 62412邓景王9211077805062917752691 62420邹家恩859098605867917072691 62421陈正锦999676734974648080691 62422黄妙玲10082104466376837661691 62422全晓琳10575115567073726857691 6331梁菲10385103644562598782690 6334李卓伦928072605267868992690 6337方媚8711396646757727856690 6338苏圣云809579554777798692690 63311钟闻瑶1008390563776728789690 63323袁飘雪909686484883757985690 63323周永宁8710639786670678889690 63324杨德志8611870717351716585690 63325欧如琳839185617062827185690 63325王小凤8891106656462837556690 63328宋景杰708694625873859270690 64415陈君怡92100106635155767967689 64417周俊军9770114513670908675689 64417林进华9210358655782738376689 6472梁有8410064607775688377688 6477庞一云9811296565145807674688 6478李景云829883785070777773688 6478曹敏滔9110991704064778363688 64714吴小飞749974737169777873688 64716郑岳峰9510593684568697570688 64717刘文静9577113515172758272688 64717李鑫988654618073807284688 64726林冰棋7311870655764828079688 64728庞晓妍987892465673928469688 6572温晓舟859097704169717787687 6574陈志强949372697757738171687 6578庞创发908188603676838885687 65722李康健9510679756673705667687 65722张铁梅8510776496460848082687 65725黄智淼989688408360818160687 65729陈御瑜979097695070707272687 6642吴国庄908699616553778174686 66412麦嘉怡9587100544358878775686 66412杨景诗889078557761728283686 66413杨嘉浩8810861646267877673686 66420陈小凡929688633965827685686 66427王康琪8613389634553727471686 6704王佩琼10174102434271867789685 67028赖土英91109104476268876849685 6723李丽婷959394665256757083684第 14 页,共 40 页6727林学东97102105565159708262684 6729李思瑶87105108744656767260684 67217陈思鹏859194505478739267684 67227袁永恒8511469604766719181684 6772涂彬鸿889767695464818677683 67710封就文8581111404066869183683 67718程小英9210394544050818980683 67723梁景清8610654786573656888683 67725罗晓凤9810672628063815368683 67726周华珠8010486605065858964683 6837林文韬969685805548717180682 68321黄琦茜10489100645667695776682 68324钟雪茹10574115424956858670682 68325王俞字10979107465160857471682 68325杨顺威8610665754864847678682 68325钟天意9510775534453848982682 68329陈景桃908077566363868087682 68329杨连清9191100674167856179682 6912黄子超809186528055727689681 6914蔡洁莹9073104646865768655681 6918黄鹏飞928484585569877676681 69121劳思雪9610681535262737484681 69126陈越东7512578715971656077681 6962莫盈盈10484106444567828266680 6963郑观衡918870666483666389680 69611秦日强1038275576865778865680 69612许国坤8711291715351668168680 69615王和瑜919195605755817872680 69616袁伟俊7412075763468757484680 69617黄秋霞807190615778787887680 69618陈晓智8010094554670847675680 69619宋子妍878296614574866782680 69629李秋艳1008890494269847880680 7062陈绍丰828886695457728784679 7062蔡佩君1027584524464878982679 7063李明月10564110554870688178679 7068梁晓连866980756567788376679 70610庞杰伟918475605670809271679 70615林丽霞958991704666837267679 70615林新清9492108664860807160679 70623吕晓虹8278110585766697881679 70628张子丽968493594578817172679 70629杨国华929070575174858971679 7162郑康连848687804861768274678 7162林晓云949398474263717694678 7162余常忠847768717565678091678 7163李泳清1118275546163757384678 7164黄海政919576676266678272678第 15 页,共 40 页7169黄文辉818680715558807988678 71621秦家颖909969556567797777678 71623何远发949690495061748579678 71625吴王轩759872685064847691678 71626陈华养7711969745361818163678 71627冯巧敏9711486594758806374678 71628周荣珍9291100594261926972678 7284黄华丹898282615781747180677 72812郑宛雯79101108633567688373677 72812吴学极958197574964747981677 72817卜玉思7411467565483697189677 72817钟诗婷9196106524651818074677 72824陈诗薇1027092584462878973677 7349罗志贤8810084584657887976676 73412钟进才7810582715457787774676 73413苏雨婷9172111485264828472676 73420黄晓霞847396505567909071676 73421叶雪卉10874115555061787956676 73423许心愿999065626767808561676 73424李金蓉887195474967947194676 73426邹树梅988693604461898263676 73428陈朝靖859558605779728585676 74317符庆怡9886113405272717667675 74319杨志鹏789681665167837083675 74327吴晓玲8811593414569826874675 7462张文静908958606469887779674 7464卢美玲1007198664558827579674 74611钟华振998595614170728467674 74615黄基9010274642660828987674 74620田丽丽987095715060906575674 74628吴琪琪7111880504580678281674 7523杨永坚9282109574665688470673 75215谭舒姚927680495074917487673 75217赵家晖10010374543976778367673 75218卢国鸿977766643579848685673 75226肖森仁799374752969828884673 75228石蓉蓉9073120504260838570673 7581周赵才839047686071758296672 75821黄荣华9976101616177726263672 75822周婷9659104665663777675672 75825陈泳君10896104464565717958672 75826李嘉思9511375705051667577672 7631赵良任969490604751708083671 7631梁宇升808570547373698780671 7632钟文婷7811174726261656781671 7633赵欣婷10585107603952727873671 7637白妍妍9790110615356717063671 76314戚境遥799079583876758492671第 16 页,共 40 页76316卢华娣986583526066928075671 76317陈靖怡889385695969786466671 76323蔡凯丽1038160576162768883671 7721张小琴828682584775668292670 7724陈一林788659705472738692670 7727陈殷殷9874113433552858981670 77210曹溢华886597646267548786670 77211邹克义9110187756853647556670 77214杨东学958475665883717959670 77222杨袁妃929576686461688363670 77225陈冠辉8610363686062687684670 77227戴春生1079161493860968583670 7819李亮祯9710788654754747265669 78111苏翔晖879883576864626189669 78114陈志彬7911177826464606666669 78117张钰莹978590435475786681669 78118钟先文799194686265756273669 78120符清滢9383101556266886655669 78126庞玉英9610985454362837769669 7883郑达9076112486256777869668 7888李沂真9182101584357907076668 78815刘健俊9079108624658857070668 78819冯小娇10378109473859858564668 78823欧剑侨8911528676982627680668 78825陈文豪7610457666370827971668 7941莫济文938570497362589087667 7943莫小凡9210971657160646768667 7943唐月琴8294112526567537765667 7944麦玉娟9010197604174777255667 79410吴观定958278516661747882667 79413方紫珊9672100504764808474667 79414戚诗敏8676105685370787952667 79426杨马珍809096554179717778667 79429陈静雪937778557565837269667 8032利境南9584121654056605788666 80310陈静怡859196603670717483666 80311梁迅夫988696476766688355666 80312邓航宇9010397595240848556666 80313吴伟珍1039190513368768668666 80316郑紫薇9010693453560778278666 80319李靖宇1007464504570909182666 80325林彩云948699534260886975666 80328谢光慧928293544851868674666 80329陈海滨878685605761836780666 81310马梓浩7011579806965616363665 81311陈伟杰8782103615074726472665 81321陈莲花8110096626167606276665 81322潘林思869387636269716569665第 17 页,共 40 页81322姚锐梅798499697061746861665 81323邓美玲1068690584060806085665 81323吴日科898591456062648782665 81323周月莲978698395463817275665 81327林小祝956898533367899369665 8221蔡丽君778094665076657086664 8223麦秋婷9274100786257587469664 8223方林凯919780585864698265664 8227王诗媛928291554056848282664 82211陈志坚9864112645055767174664 82214朱马进808075545572758390664 82215潘小艳907281636377746480664 82218吴文豪929077594766877670664 82218谢景旺948186715162686388664 82219罗伟成948077623176897778664 82228卜康志8410183526559856966664 8331黄子韬859890684258677778663 8334陈康林907198584565817778663 83313梁坤发8610754735869528777663 83313唐炳天859547724972829071663 83315林日明908477733961818276663 83323叶佳佳867575666868767871663 83324郑康启7311146657068757184663 83325刘超群997187514463878675663 83326梁嘉俊9648115415473697988663 83329庞朝琼8311064613762937677663 8431马春雨956883714372757580662 8432林斌杰938582405658828779662 8439王嘉俊9410279574656837570662 84312潘秋怡918785624558917172662 84316朱腾飞1048099585367706764662 84316邓海燕939391495260767573662 84321林意雯9312473545078695665662 84321王丽珍999788604666756764662 84327叶诗怡10090103494065706481662 8523张子玉929381695556697472661 85211陈水源847494536775756772661 85218伍玉华887098444865897980661 85225蔡惠惠9311371674665816362661 85225李锦涛907878535065808186661 85227陈丹磊8211172556159738563661 85229何有永915683524077898687661 8593黄美倩928497625265587179660 8594苏日景759188685062757378660 85910李依静1017884564164828074660 85911庞少锋879583586753688267660 85918陈诗敏1027085564860928364660 85920陈韦臻7993102594454777181660第 18 页,共 40 页85920郑茹少10286106505557887145660 85926蔡马忠8311360655663818455660 85926黄敏7412165696283685860660 8681戴春燕10085106394649837477659 86812宋宜桦9759105513362879075659 86814麦日容789385674980676575659 86816林燕荣857486534777867180659 86820李鸿健9010292614544737874659 86823罗英健938590643863727579659 86823程舒琪11165109435161728661659 86824吴裕波916290596478698165659 86825陈浩717287585665808189659 8771郑欣宇9776100344476717288658 8774黄同庆8110174606357708270658 8774苏思慧9090120544245757468658 87711周威威1049069575854807670658 87712冯晓豪7777107605363738167658 87713招冬梅908590583363837779658 87718秦爱英879184602975798271658 87724陈娥1059055596059827870658 87727蔡翠玲10369103475057887269658 8867陈迪雅927587585956698378657 8869钟梓莹977299534353858372657 88611符俊伟839892726656636166657 88611陈奕成7610667676872586974657 88612林常青909663785347728375657 88619麦明荣978079654970766873657 88619粟慧珏9580119354555896871657 88625陈丽球957196625260806873657 88629陈尤己7910980454756729574657 8951苏月钰869192525255727284656 8951徐忠慧967585486056728282656 89510樊清华9487106565565687352656 89510吴林倍1079092565061626573656 89512卜日丽939073675649827373656 89516陈顺勇6710960705768667782656 89522符德华1016170525875798575656 89524陈伟8610198516475605368656 89525徐宝珠1029076584061767578656 89527李蓝妍7910577516165628472656 89529曹倩倩919096483362937865656 89529林国峥869773435479638477656 9078周晓艺10771103494756847464655 90714王雯雯936885584973888358655 90715陈嘉丽999595474368808147655 90718邓康恩928653575475838075655 90720罗颖欣8185115463861836878655 90721陈秀珠10083109525255686373655第 19 页,共 40 页。
2020年秋学期高一级期末考试成绩分析一、学生考试总体情况(一)考试成绩总体良好,但高分人数少,中等层次的人数占比较大高一年级普通类(1-15班)学生共有745人参加期中考试,考试文化科成绩总体情况:满分1050分,最高分808.5分,平均分574.26分;840分(满分×80%)及以上的学生有0人,占比0%;787.5分(满分×75%)及以上的学生有4人,占比0.54%;735分(满分×70%)及以上的学生有11人,占比1.48%;682.5分(满分×65%)及以上的学生有53人,占比7.11%;630分(满分×60%)及以上的学生有157人,占比21.07%;577.5分(满分×55%)及以上的学生有364人,占比48.86%;525分(满分×50%)及以上的学生有562人,占比75.44%。
高一年级体育艺术类(16-18班)学生共有137人参加期中考试,考试文化科成绩总体情况:满分1050分,最高分594.5分,平均分429.56分;630分(满分×60%)及以上的学生有0人,占比0%;577.5分(满分×55%)及以上的学生有1人,占比0.73%;525分(满分×50%)及以上的学生有13人,占比9.49%;472.5分(满分×45%)及以上的学生有36人,占比26.28%;420分(满分×40%)及以上的学生有77人,占比56.20%;367.5分(满分×35%)及以上的学生有117人,占比85.4%。
表1 2020年秋学期高一级期末考试班级平均分(二)平均分江门排名总体稳定,个别科目退步较大各科平均分与2019级高一同期相比,2020级高一的语文、化学进步较大,数学、物理稳定,其他科目有不同程度的退步,其中政治和地理退步较大。
表2 2019级高一与2020级高一第一学期江门调研测试平均分排名(三)优分人数稳定,本科人数增加较多;学科失衡和偏科现象较严重预测上线人数同2019级高一相比,总分的优分人数没有变化,语文、英语、物理化学、生物和历史上线人数增加较多,数学、政治稳定,地理人数减少较多,需引起重视。
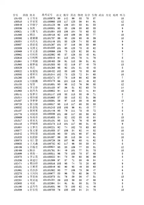
学号班级姓名准考证号语文数学英语物理化学生物政治历史地理听力1314831王雪东181100975991429988708710 1305101许亚星18110096010311712086649112 1300491许晓宁1811011239613610488618310 1303361朱凯18110050193831368068859 1309211王腾飞1811010041031061047868829 1315951顾洁1811004169210310986587710 1303951董璐璐181101757999313095495910 1303841冯肖凡181101146101881297458659 1309571唐前进181101267101871168653699 1328891吴博文181101835101931287848629 1309691许文惠181100066106731259250619 1309621付欣欣18110209295871268848617 1326161闫明辉181100343941101017641768 1316641于利颖181100463899111886516111 1319651郝梦迪181101383938211987407513 1303291尚艺18110126395921318148488 1305221朱展悦1811004321028810878586010 1303081梁翠月1811013441027312872546510 1312601唐然18110217187751199062597 1316281闫继鹏1811021786610411694496210 1311331邹贺181101651939511276565812 1302321李文春18110118397868192637014 1319631赵丹杰181100982941149382416410 1301411张梦月181101147105881135849718 1318141蒋珍丽18110166387881188251567 1318871李梦梦181100891899711580406013 1307251郭方圆181100017951181176038537 1308321彭喜悦181101243103100966143778 1311071郭寒寒18110144695791117845728 1317761刘铭琪181100836101691178050638 1306691朱瑞奇181101688848213285405413 1318171邵亚光181101131951117676486910 1311101罗晓博1811021731131011176631459 1319841王梦月181100221927410278636311 1308771张文豪181101055871098492445210 1310421李怡慧181102108908310190376311 1310281祝晨影181101557995511886446110 1300751吴仁慧18110072686107966841628 1306331王光鑫18110073292117968033348 1304391许梅芳181100924938310977335112 1304691陈洁181101761944910177517010 1316991黄俊一18110051196701037037658 1323701李云霄1811008229473896856598 1318361黄建行1811013999787718049544 1324741樊诗婷18110051610395747820689 1321811王顺青1811000499890984935658 1319611肖莎莎18110156293771067336476 1322701王闪闪1811006778396736836758 1324691李星雨18110207881768986475113 1322041周亚迪18110123489103598047509 1329081刘亚1811020948491915031755 1311901孟丹丹18110163196751006241468 1318091轩乐倪18110070576100108342475151323991苏礼明18110218193696674466710 1309931秦文昭1811000449159868041548 1314281张晓宇181101919875310164465912 1307381索林萍1811011911016810558334211 1315881屈高山181101116956010358355112 1311701李松林18110045110365816624593 1320921赵瑞雪18110132991719356454211 1305701林超18110115981708282404011 1315561王晓旭18110007010575935031415 1318181杨腾飞18110016610549846841459 1301771赵帅龙1811016288393733131709 1302971田军旗1811004449181864826437 1325631屈小琦1811019119159965436317 1326061郝晨晨1811010339474626827416 1325831娄世靖1811021039144826538409 1307431王海艳18110163910045943440337 1324761牛中原1811019388375595024478 1323541赵帅康18110026384557360323413 1300991张韶杰1811000239356703628416 1304441罗旭辉1811009696029816430576 1331311马登辉181102080927204416821311241褚建彰1811022696930885136316 1312331汤志豪18110139579635247547 1319961罗亚鹏1811007727463267242145 1329911谢晓宇1811003599646732626217 1329701周炳彦18110122472624042233910 1300061解奇斌1811004187939654118179 1330111魏清洋1811002118430752225208 1327051王嘉勉1811011908416513436156 1329581庞南1811011957918343836247 1326811张一1811014658134212418377 1302052常明君1811013139512712595658515 1302912卢瑶18110027210111413284669110 1306052朱智慧1811001201021101329457929 1300652刘万鹏1811002961001151209470619 1312032赵雅倩18110032110111111683687913 1301312魏向昆181100062101116968672718 1318862王秋晨18110020611110811485556510 1307862孙家宝1811002929311510875637512 1309702苗奕霖181100886103961039062708 1310002林亚威18110140496881167666829 1314652王明月181101908102979284677912 1308652蒋冠宇18110063873921299264698 1318342杨田硕181101412978112284597510 1314782刘潮猛181102235100821029466727 1317892张冰洁181102056918210884698113 1319392柴富源18110079996991108857649 1307412孙亚辉18110108692971138450755 1306442尚庆港181101948919610674618010 1309272张莉莉1811011531058711982456810 1311162赵星月181100072108861237046735 1314672李慧洋1811008491071119478358011 1300892冯文明18110041310889917669715 1313282魏明阳181102156959510986576281313562赵会芹181101501103971038250636 1300322李瑞181102245102881217851569 1318662王冰雪1811019391057410190556813 1329902孙海松1811001061019310980456411 1312662任心雨18110193310397889048637 1307042周梦雪18110144395841097455727 1301922祝金铭18110187691861188649579 1306752曹逗逗181100665946810484548110 1319912蒋蒙蒙1811009919994978056559 1304352周奇隆18110125879117897447725 1300132黄亚芳181101376989910370396911 1304022赵瑞莲181100851951001038631579 1313752刘月华1811021821047712562515211 1320622王聪颖181101372103701087646676 1317152卓慧芳18110222493939182446311 1321202高梦杰18110127710297887842596 1320262蒋飞雨18110174995691017846779 1322802赵晨辉18110028597114934837757 1317912田翔宇181100132100906584596510 1304222李畅181101826869410778485015 1311892谷文彬18110118597806992556012 1319812蔡俊冉181100075103731117835538 1312362李朋辉1811010519810211352345312 1306672马世博18110216110976638245758 1320582郑一18110143997678990465911 1320072李鹏辉1811013208979756950845 1301232李清雅1811020438688918236528 1304312郑可心1811018611006310372465013 1312872袁琳琳1811019729659937247658 1305372崔香菊181100001896910566376411 1308052朱召鑫1811012839475876252598 1309902赫娜娜18110208891781015143617 1323772郭凯超18110118194811015635576 1323732和明月181101369905911260435711 1310152赵冰洁181100661105638665415315 1321972王晨静18110127610457827437548 1306552刘素亚18110123697629646456011 1322402楚友亮1811012908399508231607 1323172陈康禹18110215810070895438544 1321232曹金圆18110195693599458326110 1309262刘浩18110015194789266165012 1322322杨帅1811014268059887241487 1308072朱郑军18110039985915854356410 1304802李玉环1811002669762975830437 1325492袁辅辰181100838935710652393912 1321742胡林玉1811013908985346844526 1326612张海港1811022219185624827426 1303262赵傲强1811003837651786852279 1326662田甜1811022089543805621559 1321012胡元音18110175491619543232613 1330052孟宇康1811007227284268033438 1323342张丹丹18110027690519034393410 1322062聂开研1811010078791613827205 1329332彭成18110048165816128413721328162徐文霞1811020709038695825294 1308502刘广1811003859037833125339 1326832翟小松1811012959417744823329 1325192苏梦晨1811016818148662622426 1330532朱红聪18110072186233968203110 1328382李蒙蒙1811016179526541821416 1327382贾馨淳1811000246074183822327 1324642谷宇坤18110087901315803徐军委18110100599971229871849 1303633李涵181101166911231169668748 1302073王长海1811014541011191009071838 1308893朱帅岗1811009589511611890657716 1305583张晴天181100583961171149463728 1306683刘晓丹1811002029713512980575611 1307203吴晨18110196210010912394576810 1319563师参恩1811007171081021048667798 1308403何展鹏1811020608711212390597411 1308213徐兴利181100601981081199050769 1310893刘婷1811006461111111047257807 1311403汤君涛18110000897118969256735 1316183聂振强1811001251021061087863759 1303893徐一超1811019099610312389596210 1316313李缜1811021121008711696527911 1310373辛中华1811003141011139978657311 1310313宋世业181100479961041069247828 1316613周俊彪18110205798861248648849 1312113张欣1811014921001041128454718 1312143乔慧丽181101065959910290627411 1331083唐大璞1811011799911510381547012 1308313韩子豪181100495103941049047848 1324663杨开心181101875881161295848737 1302763陈相帅181102007104971237456529 1301133杨梦博181100053821071128053708 1318693李珍珍18110065898771267657709 1313843苏政宇181100627115819768598210 1302853魏晗18110207496102918045817 1301673李孟文18110076097107988645577 1301323杨慧芳18110195194771019059686 1315513张洁181100051938810696475710 1315763鲁敬文1811016478210111676476410 1313433卞笑寒1811022209787988452679 1325693杨光18110090810693877653669 1317833周汉青181101849102801166654608 1300473祖业振1811009128910110188385910 1303423蒋露18110185110895917842548 1323243单晨旭18110149991114906440674 1302293吴佳豪18110006494928890406112 1312703姚文龙18110128110078867358677 1302843吕文清1811019421009411363434311 1327013韩易181102231831201341225827 1320383刘亚萍18110080982102848045615 1321053郝振昊181102102103766975527211 1313443胡万里1811014709081967240637 1307463赵富宽18110059495739978346081316273王梦婷18110155695641048448399 1330063潘寒风1811012198590718032757 1314213乔伟伟1811003241056210456456112 1305763高帅旗1811021258591767644568 1310683王小雨1811014601027010950435315 1315403常恒1811001139090887635448 1304593田金阳18110221691709368455610 1321513吴宇龙18110079081118468445477 1321723孔一凡1811003609788736426697 1318553王继朋18110056963839476495212 1320743邵壮壮18110187290114836319477 1324053王浩1811004529476847031608 1306193冯静娟18110152710399965038296 1323533丁振园1811007438592616242706 1302733高明该18110054797611085835539 1318353闫洁18110052210084110803607 1304103赵崇飞18110166188868366364710 1323223柳美1811005749872866632507 1328963陈鑫宇18110099794791032837617 1329033李亚雯1811011179376866422598 1331203张文鹏1811013458650868149464 1306493刘朝寒18110190210263915834508 1327793张前进18110089789688766265910 1317123詹宝钿1811002889358697449508 1325163李闯1811002049273787029428 1322743张梦月1811011849448915836369 1320933张雪杰1811011559861814641358 1315283王赛楠18110157594608351323411 1326253马勇伟18110169579832345427612 1322433席志文1811007779364568418287 1306223刘威1811007079735835830409 1331373袁翌1811017467245587840427 1322523林兹菡1811004679060715022427 1300913代刘强1811003488047667826346 1329603黄雪梅1811010359141844425277 1324223刘晓飞1811017199146515629378 1328183金宇豪1811007678646582830369 1331363王群杰1811021306672492622148 1330363李道龙1811016358125481610215 1303504轩若楠1811008161021351239070899 1313674苗留洋18110202510412912394649011 1315754张文豪181101351951121279268879 1313954祖明星181100800112981248663929 1312994朱欢宁1811012181041171038868909 1303574周威威181101094971381149650759 1306964王钊锐1811003811011201239454719 1313114袁慧阁181100007961041189659749 1300284康坤锋1811010021038712794587310 1312564凌安位181100852971161149048703 1319544庞治霞181101284959712889497310 1301404张国威181101125929612692457912 1306744王逍康18110090598851107062869 1309304蒋旭耀181101457100968492459211 1303904梁晶晶1811007048890124824975111305624陈艳宇18110060499871148055679 1318704刘秋月1811008961048912078506110 1318414尚天宇18110148995871188639746 1301194岳银辉18110117595878494578012 1305834梁萌卿1811001441087810374567815 1304054张梦18110095110610510880306510 1304734汤其康181101980981061136232817 1300344黄高尚181102195981079278437211 1310724燕肖晗181100217957112879486811 1316984吕书豪1811018179785989044707 1321704冯欢18110084287108957939707 1328954赵海明1811022661037310266755911 1323384付鹏飞1811010809588738258799 1306794魏培芹181102054102849180417710 1306304杨露妍1811005871065511084477210 1316834黄东霞181101025101861049029629 1310474宋梦杰181100424100981197235479 1324414褚红玺1811001361001131034218886 1300094魏文文18110086898909872386410 1309434娄晨晨18110172594751187833629 1322864齐珍娜18110220296112846425756 1302354周帅康18110094096908582406011 1325724顾亚东18110161910676727446787 1321004王颜开181101920108659380525312 1313094刘雪1811008151019611378253610 1320604张巧丽18110071399781186428599 1320714许珂1811006268881988634567 1326334刘文晨18110105397839962406115 1319104齐艺娟1811009411097210480255212 1300444周振1811014819168788051727 1307934马超越1811008991041156646268112 1318004谢治宇1811015179679817845577 1303114符金凯1811001649887898234459 1311724张福照1811020261036110376405210 1304954程凤杰18110183189861006732597 1305914郝若晨1811022611108111256205212 1309464徐凡18110084799110638333405 1329064刘豪181101521105106496436667 1310304魏燕青181101977101100795831577 1327304王梦月18110201894941114018698 1314374郝梦飞181100240102671018020558 1328324黄蒙蒙18110222510283963634739 1330994葛晨萌18110121699761035840489 1312584郑琪181101992997510066295210 1313264吴军辉18110115410660777443558 1318924王霞18110171410493897420358 1310444王雪松1811019678878956021709 1303174梁军艳181102191826311066365210 1318394周啟含18110081786491116834569 1322314蔡晨旭1811016238474688240556 1308174焦明月18110136896671066421476 1309254李文豪18110189696681125328449 1319374牛佳蕾18110102885651017426498 1329924付敏杰1811009391057289562048121307054程林1811012259664893721738 1321904马汝赛1811016526266867433499 1330844张琳青1811017449660863827517 1330164陈硕儒18110010190558952323312 1319084闫齐1811009939338715629529 1327284窦泽航18110054686491033227376 1329544史含笑1811006189858614827397 1327834张池1811009468653465441488 1328644张钰源1811020877757643840457 1329494付婷婷18110066392464456215210 1326544邵凯18110008678507128393611 1325604张智恒1811014147964552629337 1327594张振阳1811016628246372018209 1302584吴晨181100397105901211317065李聪聪1811008081071301199851828 1315745付爱娜18110005910310313392678711 1319345任君瑞1811020351051201038856887 1316105赫雪丽1811021391079810892628213 1303485蒋成达181100782951021238656857 1308295姬汉青1811004141061041397448736 1308495秦周1811007639811613862517912 1305645洪雪丽181100257100941188462859 1314555李万元1811000091021011108659829 1312615王孟洁18110054910110111690556610 1307955许振楠1811018221088211890507213 1317165邵庆阳181101089939412492427112 1306005杨佳男181101043110921177041856 1316745秦文昌181101642981029594596611 1317565邓慧娟1811021899810011276428610 1301505董运举18110082494801267655809 1303445李月181100614949910976547112 1302835黄继鹏18110181099731288245728 1314805毛清典181101553108831218633648 1306835刘亚南1811010401047111372527811 1301885尹阳春181101873111791037444767 1313405张春杰181100873998612374436212 1306615孟磊18110177399831047841747 1320145郭晨语1811016559778917650869 1310025张春明1811009789781759747808 1312675马帅男181101495931029982406111 1331325王旭阳1811001659691827452816 1302065程闯1811016401006410682447410 1300085刘睢18110156911279917440718 1325795邵艳召18110161097838682427510 1316385徐秋松18110069677811138638697 1306725赵蓓蓓1811007581067711970326011 1312795李阳1811012629694927835629 1329235曹子鸣1811002939996906035687 1331285巴帅卿181102017101721056844575 1331465金宇18110017893109963428816 1301035薛玉旗18110153694841087031519 1300505牛亚婷181100545100541096246679 1308355乔云朋1811020771008111158315613 1307065闫庆祥18110096611346115723456101302565张绅1811002309778927233547 1317695朱梁鸣1811006419683857036539 1324945郝振坤18110122287826072398213 1310495马林冲1811021139564937034657 1310985冯颖1811019818573998034489 1302225任汉青18110059210775995623578 1306435轩金月18110037193681036817688 1304895李奔腾181100901100849262225613 1305065郭帅营18110088891113814234547 1325105刘慧娜1811012149091935423647 1330675周四林1811002618780747838575 1326035尹盼盼181100903956110464256410 1320005薛开放18110009499669958296113 1325565郭慧慧181100147100727172385811 1322015晏亚伟1811002919345997247548 1308635魏新月1811005791005710562266011 1311415李亚威181100902100617476455311 1322735王舒晨18110127510662827030579 1323035祁寒雨1811018828587666256505 1302175袁子翔1811014337280768441535 1324195张高枫1811000719891835046386 1302515董涵18110195799728662384711 1324635刘迪1811012749774677139529 1312715李洹竹18110108592124584028508 1320105张瑞1811015308673925433496 1324435马少祥1811007937473726627697 1330915刘昶18110151994616870216610 1310395李帅1811020209564637041455 1327785李梦月1811022299555865633528 1319685王楠1811004506582866029526 1301785侯寒嵩181101260756510458274411 1324155韩坤1811012288660965228507 1319925聂方雷1811009149346816031609 1325145袁雅琛1811004408554864228527 1323295靳艺1811000029089642736387 1326275赵亚文1811021059652207246356 1302385李相辉1811009769036583622795 1330655赵梦娇18110093890454244305310 1326225周康康1811016988336695224389 1323905朱圣杰1811021748643583824448 1330215袁棒棒1811016838226524423575 1331105曹坤18110141501331345徐汪洋18110215101307456孙晓杰1811012231061021288255908 1306406康白雪181100109961191278260769 1311516刘青18110165811011312984477310 1310826秦肖楠1811018051091231018661718 1314066许博文18110025610210810989588010 1305506胡金霞181102075931021039859877 1300956闫梦晗1811006311051031129061718 1310776李敬一18110203610510312882447912 1314236王梦柯18110038710010711479567910 1305786白雷达1811010499510810690528113 1311346汤镇西1811006939510012177548471317036张聪慧1811001101038712692526911 1306186张港龙181101877969410086658410 1303226魏奥林1811007111027011684618910 1314846蒋双齐181100834941171098439767 1304746屈玉静1811015711089511384526512 1307076郑君霞1811003959710510476617211 1317256马开新18110007699821149052787 1313536王玉琪181100315991198874656512 1305966刘思雨181101676987612390418110 1314316霍博涵181101389107911018051785 1314566王西亚181101604851101146041868 1321796杨浩18110196910691997443817 1302016屈博博1811008871001021017837727 1300026付继鹏1811001938692849450836 1302276王庆华1811006871069012376365711 1300146轩金朋1811006601025912677517211 1305416刘莹莹18110167191701149050619 1320136许冉霞1811004789884987251729 1300036付贝贝18110128095841038331787 1307326周智慧181100268105791137246566 1317946夏亚贝181101422109601235449758 1301546徐凤月181102010819911960426810 1309086郭新月1811020169292727649849 1311686杨海洋18110098890105867636727 1320416袁鑫隆18110126698761147237677 1312786陈香宇18110145610279897451689 1307976杜梦杰181100595878712280335411 1319986袁玥1811004689495838950505 1315996周瑞卿18110015899719184417510 1317536张志鹏1811018651006113457426610 1314956欧莉杰18110130896821155244668 1307926王洋181100920811031363033707 1317746母远芮1811022279367997641707 1311236吕孟达18110115110375916239749 1319436桑玉青18110108493611066446719 1316326李涛1811012739657888450658 1325786葛武18110121592108836016807 1320526赵文明181102240929810936347010 1328226苏晓宇1811012619780907640556 1311146刘岩松1811005217968898445727 1315136李雪颖1811005088879975446719 1325486刘梦月18110052810354767037767 1315246马梦金1811018019580845838578 1329506卢二林18110212181106287650687 1321846陆哲18110064085109726213667 1301596罗天天1811020998756995840599 1322416赵文超18110116596648854336211 1327236徐婷婷1811016969350936733536 1308436田东1811014838784745632558 1330146陈慧慧18110208986689946375013 1322246轩帅威18110214993857948205811 1311746王世杰1811019189356926823467 1323916张倩慧18110048998378449376012 1320066卓世为18110005599458162225681329276常文俊18110165398457156385611 1316476王傲飞1811021079737972843546 1310066顾倩倩18110195298401094434289 1325256程辉宇1811019587750836235459 1308156马朝阳181100205107308358205010 1321256姬亚朋1811001319362594643436 1321446孟珂1811014289371493835536 1319956杨文杰18110168710630695623539 1331476马涛1811016864683783425716 1317416杨荣祥18110000610137904823389 1319386李宁1811018189647644632497 1331136刘小可1811005249653805221288 1325456韩靖宇1811014247065584629506 1303796林明珠18110056190428942173710 1330076祁昂1811018529854464317518 1310646朱园林18110057010059713612256 1324786段优阳1811009198068361641357 1327266郝晨阳1811005867427462029277 1328046路遥1811011724027481821294 1330376张芳1811002017901310507王冬月1811001971129512190638910 1303737许方明18110052910611514178428812 1314917鲁明慧1811013009811212184698110 1308277蒋春香1811015551059911996598610 1300767彭康博181101493901221089271808 1317387胡鸣宇1811018681011221217165819 1307617任艳艳18110012810111012596587111 1318107张慧娟181101441989113296616810 1308187张世杰1811022187613010588636811 1311617黄庆勋181101129891081298656619 1305217马敬文1811008561001049770748012 1308837张艳新18110017199941088060838 1315907谷蒙林1811013151129611386516411 1310237郭香1811010879511610974428411 1322607彭赫181101672931196790668410 1326727王肖杨181100532103981007854859 1309477常明阳181100046101871188447817 1308447刘宁馨1811022701037212294537213 1315487陈文帅181100410103801189253655 1307727何瑞康181101067100921098550695 1307717何万里181101136109751058663658 1303967闻卫卫18110213798107898744747 1304267冯博文18110132110983978856668 1317027徐新悦18110072597921188445608 1309887王俊杰18110077394951307853459 1317777付修翔1811017358978918676727 1316777蒋其1811000689689858860716 1321147刘娜1811019601041039170408111 1312237庞腾腾18110001087801099148717 1319357刘冰18110102991108848738718 1317627刘肖杰18110163396931068046564 1329477余涛181102015799811463438011 1313327刘肖含1811008251046510880566210 1304637杨宣虎18110115090799280557561316267袁书鑫18110050398901167242518 1319077宋亚北18110103191107767448727 1308807孟庆一18110059696101897249607 1322227邢明霞18110188599571147444768 1312097张博18110054498102997240509 1314747侯雪1811005411017810480415712 1316797辛江风18110205097958980356410 1321177杜旭阳18110197689861047833708 1322997陈威181100519951079568444914 1304667班雪亚18110092110166998048555 1311277李文鹏1811022511016910666396410 1302597刘格格1811002289488816246739 1311027陈相宇181100375112818372375813 1330957刘娜18110021410869987041579 1326127王姿涵18110163496991182029787 1311547刘会海1811005849871965447719 1309037李孟亚181100338104481296234596 1323897邱光18110220097701057044455 1325017高天宇18110174892103744042777 1315337贾贺威1811004878570937847547 1326007王德闯18110171688611016639706 1323957臧林凯18110225576102718428638 1325137陈帅文1811017537789965740648 1323217王向181100220102845882415513 1320657刘风光18110065687731067130499 1322837王林凤18110215091631087418608 1327077王晶晶18110196369911034433699 1310327蔺佳佳1811006959165887433579 1306857张峰春1811015989290755831589 1309317谷承瑜1811000838946938437537 1314767胡豫涛1811014869469956231507 1318767袁盈慧18110099283598180395811 1311587孟庆一1811016249566944836606 1323397陈凤娟18110024695628160365810 1322387娄同强1811000269055945850337 1309157冯璐1811004909157846334458 1323107王菲菲1811008079654825837408 1326877余金涛1811015417782538025499 1320197杨留洋1811017277654966639305 1322127李甲1811016898543636646418 1308957王文静181102247933912140153510 1328267常露月18110144810350595028455 1325127蒋国正1811014029275785003710 1322117尚晓玉1811000118176763420256 1328257张航1811013678541433925575 1330867姜开元181102205831023432369 1319677张艺1811006379155313231276 1325207崔崇尚18110218083633632162810 1330567杨浩1811016168530710271910 1331427张庆贺18110162001310938姬超男18110217210612412590638212 1305198郭奥然181101099951091199072936 1307228王宁18110057610610213294696910 1318788崔百威18110021290114141907166101317078田亚博181101531109981388652889 1307028马浩天18110177610012210384699011 1316178闫翔宇1811003921091161148267776 1312868豆梦杰181100564951231238454787 1312068王双宁181101800961101169450814 1315878张伟孝18110145310210711376637710 1311758潘静静1811018128812113277288912 1315528安妮18110087110910412274527010 1304008张子林181100709951041228752716 1306848王泉漳18110066995901198260846 1310518刘宇浩1811009969810110190548414 1304388王飞181100339891091089253758 1317018付贺181100488103841078666766 1303008屈梦园181100925928111390637412 1301708王梦杰1811015881077811880487713 1305238吴冲181100123941179390486511 1305998王婷婷181100728101801168249708 1307088褚红潇181100500909811972407710 1316908李慧月18110078892671278468548 1314968姜立博18110221989105817266778 1315728朱亚南1811001089699937857616 1300438陈旭阳1811002251018311172387913 1303348张利明1811008588696809254759 1305888任月明181100551958710484466713 1302318宋鹏鑫181100323101951037646628 1308908李彩虹181101054968910985495510 1306988刘梦瑾181102097811051186434808 1311068李润阁18110042993889980497210 1319318韩艳萍181101923110811118228619 1318428陈慧娟181101593906711482506811 1311198武肖肖18110211697671138337746 1302048张帅成181100474907711473397610 1312188康静雪1811008981027410466487412 1322358郭保建18110030665918690587210 1311598徐博1811007801047410670456210 1303728张辉18110106498798678497010 1314188袁瑞娜181101371106941026440518 1304548许登科1811012659595889235508 1320988周义庆18110150894968158497310 1331248杨琪浩18110003096831028131575 1317598付振丽18110174398689675416912 1305018李珍珍18110138795641087649529 1309748刘肖坤18110050563801047252698 1326678徐付宁1811021019890637451634 1319168邢婷婷1811022569774966649578 1320908张茜181101678901021073031789 1320018刘奥睢1811005789661637857808 1314618李静静18110068998721085150538 1328678吴丰伸18110079886110956024558 1308268杨照沛18110014989817682445410 1313108阙文斌18110004810460808240609 1315148陈子昂181101858101799358336112 1326968马开鑫1811014318975917039607 1317618庞思佳1811000311096210157306371317738娄霄1811016098793924430708 1320558王丽月18110037697759960216413 1300978马晓茹18110082898431067238598 1325828肖留伟1811011828390616841717 1330358沈亚丹18110024897831033038609 1319448田强18110021994636686495013 1317468张晶晶1811018919161956238619 1321398刘松伟1811009809644848142525 1321388王敏1811001949245987046426 1324718付月月18110036910781844419549 1315398尚奥香181100553101687948335711 1312198轩敬一1811011429589742428759 1318678庞婷婷181100425964110860344011 1320168轩云梦18110032210554825635466 1310118张倩18110081294649852284111 1322198姚岩岩1811021859769943440369 1324118袁天天18110093587361015633469 1321508王峰18110006793718753133410 1329308刘展召1811000884782585530735 1327248罗晓宇18110099893727132263810 1328718杨金明18110010310350684017499 1318208杨荣鑫1811018419531525133467 1324288王睿1811001917792246263010 1320338魏威18110115693396847251711 1330038陈颖1811000229828731817376 1327738李君莉1811006647550358216911 1327998赵书辉181101403850104222807 1328428田傲坤1811006838218372416393 1304609蒋乾181101798991319496819113 1306219张翠翠181101789103981329673859 1308849郭毅斌1811011941001121268670817 1314509童路瑶18110175110411012689628210 1308539丁焕杰1811002641081101158453778 1317479鲁雪霞1811014061011081089455765 1311989吴清清181100961971071227871587 1310359刘新会181100435851101099456776 1317609黄潇坤181101505103861029271749 1316589陈甜甜1811021329710210288637510 1309129刘雅雯1811018791049612394406814 1307799孙东辉18110202388931117968829 1306579朱飞帆1811014499510612178546711 1312279卢智晗181100979999610882606610 1311019赵连伟1811013289210111082606311 1300849刘龙辉18110198495106908861666 1304259库天涯181102133948210580677710 1307279彭雪会18110110693811188657707 1311159黄鹏丞181101238871101117048787 1328879王彬181100769851121244458807 1322269段一昭1811001721117811271507310 1313479张倩倩181101201106831217847576 1305599李欢欢18110053481631218660808 1307199朱晓月1811005481006712084487010 1313459王京181100874909910176556412 1303289林冉18110121310179117785357101301379刘会娟18110087694881128046609 1300379马芯雨18110160297671147355728 1314869刘肖华181102012102911046261578 1321689杨俊洋18110156794731079038759 1325589肖雪芳18110203096100598259803 1317139汪澳迪181101937951088979416410 1306149娄凤娟18110157610595898044588 1308399王永俊18110106196103947844546 1311719朱可欣181101161100869965556310 1309239崔崇祯18110090792114887644498 1314279韩振1811007899376988053618 1323759闻文1811002691021011025638587 1304309黄超洁18110086292771116042749 1313239王聪聪181100275361038680589210 1328599张桂旗181100262941091054434697 1303599袁丁1811015339282827059675 1305479刘雯18110176793949264496010 1315739刘梦豪18110021890661214846817 1311629王一杉18110169197114647635632 1327109刘露明18110035810087916437708 1302189李悦悦18110042310477966644589 1304419赵信181100426106809672414811 1302339田乔阳1811004159995994941597 1301069王飞1811009949884956448529 1312639宋孝天181100948996810173406011 1301299赵优美18110138510690936247419 1310039田啸风1811011871047810852395710 1321359张超群18110213594108867331397 1330529陈畅18110076284971034730707 1300279郭孟俊181101792101106934242379 1300629张方言1811013869369894658637 1325179赵凯18110204796579190294611 1303789王清华18110015996621015849419 1319129路珅1811009138711311228343210 1323799马梦红18110032786997528328111 1316569郝文艺1811002797264876454595 1323869王慧君181100134103638667384210 1322649许光义18110059110075366960578 1321609夏军超1811002089292812429788 1327509刘瑞月1811013097541936848558 1322349余杭1811001008592812231647 1309949孙凤香1811015929261974836367 1323669徐世杰1811000478344963647609 1329849付卜元18110105062496678436610 1308479娄豪起1811009685949925851548 1314929曹灿18110139685777840354412 1324999温冬冬1811019277958834843378 1316849岳亦佳1811018678468885014414 1323079刘豪1811018278665447427424 1316419王无迪1811021528753824443248 1321229班明坤1811020858870663226468 1325709赵云飞18110120289555434284511 1327989杨岩岩1811010889350554030368 1302239方晨阳18110056094348434332571321249王晨浩1811004019149663024426 1318469刘文达1811017178447662231356 1326289王鹏程18110044669403626213511 1311429张恒181102234013107410王铉淇1811014139813112496768610 13180510郭东辉18110067210412611892698512 13067010朱潇静1811001791121151338862709 13184410张璐璐1811000341129912892667211 13145410刘银洁1811001961079911384768912 13029510冯云浩18110076110711012088637813 13135010杨群超18110100198109999064797 13178010司庆贺1811003191001201038663678 13009610周新雨181101350102901219359709 13076810庞晓月1811002529910910888547510 13120410张晋181100330101911049460739 13074410刘凯1811006199611110786685512 13086210洪宇18110224892961088657814 13197710张蒙辉1811011359410311790457011 13185110余丝雨1811009169910310190547010 13068810李博文1811012068989998477739 13109110陈德港181101220994312192648812 13167010卢思远181100471851131117856629 13227210常断华18110095391861247851695 13040310康文静1811000611099010870497011 13054410单琼18110142195941187756568 13002110付豪杰18110038493901107258729 13094110林静音1811006341007710980606410 13094510陈文启181101473941148679545610 13189710张瑞18110151810064989456709 13009310韩玉文18110123210591987449657 13233510朱华敏181100870971111115232658 13134610窦梦园181101830110841194243668 13188510刘金格181100459948210662575711 13089410张新月18110030710372977249628 13124910杨亚雪18110074497991163948567 13211310张明月1811007501108312339386112 13002910秦俊景18110172695998572356712 13028010李晨倩18110225798991125436519 13156510李相雨18110018595107648150505 13202710王芬18110044595761086450545 13251110罗旭东1811000209785896044678 13061510刘斌斌18110199399771085650527 13178510谷肖肖1811001881038910950474114 13308110李志权1811012719096767844544 13095110周巧月1811015588886837242658 13164510赵潇潇1811000989571976257547 13236110张惠敏1811011141045311148546411 13232710李明钊18110186689104945031627 13238510项北京1811018258679707543755 13164010娄鹏辉1811020149176946439645 13029910刘金博18110208310980995137515 13148210鲁艺文181101670967210964384410 13011010王梦月18110125481591196434658 13151110楚传营181101032948568644167513103410张云杰1811005599873947440399 13029810靳凯璐1811015329987765551485 13064710徐锡亚1811005818772997240468 13069210张可1811017979693665842579 13276410张苏悦18110081110079866042448 13247210姬思雨18110087278109684823846 13256210袁培娜18110110791911076019429 13200510邢孟杰1811007029677816444463 13193610齐培培18110132410371855241547 13091410罗智鑫181101077102527172505111 13003110李飞1811008779393835524415 13228710李昊冉18110030010492433631803 13080610杨刘洋1811000928694617228417 13140810蔡潇梦181100150866810062323211 13226210张祥银1811021779474695826583 13231210张璞18110212399418666236410 13230210申陈静18110113910050924042554 13210810王德华1811001129586068507113038810刘香雨18110063697637963224613 13284510祖智勇1811021698389744230435 13227510张龙飞1811002097565567836508 13280610常浩18110200075687944236911 13027210刘立博1811014349774714639298 13164210方林栋18110097186501004432408 13208310段之瑞1811016228479712636456 13001810张权威18110155210368543233486 13232810李艳萍18110005897598618383711 13026410曾晨曦1811018809560634929388 13255410魏乔治1811002168360585829375 13234110柴梦迪1811013978983533823343 13124510路亚军1811012798431784624345 13314810申振祥1811009597843633624463 13235210王登峰1811001928143753214434 13189810刘慧敏181101583943277223747 13312210赵波1811017657981332522185 13308810冶青云1811015248126494234248 13150810张新全1811014649229513620229 13268010邵宵洁1811008068731334811242 13126811赵慧敏1811015231101071349274799 13021511王晓梦18110202910412412780637310 13183111娄崇181101589981201169058889 13089711曹金金1811012991081161338558659 13014711王梦杰1811022281051081319463628 13147711秦崇胜18110188610611411985597810 13058511王彬181101668861081269059827 13152311蔺梦雪1811019161001101129454788 13031611王超杰1811006391001151068866708 13154911刘冬杰1811000429810311484746310 13150611王淞1811004669311810093567510 13217611刘博181101196971141386231897 13063711洪习文1811006281011121009051759 13012511马雪龙181100906971241107656628 13180811赵卿霖1811018708910613169636713 13165911刘晓杰18110117310811110582635510。
高一期末考试成绩分析报告考试概况高一期末考试是对学生们在一学期学习成绩的总结和检验,也是学校对教学质量和学生学习情况的一次重要评估。
本次期末考试分为数学、语文、英语、物理、化学、生物、历史、地理、政治等多个科目,涵盖了学生的各个学科知识点。
分科成绩分析数学在数学科目中,本班表现较为出色。
平均成绩达到80分以上,最高分更是超过95分,显示出学生对数学知识的掌握较为扎实。
不过部分学生在解题思维能力上还有待提高,需要多加练习。
语文语文科目成绩相对较为平均,平均得分在70分左右,最高分接近90分。
阅读理解和写作能力是学生们普遍需要提高的方面,在阅读和写作上的训练需加强。
英语英语科目整体表现中等,平均分约为75分,但个别学生成绩较为突出,达到90分以上。
需要注意的是听说能力的训练,提高学生的英语口语表达能力。
物理、化学、生物理科科目整体成绩较好,物理平均分约为78分,化学和生物平均分分别在75分左右,部分学生在实验操作能力上表现不足,需要加强实验训练。
历史、地理、政治人文科目成绩相对较低,平均分在65分左右,需要学生们加强对历史地理政治知识的理解和记忆,注重知识点的扩展和联系。
学生个体情况分析学生A学生A在本次考试中表现优异,各科成绩均在80分以上,尤其在数学和物理上表现突出,是班级中的佼佼者。
学生B学生B虽然在语文和英语方面表现优秀,但在理科科目上成绩较为一般,需加强调查对策能力,提高分析和解决问题的能力。
学生C学生C在历史、地理、政治等人文科目上表现较好,但在理科科目稍显不足,需要更多时间和精力投入到理科科目的学习中。
分析结论与建议综上所述,本次高一期末考试各科目成绩总体平均,但在人文科目和理科实验技能方面仍有提高空间。
建议学生们在学习时要注重对知识点的深入理解,多进行综合能力的训练,提高解决问题的能力,保持学习的持续性和坚持性。
学校也将继续加强教学管理,提供更多的学习资源和辅导,帮助学生们实现更好的学业表现。
高一期末考试成绩引言高一期末考试成绩是全年学习成果的一次总结和评价。
它是学生们用一年来所学知识和技能的运用水平进行检验的重要指标。
本文将对高一期末考试成绩进行详细的分析和解读,帮助学生和家长更好地理解成绩背后的含义,并提供一些建议和方法以提高学习成绩。
成绩分布情况高一期末考试成绩的分布情况可以帮助我们了解整个年级的学习水平。
下表显示了高一期末考试成绩的分布情况。
成绩范围学生人数90-100分2580-89分5070-79分10060-69分7560分以下30从表中可以看出,高一年级的学生成绩主要集中在70分以上,其中有25名学生取得90分以上的优秀成绩。
然而,也有30名学生的成绩在60分以下,需要特别关注和帮助。
成绩绩点计算成绩绩点是对学生学习成果的综合评价,它兼顾了学生的得分和课程的难度。
下表显示了高一期末考试成绩对应的绩点。
成绩绩点90-100分 4.080-89分 3.070-79分 2.060-69分 1.060分以下0.0绩点的计算可以帮助学生和家长更好地了解学生在不同科目上的学习情况。
同时,绩点也是大多数高校对学生招生时的重要参考指标之一。
因此,根据绩点的计算结果,学生和家长可以有针对性地调整学习计划和方法,提高学业水平。
分科成绩分析高一期末考试涵盖了多个学科的内容,下面将对各学科的成绩进行分析。
数学数学一直是高中阶段学生们较为关注的学科之一。
通过对高一期末数学成绩的分析,可以发现以下几点情况:1.50%以上的学生取得了70分以上的成绩,其中15%的学生超过了90分。
2.有15%的学生的数学成绩低于60分,需要加强基础知识的学习和巩固。
对于数学成绩较好的学生,可以进一步挑战更高难度的题目和应用题,提升解题能力。
而对于成绩较差的学生,可以通过辅导和练习巩固基础知识,完成课后习题和模拟题来提高成绩。
英语英语是国内高中课程中的重要科目之一。
下面是对英语成绩的分析:1.30%以上的学生在英语考试中获得了80分以上的成绩,但只有10%的学生超过了90分。
磋砣莫遗韶光老,人生惟有读书好。
2011—2012学年第一学期高一期末考试成绩
生于忧患,死于安乐《孟子•告子》
舜发于畎亩之中,傅说举于版筑之间,胶鬲举于鱼盐之中,管夷吾举于士,孙叔敖举于海,百里奚举于市。
故天将降大任于是人也,必先苦其心志,劳其筋骨,饿其体肤,空乏其身,行拂乱其所为,所以动心忍性,曾益其所不能。
人恒过,然后能改;困于心,衡于虑,而后作;征于色,发于声,而后喻。
入则无法家拂士,出则无敌国外患者,国恒亡。
然后知生于忧患,而死于安乐也。
2004学年高一年级第一学期期末考试成绩单(附学期成绩曲线图)高一(«班级»)班姓名«姓名»学号«学号»班主任:«班主任»«姓名»学生家长,您好!高一第一学期即将结束,您的孩子在南洋中学学习已近半年了,希望您能和孩子一起在寒假对过去一学期做些思考总结。
此外,农历新年将至,我也给您全家拜个早年^_^,祝您全家:阖家幸福,新年好!高一(«班级»)班主任:«班主任»________________________________________________________________2004学年高一年级第一学期期末考试成绩单(附学期成绩曲线图)高一(«班级»)班姓名«姓名»学号«学号»班主任:«班主任»«姓名»学生家长,您好!高一第一学期即将结束,您的孩子在南洋中学学习已近半年了,希望您能和孩子一起在寒假对过去一学期做些思考总结。
此外,农历新年将至,我也给您全家拜个早年^_^,祝您全家:阖家幸福,新年好!高一(«班级»)班主任:«班主任»________________________________________________________________2004学年高一年级第一学期期末考试成绩单(附学期成绩曲线图)高一(«班级»)班姓名«姓名»学号«学号»班主任:«班主任»«姓名»学生家长,您好!高一第一学期即将结束,您的孩子在南洋中学学习已近半年了,希望您能和孩子一起在寒假对过去一学期做些思考总结。
此外,农历新年将至,我也给您全家拜个早年^_^,祝您全家:阖家幸福,新年好!高一(«班级»)班主任:«班主任»。
高一英语期末成绩概览一、成绩分布概况1.1 总体情况本次高一英语期末考试成绩分布如下:- 优秀(90-100分):占总人数的25%- 良好(80-89分):占总人数的35%- 一般(70-79分):占总人数的20%- 及格(60-69分):占总人数的10%- 不及格(0-59分):占总人数的10%1.2 各分数段人数分布- 90-100分:班级总人数的25%,共计40人- 80-89分:班级总人数的35%,共计50人- 70-79分:班级总人数的20%,共计25人- 60-69分:班级总人数的10%,共计15人- 0-59分:班级总人数的10%,共计15人二、成绩分析2.1 优秀率分析本次期末考试,班级优秀率为25%,相较于上学期的18%,有了显著的提升。
这说明同学们在英语学习上取得了明显的进步,也反映出教师教学方法的成效。
2.2 良好率分析本次期末考试,班级良好率为35%,相较于上学期的28%,有所提升。
这表明一部分同学在英语学习上取得了进步,但仍有提升空间。
2.3 及格率分析本次期末考试,班级及格率为65%,相较于上学期的50%,明显提升。
这说明大部分同学已经掌握了英语基础知识,但仍有部分同学需要加强。
2.4 不及格率分析本次期末考试,班级不及格率为10%,相较于上学期的20%,有所下降。
这说明同学们在英语学习上取得了进步,但仍有一部分同学需要关注和帮助。
三、建议与措施针对本次期末考试成绩分布,提出以下建议和措施:1. 对于优秀同学,建议加强课外阅读,提高英语综合素质,为高中英语学习打下坚实基础。
2. 对于良好同学,建议加大练习力度,尤其是听力、阅读和写作方面,提高英语应用能力。
3. 对于及格同学,建议巩固英语基础知识,加强词汇、语法学习,提高学习效果。
4. 对于不及格同学,建议关注英语学习,积极参与课堂活动,争取早日达标。
同时,教师也应针对不同层次的学生,调整教学方法,关注学生的个体差异,提高教学质量。