高等数学 习题册解答_10.重积分(青岛理工大学).
- 格式:doc
- 大小:32.50 KB
- 文档页数:21
第九章(二) 重积分的应用重积分的应用十分广泛。
尤其是在几何和物理两方面。
几何方面的应用有利用二重积分求平面图形的面积;求曲面面积;利用三重积分求立体体积。
物理方面的应用有求质量;求重心;求转动惯量;求引力等。
在研究生入学考试中,该内容是《高等数学一》和《高等数学二》的考试内容。
通过这一章节的学习,我们认为应达到如下要求: 1、掌握重积分的几何和物理意义,并能应用于实际计算。
2、对于重积分的应用领域和常见应用问题有全面的了解,并能利用重积分解决应用问题。
3、具备空间想象能力,娴熟的重积分计算技巧和将理论转化为应用的能力。
一、知识网络图⎪⎪⎪⎪⎩⎪⎪⎪⎪⎨⎧⎪⎪⎩⎪⎪⎨⎧⎪⎩⎪⎨⎧求引力求转动慣量求重心求质量物理应用求曲面面积求立体体积求平面图形面积几何应用重积分的应用 二、典型错误分析例1. 求如下平面区域D 的面积,其中D 由直线x y x ==,2及曲线1=xy 所围成。
如图: y1=xy (2,2))21,2(O 1 2 x [错解]89)2(2212221=-===⎰⎰⎰⎰⎰dy y dx dy d S yDσ [分析]平面图形的面积可以利用二重积分来计算,这一点并没有错。
问题在于区域D ,若先按x 积分,再按y 积分,则应注意到区域D 因此划分为两个部分,在这两个部分,x 、y 的积分限并不相同,因此此题若先积x, 后积y ,则应分两部分分别积分,再相加。
[正确解] 2ln 2322112121-=+==⎰⎰⎰⎰⎰⎰y y Ddx dy dx dy d S σ 例2..设平面薄片所占的闭区域D 是由螺线θγ2=上一段弧)20(πθ≤≤与直线2πθ=所围成,它的面密度为22),(y x y x +=ρ,求该薄片的质量。
[错解] 24023420320220πθθθσρπθπ====⎰⎰⎰⎰⎰d r dr r d d MD[分析] 平面物体的质量是以面密度函数为被积函数的二重积分,因此解法的第一步是正确的。
第十一章 曲线积分与曲面积分 § 1 对弧长的曲线积分1设 L 关于x 轴对称,1L 表示L 在x 轴上侧的部分,当()y x f ,关于y 是偶函数时,()=⎰Lds y x f ,()⎰1,L ds y x f C. ()⎰-1,2L ds y x f D.ABC 都不对2、设L 是以点()()()()1,0,0,1,1,0,0,1--D C B A 为顶点的正方形边界,则⎰+Lyx ds =24 D. 223、有物质沿曲线L :()103,2,32≤≤===t t z t y t x 分布,其线密度为,2y =μ,则它=m++1421dt t t t B.⎰++14221dt t t t C.⎰++1421dt t t D.⎰++1421dt t t t4.求,⎰Lxds 其中L 为由2,x y x y ==所围区域的整个边界解:()22155121241111+-=++⎰⎰xdx dy yy 5.,ds y L⎰其中L 为双纽线)0)(()(222222>-=+a y x a y x解:原积分=()()222sin 4sin 442022'2441-==+=⎰⎰⎰a d ad r r r ds y L χππθθθθθ6.⎰+Lds y x ,22 其中L 为()022>=+a axy x原积分=2222cos 2a adt t a ==⎰π7.,2⎰Lds x 其中L 为球面2222a z y x =++与平面0=-y x 的交线解:将y x =代入方程2222a z y x =++得2222a z x =+于是 L 的参数方程:ta z t a y t a x sin ,sin 2,cos 2===,又adt ds =原积分=⎰=ππ203222cos 2a adt t a 8、求均匀弧()0,sin ,cos ≤<∞-===t e z t e y t e x t t t 的重心坐标33,30===⎰∞-dt e M dt e ds tt,523cos 100==⎰∞-dt e t e Mx t t ,21,5100=-=z y§2 对坐标的曲线积分 一、选择题1.设L 关于x 轴对称,1L 表示L 在x 轴上侧的部分,当()y x P ,关于y 是偶函数 时,()=⎰Ldx y x P , A.0 B. ()⎰1,2L dx y x P C.()⎰-,2L dx y x P 都不对2.设L 为1=+y x 的正向,则=++⎰Ly x ydyxdx3.L 为222a y x =+的正向,=+--+⎰Ly x dyy x dx y x 22)()( A.2ππ C.0 D.π二、计算1.()()dy y x dx y x L⎰-++2222,其中L 由曲线()2011≤≤--=x x y 从()0,2A 到()0,0O 方向解:()1,1B 01:,:;12:,2:_______→=→-=x x y BO x x y AB=I =+⎰⎰_______BOAB ()()()()()()34122012212222-=++---+-+⎰⎰dx x xdx x x dx x x2.[]d y y x x xy y dx y x L)ln((2222+++++⎰ 其中L 是正向圆周曲线222a y x =+解: 由奇偶对称性022=+⎰Ldx y x ,L :ππ→-==:,sin ,cos t t a y t a x=I ()()=++⎰-dt t a t t a dt t t acos 1ln cos sin cos sin 3224πππππ4cos sin 4224a dt t t a =⎰-3.()⎰Γ-+++dz y x ydy xdx 1其中为从点()1,1,1A 到()4,3,2B 的有向线段解:Γ方程:13,12,1+=+=+=t z t y t x ,=I ()136141=+⎰dt t三、过()0,0O 和()0,πA 的曲线族()0sin >=a x a y ,求曲线L 使沿该曲线从()0,0O 到()0,πA 的积分()()dy y x dx y L+++⎰213的值最小解:()()[]3033344cos sin 2sin 1a a dx x a x a x x a a I +-=+++=⎰ππ()()()0811,014''2'>=⇒=⇒=-=I a a a I 。
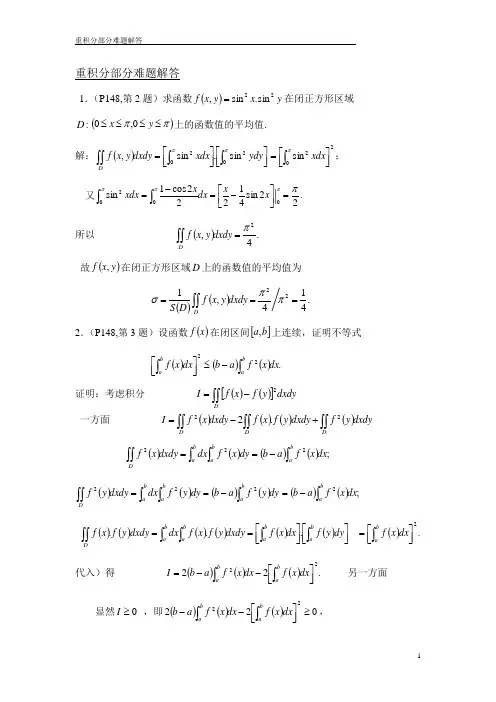
重积分部分难题解答1.(P148,第2题)求函数()y x y x f 22sin .sin ,=在闭正方形区域:D ()ππ≤≤≤≤y x 0,0上的函数值的平均值.解:()⎥⎦⎤⎢⎣⎡⎥⎦⎤⎢⎣⎡=⎰⎰⎰⎰ππ0202sin .sin ,ydy xdx dxdy y x f D202sin ⎥⎦⎤⎢⎣⎡=⎰πxdx ;又.22sin 41222cos 1sin |002ππππ=⎥⎦⎤⎢⎣⎡-=-=⎰⎰x x dx x xdx 所以().4,2π=⎰⎰dxdy y x f D故()y x f ,在闭正方形区域D 上的函数值的平均值为()().414,122===⎰⎰ππσdxdy y x f D S D2.(P148,第3题)设函数()x f 在闭区间[]b a ,上连续,证明不等式()()().22dx x fa b dx x f ba b a ⎰⎰-≤⎥⎦⎤⎢⎣⎡证明:考虑积分 ()()[]d x d y y f x f I D⎰⎰-=2一方面 ()()()()dxdy y f dxdy y f x f dxdy x f I DDD⎰⎰⎰⎰⎰⎰+-=22.2()()()();222dx x fa b dy x fdx dxdy x fbab a baD⎰⎰⎰⎰⎰-==()()()()dy y fa b dy y fdx dxdy y f bababaD⎰⎰⎰⎰⎰-==222()();2dx x f a b ba⎰-=()()()()()()⎥⎦⎤⎢⎣⎡⎥⎦⎤⎢⎣⎡==⎰⎰⎰⎰⎰⎰ba b a babaDdy y f dx x f dxdy y f x f dx dxdy y f x f ...().2⎥⎦⎤⎢⎣⎡=⎰ba dx x f 代入)得 ()()().2222⎥⎦⎤⎢⎣⎡--=⎰⎰ba badx x f dx x f a b I 另一方面显然0≥I ,即()()()02222≥⎥⎦⎤⎢⎣⎡--⎰⎰b a badx x f dx x f a b ,故 ()()().22dx x f a b dx x f b a b a ⎰⎰-≤⎥⎦⎤⎢⎣⎡3.(P149,第4题)设()x f 在闭区间[]b a ,上为正值连续函数.证明不等式()()()2..b b a a dx f x dx b a f x ⎡⎤⎡⎤≥-⎢⎥⎢⎥⎣⎦⎣⎦⎰⎰ 证法一:考虑到定积分与变量的记号无关.故有:()()⎰⎰=b a bay f dy x f dx()().dy y f dx x f bab a⎰⎰=所以, ()()()()..⎰⎰⎰⎰=⎥⎦⎤⎢⎣⎡⎥⎦⎤⎢⎣⎡D b a b a dxdy y f x f x f dx dx x f 其中,⎩⎨⎧≤≤≤≤.,:b y a b x a D 同理, ()()()()..⎰⎰⎰⎰=⎥⎦⎤⎢⎣⎡⎥⎦⎤⎢⎣⎡D b a b a dxdy x f y f x f dx dx x f , ()()()()()()()()()().2.2⎰⎰⎰⎰⎰⎰≥⎥⎦⎤⎢⎣⎡+=⎥⎦⎤⎢⎣⎡⎥⎦⎤⎢⎣⎡D Db a b a dxdy y f x f x f y f dxdy y f x f x f y f x f dx dx x f ()222.Dd x d yb a ==-⎰⎰ 即:()()()2..b b a a dx f x dx b a f x ⎡⎤⎡⎤≥-⎢⎥⎢⎥⎣⎦⎣⎦⎰⎰ 证法二:因为()0≥x f ,所以,20b a dx ⎡⎤⎢≥⎢⎣⎰,即: ()()()220.b baadxf x dx b a f x λλ⎡⎤+-+≥⎢⎥⎣⎦⎰⎰------(1) (1)式左边是λ的非负二次三项式,因此必有判别式()()()20b b a a dx b a f x dx f x ⎡⎤⎡⎤∆=--≤⎢⎥⎢⎥⎣⎦⎣⎦⎰⎰,故()()()2..b b a a dx f x dx b a f x ⎡⎤⎡⎤≥-⎢⎥⎢⎥⎣⎦⎣⎦⎰⎰ 4.(书p149页习题8)设函数()x f 在[]b a ,上连续,证明:()()().dx x b x f dx x f dy bab ay a-=⎰⎰⎰证法一:()dxx f dy b aya⎰⎰对应的二重积分的积分区域⎩⎨⎧≤≤≤≤.,:b x a b y x D 交换积分次序后,重新计算()dx x f dy b a y a⎰⎰,则有 ()=⎰⎰dx x f dy bay a()dy x f dx b ab x⎰⎰()().dx x b x f ba-=⎰.证法二:记()()dx x f y F ya⎰=,则()()dy y F dx x f dy b a b a y a ⎰⎰⎰= ()[]()dy y F y y F y ba b a ⎰'-=|.()()()dy y f y a aF b bF ba⎰--=. ()()dx x f x dx x f b baba⎰⎰--=.0. ()().dx x b x f ba -=⎰5.(书p149页习题10)设()x f 为[]1,1-上的连续函数,证明:().4210⎥⎦⎤⎢⎣⎡=⎪⎭⎫ ⎝⎛⎪⎭⎫ ⎝⎛⎰⎰⎰≤≤dx x f ab dxdy b y f a x f by ax证明:因为⎥⎦⎤⎢⎣⎡⎪⎭⎫ ⎝⎛⎥⎦⎤⎢⎣⎡⎪⎭⎫ ⎝⎛=⎪⎭⎫⎝⎛⎪⎭⎫ ⎝⎛⎰⎰⎰⎰--≤≤bb a a by ax dy b y f dx a x f dxdy b y f a x f . 其中对于dx a x f aa ⎰-⎪⎭⎫⎝⎛,令,a x u =则()()()dx x f a du u f a du u f a dx a x f aa⎰⎰⎰⎰===⎪⎭⎫⎝⎛--10101122;同理,对于dy b y f b b ⎰-⎪⎭⎫⎝⎛,令,b y v =则()()()dxx f b dv v f b dv v f b dy b y f bb⎰⎰⎰⎰===⎪⎭⎫⎝⎛--1010112.2().4210⎥⎦⎤⎢⎣⎡=⎪⎭⎫ ⎝⎛⎪⎭⎫ ⎝⎛⎰⎰⎰≤≤dx x f ab dxdy b y f a x f by a x6.(书p158页习题3)证明:dy yxdx xx⎰⎰2sin21π().242sin3242+=+⎰⎰πππdy yxdx x证明:(一)记 ⎩⎨⎧≤≤≤≤.,21:1x y x x D ,⎩⎨⎧≤≤≤≤2,42:2y x x D .分别画出草图.则12.D D D = (二)按所给积分次序很困难,故更换积分次序,即要将积分区域视为-Y 型区域:⎩⎨⎧≤≤≤≤.,21:2y x y y D ,此时无须分块. 原式dx yxdy y y⎰⎰=22sin21π⎪⎪⎭⎫⎝⎛=⎰⎰y x d y x dy yy y22sin2221πππdy y x y y y ⎰⎥⎦⎤⎢⎣⎡-=21|22cos 2ππdy y y ⎰-=212cos 2ππ ⎪⎭⎫⎝⎛-=⎰y d y 2sin4212ππ⎥⎦⎤⎢⎣⎡--=⎰212122sin 2sin 4|ydy y y πππ ⎥⎦⎤⎢⎣⎡+--=|2122cos .214y πππ().2421432+=⎥⎦⎤⎢⎣⎡---=ππππ 7.(书p158页习题4)求⎰⎰-=1102.2xy dy e dx x I解:按所给积分次序很困难,画出积分区域D 的图形,交换积分次序.dx x dy e I y y ⎰⎰-=02102⎰-=103231dy y e y ()⎰--=12261y e d y()⎥⎦⎤⎢⎣⎡-+-=⎰--10210222|61y d e e y y y []().216116161111101|2------=-+-=⎥⎦⎤⎢⎣⎡+-=e e e e e y8.(书p158页习题5)利用极坐标,求下面的二重积分:(ⅰ)()D dxdy y xy x I D,22⎰⎰++=为由上半圆周122=+y x (0≥y )与直线xy ±=围成的圆扇形; (ⅱ)D dxdy yx y x I D,112222⎰⎰++--=为单位圆(122≤+y x ); (ⅲ)D dxdy y x I D,sin 22⎰⎰+=为圆环域(22224ππ≤+≤y x );(ⅳ)D dxdy x yI D,arctan ⎰⎰=为单位圆(122≤+y x )含在第一象限内的部分.解:(ⅰ)()=++=⎰⎰dxdy y xy x I D22()022++⎰⎰dxdy y xD.841422.224102πππθππ=⨯⎪⎭⎫ ⎝⎛-⨯==⎰⎰dr r r d(ⅱ)rdr r r d dxdy yx y x I D⎰⎰⎰⎰+-=++--=201022222211411πθ rdr r r ⎰+-=1022112π(令t r =2) dt t t ⎰+-=111πdt t t ⎰--=10211πdt t ⎰-=10211πdt t t ⎰--1021π .12⎪⎭⎫ ⎝⎛-=ππ (ⅲ)⎰⎰⎰⎰=+=20222.sin 4sin πππθrdr r d dxdy y x I D⎰⎪⎭⎫ ⎝⎛=πππ2.sin .2.4rdr r ()⎰-=πππ2cos .2r rd 2222cos cos 6.|r r rdr ππππππ⎡⎤=--=-⎢⎥⎣⎦⎰ (ⅳ)rdr r r d dxdy x y I D.cos sin arctan arctan 2010⎰⎰⎰⎰==πθθθ==⎰⎰rdr d .2010πθθ .1621.21.2102202201||πθθθππ=⎥⎦⎤⎢⎣⎡⎥⎦⎤⎢⎣⎡=⎰⎰r dr r d 9.(书p158页习题6)计算下面的二重积分:(ⅰ)D dxdy x y I D,2⎰⎰-=为正方形(20,11≤≤≤≤-y x );(ⅱ)D dxdy y x I D,422⎰⎰-+=为圆域(922≤+y x );(ⅲ)()D dxdy y x I D,cos ⎰⎰+=为正方形(20,20ππ≤≤≤≤y x ).解:(ⅰ)(画图)12D D D = ,则原式=()()1222.D D y x dxdy x y dxdy -+-⎰⎰⎰⎰其中,⎩⎨⎧≤≤-≤≤,11,2:21x y x D , ⎩⎨⎧≤≤-≤≤,11,0:22x x y D 于是,有()d y x y dx I x⎰⎰--=11222().15465115431122=+=-+⎰⎰-dy y xdx x (ⅱ)设222212:04,:49.D x y D x y ≤+≤≤+≤则12.D D D = 所以,()()12222244D D I x y d x y d σσ=--++-⎰⎰⎰⎰()()222322024144.2d r rdr d r rdr πππθθ=-+-=⎰⎰⎰⎰ (ⅲ)以直线2π=+y x 将区域D 分成两个子区域,12D D D =其中,⎪⎩⎪⎨⎧≤≤-≤≤,20,20:1ππx x y D , ⎪⎩⎪⎨⎧≤≤≤≤-,20,22:2πππx y x D ()dy y x dx I x⎰⎰-+=22cos ππ()dy y x dx x⎰⎰-+-+2022cos πππ其中()=+⎰⎰-dy y x dx x202cos ππ()dx y x x ⎰⎥⎦⎤⎢⎣⎡+-2020|sin ππ()12s i n 120-=-=⎰ππdx x ;()dy y x dx x ⎰⎰-+-2022cos πππ()dx y x x ⎰⎥⎦⎤⎢⎣⎡+-=-2022|sin πππ ().121cos 20-=--=⎰ππdx x 所以 .21212-=⎪⎭⎫⎝⎛-+⎪⎭⎫ ⎝⎛-=πππI10.(书p159页习题7)求(),t F '其中()()0002>=⎰⎰≤≤≤≤-t dxdy et F ty tx y tx .解:(一)()dx edy dxdy et F t ty tx ty tx ytx ⎰⎰⎰⎰-≤≤≤≤-==00dy y tx d e t y tt y tx ⎰⎰⎥⎥⎦⎤⎢⎢⎣⎡⎪⎪⎭⎫ ⎝⎛-⎪⎪⎭⎫ ⎝⎛-=-00222dy e t y t t y tx⎰⎥⎥⎦⎤⎢⎢⎣⎡⎪⎪⎭⎫ ⎝⎛-=-002|2 dy e t y t yt ⎰⎪⎪⎭⎫ ⎝⎛-⎪⎪⎭⎫ ⎝⎛-=-02122t d y e t y t y t ⎰⎪⎪⎭⎫ ⎝⎛-⎪⎪⎭⎫ ⎝⎛-=-022122令,tu y =则,tdu dy =()()du t e u t F u 211212⎰⎪⎪⎭⎫ ⎝⎛--=- ()du e u t u ⎰⎪⎪⎭⎫ ⎝⎛--=-1012212 (二) ()()⎥⎥⎦⎤⎢⎢⎣⎡⎪⎪⎭⎫ ⎝⎛--=⎪⎪⎭⎫ ⎝⎛--='⎰⎰--10122112121222u u e u t t du e u t t F ().2t F t =11.(书p159页习题8)根据⎰⎰=DD dxdy 的面积,求下面曲线围成图形的面积:(ⅰ)由抛物线x y =2与半圆周22y x -=围成的图形; (ⅱ)曲线()xy y x =+222围成的图形.解:(ⅰ)联立 ⎩⎨⎧-==.2,22y x x y 得⎩⎨⎧==.1,1y x 或⎩⎨⎧-==.1,1y x 故两曲线的交点为()1,1及()1,1-.化出区域D 的草图,并视之为-Y 型区域. 则所求面积为 []⎰⎰⎰⎰⎰-----===1122112222y ydx dy dxdy A y yD32222a r c s i n .2223222|10212-⎥⎥⎦⎤⎢⎢⎣⎡-+=--=⎰y y ydy y .312+=π (ⅱ)解:记1D 为D 在第一象限内的那部分区域,则⎰⎰⎰⎰===20sin cos 01221πθθθrdr d dxdy A A D .21cos .sin 222020sin cos 02|⎰⎰==⎥⎦⎤⎢⎣⎡=ππθθθθθθd d r 12.(书p159页习题9)求下面立体图形的体积(ⅰ)球面()02222>=++a az z y x 的上半部分与圆锥面222y x z +=围成图形; (ⅱ)圆柱面222a z y =+与222a z x =+围成的立体的图形. (ⅰ)解法一:画出积分区域Ω的草图.联立 ⎩⎨⎧+==++.,2222222y x z az z y x ,消去z ,得Ω在xoy 面投影.:222a y x D ≤+ ()[]d xdy y x y x a a V D⎰⎰+---+=22222()[]⎰⎰--+====πθ2022ardr r r a a d 极⎥⎦⎤⎢⎣⎡-+-=⎰⎰⎰a a ar d r r a dr r ardr 0002222π 3.a π= 解法二:画出积分区域Ω的草图,显然见Ω的体积为球体az z y x 2222≤++的体积的上半部分体积加上锥体()a z y x z ≤≤+≥0222的体积故 ..3134.2132321a a a a V V V πππ=+=+=(ⅱ)解法一:()()(),22222z az aD S z A z -=-==所以,()().316883220a dz z a dz z A V a a =-==⎰⎰ 解法二:()()().3163388883330222221111a aa dx y a dy dy x a dx V V V V a xay=⎪⎪⎭⎫ ⎝⎛+=⎥⎦⎤⎢⎣⎡-+-=+==⎰⎰⎰⎰13.(P159,第12题)根据下面的提示,证明贝塔函数()t s ,β与伽马函数()t Γ之间的关系为()()()()t s t s t s +ΓΓΓ=,β ()0,0>>t s其中 ()(),1,111dx x xt s t s --⎰-=β()dx e x t x t -+∞-⎰=Γ01证明:(ⅰ)令2u x =,则 udu dx 2=, 故 ()()u d u eu t u t 2212-+∞-⎰=Γdu e uu t .20122-+∞-⎰=换记为 ()dx e x t x t .20122-+∞-⎰=Γ.(ⅱ)()()⎥⎦⎤⎢⎣⎡=ΓΓ⎰--+∞→dx e x t s a x t a 0122lim 2⎥⎦⎤⎢⎣⎡⎰--+∞→dy e y ay s a 0122lim 2. ()dxdy y x f Da ⎰⎰+∞→=,lim 4. (){}a y a x y x D ≤≤≤≤=0,0|,为正方形区域,()().,221212y xs t e y x y x f +---=(ⅲ)显然,由于()0,≥y x f ,故有()()≤⎰⎰dxdy y x f aK ,()≤⎰⎰dxdy y x f D,()().,2d x d y y x f aK⎰⎰ (1) 其中 ()(){}222|,a y x y x a K ≤+= ;()(){}2222|,2a y x y x a K ≤+=分别是半径为a 及的a 2圆含在第一象限的部分.(1)式左端积分()222121t s xyK a x y e dxdy ----⎰⎰(极坐标)()()⎥⎦⎤⎢⎣⎡⎥⎥⎦⎤⎢⎢⎣⎡=-----⎰⎰rdr e r r d r s a t s t .sin cos 212012121220θθθπ其中()()θθθπd s t 12122sin cos --⎰()()()θθθθθπd s t sin .cos 2sin cos 21121202--=--⎰(令u =θ2cos ,则du d =-θθθsin cos 2)()du u u s t 1101121----=⎰()().,211211110t s du u u s t β=-=--⎰; (2)其中rdr e r rr s t a.212120---⎰(令u r =2,则du rdr =)du e u u s a --+⎰=120221dx e x xt s a --+⎰=10221; (3)故由(2)、(3)两式,得(1)式左端积分().,21⎥⎦⎤⎢⎣⎡=t s β⎥⎦⎤⎢⎣⎡--+⎰dx e x x s a 120221()dx e x t s xa t s --+⎰=201,41β. 同理得(1)式右端积分 ()dx e x t s x a t s --+⎰=2201,41β.故(1)化为 ()dx e x t s x a t s --+⎰201,41β ()dxdy y x f D⎰⎰≤,两边令,+∞→a 有()()()()≤ΓΓ≤+Γt s t s t s .41.,41β()()t s t s +Γ.,41β 故()()()()t s t s t s ΓΓ=+Γ.41..,41β即得: ()()()().,t s t s t s +ΓΓΓ=β14.(书p166页习题1)引入适当的变换,将下面的二重积分化为一重积分: (ⅰ)()dxdy y x f I y x ⎰⎰≤++=1;(ⅱ)()D dxdy xy f I D,⎰⎰=为双曲线1=xy 和2=xy (0,0>>y x )与直线x y =和x y 4=围成的区域;(ⅲ)dxdy x y f I xy x ⎰⎰≤+⎪⎭⎫⎝⎛=22; (ⅳ)()dxdy c by ax f I y x ⎰⎰≤+++=122(022≠+b a ).解:(ⅰ)画出积分区域D (如图,为一个正方形区域).作变量代换: ⎪⎩⎪⎨⎧-=+=⇒⎩⎨⎧-=+=.2,2.,v u y v u x y x v y x u 由二重积分的换元法()()dudv J u f dxdy y x f I D y x ⎰⎰⎰⎰'≤+=+=1()()2121212121,,-=-=∂∂∂∂∂∂∂∂=∂∂=v y uy v x u xv u y x J ; ⎩⎨⎧≤≤-≤≤-'.11,11:u v D()()dv u f du dudv u f I D ⎰⎰⎰⎰--'==11112121 ()()⎰⎰--==1111.221du u f du u f (ⅱ)画出积分区域D (如图).作变量代换: ⎪⎩⎪⎨⎧==⇒⎪⎩⎪⎨⎧==..,.,v u y v u x x y v xy u 换元法 ()()dudv J u f dxdy xy f I D D⎰⎰⎰⎰'==.()()v vu uv v v uuv v y u y v xu xv u y x J 1.2121212121,,=-=∂∂∂∂∂∂∂∂=∂∂= ⎩⎨⎧≤≤≤≤'.21,41:u v D()()dv vdu u f dudv v u f I D ⎰⎰⎰⎰=='21411.211.21 ()⎰=21..2ln du u f (ⅲ)画出积分区域D (如图).作变量代换: ⎩⎨⎧==.s i n ,c o s θθr y r x由二重积分的换元法 ()θθd r d J f d x d y x y f I D D ⎰⎰⎰⎰'=⎪⎭⎫⎝⎛=tan .()()r r r y ryxrxr y x J =-=∂∂∂∂∂∂∂∂=∂∂=θθθθθθθcos sin sin cos ,,⎪⎩⎪⎨⎧≤≤-≤≤'.22,cos 0:πθπθr D ()θθr d r d f d x d y x y f I D D ⎰⎰⎰⎰'=⎪⎭⎫⎝⎛=tan()r d rf d ⎰⎰-=22c o st a n ππθθθ ().cos .tan 21222⎰-=ππθθθd f (ⅳ)作正交变量代换:..,22222222v u y x b a av bu y b a bv au x +=+⇒⎪⎪⎩⎪⎪⎨⎧+-=++=由二重积分的换元法 ()()d u d vJ c b a u f d x d y c by ax f I D y x ⎰⎰⎰⎰'≤+++=++=22122.()().1,,22222222=+-+++=∂∂∂∂∂∂∂∂=∂∂=b a a ba b b a b b a a vy uy v x uxv u y x J.1:22≤+'v u D或 ⎪⎩⎪⎨⎧≤≤--≤≤--'.11,11:22u u v u D ()d udv c b a u f I D ⎰⎰'++=22()d v c b a u f du u u⎰⎰----++=11112222().1211222⎰-++-=du c b a u f u15.(书p167页习题2)引入适当的变换,求下列曲线所围成图形的面积: (ⅰ)()222a x y x =+-;解:作变量代换: ⎩⎨⎧-==⇒⎩⎨⎧=-=.,.,u v y v x x v y x u 222a v u =+. dxdy S D⎰⎰=1dudv J D ⎰⎰'=1其中()().11110,,=-=∂∂∂∂∂∂∂∂=∂∂=vy u y vxu x v u y x J 222a v u ≤+ .12a dudv S D π==⎰⎰'16.(书p167页习题3)求由下列曲面包围的立体的体积:(ⅰ)1222222=++cz b y a x (椭球面);(ⅱ)1222222-=-+c z b y a x (双叶双曲面),12222=+by a x (椭圆柱面);(ⅲ)12222=++c z b y a x ,.0,13232==⎪⎭⎫⎝⎛+⎪⎭⎫ ⎝⎛z b y a x 解:(ⅰ)根据对称性及二重积分的几何意义,知⎰⎰--==122221144D dxdy b y a x c V V .0,0,1:22221>>≤+y x b y a x D为计算方便,特引入变量替换 令⎩⎨⎧==.sin ,cos θθbr y ar x则被积函数化为 2222211r c by a x c z -=--=积分区域1D 化为 .20.1:21⎪⎭⎫ ⎝⎛≤≤≤'πθr D ⎰⎰'-==121144D drd J r c V V θ ()()abr br b ra a y ryxr xr y x J =-=∂∂∂∂∂∂∂∂=∂∂=θθθθθθθcos sin sin cos ,,⎰⎰'-==D drd J r c V V θ21144 ⎰⎰'-=D rdrd r abc θ214⎰⎰-=201214πθrdr r d abc ().341322|10232abc r ab ππ=⎥⎦⎤⎢⎣⎡--=(ⅱ)根据对称性及二重积分的几何意义,知⎰⎰++==Ddxdy b y a x c V V 2222122上 其中 .1:2222≤+b y a x D为计算方便,特引入变量替换 令⎩⎨⎧==.sin ,cos θθbr y ar x则被积函数化为 2222211r c by a x c z +=++=积分区域D 化为 .1:2≤'r D ⎰⎰'+==D drd J r c V V θ21122()()abr br b ra a y ryxr xr y x J =-=∂∂∂∂∂∂∂∂=∂∂=θθθθθθθcos sin sin cos ,,⎰⎰'+==D drd J r c V V θ21122⎰⎰'+=D rdrd r abc θ212 ⎰⎰+=πθ201212rdr r d abc()().122341322|10232-=⎥⎦⎤⎢⎣⎡+=abc r ab ππ(ⅲ)12222=++c z b y a x ,.0,13232==⎪⎭⎫⎝⎛+⎪⎭⎫ ⎝⎛z b y a x 根据对称性及二重积分的几何意义,知⎰⎰⎪⎪⎭⎫ ⎝⎛--=1222214D dxdy b y a x c V 其中 ()0,0,1:32321≥≥≤⎪⎭⎫⎝⎛+⎪⎭⎫ ⎝⎛y x b y a x D为计算方便,特引入变量替换 令⎩⎨⎧==.sin ,cos 33θθbr y ar x 则被积函数化为 ().s i n c o s 16262θθr r c z --=积分区域1D 化为 ⎪⎭⎫ ⎝⎛≤≤≤'20.1:1πθr D ()⎰⎰'--=16262sin cos 14D drd J r r c V θθθ()().sin .cos 3cos .sin 3sin sin .cos 3cos ,,222323θθθθθθθθθθθabr br b ra a y r y xr x r y x J =-=∂∂∂∂∂∂∂∂=∂∂= ()⎰⎰'--=16262sin cos 14D drd J r r c V θθθ()⎰⎰--=201226262sin .cos sin cos 112πθθθθθrdr r r d abc()⎰-=2042cos cos 6πθθθd abc ()⎰--20108cos cos 3πθθθd abc()⎰--20108sin sin 3πθθθd abc⎪⎭⎫ ⎝⎛--⎪⎭⎫ ⎝⎛-=2.!!10!!9!!8!!732.!!4!!346πππabc abc ⎪⎭⎫⎝⎛--2.!!10!!9!!8!!73πabc.25675abc π=17.(书p174页习题2)计算下列各三重积分(先画出积分区域的草图):(ⅰ)()dz dxdy z y x dxdydz⎰⎰⎰Ω+++31,其中Ω为由坐标平面0,0,0===z y x 和平面1=++z y x 围成的四面体;(ⅱ)dz dxdy z xy ⎰⎰⎰Ω32,Ω为由曲面xy z =和平面0,1,===z x x y 围成的区域;(ⅲ)dz xyzdxdy ⎰⎰⎰Ω,Ω为单位球1222≤++z y x 位于第一卦限的那部分区域;(ⅳ)dz zdxdy ⎰⎰⎰Ω,Ω()0,022>>+=R h y x Rhz 与平面h z =围成的区域; 解:(ⅰ)Ω在xoy 坐标面上的投影区域为三角形区域.10,10:⎩⎨⎧≤≤-≤≤x x y D()d x d y d z z y x ⎰⎰⎰Ω+++311=()dz z y x dy dx xyx ⎰⎰⎰---+++101010311()()z y x d z y x dy dx xyx ++++++=⎰⎰⎰---111110103()⎰⎰---⎥⎦⎤⎢⎣⎡+++-=1010102|11.21xy x dy z y x dx ()⎰⎰-⎥⎦⎤⎢⎣⎡-++=10102411121x dy y x dx ⎰-⎪⎪⎭⎫ ⎝⎛-++-=1010|411121dx y y x x⎰⎪⎭⎫ ⎝⎛+++-=101144321dx x x ().1652ln 21811ln 4321|102-=⎪⎭⎫ ⎝⎛+++-=x x x (ⅱ)Ω在xoy 坐标面上的投影区域为三角形区域.10,0:⎩⎨⎧≤≤≤≤x x y D 故d x d y d z z xy ⎰⎰⎰Ω32=dz z dy y xdx x xy ⎰⎰⎰100032 ⎰⎰⎥⎦⎤⎢⎣⎡=100042|41xxy dy z y xdx ⎰⎰=1006441x dy y x xdx ⎰⎪⎭⎫ ⎝⎛=10075|7141dx y x x ⎰=1012281dx x =1/364 (ⅲ)Ω在xoy 坐标面上的投影区域为.10,10:2⎪⎩⎪⎨⎧≤≤-≤≤x x y D 故dxdydz xyz ⎰⎰⎰Ω=dz z ydy xdx x y x ⎰⎰⎰---11010222⎰⎰---⎥⎦⎤⎢⎣⎡=110102222|21x y x dy z y xdx ()⎰⎰---=1010222121x dy y x y xdx ()12220011114248x x y dx ⎡=---=⎢⎣⎦⎰ (ⅳ)由对称性知,dz zdxdy ⎰⎰⎰Ωdz zdxdy ⎰⎰⎰Ω=14其中1Ω为Ω在第一卦限内的那部分区域,1Ω在xoy 坐标面上的投影区域为.0,0:221⎪⎩⎪⎨⎧≤≤-≤≤Rx x R y D 故d x d y d z z ⎰⎰⎰Ω=⎰⎰⎰+-Rh y x Rhx R zdz dy dx 022224⎰⎰-+⎥⎦⎤⎢⎣⎡=Rx R h y x R hdy z dx 022222|214 ()⎰⎰-⎥⎦⎤⎢⎣⎡+-=R x R dy y x R h h dx 0022222222dx y y x R y hRx R ⎰⎥⎦⎤⎢⎣⎡⎪⎭⎫ ⎝⎛+-=-003222|223112()dx xRx R x R x R hR⎰⎥⎦⎤⎢⎣⎡⎪⎭⎫⎝⎛-+---=032222222223112⎰-=Rdx x R h2222dx x R xRh R⎰--0222222()dx xRR h R⎰--3222232其中 222202222141.22R h R h dx x R h R ππ==-⎰;=--⎰dx x R xRh R222222 tdt R t tR R Rh cos .cos sin 2202222⎰-πdt t t R h ⎰-=202222cos sin 2π()dt t t R h ⎰--=204222sin sin 2π222282.!!4!!32.!!2!!2R h R h πππ-=⎥⎦⎤⎢⎣⎡--=;()=--⎰dx xRR h R 03222232⎰-203322c o s .c o s 32πt d tR t R R h ⎰-=20422c o s 32πt d t R h .82.!!4!!3322222R h R h ππ-=-=所以d x d y d z z ⎰⎰⎰Ω222R h π=228R h π-=-228R h π.422R h π= 18(书p174页习题3)利用改变积分次序的方法,将下面的三次积分表示成一重积分(ⅰ)()ρρηξξηd f d d I x⎰⎰⎰=0;(2)().1010dz z f dy dx I yx ⎰⎰⎰+=解:(1)先将后两次积分()ρρηξηd f d ⎰⎰0中的积分次序进行变换:()()()[]()()ρρξρρηρηρρρρηξξρξξξρξηd f d f d f d d f d -===⎰⎰⎰⎰⎰⎰000|-所以,()()()()ξρξρρρρξρξρξd f d d f d I x xx -=-=⎰⎰⎰⎰0()()ρρρρρρρξξρρd x x f d f x xx ⎥⎦⎤⎢⎣⎡⎪⎪⎭⎫ ⎝⎛--⎪⎪⎭⎫ ⎝⎛-=⎥⎦⎤⎢⎣⎡⎪⎪⎭⎫ ⎝⎛-=⎰⎰222002222| ()().220ρρρd x f x-=⎰(2)先将后两次积分()dz z f dy yx ⎰⎰+1中的积分次序进行变换:()()()dy z f dz dy z f dz dz z f dy xz x xx yx ⎰⎰⎰⎰⎰⎰-+++=111010()()()dz x z z f dz z f x xx +-+=⎰⎰+11所以, ()()()∏+I =+-+=∧+⎰⎰⎰⎰dz x z z f dx dz z f dx I x xx 110110-.其中,()()()dz z z f dx z f dz z-==I ⎰⎰⎰11101- ()()()()dx x z z f dz dx x z z f dz z z +-++-=∏⎰⎰⎰⎰-11211110()()()dz z z f dz z z z f 22222121-+⎪⎪⎭⎫ ⎝⎛-=⎰⎰,所以,∏+I =I ()()dz z z f -=⎰11()()()⎥⎦⎤⎢⎣⎡-+⎪⎪⎭⎫ ⎝⎛-+⎰⎰dz z z f dz z z z f 222221210 ()()()()dz z z f dz z z f 221210221221-+-=⎰⎰. 19(书p174页习题4)证明不等式()dz dxdy xyz ⎰⎰⎰Ω≤cos 1()2s i n≤+⎰⎰⎰Ωdz dxdy xyz 其中Ω为为正方体区域()10,10,10≤≤≤≤≤≤z y x . 证明:显然,对于()Ω∈z y x ,,,414410πππ+≤+≤⇒≤≤xyz xyz()()⎪⎭⎫ ⎝⎛+=+4sin 2sin cos πxyz xyz xyz24sin 24sin21≤⎪⎭⎫ ⎝⎛+≤=ππxyz ,即 ()()2s i n c o s 1≤+≤x y z x y z 所以,由估值定理知()()[]2s i nc o s 1≤+≤⎰⎰⎰Ωdz dxdy xyz xyz (注意到正方体的体积为1). 20(书p174页习题5设函数()z y x f ,,在区域3R ⊂Ω内连续,若对于Ω内任何一个有界子域ω都有()0=⎰⎰⎰dz dxdy xyz f ω证明:(),0,,≡z y x f 其中().,,3R z y x ∈证明:反证法设()0,,≡z y x f ,()3,,R z y x ∈的结论不成立,则必存在某点()30000,,R z y x P ∈,使得 ().0,,000≠z y x f 不妨假设().0,,000>z y x f 因为()z y x f ,,在()0000,,z y x P 处连续,故有()().0,,,,lim 000000>=→→→z y x f z y x f z z y y x x (1)故根据函数极限的定义知,对于(),0,,210000>=z y x f ε,00>∃δ使得 当()()()0202020δ<-+-+-z z y y x x 时(即()()00,,,δP U z y x P ∈时),就有()()()000000,,21,,,,z y x f z y x f z y x f <- (2) 由(2)式可解得,当()()00,,,δP U z y x P ∈时,就有()().0,,21,,000>>z y x f z y x f (3) 所以,由积分中值定理有()()≥⎰⎰⎰dz dxdy xyz f P U 00,δ()0.34.,,30>δπζηξf (4) 而(4)式与函数()z y x f ,,在对于Ω内任何一个有界子域ω上都有()0=⎰⎰⎰dz dxdy xyz f ω的假设前提是矛盾的!所以,(),0,,≡z y x f 其中().,,3R z y x ∈21(书p179页习题1)利用适当的方法,计算下列各三重积分: 解:(ⅰ)()()dxdy y x dz dz dxdy y x zD ⎰⎰⎰⎰⎰⎰+=+Ω22222.3163242.||2032020242202πππθπ====⎰⎰⎰⎰z dz r rdr r d dz z z如采用柱面坐标系:()dz dxdy y x ⎰⎰⎰Ω+22.3166.2142222.2|206420223222202πππθπ=⎥⎦⎤⎢⎣⎡-=⎪⎪⎭⎫⎝⎛-==⎰⎰⎰⎰r r dr r r dz r rdr d r (ⅱ)采用柱面坐标计算.联立⎪⎩⎪⎨⎧+=--=,,22222y x z y x z 消z , 得Ω在xoy 坐标面上的投影区域为圆域.1:22≤+y x Ddz zdxdy ⎰⎰⎰Ωdr z r zdz rdr d r r r r⎰⎰⎰⎰⎪⎪⎭⎫⎝⎛==--11022220|22222.2πθπ().127642|106421042πππ=⎥⎦⎤⎢⎣⎡--=--=⎰r r r dr r r r(ⅲ)dxdy y x dz dz dxdy y x zD ⎰⎰⎰⎰⎰⎰++=++Ω122221111()dz z rdr r d dz z2010220101ln 212.11+=+=⎰⎰⎰⎰πθπ()⎥⎦⎤⎢⎣⎡+-+=⎰1022102121ln |dz z z z z π().222ln arctan 22ln |10⎪⎭⎫ ⎝⎛+-=⎥⎦⎤⎢⎣⎡--=πππz z(ⅳ)dxdy yx e dz dz dxdy yx e zD z z ⎰⎰⎰⎰⎰⎰+=+Ω212222()⎰⎰⎰⎰⎰===21021202122.z zz ze zd dz ze rdr re d dz ππθπ⎥⎦⎤⎢⎣⎡-=⎰2121|2dz e ze z z π.2222212|e e e e z ππ=⎥⎦⎤⎢⎣⎡--=(ⅴ)解法一:柱面坐标法:联立⎩⎨⎧=++=++,2,222222Rz z y x R z y x 消z ,得Ω在xoy 坐标面上的投影区域为 圆域.43:222R y x D ≤+ dz dxdy z⎰⎰⎰Ω2dr z r dz z rdr d R R r R r R R r R r R R ⎰⎰⎰⎰⎪⎪⎭⎫ ⎝⎛==------230233220|222222223.2πθπ()()⎰⎥⎦⎤⎢⎣⎡----=R dr r R R r R r 23032232232π(令t R r sin =) []⎰-+-=3235c o s s i n c o s 3c o s 31c o s 232ππt d t t t t t R⎰=3045sin cos 34ππtdt t R ⎰-305sin cos 32ππtdt t R⎰+325s i n c o s 2ππt d t t R⎰-335s i n c o s 2ππt d t t R|30555cos 34ππt R -=|30252cos 32ππt R +|30353cos 2ππt R -|30454cos 2ππt R + ⎪⎭⎫ ⎝⎛--=32311545R π⎪⎭⎫ ⎝⎛-+4335R π⎪⎭⎫ ⎝⎛--87325R π⎪⎭⎫⎝⎛-+161525R π .480595R π= 其实,此题最宜采用球面坐标计算:这时首先要把积分区域Ω分成两个子区域: .21Ω⋃Ω=Ω其中 ⎪⎩⎪⎨⎧≤≤≤≤≤≤Ω,0,30,20:1R ρπϕπθ ⎪⎩⎪⎨⎧≤≤≤≤≤≤Ω,c o s 20,232,20:2ϕρπϕππθR则dz dxdy z ⎰⎰⎰Ω2=dz dxdy z ⎰⎰⎰Ω12dz dxdy z ⎰⎰⎰Ω+22 ρρϕρϕϕθππd d d R⎰⎰⎰=20300222.cos sin ρρϕρϕϕθπππϕd d d R ⎰⎰⎰+2023cos 20222.cos⎪⎭⎫ ⎝⎛⎪⎪⎭⎫ ⎝⎛=⎰⎰R d d 04302cos .sin 2ρρϕϕϕππ⎪⎪⎭⎫ ⎝⎛+⎰⎰ϕππρρϕϕϕπcos 204232cos .sin 2R d d ⎪⎭⎫ ⎝⎛⎪⎪⎭⎫ ⎝⎛-=||0530351cos 312R ρϕππ⎪⎪⎭⎫ ⎝⎛+⎰2375cos .sin 32512ππϕϕϕπd R 551.247.2R π=⎪⎪⎭⎫ ⎝⎛-+|2385cos 81564ππϕπR 5607R π=5160R π+.480595R π= (ⅵ)()dz dxdy z y x ⎰⎰⎰Ω++222ρρρϕϕθππd d d R⎰⎰⎰=2022.sin⎪⎭⎫ ⎝⎛⎪⎭⎫ ⎝⎛=⎰⎰ρρϕϕππd d R 040.sin 2.5451.cos 25050||R R πρϕππ=⎪⎭⎫ ⎝⎛⎪⎭⎫ ⎝⎛-= (ⅶ)dxdy y x dz dz dxdy y x zD z⎰⎰⎰⎰⎰⎰+=+Ω2222 ⎰⎰⎰-=R z Rz rdr r d dz 00202.πθ⎰⎪⎪⎭⎫ ⎝⎛⎪⎭⎫ ⎝⎛--=Rdz R z R 0322432π(令t R R z sin 22+=) ⎰-⎪⎭⎫ ⎝⎛=223cos 2.cos 232πππtdt R t R ⎰-=2244cos .161.32πππtdt R .642.!!4!!3..12424R R πππ== (ⅷ)显然(),0ln 222=++⎰⎰⎰Ωdz dxdy z y x z 因为积分区域Ω:41222≤++≤z y x 关于xoy 坐标面对称,且被积函数关于z 为奇. 22 .(书p180页习题3)设()u f 连续函数,求函数 ()()dz dxdy z y x f t F t z y x ⎰⎰⎰≤+=++=2222222 的导数()F t '.解:()()()22222222220tx y z t F t f x y z dxdydz d d f d ππθϕρρρ++≤=++=⎰⎰⎰⎰⎰⎰()2204t f d πρρρ=⎰, 所以,()()224F t f t t π'=.20.(书p180页习题4)设k n m ,,为非负整数,Ω为单位球体.1222≤++z y x 求 ⎰⎰⎰Ω=dxdxydz z y x I k n m解:(一) 当k n m ,,中至少有一个为奇数时 例如k 为奇数时,于是⎰⎰⎰Ω=dxdxydz z y x I k n m⎰⎰⎰≥≤++=1222z z y x k n m dxdxydz z y x ⎰⎰⎰≤≤+++1222z z y x k n m dxdxydz z y x (记为) .21I I +=今在积分2I 中作变量代换即令⎪⎩⎪⎨⎧-===.,,w z v y u x ,则 .1100010001-=-=∂∂∂∂∂∂∂∂∂∂∂∂∂∂∂∂∂∂=wz vz uz wyv y u y w xv x u x J 故 ⎰⎰⎰≥≤++-=012222w w v u k n m dudvdw w v u I ⎰⎰⎰≥≤++=1222z z y x k n m d x d x y d z z y x .1I -=于是 .01121=-=+=I I I I I(二) 当k n m ,,均偶数时,此时被积函数k n m z y x 关于三个坐标平面皆对称.于是 ⎰⎰⎰≥≥≥≤++=0,0,012228z y x z y x kn m dxdxydz z y x I 为方便计算,引入球坐标变换 ρρϕϕϕθθθππd d d I k n m km m nm⎰⎰⎰+++++=1220120c o s .s i ns i n .c o s 8ϕϕϕθθθππd d k n m k n m n m c o s .s i n s i n .c o s 31.820120⎰⎰+++++=⎰20s i n .c o s πθθθd nm⎰--=2011c o s .s i n .s i n .c o s πθθθθθd n m()()()⎰---=202212212sin sin .sin 121πθθθd n m (令t =θ2sin ) ()dt t t n m 21121121--⎰-=()dt tt n m 12110121.121-+-+⎰-= .21,2121⎪⎭⎫ ⎝⎛++=n m β ϕϕϕπd k n m cos .sin 201⎰++.21,2221⎪⎭⎫ ⎝⎛+++=k n m β ⎥⎦⎤⎢⎣⎡⎪⎭⎫ ⎝⎛+++⎥⎦⎤⎢⎣⎡⎪⎭⎫ ⎝⎛+++++=21,2221.21,212131.8k n m n m k n m I ββ .2321.22..222121312⎪⎭⎫⎝⎛+++Γ⎪⎭⎫ ⎝⎛+Γ⎪⎭⎫ ⎝⎛++Γ⎪⎭⎫ ⎝⎛++Γ⎪⎭⎫ ⎝⎛+Γ⎪⎭⎫ ⎝⎛+Γ+++=k n m k n m n m n m k n m .23212121.312⎪⎭⎫⎝⎛+++Γ⎪⎭⎫ ⎝⎛+Γ⎪⎭⎫ ⎝⎛+Γ⎪⎭⎫ ⎝⎛+Γ+++=k n m k n m k n m 由于 ⎪⎭⎫⎝⎛-Γ--=⎪⎭⎫ ⎝⎛-Γ-=⎪⎭⎫ ⎝⎛+Γ23.23.2121.2121n n n n n n⎪⎭⎫⎝⎛Γ--==21.2123.21 n n ()()..2!!121..2!!122πnn n n -=⎪⎭⎫ ⎝⎛Γ-= 比如:..2!!52121.23.2523.23.2525.252132273π=⎪⎭⎫ ⎝⎛Γ=⎪⎭⎫ ⎝⎛Γ=⎪⎭⎫ ⎝⎛Γ=⎪⎭⎫ ⎝⎛+⨯Γ=⎪⎭⎫ ⎝⎛Γ故 ()()()()⎥⎥⎦⎤⎢⎢⎣⎡+++⎥⎥⎦⎤⎢⎢⎣⎡-⎥⎥⎦⎤⎢⎢⎣⎡-⎥⎥⎦⎤⎢⎢⎣⎡-+++=+++ππππ222222!!22!!12!!12!!1.312k n m k n m k n m k n m k n m I()()()().!!2!!1!!1!!1.34+++---+++=k n m k n m k n m π书中183P 所提供的答案有误.23 .(书p180页习题5)求由曲面ax c z b y a x =⎪⎪⎭⎫⎝⎛++2222222()0,0,0>>>c b a 包围的立体体积.解:根据对称性及二重积分的几何意义,知 ⎰⎰⎰Ω==1441dxdxydz V V其中1Ω为由曲面ax c z b y a x =⎪⎪⎭⎫⎝⎛++2222222()0,0,0>>>c b a 包围的立体体积Ω在第一卦限的那部分区域.为方便计算,令⎪⎩⎪⎨⎧===.cos ,sin sin ,cos sin ϕρθϕρθϕρc z b y a x 则曲面ax c z b y a x =⎪⎪⎭⎫ ⎝⎛++2222222的方程化为.cos .sin 23θϕρa = 积分区域1Ω 化为.20,20,c o s .s i n:321πθπϕθϕρ≤≤≤≤≤'Ωa 则 ⎰⎰⎰'Ω=14ρϕθd d d J Vρϕθρϕθρϕθ∂∂∂∂∂∂∂∂∂∂∂∂∂∂∂∂∂∂=zz z yy y x x xJ ϕϕρθϕθϕρθϕρθϕθϕρθϕρc o ss i n 0s i n s i n s i n c o s c o s s i n c o s s i n c o s c o s s i n s i n c c b b b a a a --=.sin 2ϕρabc = ⎰⎰⎰'Ω=1s i n 42ρϕθϕρd d d a b c V ρρϕϕθθϕππd d d abc a ⎰⎰⎰=32cos sin 022020sin 4()⎰⎰=20202s i n c o s .s i n 314ππϕϕθϕθd a d a b c .33bc a π=24.(书p187页习题1)讨论下列二重积分的收敛性(当收敛时,并求出积分值)解:(ⅰ)()⎰⎰>++12222y x yxdxdyμ(μ为参数)(){}()21|,22≥≤+<=n n y x y x D n()()⎪⎩⎪⎨⎧≠⎥⎦⎤⎢⎣⎡--===+-⎰⎰⎰⎰.1,1221.2,1,ln 2.122201222μμπμπθμπμμn n rdr r d yxdxdynD n因此当1>μ时,广义积分()⎰⎰>++12222y x yxdxdyμ收敛,且收敛于().111lim2-=---+∞→μπμπμnn 当1≤μ时,广义积分()⎰⎰>++12222y x y x dxdy μ发散.(ⅱ)dxdy ey x y x⎰⎰≥+--12222; (){}()21|,22≥≤+≤=n n y x y x D n.1212.22222|1201⎪⎭⎫⎝⎛-=⎥⎦⎤⎢⎣⎡-==-----⎰⎰⎰⎰n n r nr D y x e e e rdr ed dxdy enππθπ=⎰⎰--+∞→dxdy e nD y x n 22lim.1lim 2ee e n n ππ=⎪⎭⎫ ⎝⎛--+∞→因此广义积分dxdy e y x y x ⎰⎰≥+--12222收敛,且收敛于.eπ(ⅲ)()dxdy y x ey x y x22sin .22+⎰⎰+∞<<∞-+∞<<∞---;()(),2211sin .,44222222r r e e y x e y x f rr y x=<=≤+=--- ()dxdy y x e y x y x 22sin .22+⎰⎰+∞<<∞-+∞<<∞--- ⎰⎰⎰+∞-+∞-==02020sin 2.sin .2tdt e rdr r e d t r πθπ().211cos sin |022ππ=⎪⎪⎭⎫ ⎝⎛+--=∞+-t e t t(ⅳ)()dxdy yxx y y x ⎰⎰+∞<≤≤≤+-11022222;()dy yxx y ⎰∞++-122222()dy yxy ⎰∞++=12222()dy yxx ⎰∞++-12222()dy yxy ⎰∞++=12222()dy yxx ⎰∞++-12222()dy y x y y ⎰+∞+=122222()dy yx y y x ⎰∞++-1222222. 其中()=+⎰+∞dy yx yy 122222⎰∞+⎪⎪⎭⎫ ⎝⎛+-12212y x d y (分部积分) ⎰+∞+∞+++-=1221221211.2|dy y x y x y dy yx x ⎰+∞+++=122212111.21;(1)()dy y x yy x ⎰∞++1222222⎰∞+⎪⎪⎭⎫ ⎝⎛+-=122212y x d y x (分部积分) ⎰∞+∞+⎪⎪⎭⎫⎝⎛+-+-=1222212221211.2|dy y x y x y x y x ⎪⎪⎭⎫ ⎝⎛+---+=⎰∞+∞+12212211211.21|dy y x y x x .121211.2112222⎰∞+++-+=dy y x x x ()dy y x x y ⎰∞++-122222⎥⎦⎤⎢⎣⎡+++=⎰∞+dy y x x 122212111.21⎥⎦⎤⎢⎣⎡++-+-⎰∞+12222121211.21dy y x x x .112111.21222x x x +=++-= ()dxdy y xx y y x ⎰⎰+∞<≤≤≤+-11022222()dy y xx y dx ⎰⎰∞++-=10122222.4arctan 11|1012π==+=⎰x dx x(ⅴ)()dxdy yxx y yx ⎰⎰≤≤+-122222()dy yxx y x⎰∞++-22222()dy yxy x⎰∞++=2222()dy yxx x⎰∞++-2222()dy yxy x⎰∞++=2222()dy yxx x⎰∞++-2222()dy y x y y x⎰+∞+=22222()dy yx y y x x ⎰∞++-222222. ()=+⎰+∞dy yx yy x222222222111.22|x x y dy x y x y +∞+∞-+++⎰dy y x x x ⎰+∞++=221211.41 ()dy yx yy x x⎰∞++222222⎰∞+⎪⎪⎭⎫ ⎝⎛+-=x y x d y x 22212(分部积分) ⎰∞+∞+⎪⎪⎭⎫ ⎝⎛+-+-=x x dy y x y x y x y x 22222221211.2|⎪⎪⎭⎫ ⎝⎛+--=⎰⎰∞+∞+x x dy y x dy y x 22211211.41。
第十章 重积分答案第一节 二重积分的概念与性质1.根据二重积分的几何意义,确定下列积分的值。
)1(; ,222222a y x D d y x a D≤+--⎰⎰为其中σ解:由二重积分的几何意义知,;323222a d y x a Dπσ=--⎰⎰)2(.0 , ,)(222D22>>≤++-⎰⎰a b a y x D d y x b 为其中σ 解:由二重积分的几何意义知,).32()(2D22a b a d y x b -=+-⎰⎰πσ 2.根据二重积分的性质,比较下列积分的大小。
)1(;1)2()2( ,)( )(2232≤-+-++⎰⎰⎰⎰y x D d y x d y x DD为其中与σσ 解:由 1)2()2(22≤-+-y x 知 ,1|2|,1|2|≤-≤-y x 即 ,31,31≤≤≤≤y x 于是 ,12>≥+y x 所以 32)()(y x y x +<+ 于是.)( )(32σσd y x d y x DD⎰⎰⎰⎰+<+ ;10 ,53:,)][ln( )ln()2(2≤≤≤≤++⎰⎰⎰⎰y x D d y x d y x DD是矩形区域其中与σσ解:在D 内 x +y >e , 故 ln(x+y )>1, 于是.)][ln( )ln(2⎰⎰⎰⎰+<+DDd y x d y x σσ .1 ,21,0 ,0 , )ln()3(所围成是由直线其中与=+=+==+⎰⎰⎰⎰y x y x y x D xyd d y x DDσσ解:在D 中,,0,0≥≥y x 且,121≤+≤y x 而不在直线x +y =1上的D 内任何点(x , y ), 都有 ,121<+≤y x 故 ,)ln(xy y x <+ 于是. )ln(⎰⎰⎰⎰<+DDxyd d y x σσ3.利用二重积分的性质估计下列积分的值。
)1(};4|),{( ,)94(2222≤+=++⎰⎰y x y x D d y x D其中σ 解:上,:在区域422≤+y x D ,259449)(49492222=+⋅≤++≤++≤y x y x ,422ππσ=⋅=的面积为而区域D从而 ,425)94(4922πσπ⋅≤++≤⋅⎰⎰D d y x 即 .100)94(3622πσπ≤++≤⎰⎰Dd y x)2(}.20 ,10|),{( ,)(22≤≤≤≤=--+⎰⎰y x y x D d y x xy x D其中σ 解:,),(22y x xy x y x f --+=设 则 f (x ,y )在D 上的最大值,31)31,32(==f M 最小值,4)2,0(-==f m 区域D 的面积,2=σ 从而 .32)(822≤--+≤-⎰⎰Dd y x xy x σ 4.设 f (x ,y ) 为一连续函数,试证:).0,0(),(1lim2222f dxdy y x f y x =⎰⎰≤+→ρρπρ证:由于f (x ,y )连续,由二重积分中值定理知,存在点}|,{),(222ρηξ≤+∈y x y x ,使得),,(),(),(2222ηξπρσηξρf f dxdy y x f y x =⋅=⎰⎰≤+所以 ),(1lim),(1lim222222ηξπρπρπρρρρf dxdy y x f y x ⋅=→≤+→⎰⎰).0,0(),(lim 0f f ==→ηξρ第二节 二重积分的计算1.计算下列二重积分(1) ;10 ,10 : ,122≤≤≤≤+⎰⎰y x D d y x D其中σ 解:⎰⎰+D d yx σ221⎰⎰+=1021021y dy dx x 01arctan 01313y x ⋅=12π=。
高数重积分测试题 Prepared on 22 November 2020高数测试题七(重积分部分)答案一、 选择题(每小题5分,共25分)1、交换积分00(,)(a ydy f x y dx a ⎰⎰为常数)的次序后得( B ) A 00(,)y a dx f x y dy ⎰⎰ B 0(,)a ax dx f x y dy ⎰⎰ C 00(,)a x dx f x y dy ⎰⎰ C 00(,)a ydx f x y dy ⎰⎰ 2、设2222222()()x y z t F t f x y z dv ++≤=++⎰⎰⎰,其中 f 为连续函数,(0)f '存在,而(0)0,(0)1f f '==,则50()limt F t t →=( B ) A π B 45π C 35π D 25π 3、球面22224x y z a ++=与柱面222x y ax +=所围成立体体积(含在柱内部分)为( C )A 2cos 2004a d πθθ⎰⎰B 2cos 2008a d πθθ⎰⎰C 2cos 2004a d πθθ⎰⎰D 2cos 202a d πθπθ-⎰⎰4、设D 是xy 平面上以点(1,1),(1,1),(1,1)---为顶点的三角形区域,1D 是D 在第一象限的部分,则(cos sin )Dxy x y d σ+⎰⎰=( A )A 12cos sin D x yd σ⎰⎰B 12D xyd σ⎰⎰C 1(cos sin )D xy x y d σ+⎰⎰ D 05、设2222222222sin()1arctan 0(,)02x y x y x y x y f x y x y π⎧++≠⎪⎪++=⎨⎪+=⎪⎩ , 区域22:(0)D x y εε+≤>,则01lim (,)D f x y d εσπε+→⎰⎰=( A ) A 2π B π C 0 D ∞二、填空题(每小题5分,共25分)1、设(,,)I f x y z dxdydz Ω=⎰⎰⎰,积分区域:0z z y Ω≤≥≥所确定,则I 在柱面坐标系下的三次积分为1200(cos ,sin ,)d rdr f r r z dz πθθθ⎰⎰2、设D 是由3,(0)y x y x x ==>所围成的平面区域,则 sin D x d xσ⎰⎰= 32(cos1sin1)-+ 3、二次积分2220y x dx e dy -⎰⎰= 41(1)2e -- 4、设D 是由11,22x y -≤≤-≤≤围成的平面区域,则3(2)Dx y dxdy +⎰⎰= 05、设Ω是由球面2221x y z ++=所围成的闭区域,则222222ln(1)1z x y z dxdydz x y z Ω++++++⎰⎰⎰= 0 三、计算题1、(6分)计算 222:(0)Dxy dxdy D x y a a +≤>⎰⎰解:由对称性知3、(6分)计算D ,其中D 为 221x y +≤的第一象限部分 解:原式=220(2)48d t r πππθπ==-⎰⎰⎰ 4、(8分)22224:9Dx y dxdy D x y +-+≤⎰⎰解:5、(6分)计算Ω,其中 Ω为2216,4,0x y y z z +=+==所围成的区域 解:原式=244sin 0005123r d rdr rdz πθπθ-=⎰⎰⎰6、(8分)计算22222222:,2(0)z dv x y z a x y z az a ΩΩ++≤++≤>⎰⎰⎰解: 1222220222222202[][]59(2)()480z z a a a D D a a a z dv z d dz z d dz z az z dz z a z dz σσπππΩ=+=-+-=⎰⎰⎰⎰⎰⎰⎰⎰⎰⎰⎰。
第九章 重积分(A)1.填空题(1) 设()y x y x P 2,=,()23,y x y x Q =,定义于:D 10<<x ,10<<y ,则()σd y x P D⎰⎰, ()⎰⎰Dd y x Q σ,(2) 设曲顶柱体的顶面是()y x f z ,=,()D y x ∈,,侧面是母线平行于z 轴,准线为D的边界线的柱面,则此曲顶柱体的体积用重积分可表示为=V 。
(3) 在极坐标系中,面积元素为 。
2.利用二重积分的性质,比较下列积分大小(1) ()⎰⎰+Dd y x σ2与()⎰⎰+Dd y x σ3,其中积分区域D 由x 轴,y 轴以及直线1=+y x 所 围成。
(2) ()⎰⎰+D d y x σ2与()⎰⎰+Dd y x σ3,其中积分区域D 是由圆周()()21222=-+-y x 所围成。
3.利用二重积分性质,估计积分()⎰⎰++=Dd y x I σ92222的值,其中D 是圆形闭区域422≤+y x 。
4.交换积分()⎰⎰--a ax ax xa dy y x f dx 2222,的积分次序。
5.交换积分()⎰⎰-2120,ydx y x f dy 的积分次序。
6.交换二次积分()⎰⎰+-aa y y a y x f dy 022,的积分次序。
7.计算()⎰⎰+Dd y x σ23,其中D 是由两坐标轴及直线2=+y x 所围成的闭区域。
8.计算()⎰⎰+Dd y x x σcos ,其中D 是顶点分别为()0,0,()0,π和()ππ,的三角形区域。
9.计算()⎰⎰+Dyd x σsin 1,其中D 是顶点分别为()0,0,()0,1,()2,1和()1,0的梯形闭区域。
10.计算二重积分⎰⎰Ddxdy ,其中区域D 由曲线21x y -=与12-=x y 围成。
11.计算二重积分⎰⎰Dd xy σ2,其中D 是由圆周422=+y x 及y 轴所围成的右半闭区域。
第一章n 阶行列式1.求下列各排列的逆序数:(1) 134785692 (2) 139782645 (3) 13…(2n-1)24…(2n) (4) 13…(2n-1)(2n)(2n-2)…2 (11;17;2)1(-n n ;)1(-n n ) 2. 已知排列9561274j i 为偶排列,则=),(j i (8,3) .3.计算下列各阶行列式:(1) 600300301395200199204100103 (2)0d 0c 0b0a 0 (3)efcf bf de cd bdaeac ab --- [2000; 0; 4abcdef]4. 设xx x x x D 111123111212-=,则D 的展开式中3x 的系数为 -1 .5 求二次多项式()x f ,使得()61=-f ,()21=f ,()32=f解 设()c bx ax x f ++=2,于是由()61=-f ,()21=f ,()32=f 得⎪⎩⎪⎨⎧=++=++=+-32426c b a c b a c b a 求c b a ,,如下: 06124111111≠-=-=D ,61231121161-=-=D ,121341211612==D ,183242116113-=-=D 所以 11==D D a ,22-==D D b ,33==DD c故()322+-=x x x f 为所求。
行列式的性质;克拉默法则1.n 阶行列式ij a D =,则展开式中项11342312n n n a a a a a - 的符号为( D ). (A )- (B )+ (C )n)1(- (D )1)1(--n2.如果1a a a a a a a a a D 333231232221131211==,求333231312322212113121111a a 3a 2a 4a a 3a 2a 4a a 3a 2a 4--- [-12] 3. 已知4521011130112101--=D ,计算44434241A A A A +++ [-1] 4. 计算行列式383326229432231---- [-50] 5.计算下列各行列式(D k 为k 阶行列式)(1)a11a,其中对角线上元素都是a ,未写出的元素都是0; [2--n naa ](2) aa a a x a a a x ; [1)(--n a x a ](3)n1n 321a xxxxx a x x x x xa xxx x x a xx x x x a- [利用递推公式来求]递推公式为1121)()())((---+---=n n n n D x a x a x a x a x Dn D =)1)(())((2121xa xx a x x a x x a x a x a n n -++-+-+--- (4) n2222232222222221[)!2(-n ](5)β+ααββ+αβ+ααββ+ααββ+ααββ+α1000000100001000010000[n n n n βαββαα++++--11 ] 6.问λ,μ取何值时,齐次方程组⎪⎩⎪⎨⎧=+μ+=+μ+=++λ0x x 2x 0x x x 0x x x 321321321有非零解? [0;1==μλ]求每类商品的销售利润率。
青岛理工大学数学建模期末考试题目及答案详解1、30、等腰三角形ABC中,AB=2BC,且BC=12,则△ABC的周长为( ). [单选题]A. 48B. 60(正确答案)C. 48或60D. 362、11.11点40分,时钟的时针与分针的夹角为()[单选题] *A.140°B.130°C.120°D.110°(正确答案)3、33、点P(-5,-7)关于原点对称的点的坐标是()[单选题] *A. (-5,-7)B. (5,7)(正确答案)C. (5,-7)D. (7,-5)4、12.下列方程中,是一元二次方程的为()[单选题] *A. x2+3xy=4B. x+y=5C. x2=6(正确答案)D. 2x+3=05、16.我国古代著作《九章算术》在世界数学史上首次正式引入负数,若气温升高时,气温变化记作,那么气温下降时,气温变化记作()[单选题] *A.-10℃(正确答案)B.-13℃C.+10℃D.+13℃6、260°是第()象限角?[单选题] *第一象限第二象限第三象限(正确答案)第四象限7、函数f(x)=-2x+5在(-∞,+∞)上是()[单选题] *A、增函数B、增函数(正确答案)C、不增不减D、既增又减8、24.下列各数中,绝对值最大的数是()[单选题] *A.0B.2C.﹣3(正确答案)D.19、8、下列判断中:1.在平面内有公共原点而且互相垂直的两条数轴,就构成了平面直角坐标系;2.坐标平面内所有的点与所有实数之间是一一对应的;3.在直角坐标平面内点(x,y)与点(y,x)表示不同的两点;4.原点O的坐标是(0,0),它既在x轴上,又在x轴上。
其中错误的个数是()[单选题] *A.1B.2(正确答案)C.3D.410、的单调递减区间为()[单选题] *A、(-1,1)(正确答案)B、(-1,2)C、(-∞,-1)D、(-∞,+∞)11、已知2x=8,2y=4,则2x+y=()[单选题] *A 、32(正确答案)B、33C、16D、412、4.在﹣,,0,﹣1,4,π,2,﹣3,﹣6这些数中,有理数有m个,自然数有n 个,分数有k个,则m﹣n﹣k的值为()[单选题] *A.3(正确答案)B.2C.1D.413、5.下列说法中正确的是()[单选题] *A.没有最大的正数,但有最大的负数B.没有最小的负数,但有最小的正数C.没有最小的有理数,也没有最大的有理数(正确答案)D.有最小的自然数,也有最小的整数14、-2/5角α终边上一点P(-3,-4),则cosα=()[单选题] *-3/5(正确答案)2月3日-0.333333333-2/5角α终边上一点P(-3,-4),则tanα=()[单选题] *15、17.已知的x∈R那么x2(x平方)>1是x>1的()[单选题] *A.充分不必要条件B.必要不充分条件(正确答案)C.充分必要条件D.既不充分也不必要条件16、1.如果点M(a+3,a+1)在直角坐标系的x轴上,那么点M的坐标为()[单选题] *A.(0,-2)B.(2,0)(正确答案)C.(4,0)D.(0,-4)17、下列说法正确的是[单选题] *A.一个数前面加上“-”号,这个数就是负数B.零既不是正数也不是负数(正确答案)C.零既是正数也是负数D.若a是正数,则-a不一定是负数18、19.如图,共有线段()[单选题] *A.3条B.4条C.5条D.6条(正确答案)19、y=kx+b(k是不为0的常数)是()。
第十章重积分第二节二重积分计算法习题 一、填空题:1、+ 3兀2歹 + y 3)d(j = _______________ .其中 D: 0 < x < 1,0 < y < 1.D2、 J jxcos(x+yW = ___________________ •其中D 是顶点分别为(0,0),(龙,0),(兀,兀)的三角形闭区域.D3、 将二重积分JJ/(x,yW ,D 是由X 轴及半圆周%4 5 + y 2 = r 2(y>0)所围成的闭区域,化为先对y 后对x 的二次积分,应为D4、将二重积分Jj f(x, y)db ,其中D 是由直线y = x,x = 2及双曲线y = -(x>0)所围成的闭域,化为先对X 后对y 的二次积分, D X应为 ___________________________ ・ sinxx /(匕y)dy 改换积分次序,应为 -sin —2£_2 dyf. f(x, y)dx +〜y)dx 改换积分次序,应为 ____________________________________二、画出积分区域,并计算下列二重积分:1、 J j e x+y d(y,其中D 是由|x| + |^| <1所确定的闭区域.D2、 J J(%2+ /-x)da 其中D 是由直线y = 2y y = xRy = 2兀所围成的闭区域. D训JD三、 设平面薄片所占的闭区域D 由直线x+ y = 2, y = x 和x 轴所围成,它的面密度p(x, y) = x 2 + y 2,求该薄片的质量. 四、 求由曲面z = x 2+ 2y 2及z = 6 — 2+ — y2,所围成的立体的体积. 答案f(x,y)dy ; 4.刃6仕+『创了(兀,以仕;5、(创*: ' /(兀,y 皿;2 7 v_y4、将(心[/(x, y)dy 化为极坐标形式的二次积分为 ______________________________ .5、将£ (x 2 + y 2)^dy 化为极坐标形式的二次积分为 ____________________ ,其值为 ________________二、计算下列二重积分:1、jjln(l + x 2 + y 2)da t 其中D 是由圆周x 2 + y 2 = 1及坐标轴所围成的在第一彖限内的区域.DD4 将JJ f(x, y)dxdy , D 为x 2 + y 2<2x,表示为极坐标形式的二次积分,为 ______________D5 将JJ/(x,y)dxdy 小为05 y 51—兀,05x51,表示为极坐标形式的二次积分为W一]13 5 兀 4 、〜二 1、e-e : 2、—:3、 兀;4、—F —•二 S 一•四、6龙63 2 3极坐标习题一.填空题:arcsin v/•() p/r「1 /•^•-arcsin vr2 r\+x 26、Whc 加(3)如 IM 如/(3心 7、WL f^y )dy.5、将二次积分 MTy)dy 改换积分次序,应为 ___________________________7、将二次积分3' «[”(兀皿=)?叫dy(彳-x )(x-刃3>将X 2 +)労化为极坐标形式的二次积分为 y-x 2 dxdy,其中D : -1 <x<l,0< y <2.2、 Jj(x 2 + y 2)d(m 中 D 是由直线 y 二兀,y = x + a,y = a,y = 3a(a > 0)所罔成的区域. D3、 JJjF 一F — bdb,其中D 是由圆周X 2 + y 2 = Rx 所围成的区域.D4、 j||x 2 + / -2c/cr, Jt 中 D :F + y2s3.D芒/*2acos^三、 试将对极坐标的二次积分I = J/(rcos^,rsin^)rJr 交换积分次序."4°yz 7^ /> ° 四、 设平面薄片所占的闭区域D 是由螺线r = 2 &上一段弧(0<3<-)与直线0 =-所闱成,它的面密度为p(x, y) = x^ + y\求 这薄片的质量.五、计算以xoy 面上的圆周x 2 + y 2 = ax 成的闭区域为底,而以曲面z = x 2 + y 2为顶的曲顶柱体的体积. 答案r — r2cos^r — p(cos^+sin^)"—、1、J :d/(rcos^,rsin 0ydr ; 2、 啊&sineI/(厂cos&rsin&)厂dr ; 5、|4kccOlan*JO4、丄龙.三、/ = £ 1rdr^\ f(rcosO,rsin2 ° "4第三节三重积分习题 一、填空题:1、若Q 由ill 「血z = x 2 + >?2及平血z=l 所围成,则三重积分JJJ/(%, y, z)dxdydz 化为三次积分是 Q222、若O 是由illiiiicz = A ><C >0), * +》〒 = l,z=o 所围成的在第一卦限内的闭区域,则三重积分jjj/(x,z^dxdydz 可化为三61 Q次积分为 ________ ■3、 若Q:0<x< 1,()< y < 1,0<z< 1,则 jj (兀 + y + z)dxdydzQ4、 若 Q :是由 x = 0, z = 0, z = h(h > 0), x + 2y =。
第八章重积分习题8-11.设有一个面薄板(不计其厚度),占有面上的闭区域,薄板上分布有面密度xOy D 为的电荷,且在上连续,试用二重积分表达该板上的全部电荷.(,)x y µµ=(,)x y µD Q 解用一组曲线将分成个小闭区域,其面积也记为.任取一点D n i σ∆(1,2,,)i i n σ∆=L ,则上分布的电量.通过求和、取极限,便得到该板上的全(,)i i i ξησ∈∆i σ∆(,)i i i Q µξησ∆≈∆部电荷为lim (,)(,)d ,nQ x y µξησµσ=∆=其中1i λ≤=2.设23)d y σ+其中2D =解1Ω的体积;上方的I 1D 曲面(z x =3.(1)(2)DD∫∫(3)其中,、为两个无公共12(,)d (,)d (,)d ,DD D f x y f x y f x y σσσ=+∫∫∫∫∫∫12D D D=U 1D 2D 内点的闭区域.证(1)由于被积函数,故由二重积分定义得(,)1f x y ≡011d lim (,)lim lim .nniiii i i Df λλλσξησσσσ→→→===∆=∆==∑∑∫∫(2)11(,)d lim (,)lim (,)(,)d .nniiii i i i i DDkf x y kf k f k f x y λλσξησξησσ→→===∆=∆=∑∑∫∫∫∫(3)因为函数在闭区域上可积,故不论把怎样分割,积分和的极限总是不(,)f x y D D变的,因此在分割时,可以使和的公共边界永远是一条分割线。
这样在D 1D 2D (,)f x y 上的积分和就等于上的积分和加上的积分和,记为12D D U 1D 2D 1212(,)(,)(,).i i i i i i i i i D D D D f f f ξησξησξησ∆=∆+∆∑∑∑U 令所有的直径的最大值,上式两端同时取极限,即得i σ∆0λ→1212(,)d (,)d (,)d .D D D D f x y f x y f x y σσσ=+∫∫∫∫∫∫U 4.根据二重积分的性质,比较下列积分的大小:(1)与,其中积分区域是由轴、轴与直线所2()d Dx y σ+∫∫3()d Dx y σ+∫∫D x y 1x y +=围成;(2)所围D∫∫22=成;(3)分别为(1,0),(1,1),(4)解(2).从3)y +而(Dx y +∫∫(3)点满足0ln(x ≤+.DDσ(4)由于积分区域位于半平面内,故在上有,从而有D {(,)|e}x y x y +≥D ln()1x y +≥.因此2[ln()]ln()x y x y +≥+2[ln()]d ln()d .DDx y x y σσ+≥+∫∫∫∫5.利用二重积分的性质估计下列积分的值:(1)其中;()d DI xy x y σ=+∫∫{(,)01,01}D x y x y =≤≤≤≤(2)其中;22sin sin d DI x y σ=∫∫{(,)0,0}D x y x y ππ=≤≤≤≤(3)其中;(1)d DI x y σ=++∫∫{(,)01,02}D x y x y =≤≤≤≤(4)其中.22(49)d DI x y σ=++∫∫22{(,)4}D x y x y =+≤解(1)在积分区域上,,,从而,又的面积等D 01x ≤≤01y ≤≤0()2xy x y ≤+≤D 于,因此10()d 2.Dxy x y σ≤+≤∫∫(2)在积分区域上,,,从而,又的面D 0sin 1x ≤≤0sin 1y ≤≤220sin sin 1x y ≤≤D 积等于,因此2π2220sin sin d π.Dx y σ≤≤∫∫(3)在积分区域上,,的面积等于,因此D 014x y ≤++≤D 22(1)d 8.Dx y σ≤++≤∫∫(4),又25,D 1.(1)D ∫∫(2)D∫∫(3)D ∫∫(4)解8.3x =(2)22020(422)d .3Dx x x =+−=∫(3)11323323(3)d d (3)d Dx x y y y x x y y xσ++=++∫∫∫∫14113330001d ()d 1.44x x y y x y y y y ⎡⎤=++=++=⎢⎥⎣⎦∫∫(4)可用不等式表示为,于是D 0,0πy x x ≤≤≤≤ππ00π0cos()d d cos()d [sin()]d 3(sin 2sin )d π.2x xDx x y x x x y y x x y x x x x x σ+=+=+=−=−∫∫∫∫∫∫2.画出积分区域,并计算下列二重积分:(1),其中是由两条抛物线,所围成的闭区域;D σ∫∫D y =2y x =(2),其中是由圆周及轴所围成的右半闭区域;2d Dxy σ∫∫D 224x y +=y (3),其中;ed x yD σ+∫∫{(,)|||||1}D x y x y =+≤(4),其中是由直线,及所围成的闭区域.22()d Dxy x σ+−∫∫D 2y =y x =2y x =解(2)(3)1{(,D x y =(4)可用不等式表示为,于是D ,022x y y ≤≤≤≤2222223222232002()d d ()d 19313d d .322486yy Dyy x y x y x y x xx x y x y y y y σ+−=+−⎡⎤⎛⎞=+−=−=⎢⎥⎜⎟⎝⎠⎣⎦∫∫∫∫∫∫3.化二重积分(,)d DI f x y σ=∫∫为二次积分(分别列出对两个变量先后次序不同的两个二次积分),其中积分区域是:D (1)由直线及抛物线所围成的闭区域;y x =24y x =(2)由轴及半圆周所围成的闭区域;x 222(0)x y r y +=≥(3)由直线,及双曲线所围成的闭区域;y x =2x =1(0)y x x=>(4)环形闭区域.22{(,)|14}x y x y ≤+≤解(1)直线及抛物线的交点为和,于是y x =24y x =(0,0)(4,4)或40d (,)d xI x f x y y =∫2404d (,)d yy I y f x y x=∫∫(2)将用不等式表示为,于是可将化为D 0y r x r ≤≤−≤≤I如将(3)(4)或4.(1);(2);10d (,)d yy f x y x ∫∫2220d (,)d yy y f x y x ∫∫(3);(4);1d (,)d y f x y x ∫212d (,)d xx f x y y −∫(5);(6).e ln 1d (,)d xx f x y y ∫∫πsin 0sin2d (,)d xxx f x y y −∫∫解(1)所给二次积分等于二重积分,其中(,)d Df x y σ∫∫,可改写为,于是{(,)|0,01}D x y x y y =≤≤≤≤D {(,)|1,01}x y x y x ≤≤≤≤原式110d (,)d .xx f x y y =∫∫(2)所给二次积分等于二重积分,其中(,)d Df x y σ∫∫,可改写为,于是2{(,)|2,02}D x y y x y y =≤≤≤≤D {(,)|04}2xx y y x ≤≤≤原式42d (,)d .x x f x y y =∫∫(3)所给二次积分等于二重积分,其中(,)d Df x y σ∫∫,可改写为{(,)|01}D x y x y =≤≤≤≤D,于是{(,)|011}x y y x ≤≤−≤≤(4){(,)D x y ={(,)|2x y −(5){(,)D x y =(6),于是2{(,)|2arcsin π,10}D x y y x y =−≤≤−≤≤原式1πarcsin 0π0arcsin 12arcsin d (,)d d (,)d .yyyy f x y x y f x y x −−−=+∫∫∫∫5.计算由四个平面,,,所围成柱体被平面及0x =0y =1x =1y =0z =截得的立体的体积.236x y z ++=解此立体为一曲顶柱体,它的底是面上的闭区域,xOy {(,)|01,01}D x y y x =≤≤≤≤顶是曲面,因此所求立体的体积为623z x y =−−11007(623)d d d (623)d .2DV x y x y x x y y =−−=−−=∫∫∫∫6.求由曲面及所围成的立体的体积.222z x y =+2262z x y =−−解所求立体在面上的投影区域为xOy 22{(,)|2}D x y x y =+≤所求立体的体积等于两个曲顶柱体体积的差:22222222π20(62)d (2)d (633)d (63)d d d 3)d 6π.DDDDV x y x y x y σσσρρθθρρρ=−−−+=−−=−=−=∫∫∫∫∫∫∫∫∫7.画出积分区域,把积分表示为极坐标形式的二次积分,其中积分区域(,)d Df x y σ∫∫是:D (1)(3).{(1}≤解.ρ(2)d .ρ(3).ρ(4)于是π12sin cos 0(,)d (cos ,sin )d d d (cos ,sin )d .DDf x y f f θθσρθρθρρθθρθρθρρ+==∫∫∫∫∫∫8.化下列二次积分为极坐标形式的二次积分:(1);(2);110d (,)d x f x y y ∫∫20d (,)d x x f x y y ∫(3);(4).11d (,)d xx f x y y −∫21d (,)d x x f x y y ∫∫解(1)用直线将积分区域分成、两部分:y x =D 1D 2D,1π{(,)|0sec ,0}4D ρθρθθ=≤≤≤≤,2ππ{(,)|0c ,}.42D cs ρθρθθ=≤≤≤≤于是原式sec csc 4204d (cos ,sin )d d (cos ,sin )d .f f ππθθπθρθρθρρθρθρθρρ=+∫∫∫∫(2)在极坐标中,直线和的方程分别是和2,x y x ==y =π2sec ,4ρθθ==。
第八章 多元函数的微分法及其应用§ 1 多元函数概念一二、求下列函数的定义域: 1、 };1|),{(22≠+x y y x 2、 };0,|),{(≠≤x x y y x三、求下列极限:1、0; 2 、 (6e ) 四、证明:当沿着x 轴趋于(0,0)时,极限为零,当沿着2x y =趋于(0,0)时,极限为21,二者不相等,所以极限不存在五 证明:当)0,0(),(≠y x 时,为初等函数,连续),(y x f 。
当)0,0(),(=y x 时,)0,0(01sin lim22)0,0(),(f yx xy y x ==+→,所以函数在(0,0)也连续。
所以函数 在整个xoy 面上连续。
六、设)(2y x f y x z+++=且当y=0时2x z =,求f(x)及z 的表达式.解:f(x)=x x-2,z y xy y x -++=2222§ 2 偏导数1证明:x yx yx ye x ,e x y e y +=∂∂-+=∂∂y z x z ,∴z xy xe xy xy x y+=++=∂∂+∂∂yzy x z x2、求空间曲线⎪⎩⎪⎨⎧=+=Γ21:22y y x z 在点(1,21,23)处切线与y 轴正向夹角(4π) 3、设yx y xy y x f arcsin )1(),(2-+=, 求)1,(x f x ( 1)4解:1-=∂∂y zx y z x u ,x x yz y u y zln 2-=∂∂ x x y z u y zln 1=∂∂ 5、设222z y x u ++=,证明 : u zu y u x u 2222222=∂∂+∂∂+∂∂ 6、)0,0(0),(lim 0f y x f y x ==→→ 连续; 201sinlim )0,0(xf x x →= 不存在, 000lim )0,0(0=--=→y f y y 7、设函数 f(x,y)在点(a,b )处的偏导数存在,求 xb x a f b x a f x ),(),(lim 0--+→(2f x (a,b))§ 3 全微分1、单选题(1)D 2B2、求下列函数的全微分:42244222222)()),,((y y x x y y x y y x f +-=+-=ϕ答案:1)xy ez= )1(2dy x dx x y edz xy +-=2))sin(2xy z = 解:)2()cos(22xydy dx y xy dz +=3)zy x u = 解:xdz x zyxdy x z dx x z y du z yz y z yln ln 121-+=- 3、设)2cos(y x y z-=, 求)4,0(πdz解:dy y x y y x dx y x y dz ))2sin(2)2(cos()2sin(-+-+--=∴)4,0(|πdz =dy dx 24ππ-4、设22),,(y x z z y x f +=求:)1,2,1(df)542(251dz dy dx +--5、讨论函数⎪⎩⎪⎨⎧=≠++=)0,0(),(,0)0,0(),(,1sin)(),(2222y x y x yx y x y x f 在(0,0)点处的连续性 、偏导数、 可微性 解:)0,0(01sin)(lim2222)0,0(),(f yx y x y x ==++→ 所以),(y x f 在(0,0)点处连续。