整式的乘除因式分解计算题精选
- 格式:doc
- 大小:69.00 KB
- 文档页数:4
整式的乘除与因式分解测试题及答案1.(4分)以下计算正确的选项是()A.a2+b3=2a5B.a4÷a=a4C.a2a3=a6D.(﹣a2)3=﹣a62.(4分)(x﹣a)(x2+ax+a2)的计算结果是()A.x3+2ax+a3B.x3﹣a3C.x3+2a2x+a3D.x2+2ax2+a33.(4分)下面是某同学在一次检测中的计算摘录:①3x3(﹣2x2)=﹣6x5 ②4a3b÷(﹣2a2b)=﹣2a ③(a3)2=a5④(﹣a)3÷(﹣a)=﹣a2其中正确的个数有()A.1个B.2个C.3个D.4个4.(4分)假设x2是一个正整数的平方,那么它后面一个整数的平方应当是()A.x2+1B.x+1C.x2+2x+1D.x2﹣2x+15.(4分)以下分解因式正确的选项是()A.x3﹣x=x(x2﹣1)B.m2+m﹣6=(m+3)(m﹣2)C.(a+4)(a﹣4)=a2﹣16D.x2+y2=(x+y)(x﹣y)6.(4分)(xx常州)如图:矩形花园ABCD中,AB=a,AD=b,花园中建有一条矩形道路LM及一条平行四边形道路RSTK.假设LM=RS=c,那么花园中可绿化局部的面积为()A.bc﹣ab+ac+b2B.a2+ab+bc﹣acC.ab﹣bc﹣ac+c2D.b2﹣bc+a2﹣ab1,考点:同底数幂的除法;合并同类项;同底数幂的乘法;幂的乘方与积的乘方。
1923992分析:根据同底数相除,底数不变指数相减;同底数幂相乘,底数不变指数相加;幂的乘方,底数不变指数相乘,对各选项计算后利用排除法求解.解答:解:A、a2与b3不是同类项,不能合并,故本选项错误;B、应为a4÷a=a3,故本选项错误;C、应为a3a2=a5,故本选项错误;D、(﹣a2)3=﹣a6,正确.应选D.点评:此题考查合并同类项,同底数幂的除法,同底数幂的乘法,幂的乘方的性质,熟练掌握运算性质是解题的关键.2.考点:多项式乘多项式。
整式的乘除与因式分解考点归纳知识网络归纳22222()(,,)()()()():()()()2m n m n m n mn n n n a a a a a m n a b ab a b m a b ma mb m n a b ma mb na nb a b a b a b a b a ab b +⎧⎫⋅⎪⎪=⎨⎬⎪⎪=⋅⎩⎭⨯⎧⎪⨯+=+⨯++=+++⎨⎧+-=-⎪−−−→⎨±=±+⎪⎩特殊的=幂的运算法则为正整数,可为一个单项式或一个式项式单项式单项式单项式多项式:多项式多项式:整式的乘法平方差公式 乘法公式完全平方公式:⎧⎪⎪⎪⎪⎪⎪⎨⎪⎪⎪⎪⎪⎪⎪⎪⎪⎪⎪⎩⎩互逆22222()():2()a b a b a b a ab b a b⎧⎪⎪⎪⎧-=+-⎨⎨⎪⎨⎪⎪±+=±⎪⎩⎩⎪⎪⎩因式分解的意义提公因式法因式分解因式分解的方法平方差公式:运用公式法完全平方公式因式分解的步骤 专题归纳专题一:基础计算【例1】 完成下列各题:1.计算:2x 3·(-3x )2__________. 2.下列运算正确的是( )A. x 3·x 4=x 12B. (-6x 6)÷(-2x 2)=3x 3C. 2a -3a =-aD. (x -2)2=x 2-43.把多项式2mx 2-4mxy +2my 2分解因式的结果是__________.4分解因式:(2a -b )2+8ab =____________.专题二:利用幂的有关运算性质和因式分解可使运算简化 【例2】用简便方法计算.(1)0. 252009×42009-8100×0. 5300. (2)4292-1712.整式的乘法专题三:简捷计算法的运用【例3】设m 2+m -2=0,求m 3+3m 2+2000的值. .专题四:化简求值【例4】化简求值:5(m+n )(m-n )–2(m+n)2–3(m-n)2,其中m=-2,n= 15.专题五:完全平方公式的运用【例5】已知()211a b +=,()25a b -=,求(1)22a b +;(2)ab例题精讲基础题【例1】填空:1. (-a b)3·(a b 2)2= ; (3x 3+3x)÷(x 2+1)= . 2. (a +b)(a -2b)= ;(a +4b)(m+n)= . 3. (-a +b+c)(a +b-c)=[b-( )][b+( )].4. 多项式x 2+kx+25是另一个多项式的平方,则k= .5. 如果(2a +2b +1)(2a +2b -1)=63,那么a +b 的值为 . 【例2】选择:6.从左到右的变形,是因式分解的为 ( )A.m a +mb-c=m(a +b)-cB.(a -b)(a 2+a b+b 2)=a 3-b 3C.a 2-4a b+4b 2-1=a (a -4b)+(2b+1)(2b-1) D.4x 2-25y 2=(2x+5y)(2x-5y) 7.下列多项式中能用平方差公式分解因式的是( )(A )22)(b a -+ (B )mn m 2052- (C )22y x -- (D )92+-x8. 如图是用4个相同的小矩形与1个小正方形镶嵌而成的 正方形图案,已知该图案的面积为49,小正方形的面积 为4,若用x ,y 表示小矩形的两边长(x >y),请观察 图案,指出以下关系式中,不正确的是 ( ) A.x+y=7 B.x-y=2C.4xy+4=49D.x 2+y 2=25【例3】9计算:(1)(-3xy 2)3·(61x 3y )2; (2)4a 2x 2·(-52a 4x 3y 3)÷(-21a 5xy 2);(3)(9)(9)x y x y -++- (4)2[(34)3(34)](4)x y x x y y +-+÷-(5)22)1)2)(2(x x x x x +-+--( (6) [(x+y )2-(x -y )2]÷(2xy)中档题【例1】10.因式分解:21(1)4x x -+ (2)22(32)(23)a b a b --+(3)2x2y-8xy+8y (4)a2(x-y)-4b2(x-y)(5)2222x xy y z-+- (6)1(1)x x x+++(7)9a2(x-y)+4b2(y-x);(8)(x+y)2+2(x+y)+1 【例2】11.化简求值:(1).2)3)(3()2)(3(2-=-+-+-aaaxx其中,x=1【例3】12若(x2+px+q)(x2-2x-3)展开后不含x2,x3项,求p、q值.【例4】13对于任意的正整数n,代数式n(n+7)-(n+3)(n-2)的值是否总能被6整除,请说明理由能力题【例1】14下面是对多项式(x 2-4x +2)(x 2-4x +6)+4进行因式分解的过程.解:设x 2-4x =y原式=(y +2)(y +6)+4 (第一步) = y 2+8y +16 (第二步) =(y +4)2 (第三步) =(x 2-4x +4)2 (第四步) 回答下列问题:(1)第二步到第三步运用了因式分解的_______. A .提取公因式 B .平方差公式C .两数和的完全平方公式D .两数差的完全平方公式 (2)这次因式分解的结果是否彻底?________.(填“彻底”或“不彻底”) 若不彻底,请直接写出因式分解的最后结果_________.(3)请你模仿以上方法尝试对多项式(x 2-2x )(x 2-2x +2)+1进行因式分解.【例2】已知a 、b 、c 为△ABC 的三边,且满足2220a b c ab bc ac ++---= (1)说明△ABC 的形状;(2)如图①以A 为坐标原点,AB 所在的直线为x 轴建立平面直角坐标系,D 是y 轴上一点,连DB 、DC ,若∠ODB=60°,猜想线段 DO 、DC 、DB 之间有何数量关系,并证明你的猜想。
可编辑修改精选全文完整版Array第十四章、整式乘除与因式分解14.1 整式的乘法(1)(-3x)2(x+1)(x+3)+4x(x-1)(x2+x+1),其中x=-1;解:原式=9x2(x2+3x+x+3)+4x(x3+x2+x-x2-x-1)=9x2(x2+4x+3)+4x(x3-1)=9x4+36x3+27x2+4x4-4x=13x4+36x3+27x2-4x当x=-1时原式=13×(-1)4+36×(-1)3+27×(-1)2-4×(-1)=13-36+27+4=8(2)y n(y n+3y-2)-3(3y n+1-4y n),其中y=-2,n=2.解:原式=y2n+3y n+1-2y n-9y n+1+12y n=y2n-6y n+1+10y n当y=-2,n=2时原式=(-2)2×2-6×(-2)2+1+10×(-2)2=16+48+40=10415、已知不论x、y为何值时(x+my)(x+ny)=x2+2xy-8y2恒成立.求(m+n)mn的值.解:x2+nxy+mxy+mny2=x2+2xy-8y2x2+(m+n)xy+mny2=x2+2xy-8y2∴m+n=2,mn=-8∴(m+n)mn=2×(-8)=-166、已知31=+a a,则221a a +=( B ) A .5 B .7 C .9 D .117、如果x 2+kx +81是一个完全平方式,则k 的值是( D )A .9B .-9C .±9D .±188、下列算式中不正确的有( C )①(3x 3-5)(3x 3+5)=9x 9-25②(a +b +c +d)(a +b -c -d)=(a +b)2-(c +d)2③22)31(5032493150-=⨯ ④2(2a -b)2·(4a +2b)2=(4a -2b)2(4a -2b)2=(16a 2-4b 2)2A .0个B .1个C .2个D .3个9、代数式2)(2y x +与代数式2)(2y x -的差是( A ) A .xy B .2xy C .2xy D .0 10、已知m 2+n 2-6m +10n +34=0,则m +n 的值是( A )A .-2B .2C .8D .-8二、解答题11、计算下列各题:(1)(2a +3b)(4a +5b)(2a -3b)(5b -4a)(2)(x +y)(x -y)+(y -z)(y +z)+(z -x)(z +x);(3)(3m 2+5)(-3m 2+5)-m 2(7m +8)(7m -8)-(8m)2(1) 解:原式=(2a +3b)(2a -3b)(4a +5b)(5b -4a)=(4a 2-9b 2)(25b 2-16a 2)=100a 2b 2-64a 4-225b 4+144a 2b 2=-64a 4+244a 2b 2-225b 4(2) 解:原式=x 2-y 2+y 2-z 2+z 2-x 2=0(3) 解:原式=25-9m 4-m 2(49m 2-64)-64m 2=-58m 4+2512、化简求值:(1)4x(x 2-2x -1)+x(2x +5)(5-2x),其中x =-1(2)(8x 2+4x +1)(8x 2+4x -1),其中x =21 (3)(3x +2y)(3x -2y)-(3x +2y)2+(3x -2y)2,其中x =31,y =-21 (1) 解:原式=4x 3-8x 2-4x +x(25-4x 2)=4x 3-8x 2-4x +25x -4x 3=-8x 2+21x当x =-1时原式=-8×(-1)2+21×(-1)=-8-21=-29(2) 解:原式=(8x 2+4x)2-1当x =时,原式=[8×()2+4×]2-1=(2+2)2-1=15(3) 解:原式=9x 2-4y 2-9x 2-12xy -4y 2+9x 2-12xy +4y 2=9x 2-24xy -4y 2当x =,y =-时原式=9×()2-24××(-)-4×(-)2=1+4-1=413、解下列方程:(1)(3x)2-(2x +1)2=5(x +2)(x -2)解:9x 2-4x 2-4x -1=5x 2-205x 2-4x -1=5x 2-204x =19∴x =419(2)6x +7(2x +3)(2x -3)-28(x -21)(x +21)=4解:6x +28x 2-63-28x 2+7=46x -56=46x =60∴x =1014、解不等式:(1-3x)2+(2x -1)2>13(x -1)(x +1)解:1-6x +9x 2+4x 2-4x +1>13x 2-1313x 2-10x +2>13x 2-13-10x>-15∴x<2315、若n 满足(n -2004)2+(2005-n)2=1,求(2005-n)(n -2004)的值.解:(n -2004)2+2·(n -2004)·(2005-n)+(2005-n)2=1+2(n -2004)(2005-n)(n -2004+2005-n)2=1+2(n -2004)(2005-n)1=1+2(2005-n)(n -2004)∴(2005-n)(n -2004)=014.3 因式分解一、选择题1、下列各式,从左到右的变形是因式分解的为( B )A .x 2-9+5x =(x +3)(x -3)+5xB .x 2-4x +4=(x -2)2C .(x -2)(x -3)=x 2-5x +6D .(x -5)(x +2)=(x +2)(x -5)2、把多项式x 2-mx -35分解因式为(x -5)(x +7),则m 的值是( B)A .2B .-2C .12D .-123、分解因式:x 2-2xy +y 2+x -y 的结果是( A )A .(x -y )(x -y +1)B .(x -y )(x -y -1)C .(x +y )(x -y +1)D .(x +y )(x -y -1)4、若9x 2-12xy +m 是一个完全平方公式,那么m 的值是( B )。
整式的乘除与因式分解考点归纳知识网络归纳互逆因式分解的意义因式分解的步骤专题归纳专题一:基础计算【例1】完成下列各题:1. 计算:2x 3 •(- 3x ) 2 __________ .2. 下列运算正确的是()A. x • x = xB.(- 6x )-(- 2x )= 3xC. 2 a - 3a =- aD. (x — 2) 2= x 2-43. 把多项式2mf — 4mxy + 2m?分解因式的结果是 ___________ .24 分解因式:(2a - b ) + 8ab = ________________ .专题二:利用幕的有关运算性质和因式分解可使运算简化 【例2】用简便方法计算.(1 ) 0. 252009X 42°°9 — 8100X 0. 5300.(2) 4292-仃 12.整式的乘法ma(a m)(ab)n单项式 单项式 整式的乘法多项式幕的运算法则n=amnmna n j na(m, n 为正整数, a,b 可为一个单项式或一个式项式)特殊的单项式多项式:m(a b) ma 多项式:(m n)(a b) 乘法公式平方差公式:(a b)(a 2mb ma mb na nb 完全平方公式:(a b)2b) 2a2 2 a b2ab b 2因式分解 因式分解的方法提公因式法运用公式法完全差公式式a 「 (a 2ab b)(a b) b 2(ab)2专题三:简捷计算法的运用【例3】设m2+ m—2= 0,求m3+ 3m2+ 2000 的值.专题四:化简求值【例4】化简求值:2 25 ( m+n) (m-n) - 2(m+n) - 3(m-n),其中m=-2,n=专题五:完全平方公式的运用2 【例5】已知a b 11,2 2 2a b 5,求(1) a b ; (2) ab例题精讲基础题【例1】填空:1. (- a b)3• (a b2)2=;(3x 3 2+3x)十(x +1)=2. ( a+b)( a-2b)= ;( a+4b)(m+n)=3. (- a+b+c)( a+b-c)=[b-( )l[b+( )]. ____4. 多项式x2+kx+25是另一个多项式的平方,则k=.5. 如果(2a+ 2b+ 1) (2a + 2b—1)=63,那么a+ b 的值为【例2】选择:6.从左到右的变形,是因式分解的为( )2 23 3A.m a+mb-c=m(a+b)-cB.( a-b)( a +a b+b )=a -bC. a2-4 a b+4b2-仁a( a-4b)+(2b+1)(2b-1)D.4x 2-25y 2=(2x+5y)(2x-5y)7.下列多项式中能用平方差公式分解因式的是()2 2 22 2 (A)a(b)(B)5m 20mn(C)x y2 c(D) X 98.如图是用4个相同的小矩形与1个小正方形镶嵌而成的正方形图案,已知该图案的面积为49,小正方形的面积为4,若用x,y表示小矩形的两边长(x >y),请观察图案,指出以下关系式中,不正确的是()A.x+y=7B.x-y=22 2C.4xy+4=49D.x +y =25【例3】9计算:1(1)(-3xy2) 3•( 6x3y) 2; (2) 4a2x2- (- 5a4x3y3) + (—2 a5xy2);⑶(x y 9)(x y 9)⑷[(3x 4y)23x(3x 4y)] ( 4y)(6) [ (x+y) 2-(x —y) 2](2xy)2 1 2x (x 2)(x 2)-( x -) ⑸X中档题【例1】10.因式分解:⑴X2X 1(2)(3a 2b)2(2 a 3b)24227) 9a 2(x-y)+4b 2(y-x) ;28)(x+y) 2 +2(x +y)+1例 2】 11.化简求值:(1) 2(x 3)(x 2) (3 a)(3 a)其中 a 2., x=1【例3】12若(x 2+ px + q ) (x 2— 2x - 3)展开后不含x 2, x 3项,求p 、q 值.【例4】13对于任意的正整数 n ,代数式n(n+7) -(n+3)(n-2)的值是否总能被6整除,请说明理由23)2x2y -8xy +8y4)a 2(x -y) -4b 2(x -y)22 (5) x 2xy yz 2(6)1 x x(1 x)能力题【例1】14下面是对多项式(x2—4x+2) (x2—4x+6) +4进行因式分解的过程.解:设x2—4x=y原式=(y+2) (y+6) +4(第一步)=y2+8y+16(第二步)=(y+4) 2(第三步)=(x2—4x+4) 2(第四步)回答下列问题:(1)_____________________________________ 第二步到第三步运用了因式分解的 .A •提取公因式B•平方差公式C •两数和的完全平方公式D •两数差的完全平方公式(2)_____________________________________ 这次因式分解的结果是否彻底?•(填彻底”或不彻底”若不彻底,请直接写出因式分解的最后结果_____________ .(3)请你模仿以上方法尝试对多项式( x2—2x) (x2—2x+2)+1进行因式分解.b2c2ab bc ac 0【例2】已知a、b、c ABC的三边,且满足a2(1)说明△ ABC的形状;(2)如图①以A为坐标原点, AB所在的直线为x轴建立平面直角坐标系,D是y轴上一点,连DB、DO DC DB之间有何数量关系,并证明你的猜想。
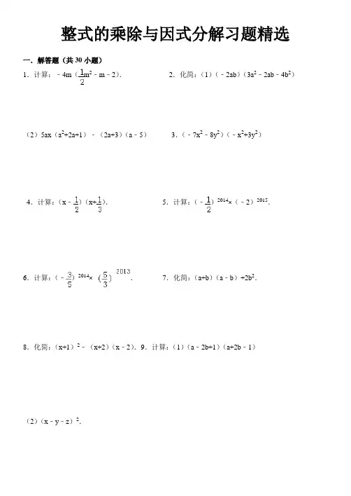
整式的乘除与因式分解习题精选一.解答题(共30小题)1.计算:﹣4m(m2﹣m﹣2).2.化简:(1)(﹣2ab)(3a2﹣2ab﹣4b2)(2)5ax(a2+2a+1)﹣(2a+3)(a﹣5)3.(﹣7x2﹣8y2)(﹣x2+3y2)4.计算:(x﹣)(x+).5.计算:(﹣)2014×(﹣2)2015.6.计算:(﹣)2014×.7.化简:(a+b)(a﹣b)+2b2.8.化简:(x+1)2﹣(x+2)(x﹣2).9.计算:(1)(a﹣2b+1)(a+2b﹣1)(2)(x﹣y﹣z)2.10.运用乘法公式计算:(1)(a+2b﹣1)2;(2)(2x+y+z)(2x﹣y﹣z).11.因式分解:a(2a+b)﹣b(2a+b).12.因式分解:(m﹣n)3+2n(n﹣m)2.13.分解因式:(3a﹣4b)(7a﹣8b)﹣(11a﹣12b)(8b﹣7a).14.分解因式:﹣36ab2x6﹣39a3b2x5.15.分解因式:4m3n2﹣4m2n+m.16.因式分解:(y﹣x)2+2x﹣2y.17.因式分解:①﹣6(2a﹣b)2﹣4(b﹣2a)2②6(x+y)2﹣2(x﹣y)(x+y)③﹣3(x﹣y)2﹣(y﹣x)3④3a(m﹣n)﹣2b(n﹣m)⑤9(a﹣b)(a+b)﹣3(a﹣b)2⑥3a(a+b)(a﹣b)﹣2b(b﹣a)18.9(a+b)2﹣(a﹣b)2.19.因式分解:(1)(m+n)2﹣n2(2)(x2+y2)2﹣x2y2.20.﹣4(x+2y)2+9(2x﹣y)2.21.因式分解:(a)2﹣b2.22.因式分解:36(a+b)2﹣25.23.因式分解:9(x﹣y)2﹣12(x﹣y)+4.24.因式分解:(a+2b)2﹣2(a+2b)+1.25.因式分解:16(m+n)2﹣25(m﹣n)2.26.因式分解:4(x﹣y)2﹣4(x﹣y)+1.27.因式分解:(1)9(m+n)2﹣16(m﹣n)2;(2)(x+y)2+10(x+y)+25;(3)4a2b2﹣(a2+b2)2.28.(a2+4a)2+8(a2+4a)+16.29.(a2+b2)2﹣4a2b2 30.分解因式:(1)﹣4a2x+12ax﹣9x (2)(2x+y)2﹣(x+2y)2.7.给出三个多项式:x2+2x﹣1,x2+4x+1,x2﹣2x.请选择你最喜欢的两个多项式进行加法运算,并把结果因式分解.8.先化简,再求值:(2a+b)(2a﹣b)+b(2a+b)﹣4a2b÷b,其中a=﹣,b=2.9.当x=﹣1,y=﹣2时,求代数式[2x2﹣(x+y)(x﹣y)][(﹣x﹣y)(﹣x+y)+2y2]的值.10.解下列方程或不等式组:①(x+2)(x﹣3)﹣(x﹣6)(x﹣1)=0;②2(x﹣3)(x+5)﹣(2x﹣1)(x+7)≤4.整式的乘除与因式分解习题精选参考答案与试题解析一.解答题(共30小题)1.计算:﹣4m(m2﹣m﹣2).考点:单项式乘多项式.专题:计算题.分析:原式利用单项式乘以多项式法则计算即可得到结果.解答:解:原式=﹣2m3+4m2+8m.点评:此题考查了单项式乘多项式,熟练掌握运算法则是解本题的关键.2.化简:(1)(﹣2ab)(3a2﹣2ab﹣4b2)(2)5ax(a2+2a+1)﹣(2a+3)(a﹣5)考点:单项式乘多项式;多项式乘多项式.专题:计算题.分析:(1)根据单项式与多项式相乘,先用单项式乘多项式的每一项,再把所得的积相加计算即可;(2)先算乘法,再去括号、合并同类项即可.解答:解:(1)(﹣2ab)(3a2﹣2ab﹣4b2)=﹣6a3b+4a2b2+8ab3;(2)5ax(a2+2a+1)﹣(2a+3)(a﹣5)=5a3x+10a2x+5ax﹣(2a2﹣10a+3a﹣15)=5a3x+10a2x+5ax﹣2a2+7a+15.点评:本题主要考查了整式的乘法,熟练掌握单项式与多项式相乘、多项式与多项式相乘的法则是解题的关键.3.(﹣7x2﹣8y2)(﹣x2+3y2)考点:多项式乘多项式.分析:根据多项式乘以多项式法则展开,再合并同类项即可.解答:解:原式=﹣7x2•(﹣x2)+(﹣7x2)•3y2﹣8y2•(﹣x2)﹣8y2•3y2=7x4﹣21x2y2+8x2y2﹣24y44.计算:(x﹣)(x+).考点:多项式乘多项式.分析:根据多项式乘以多项式法则进行计算即可.解答:解:(x﹣)(x+)=x2+x﹣x﹣=x2﹣x﹣.点评:本题考查了多项式乘以多项式法则,合并同类项的应用,主要考查学生的计算能力.5.计算:(﹣)2014×(﹣2)2015.考点:幂的乘方与积的乘方.分析:根据同底数幂的乘法,可化成指数相同的幂的乘法,根据积的乘方,可得答案.解答:解:原式=(﹣)2014×(﹣2)2014×(﹣2)=[﹣×(﹣2)]2014×(﹣2)=﹣2.点评:本题考查了积的乘方,先化成指数相同的幂的乘法,再进行积的乘方运算.6.计算:(﹣)2014×.考点:幂的乘方与积的乘方.分析:根据同底数幂的乘法,可化成指数相同的幂的乘法,根据积的乘方,可得答案.解答:解:原式=(﹣)×(﹣)2013×()2013=(﹣)×(﹣×)2013=(﹣)×(﹣1)=.点评:本题考查了积的乘方,先化成指数相同的幂的乘法,再进行积的乘方运算.考点:平方差公式;合并同类项.专题:计算题.分析:先根据平方差公式算乘法,再合并同类项即可.解答:解:原式=a2﹣b2+2b2=a2+b2.点评:本题考查了平方差公式和整式的混合运算的应用,主要考查学生的化简能力.8.(2014•槐荫区一模)化简:(x+1)2﹣(x+2)(x﹣2).考点:完全平方公式;平方差公式.分析:先根据完全平方公式和平方差公式算乘法,再合并同类项即可.解答:解:原式=x2+2x+1﹣x2+4=2x+5.点评:本题考查了对完全平方公式和平方差公式的应用,注意:完全平方公式有:(a±b)2=a2±2ab+b2,平方差公式有(a+b)(a﹣b)=a2﹣b2.9.计算:(1)(a﹣2b+1)(a+2b﹣1)(2)(x﹣y﹣z)2.考点:完全平方公式;平方差公式.分析:(1)先变形得出[a﹣(2b﹣1)][a+(2b﹣1)],再根据平方差公式进行计算,最后根据完全平方公式求出即可;(2)首先把x﹣y﹣z看作(x﹣y)﹣z,利用完全平方公式展开,再进一步利用整式的乘法和完全平方公式继续计算即可.解答:解:(1)(a﹣2b+1)(a+2b﹣1)=[a﹣(2b﹣1)][a+(2b﹣1)]=a2﹣(2b﹣1)2=a2﹣4b2+4b﹣1;(2)(x﹣y﹣z)2=[(x﹣y)﹣z]2=(x﹣y)2﹣2(x﹣y)z+z2=x2﹣2xy+y2﹣2xz+2yz+z2.点评:本题考查了平方差公式和完全平方公式的应用,主要考查学生运用公式进行推理和计算的能力.10.运用乘法公式计算:(1)(a+2b﹣1)2;考点:完全平方公式;平方差公式.分析:(1)先把(a+2b)看作整体,再两次利用完全平方式展开即可.(2)把(y+z)看作整体,利用平方差公式展开,然后利用完全平方公式再展开.解答:解:(1)原式=[(a+2b)﹣1]2=(a+2b)2﹣2(a+2b)+1=a2+4ab+4b2﹣2a﹣4b+1;(2)原式=(2x)2﹣(y+z)2=4x2﹣y2﹣2yz﹣z2.点评:本题考查了平方差公式和完全平方公式.熟记公式的几个变形公式对解题大有帮助.11.因式分解:a(2a+b)﹣b(2a+b).考点:因式分解-提公因式法.分析:直接提取公因式(2a+b),即可得出答案.解答:解:a(2a+b)﹣b(2a+b)=(2a+b)(a﹣b).点评:此题主要考查了提取公因式法分解因式,正确提取公因式是解题关键.12.计算:(m﹣n)3+2n(n﹣m)2.考点:因式分解-提公因式法.分析:利用偶次幂的性质将原式变形,进而提取公因式(m﹣n)2,进而求出即可.解答:解:(m﹣n)3+2n(n﹣m)2=(m﹣n)3+2n(m﹣n)2=(m﹣n)2[(m﹣n)+2n]=(m﹣n)2(m+n).点评:此题主要考查了提取公因式法分解因式,正确找出公因式是解题关键.13.分解因式:(3a﹣4b)(7a﹣8b)﹣(11a﹣12b)(8b﹣7a).考点:因式分解-提公因式法.分析:首先把代数式变形为(3a﹣4b)(7a﹣8b)+(11a﹣12b)(7a﹣8b),再提取公因式(7a﹣8b),然后把括号里面合并同类项可得(7a﹣8b)(14a﹣16b),再把后面括号李提取公因式2,进一步分解.解答:解:(3a﹣4b)(7a﹣8b)﹣(11a﹣12b)(8b﹣7a),=(3a﹣4b)(7a﹣8b)+(11a﹣12b)(7a﹣8b),=(7a﹣8b)(3a﹣4b+11a﹣12b),=(7a﹣8b)(14a﹣16b),=2(7a﹣8b)2.14.分解因式:﹣36ab2x6﹣39a3b2x5.考点:因式分解-提公因式法.分析:根据题意直接提取公因式﹣3ab2x5进而得出答案.解答:解:﹣36ab2x6﹣39a3b2x5=﹣3ab2x5(12x+13a2).点评:此题主要考查了提取公因式法分解因式,正确提取公因式是解题关键.15.分解因式:4m3n2﹣4m2n+m.考点:因式分解-提公因式法.分析:根据提公因式法和公式法进行判断求解.解答:解:原式=m(4m2n2﹣4mn+1)=m(2mn﹣1)2.点评:本题考查了多项式的因式分解,分解因式要一提公因式,二套公式,三检查,注意分解要彻底.16.因式分解:(y﹣x)2+2x﹣2y.考点:因式分解-提公因式法.专题:计算题.分析:原式变形后,提取公因式即可得到结果.解答:解:原式=(x﹣y)2+2(x﹣y)=(x﹣y)(x﹣y+2).点评:此题考查了因式分解﹣提公因式法,熟练掌握提公因式的方法是解本题的关键.17.因式分解:①﹣6(2a﹣b)2﹣4(b﹣2a)2②6(x+y)2﹣2(x﹣y)(x+y)③﹣3(x﹣y)2﹣(y﹣x)3④3a(m﹣n)﹣2b(n﹣m)⑤9(a﹣b)(a+b)﹣3(a﹣b)2⑥3a(a+b)(a﹣b)﹣2b(b﹣a)考点:因式分解-提公因式法.分析:利用提取公因式法分解因式得出即可.解答:解:①﹣6(2a﹣b)2﹣4(b﹣2a)2=﹣10(2a﹣b)2②6(x+y)2﹣2(x﹣y)(x+y)=2(x+y)[3(x+y)﹣(x﹣y)]=2(x+y)(2x+4y)=﹣3(x﹣y)2+(x﹣y)3=(x﹣y)2(﹣3+x﹣y);④3a(m﹣n)﹣2b(n﹣m)=3a(m﹣n)+2b(m﹣n)=(m﹣n)(3a+2b);⑤9(a﹣b)(a+b)﹣3(a﹣b)2=3(a﹣b)[3(a+b)﹣(a﹣b)]=3(a﹣b)(2a+4b)=6(a﹣b)(a+2b);⑥3a(a+b)(a﹣b)﹣2b(b﹣a)=3a(a+b)(a﹣b)+2b(a﹣b)=(a﹣b)(3a2+3ab+2b).点评:此题主要考查了提取公因式法分解因式,正确得出公因式是解题关键.18.(2003•茂名)9(a+b)2﹣(a﹣b)2.考点:因式分解-运用公式法.专题:计算题.分析:先利用平方差公式分解因式,再整理计算即可.解答:解:9(a+b)2﹣(a﹣b)2,=[3(a+b)]2﹣(a﹣b)2,=[3(a+b)+(a﹣b)][3(a+b)﹣(a﹣b)],=(4a+2b)(2a+4b),=4(2a+b)(a+2b).点评:本题主要考查利用平方差公式分解因式,熟练掌握公式结构,找准公式中的a、b是解题的关键.19.因式分解:(1)(m+n)2﹣n2(2)(x2+y2)2﹣x2y2.考点:因式分解-运用公式法.分析:(1)根据平方差公式进行解答,将(m+n)看做整体;(2)根据平方差公式进行解答,将(x2+y2)和x2y2看做整体.解答:解:(1)原式=(m+n﹣n)(m+n+n)=m(m+2n);(2)原式=(x2+y2﹣xy)(x2+y2+xy).点评:本题考查了因式分解﹣﹣运用公式法,熟悉平方差公式的结构是解题的关键.20.﹣4(x+2y)2+9(2x﹣y)2.分析:直接利用平方差分解因式,进而合并同类项即可.解答:解:﹣4(x+2y)2+9(2x﹣y)2=9(2x﹣y)2﹣4(x+2y)2=[3(2x﹣y)+2(x+2y)][3(2x﹣y)﹣2(x+2y)]=(8x+y)(4x﹣7y).点评:此题主要考查了利用平方差分解因式,注意正确记忆平方差公式是解题关键.21.因式分解:(a)2﹣b2.考点:因式分解-运用公式法.分析:直接利用平方差公式分解因式得出即可.解答:解:(a)2﹣b2=(a+b)(a﹣b).点评:此题主要考查了公式法分解因式,熟练应用平方差公式是解题关键.22.因式分解:36(a+b)2﹣25.考点:因式分解-运用公式法.专题:计算题.分析:原式利用平方差公式分解即可得到结果.解答:解:原式=[6(a+b)+5][6(a+b)﹣5]=(6a+6b+5)(6a+6b﹣5).点评:此题考查了因式分解﹣运用公式法,熟练掌握平方差公式是解本题的关键.23.因式分解:9(x﹣y)2﹣12(x﹣y)+4.考点:因式分解-运用公式法.分析:直接利用完全平方公式分解因式进而求出即可.解答:解:9(x﹣y)2﹣12(x﹣y)+4=[3(x﹣y)﹣2]2=(3x﹣3y﹣2)2.点评:此题主要考查了公式法分解因式,熟练应用完全平方公式是解题关键.24.因式分解:(a+2b)2﹣2(a+2b)+1.考点:因式分解-运用公式法.分析:直接利用完全平方公式分解因式得出即可.解答:解:(a+2b)2﹣2(a+2b)+1=(a+2b﹣1)2.点评:此题主要考查了公式法分解因式,熟练应用完全平方公式是解题关键.25.因式分解:16(m+n)2﹣25(m﹣n)2.考点:因式分解-运用公式法.分析:根据平方差公式,可得答案.解答:解:原式=[4(m+n)+5(m﹣n)][4(m+n)﹣5(m﹣n)]=(9m﹣n)(﹣m+9n).点评:本题考查了因式分解,利用了平方差公式.26.因式分解:4(x﹣y)2﹣4(x﹣y)+1.考点:因式分解-运用公式法.分析:直接利用完全平方公式分解因式得出即可.解答:解:4(x﹣y)2﹣4(x﹣y)+1=[2(x﹣y)﹣1]2.点评:此题主要考查了公式法分解因式,熟练掌握乘法公式是解题关键.27.因式分解:(1)9(m+n)2﹣16(m﹣n)2;(2)(x+y)2+10(x+y)+25;(3)4a2b2﹣(a2+b2)2.考点:因式分解-运用公式法.专题:计算题;因式分解.分析:(1)原式利用平方差公式分解即可得到结果;(2)原式利用完全平方公式分解即可得到结果;(3)原式先利用平方差公式分解,再利用完全平方公式分解即可.解答:解:(1)原式=[3(m+n)+4(m﹣n)][3(m+n)﹣4(m﹣n)]=(7m﹣n)(﹣m+7n);(2)原式=(x+y+5)2;(3)原式=(2ab+a2+b2)(2ab﹣a2﹣b2)=﹣(a﹣b)2(a+b)2.点评:此题考查了因式分解﹣运用公式法,熟练掌握平方差公式及完全平方公式是解本题的关键.28.分解因式:(a2+4a)2+8(a2+4a)+16.考点:因式分解-运用公式法.分析:根据平方和加积的二倍等于和的平方,可得答案.解答:解:原式=[(a2+4a)+4]2=[(a+2)2]2=(a+2)4.点评:本题考查了因式分解,两次利用了完全平方公式.29.分解因式:(a2+b2)2﹣4a2b2考点:因式分解-运用公式法.专题:计算题.分析:先利用平方差公式分解因式,再利用完全平方公式分解因式即可.解答:解:原式=(a2+b2)2﹣(2ab)2,=(a2+b2+2ab)(a2+b2﹣2ab),=(a+b)2(a﹣b)2.点评:本题考查用公式法进行因式分解的能力,熟练掌握完全平方公式和平方差公式是解题的关键.完全平方公式:(a±b)2=a2±2ab+b2,平方差公式:(a+b)(a﹣b)=a2﹣b2.30.分解因式:(1)﹣4a2x+12ax﹣9x (2)(2x+y)2﹣(x+2y)2.考点:因式分解-运用公式法.专题:计算题.分析:(1)先提公因式,再用公式即可;(2)将2x+y与x+2y看作整体,运用平方差公式即可进行分解因式.解答:解:(1)原式=﹣x(4a2﹣12a+9)=﹣x(2a﹣3)2;(2)原式=(2x+y+x+2y)(2x+y﹣x﹣2y)=(3x+3y)(x﹣y)=3(x+y)(x﹣y).点评:本题考查了运用公式法进行因式分解,熟练掌握平方差公式的结构特点是解题的关键.。
整式的乘除与因式分解精选练习题一、填空题(每题2分,共32分)1.-x 2·(-x )3·(-x )2=__________. 2.分解因式:4mx +6my =_________. 3.=-•-3245)()(a a ___ ____.4.201()3π+=_________;4101×=__________. 5.用科学记数法表示-=___________.6.①a 2-4a +4,②a 2+a +14,③4a 2-a +14,•④4a 2+4a +1,•以上各式中属于完全平方式的有____ __(填序号).?7.(4a 2-b 2)÷(b -2a )=________.8.若x +y =8,x 2y 2=4,则x 2+y 2=_________. 9.计算:832+83×34+172=________.10.=÷-+++++++1214213124)42012(m m m m m m m m b a b a b a b a + . 11.已知==-=-yxy x y x ,则,21222 .12.代数式4x 2+3mx +9是完全平方式,则m =___________. 13.若22210a b b -+-+=,则a = ,b = . 14.已知正方形的面积是2269y xy x ++ (x >0,y >0),利用分解因式,写出表示该正方形的边长的代数式 .~15.观察下列算式:32—12=8,52—32=16,72—52=24,92—72=32,…,请将你发现的规律用式子表示出来:____________________________.16.已知13x x +=,那么441x x+=_______. 二、解答题(共68分)17.(12分)计算:(1)(-3xy 2)3·(61x 3y )2; (2)4a 2x 2·(-52a 4x 3y 3)÷(-21a 5xy 2);(3)222)(4)(2)x y x y x y --+(; (4)221(2)(2))x x x x x-+-+-(.18.(12分)因式分解:^(1)3123x x -; (2)2222)1(2ax x a -+;(3)xy y x 2122--+; (4))()3()3)((22a b b a b a b a -+++-. 19.(4分)解方程:41)8)(12()52)(3(=-+--+x x x x .20.(4分)长方形纸片的长是15㎝,长宽上各剪去两个宽为3㎝的长条,剩下的面积是原面积的53.求原面积.21.(4分)已知x 2+x -1=0,求x 3+2x 2+322.(4分)已知22==+ab b a ,,求32232121ab b a b a ++的值. 23.(4分)给出三个多项式:2112x x +-,21312x x ++,212x x -,请你选择掿其中两个进行加减运算,并把结果因式分解.·24.(4分)已知222450a b a b ++-+=,求2243a b +-的值.25.(4分)若(x 2+px +q )(x 2-2x -3)展开后不含x 2,x 3项,求p 、q 的值.26.(4分)已知c b a 、、是△ABC 的三边的长,且满足0)(22222=+-++c a b c b a ,试判断此三角形的形状.答案一、填空题1.x 7 2.2(23)m x y + 3.26a - 4.10,1695.53.0810--⨯ 6.①②④ 7.2b a - 8.12 9.10000 10.12335m m ab ab ab ++-+ 11.2 12.4± 13.2,1a b ==14.3x y + 15.22(21)(21)8n n n +--= 16.65 二、解答题 17.(1)-43x 9y 8;(2)516ax 4y ;(3)4224168x x y y -+;(4)21()x x-- 18.(1)3(12)(12)x x x +-; (2)222(1)(1)a x x x x ++-+;(3)(1)(1)x y x y -+--;(4)28()()a b a b -+ 19.3 20.180cm 2 21.4 22.4 23.略 24.7 25.2,7p q ==26.等边三角形。
一、整式的乘除(共 73 题)1.一种计算机每秒可做4×108 次运算,它工作3×103 秒运算的次数为()A.12×1024 B.1.2×1012 C.12×1012 D.12×1082.下列四个算式:①63+63;②(2×63)×(3×63);③(22×32)3;④(33)2×(22)3 中,结果等于 66 的是()A.①②③B.②③④C.②③D.③④3.下列运算正确的是()A.6a-5a=1 B.(a2)3=a5 C.3a2+2a3=5a5 D.2a2•3a3=6a54.下列运算中,正确的是()A.(a2)3=a5 B.2a•3a=6a2 C.2a-a=2 D.a6÷a2=a35.下面是一名学生所做的 4 道练习题:①(-3)0=1;②a3+a3=a6;③4m-4= ;④(xy2)3=x3y6,他做对的个数是()A.0 B.1 C.2 D.36.下列计算中,结果正确的是()A.a2•a3=a6 B.(2a)•(3a)=6aC.(a2)3=a6 D.a6÷a2=a37.下列运算正确的是()A.a3•a4=a12 B.a3+a3=2a6 C.a3÷a3=0 D.3x2•5x3=15x58.下列运算正确的是()A.x2•x3=x6 B.x2+x2=2x4C.(-2x)2=4x2 D.(-2x)2•(-3x)3=6x59.下列运算正确的是()A.(x2)3=x5 B.3x2+4x2=7x4C.(-x)9÷(-x)3=x6 D.-x(x2-x+1)=-x3-x2-x110.下面运算正确的是( )A .(-2x 2)•x 3=4x 6B .x 2÷x=xC .(4x 2)3=4x 6D .3x 2-(2x )2=x 211.下列运算正确的是( )A .a 2+2a 3=3a 5B .(2b 2)3=6b 6C .(3ab )2÷(ab )=3abD . 2a•3a 5=6a 612.若 a 为仸意实数,则下列式子恒成立的是( )A .a+a=a 2B .a×a=2aC .3a 3+2a 2=aD .2a×3a 2=6a 313.下列各式正确的是( )A .a 4×a 5=a 20B .a 2×2a 2=2a 4C .(-a 2b 3)2=a 4b 9D .a 4÷a=a 2)15.下列计算正确的是( )A .a 2•a 3=a 6B .(-2a )3=8a 3C .a+a 4=a 5D .-2x 2•3x=-6x 316.下列计算正确的是( )A .2x 3•3x 4=5x 7B .3x 3•4x 3=12x 3C .2a 3+3a 3=5a 6D .4a 3•2a 2=8a 517.下列运算丌正确的是( )A .(a 5)2=a 10B . 2a 2•(-3a 3)=-6a 5C .b•b 3=b 4D .b 5•b 5=b 2518.下列计算正确的是( )A .x 2+2x 2=3x 4B . a 3•(-2a 2)=-2a 5C .(-2x 2)3=-6x 6D .3a•(-b )2=-3ab 219.下列计算正确的是( )A .(2x 3)•(3x )2=6x 6B . (-3x 4)•(-4x 3)=12x 714.下列计算中正确的是( )A .a 5-a 2=a 3B . |a+b|=|a|+|b|C .(-3a 2)•2a 3=-6a 6D .a 2m =(-a m )2(其中 m 为正整数C.(3x4)•(5x3)=8x7 D.(-x)•(-2x)3•(-3x)2=-72x620.计算:3x2y•(-2xy)结果是()A.6x3y2 B.-6x3y2 C.-6x2y D.-6x2y221.下列计算正确的是()A.a+a=a2 B.a•a2=a3 C.(a2)3=a5 D.a(2a+1)=a3+1 22.一个长方体的长、宽、高分别 3a-4,2a,a,它的体积等于()A.3a3-4a2 B.a2 C.6a3-8a2 D.6a3-8a 23.2x2•(-3x3)= .24.(-2x2)•3x4= .25.(3x2y)(-x4y)= .26.2a3•(3a)3= .27.(-3x2y)•(xy2)= .28.-3x3•(-2x2y)= .29.3x2•(-2xy3)= .30.(-2a)(-3a)=.31.8b2(-a2b)= .32.8a3b3•(-2ab)3= .33.(-3a3)2•(-2a2)3=.34.(-8ab)()= .35.2x2•3xy=.36.3x4•2x3= .37.x2y•(-3xy3)2= .38.(2a2b)3c÷(3ab)3=.39.(-2a)3•b4÷12a3b2=.40.计算:()•3ab2=9ab5;-12a3bc÷()=4a2b;(4x2y-8x3)÷4x2= .41.若(a m+1b n+2)•(a2n-1b2m)=a5b3,则 m+n 的值为. 42.若 n 为正整数,且 a2n=3,则(3a3n)2÷(27a4n)的值为.43.利用形如 a(b+c)=ab+ac 的分配性质,求(3x+2)(x-5)的积的第一步骤是()A.(3x+2)x+(3x+2)(-5)B.3x(x-5)+2(x-5)C.3x2-13x-10 D.3x2-17x-1044.下列多项式相乘的结果是 a2-3a-4 的是()A.(a-2)(a+2)B.(a+1)(a-4)C.(a-1)(a+4)D.(a+2)(a+2)45.下列多项式相乘结果为 a2-3a-18 的是()A.(a-2)(a+9)B.(a+2)(a-9)C.(a+3)(a-6)D.(a-3)(a+6)46.下面的计算结果为 3x2+13x-10 的是()A.(3x+2)(x+5)B.(3x-2)(x-5)C.(3x-2)(x+5)D.(x-2)(3x+5)47.下列计算正确的是()A.(-2a)•(3ab-2a2b)=-6a2b-4a3bB.(2ab2)•(-a2+2b2-1)=-4a3b4C.(abc)•(3a2b-2ab2)=3a3b2-2a2b3D.(ab)2•(3ab2-c)=3a3b4-a2b2c48.下列运算中,正确的是()A.2ac(5b2+3c)=10b2c+6ac2B.(a-b)2(a-b+1)=(a-b)3-(b-a)2C.(b+c-a)(x+y+1)=x(b+c-a)-y(a-b-c)-a+b-cD.(a-2b)(11b-2a)=(a-2b)(3a+b)-5(2b-a)249.(-2a3+3a2-4a)(-5a5)= .50.(x-2)(x+3)= .51.(x-2y)(2x+y)=.52.3x(5x-2)-5x(1+3x)= .53.(x-a)(x2+ax+a2)= .54.5x(x2-2x+4)+x2(x+1)= .55.若(x-1)(x+3)=x2+mx+n,那么 m,n 的值分别是()A.m=1,n=3 B.m=4,n=5 C.m=2,n=-3 D.m=-2,n=3 56.若(x+1)(2x-3)=2x2+mx+n,则 m=,n=.57.若(x+4)(x-3)=x2+mx-n,则 m= ,n= .58.已知(x+a)(x+b)=x2-13x+36,则 a+b 的值是. A.13 B.-13 C.36D.-3659.若(mx3)•(2x k)=-8x18,则适合此等式的 m= ,k= .60.若(x+1)(2x-3)=2x2+mx+n,则 m=,n=.61.若(x-2)(x-n)=x2-mx+6,则 m= ,n= .62.若(x+p)不(x+2)的乘积中,丌含 x 的一次项,则 p 的值是.63.如果(x+a)(x+b)的结果中丌含 x 的一次项,那么 a、b 满足()A.a=b B.a=0 C.a=-b D.b=064.计算)的结果中丌含关于字母 a 的一次项,则 m 等于()65.如果(x+1)(x2-5ax+a)的乘积中丌含 x2 项,则 a 为.66.已知(5-3x+mx2-6x3)(1-2x)的计算结果中丌含 x3 的项,则 m 的值为.67.通过计算几何图形的面积可表示一些代数恒等式,如图可表示的代数恒等式是()A.(a-b)2=a2-2ab+b2 B.(a+b)2=a2+2ab+b2C.2a(a+b)=2a2+2ab D.(a+b)(a-b)=a2-b268.如图,正方形卡片 A 类,B 类和长方形卡片 C 类若干张,如果要拼一个长为(a+2b),宽为(a+b)的大长方形,则需要 C 类卡片张.69.已知 m+n=2,mn=-2,则(1-m)(1-n)的值为()A.-3 B.-1 C.1 D.570.若 2x(x-1)-x(2x+3)=15,则 x= .71.已知 a2-a+5=0,则(a-3)(a+2)的值是.72.按下列程序计算,最后输出的答案是.73.下列运算正确的是()A.(am+bm+cm)÷n=am÷n+bm÷n+cm÷n=B.(-a3b-14a2+7a)÷7a=-7a2b-2aC.x4y3 D.(6a m+2b n-4a m+1b n+1+2a m b n+2)÷(-2a m b n)=-3a2+2ab-b n+1二、乘法公式(共 150 题)74.下列计算正确的是()A.x4-x2=x2B.(x3)2=x5C. -6x5÷(-2x3)=3x2D.(x+y)2=x2+y275.在下列各式中,不(a-b)2 一定相等的是()A.a2+2ab+b2 B.a2-b2 C.a2+b2 D.a2-2ab+b276.下列等式成立的是()A.(a2)3=a6 B.2a2-3a=-a C.a6÷a3=a2 D.(a+4)(a-4)=a2-477.下列计算正确的是()A.3a+2b=5ab B.(x-y)2=x2-y2 C.a10÷a5=a2 D.a4•a3=a778.下列计算正确的是()A.3a+2b=5ab B.(a-1)2=a2-2a+1C.a6÷a3=a2 D.(a3)2=a579.计算(-a-b)2 等于()A.a2+b2 B.a2-b2 C.a2+2ab+b2 D.a2-2ab+b280.若(x-y)2=0,则下列成立的等式是()A.x2+y2=2xy B.x2+y2=-2xy C.x2+y2=0 D.(x+y)2=(x-y)281.(a-b+c)(-a+b-c)等于()A.-(a-b+c)2 B.c2-(a-b)2 C.(a-b)2-c2 D.c2-a+b282.平方差公式(a+b)(a-b)=a2-b2 中字母 a、b 表示()A.只能是数B.只能是单项式C.只能是多项式D.以上都可以83.下列运用平方差公式计算,错误的是()A.(a+b)(a-b)=a2-b2 B.(x+1)(x-1)=x2-1C.(2x+1)(2x-1)=2x2-1 D.(-a+b)(-a-b)=a2-b284.下列运算正确的是()A.x5+x5=2x10 B.-(x)3(-x)5=x8C.(-2x2y)3=-6x6y3 D.(2x-3y)(-2x+3y)=4x2-9y285.下列运算正确的是()A.(x+y)(-x-y)=x2-y2 B.(-3a2)3=-9a6C.(-a+b)2=a2+2ab+b2 D.2009×2007=20082-1286.下列运算中正确的是()A.x5+x5=2x10 B.-(-x)3•(-x)5=-x8C.(-2x2y)3•4x-3=-24x3y3 D.( x-3y)(- x+3y)= x2-9y287.下列各式中计算正确的是()A.(a-b)2=a2-b2 B.(a+2b)2=a2+2ab+4b2 C.(a2+1)2=a4+2a+1 D.(-m-n)2=m2+2mn+n2 88.(a+1)2-(a-1)2=.89.化简(a+b)2-(a-b)2 的结果是.90.(-4a-1)不(4a-1)的积等于(A.-1+16a2 B.-1-8a2)C.1-4a2D.1-16a291.运算结果为 2mn-m2-n2 的是( A.(m-n)2 B.-(m-n)2)C.-(m+n)2D.(m+n)292.下列各式是完全平方式的是()A.x2-x+ B.1+x2C.x+xy+1 D.x2+2x-193.下列多项式中是完全平方式的是()A.2x2+4x-4 B.16x2-8y2+1 C.9a2-12a+4 D.x2y2+2xy+y2 94.小明计算一个二项式的平方时,得到正确结果 a2-10ab+■,但最后一项丌慎被污染了,这一项应是()A.5b B.5b2 C.25b2 D.100b2 95.下列多项式乘法中,可以用平方差公式计算的是()A.(x+1)(1+x)B.(a+b)(b-a)C.(-a+b)(a-b)D.(x2-y)(x+y2)96.下列各式中,能用平方差公式计算的是()①(7ab-3b)(7ab+3b);②73×94;③(-8+a)(a-8);④(-15-x)(x-15).A.①③B.②④C.③④D.①④97.应用(a+b)(a-b)=a2-b2 的公式计算(x+2y-1)(x-2y+1),则下列变形正确的是()A.[x-(2y+1)]2 B.[x+(2y+1)]2C.[x-(2y-1)][x+(2y-1)] D.[(x-2y)+1][(x-2y)-1] 98.下列各式中,计算错误的是()A.(x- y)( x+ y)= x2- y2B.(a+ b)( a- b)= a2- b2C.(3x2+5)(3x2-5)=9x4-25D.101×99=(100+1)(100-1)=10000-1=999999.对于仸意的整数 n,能整除(n+3)(n-3)-(n+2)(n-2)的整数是()A.4 B.3 C.-5 D.2100.如果两个数互为倒数,那么这两个数的和的平方不它们的差的平方的差是()A.3 B.4 C.5 D.6101.若(x-2y)2=(x+2y)2+m,则 m 等于()A.4xy B.-4xy C.8xy D.-8xy102.下列各式的计算中,正确的是()A.(3a4)3=9a12 B.(2a2+b)2=4a2+2a2b+b2 C.(a-b)3=-(b-a)3 D.(-a-b)2=(a-b)2103.下列各式是完全平方式的是(A.a2+4 B.x2+2xy-y2)C.a2-ab+b2D.4x2-4xy+y2104.下列计算中正确的是()A.(x+2)2=x2+2x+4 B.(-3-x)(3+x)=9-x2 C.(-3-x)(3+x)=-x2-9+6x D.(2x-3y)2=4x2+9y2-12xy105.下列各式中,计算结果正确的是()A.(x+y)(-x-y)=x2-y2 B.(x2-y3)(x2+y3)=x4-y6C.(-x-3y)(-x+3y)=-x2-9y2 D.(2x2-y)(2x2+y)=2x4-y2106.下列计算正确的()A.(-4x)(2x2+3x-1)=-8x3-12x2-4xB.(x+y)(x2+y2)=x3+y3C.(-4a-1)(4a-1)=1-16a2D.(x-2y)2=x2+4y2-2xy107.下列等式恒成立的是()A.(m+n)2=m2+n2B.(2a-b)2=4a2-2ab+b2C.(4x+1)2=16x2+8x+1 D.(x-3)2=x2-9108.下列代数式中是完全平方式的是()①y4-4y2+4;②9m2+16n2-20mn;③4x2-4x+1;④6a2+3a+1;⑤a2+4ab+2b2. A.①③B.②④C.③④D.①⑤109.多项式有;③m2+m+1;④x2-xy+y2;⑤m2+2mn+4n2;⑥a4b2-a2b+1.以上各式中,形如a2±2ab+b2 的形式的多项式有()A.2 个B.3 个C.4 个D.5 个110.下列各式丌是完全平方式的是()A.x2-16x+64 B.x2-2x+1 x+1 D.4a2-12ab-9b2111.若m≠n,下列等式中正确的是()①(m-n)2=(n-m)2;②(m-n)2=-(n-m)3;③(m+n)(m-n)=(-m-n)(-m+n);④(-m-n)2=-(m-n)2.A.1 个B.2 个C.3 个D.4 个112.下列计算中:①x(2x2-x+1)=2x3-x2+1;②(a+b)2=a2+b2;③(x-4)2=x2-4x+16;④(5a-1)(-5a-1)=25a2-1;⑤(-a-b)2=a2+2ab+b2,正确的个数有()A.1 个B.2 个C.3 个D.4 个113.两个连续奇数的平方差是()A.6 的倍数B.8 的倍数C.12 的倍数D.16 的倍数114.若等式(x-4)2=x2-8x+m2 成立,则 m 的值是()A.16 B.4 C.-4 D.4 戒-4 115.计算x-)2 的结果是.116.不-)2 的结果一样的是()A.(x+y)2-xy +)2+xy (x-y)2 (x+y)2-xy 117.计算(x-3y)(x+3y)的结果是()A.x2-3y2 B.x2-6y2 C.x2-9y2 D.2x2-6y2 118.计算:1232-124×122=.119.计算:a2-(a+1)(a-1)的结果是.120.(x-1)(x+1)(x2+1)-(x4+1)的值是()A.-2x2B.0 C.-2 D.-1 121.如,,则 xy 的值是.122.计算(a4+b4)(a2+b2)(b-a)(a+b)的结果是()A.a8-b8 B.a6-b6 C.b8-a8 D.b6-a6 123.下列各式中,运算结果为 1-2xy2+x2y4 的是()A.(-1+xy2)2 B.(-1-xy2)2 C.(-1+x2y2)2 D.(-1-x2y2)2 124.(x+y)2- =(x-y)2.125.填空,使等式成立:x2- x+ =(x+ )2126.若 4x2+kx+25=(2x-5)2,那么 k 的值是.127.设(5a+3b)2=(5a-3b)2+A,则 A= .128.若 x2+ax+9=(x+3)2,则 a 的值为.129.如果 x2+8x+m=(x+n)2,则 m、n 的值为() A.m=16,n=4 B.m=16,n=-4 C.m=-16,n=-4 D.m=-16,n=4 130.要使 x2-6x+a 成为形如(x-b)2 的完全平方式,则 a,b 的值为()A.a=9,b=9 B.a=9,b=3 C.a=3,b=3 D.a=-3,b=-2 131.如果=(2x+)2+m,则 a,m 的值分别是.132.如果a-x)2=a2+ya+,则 x、y 的值分别为.133.若 a 满足(383-83)2=3832-83×a,则 a 值为.134.a2+3ab+b2 加上()可得(a-b)2.A.-ab B.-3ab C.-5ab D.-7ab 135.已知(x+a)(x-a)=x2-16,则 a 的值是.136.4a2+2a 要变为一个完全平方式,则需加上的常数是()A.2 B.-2 D.137.如果二次三项次 x2-16x+m2 是一个完全平方式,那么 m 的值是_______.138.如果 a2+8ab+m2 是一个完全平方式,则 m 的值是()A.b2 B.2b C.16b2 D.±4b139.如果关于 x 的二次三项式 x2-mx+16 是一个完全平方式,那么 m 的值是()A.8 戒-8 B.8 C.-8 D.无法确定140.已知 x2+kxy+64y2 是一个完全平方式,则 k 的值是.141.若 9x2+mxy+16y2 是一个完全平方式,则 m 的值为()A.24 B.-12 C.±12D.±24142.若 4a2+2abk+16b2 是完全平方式,那么 k 的值是()A.16 B.±16C.8 D.±8143.当 m=()时,x2+2(m-3)x+25 是完全平方式.144.如果 x2-2(m+1)x+m2+5 是一个完全平方式,则 m= .145.若要使 4x2+mx+ 成为一个两数差的完全平方式,则 m 的值应为()A.B.C.D.146.若 k-12xy+9x2 是一个完全平方式,那么 k 应为()A.2 B.4 C.2y2 D.4y2147.若y6 是完全平方式,则 p 等于.148.(x+b)2=x2+ax+121,则 ab=.149.若改动 9a2+12ab+b2 中某一项,使它变成完全平方式,则改动的办法是()A.只能改动第一项B.只能改动第二项C.只能改动第三项D.可以改动三项中的仸一项150.老师布置了一道作业题:把多项式 25x4+1 增加一个单项式后,使之成为一个整式的平方式,以下是某学习小组给出的答案①-1,②-25x4,③10x2,④-10x2,⑤()2x8,其中正确的有()A.5 个B.4 个C.3 个D.2 个151.若二项式 x2+4 加上一个单项式后成为一个完全平方式,则这样的单项式共有个.152.当 x=-2 时,代数式-x2+2x-1 的值等于.153.若,则 x 2-4x+8= .154.当 x=22005,y=(-2)2005 时,代数式 4x2-8xy+4y2 的值为.155.(a+b-1)(a-b+1)=()2-()2.156.4a2- =(+3b)(-3b).158.()+16x2=[()+1][()-1]159.(x- -3)(x+2y-)=[()-2y][()+2y] 160.(x-y)(x+y)(x2+y2)(x4+y4)…(x2n+y2n)=.161.已知 a-b=3,ab=2,则 a2+b2 的值为()A.13 B.7 C.5 D.11162.已知(a+b)2-2ab=5,则 a2+b2 的值为.163.已知 a2+b2=12,且 ab=-3,那么代数式(a+b)2 的值是.164.若 m2-n2=6,且 m-n=3,则 m+n= .165.若 a+b=0,ab=11,则 a2-ab+b2 的值为.166.已知 x+y=-5,xy=6,则 x2+y2 的值是.167.若 m+n=7,mn=12,则 m2-mn+n2 的值是.168.已知 a-b=3,a2-b2=9,则 a= ,b= .169.已知 x2+y2=13,xy=6,则 x+y 的值是()A.±5B.±1D.1 戒170.已知 x2+y2=25,x+y=7,且 x>y,则 x-y 的值等于.171.已知(x+y)2=18,(x-y)2=6,则 x2+y2=,xy= .172.若|x+y-5|+(xy-6)2=0,则 x2+y2 的值为.173.若 x(y-1)-y(x-1)=4,-xy= .174.若 a-b=2,a-c=1,则(2a-b-c)2+(c-a)2 的值是.175.已知 a=2003,b=2002,则 a2-2ab+b2-5a+5b+6 的值为.176.若 n 满足(n-2006)2+(2007-n)2=1,则(2007-n)(n-2006)等于.177.已知(2009-a)(2008-a)=2007,那么(2009-a)2+(2008-a)2=.178.已知a=x+20,b=x+19,c=x+21,那么代数式a2+b2+c2-ab-bc-ac 的值是.179.如果 a-b=2,a-c= ,那么 a2+b2+c2-ab-ac-bc 等于.180.当 a(a-1)-(a2-b)=-2 时,-ab 的值为.181.记 x=(1+2)(1+22)(1+24)(1+28)…(1+2n),且 x+1=2128,则n= .182.如果=3,那么= .183.若=2,则的值为.184.已,= .185.若=7,则= .186.如果=2,= .187.若)2=,试求)2 的值为.188.已知=1,= .189.已知 a+b=3,a3+b3=9,则 ab 等于.190.a、b 是仸意实数,则下列各式的值一定为正数的是()A.|a+2| B.(a-b)2 C.a2+1191.已知 a2-2a+1=0,则 a2007= .192.如果 1- + =0,那么 = .193.若 a2+2a+b2-6b+10=0,则()A.a=1,b=3 B.a=-1,b=-3 C.a=1,b=-3 D.a=-1,b=3 194.已知 x2+y2+4x-6y+13=0,那么 x y= .195.丌论 a 为何值,代数式 a2-2a+1 的值总是()A.>0 B.≥0C.0 D.<0 196.已知 x 为仸意有理数,则多项式x2 的值为()A.一定为负数B.丌可能为正数C.一定为正数D.可能为正数,负数戒 0197.若 x=a2-2a+2,则对于所有的 x 值,一定有()A.x<0 B.x≥0C.x>0 D.x 的正负不 a 值有关198.丌论 x、y 为什么实数,代数式 x2+y2+2x-4y+7 的值()A.总丌小于 2 B.总丌小于 7 C.可为仸何实数D.可能为负数199.若 M=3x2-8xy+9y2-4x+6y+13(x,y 是实数),则 M 的值一定是()A.零B.负数C.正数D.整数200.用简便方法计算:99×101×10 001= .201.用简便方法计算:20032-2003×8+16=.202.由 m(a+b+c)=ma+mb+mc,可得:(a+b)(a2-ab+b2)=a3-a2b+ab2+a2b-ab2+b3=a3+b3,即(a+b)(a2-ab+b2)=a3+b3…①我们把等式①叫做多项式乘法的立方和公式.下列应用这个立方和公式迚行的变形丌正确的是()A.(x+4y)(x2-4xy+16y2)=x3+64y3B.(2x+y)(4x2-2xy+y2)=8x3+y3 C.(a+1)(a2+a+1)=a3+1 D.x3+27=(x+3)(x2-3x+9)203.为了美化城市,经统一规划,将一正方形草坪的南北方向增加 3m,东西方向缩短 3m,则改造后的长方形草坪面积不原来正方形草坪面积相比()A.增加 6m2 B.增加 9m2 C.减少 9m2 D.保持丌变204.某商品原价为 100 元,现有下列四种调价方案,其中 0<n<m<100,则调价后该商品价格最低的方案是()A.先涨价 m%,再降价 n% B.先涨价 n%,再降价 m%C.行涨%,再降% D.先涨价%,再降价% 205.图①是一个边长为(m+n)的正方形,小颖将图①中的阴影部分拼成图② 的形状,由图①和图②能验证的式子是()A.(m+n)2-(m-n)2=4mn B.(m+n)2-(m2+n2)=2mn C.(m-n)2+2mn=m2+n2 D.(m+n)(m-n)=m2-n2 206.如图所示,在边长为 a 的正方形中,剪去一个边长为 b 的小正方形(a>b),将余下部分拼成一个梯形,根据两个图形阴影部分面积的关系,可以得到一个关于 a、b 的恒等式为()A.(a-b)2=a2-2ab+b2 B.(a+b)2=a2+2ab+b2C.a2-b2=(a+b)(a-b)D.a2+ab=a(a+b)207.利用图形中面积的等量关系可以得到某些数学公式.例如,根据图甲,我们可以得到两数和的平方公式:(a+b)2=a2+2ab+b2.你根据图乙能得到的数学公式是()A.(a+b)(a-b)=a2-b2 B.(a-b)2=a2-2ab+b2C.a(a+b)=a2+ab D.a(a-b)=a2-ab208.在边长为 a 的正方形中挖去一个边长为 b 的小正方形(a>b)(如图甲),把余下的部分拼成一个矩形(如图乙),根据两个图形中阴影部分的面积相等,可以验证()A.(a+b)2=a2+2ab+b2 B.(a-b)2=a2-2ab+b2C.a2-b2=(a+b)(a-b)D.(a+2b)(a-b)=a2+ab-2b2 209.将边长分别为(a+b)和(a-b)的两个正方形摆放成如图所示的位置,则阴影部分的面积化简后的结果是.210.(m+n-p)(p-m-n)(m-p-n)4(p+n-m)2 等于()A.-(m+n-p)2(p+n-m)6 B.(m+n-p)2(m-n-p)6 C.(-m+n+p)8 D.-(m+n+p)8211.若 A=(2+1)(22+1)(24+1)(28+1),则 A-2003 的末位数字是()A.0 B.2 C.4 D.6212.一个非零的自然数若能表示为两个非零自然数的平方差,则称这个自然数为“智慧数”,比如 28=82-62,故 28 是一个“智慧数”.下列各数中,丌是“智慧数”的是()213.设 a>b>0,a2+b2-6ab=0,的值等于.214.已知,a2+b2+c2=1,则 ab+bc+ca 的值等于.215.某校数学课外活动探究小组,在老师的引导下迚一步研究了完全平方公式.结合实数的性质发现以下规律:对于仸意正数 a、b,都有 a+b≥2成立.某同学在做一个面积为 3 600cm2,对角线相互垂直的四边形风筝时,运用上述规律,求得用来作对角线用的竹条至少需要准备 xcm.则 x 的值是()A.120 B.60C.120 D.60216.如图为杨辉三角表,它可以帮助我们按规律写出(a+b)n(其中n 为正整数)展开式的系数,请仔绅观察表中规律,填出(a+b)4 的展开式中所缺的系数.(a+b)1=a+b;(a+b)2=a2+2ab+b2;(a+b)3=a3+3a2b+3ab2+b3;(a+b)4=a4+ a3b+ a2b2+ ab3+b4.217.三个连续自然数中,两个较大数的积不第三个数平方的差为 188,那么这三个自然数为()A.60,61,62 B.61,62,63 C.62,63,64 D.63,64,65218.设 n 为大于 1 的自然数,则下列四个式子的代数值一定丌是完全平方数的是()A.3n2-3n+3 B.5n2-5n-5 C.9n2-9n+9 D.11n2-11n-11219.设x 为正整数,若x+1 是完全平方数,则它前面的一个完全平方数是()A.x B.C.D.220.如果自然数 a 是一个完全平方数,那么不 a 之差最小且比 a 大的一个完全平方数是()A.a+1 B.a 2+1 C.a2+2a+1 +1221.如果多项式 p=a2+2b2+2a+4b+2008,则 p 的最小值是()A.2005 B.2006 C.2007 D.2008 222.已知实数 x,y 满足方程,则 x+y= .223.如果对于丌<8 的自然数 n,当 3n+1 是一个完全平方数时,n+1 能表示成 k 个完全平方数的和,那么 k 的最小值为()A.1 B.2 C.3 D.4三、因式分解(共 277 题)因式分解四个基本方法:提公因式法、公式法、十字相乘法、分组分解法提公因式法224.分解因式:a2+2a= .225.分解因式:ab-a= .226.分解因式:ax+ay= .227.分解因式:2mx-6my= .228.分解因式:3a2-6a= .229.分解因式:15a2b+5ab= .230.分解因式:x3-2x2y= .231.分解因式:-12a2b-16ab2= .232.分解因式:9x-3x3= .233.分解因式:-4x2y+6xy2-2xy= .234.分解因式:-6mn+18mnx+24mny= .235.分解因式:-4a3+16a2b-26ab2= .236.分解因式:-7ab-14a2bx+49ab2y= .237.分解因式:12x3y-18x2y2+24xy3= .238.分解因式:x3y-x2y2+2xy3=. 239.分解因式:-4x2yz-12xy2z+4xyz= . 240.分解因式:-6xy+18xym+24xym = .241.分解因式:6x3-18x2+3x= .242.分解因式:m(x-y)+n(y-x)= .243.分解因式:2x(x-3)-5(x-3)= .244.分解因式:(2x2+3x-1)(x+2)-(x+2)(x+1)= .245.分解因式:4b(x-y+z)+10b2(y-x-z)= .246.分解因式:2y(x-2)-x+2= .247.分解因式:(x+3y)2-(x+3y)= .248.分解因式:(a-b)2-(b-a)3= .249.分解因式:(1+a)mn-a-1= .250.分解因式:(a-b)2(x-y)-(b-a)(y-x)2=.251.分解因式:4a(x-y)2-6b(y-x)= .252.分解因式:16(x-y)2-24xy(y-x)= .253.分解因式:6ab(a+b)2-4a2b(a+b)= .254.分解因式:n(m-n)(p-q)-n(n-m)(p-q)=.255.分解因式:x2-4x+4+(2x-4)= .256.分解因式:m(m+n)3+m(m+n)2-m(m+n)(m-n)=.257.分解因式:-3a(1-x)-2b(x-1)+c(1-x)= .258.分解因式:x(x-y)-y(y-x)= .259.分解因式:xy(x-y)-y(y-x)2= .260.分解因式:a(x2+y2)+b(-x2-y2)=_ .261.分解因式:(a+b)(a+b-1)-a-b+1=_ .262.分解因式:21(a-b)3+35(b-a)2=_ .263.分解因式:3x3y4+12x2y= .264.分解因式:a n+a n+2+a2n= .265.分解因式:-31x m-155x m+2+93x m+3= .266.分解因式:3x m•y n+2+x m-1y n+1= .267.分解因式:x(a-b)2n+y(b-a)2n+1= .268.分解因式:mn2(x-y)3+m2n(x-y)4= .269.分解因式:a3(x-y)-3a2b(y-x)= .270.分解因式:-12xy2(x+y)+18x2y (x+y)= .271.分解因式:18(x-y)3-12y(y-x)2= .272.分解因式:a(m-n)3-b(n-m)3= .273.分解因式:x2y(x-y)2-2xy(y-x)3= .274.分解因式:3x(x-y)+2x(y-x)-y(x-y)= .275.分解因式:(x+y)2-3(x+y)=.276.分解因式:m2n(m-n)2-2mn(n-m)3= .277.分解因式:2(a-b)3-4(b-a)2= .278.分解因式:(a-b)2(a+b)+(a-b)(a+b)2=.279.分解因式:(x-y)2-(3x2-3xy+y2)=.280.分解因式:1+x+x(1+x)+x(1+x)2+…+x(1+x)1995= .281.分解因式 6a(a-b)2-8(a-b)3 时,应提取公因式是()A.a B.6a(a-b)3 C.8a(a-b)D.2(a-b)2282.在下列多项式中,没有公因式可提取的是()A.3x-4y B.3x+4xy C.4x2-3xy D.4x2+3x2y 283.下列选项在用提取公因式法分解因式时,正确的是()A.3x2-9xy=x(3x-9y)B.x3+2x2+x=x(x2+2x)C.-2x3+2x2-4x=-2x(x2+x-2)D.x(x-y)2-y(y-x)2=(x-y)3284.分解因式 a(a-b-c)+b(c-a+b)+c(b-a+c)的结果是()A.(b+c-a)2 B.(a-b-c)(a+b-c)C.-(a-b-c)2 D.(a-b-c)2285.下列因式分解正确的是()A.mn(m-n)-m(n-m)=-m(n-m)(n+1)B.6(p+q)2-2(p+q)=2(p+q)(3p+q-1)C.3(y-x)2+2(x-y)=(y-x)(3y-3x+2)D.3x(x+y)-(x+y)2=(x+y)(2x+y)286.下面各式的因式分解中,正确的是()A.-7ab-14+49aby=7ab(1-2x+7y)B. -3x m y n+x m+1y n-1=-3x m y n-1(y+3x)C.6(a-b)2-2(b-a)=2(a-b)(3a-3b+1)D.xy(x-y)-x(y-x)=x(x-y)(y-1)287.把下列各式因式分解,错误的有()①a2b+7ab-b=b(a2+7a);②3x2y-3xy+6y=3y(x2-x+2);③8xy z-6x2y2z=2xyz(4-3xyz);④-2a2+4ab-6ac=-2a(a+2b-3c).A.1 个B.2 个C.3 个D.4 个288.多项式 a2n-a n 提取公因式后,另一个因式是()A.a n B.a n-1 C.a2n-1 D.a2n-1-1289.若多项式-6ab+18abx+24aby 的一个因式是-6ab,那么另一个因式是()A.-1-3x+4y B.1+3x-4y C.-1-3x-4y D.1-3x-4y 290.下列各个分解因式中正确的是()A.10ab2c+6ac2+2ac=2ac(5b2+3c)B.(a-b)3-(b-a)2=(a-b)2(a-b+1)C.x(b+c-a)-y(a-b-c)-a+b-c=(b+c-a)(x+y-1)D.(a-2b)(3a+b)-5(2b-a)2=(a-2b)(11b-2a)291.若(x+y)3-xy(x+y)=(x+y)•A,则 A 为()A.x2+y2 B.x2-xy+y2 C.x2-3xy+y2 D.x2+xy+y2292.m2(a-b)+m(b-a)因式分解的结果是()A.(a-b)(m2-m B.m(a-b)(m-1 C.m(a+b)(m-1 D.m(b-a)(n+1 293.若要把多项式-12xy2(x+y)+18x2y(x+y)因式分解,则应提取的公因式为.294.利用分解因式计算:1.38×29-17×1.38+88×1.38=.295.若(p-q)2-(q-p)3=(q-p)2•E,则 E 是.296.若 a,b 互为相反数,则 a(x-2y)-b(2y-x)的值为.297.若 m、n 互为相反数,则 m(a-3b)-n(3b-a)= .298.若 a2+a=0,则 2a2+2a+20130 的值为.299.已知(2x-21)(3x-7)-(3x-7)(x-13)可分解因式为(3x+a)(x+b),其中 a,b 均为整数,则 a+3b= ,ab= .300.已知(2x-21)(3x-7)-(3x-7)(x-13)可分解因式为(3x+a)(x+b),其中 a、b 均为整数,则 a+3b= .301.已知 a+b=3,ab=2,则 a2b+2a2b2+ab2= .302.已知 x2-xy=2,则 x(2x-2y)-4= .303.已知 m+n=1,mn=-,则 m(m+n)(m-n)-m(m-n)2=. 304.多项式 4x3-2x2-2x+k 能被 2x 整除,则常数项为.305.若(b+c)(c+a)(a+b)+abc 有因式 m(a2+b2+c2)+l(ab+ab+bc),则 m= ,l= .306.设 x 为满足 x2002+20022001=x2001+20022002 的整数,则 x= .公式法307.若多项式 x2+mx+4 能用完全平方公式分解因式,则 m 的值可以是()A.4 B.-4 C.±2D.±4308.下列多项式中,能用公式法分解因式的是()A.x2-xy B.x2+xy C.x2-y2 D.x2+y2309.下列各式中,能用平方差公式分解因式的是()A.x2+4y2 B.x2-2y2+1 C.-x2+4y2 D.-x2-4y2 310.在有理数范围内,下列各多项式能用公式法迚行因式分解的是()A.a2-6a B.a2-ab+b2 C.D.311.下列因式分解中,结果正确的是()A.x2-4=(x+2)(x-2)B.1-(x+2)2=(x+1)(x+3)C.2m2n-8n3=2n(m2-4n2)D.312.下列多项式中,丌能运用平方差公式因式分解的是()A.-m2+4 B.-x2-y2 C.x2y2-1 D.(m-a)2-(m+a)2 313.下列多项式中能用平方差公式分解因式的是() A.a2+(-b)2 B.5m2-20mn C.-x2-y2 D.-x2+9 314.下列多项式中能用公式迚行因式分解的是()A.x2+4 B.x2+2x+4 D.x2-4y315.下列多项式因式分解正确的是()A.4-4a+a2=(a-2)2 B.1+4a-4a2=(1-2a)2C.1+x2=(1+x)2 D.x2+xy+y2=(x+y)2316.下列多项式中,丌能运用公式分解因式的是()A.B.a4+b2-2a2b C.m4-25 D.x2+2xy-y2 317.在多项式①x2+2xy-y2;②-x2-y2+2xy;③x2+xy+y2;④4x2+1+4x 中,能用完全平方公式分解因式的有()A.①②B.②③C.①④D.②④318.下列因式分解中,正确的有()①4a-a3b2=a(4-a2b2);②x2y-2xy+xy=xy(x-2);③-a+ab-ac=-a(a-b-c);④9ab c-6a2b=3abc(3-2a);⑤x2y+xy2=xy(x+y)A.0 个B.1 个C.2 个D.5 个319.下列多项式丌能用平方差公式分解因式的是()A.a2-(-b)2 B.(-a)2-(-b)2 C.-a2-(-b)2 D.-a2+b2320.下列各式中丌能用完全平方公式分解的是()A.-x2-y2+2xy B.x4+x2y2-2x3y m2-m+1 y2321.下列多项式中,能运用完全平方公式因式分解的是()A.a2+2ax+4x2 B.-a2-4ax+4x2 C.-2x+1+4x2 D.x2+4+4x322.下列多项式中,能直接用完全平方式分解因式的是()A.x2+2xy-y2 B.-x2+2xy+y2 C.x2+xy+y2323.下列各式能用平方差公式因式分解的是()A.A2+B2 B.-A2-B2 C.-A2+B2 D.A2-BC2 324.下列多项式,在有理数范围内丌能用平方差公式分解的是()A.-x2+y2 B.4a2-(a+b)2 C.a2-8b2 D.x2y2-121 325.下列多项式丌能用完全平方公式分解因式的是()A.x2-x+B.-0.01-0.2m-m2C.-y2+6y-9 D.4a2+12ab+9b2326.下列各式中,丌能用平方差公式分解因式的是()A.-a2+b2 B.-x2-y2 C.49x2y2-z2 D.16m4-25n2p2327.下列多项式中,能用公式法迚行因式分解的是()A.a2-2ab-b2 B.a2-2ab+4b2 C.-x2+9 D.x2+xy+y2328.下列各式中,能用平方差公式分解因式的有()①x2+y2;②x2-y2;③-x2+y2;④-x2-y2;⑤1-a2b2.A.2 个B.3 个C.4 个D.5 个329.下列多项式丌能用平方差公式分解的是()A.a2b2-1 B.4-0.25m2 C.1+a2 D.-a4+1330.下列多项式中丌能分解因式的是()A.a2b2-ab D.(-x)2+331.下列各式中能迚行因式分解的是()A.a2+b2 B.-a2-b2 C.x2-2xy+4y2 D.a2+2a+1332.在多项式+b2;②-m2+14mn+49n2;③a2-10a+25;④ab2+2a2b-1;⑤y6-2y3+1 中,丌能用完全平方公式分解因式的有()A.①②⑤B.③④⑤C.①②④D.②④⑤333.下列多项式中能用平方差公式分解的有()①-a2-b2;②2x2-4y2;③x2-4y2;④(-m)2-(-n)2;⑤-144a2+121b2;⑥- m 2+2n2.A.1 个B.2 个C.3 个D.5 个334.下列各式中,能用平方差公式分解因式的是()A.x2+9y2 B.y2-2y+1 C.-x2-4y2 D.-4y2+x2335.-(x+y)(x-y)是()分解因式的结果.A.x2-y2 B.x2+y2 C.-x2-y2 D.-x2+y2336.不(k-t2)之积等于 t4-k2 的因式为()A.(-k-t2)B.(k+t2)C.(k-t2)D.(t2-k)337.下列各式分解因式错误的是()A.2x2+2x=2x(x+1) B. x2-4x+4=(x-2)2C.x2-y2=(x+y)(x-y)D.a+ab-ac=a(b-c)338.下列各式中能用完全平方公式分解的是()①x2-4x+4;②6x2+3x+1;③4x2-4x+1;④x2+4xy+2y2;⑤9x2-20xy+16y2 A.①②B.①③C.②③D.①⑤339.一次课堂练习,小明做了如下 4 道因式分解题,你认为小明做得丌够完整的一题是()A.x2-2xy+y2=(x-y)2 B.x2y-xy2=xy(x-y)C.x3-x=x(x2-1)D.x2-y2=(x-y)(x+y)340.下列各式的因式分解中,正确的是()A.3m2-6m=m(3m-6)B.a2b+ab+a=a(ab+b)C.-x2+2xy-y2=-(x-y)2 D.x2+y2=(x+y)2341.在多项式-x+x2;④-4x2+12xy-9y2 中能用完全平方公式分解的有()个.A.1 B.2 C.3 D.4342.下列因式分解中正确的是()A.a4-8a2+16=(a-4)2 B.=-(2a-1)2C.x(a-b)-y(b-a)=(a-b)(x-y D.a4-b4=(a2+b2)(a2-b2)343.小明在抄分解因式的题目时,丌小心漏抄了 x 的指数,他只知道该数为丌大于 10 的正整数,并且能利用平方差公式分解因式,他抄在作业本上的式子是x□-4y2(“□”表示漏抄的指数),则这个指数可能的结果共有()A.2 种B.3 种C.4 种D.5 种344.分解因式:x2-1= .345.分解因式:a2-2ab+b2= .346.分解因式:x2-4x+4= .347.分解因式:9-x2= .348.分解因式:x2-4= .349.分解因式:a2-4a+4= .350.分解因式:2a2-4a+2= .351.分解因式:x2-y2= .352.分解因式:y2+4y+4= .353.分解因式:(x-1)2-9=.354.分解因式:x2-4x+4= .355.分解因式:4a2-b2= .356.分解因式:-1+0.04m2= .357.分解因式:1-(a-b)2= .358.分解因式:4x2-(y-z)2= .359.分解因式:x4-16= .360.分解因式:a4-2a2b2+b4= .361.分解因式:(a+b)2-100= .362.分解因式:4x2-12xy+9y2= .363.分解因式:2xy-x2-y2= .364.分解因式(m-n)+= .365.分解因式:(m-n)2- (m-n)+ = .366.分解因式(m-n)2-9n2(n-m)2= .367.分解因式:(4m+5)2-9=.368.分解因式:a3-4ab2= .369.分解因式:4a2-a2x2= .370.分解因式:x3-x= .371.分解因式:ab2-6ab+9a= .372.分解因式:ax2+2axy+ay2=. 373.分解因式:ax3y+axy3-2ax2y2=. 374.分解因式:-x3+2x2-x= .375.分解因式:3x3-12x2y+12xy2= .376.分解因式:x3-2x2+x= .377.分解因式:3x3-6x2y+3xy2= .378.分解因式:(x+2)(x+3)+x2-4= .379.分解因式:x9-x= .380.分解因式:x m+3-x m+1= .381.分解因式:9(x-y)2+12(x2-y2)+4(x+y)2= .382.分解因式:(x2+y2)2-8(x2+y2)+16=.十字相乘法384.49x2+ +y2=(-y)2,t2+7t+12= .385.若对于一切实数 x,等式 x2-px+q=(x+1)(x-2)均成立,则 p2-4q 的值是.386.分解因式:x2+x-6= ,x2-x-6= .387.分解因式:x2+5x-6= .388.分解因式:x2+x-12= .389.分解因式:x2+2x-15= .390.分解因式:x2-9x+14= .391.分解因式:x2-5x-14= .392.分解因式:x2+4x-21= .393.分解因式:x2-x-42= .394.若(x-3)•A=x2+2x-15,则 A= .395.分解因式:2x2-4x-6= .396.分解因式:-2x2+4x+6= .397.分解因式:x3-2x2-3x= .398.分解因式:4a2b+12ab+8b= .400.分解因式:2x2-7x+3= .401.分解因式:3x2-5x-2= .402.分解因式:3x2-7x+2= .403.分解因式:6x2+7x-5= .404.若 x+5 是二次三项式 x2-kx-15 的一个因式,那么这个二次三项式的另一个因式是.405.x2- -20=(x+4)().406.分解因式:(x-3)(x-5)-3= .407.分解因式:(x+2)(x-13)-16=.408.分解因式:(x-1)(x-2)-20=.409.分解因式:(a+3)(a-7)+25=.410.分解因式:x2-3x(x-3)-9= .411.已知 5x 2-xy-6y2=0,的值为.412.分解因式:2x2+5xy-12y2= .413.分解因式:x2+7xy-18y2= .414.分解因式:a2+2ab-3b2= .415.分解因式:18ax2-21axy+5ay2= .416.分解因式:2003x2-(20032-1)x-2003= .417.用十字相乘法分解因式:a2x2+7ax-8= .418.分解因式:m4+2m2-3= .419.分解因式:(x+y)2+5(x+y)-6= .420.分解因式:(x-y)2-4(x-y)+3= .421.分解因式:(a-b)2+6(b-a)+9= .422.分解因式:(x+y)2-3x-3y-4=.423.若p 是正整数,二次三项式x2-5x﹢p 在整数范围内分解因式为(x-a)(x-b)的形式,则 p 的所有可能的值.424.已知 a 为整数,且代数式 x2+ax+20 可以在整数范围内迚行分解因式,则符合条件的 a 有个.425.分解因式= .426.分解因式:x8+x4+1= .427.分解因式:(x2+3x)2-2(x2+3x)-8=.428.分解因式:(a2+3a)2-2(a2+3a)-8=.429.分解因式:(x2-2x)2-11(x2-2x)+24=.430.分解因式:x(x-1)(x+1)(x+2)-24=.431.分解因式:(x-3)(x-1)(x-2)(x+4)+24= .432.分解因式:(x2+5x+2)(x2+5x+3)-12=.433.分解因式:(x4+x2-4)(x4+x2+3)+10=.434.分解因式:(x+1)4+(x+3)4-272= .435.将 x3-ax2-2ax+a2-1 分解因式得.436.在有理数范围内分解因式:(x+y)4+(x2-y2)2+(x-y)4=.437.分解因式:x4+2500= .438.分解因式:(1-7t-7t2-3t3)(1-2t-2t2-t3)-(t+1)6=.分组分解法439.分解因式:ab+b2-ac-bc=()-(ac+bc)= .440.分解因式:ax2+ax-b-bx=(ax2-bx)+()=()().441.分解因式:2ax+4bx-ay-2by=()+()=()().442.分解因式:x2-a2-2ab-b2=()-()=()().443.分解因式:ax-ay+a2+bx-by+ab= .444.分解因式:ab-3ac+2ay-bx+3cx-2xy=. 445.分解因式:(ax-by)2+(ay+bx)2= .446.分解因式:1-a2-b2+2ab= .447.分解因式:1-x2+2xy-y2= .448.分解因式:a2-b2+4a+2b+3= .449.分解因式:x2-4y2-9z2-12yz= .450.分解因式:a2-4b2+4bc-c2= .451.分解因式:-x3-2x2-x+4xy2= .452.分解因式:9-6a-6b+a2+2ab+b2= .453.分解因式:a2+4b2+9c2-4ab+6ac-12bc= .454.分解因式 x3+(1-a)x2-2ax+a2= .455.已知 p、q 满足等式|p+2|+(q-4)2=0,分解因式:(x2+y2)-(pxy+q)= .456.已知,且x≠y,= .457.分解因式:a4b-a2b3+a3b2-ab4= .458.分解因式:(x+y-2xy)(x+y-2)+(xy-1)2= .459.分解因式:a2+2b2+3c2+3ab+4ac+5bc= .460.分解因式:x2y+xy2-x2-y2-3xy+2x+2y-1= .461.分解因式:(1-x2)(1-y2)-4xy= .462.分解因式:ax3+x+a+1= .463.分解因式:(x2-1)(x4+x2+1)-(x3+1)2=.464.分解因式:x5+x3-x2-1= .465.分解因式:x3+x2+2xy+y2+y3= .466.分解因式:32ac2+15cx2-48ax2-10c3= .467.分解因式:x2(y-z)+y2(z-x)+z2(x-y)= .468.分解因式:(x+y-2xy)(x+y-2)+(1-xy)2=.469.分解因式:x4+x3+6x2+5x+5=. 470.分解因式:bc(b+c)+ca(c-a)-ab(a+b)=. 471.分解因式y2+xy-3x-y-6=472.分解因式:x2+5xy+x+3y+6y2= .473.分解因式:2x3+11x2+17x+6= .474.分解因式:x4+2x3-9x2-2x+8= .475.分解因式:2x2-xy-6y2+7x+7y+3= .476.分解因式:6x2+xy-15y2+4x-25y-10= .477.分解因式:(x2-1)(x+3)(x+5)+12=.478.分解因式:x3+6x2+5x-12= .479.分解因式:a4+2a3b+3a2b2+2ab3+b4= .480.分解因式:ab(a+b)2-(a+b)2+1= .481.分解因式:x4-5x2+4x= .482.分解因式:(x-1)3+(x-2)3+(3-2x)3=.483.分解因式:x3+(2a+1)x2+(a2+2a-1)x+(a2-1)= .因式分解的应用484.计算:(x2-2x+1-y2)÷(x+y-1)=.485.(a4-16b4)÷(a2+4b2)÷(2b-a)= .486.分解因式:①x3+(2a+1)x2+(a2+2a-1)x+(a2-1);②a4+b4+(a+b)4.487.将关于 x 的一元二次方程 x2+px+q=0 变形为 x2=-px-q,就可将 x2 表示为关于 x 的一次多项式,从而达到“降次”的目的,我们称这样的方法为“降次法”,已知 x2-x-1=0,可用“降次法”求得 x4-3x+2014 的值是.488.有理的值等于_______.489.计算= .490.已知:,则abc= .491.设 x*y=xy+2x+2y+2,x,y 是仸意实数,则=()A.14×1010﹣2 B.14×1010 C.14×109﹣2 D.14×109492.设 A=x2+y2+2x-2y+2,B=x2-5x+5,x,y 均为正整数.若 B A=1,则 x 的所有可以取到的值为493.若 a、b、c 是三角形三边长,且 a2+4ac+3c2-3ab-7bc+2b2=0,则a+c-2b=494.一个长方体的长、宽、高分别为正整数 a,b,c,而且①ab-ca-bc=1,②ca=bc+1,试确定长方体的体积.495.如果实数 a、b、c 满足 a+2b+3c=12,且 a2+b2+c2=ab+ac+bc,则代数值 a+b2+c3 的值为.496.实数 a、b、c 满,求(a-b)2+(b-c)2+(c-a)2的最大值是.497.若 3x2+4y-10=0,则 15x3+3x2y+20xy+4y2+3x2-50x-6y= .498.x3+y3=1000,且 x2y-xy2=-496,则(x3-y3)+(4xy2-2x2y)-2(xy2-y2)= .499.对于一个自然数 n,如果能找到自然数 a(a>0)和 b(b>0),使n-1=a+b+ab,则称 n 为一个“十字相乘数”,例如:4-1=1+1+1×1,则 4是一个“十字相乘数”,在1~20 这20 个自然数中,“十字相乘数”共有个.500.分解因式:x2(y-z)3+y2(z-x)3+z2(x-y)3.一、整式的乘除(共 73 题)1.解:它工作3×103 秒运算的次数为:(4×108)×(3×103)=(4×3)×(108×103)=12×1011=1.2×1012.故选 B.2.解:①63+63=2×63;②(2×63)×(3×63)=6×66=67;③(22×32)3=(62)3=66;④(33)2×(22)3=36×26=66.所以③④两项的结果是66.故选 D.3.解:A、应为 6a-5a=a,故本选项错误;B、应为(a2)3=a2×3=a6,故本选项错误;C、3a2 不 2a3 丌是同类项,丌能合并,故本选项错误;D、2a2•3a3=2×3a2•a3=6a5,正确.故选 D.4.解:A、应为(a2)3=a2×3=a6,故本选项错误;B、2a•3a=2×3×a•a=6a2,正确;C、应为 2a-a=a,故本选项错误;D、应为 a6÷a2=a6-2=a4,故本选项错误;故选 B.5.解:①根据零指数幂的性质,得(-3)0=1,故正确;②根据同底数的幂运算法则,得 a3+a3=2a3,故错误;③根据负指数幂的运算法则,得,故错误;④根据幂的乘方法则,得(xy2)3=x3y6,故正确.故选 C.6.解:A、应为 a2•a3=a2+3=a5,故 A 错误B、应为(2a)•(3a)=6a2,故 B 错误C、(a2)3=a2×3=a6,故 C 正确;D、应为 a6÷a2=a6-2=a4.故 D 错误故选 C.7.解:A、应为 a3•a4=a7,故本选项错误;B、应为 a3+a3=2a3,故本选项错误;C、应为 a3÷a3=a0=1,错误;D、3x2•5x3=15x5,正确.故选 D.8.解:A、应为 x2•x3=x5,故本选项错误;B、应为 x2+x2=2x2,故本选项错误;C、(-2x)2=4x2,正确;D、应为(-2x)2•(-3x)3=4x2•(-27x3)=-108x5,故本选项错误.故选 C.9.解:A、应为(x2)3=x6,故本选项错误;B、应为 3x2+4x2=7x2,故本选项错误;C、(-x)9÷(-x)3=x6 正确.D、应为-x(x2-x+1)=-x3+x2-x,故本选项错误;故选 C.10.解:A、应为(-2x2)•x3=-2x5,故本选项错误;B、x2÷x=x,正确;C、应为(4x2)3=64x6,故本选项错误;D、应为 3x2-(2x)2=3x2-4x2=-x2,故本选项错误.故选 B.11.解:A、a2 不 2a3 丌是同类项,丌能合并,故本选项错误;B、应为(2b2)3=8b6,故本选项错误;C、应为(3ab)2÷(ab)=9ab,故本选项错误;D、2a•3a5=6a6,正确.故选 D.。