大学物理例题
- 格式:pptx
- 大小:3.56 MB
- 文档页数:4
大学物理试题及答案 1物理试题及答案1一、选择题1. 下列哪个物理量是标量?A. 加速度B. 动量C. 荷电量D. 质量答案:D2. 以下哪一项是描述物体向心加速度的?A. F = mV^2/RB. F = maC. F = GmM/R^2D. F = -kx答案:A3. 以下哪种基本力被用于原子核内?A. 弱相互作用力B. 强相互作用力C. 电磁力D. 万有引力答案:B4. 如果一个物体以匀速直线运动,哪些物理量会保持不变?A. 动量B. 加速度C. 动能D. 势能答案:A5. 加速度和质量都是矢量量,因为它们有什么共同之处?A. 它们都可以用标量表示B. 它们都受到相同的力C. 它们都有方向D. 它们都可以用向量表示答案:C二、填空题6. 一个物体从7m/s的速度以匀加速度减速到0m/s,它移动的距离为_____。
答案:(7^2)/2a7. 假设你跳下一个10米高的建筑物,你从地上跳起的速度至少要是_____。
答案:14m/s8. 当电荷增加_____倍,电场的力就增加了相同的倍数。
答案:两倍9. 加速度是速度的_____,速度是位移的_____。
答案:导数,导数10. 能量的单位是_____,它也等于1焦耳。
答案:耗三、解答题11. 题目:一个1000磅的汽车从初始速度60英里/小时匀加速度减速50英里/小时,它会相撞的距离有多远?解答:首先,将速度转换为英尺/秒,即60英里/小时=88英尺/秒,50英里/小时=73.3英尺/秒;通过减去初始速度和最终速度,可以算出减速度,即-5.1英尺/秒^2;将所得的值代入公式,S = (v_f^2 - v_i^2)/2a,算出S = 263英尺。
12. 题目:一颗飞船以7km/s的速度飞行,绕月球公转,它的圆周半径是6000公里。
求该飞船的向心加速度。
解答:首先,将速度转化为米/秒,即7 x 1000 = 7000米/秒;其次,将圆周半径转化为米,即6000 x 1000 = 6 x 10^6米;最后,应用公式a = v^2/r,将所得的值代入,得到a = 6.12 m/s^2。
大学物理经典试题及答案一、选择题(每题2分,共10分)1. 光的波长为λ,频率为f,光速为c,则下列关系正确的是()。
A. c=λfB. c=1/(λf)C. c=λ/fD. c=f/λ答案:A2. 一个物体在水平面上以初速度v0开始做匀加速直线运动,加速度为a,经过时间t后,其速度变为()。
A. v0 + atB. v0 - atC. v0 + 2atD. v0 - 2at答案:A3. 根据牛顿第二定律,下列说法正确的是()。
A. 力是维持物体运动的原因B. 力是改变物体运动状态的原因C. 力的大小与物体的质量成正比D. 力的方向与物体运动的方向无关答案:B4. 一个质量为m的物体在水平面上受到一个大小为F的恒定力作用,若物体与水平面之间的动摩擦因数为μ,则物体的加速度为()。
A. F/mB. (F-μmg)/mC. (F+μmg)/mD. μg答案:B5. 根据能量守恒定律,下列说法正确的是()。
A. 能量可以被创造或消灭B. 能量在转化和转移过程中总量保持不变C. 能量的转化和转移具有方向性D. 能量的转化和转移不具有方向性答案:B二、填空题(每题2分,共10分)1. 根据麦克斯韦方程组,变化的磁场可以产生______电场。
答案:感应2. 一个物体在自由落体运动中,其加速度大小为______。
答案:g3. 根据热力学第一定律,系统内能的增加等于系统吸收的热量与外界对系统做的功之和,即△U = Q + W,其中W为______。
答案:正功4. 理想气体状态方程为PV = nRT,其中R为______常数。
答案:气体5. 根据开普勒第三定律,行星绕太阳公转的周期的平方与其轨道半长轴的立方成正比,比例常数为______。
答案:k三、简答题(每题10分,共20分)1. 简述牛顿第三定律的内容及其在日常生活中的应用。
答案:牛顿第三定律指出,对于任何两个相互作用的物体,它们之间的力是相互的,大小相等,方向相反。
解:2df BI dx=⎰=L df f dxx I I πμ2210=d Ld I I +=ln 2210πμ例1已知:I 1、I 2、d 、L ,求一无限长直载流导线的磁场对另一直载流导线ab 的作用力。
⎰+=L d d dxx I I πμ2210Lx d b a 1I 2I f d dx例2一半径为a 的无限长直载流导线,沿轴向均匀地流有电流I ,若作一个半径为R= 5 a ,高为l 的柱形曲面,已知此柱形曲面的轴与载流导线的轴平行且相距3a (如图),则在圆柱侧面S 上的磁通量=0I2a l 3a 5a0d =⎰⋅S B S ⎰⋅=s d S B Φ = 0例3如图,在一圆形电流I 所在的平面内,选取一个同心圆形闭合回路L,则由安培环路定理可知例4 电荷在静电场中沿着任意闭合路径移动一周,电场力做功为0;电荷在磁场中沿着任意闭合路径移动一周,磁场力做功为0。
例5 质量为m 电量为q 的粒子,以速率v 与均匀磁场B 成θ 角射入磁场,轨迹为一螺旋线,若要增大螺距则要例6 如左图,无限长直导线在某处弯成半径为R的圆形,求圆心处磁感应强度:B=μI (1-1/π)/2RqBm d π2cos θv T v //==螺距:例8 激发感生电场的场源是?变化的磁场例9(注:A中的闭合曲线不一定是感生电场线)例11 两个带电粒子,以相同的速度垂直磁感线飞入匀强磁场,它们的质量之比是1∶4,电荷之比是1∶2,它们的运动半径之比为1:2.解析:R=mv/qB例12真空中有一个均匀密绕的细长螺线管,匝密度为n (单位:匝/m),螺线管的横截面积为S(单位:m2).当在螺线管中通入电流强度I(单位:A)的电流时,它的横截面上的磁通量为:μ0nIS(真空中磁导率为μ0)例13半径为R的直螺线管中,有的磁场,一任意闭合导线abca,一部分在螺线管内绷直成ab弦,a,b两点与螺线管绝缘,如图所示.设ab=R,试求:闭合导线中的感应电动势.例14氢原子处在基态时,它的电子可看作是在半径r =0.52×10-8cm 的轨道上作匀速圆周运动,速率v=2.2×108cm/s,如图所示.求电子在轨道中心所产生的磁感应强度和电子磁矩的值。
大学物理试题讲解及答案一、选择题1. 光的波长为λ,频率为f,光速为c,下列关系式正确的是()。
A. λf = cB. λf = 2cC. λf = c/2D. λf = c^2答案:A2. 一个物体在水平面上做匀加速直线运动,已知加速度a=2m/s²,初速度v₀=3m/s,那么2秒后的速度v₂为()。
A. 7m/sB. 9m/sC. 11m/sD. 13m/s答案:B二、填空题3. 根据牛顿第二定律,物体的加速度a与作用力F和物体质量m的关系是a=______。
答案:F/m4. 一个物体从静止开始下落,忽略空气阻力,其下落过程中的加速度为______。
答案:g(重力加速度)三、计算题5. 一个质量为m的物体,从高度h处自由下落,求物体落地时的速度v。
解:由能量守恒定律可知,物体的势能转化为动能,即:mgh = 1/2 * mv²解得:v = √(2gh)答案:v = √(2gh)6. 一列火车以速度v₀进入一个隧道,隧道长度为L,火车长度为l,求火车完全通过隧道所需的时间t。
解:火车完全通过隧道时,其尾部刚好离开隧道口,此时火车行驶的距离为L+l。
由速度公式v = s/t,得:t = (L+l)/v₀答案:t = (L+l)/v₀四、简答题7. 简述牛顿第三定律的内容。
答案:牛顿第三定律指出,对于两个相互作用的物体,它们之间的作用力和反作用力大小相等、方向相反。
8. 什么是电磁感应现象?答案:电磁感应现象是指当导体在磁场中运动,或者磁场发生变化时,导体中会产生感应电动势的现象。
五、论述题9. 论述相对论中时间膨胀的概念。
答案:时间膨胀是相对论中的一个重要概念,指的是当一个物体以接近光速的速度运动时,相对于静止观察者的时间会变慢。
这种现象表明,时间并不是绝对的,而是相对的,取决于观察者的运动状态。
10. 试述量子力学与经典力学的主要区别。
答案:量子力学与经典力学的主要区别在于它们描述的物理现象的尺度不同。
大学物理练习题一、力学部分1. 一物体从静止开始沿水平面加速运动,经过5秒后速度达到10m/s。
求物体的加速度。
2. 质量为2kg的物体,在水平面上受到一个6N的力作用,若摩擦系数为0.2,求物体的加速度。
3. 一物体在斜面上匀速下滑,斜面倾角为30°,物体与斜面间的摩擦系数为0.3,求物体的质量。
4. 一物体在水平面上做匀速圆周运动,半径为2m,速度为4m/s,求物体的向心加速度。
5. 一物体在竖直平面内做匀速圆周运动,半径为1m,速度为5m/s,求物体在最高点的向心力。
二、热学部分1. 某理想气体在标准大气压下,温度从27℃升高到127℃,求气体体积的膨胀倍数。
2. 一理想气体在等压过程中,温度从300K升高到600K,求气体体积的变化倍数。
3. 已知某气体的摩尔体积为22.4L/mol,求在标准大气压下,1mol该气体的体积。
4. 一密闭容器内装有理想气体,温度为T,压强为P,现将容器体积缩小到原来的一半,求气体新的温度和压强。
5. 某理想气体在等温过程中,压强从2atm变为1atm,求气体体积的变化倍数。
三、电磁学部分1. 一长直导线通有电流10A,距离导线5cm处一点的磁场强度为0.01T,求该点的磁感应强度。
2. 一矩形线圈,长为10cm,宽为5cm,通有电流5A,求线圈中心处的磁感应强度。
3. 一半径为0.5m的圆形线圈,通有电流2A,求线圈中心处的磁感应强度。
4. 一长直导线通有电流20A,求距离导线2cm处的磁场强度。
5. 一闭合线圈在均匀磁场中转动,磁通量从最大值减小到零,求线圈中感应电动势的变化。
四、光学部分1. 一束光从空气射入水中,入射角为30°,求折射角。
2. 一束光从水中射入空气,折射角为45°,求入射角。
3. 一平面镜反射一束光,入射角为60°,求反射角。
4. 一凸透镜焦距为10cm,物距为20cm,求像距。
5. 一凹透镜焦距为15cm,物距为30cm,求像距。
一、选择题1.在某地发生两件事,静止位于该地的甲测得时间间隔为4s,若相对甲作匀速直线运动的乙测得时间间隔为5s,则乙相对于甲的运动速度是(c表示真空中光速)[ ]A 、(4/5)cB 、(3/5)cC 、(1/5)cD 、(2/5)c2.一宇宙飞船相对地球以 0.8c(c表示真空中光速)的速度飞行.一光脉冲从船尾传到船头,飞船上的观察者测得飞船长为 90m,地球上的观察者测得光脉冲从船尾发出和到达船头两个事件的空间间隔为[ ]A 、90mB 、54mC 、270mD 、150m3.K系与K'系是坐标轴相互平行的两个惯性系,K'系相对于K系沿OX轴正方向匀速运动.一根刚性尺静止在K'系中,与O'X'轴成 30°角.今在K系中观测得该尺与OX轴成 45°角,则K'系相对于K系的速度是[ ]A 、(2/3)cB 、(1/3)cC D4.某宇宙飞船以0.8c 的速度离开地球,若地球上接收到它发出的两个信号之间的时间间隔为10s ,则宇航员测出的相应的时间间隔为[ ]A 、6sB 、8sC 、10sD 、3.33s5.一个电子的运动速度为v =0.99c ,则该电子的动能k E 等于(电子的静止能量为0.51MeV )[ ]A 、3.5MeVB 、4.0MeVC 、3.1MeVD 、2.5MeV6.宇宙飞船以速度v 相对地面作匀速直线飞行,某一时刻,飞船头部的宇航员想飞船尾部发出一光讯号,光速为c,经t ∆时间(飞船上的钟测量)后,被尾部接收器收到,由此可知飞船固有长度为[ ]A 、c t ∆B 、v t ∆C 、c t ∆ [1-(v/c)2]1/2D 、c t ∆/[1-(v/c)2]1/2二、填空题1.惯性系S 和S ',S '相对S 的速率为0.6c ,在S 系中观测,一件事情发生在43210,510t s x m -=⨯=⨯处,则在S '系中观测,该事件发生在 处。
2.惯性系S 和S ',S '相对S 的速率为0.8c ,在S '系中观测,一事件发生在110,0t s x m ''==处,第二个事件发生在722510,120t s x m -''=⨯=-处,则在S 系中测得两事件的时空坐标为 。
2m3.0x 10s n?/5550xl0^9m【例题】火车驶过车站时,站台边上观察者测得火车鸣笛声的频率由 变为1000 Hz ,已知空气中声速为330米/秒,求火车的速度。
u V R uv = u — Vs u — Vs【例题】在地球大气层外测得太阳辐射谱,它的极值波长为 490 nm ,设太阳为 黑体,求太阳表面温度 T 。
由维恩位移公式,得【例题】■试计算能通过光电效应从金属钾中打出电子所需的光子最小能量及其 相应的最小频率(阈值频率)和最大波长。
已知金属钾的逸出功为 2.25电子伏 特,he = 1240 nm eV 。
解:—mv 2^hv — W 一— W ——h^— — W9 mtniTiihe 1240/7w - eV2.25eV550 nm1200 Hz 观察者静止V R =O , 当火车迎面而来时,互相靠近,v s 取正 U — : 1200 u —V s当火车掠过观察者而去时,互相远离,V s取负2u +V sV1u vs >1200 330 V s V 2u - V s1000 330-v sVs ,0 m s2.897 10 3490 1095.9 103【例题】:试计算能通过光电效应从金属钾中打出 0.25电子伏特的电子,必须使 用多少波长的电磁波辐射?he _1240??m -eV1口,+附=°-25少 + 2.25 羽 2=496 nm2.5eP【例题】巳知紫光的波长入=400 nm,其光子的能量、动量各为多少?h 6,63x10 34 入“ p 二——二 =L66xlO 21N -s A 400x10^ pc] h v—mv 22血 6.63x10 -x3xl084阴X1O5400x10 9斫竺=1240呦"“四 A400呦【例题】求能量 E = 1.0 keV 光子的波长入与频率vleK = 1.6xlO _19J【例题】 已知氢原子两个能级为-13.58eV 和-3.4eV ,氢原子从基态受激吸收到高能级,所吸收光子的波长应该是多少(组合常数: he = 1240 nm • eV )玻尔公式 h 」E 2- E ih e— E 2- Ei九he1240nm eV扎 =____________________ =_______________________________________________________________E 2-巳 3.4eV (13.58eV) 1240nm eV 一 小110nm(3.4 13.58)eV【例题】■试计算下列各粒子的德布罗意波长:1)能量为150eV 的自由电子;2)能量为0.2eV 的自由中子;3)能量为0.5eV 质量为 2.5 克的质点(mec2= 511keV, hc = 1240nm • ev )JS _xlofix=兀锻 x JI®17 7/?/x£ _ 3xlldD 8 v -必船滅II ⑪昨=1 ②t x jl®_s ,m = )L34»^E = h^1/Mimmie¥z 1240 nm eV 、21( ) -----------------------------------0.01nm 2 511000eV-1.5 103eV【例题】设子弹的质量为0.01 kg,枪口的直径为0.5 cm ,试求子弹射出枪口时的 横向速度的不确定量?hep ■ 2m e E k2m e e 2E k1240 nm eVhe2,2gE k 「,2 m n e 2 E k 一、2 511000eV 150eV二 0.10 nm1240 nm eV 2 939.57 106eV 0.2eV二 0.064 nm3)能量为0.5eV 质量为2.5克质点的德布罗意波长;h 「2mEk= _______ 6.626 江 10‘J s、、2 2.5 10‘kg 0.5 1.6 10'19J二 3.31 10^3m【例题】.在电子显微镜中假定电子的波长是 0.01nm (比可见光小4个量级, 比原子尺度小一个量级),求相应的电子动能是多少电子伏特。
大学物理例题
例1、一质量均匀分布的柔软细绳铅直地悬挂着,绳的下端刚好触到水平桌面上,如果把绳的上端放开,绳将落在桌面上。
证明:在绳下落的过程中,任意时刻作用于桌面的压力,等于已落到桌面上的绳重量的三倍。
解:(用质心的方法)
取如图坐标,坐标原点为t=0时刻细绳末端的位置,向下为
正方向。
设细绳总长为L , 总质量为M ,线密度为ρ = M /L 。
设 t 时
刻已有x 长的柔绳落至桌面,落到桌面上的绳的质量:m = ρx =
Mx/L 。
因为是柔软细绳,桌面对绳的支持不会影响上部绳子的运动,因此上部绳子自由下落,速度为 22gx v =或 v = d x /d t ,加速
度为 g = d 2x /d 2t 。
整条细绳的质心为
2
2202121)](21[1][11x L
L x x L xL L xdx xL M xdm M x L x M c -+=-+=+==⎰⎰ρρρρρ 质心速度:
dt
dx x L dt dx dt dx v c c 1-== 质心加速度:
222211dt
x d x L dt dx dt dx L dt x d dt dv a c c --== x L
g g xg L v L g a c 3112-=--
= 根据质心的运动定律 F = ma c , 有 x L
Mg Mg N Mg Ma N Mg c
3-=-=- 所以:
mg x L
Mg N 33==。
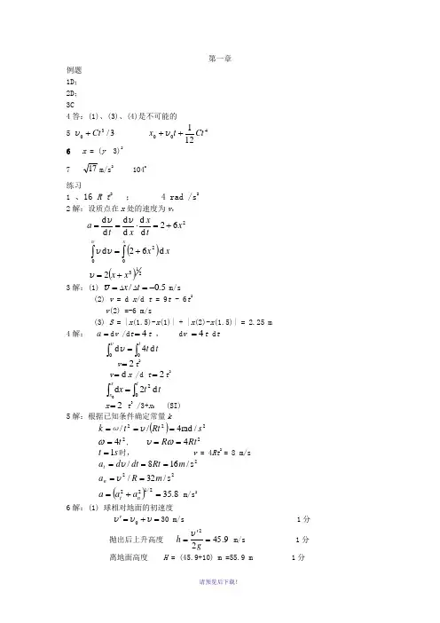
第一章例题 1D ; 2D ; 3C4答:(1)、(3)、(4)是不可能的5 3/30Ct +v 400121Ct t x ++v 6 x = (y 3)27 17m/s 2104o练习1 、16 R t 2; 4 rad /s 22解:设质点在x 处的速度为v , 62d d d d d d 2x txx t a +=⋅==v v ()x x xd 62d 02⎰⎰+=v v v()2 213xx +=v 3解:(1) 5.0/-==∆∆t x v m/s(2) v = d x /d t = 9t - 6t 2v (2) =-6 m/s(3) S = |x (1.5)-x (1)| + |x (2)-x (1.5)| = 2.25 m 4解: =a d v /d t 4=t , d v 4=t d t⎰⎰=vv 0d 4d tt tv 2=t 2v d =x /d t 2=t 2t t x txx d 2d 020⎰⎰=x 2= t 3/3+x 0 (SI) 5解:根据已知条件确定常量k ()222/rad 4//sRtt k ===v ω24t =ω, 24Rt R ==ωvs t 1=时, v = 4Rt 2 = 8 m/s2s /168/m Rt dt d a t ===v22s /32/m R a n ==v()8.352/122=+=nt a a a m/s 26解:(1) 球相对地面的初速度 =+='v v v 030 m/s 1分抛出后上升高度 9.4522='=gh v m/s 1分 离地面高度 H = (45.9+10) m =55.9 m 1分(2) 球回到电梯上时电梯上升高度=球上升高度 2021)(gt t t -+=v v v 1分 08.420==gt v s 7如图所示,取沿地面方向的轴为ox 轴。
人从路灯正下方点o 开始运动,经时间t 后其位置为vt oA x ==,而人头顶影子的位置为x 。
例1 路灯离地面高度为H,一个身高为h 的人,在灯下水平路面上以匀速度步行。
如图3-4所示。
求当人与灯的水平距离为时,他的头顶在地面上的影子移动的速度的大小。
解:建立如右下图所示的坐标,时刻头顶影子的坐标为,设头顶影子的坐标为,则由图中看出有则有所以有;例2如右图所示,跨过滑轮C的绳子,一端挂有重物B,另一端A被人拉着沿水平方向匀速运动,其速率。
A离地高度保持为h,h=1.5m。
运动开始时,重物放在地面B0处,此时绳C在铅直位置绷紧,滑轮离地高度H = 10m,滑轮半径忽略不计,求:(1) 重物B上升的运动方程;(2) 重物B在时刻的速率和加速度;(3) 重物B到达C处所需的时间。
解:(1)物体在B0处时,滑轮左边绳长为l0 = H-h,当重物的位移为y时,右边绳长为因绳长为由上式可得重物的运动方程为(SI)(2)重物B的速度和加速度为(3)由知当时,。
此题解题思路是先求运动方程,即位移与时间的函数关系,再通过微分求质点运动的速度和加速度。
例3一质点在xy平面上运动,运动函数为x = 2t, y = 4t2-8(SI)。
(1) 求质点运动的轨道方程并画出轨道曲线;(2) 求t1=1s和t2=2s时,质点的位置、速度和加速度。
解:(1) 在运动方程中消去t,可得轨道方程为,轨道曲线为一抛物线如右图所示。
(2) 由可得: 在 t1=1s 时,在 t2=2s 时,例4质点由静止开始作直线运动,初始加速度为a0,以后加速度均匀增加,每经过τ秒增加a0,求经过t秒后质点的速度和位移。
解:本题可以通过积分法由质点运动加速度和初始条件,求解质点的速度和位移。
由题意可知,加速度和时间的关系为:根据直线运动加速度的定义因为t = 0 时,v0=0,故根据直线运动速度的定义有因为t = 0 时,x0=0 ,则位移为例5(1) 对于作匀速圆周运动的质点,试求直角坐标和单位矢量 i和 j表示其位置矢量r, 并由此导出速度v 和加速度a的矢量表达式。
一、填空题 1、一质点沿y 轴作直线运动,速度j t v)43(+=,t =0时,00=y ,采用SI 单位制,则质点的运动方程为=ymt t 223+;加速度y a = 4m/s 2 。
2、一质点沿半径为R 的圆周运动,其运动方程为22t +=θ。
质点的速度大小为 2t R ,切向加速度大小为 2R 。
3、一个质量为10kg 的物体以4m/s 的速度落到砂地后经0.1s 停下来,则在这一过程中物体对砂地的平均作用力大小为 400N 。
4、在一带电量为Q 的导体空腔内部,有一带电量为-q 的带电导体,那么导体空腔的内表面所带电量为 +q ,导体空腔外表面所带电量为 Q -q 。
5、一质量为10kg 的物体,在t=0时,物体静止于原点,在作用力i x F)43(+=作用下,无摩擦地运动,则物体运动到3米处,在这段路程中力F所做的功为5J13mV 21W 2.=∆=。
6、带等量异号电荷的两个无限大平板之间的电场为0εσ,板外电场为 0 。
8、一长载流导线弯成如右图所示形状,则O 点处磁感应强度B的大小为RIR I 83400μπμ+,方向为⊗。
9、在均匀磁场B 中, 一个半径为R 的圆线圈,其匝数为N,通有电流I ,则其磁矩的大小为NIR m 2π=,它在磁场中受到的磁力矩的最大值为NIBR M 2π=。
10、一电子以v垂直射入磁感应强度B 的磁场中,则作用在该电子上的磁场力的大小为F = Bqv F 0=。
电子作圆周运动,回旋半径为qBmvR =。
11、判断填空题11图中,处于匀强磁场中载流导体所受的电磁力的方向;(a ) 向下 ;(b ) 向左 ;(c ) 向右 。
12、已知质点的运动学方程为j t i t r)1(2-+=。
试求:(1)当该质点速度的大小为15-⋅s m 时,位置矢量=r i 1;(2)任意时刻切向加速度的大小τa =1442+t t 。
16、有一球状导体A ,已知其带电量为Q 。
大学物理试题及参考答案一、选择题(每题3分,共30分)1. 光在真空中的传播速度是:A. 3×10^8 m/sB. 3×10^5 km/sC. 3×10^7 m/sD. 3×10^6 km/s2. 根据牛顿第二定律,物体的加速度与作用力成正比,与物体的质量成反比,其数学表达式为:A. F = maB. a = F/mC. F = ma^2D. a = F^2/m3. 以下哪种波是横波?A. 声波B. 电磁波C. 光波D. 地震波4. 根据热力学第一定律,能量守恒,其数学表达式为:A. ΔU = Q + WB. ΔU = Q - WC. U = Q + WD. U = Q - W5. 以下哪种现象不属于电磁感应?A. 法拉第电磁感应定律B. 洛伦兹力C. 自感D. 互感6. 根据麦克斯韦方程组,以下哪个方程描述了变化的磁场产生电场?A. 高斯定律B. 法拉第电磁感应定律C. 安培定律D. 麦克斯韦方程7. 以下哪种物质的热传导率最高?A. 木头B. 铜C. 玻璃D. 空气8. 根据量子力学,海森堡不确定性原理表明:A. 粒子的位置和动量可以同时精确测量B. 粒子的位置和动量不能同时精确测量C. 粒子的能量和时间可以同时精确测量D. 粒子的能量和动量可以同时精确测量9. 根据相对论,以下哪种效应描述了时间膨胀?A. 洛伦兹收缩B. 钟慢效应C. 质能等价D. 质量增加效应10. 以下哪种设备不是利用电磁波工作的?A. 微波炉B. 收音机C. 光纤通信D. 温度计二、填空题(每题2分,共20分)1. 牛顿第三定律指出,作用力和反作用力大小相等,方向相反,并且作用在不同的物体上。
2. 光的波长、频率和速度之间的关系可以用公式 c = λν 来表示。
3. 根据欧姆定律,电流 I = V/R,其中 V 代表电压,R 代表电阻。
4. 热力学第二定律表明,不可能从单一热源吸热使之完全转化为功而不产生其他效果。
例题1 一质点沿x 轴作简谐振动,振动方程为从0=t 时刻起,到质点位置在cm x 2-=处,且向x 轴正方向运动的最短时间间隔为(A)(B)(C)(D)(E解: ⇒公式;πω2=⇒题意 πω=t ⇒ ππ=t 2 ⇒)例题2 一简谐振动的振动曲线如图所示.求振动方程.解: ⇒由图 m 1.0A = ;s t 2=例题3 一质点作简谐振动.其运动速度与时间的曲线如图所示.若质点的振动规律用余弦函数描述,则其初相应为(A) π/6. (B) 5π/6. (C) -5π/6. (D) -π/6. (E) -2π/3. 答案:(C) -5π/6()ϕω+=t A x cos ;()'cos ϕωυυ+=t m()SI t x )22.22cos(05.0+=π例题4 一长为l 的均匀细棒悬于通过其一端的光滑水平固定轴上,(如图所示),作成一复摆.已知细棒绕通过其一端的轴的转动此摆作微小振动的周期为 AB C √D练习题1. 一物体同时参与两个同方向的简谐振动:, ()SI t x )2cos(03.02π+π= 求此物体的振动方程.解:设合成运动(简谐振动)的振动方程为)cos(φω+=t A x则)cos(2122122212φφ-++=A A A A A ① 以 A 1 = 4 cm ,A 2 = 3 cm2分又②∴ 1分练习题2. 两个同方向简谐振动的振动方程分别为求合振动方程.解:依合振动的振幅及初相公式可得2分 则所求的合成振动方程为()SI )48.110cos(1081.72+⨯=-t x 1分练习题3. 两个同方向的简谐振动的振动方程分别为 x 1 = 4×10-2cos2(SI), x 2 = 3×10-2cos2π)41(+t (SI) 求合振动方程.解:由题意 x 1 = 4×10-2cos )42(ππ+t (SI) x 2 =3×10-2cos )22(ππ+t (SI)按合成振动公式代入已知量,可得合振幅及初相为合振动方程为x = 6.48×10-2 cos(2πt +1.12)。