利用复化梯形公式、复化simpson 公式计算积分
- 格式:doc
- 大小:124.00 KB
- 文档页数:4
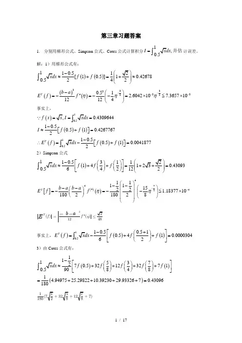
第三章习题答案1.分别用梯形公式、Simpson公式、Cotes公式计算积分1,I=⎰并估计误差。
解:1)用梯形公式有:()()110.51[10.5]10.42678242f f⎛-≈+=+≈⎝⎭⎰()()()333333220.512.6042107.36571012124Tb aE f fηηη-----⎛⎫''=-=--=⨯≤⨯⎪⎝⎭事实上,()()()()()()110.430964410.50.510.4267767210.50.510.00418772Tf x II f fE f f f===-≈+=⎡⎤⎣⎦-∴=-+=⎡⎤⎣⎦⎰⎰2)Simpson公式()110.53111410.43093 642122f f f⎛-⎡⎤⎛⎫⎛⎫≈++=+=⎪ ⎪⎢⎥⎝⎭⎝⎭⎣⎦⎝⎭⎰[]()()44744211111522 1.1837710180218028Sb a b aE f fηη--⎛⎫--⎪⎛⎫--⎛⎫=-=--≤⨯⎪ ⎪⎪⎝⎭⎝⎭⎪⎝⎭3122()''()48T f fb aE事实上,()()()10.510.50.510.5410.000030462SE f f f f-⎡+⎤⎛⎫=-++=⎪⎢⎥⎝⎭⎣⎦⎰3)由Cotes公式有:()() ()111537270.5321232719084814.9497525.2982210.3923029.9332670.43096180f f f f f-⎡⎤⎛⎫⎛⎫⎛⎫≈++++⎪ ⎪ ⎪⎢⎥⎝⎭⎝⎭⎝⎭⎣⎦=++++=⎰15732127)18088()6116211294522 2.697410945464C E f η--⎛⎫⨯ ⎪⎛⎫=-⨯-≤⨯ ⎪ ⎪⎝⎭⎪⎝⎭7(6)945*42()()82Cf b aEf事实上,()0.0000003C E f =2.证明Simpson 公式()2.8具有三次代数精度。
1习题 三1. 用辛普森求积公式计算积分dx e x ∫−10,并估计误差。
2. 给定数据表x 1.8 2.0 2.2 2.4 2.6)(x f 3.12014 4.042569 6.04241 8.03014 10.46675分别用复化梯形求积公式和复化辛普森求积公式计算积分.)(6.28.1dx x f ∫3. 分别用变步长求积方法和龙贝格求积方法计算下列积分,并估计误差:(1);sin 40dx xx ∫π(2);1)1ln(102dx x x ∫++ (3);)1ln(110dx x x ∫+ (4).110∫+xdx 4. 确定下列求积公式的待定参数,使其代数精度尽量高,并指出其代数精度的准确次数:(1));()0()()(210h f A f A h f A dx x f hh ++−≈∫− (2));()0()()(21022h f A f A h f A dx x f hh ++−≈∫−(3)).0()1()0()(21010f A f A f A dx x f ′++≈∫ 5. 证明求积公式 )]()([12)]()([2)(0121010x f x f h x f x f h dx x f x x ′−′++≈∫ 具有3次代数精度,其中01x x h −=.6. 利用高斯-勒让德公式计算积分)(14102π=+∫dx x 的近似值. 7. 利用高斯-切比雪夫求积公式计算积分dx x x ∫−−−112211 的近似值。
8. 已知函数)(x f y =的如下数据:x 0.8 0.9 1 1.1 1.2 1.4)(x f 0.8365 0.9095 1 1.1105 1.2446 1.6017利用李查逊外推法计算)1(y ′.。
复化梯形公式,复化辛普森公式,复化柯特斯公式
复化梯形公式、复化辛普森公式和复化柯特斯公式都是用来计算定积分的近似值的方法。
1. 复化梯形公式:将积分区间分成若干个小区间,在每个小区间上用梯形面积近似代替该小区间的曲边梯形面积,然后将这些梯形面积相加,得到积分的近似值。
2. 复化辛普森公式:将积分区间分成若干个等分小区间,在每个小区间上用矩形面积近似代替该小区间的曲边梯形面积,然后将这些矩形面积相加,得到积分的近似值。
3. 复化柯特斯公式:将积分区间分成若干个等分小区间,在每个小区间上用切线段长度近似代替该小区间的曲边梯形面积,然后将这些切线段长度相加,得到积分的近似值。
这三种方法都是通过将积分区间分成若干个小区间,然后在每个小区间上用近似方法计算该小区间的曲边梯形面积,最后将这些近似值相加得到积分的近似值。
它们的精度和误差都与分区间的大小有关。
第1篇一、实验目的本次实验旨在通过数值分析的方法,研究几种常见的数值积分方法,包括梯形法、辛普森法、复化梯形法和龙贝格法,并比较它们在计算精度和效率上的差异。
通过实验,加深对数值积分理论和方法的理解,提高编程能力和实际问题解决能力。
二、实验内容1. 梯形法梯形法是一种基本的数值积分方法,通过将积分区间分割成若干个梯形,计算梯形面积之和来近似积分值。
实验中,我们选取了几个不同的函数,对积分区间进行划分,计算积分近似值,并与实际积分值进行比较。
2. 辛普森法辛普森法是另一种常见的数值积分方法,它通过将积分区间分割成若干个等距的区间,在每个区间上使用二次多项式进行插值,然后计算多项式与x轴围成的面积之和来近似积分值。
实验中,我们对比了辛普森法和梯形法的计算结果,分析了它们的精度差异。
3. 复化梯形法复化梯形法是对梯形法的一种改进,通过将积分区间分割成多个小区间,在每个小区间上使用梯形法进行积分,然后计算所有小区间积分值的和来近似积分值。
实验中,我们对比了复化梯形法和辛普森法的计算结果,分析了它们的精度和效率。
4. 龙贝格法龙贝格法是一种通过外推加速提高计算精度的数值积分方法。
它通过比较使用不同点数(n和2n)的积分结果,得到更高精度的积分结果。
实验中,我们使用龙贝格法对几个函数进行积分,并与其他方法进行了比较。
三、实验步骤1. 编写程序实现梯形法、辛普森法、复化梯形法和龙贝格法。
2. 选取几个不同的函数,对积分区间进行划分。
3. 使用不同方法计算积分近似值,并与实际积分值进行比较。
4. 分析不同方法的精度和效率。
四、实验结果与分析1. 梯形法梯形法在计算精度上相对较低,但当积分区间划分足够细时,其计算结果可以接近实际积分值。
2. 辛普森法辛普森法在计算精度上优于梯形法,但当积分区间划分较细时,计算量较大。
3. 复化梯形法复化梯形法在计算精度上与辛普森法相当,但计算量较小。
4. 龙贝格法龙贝格法在计算精度上优于复化梯形法,且计算量相对较小。
(一) 实验目的熟悉并掌握数值积分的方法,重要训练复化梯形公式,复化simps on 公式以及 romberg 积分。
问题三数值积分椭圆周长的计算。
考虑椭圆其周长,只要计算其第一象限的长度即可.用参数方程可以表示为X acost (0 t /2), y bs int计算公式为.a 2 sin 21 b 2 cos 2 tdt0 为计算方便,我们可以令a 1,即计算下面的积分0 Ja 2sin 2t~ t a 0 <si n 2t (b )2cos 2 tdt 可以归结为上面的形式)采用复化梯形公式,复化Simpson 公式以及Romberg 积分的方法 计算积分I (b )「J 1 (b 2 1)cos 2tdt给出通用程序,该通用程序可以计算任何一个函数在任意一个区 间在给定的精度下的数值积分。
程序输出为计算出的数值积分值以及 计算函数值的次数。
(三)算法介绍首先利用给出的各迭代公式,设计程序。
在matlab 对话框中输入要计算的函数,给出区间和精度。
问题描述b 2 1,为计算 sin 21 2 2 b cos tdt复化梯形的迭代公式为:J b f (x) dx 二h/2 f(已)+ 2X°二+ f (b);章L. J * ' 』,复化simps on迭代公式为:J;f (x)dx 二h/3p(a) + 辽負1(x2j) + 4斗g〔fgj - i) + f (b)Romberg迭代公式为:削」- 1 h - 1. j - 1n _ n(四)程序对于复化梯形公式和复化simpson公式,我们放在中(転记后的程序可用来把b看为变量时的算法实现) %复化梯形公式function y=jifenn(f,n,a,b) (说明:f表示任一函数,n精度,a, b为区间)fi=f(a)+f(b);h=(b-a)/n;d=1;%fun cti on f=jife n(n ,a,b,c)%syms t%y=sqrt(1+(c A2-1)*cos(t)A2);%ya=subs(y,t,a);%yb=subs(y,t,b);%fi=ya+yb;for i=1:n-1x=a+i*h;fi=fi+2*f(x);d=d+1;%yx=subs(y,t,x);%fi=fi+2*yx;endf4=h/2*fi,d%复化simposon公式f仁0;f2=0;dd=1;for i=1:n-1dd=dd+1;if rem(i,2)~=0;x1=a+i*h; f1=f1+f(x1);else rem(i,2)==0; x2=a+i*h; f2=f2+f(x2) ;endendf3=(h/3)*(f(a)+4*f1+2*f2+f(b)),dd对于romberg积分,建立文件。
数值计算考题五1. 分别用复合梯形求积公式与复合辛普森求积公式求积分I=⎰102x e sinx dx 的近似值,要求误差不超过ε=0.5⨯10-5.解:方法一: 复合梯形求积公式复合梯形求积公式是将积分区间划分为n 个很小的区间,然后将各个小区间的面积相加而得到在整个积分区间上的积分,当分成的小区间数n →∞时,求得的面积就等于积分的精确值。
由复合梯形求积公式的余项R n T 可得满足精度要求≤ε0.5⨯10-5时区间()b a ,被分成的区间数n 的最小值为700,所以在编程时循环次数应大于等于这个值,方可满足精度要求。
以下是编写的C 语言程序:#include<stdio.h>#include<math.h>void main(){int n=700,i;double x,f=0.0,t,h,T=0.0,c=2.0,a=0.0,b=1.0;h=(b-a)/n;for(i=0;i<n;i++){x=a+i*h;f=f+exp(pow(x,c))*sin(x);}t=(h/2)*(2*f+sin(1)*exp(1));printf("T=%f\n",t);}输出结果为T=0.778746.方法二:复合辛普森求积公式:复合辛普森求积法是将积分区间分割之后,在每个小区间[x i ,x i+1]上运用辛普森求积公式。
以下是编写的c 语言程序:#include<stdio.h>#include<math.h>void main(){int n=700,i;double x1,x2,f1=0.0,f2=0.0,t,h,T=0.0,c=2.0,a=0.0,b=1.0;h=(b-a)/n;for(i=0;i<n;i++){x1=a+i*h;x2=a+(i+0.5)*h;f1=f1+exp(pow(x1,c))*sin(x1);f2=f2+exp(pow(x2,c))*sin(x2); }t=(h/6)*(2*f1+sin(1)*exp(1)+4*f2); printf("T=%f\n",t);}程序输出结果为0.778745.2. 用高斯求积法求上述积分的近似值。
数值计算方法上机题目3计算定积分的近似值:221x e xe dx =⎰ 要求:(1)若用复化梯形公式和复化Simpson 公式计算,要求误差限71021-⨯=ε,分别利用他们的余项估计对每种算法做出步长的事前估计;(2)分别利用复化梯形公式和复化Simpson 公式计算定积分;(3)将计算结果与精确解比较,并比较两种算法的计算量。
1.复化梯形公式程序:程序1(求f (x )的n 阶导数:syms xf=x*exp(x) %定义函数f (x )n=input('输入所求导数阶数:')f2=diff(f,x,n) %求f(x)的n 阶导数结果1输入n=2f2 =2*exp(x) + x*exp(x)程序2:clcclearsyms x%定义自变量xf=inline('x*exp(x)','x') %定义函数f(x)=x*exp(x),换函数时只需换该函数表达式即可f2=inline('(2*exp(x) + x*exp(x))','x') %定义f(x)的二阶导数,输入程序1里求出的f2即可。
f3='-(2*exp(x) + x*exp(x))'%因fminbnd()函数求的是表达式的最小值,且要求表达式带引号,故取负号,以便求最大值e=5*10^(-8) %精度要求值a=1 %积分下限b=2 %积分上限x1=fminbnd(f3,1,2) %求负的二阶导数的最小值点,也就是求二阶导数的最大值点对应的x值for n=2:1000000 %求等分数nRn=-(b-a)/12*((b-a)/n)^2*f2(x1) %计算余项if abs(Rn)<e %用余项进行判断break% 符合要求时结束endendh=(b-a)/n %求hTn1=0for k=1:n-1 %求连加和xk=a+k*hTn1=Tn1+f(xk)endTn=h/2*((f(a)+2*Tn1+f(b)))z=exp(2)R=Tn-z %求已知值与计算值的差fprintf('用复化梯形算法计算的结果 Tn=')disp(Tn)fprintf('等分数 n=')disp(n) %输出等分数fprintf('已知值与计算值的误差 R=')disp(R)输出结果显示:用复化梯形算法计算的结果 Tn= 7.3891等分数 n= 7019已知值与计算值的误差 R= 2.8300e-0082. Simpson公式程序:程序1:(求f(x)的n阶导数):syms xf=x*exp(x) %定义函数f(x)n=input('输入所求导数阶数:')f2=diff(f,x,n) %求f(x)的n阶导数结果1输入n=4f2 =4*exp(x) + x*exp(x)程序2:clcclearsyms x%定义自变量xf=inline('x*exp(x)','x') %定义函数f(x)=x*exp(x),换函数时只需换该函数表达式即可f2=inline('(4*exp(x) + x*exp(x))','x') %定义f(x)的四阶导数,输入程序1里求出的f2即可f3='-(4*exp(x) + x*exp(x))'%因fminbnd()函数求的是表达式的最小值,且要求表达式带引号,故取负号,一边求最大值e=5*10^(-8) %精度要求值a=1 %积分下限b=2 %积分上限x1=fminbnd(f3,1,2) %求负的四阶导数的最小值点,也就是求四阶导数的最大值点对应的x值for n=2:1000000 %求等分数nRn=-(b-a)/180*((b-a)/(2*n))^4*f2(x1) %计算余项if abs(Rn)<e %用余项进行判断break% 符合要求时结束endendh=(b-a)/n %求hSn1=0Sn2=0for k=0:n-1 %求两组连加和xk=a+k*hxk1=xk+h/2Sn1=Sn1+f(xk1)Sn2=Sn2+f(xk)endSn=h/6*(f(a)+4*Sn1+2*(Sn2-f(a))+f(b)) %因Sn2多加了k=0时的值,故减去f(a)z=exp(2)R=Sn-z %求已知值与计算值的差fprintf('用Simpson公式计算的结果 Sn=')disp(Sn)fprintf('等分数 n=')disp(n)fprintf('已知值与计算值的误差 R=')disp(R)输出结果显示:用Simpson公式计算的结果 Sn= 7.3891等分数 n= 24已知值与计算值的误差 R= 2.7284e-008用复化梯形公式计算的结果为:7.3891,与精确解的误差为:2.8300e-008。
复合梯形公式和复合辛普森公式1.复合梯形公式步骤1:将积分区间[a,b]均匀地分成n个小区间,每个小区间的长度为h=(b-a)/n,其中n为正整数。
步骤2:定义一个函数f(x),并在每个小区间上求出函数在小区间两个端点的函数值,记作f(x0), f(x1), f(x2), ..., f(xn)。
步骤3:根据梯形公式,每个小区间上的定积分近似值为(h/2) * (f(x0) + 2f(x1) + 2f(x2) + ... + 2f(xn-1) + f(xn))。
步骤4:将所有小区间上的定积分近似值相加,得到最终的近似值。
复合辛普森公式是通过将积分区间划分成若干个小区间,然后在每个小区间上应用辛普森公式来逼近定积分的值。
具体的步骤如下:步骤1:将积分区间[a,b]均匀地分成n个小区间,每个小区间的长度为h=(b-a)/n,其中n为正偶数。
步骤2:定义一个函数f(x),并在每个小区间上求出函数在小区间三个点的函数值,记作f(x0),f(x1),f(x2)。
步骤3:根据辛普森公式,每个小区间上的定积分近似值为(h/3)*(f(x0)+4f(x1)+f(x2))。
步骤4:将所有小区间上的定积分近似值相加,得到最终的近似值。
复合辛普森公式的误差主要取决于小区间的数量和函数在每个小区间上的变化情况。
与复合梯形公式相比,复合辛普森公式的精度更高,但计算复杂度也更高。
综上所述,复合梯形公式和复合辛普森公式是数值积分中常用的近似计算方法。
它们通过将积分区间划分成小区间,并在每个小区间上应用相应的公式来逼近定积分的值。
这两种方法都可以通过增加小区间的数量来提高近似的精度,但相应地也会增加计算的复杂度。
根据实际情况,我们可以选择合适的方法来计算需要求解的定积分。
(一)实验目的熟悉并掌握数值积分的方法,重要训练复化梯形公式,复化simpson 公式以及romberg 积分。
(二)问题描述问题三数值积分椭圆周长的计算。
考虑椭圆,为计算其周22221x y a b+=长,只要计算其第一象限的长度即可.用参数方程可以表示为,cos (0/2)sin x a t t y b t π=⎧≤≤⎨=⎩计算公式为/0π⎰为计算方便,我们可以令,即计算下面的积分1a =/0π⎰/0π=⎰(可以归结为上面的/0π⎰/0a π=⎰形式)采用复化梯形公式,复化Simpson 公式以及Romberg 积分的方法计算积分/0()I b π=⎰给出通用程序,该通用程序可以计算任何一个函数在任意一个区间在给定的精度下的数值积分。
程序输出为计算出的数值积分值以及计算函数值的次数。
(三)算法介绍首先利用给出的各迭代公式,设计程序。
在matlab 对话框中输入要计算的函数,给出区间和精度。
复化梯形的迭代公式为:;∫b a f(x)dx =ℎ/2[f (a )+2∑n ‒1j =1f (x j )+f(b)]复化simpson 迭代公式为:;∫b a f(x)dx =ℎ/3[f (a )+2∑(n 2)‒1j =1f (x 2j )+4∑(n 2)j =1f (x 2j ‒1)+f(b)]Romberg 迭代公式为:。
R k,j =R k,j ‒1+R k,j ‒1—R k ‒1,j ‒14j ‒1-1(四)程序对于复化梯形公式和复化simpson 公式,我们放在jifenn.m 中。
(%标记后的程序可用来把b 看为变量时的算法实现)%复化梯形公式function y=jifenn(f,n,a,b) (说明:f 表示任一函数,n 精度,a ,b 为区间)fi=f(a)+f(b);h=(b-a)/n;d=1;%function f=jifen(n,a,b,c)%syms t%y=sqrt(1+(c^2-1)*cos(t)^2);%ya=subs(y,t,a);%yb=subs(y,t,b);%fi=ya+yb;for i=1:n-1x=a+i*h;fi=fi+2*f(x);d=d+1;%yx=subs(y,t,x);%fi=fi+2*yx;endf4=h/2*fi,d%复化simposon 公式f1=0;f2=0;dd=1;for i=1:n-1dd=dd+1;if rem(i,2)~=0;x1=a+i*h;f1=f1+f(x1);else rem(i,2)==0;x2=a+i*h;f2=f2+f(x2) ;endendf3=(h/3)*(f(a)+4*f1+2*f2+f(b)),dd对于romberg积分,建立romberg.m文件。
数值分析第五次程序作业PB09001057 孙琪【问题】分别编写用复化Simpson积分公式和复化梯形积分公式计算积分的通用程序;用如上程序计算积分:取节点并分析误差;简单分析你得到的数据。
【复化Simpson积分公式】Simpson法则:使用偶数个子区间上的复合Simpson法则:设n是偶数,则有将Simpson法则应用于每一个区间,得到复合Simpson法则:公式的误差项为:其中δ【复化梯形积分公式】梯形法则:对两个节点相应的积分法则称为梯形法则:如果划分区间[a,b]为:那么在每个区间上可应用梯形法则,此时节点未必是等距的,由此得到复合梯形法则:对等间距h=(b-a)/n及节点,复合梯形法则具有形式:误差项为:【算法分析】复合Simpson法则和复合梯形法则的算法上述描述中都已介绍了,在此不多做叙述。
【实验】通过Mathematica编写程序得到如下结果:1.利用复化Simpson积分公式得:可以看出,当节点数选取越来越多时,误差项越来越小,这从复合的Simpson公式很好看出来,因为在每一段小区间内,都是用Simpson法则去逼近,而每一段的误差都是由函数在该区间内4阶导数值和区间长度的4次方乘积决定的,当每一段小区间越来越小时,相应的每一段小区间内的逼近就会越来越好,从而整体的逼近效果就会越来越好。
2.利用复化梯形积分公式得:可以看出,当节点数选取越来越多时,误差项越来越小,这从复合的梯形公式很好看出来,因为在每一段小区间内,都是用梯形法则去逼近,而每一段的误差都是由函数在该区间内2阶导数值和区间长度的2次方乘积决定的,当每一段小区间越来越小时,相应的每一段小区间内的逼近就会越来越好,从而整体的逼近效果就会越来越好。
【分析】通过对上述两种法则的效果来看,复合Simpson法则的误差要比复合梯形法则收敛到0更快,说明复合Simpson法则逼近到原来的解更快,这主要是因为在每一段小区间内,复合Simpson法则利用得是Simpson法则,复合梯形法则利用得是梯形法则,前者的误差项要比后者的误差项小很多,因此造成了逼近速度的不一样。
数值计算方法上机题目3一、计算定积分的近似值:221x e xe dx =⎰ 要求:(1)若用复化梯形公式和复化Simpson 公式计算,要求误差限71021-⨯=ε,分别利用他们的余项估计对每种算法做出步长的事前估计;(2)分别利用复化梯形公式和复化Simpson 公式计算定积分;(3)将计算结果与精确解比较,并比较两种算法的计算量。
1.复化梯形公式程序:程序1(求f (x )的n 阶导数:syms xf=x*exp(x) %定义函数f (x )n=input('输入所求导数阶数:')f2=diff(f,x,n) %求f(x)的n 阶导数结果1输入n=2f2 =2*exp(x) + x*exp(x)程序2:clcclearsyms x%定义自变量xf=inline('x*exp(x)','x') %定义函数f(x)=x*exp(x),换函数时只需换该函数表达式即可f2=inline('(2*exp(x) + x*exp(x))','x') %定义f(x)的二阶导数,输入程序1里求出的f2即可。
f3='-(2*exp(x) + x*exp(x))'%因fminbnd()函数求的是表达式的最小值,且要求表达式带引号,故取负号,以便求最大值e=5*10^(-8) %精度要求值a=1 %积分下限b=2 %积分上限x1=fminbnd(f3,1,2) %求负的二阶导数的最小值点,也就是求二阶导数的最大值点对应的x值for n=2:1000000 %求等分数nRn=-(b-a)/12*((b-a)/n)^2*f2(x1) %计算余项if abs(Rn)<e %用余项进行判断break% 符合要求时结束endendh=(b-a)/n %求hTn1=0for k=1:n-1 %求连加和xk=a+k*hTn1=Tn1+f(xk)endTn=h/2*((f(a)+2*Tn1+f(b)))z=exp(2)R=Tn-z %求已知值与计算值的差fprintf('用复化梯形算法计算的结果 Tn=')disp(Tn)fprintf('等分数 n=')disp(n) %输出等分数fprintf('已知值与计算值的误差 R=')disp(R)输出结果显示:用复化梯形算法计算的结果Tn= 7.3891等分数n=7019已知值与计算值的误差R= 2.8300e-0082. Simpson公式程序:程序1:(求f(x)的n阶导数):syms xf=x*exp(x) %定义函数f(x)n=input('输入所求导数阶数:')f2=diff(f,x,n) %求f(x)的n阶导数结果1输入n=4f2 =4*exp(x) + x*exp(x)程序2:clcclearsyms x%定义自变量xf=inline('x*exp(x)','x') %定义函数f(x)=x*exp(x),换函数时只需换该函数表达式即可f2=inline('(4*exp(x) + x*exp(x))','x') %定义f(x)的四阶导数,输入程序1里求出的f2即可f3='-(4*exp(x) + x*exp(x))'%因fminbnd()函数求的是表达式的最小值,且要求表达式带引号,故取负号,一边求最大值e=5*10^(-8) %精度要求值a=1 %积分下限b=2 %积分上限x1=fminbnd(f3,1,2) %求负的四阶导数的最小值点,也就是求四阶导数的最大值点对应的x值for n=2:1000000 %求等分数nRn=-(b-a)/180*((b-a)/(2*n))^4*f2(x1) %计算余项if abs(Rn)<e %用余项进行判断break% 符合要求时结束endendh=(b-a)/n %求hSn1=0Sn2=0for k=0:n-1 %求两组连加和xk=a+k*hxk1=xk+h/2Sn1=Sn1+f(xk1)Sn2=Sn2+f(xk)endSn=h/6*(f(a)+4*Sn1+2*(Sn2-f(a))+f(b)) %因Sn2多加了k=0时的值,故减去f(a)z=exp(2)R=Sn-z %求已知值与计算值的差fprintf('用Simpson公式计算的结果 Sn=')disp(Sn)fprintf('等分数 n=')disp(n)fprintf('已知值与计算值的误差 R=')disp(R)输出结果显示:用Simpson公式计算的结果Sn= 7.3891等分数n=24已知值与计算值的误差R= 2.7284e-008用复化梯形公式计算的结果为:7.3891,与精确解的误差为:2.8300e-008。
数值计算方法上机题目3一、计算定积分的近似值:221x e xe dx =⎰ 要求:(1)若用复化梯形公式和复化Simpson 公式计算,要求误差限71021-⨯=ε,分别利用他们的余项估计对每种算法做出步长的事前估计;(2)分别利用复化梯形公式和复化Simpson 公式计算定积分;(3)将计算结果与精确解比较,并比较两种算法的计算量。
1.复化梯形公式程序:程序1(求f (x )的n 阶导数:syms xf=x*exp(x) %定义函数f (x )n=input('输入所求导数阶数:')f2=diff(f,x,n) %求f(x)的n 阶导数结果1输入n=2f2 =2*exp(x) + x*exp(x)程序2:clcclearsyms x%定义自变量xf=inline('x*exp(x)','x') %定义函数f(x)=x*exp(x),换函数时只需换该函数表达式即可f2=inline('(2*exp(x) + x*exp(x))','x') %定义f(x)的二阶导数,输入程序1里求出的f2即可。
f3='-(2*exp(x) + x*exp(x))'%因fminbnd()函数求的是表达式的最小值,且要求表达式带引号,故取负号,以便求最大值e=5*10^(-8) %精度要求值a=1 %积分下限b=2 %积分上限x1=fminbnd(f3,1,2) %求负的二阶导数的最小值点,也就是求二阶导数的最大值点对应的x值for n=2:1000000 %求等分数nRn=-(b-a)/12*((b-a)/n)^2*f2(x1) %计算余项if abs(Rn)<e %用余项进行判断break% 符合要求时结束endendh=(b-a)/n %求hTn1=0for k=1:n-1 %求连加和xk=a+k*hTn1=Tn1+f(xk)endTn=h/2*((f(a)+2*Tn1+f(b)))z=exp(2)R=Tn-z %求已知值与计算值的差fprintf('用复化梯形算法计算的结果 Tn=')disp(Tn)fprintf('等分数 n=')disp(n) %输出等分数fprintf('已知值与计算值的误差 R=')disp(R)输出结果显示:用复化梯形算法计算的结果 Tn= 7.3891等分数 n=7019已知值与计算值的误差 R= 2.8300e-0082. Simpson公式程序:程序1:(求f(x)的n阶导数):syms xf=x*exp(x) %定义函数f(x)n=input('输入所求导数阶数:')f2=diff(f,x,n) %求f(x)的n阶导数结果1输入n=4f2 =4*exp(x) + x*exp(x)程序2:clcclearsyms x%定义自变量xf=inline('x*exp(x)','x') %定义函数f(x)=x*exp(x),换函数时只需换该函数表达式即可f2=inline('(4*exp(x) + x*exp(x))','x') %定义f(x)的四阶导数,输入程序1里求出的f2即可f3='-(4*exp(x) + x*exp(x))'%因fminbnd()函数求的是表达式的最小值,且要求表达式带引号,故取负号,一边求最大值e=5*10^(-8) %精度要求值a=1 %积分下限b=2 %积分上限x1=fminbnd(f3,1,2) %求负的四阶导数的最小值点,也就是求四阶导数的最大值点对应的x值for n=2:1000000 %求等分数nRn=-(b-a)/180*((b-a)/(2*n))^4*f2(x1) %计算余项if abs(Rn)<e %用余项进行判断break% 符合要求时结束endendh=(b-a)/n %求hSn1=0Sn2=0for k=0:n-1 %求两组连加和xk=a+k*hxk1=xk+h/2Sn1=Sn1+f(xk1)Sn2=Sn2+f(xk)endSn=h/6*(f(a)+4*Sn1+2*(Sn2-f(a))+f(b)) %因Sn2多加了k=0时的值,故减去f(a)z=exp(2)R=Sn-z %求已知值与计算值的差fprintf('用Simpson公式计算的结果 Sn=')disp(Sn)fprintf('等分数 n=')disp(n)fprintf('已知值与计算值的误差 R=')disp(R)输出结果显示:用Simpson公式计算的结果 Sn= 7.3891等分数 n=24已知值与计算值的误差 R= 2.7284e-008用复化梯形公式计算的结果为:7.3891,与精确解的误差为:2.8300e-008。
数值计算方法上机题目3一、计算定积分的近似值:要求:(1)若用复化梯形公式和复化Simpson 公式计算,要求误差限71021-⨯=ε,分别利用他们的余项估计对每种算法做出步长的事前估计;(2)分别利用复化梯形公式和复化Simpson 公式计算定积分;(3)将计算结果与精确解比较,并比较两种算法的计算量。
1.复化梯形公式程序:程序1(求f (x )的n 阶导数:syms xf=x*exp(x) %定义函数f (x )n=input('输入所求导数阶数:')f2=diff(f,x,n) %求f(x)的n 阶导数 结果1输入n=2f2 =2*exp(x) + x*exp(x)程序2:clcclearsyms x %定义自变量xf=inline('x*exp(x)','x') %定义函数f(x)=x*exp(x),换函数时只需换该函数表达式即可 f2=inline('(2*exp(x) + x*exp(x))','x') %定义f(x)的二阶导数,输入程序1里求出的f2即可。
f3='-(2*exp(x) + x*exp(x))' %因fminbnd ()函数求的是表达式的最小值,且要求表达式带引号,故取负号,以便求最大值e=5*10^(-8) %精度要求值a=1 %积分下限b=2 %积分上限x1=fminbnd(f3,1,2) %求负的二阶导数的最小值点,也就是求二阶导数的最大值点对应的x值for n=2:1000000 %求等分数nRn=-(b-a)/12*((b-a)/n)^2*f2(x1) %计算余项if abs(Rn)<e %用余项进行判断break% 符合要求时结束endendh=(b-a)/n %求hTn1=0for k=1:n-1 %求连加和xk=a+k*hTn1=Tn1+f(xk)endTn=h/2*((f(a)+2*Tn1+f(b)))z=exp(2)R=Tn-z %求已知值与计算值的差fprintf('用复化梯形算法计算的结果 Tn=')disp(Tn)fprintf('等分数 n=')disp(n) %输出等分数fprintf('已知值与计算值的误差 R=')disp(R)输出结果显示:用复化梯形算法计算的结果Tn= 7.3891等分数n=7019已知值与计算值的误差R= 2.8300e-0082. Simpson公式程序:程序1:(求f(x)的n阶导数):syms xf=x*exp(x) %定义函数f(x)n=input('输入所求导数阶数:')f2=diff(f,x,n) %求f(x)的n阶导数结果1输入n=4f2 =4*exp(x) + x*exp(x)程序2:clcclearsyms x%定义自变量xf=inline('x*exp(x)','x') %定义函数f(x)=x*exp(x),换函数时只需换该函数表达式即可f2=inline('(4*exp(x) + x*exp(x))','x') %定义f(x)的四阶导数,输入程序1里求出的f2即可f3='-(4*exp(x) + x*exp(x))'%因fminbnd()函数求的是表达式的最小值,且要求表达式带引号,故取负号,一边求最大值e=5*10^(-8) %精度要求值a=1 %积分下限b=2 %积分上限x1=fminbnd(f3,1,2) %求负的四阶导数的最小值点,也就是求四阶导数的最大值点对应的x值for n=2:1000000 %求等分数nRn=-(b-a)/180*((b-a)/(2*n))^4*f2(x1) %计算余项if abs(Rn)<e %用余项进行判断break% 符合要求时结束endendh=(b-a)/n %求hSn1=0Sn2=0for k=0:n-1 %求两组连加和xk=a+k*hxk1=xk+h/2Sn1=Sn1+f(xk1)Sn2=Sn2+f(xk)endSn=h/6*(f(a)+4*Sn1+2*(Sn2-f(a))+f(b)) %因Sn2多加了k=0时的值,故减去f(a)z=exp(2)R=Sn-z %求已知值与计算值的差fprintf('用Simpson公式计算的结果 Sn=')disp(Sn)fprintf('等分数 n=')disp(n)fprintf('已知值与计算值的误差 R=')disp(R)输出结果显示:用Simpson公式计算的结果Sn= 7.3891等分数n=24已知值与计算值的误差R= 2.7284e-008用复化梯形公式计算的结果为:7.3891,与精确解的误差为:2.8300e-008。
数值计算方法上机题目3一、计算定积分的近似值:221x e xe dx =⎰ 要求:(1)若用复化梯形公式和复化Simpson 公式计算,要求误差限71021-⨯=ε,分别利用他们的余项估计对每种算法做出步长的事前估计;(2)分别利用复化梯形公式和复化Simpson 公式计算定积分;(3)将计算结果与精确解比较,并比较两种算法的计算量。
1.复化梯形公式程序:程序1(求f (x )的n 阶导数:syms xf=x*exp(x) %定义函数f (x )n=input('输入所求导数阶数:')f2=diff(f,x,n) %求f(x)的n 阶导数结果1输入n=2f2 =2*exp(x) + x*exp(x)程序2:clcclearsyms x%定义自变量xf=inline('x*exp(x)','x') %定义函数f(x)=x*exp(x),换函数时只需换该函数表达式即可f2=inline('(2*exp(x) + x*exp(x))','x') %定义f(x)的二阶导数,输入程序1里求出的f2即可。
f3='-(2*exp(x) + x*exp(x))'%因fminbnd()函数求的是表达式的最小值,且要求表达式带引号,故取负号,以便求最大值e=5*10^(-8) %精度要求值a=1 %积分下限b=2 %积分上限x1=fminbnd(f3,1,2) %求负的二阶导数的最小值点,也就是求二阶导数的最大值点对应的x值for n=2:1000000 %求等分数nRn=-(b-a)/12*((b-a)/n)^2*f2(x1) %计算余项if abs(Rn)<e %用余项进行判断break% 符合要求时结束endendh=(b-a)/n %求hTn1=0for k=1:n-1 %求连加和xk=a+k*hTn1=Tn1+f(xk)endTn=h/2*((f(a)+2*Tn1+f(b)))z=exp(2)R=Tn-z %求已知值与计算值的差fprintf('用复化梯形算法计算的结果 Tn=')disp(Tn)fprintf('等分数 n=')disp(n) %输出等分数fprintf('已知值与计算值的误差 R=')disp(R)输出结果显示:用复化梯形算法计算的结果Tn= 7.3891等分数n=7019已知值与计算值的误差R= 2.8300e-0082. Simpson公式程序:程序1:(求f(x)的n阶导数):syms xf=x*exp(x) %定义函数f(x)n=input('输入所求导数阶数:')f2=diff(f,x,n) %求f(x)的n阶导数结果1输入n=4f2 =4*exp(x) + x*exp(x)程序2:clcclearsyms x%定义自变量xf=inline('x*exp(x)','x') %定义函数f(x)=x*exp(x),换函数时只需换该函数表达式即可f2=inline('(4*exp(x) + x*exp(x))','x') %定义f(x)的四阶导数,输入程序1里求出的f2即可f3='-(4*exp(x) + x*exp(x))'%因fminbnd()函数求的是表达式的最小值,且要求表达式带引号,故取负号,一边求最大值e=5*10^(-8) %精度要求值a=1 %积分下限b=2 %积分上限x1=fminbnd(f3,1,2) %求负的四阶导数的最小值点,也就是求四阶导数的最大值点对应的x值for n=2:1000000 %求等分数nRn=-(b-a)/180*((b-a)/(2*n))^4*f2(x1) %计算余项if abs(Rn)<e %用余项进行判断break% 符合要求时结束endendh=(b-a)/n %求hSn1=0Sn2=0for k=0:n-1 %求两组连加和xk=a+k*hxk1=xk+h/2Sn1=Sn1+f(xk1)Sn2=Sn2+f(xk)endSn=h/6*(f(a)+4*Sn1+2*(Sn2-f(a))+f(b)) %因Sn2多加了k=0时的值,故减去f(a)z=exp(2)R=Sn-z %求已知值与计算值的差fprintf('用Simpson公式计算的结果 Sn=')disp(Sn)fprintf('等分数 n=')disp(n)fprintf('已知值与计算值的误差 R=')disp(R)输出结果显示:用Simpson公式计算的结果Sn= 7.3891等分数n=24已知值与计算值的误差R= 2.7284e-008用复化梯形公式计算的结果为:7.3891,与精确解的误差为:2.8300e-008。