激光原理部分题答案
- 格式:doc
- 大小:405.50 KB
- 文档页数:9
第二章5)激发态的原子从能级E2跃迁到E1时,释放出m μλ8.0=的光子,试求这两个能级间的能量差。
若能级E1和E2上的原子数分别为N1和N2,试计算室温(T=300K )时的N2/N1值。
【参考例2-1,例2-2】 解:(1)J hcE E E 206834121098.310510310626.6---⨯=⨯⨯⨯⨯==-=∆λ (2)52320121075.63001038.11098.3exp ---∆-⨯=⎪⎪⎭⎫ ⎝⎛⨯⨯⨯-==T k Eb e N N10)激光在0.2m 长的增益物质中往复运动过程中,其强度增加饿了30%。
试求该物质的小信号增益系数0G .假设激光在往复运动中没有损耗。
104.0*)(0)(0m 656.03.1,3.13.014.02*2.0z 0000---=∴===+=====G e e I I me I I G z G ZzG Z ααα即且解:第三章2.CO 2激光器的腔长L=100cm ,反射镜直径D=1.5cm ,两镜的光强反射系数分别为r 1=0.985,r 2=0.8。
求由衍射损耗及输出损耗分别引起的δ、τc 、Q 、∆νc (设n=1) 解:衍射损耗:1880107501106102262.).(.a L =⨯⨯⨯=λ=δ-- s ..c L c 881075110318801-⨯=⨯⨯=δ=τ输出损耗:1190809850502121.)..ln(.r r ln =⨯⨯-=-=δ s ..c L c 881078210311901-⨯=⨯⨯=δ=τ4.分别按图(a)、(b)中的往返顺序,推导旁轴光线往返一周的光学变换矩阵⎪⎪⎭⎫ ⎝⎛D C B A ,并证明这两种情况下的)(21D A +相等。
(a )(b )解: 矩阵乘法的特点:1、只有当乘号左边的矩阵(称为左矩阵)的列数和乘号右边的矩阵(右矩阵)的行数相同时,两个矩阵才能相乘;这条可记为左列=右行才能相乘。
激光原理与激光技术习题答案习题一(1)为使氦氖激光器的相干长度达到1m ,它的单色性∆λ/λ应为多大?解: 10101032861000106328--⨯=⨯=λ=λλ∆=.L R c(2) λ=5000Å的光子单色性∆λ/λ=10-7,求此光子的位置不确定量∆x解: λ=h p λ∆λ=∆2h p h p x =∆∆ m R p h x 5101050007102=⨯=λ=λ∆λ=∆=∆--(3)CO 2激光器的腔长L=100cm,反射镜直径D=1。
5cm ,两镜的光强反射系数分别为r 1=0.985,r 2=0.8。
求由衍射损耗及输出损耗分别引起的δ、τc 、Q 、∆νc (设n=1)解: 衍射损耗: 1880107501106102262.).(.a L =⨯⨯⨯=λ=δ-- s ..c L c 881075110318801-⨯=⨯⨯=δ=τ 686810113107511061010314322⨯=⨯⨯⨯⨯⨯⨯=πντ=--....Q cMHz .Hz ...c c 19101910751143212168=⨯=⨯⨯⨯=πτ=ν∆- 输出损耗: 1190809850502121.)..ln(.r r ln =⨯⨯-=-=δ s ..c L c 881078210311901-⨯=⨯⨯=δ=τ 686810964107821061010314322⨯=⨯⨯⨯⨯⨯⨯=πντ=--....Q c MHz .Hz ...c c 75107510782143212168=⨯=⨯⨯⨯=πτ=ν∆-(4)有一个谐振腔,腔长L=1m ,两个反射镜中,一个全反,一个半反,半反镜反射系数r=0。
99,求在1500MHz 的范围内所包含的纵模个数,及每个纵模的线宽(不考虑其它损耗)解: MHz Hz .L c q 150105112103288=⨯=⨯⨯==ν∆ 11]11501500[]1[=+=+ν∆ν∆=∆q q005.0201.02===T δ s c L c 781067.6103005.01-⨯=⨯⨯==δτ MHz cc 24.01067.614.321217=⨯⨯⨯==-πτν∆(5) 某固体激光器的腔长为45cm ,介质长30cm ,折射率n=1.5,设此腔总的单程损耗率0.01π,求此激光器的无源腔本征纵模的模式线宽.解: cm L 60155.130=+⨯=' s 106.3661030.01π0.6c L 88c -⨯=⨯⨯='=δτ 2.5MHz 106.3663.1428cc =⨯⨯⨯==-121πτν∆(6)氦氖激光器相干长度1km,出射光斑的半径为r=0。
激光原理复习题(含参考答案)1. 自发辐射爱因斯坦系数与激发态E2平均寿命τ的关系为(B)2. 爱因斯坦系数A21和B21之间的关系为( C)3. 自然增宽谱线为(C)(A)高斯线型(B)抛物线型(C)洛仑兹线型(D)双曲线型4. 对称共焦腔在稳定图上的坐标为( B )(A)(-1,-1)(B)(0,0)(C)(1,1)(D)(0,1)5. 阈值条件是形成激光的(C)(A)充分条件(B)必要条件(C)充分必要条件(D)不确定6. 谐振腔的纵模间隔为( B )7. 对称共焦腔基模的远场发散角为(C)8. 谐振腔的品质因数Q衡量腔的( C )(A)质量优劣(B)稳定性(C)储存信号的能力(D)抗干扰性9. 锁模激光器通常可获得( A)量级短脉冲10. YAG激光器是典型的(C)系统(A)二能级(B)三能级(C)四能级(D)多能级11. 任何一个共焦腔与无穷多个稳定球面腔等价,而任何一个满足稳定条件的球面腔唯一地等价于一个共焦腔。
12. 激光器的基本结构包括三部分,即工作物质、激励物质光学谐振腔。
13. 有一个谐振腔,腔长L=1m,在1500MHz的范围内所包含的纵模个数为10 个(设μ=1)。
14. 激光的特点是相干性强、单色性佳、方向性好高亮度。
15 调Q 技术产生激光脉冲主要有 、 两种方法,调Q 激光器通常可获得ns 量级短脉冲,锁模有 和 两种锁模方式。
锁模 、 调Q 主动锁模 被动锁模16. 受激辐射激励发射出的光子与外来光完全相同,即 , , , 。
传播方向相同,相位相同,偏振态相同,频率相同17写出光与物质相互作用的爱因斯坦关系式,说明其物理含义。
答:(1)自发辐射跃迁几率2121211sp s dn A dt n τ⎛⎫== ⎪⎝⎭,表示了单位时间内从高能级向低能级跃迁的原子数与高能级原有粒子数的比例。
(2)受激吸收跃迁几率121211st dn W dt n ⎛⎫= ⎪⎝⎭,表示单位时间内由于受激跃迁引起的由低能级向高能级跃迁的原子数和低能级原子数的比例。
激光原理及技术部分习题解答(陈鹤鸣)第一章4. 为使氦氖激光器的相干长度达到1km, 它的单色性0/λλ∆应当是多少 解:相干长度C cL υ=∆,υ∆是光源频带宽度853*10/3*101C c m s Hz L kmυ∆===225108(/)632.8*3*10 6.328*103*10/c cc c nm Hz c m sλλυυυυλλλυλ-=⇒∆=∆=∆∆⇒=∆== 第二章4. 设一对激光能级为2121,,E E f f =,相应的频率为υ,波长为λ,能级上的粒子数密度分别为21,n n ,求:(1)当3000,300MHz T K υ= =时,21/?n n = (2)当1,300m T K λμ= =时,21/?n n = (3)当211,/0.1m n n λμ= =时,温度T=解: Tk E E b e n 1212n --=其中12**E E ch E c h -=∆=λ νλh ch ==∆*E(1)(2)010*425.12148300*10*38.11010*3*10*63.612236834≈====-------e ee n n Tk ch b λ(3)K n n k c h b 36238341210*26.6)1.0(ln *10*10*8.3110*3*10*63.6ln *T =-=-=---λ9. 解:(1) 由题意传播1mm,吸收1%,所以吸收系数101.0-=mm α(2) 01010*********I .e I e I e I I .z ====-⨯-α 即经过厚度为0.1m 时光能通过%10. 解:m/..ln .G e .e I I G.Gz6550314013122020===⇒=⨯第三章2. CO2激光器的腔长L=100cm, 反射镜直径D=1.5cm, 两镜的光强反射系数120.985,0.8r r = = 求由衍射损耗及输出损耗引起的,,R Q τδ 解:(1)输出损耗由腔镜反射不完全引起。
激光原理及应用部分课后答案1-4为使He-Ne 激光器的相干长度达到1KM ,它的单色性0λλ∆应是多少?2-2当每个模式内的平均光子数(光子简并数)大于1时,以受激辐射为主。
2-3如果激光器和微波激射器分别在um 10=λm 500n =λ和z 3000MH =ν输出1W 连续功率,问美秒从激光上能级向下能级跃迁的粒子数是多少?2-4当一对激光能级为E2和E1(f1=f2),相应的频率为v (波长为λ),能级上的粒子数密度分别为n2和n1,q 求:(1)当v=3000MHZ ,T=3000K 时,n2/n1=?(2)当λ=1um ,T=3000K 时,n2/n1=?(3)当λ=1um ,n2/n1=0时,温度T=?解:2-5激发态的原子从能级E2跃迁到E1时,释放出λ=5um的光子,求这个两个能级的能量差。
若能级E1和E2上的原子数分别为N1和N2,试计算室温T=300K的N2/N值。
2-7如果工作物质的某一跃迁是波长为100nm的远紫外光,自发辐射跃迁概率1621s10-=A,试问:(1)改跃迁的受激辐射爱因斯坦系数B21是多少?(2)为使受激辐射跃迁概率比自发辐射跃迁概率大三倍,腔内的单色能量密度νρ应为多少?2-9某一物质受光照射,沿物质传播1mm的距离时被吸收了1%,如果该物质的厚度是0.1m,那么入射光中有百分之几能通过该物质?并计算该物质的吸收系数α。
2-10激光在0.2m 长的增益介质中往复运动过程中,其增强了30%。
求该介质的小信号增益系数0G 。
假设激光在往复运动中没有损耗。
3-2CO2激光器的腔长L=100cm,反射镜直径D=1.5cm,两镜的光强反射系数分别为r1=0.985,r2=0.8.求由衍射损耗及输出损耗所分别引起的δ,τ。
3-4,分别按下图中的往返顺序,推导近轴光线往返一周的光学变换矩阵⎪⎪⎭⎫ ⎝⎛D C B A ,并证明这两种情况下的)(D A +21相等。
第一章 激光的基本原理习题2.如果激光器和微波激射器分别在=10μm λ、=500nm λ和=3000MHz ν输出1W 连续功率,问每秒从激光上能级向下能级跃迁的粒子数是多少?解:若输出功率为P ,单位时间内从上能级向下能级跃迁的粒子数为n ,则:由此可得:其中346.62610J s h -=⨯⋅为普朗克常数,8310m/s c =⨯为真空中光速。
所以,将已知数据代入可得:=10μm λ时:19-1=510s n ⨯ =500nm λ时:18-1=2.510s n ⨯ =3000MHz ν时:23-1=510s n ⨯3.设一对激光能级为2E 和1E (21f f =),相应的频率为ν(波长为λ),能级上的粒子数密度分别为2n 和1n ,求(a) 当ν=3000MHz ,T=300K 时,21/?n n = (b) 当λ=1μm ,T=300K 时,21/?n n = (c) 当λ=1μm ,21/0.1n n =时,温度T=?解:当物质处于热平衡状态时,各能级上的粒子数服从波尔兹曼统计分布:(a) 当ν=3000MHz ,T=300K 时:(b) 当λ=1μm ,T=300K 时:cP nh nh νλ==P P n h hcλν==2211()exp exp exp n E E h hc n KT KT K T νλ-⎡⎤⎛⎫⎛⎫=-=-=- ⎪ ⎪⎢⎥⎝⎭⎝⎭⎣⎦3492231 6.62610310exp 11.3810300n n --⎛⎫⨯⨯⨯=-≈ ⎪⨯⨯⎝⎭34822361 6.62610310exp 01.381010300n n ---⎛⎫⨯⨯⨯=-≈ ⎪⨯⨯⨯⎝⎭(c) 当λ=1μm ,21/0.1n n =时:6.某一分子的能级4E 到三个较低能级1E 、2E 和3E 的自发跃迁几率分别是7-143510s A =⨯,7-142110s A =⨯和7-141310s A =⨯,试求该分子4E 能级的自发辐射寿命4τ。
激光原理试题及答案一、选择题(每题2分,共20分)1. 激光的产生原理是基于以下哪种效应?A. 光电效应B. 康普顿效应C. 受激辐射D. 多普勒效应答案:C2. 激光器中,用于提供能量的介质被称为什么?A. 增益介质B. 反射介质C. 吸收介质D. 传输介质答案:A3. 激光器中,用于将光束聚焦的元件是:A. 透镜B. 棱镜C. 反射镜D. 滤光片答案:A4. 激光的波长范围通常在:A. 红外线B. 可见光C. 紫外线D. 所有选项5. 以下哪种激光器是固态激光器?A. CO2激光器B. 氩离子激光器C. 钕玻璃激光器D. 所有选项答案:C6. 激光的相干性意味着:A. 波长一致B. 相位一致C. 频率一致D. 所有选项答案:D7. 激光器的输出功率通常用以下哪种单位表示?A. 瓦特B. 焦耳C. 牛顿D. 伏特答案:A8. 激光切割机利用激光的哪种特性进行切割?A. 高亮度B. 高方向性C. 高单色性D. 高相干性答案:A9. 激光冷却技术主要应用于:B. 工业C. 物理学研究D. 军事答案:C10. 激光二极管通常使用的半导体材料是:A. 硅B. 锗C. 砷化镓D. 碳化硅答案:C二、填空题(每题2分,共20分)1. 激光的英文全称是________。
答案:Light Amplification by Stimulated Emission of Radiation2. 激光器的三个主要组成部分是________、________和________。
答案:工作物质、激励源、光学谐振腔3. 激光器中,________用于提供能量,________用于产生激光。
答案:激励源、工作物质4. 激光的________特性使其在通信领域有广泛应用。
答案:高相干性5. 激光器的________特性使其在医疗手术中具有高精度。
答案:高方向性6. 激光冷却技术中,激光与原子相互作用的效应被称为________。
1、试证明:由于自发辐射,原子在E2能级的平均寿命211/s A τ=。
(20分)证明:根据自发辐射的性质,可以把由高能级E2的一个原子自发地跃迁到E1的自发跃迁几率21A 表示为212121()spdn A dt n = (1)式中21()spdn 表示由于自发跃迁引起的由E2向E1跃迁的原子数因在单位时间内能级E2所减少的粒子数为221()sp dn dn dt dt =- (2)把(1)代入则有2212dn A n dt =- (3)故有22021()exp()n t n A t =- (4)自发辐射的平均寿命可定义为22001()s n t dt n τ∞=⎰ (5)式中2()n t dt为t 时刻跃迁的原子已在上能级上停留时间间隔dt 产生的总时间,因此上述广义积分为所有原子在激发态能级停留总时间,再按照激发态能级上原子总数平均,就得到自发辐射的平均寿命。
将(4)式代入积分(5)即可得出210211exp()s A t dt A τ∞=-=⎰2、一光束通过长度为1m 的均匀激励的工作物质,如果出射光强是入射光强的两倍,试求该物质的增益系数。
(20分)解: 若介质无损耗,设在光的传播方向上z 处的光强为I(z),则增益系数可表示为()1()dI z g dz I z =故()(0)exp()I z I gz =根据题意有(1)2(0)(0)exp(1)I I I g ==⨯解得1ln(2)0.693g cm -==3、某高斯光束0 1.2,10.6.mm um ωλ==今用F=2cm 的锗透镜来聚焦,当束腰与透镜的距离为10m,1m,0时,求焦斑大小和位置,并分析结果 (30分)解:由高斯光束q 参数的变化规律有(参书P77: 图2.10.3) 在z=0 处200(0)/q q i πωλ== (1)在A 处(紧挨透镜L 的“左方”)(0)A q q l=+ (2)在B 处(紧挨透镜L 的“右方”)111B A q q F =-(3)在C 处C B Cq q l =+ (4)又高斯光束经任何光学系统变换时服从所谓ABCD 公式,由此得00C Aq Bq Cq D +=+ (5)其中1101011/101C A B l l C D F ⎡⎤⎡⎤⎡⎤⎡⎤=⎢⎥⎢⎥⎢⎥⎢⎥-⎣⎦⎣⎦⎣⎦⎣⎦ (6)则222220022222200()()()()()()()C C l F l F q l F i F l F l πωπωλλπωπωλλ--=++-+-+ (7)在像方高斯光束的腰斑处有{}Re 1/0C q =,得2202220()()0()()C l F l l F F l πωλπωλ--+=-+ (8)解得像方束腰到透镜的距离2'2220()()()C F l F l l F F l πωλ-==+-+ (9)将(9)代入(8)得出22220()()()C F l F q iF l πωλ-=-+ (10)由此求得220'222001111Im (1)()C l q F F πωπωλωλ⎧⎫=-=-+⎨⎬⎩⎭ (11。
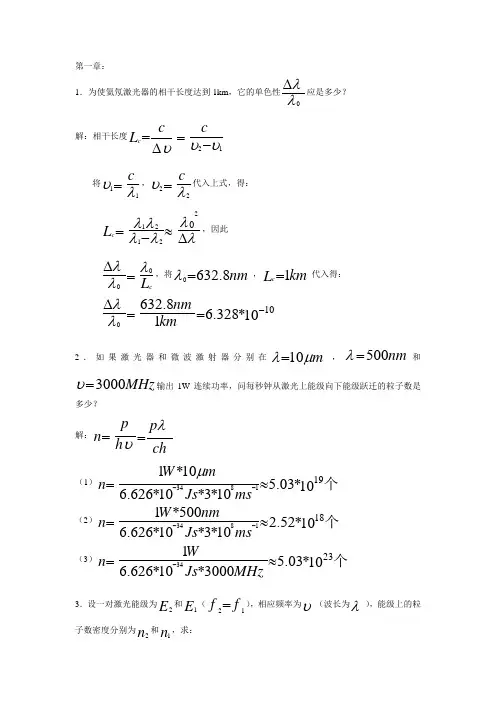
第一章:1.为使氦氖激光器的相干长度达到1km ,它的单色性λλ∆应是多少?解:相干长度υυυ−=∆=12c c L c将λυ11c=,λυ22c=代入上式,得: λλλλλλ∆≈−=022121L c ,因此L cλλλ00=∆,将nm 8.6320=λ,km L c 1=代入得:10*328.618.632100−==∆km nm λλ2.如果激光器和微波激射器分别在mm λ10=,nm500=λ和MHz 3000=υ输出1W 连续功率,问每秒钟从激光上能级向下能级跃迁的粒子数是多少?解:chp h p n λυ==(1)个10*03.510*3*10*626.610*1191834≈=−−msJs mW n m(2)个10*52.210*3*10*626.6500*1181834≈=−−msJs nm W n(3)个10*03.53000*10*626.612334≈=−MHzJs W n3.设一对激光能级为E 2和E 1(f f =12),相应频率为υ(波长为λ),能级上的粒子数密度分别为n 2和n 1,求:(a )当MHz 3000=υ,T=300K 时,=n n 12?(b )当m m λ1=,T=300K 时,=n n 12?(c )当m m λ1=,1.012=n n 时,温度T=?解: e e f f n n kT h kT E E ==−−−υ121212(a )110*8.4300*10*38.110*300010*626.64236*3412≈≈=−−−−−ee n n(b )10*4.1216238341210*8.410*1*300*10*38.110*3*10*626.6≈≈==−−−−−−−e e e n n kT hcλ(c )1.010*1*10*38.110*3*10*626.662383412===−−−−−e e n n TkT hc λ得:KT 10*3.63≈4.在红宝石Q 调制激光器中,有可能将几乎全部Cr+3离子激发到激光上能级并产生激光巨脉冲。
第一章 激光的基本原理1. 为使He-Ne 激光器的相干长度达到1km ,它的单色性0/λλ∆应是多少? 提示: He-Ne 激光器输出中心波长632.8o nm λ= 解: 根据c λν=得 2cd d d d ννλνλλλ=-⇒=-则 ooνλνλ∆∆=再有 c c cL c τν==∆得106.32810o o o c o c c L L λλνλνν-∆∆====⨯ 2. 如果激光器和微波激射器分别在=10μm λ、=500nm λ和=3000MHz ν输出1W 连续功率,问每秒从激光上能级向下能级跃迁的粒子数是多少?解:设输出功率为P ,单位时间内从上能级向下能级跃迁的粒子数为n ,则:由此可得:其中346.62610J s h -=⨯⋅为普朗克常数,8310m/s c =⨯为真空中光速。
所以,将已知数据代入可得:=10μm λ时: 19-1=510s n ⨯=500nm λ时:18-1=2.510s n ⨯ =3000MHz ν时:23-1=510s n ⨯3.设一对激光能级为2E 和1E (21f f =),相应的频率为ν(波长为λ),能级上的粒子数密度分别为2n 和1n ,求(a) 当ν=3000MHz ,T=300K 时,21/?n n = (b) 当λ=1μm ,T=300K 时,21/?n n = (c) 当λ=1μm ,21/0.1n n =时,温度T=?解:当物质处于热平衡状态时,各能级上的粒子数服从玻尔兹曼统计分布,则(a) 当ν=3000MHz ,T=300K 时:(b) 当λ=1μm ,T=300K 时:cP nh nh νλ==PP n h hcλν==2211()exp exp exp b b b n E E h hc n k T k T k T νλ⎡⎤⎛⎫⎛⎫-=-=-=- ⎪ ⎪⎢⎥⎣⎦⎝⎭⎝⎭3492231 6.62610310exp 11.3810300n n --⎛⎫⨯⨯⨯=-≈ ⎪⨯⨯⎝⎭34822361 6.62610310exp 01.381010300n n ---⎛⎫⨯⨯⨯=-≈ ⎪⨯⨯⨯⎝⎭(c) 当λ=1μm ,21/0.1n n =时:4. 在红宝石调Q 激光器中,有可能将几乎全部3+r C 离子激发到激光上能级并产生激光巨脉冲。
《激光原理》习题解答第一章习题解答1为了使氦氖激光器的相干长度达到 1KM ,它的单色性丸0应为多少?解答:设相干时间为.,则相干长度为光速与相干时间的乘积,即L c = c由以上各关系及数据可以得到如下形式: 解答完毕。
2如果激光器和微波激射器分别在10 gm> 500nm 和f =3000MH Z输出1瓦连续功率,问每秒钟从激光上能级向下能级跃迁的粒子数是多少。
解答:功率是单位时间内输出的能量,因此,我们设在 dt 时间内输出的能量为dE ,则功率=dE/dt激光或微波激射器输岀的能量就是电磁波与普朗克常数的乘积,即d E nh 、..,其中n 为dt 时间内输出的光子数目,这些光子数就等于腔内处在高能级的激发粒子在 dt 时间辐射跃迁到低能级的数目(能级间的频率为 v )。
由以上分析可以得到如下的形式:n 妙-功―hv每秒钟发射的光子数目为:N=n/dt,带入上式,得到:每秒钟发射的光子数二N 」二功率 J sdt h 、. 6.626 10 J s •根据题中给岀的数据可知:c 3汉 108ms*“13「163 10 H z、10 10》m c3IO 8ms' (15)291.5 10 H z■2500 10 m把三个数据带入,得到如下结果:N 1=5.031 1019,N 2=2.5 1018,N^ 5.031 10233设一对激光能级为 E1和E2 (f1=f2 ),相应的频率为 v (波长为入),能级上的粒子数密度分别为 n2和n1,求 (a) 当v =3000兆赫兹,T=300K 的时候,n2/n 仁? (b) 当 入=1卩m T=300K 的时候,n2/n 仁? (c) 当入=1 卩 m n2/n1=0.1 时,温度 T=?解答:在热平衡下,能级的粒子数按波尔兹曼统计分布,即:,. —6.626汉10亠(」_h 21exp 23 1 1.38 101.38062 10 J k T根据相干时间和谱线宽度的关系L c又因为Av■ 0 = 632.8nm单色性= Av632^m=6.328 10-10L c 1 1012 nmn2 _ exp n 1f 1其中k b =1.38062 10 - h exp • 0.99 2—小=exp _(E ^E 1) k b T(统计权重f 1 =n 2(a) exp K b T^3 JK 4为波尔兹曼常数,T 为热力学温度。
激光原理部分题答案(总6页)--本页仅作为文档封面,使用时请直接删除即可----内页可以根据需求调整合适字体及大小--07级光信息《激光原理》复习提纲简答题1、 简述自发辐射、受激辐射和受激吸收之间的联系与区别。
(1)受激辐射过程是一种被迫的、受到外界光辐射控制的过程。
没有外来光子的照射,就不可能发生受激辐射。
(2) 受激辐射所产生的光子与外来激励光子属于同一光子状态,具有相同的位相、传播方向和偏振状态。
(3) 激光来自受激辐射,普通光来自自发辐射。
两种光在本质上相同:既是电磁波,又是粒子流,具有波粒二象性;而 不同之处:自发辐射光没有固定的相位关系,为非相干光, 而激光有完全相同的位相关系,为相干光。
(4) 自发辐射跃迁几率就是自发辐射系数本身,而受激辐射的跃迁几率决定于受激辐射系数与外来光单色能量密度的乘积。
(5)受激吸收是与受激辐射相反的过程,它的几率与受激辐射几率一样取决于吸收系数和外来光单色辐射能量密度的乘积。
2、二能级系统有无可能通过光泵浦实现稳态粒子数反转(不能,PPT 上有)在光和原子相互作用达到稳定条件下得到 不满足粒子数反转,所以不能实现。
3、简述均匀增宽和非均匀增宽的区别。
(类型,贡献不同ppt 上有)4、简述光谱线增宽类型,它们之间的联系与区别E 1E 2WW W B B ===2112 2112 即当t n B t n B t n A ννd d d 112221221ρρ=+WA W n n +=2112均匀增宽的共同特点引起加宽的物理因素对每个原子都是等同的 都是光辐射偏离简谐波引起的谱线加宽非均匀增宽的共同特点原子体系中每个原子只对谱线内与它的表观中心频率相应的部分有贡献,因而可以区分谱线上某一频率范围是由哪一部分原子发射的。
均匀增宽同非均匀增宽的区别是均匀增宽中每一个原子对谱线宽度内任意频率都有贡献,且贡献相同;而非均匀增宽中每一个原子只对其速度所对应的频率有贡献,即不同速度的原子的作用是不同的。
07级光信息《激光原理》复习提纲
简答题
1、 简述自发辐射、受激辐射和受激吸收之间的联系与区别。
(1)受激辐射过程是一种被迫的、受到外界光辐射控制的过程。
没有外来光子的照射,就不可能发生受激辐射。
(2) 受激辐射所产生的光子与外来激励光子属于同一光子状态, 具有相同的位相、传播方向和偏振状态。
(3) 激光来自受激辐射,普通光来自自发辐射。
两种光在本质 上相同:既是电磁波,又是粒子流,具有波粒二象性;而 不同之处:自发辐射光没有固定的相位关系,为非相干光, 而激光有完全相同的位相关系,为相干光。
(4) 自发辐射跃迁几率就是自发辐射系数本身,而受激辐射的跃 迁几率决定于受激辐射系数与外来光单色能量密度的乘积。
(5)受激吸收是与受激辐射相反的过程,它的几率与受激辐射几率一样取决于吸收系数和外来光单色辐射能量密度的乘积。
2、二能级系统有无可能通过光泵浦实现稳态粒子数反转?(不能,PPT 上有)
在光和原子相互作用达到稳定条件下
E 1
E
2
W W W B B ===2112 2112 即当
得到 不满足粒子数反转,所以不能实现。
3、简述均匀增宽和非均匀增宽的区别。
(类型,贡献不同ppt 上有)
4、简述光谱线增宽类型,它们之间的联系与区别
均匀增宽的共同特点
●
引起加宽的物理因素对每个原子都是等同的 ● 都是光辐射偏离简谐波引起的谱线加宽
非均匀增宽的共同特点
● 原子体系中每个原子只对谱线内与它的表观中心频率
相应的部分有贡
献,因而可以区分谱线上某一频率范围是由哪一部
分原子发射的。
均匀增宽同非均匀增宽的区别是均匀增宽中每一个原子对谱线宽度内任意频率都有贡献,且贡献相同;而非均匀增宽中每一个原子只对其速度所对应的频率有贡献,即不同速度的原子的作用是不同的。
t n B t n B t n A ννd d d 112221221ρρ=+W
A W n n +=2112
5、画图简述三能级和四能级系统产生激光的能级跃迁过程。
(ppt)
6、简述激光形成条件。
(三要素,谐振腔,泵浦)
7、如何使激光器内受激辐射大于受激吸收和自发辐射,从而实现光放大。
(ppt有)
8、谐振腔稳定性的条件?
稳定条件:0 < ( 1-L /R1 ) ( 1-L /R2 ) <1
R1,R2为球面镜曲率半径,L为腔长,凹面反射镜的R 取正,凸面反射镜的R 取负。
9、简述均匀增宽介质和非均匀增宽介质增益饱和的区别?
10、什么是烧孔效应和兰姆凹陷。
(图配文字)
烧孔效应
表明:频率为ν1,强度为I 的光波仅使围绕中心频率ν1、宽
度为范围内的粒子有饱和作用,因此在Δn (v )
曲线上形成一个以ν1为中心的凹陷,习惯上把它叫做烧孔
非均匀增宽型粒子数密度反转分布的饱和作用
小信号粒子密
度反转曲线
()νI I ν∆+='∆2/1S /1
11、何为自再现模, 解释自再现模积分方程中本征函数和本征值的物理含义。
当两个镜面完全相同时,经过多次腔内反射后,场分布将不再受衍射作用的影响,形成一种稳定的场分布(虽然光强等比例衰减,各点相位发生同样大小滞后),即场分布经过一次往返后能够“再现”出来,这个稳定的横向场分布就是谐振腔的自再现模或横模。
本征函数u mn: 表示在激光谐振腔中存在的稳定的横向场分布,就是自再现模,通常叫做“横模”,m 、n 称为横模序数。
本征值δmn 指对于一次渡越的衍射损耗(单程衍射损耗),m 、n 称为横模序数。
12、简述饱和光强是如何决定腔内光强以至激光器输出功率大小的。
不同激光工作物质的饱和光强Is 的值不相同。
有些介质,如二氧化碳,其饱和光强值很大。
由二氧化碳构成的激光器,即使腔内光强的
阈G I I νG νG s
D =+=1)()(0
数值已经很大,与介质的饱和光强Is的比值仍远小于1,介质对光波的增益仍然很大。
知道腔内光强的数值大到足以与饱和光强相比拟时,介质对光波的增益才开始下降而出现饱和现象。
因此,由饱和光强大的二氧化碳介质制成的激光器,腔内光强将会很强。
而另外一些介质,例如氦-氖激光器的工作物质,饱和光强很小。
在氦-氖激光器中,腔内光强不是很强时,与饱和光强相比已经是一个不可忽略的值了,因此介质在不大的光强之下就使增益系数开始下降,出现了增益饱和现象。
这时,光波在介质中的放大率开始下降,随着光强值I 继续增加,比值I/Is继续增大,I被放大的相对增长率G(v0)继续下降,直至光放大过程趋于停止。
因此,饱和光强值小的介质,腔内光强一定不会很强。
可见,饱和光强的确是介质的一个重要参量,它决定着腔内光强以致激光器输出功率的大小。
计算题
1、要制作一个腔长L=60cm的对称稳定腔,
(1)反射镜的曲率半径取值范围如何?
(2)若稳定腔的一块反射镜的曲率半径R1=4L,求另一面镜的曲率半径取值范围?
2、激光器的谐振腔由一面曲率半径为1m的凸面镜和曲率半径为2m
的凹面镜组成,求腔长L在什么范围内是稳定腔?
3、腔长为0.5m的氩离子激光器,发射中心频率0ν=5.85l014 Hz,
荧光线宽ν∆=6l08Hz,
问它可能存在几个纵模? 相应的纵模阶数q值为多少? (设
μ=1)
4、 在红宝石Q 调制激光器中,有可能将全部Cr 3+(铬离子)激发到激
光上能级并产生巨脉冲。
设红宝石直径0.8cm ,长8cm ,铬离子浓度为2×1018 cm -3,巨脉冲宽度为10ns 。
求:输出0.6943m 激光的最大能量和脉冲平均功率?
最大能量
5、 He-Ne 激光器的中心频率0ν=4.74×1014Hz ,荧光线宽ν∆= 1.5l09 Hz 。
若腔长L =l m ,问可能输出的纵模数为几个?为获得单纵模输出,腔长最长为多少?
可能存在的纵模数有11个
腔长最长不得大于 0.2m 6、考虑一用于氩离子激光器的稳定球面腔,波长λ=0.5145m ,两凹面反射镜M1和M2的曲率半径分别为R 1=1.5 m ,R 2=4 m ,腔长L
=1 m ,试问
(1)该腔是否稳定;
(2)计算该腔的光腰尺寸和位置;
(3)画出等效共焦腔 ?
(学习的目的是增长知识,提高能力,相信一分耕耘一分收
W 1030.21010103.2896⨯=⨯⨯=--t E 脉冲平均功率:
J
3.22=⋅⋅⋅⋅=⋅=λρπνc
h d r h N E 10105.1105.189
=⨯⨯=∆∆=q n ννm 2010
51103298
..νΔμc L L μc νΔνΔq =⨯⨯=<∴=<
获,努力就一定可以获得应有的回报)。