大学文科数学复习资料
- 格式:doc
- 大小:277.00 KB
- 文档页数:3
高考数学(文科)总复习考点解析及试题(解析版)第二章 函数、导数及其应用本章是高考复习中十分重要的一章,共有13个考点如下:考点1 函数及其表示 考点2 函数的定义域和值域考点3 函数的单调性考点4 函数的奇偶性与周期性考点5 二次函数与幂函数 考点6 指数与指数函数 考点7 对数与对数函数 考点8 函数的图象 考点9 函数与方程 考点10 函数模型及其应用考点11 变化率与导数、导数的计算考点12 导数的应用(一) 考点13 导数的应用(二)考点测试1 函数及其表示高考概览高考在本考点的常考题型为选择题和填空题,分值5分,中高等难度 考纲研读1.了解构成函数的要素,了解映射的概念2.在实际情境中,会根据不同的需要选择恰当的方法(如图象法、列表法、解析法)表示函数3.了解简单的分段函数,并能简单应用一、基础小题1.设f (x )=⎩⎪⎨⎪⎧1,x >0,0,x =0,-1,x <0,g (x )=⎩⎪⎨⎪⎧1,x 为有理数,0,x 为无理数,则f [g (π)]的值为( )A .1B .0C .-1D .π 答案 B解析 因为g (π)=0,所以f [g (π)]=f (0)=0,故选B . 2.下列图象中,不可能成为函数y =f (x )图象的是( )答案 A解析 函数图象上一个x 值只能对应一个y 值.选项A 中的图象上存在一个x 值对应两个y 值,所以其不可能为函数图象,故选A .3.下列各组函数中是同一个函数的是( ) ①f (x )=x 与g (x )=(x )2; ②f (x )=x 与g (x )=x 2; ③f (x )=x 2与g (x )=x 4;④f (x )=x 2-2x -1与g (t )=t 2-2t -1. A .①② B .①③ C .③④ D .①④ 答案 C解析 ①中f (x )的定义域为R ,g (x )的定义域为[0,+∞),故f (x ),g (x )不是同一个函数;②中g (x )=x 2=|x |,故f (x ),g (x )不是同一个函数.故选C .4.若点A (0,1),B (2,3)在一次函数y =ax +b 的图象上,则一次函数的解析式为( ) A .y =-x +1 B .y =2x +1 C .y =x +1 D .y =2x -1 答案 C解析 将点A ,B 代入一次函数y =ax +b 得b =1,2a +b =3,则a =1.故一次函数的解析式为y =x +1.故选C .5.已知反比例函数y =f (x ).若f (1)=2,则f (3)=( ) A .1 B .23 C .13 D .-1答案 B解析 设f (x )=k x (k ≠0),由题意有2=k ,所以f (x )=2x ,故f (3)=23.故选B .6.已知f (x +1)=x 2+2x +3,则f (x )=( ) A .x 2+4x +6 B .x 2-2x +2 C .x 2+2 D .x 2+1 答案 C解析 解法一:由f (x +1)=(x +1)2+2得f (x )=x 2+2.故选C .解法二:令x +1=t ,则x =t -1,所以f (t )=(t -1)2+2(t -1)+3=t 2+2,故f (x )=x 2+2.故选C .7.函数y =f (x )的图象与直线x =1的公共点个数可能是( ) A .1 B .0 C .0或1 D .1或2 答案 C解析 函数的图象与直线有可能没有交点.如果有交点,那么对于x =1,f (x )仅有一个函数值与之对应.故选C .8.“龟兔赛跑”讲述了这样的故事:领先的兔子看着慢慢爬行的乌龟,骄傲起来,睡了一觉.当它醒来时,发现乌龟快到终点了,于是急忙追赶,但为时已晚,乌龟还是先到达了终点.用s 1,s 2分别表示乌龟和兔子所行的路程(t 为时间),则下图与故事情节相吻合的是( )答案 B解析 兔子的速率大于乌龟,且到达终点的时间比乌龟长,观察图象可知,选B . 9.下列从集合A 到集合B 的对应中是映射的是( ) A .A =B =N *,对应关系f :x →y =|x -3|B .A =R ,B ={0,1},对应关系f :x →y =⎩⎪⎨⎪⎧1(x ≥0),0(x <0)C .A =Z ,B =Q ,对应关系f :x →y =1xD .A ={0,1,2,9},B ={0,1,4,9,16},对应关系f :a →b =(a -1)2答案 B解析 A 项中,对于集合A 中的元素3,在f 的作用下得0,但0∉B ,即集合A 中的元素3在集合B 中没有元素与之对应,所以这个对应不是映射;B 项中,对于集合A 中任意一个非负数在集合B 中都有唯一元素1与之对应,对于集合A 中任意一个负数在集合B 中都有唯一元素0与之对应,所以这个对应是映射;C 项中,集合A 中的元素0在集合B 中没有元素与之对应,故这个对应不是映射;D 项中,在f 的作用下,集合A 中的元素9应该对应64,而64∉B ,故这个对应不是映射.故选B .10.若函数f (x )如下表所示:则f [f (1)]=________. 答案 1解析 由表格可知,f (1)=2,所以f [f (1)]=f (2)=1.11.已知函数g (x )=1-2x ,f [g (x )]=2x 2-x 2,则f ⎝ ⎛⎭⎪⎫12=________.答案831解析 令1-2x =12,得x =14,所以f ⎝ ⎛⎭⎪⎫12=2×142-116=123116=831.12.如图,定义在[-1,+∞)上的函数f (x )的图象由一条线段及抛物线的一部分组成,则f (x )的解析式为________.答案 f (x )=⎩⎪⎨⎪⎧x +1,-1≤x ≤0,14(x -2)2-1,x >0解析 当-1≤x ≤0时,设解析式为y =kx +b (k ≠0),由图象得⎩⎪⎨⎪⎧-k +b =0,b =1,解得⎩⎪⎨⎪⎧k =1,b =1.∴y =x +1.当x >0时,设解析式为y =a (x -2)2-1(a ≠0), ∵图象过点(4,0),∴0=a (4-2)2-1,解得a =14.综上,函数f (x )在[-1,+∞)上的解析式为f (x )=⎩⎪⎨⎪⎧x +1,-1≤x ≤0,14(x -2)2-1,x >0.13.设函数f (x )=⎩⎪⎨⎪⎧1+log 2(2-x ),x <1,2x -1,x ≥1,则f (-2)+f (log 212)=( )A .3B .6C .9D .12 答案 C解析 ∵-2<1,∴f (-2)=1+log 2[2-(-2)]=3; ∵log 212>1,∴f (log 212)=2log 212-1=2log 26=6. ∴f (-2)+f (log 212)=9.14.存在函数f (x )满足:对于任意x ∈R 都有( ) A .f (sin2x )=sin x B .f (sin2x )=x 2+x C .f (x 2+1)=|x +1| D .f (x 2+2x )=|x +1| 答案 D解析 对于A ,令x =0,得f (0)=0;令x =π2,得f (0)=1,这与函数的定义不符,故A 错误.在B 中,令x =0,得f (0)=0;令x =π2,得f (0)=π24+π2,与函数的定义不符,故B 错误.在C 中,令x =1,得f (2)=2;令x =-1,得f (2)=0,与函数的定义不符,故C 错误.在D 中,变形为f (|x +1|2-1)=|x +1|,令|x +1|2-1=t ,得t ≥-1,|x +1|=t +1,从而有f (t )=t +1,显然这个函数关系在定义域[-1,+∞)上是成立的,故选D .15.设函数f (x )=⎩⎪⎨⎪⎧3x -1,x <1,2x,x ≥1.则满足f [f (a )]=2f (a )的a 的取值范围是( )A .⎣⎢⎡⎦⎥⎤23,1B .[0,1]C .⎣⎢⎡⎭⎪⎫23,+∞ D .[1,+∞) 答案 C解析 解法一:①当a <23时,f (a )=3a -1<1,f [f (a )]=3(3a -1)-1=9a -4,2f (a )=23a -1,显然f [f (a )]≠2f (a ).②当23≤a <1时,f (a )=3a -1≥1,f [f (a )]=23a -1,2f (a )=23a -1,故f [f (a )]=2f (a ).③当a ≥1时,f (a )=2a>1,f [f (a )]=22a,2f (a )=22a ,故f [f (a )]=2f (a ).综合①②③知a ≥23.故选C .解法二:∵f (x )=⎩⎪⎨⎪⎧3x -1,x <1,2x,x ≥1,而f [f (a )]=2f (a ),∴f (a )≥1,∴有⎩⎪⎨⎪⎧a <1,3a -1≥1或⎩⎪⎨⎪⎧a ≥1,2a≥1,解得23≤a <1或a ≥1,∴a ≥23,即a ∈⎣⎢⎡⎭⎪⎫23,+∞,故选C . 16.函数f (x )满足f (x +4)=f (x )(x ∈R ),且在区间(-2,2]上,f (x )=⎩⎪⎨⎪⎧cos πx2,0<x ≤2,x +12,-2<x ≤0,则f [f (15)]的值为________. 答案22解析 ∵f (x +4)=f (x ),∴函数f (x )的周期为4, ∴f (15)=f (-1)=12,f 12=cos π4=22,∴f [f (15)]=f 12=22.17.设函数f (x )=⎩⎪⎨⎪⎧x +1,x ≤0,2x,x >0,则满足f (x )+f ⎝ ⎛⎭⎪⎫x -12>1的x 的取值范围是________.答案 ⎝ ⎛⎭⎪⎫-14,+∞ 解析 由题意知,可对不等式分x ≤0,0<x ≤12,x >12三段讨论.当x ≤0时,原不等式为x +1+x +12>1,解得x >-14,∴-14<x ≤0.当0<x ≤12时,原不等式为2x+x +12>1,显然成立.当x >12时,原不等式为2x+2x -12>1,显然成立.综上可知,x >-14.18.设f ,g 都是由A 到A 的映射,其对应关系如下:映射f 的对应关系映射g 的对应关系则f [g (1)]的值为( ) A .1 B .2 C .3 D .4 答案 A解析 根据映射g 的对应关系,可得g (1)=4,再根据映射f 的对应关系,可得f (4)=1,故选A .19.下列函数为同一函数的是( ) A .y =x 2-2x 和y =t 2-2t B .y =x 0和y =1C .y =(x +1)2和y =x +1 D .y =lg x 2和y =2lg x 答案 A解析 对于A :y =x 2-2x 和y =t 2-2t 的定义域都是R ,对应关系也相同,∴是同一函数;对于B :y =x 0的定义域是{x |x ≠0},而y =1的定义域是R ,两函数的定义域不同,∴不是同一函数;对于C :y = (x +1)2=|x +1|和y =x +1的定义域都是R ,但对应关系不相同,∴不是同一函数;对于D :y =lg x 2的定义域是{x |x ≠0},而y =2lg x 的定义域是{x |x >0},两函数的定义域不同,∴不是同一函数.故选A .20.设函数f (x )=⎩⎪⎨⎪⎧x 2-1(x ≥2),log 2x (0<x <2),若f (m )=3,则实数m 的值为( )A .-2B .8C .1D .2 答案 D解析 当m ≥2时,由m 2-1=3,得m 2=4,解得m =2;当0<m <2时,由log 2m =3,解得m =23=8(舍去).综上所述,m =2,故选D .21. 某工厂八年来某种产品总产量y 与时间t (年)的函数关系如图,下列四种说法:①前三年中,产量的增长速度越来越快; ②前三年中,产量的增长速度越来越慢; ③第三年后,这种产品停止生产;④第三年后,年产量保持不变.其中说法正确的是( ) A .②③ B .②④ C .①③ D .①④ 答案 A解析 由函数图象可知,在区间[0,3]上,图象凸起上升,表明年产量增长速度越来越慢;在区间(3,8]上,图象是水平直线,表明总产量保持不变,即年产量为0,所以②③正确.故选A .22.设函数f (x )=⎩⎪⎨⎪⎧-x +λ,x <1(λ∈R ),2x,x ≥1,若对任意的a ∈R 都有f [f (a )]=2f (a )成立,则λ的取值范围是( )A .(0,2]B .[0,2]C .[2,+∞) D.(-∞,2) 答案 C解析 当a ≥1时,2a ≥2,∴f [f (a )]=f (2a )=22a =2f (a ),∴λ∈R ;当a <1时,f [f (a )]=f (λ-a )=2λ-a,∴λ-a ≥1,即λ≥a +1,由题意知λ≥(a +1)max ,∴λ≥2.综上,λ的取值范围是[2,+∞).故选C .23.已知函数f (x )=ax -b (a >0),f [f (x )]=4x -3,则f (2)=________. 答案 3解析 由题意,得f [f (x )]=a (ax -b )-b =a 2x -ab -b =4x -3,即⎩⎪⎨⎪⎧a 2=4,-ab -b =-3,因为a >0,所以解得⎩⎪⎨⎪⎧a =2,b =1,所以f (x )=2x -1,则f (2)=3.24.已知函数f (x )=22x +1+sin x ,则f (-2)+f (-1)+f (0)+f (1)+f (2)=________.答案 5解析 ∵f (x )+f (-x )=22x +1+sin x +22-x +1-sin x =22x +1+2x +11+2x =2,且f (0)=1,∴f (-2)+f (-1)+f (0)+f (1)+f (2)=5.25.已知f (1-cos x )=sin 2x ,则f (x 2)的解析式为________. 答案 f (x 2)=-x 4+2x 2,x ∈[-2,2]解析 f (1-cos x )=sin 2x =1-cos 2x ,令1-cos x =t ,t ∈[0,2],则cos x =1-t ,所以f (t )=1-(1-t )2=2t -t 2,t ∈[0,2],则f (x 2)=-x 4+2x 2,x ∈[-2,2].二、高考大题1.已知f (x )=⎩⎪⎨⎪⎧cx +1,0<x <c ,2-xc 2+1,c ≤x <1,且f (c 2)=98.(1)求常数c ; (2)解方程f (x )=98.解 (1)∵0<c <1,∴c 2<c , ∴f (c 2)=c 3+1=98,即c =12.(2)由(1)得f (x )=⎩⎪⎨⎪⎧12x +1,0<x <12,2-4x +1,12≤x <1.由f (x )=98得⎩⎪⎨⎪⎧0<x <12,12x +1=98或⎩⎪⎨⎪⎧12≤x <1,2-4x+1=98,解得x =14或x =34.2.已知二次函数f (x )满足f (x +1)-f (x )=2x 且f (0)=1. (1)求f (x )的解析式;(2)在区间[-1,1]上,y =f (x )的图象恒在y =2x +m 的图象上方,试确定实数m 的取值范围.解 (1)设f (x )=ax 2+bx +c (a ≠0),由f (0)=1,得c =1,所以f (x )=ax 2+bx +1. 因为f (x +1)-f (x )=2x ,所以a (x +1)2+b (x +1)+1-(ax 2+bx +1)=2x ,即2ax +a +b =2x ,所以⎩⎪⎨⎪⎧2a =2,a +b =0,解得⎩⎪⎨⎪⎧a =1,b =-1,所以f (x )=x 2-x +1.(2)由题意得x 2-x +1>2x +m 在[-1,1]上恒成立, 即x 2-3x +1-m >0在[-1,1]上恒成立.设g (x )=x 2-3x +1-m , 其图象的对称轴为直线x =32,所以g (x )在[-1,1]上单调递减.故只需g (1)>0,即12-3×1+1-m >0,解得m <-1. 故实数m 的取值范围是(-∞,-1).3.已知函数f (x )对任意实数x 均有f (x )=-2f (x +1),且f (x )在区间[0,1)上有表达式f (x )=x 2.(1)求f (-1),f (1.5);(2)写出f (x )在区间[-2,2]上的表达式.解 (1)由题意知f (-1)=-2f (-1+1)=-2f (0)=0,f (1.5)=f (1+0.5)=-12f (0.5)=-12×14=-18.(2)当x ∈[0,1)时,f (x )=x 2; 当x ∈[1,2)时,x -1∈[0,1),f (x )=-12f (x -1)=-12(x -1)2, f (2)=-12f (1)=14f (0)=0;当x ∈[-1,0)时,x +1∈[0,1),f (x )=-2f (x +1)=-2(x +1)2;当x ∈[-2,-1)时,x +1∈[-1,0),f (x )=-2f (x +1)=-2×[-2(x +1+1)2]=4(x +2)2.所以f (x )=⎩⎪⎨⎪⎧0,x =2,-12(x -1)2,x ∈[1,2),x 2,x ∈[0,1),-2(x +1)2,x ∈[-1,0),4(x +2)2,x ∈[-2,-1).4.某公司研发出一款产品,批量生产前先在某城市销售30天进行市场调查.调查结果发现:日销量f (t )与天数t 的对应关系服从图①所示的函数关系:每件产品的销售利润h (t )与天数t 的对应关系服从图②所示的函数关系.图①由抛物线的一部分(A 为抛物线顶点)和线段AB 组成.(1)设该产品的日销售利润Q (t )(0≤t ≤30,t ∈N ),分别求出f (t ),h (t ),Q (t )的解析式;(2)若在30天的销售中,日销售利润至少有一天超过8500元,则可以投入批量生产,该产品是否可以投入批量生产,请说明理由.解 (1)f (t )=⎩⎪⎨⎪⎧-110t 2+4t ,0≤t ≤20,-t +60,20<t ≤30,h (t )=⎩⎪⎨⎪⎧20t ,0≤t ≤10,200,10<t ≤30.由题可知,Q (t )=f (t )h (t ), ∴当0≤t ≤10时,Q (t )=-110t 2+4t 20t =-2t 3+80t 2;当10<t ≤20时,Q (t )=-110t 2+4t ×200=-20t 2+800t ;当20<t ≤30时,Q (t )=(-t +60)×200=-200t +12000.∴Q (t )=⎩⎪⎨⎪⎧-2t 3+80t 2,0≤t ≤10,-20t 2+800t ,10<t ≤20,-200t +12000,20<t ≤30(t ∈N ).(2)该产品不可以投入批量生产,理由如下: 当0≤t ≤10时,Q (t )max =Q (10)=6000, 当10<t ≤20时,Q (t )max =Q (20)=8000, 当20<t ≤30时,Q (t )<Q (20)=8000, ∴Q (t )的最大值为Q (20)=8000<8500.∴在一个月的销售中,没有一天的日销售利润超过8500元,不可以投入批量生产.考点测试2 函数的定义域和值域高考概览高考在本考点的常考题型为选择题、填空题,分值5分,中等难度 考纲研读会求一些简单函数的定义域和值域一、基础小题1.函数y =1log 2x -2的定义域为( )A .(0,4)B .(4,+∞)C .(0,4)∪(4,+∞) D.(0,+∞) 答案 C解析 由条件可得log 2x -2≠0且x >0,解得x ∈(0,4)∪(4,+∞).故选C . 2.函数y =x (3-x )+x -1的定义域为( ) A .[0,3] B .[1,3] C .[1,+∞) D.[3,+∞) 答案 B解析 由题意得⎩⎪⎨⎪⎧x (3-x )≥0,x -1≥0,解得1≤x ≤3.故选B .3.函数f (x )=-2x 2+3x (0<x ≤2)的值域是( ) A .-2,98 B .-∞,98C .0,98D .98,+∞答案 A解析 f (x )=-2x -342+98(x ∈(0,2]),所以f (x )的最小值是f (2)=-2,f (x )的最大值是f 34=98.故选A .4.已知函数f (x )=2+log 3x ,x ∈181,9,则f (x )的最小值为( )A .-2B .-3C .-4D .0 答案 A解析 由函数f (x )在其定义域内是增函数可知,当x =181时,函数f (x )取得最小值f 181=2+log 3 181=2-4=-2,故选A .5.已知函数f (x )的定义域为(-1,1),则函数g (x )=f x2+f (x -1)的定义域为( ) A .(-2,0) B .(-2,2) C .(0,2) D .-12,0答案 C解析 由题意得⎩⎪⎨⎪⎧-1<x 2<1,-1<x -1<1,∴⎩⎪⎨⎪⎧-2<x <2,0<x <2,∴0<x <2,∴函数g (x )=f x2+f (x-1)的定义域为(0,2),故选C .6.函数y =x +2-x 的值域为( ) A .94,+∞ B.94,+∞ C .-∞,94 D .-∞,94答案 D解析 令t =2-x ≥0,则t 2=2-x ,x =2-t 2,∴y =2-t 2+t =-t -122+94(t ≥0),∴y ≤94,故选D .7.已知函数f (x )=1x +1,则函数f [f (x )]的定义域是( ) A .{x |x ≠-1} B .{x |x ≠-2}C .{x |x ≠-1且x ≠-2}D .{x |x ≠-1或x ≠-2} 答案 C 解析 f [f (x )]=1f (x )+1=11x +1+1,所以有⎩⎪⎨⎪⎧x ≠-1,11+x+1≠0,解得x ≠-1且x ≠-2.故选C .8.若函数y =f (x )的值域是[1,3],则函数F (x )=1-f (x +3)的值域是( ) A .[-8,-3] B .[-5,-1] C .[-2,0] D .[1,3]答案 C解析 ∵1≤f (x )≤3,∴-3≤-f (x +3)≤-1,∴-2≤1-f (x +3)≤0,即F (x )的值域为[-2,0].故选C .9.函数y =16-4x的值域是( )A .[0,+∞) B.[0,4] C .[0,4) D .(0,4) 答案 C解析 由已知得0≤16-4x<16,0≤ 16-4x<16=4,即函数y =16-4x的值域是[0,4).故选C .10.函数y =2x -1的定义域是(-∞,1)∪[2,5),则其值域是( ) A .(-∞,0)∪⎝ ⎛⎦⎥⎤12,2 B .(-∞,2] C .⎝ ⎛⎦⎥⎤-∞,12∪(2,+∞) D.(0,+∞) 答案 A解析 当x <1时,x -1<0,此时y =2x -1<0;当2≤x <5时,1≤x -1<4,此时14<1x -1≤1,12<2x -1≤2,即12<y ≤2,综上,函数的值域为(-∞,0)∪⎝ ⎛⎦⎥⎤12,2.故选A .11.已知函数f (x )=⎩⎪⎨⎪⎧x 2+x ,-2≤x ≤0,1x,0<x ≤3,则函数f (x )的值域是________.答案 -14,+∞解析 当-2≤x ≤0时,x 2+x =x +122-14,其值域为-14,2;当0<x ≤3时,1x 的值域为13,+∞,故函数f (x )的值域是-14,+∞. 12.函数f (x )=x -1x +1的值域为________. 答案 [-1,1) 解析 由题意得f (x )=x -1x +1=1-2x +1,∵x ≥0,∴0<2x +1≤2,∴-2≤-2x +1<0,∴-1≤1-2x +1<1,故所求函数的值域为[-1,1).13.下列函数中,其定义域和值域分别与函数y =10lg x的定义域和值域相同的是( )A .y =xB .y =lg xC .y =2xD .y =1x答案 D 解析 函数y =10lg x的定义域、值域均为(0,+∞),而y =x ,y =2x的定义域均为R ,排除A ,C ;y =lg x 的值域为R ,排除B .故选D .14.函数f (x )=log 2x -1的定义域为________. 答案 [2,+∞)解析 由题意可得log 2x -1≥0,即log 2x ≥1,∴x ≥2.∴函数的定义域为[2,+∞). 15.函数y =3-2x -x 2的定义域是________. 答案 [-3,1]解析 若函数有意义,则需3-2x -x 2≥0,即x 2+2x -3≤0,解得-3≤x ≤1. 16.已知函数f (x )=⎩⎪⎨⎪⎧x +2x-3,x ≥1,lg (x 2+1),x <1,则f [f (-3)]=________,f (x )的最小值是________. 答案 0 22-3解析 由题知,f (-3)=1,f (1)=0,即f [f (-3)]=0.又f (x )在(-∞,0)上单调递减,在(0,1)上单调递增,在(1,2)上单调递减,在(2,+∞)上单调递增,所以f (x )min =min{f (0),f (2)}=22-3.17.已知函数f (x )=a x+b (a >0,a ≠1)的定义域和值域都是[-1,0],则a +b =________. 答案 -32解析 ①当a >1时,f (x )在[-1,0]上单调递增,则⎩⎪⎨⎪⎧a -1+b =-1,a 0+b =0,无解.②当0<a <1时,f (x )在[-1,0]上单调递减,则⎩⎪⎨⎪⎧a -1+b =0,a 0+b =-1,解得⎩⎪⎨⎪⎧a =12,b =-2,所以a +b =-32.18.若函数f (x )=⎩⎪⎨⎪⎧-x +6,x ≤2,3+log a x ,x >2(a >0,且a ≠1)的值域是[4,+∞),则实数a的取值范围是________.答案 (1,2]解析 当x ≤2时,f (x )=-x +6,f (x )在(-∞,2]上为减函数,∴f (x )∈[4,+∞).当x >2时,若a ∈(0,1),则f (x )=3+log a x 在(2,+∞)上为减函数,f (x )∈(-∞,3+log a 2),显然不满足题意,∴a >1,此时f (x )在(2,+∞)上为增函数,f (x )∈(3+log a 2,+∞),由题意可知(3+log a 2,+∞)⊆[4,+∞),则3+log a 2≥4,即log a 2≥1,∴1<a ≤2.19.函数f (x )=12-x+ln (x +1)的定义域为( )A .(2,+∞) B.(-1,2)∪(2,+∞) C .(-1,2) D .(-1,2] 答案 C解析 函数的定义域应满足⎩⎪⎨⎪⎧2-x >0,1+x >0,∴-1<x <2.故选C .20.已知函数f (x )=x +2x-a (a >0)的最小值为2,则实数 a =( ) A .2 B .4 C .8 D .16 答案 B解析 由2x-a ≥0得x ≥log 2a ,故函数的定义域为[log 2a ,+∞),易知函数f (x )在[log 2a ,+∞)上单调递增,所以f (x )min =f (log 2a )=log 2a =2,解得a =4.故选B .21.已知函数f (x )=⎩⎪⎨⎪⎧x -2(x ≤1),ln x (x >1),那么函数f (x )的值域为( )A .(-∞,-1)∪[0,+∞) B.(-∞,-1]∪(0,+∞) C .[-1,0) D .R 答案 B解析 函数y =x -2(x ≤1)的值域为(-∞,-1],函数y =ln x (x >1)的值域为(0,+∞),故函数f (x )的值域为(-∞,-1]∪(0,+∞).故选B .22.已知函数f (x )=4|x |+2-1的定义域是[a ,b ](a ,b ∈Z ),值域是[0,1],那么满足条件的整数数对(a ,b )共有( )A .2个B .3个C .5个D .无数个 答案 C解析 ∵函数f (x )=4|x |+2-1的值域是[0,1],∴1≤4|x |+2≤2,∴0≤|x |≤2,∴-2≤x ≤2,∴[a ,b ]⊆[-2,2].又由于仅当x =0时,f (x )=1,当x =±2时,f (x )=0,故在定义域中一定有0,且2,-2中必有其一,故满足条件的整数数对(a ,b )有(-2,0),(-2,1),(-2,2),(-1,2),(0,2)共5个.故选C .23.函数y =3|x |-1的定义域为[-1,2],则函数的值域为________.答案 [0,8]解析 当x =0时,y min =30-1=0,当x =2时,y max =32-1=8,故值域为[0,8]. 24.若函数f (x +1)的定义域是[-1,1],则函数f (log 12x )的定义域为________.答案 14,1解析 ∵f (x +1)的定义域是[-1,1],∴f (x )的定义域是[0,2],则f (log 12x )的定义域为0≤log 12x ≤2,∴14≤x ≤1.二、高考大题1.已知a ≥3,函数F (x )=min{2|x -1|,x 2-2ax +4a -2},其中min{p ,q }=⎩⎪⎨⎪⎧p ,p ≤q ,q ,p >q .(1)求使得等式F (x )=x 2-2ax +4a -2成立的x 的取值范围; (2)①求F (x )的最小值m (a );②求F (x )在区间[0,6]上的最大值M (a ). 解 (1)由于a ≥3,故当x ≤1时,(x 2-2ax +4a -2)-2|x -1|=x 2+2(a -1)(2-x )>0, 当x >1时,(x 2-2ax +4a -2)-2|x -1|=(x -2)(x -2a ).所以,使得等式F (x )=x 2-2ax +4a -2成立的x 的取值范围为[2,2a ]. (2)设函数f (x )=2|x -1|,g (x )=x 2-2ax +4a -2. ①f (x )min =f (1)=0,g (x )min =g (a )=-a 2+4a -2, 所以,由F (x )的定义知m (a )=min{f (1),g (a )},即m (a )=⎩⎨⎧0,3≤a ≤2+2,-a 2+4a -2,a >2+ 2.②当0≤x ≤2时,F (x )≤f (x )≤max{f (0),f (2)}=2=F (2),当2≤x ≤6时,F (x )≤g (x )≤max{g (2),g (6)}=max{2,34-8a }=max{F (2),F (6)}.所以,M (a )=⎩⎪⎨⎪⎧34-8a ,3≤a <4,2,a ≥4.2.已知f (x )=2+log 3x ,x ∈[1,9],试求函数y =[f (x )]2+f (x 2)的值域. 解 ∵f (x )=2+log 3x 的定义域为[1,9],要使[f (x )]2+f (x 2)有意义,必有1≤x ≤9且1≤x 2≤9,∴1≤x ≤3,∴y =[f (x )]2+f (x 2)的定义域为[1,3]. 又y =(2+log 3x )2+2+log 3x 2=(log 3x +3)2-3. ∵x ∈[1,3],∴log 3x ∈[0,1],∴y max =(1+3)2-3=13,y min =(0+3)2-3=6. ∴函数y =[f (x )]2+f (x 2)的值域为[6,13].3.已知函数f (x )=ax +1a(1-x )(a >0),且f (x )在[0,1]上的最小值为g (a ),求g (a )的最大值.解 f (x )=⎝⎛⎭⎪⎫a -1a x +1a,当a >1时,a -1a>0,此时f (x )在[0,1]上为增函数,∴g (a )=f (0)=1a;当0<a <1时,a -1a<0,此时f (x )在[0,1]上为减函数,∴g (a )=f (1)=a ;当a =1时,f (x )=1,此时g (a )=1.∴g (a )=⎩⎪⎨⎪⎧a ,0<a <1,1a,a ≥1,∴g (a )在(0,1)上为增函数,在[1,+∞)上为减函数, 又a =1时,有a =1a=1,∴当a =1时,g (a )取得最大值1. 4.已知函数f (x )=x 2+(2a -1)x -3.(1)当a =2,x ∈[-2,3]时,求函数f (x )的值域; (2)若函数f (x )在[1,3]上的最大值为1,求实数a 的值. 解 (1)当a =2时,f (x )=x 2+3x -3=x +322-214,又x ∈[-2,3],所以f (x )min =f -32=-214,f (x )max =f (3)=15,所以所求函数的值域为-214,15.(2)对称轴为x =-2a -12.①当-2a -12≤1,即a ≥-12时,f (x )max =f (3)=6a +3,所以6a +3=1,即a =-13,满足题意;②当-2a -12≥3,即a ≤-52时,f (x )max =f (1)=2a -3,所以2a -3=1,即a =2,不满足题意; ③当1<-2a -12<3,即-52<a <-12时,此时,f (x )max 在端点处取得,令f (1)=1+2a -1-3=1,得a =2(舍去), 令f (3)=9+3(2a -1)-3=1,得a =-13(舍去).综上,可知a =-13.考点测试3 函数的单调性高考预览:本考点是高考的常考知识点,常与函数的奇偶性、周期性相结合综合考查。
2008级“大学文科数学”课《基本要求与补充练习题》一.微积分部分掌握函数的概念,掌握分段函数的概念,会求函数的定义域掌握函数的单调性、奇偶性掌握复合函数、基本初等函数、初等函数的概念掌握数列极限、函数极限(x →a 和x →∞)、函数在一点的左右极限的概念掌握极限的性质,会计算有理式的极限,会使用两个重要极限公式掌握函数在一点连续的定义、知道间断点的概念,会判断函数的连续性,知道连续与可导的关系7.掌握导数的定义,掌握导数的几何意义和物理意义,知道导函数的概念,掌握二阶导数的概念8.掌握下列导数的基本公式:(1)y =c ,y '=0;(2)y =x α,y '=αx α-1;(3)y =sin x ,y '=cos x ;(4)y =cos x ,y '=-sin x ;11(5)y =tan x ,y '=;(6)y =cot x ,y '=-;22cos x sin x 11(7)y =log a x ,y '=log a e ;(8)y =ln x ,y '=;xx(9)y =a x ,y '=a x ln a ;(10)y =e x ,y '=e x9.掌握导数的四则运算法则、复合函数求导法则,掌握二阶导数的计算10.掌握微分的概念与计算公式11.会用导数判断函数的单调性、求函数的极值和最值,知道驻点的概念,会用导数判断曲线的凹向性,知道用导数画函数图形的方法,会利用极限求曲线的水平渐近线和垂直渐近线12.掌握原函数和不定积分的概念、掌握不定积分的性质13.掌握下列不定积分的基本公式:1α+11(1)α≠-1,x αdx =x +c (2)dx =ln |x |+cα+1x1x (3)a x dx =a +c (4)e x dx =e x +cln a (5)cos xdx =sin x +c(6)sin xdx =-cos x +c11(7)dx =tan x +c(8)dx =-cot x +c22cos xsin x14.掌握“凑微分”和分部积分的方法15.掌握定积分的概念和几何意义,掌握定积分的性质16.知道牛顿-莱布尼兹公式,会用牛顿-莱布尼兹公式计算定积分,知道定积分的换元法和分部积分法17.会利用定积分计算简单的平面图形面积18.掌握无穷限广义积分的概念和计算1.2.3.4.5.6.⎰⎰⎰⎰⎰⎰⎰⎰二.线性代数部分19.掌握矩阵的概念与表示,知道零矩阵、n 阶矩阵、单位矩阵20.掌握矩阵的加法、数乘、乘法运算,掌握矩阵的初等变换21.掌握逆矩阵的定义、性质,掌握用初等变换求逆矩阵的方法22.掌握矩阵秩的概念和用初等变换求矩阵秩的方法23.会用线性方程组的消元法(初等行变换)求解非齐次和齐次线性方程组24.掌握非齐次线性方程组和齐次线性方程组解的判定定理三.概率统计部分25.掌握随机事件的概念(包括:基本事件、不可能事件、必然事件)及表示26.掌握随机事件的运算(包括:包含、并、交、互斥、对立),掌握两个随机事件相互独立的概念27.掌握概率的定义和性质(教材188页)28.掌握概率的计算公式,包括:古典概型、加法定理及其两个推论、乘法定理(教材195页)、条件概率公式、全概率公式和贝叶斯公式、贝努里概型29.掌握随机变量的概念,知道离散型随机变量和连续型随机变量30.掌握离散型随机变量概率分布的概念,掌握两点分布、二项分布、泊松分布31.掌握连续性随机变量概率密度的概念,知道概率密度的性质,知道分布函数的概念,掌握均匀分布、指数分布、正态分布,特别是正态分布要会查表计算概率32.掌握离散型和连续型随机变量期望和方差的定义和计算,知道期望和方差的实际意义,掌握两点分布、二项分布、泊松分布、均匀分布、指数分布、正态分布的期望和方差33.掌握总体、样本的概念,了解直方图的做法和直方图与概率密度函数的关系34.掌握样本均值和样本方差的概念,知道样本均值和样本方差可以用来估计总体期望和总体方差35.了解一元线性回归的统计方法四.补充练习题60道6x 2+3x +51.limx →∞2x 2-1x 3-14.limx →13x +527.limx -3x +22x →16x 2+3x +52.limx →∞2x 3-13x +55.lim3x →1x -11+x -1-x x →0x tan 2x 11.limx →0x 1+x 114.lim()xx →01-x8.lim6x 2+3x +53.limx →∞2x -1x 2-46.limx →2x -29.lim(x 2+2x -1-x 2-3x +4)x →∞x -1sin(x 2-4)10.limx →2x -2313.lim(1+)xx →∞x 12.lim x ⋅sinx →∞3xx 2-115.lim(x →∞x +1x)x -1⎧1+x -1-x ⎪16.f (x )=⎨x⎪k ⎩x ≠0x =0问k 为何值时f(x)在x=0点连续17.求函数的间断点f (x )=x -1(x -1)(x -2)⎧x -1x <018.求函数的间断点f (x )=⎨x +1x ≥0⎩⎧sin xx ≠0⎪19.求函数的间断点f (x )=⎨x⎪x =0⎩220.已知f(x)在x=a 点可导,求极限limx →0f (a +2x )-f (a )x21.求曲线y =x 3+x -1在x=1处的切线方程sin x +x ln x +1y '=?xd 2y 24.y =23x 2+5x -1=?dx 226.y =tan x 3y '=?22.y =23.y =x 4+2x -125.f (x )=dy =?ax +bf '(0)=?c +d27.y =tan 3x y '=?x 28.求函数的单调区间y =x 4-2x +229.求函数的单调区间y =x -e 30.求函数的极值y=x 2e -x31.求曲线的凹向和拐点y =xe x-1x32.求曲线的渐近线y =e33.⎰(3x+2x -1)dx136.⎰dx cos 2(3x +5)22x 234.⎰dxx +437.⎰xe π-2x 35.⎰πxdx x 2+46dx 38.⎰sin 3x cos xdxe +∞1x39.⎰x 4-x 2dx40.⎰x sin 2xdx41.⎰ln xdx142.⎰1e dxx 243.求曲线y =x 3与y 轴和直线y=1所围成的封闭图形的面积3-57⎫⎪123⎪012⎪⎪001⎭⎛1 0B = 0 ⎝131⎫⎪162⎪求:A-2B,AB⎪031⎪-100⎭0⎛1 044.矩阵A = 0 ⎝045.求矩阵A 的逆矩阵A -1⎛130⎫ ⎪A = 01-1⎪216⎪⎝⎭⎛10⎫⎪B = 01⎪12⎪⎝⎭⎛101⎫B = ⎪⎝012⎭⎛130⎫46.解矩阵方程AX=B ,A = 01-1⎪⎪ 216⎪⎝⎭⎛130⎫47.解矩阵方程XA=B ,A = 01-1⎪⎪ 216⎪⎝⎭⎛100148.A =00⎝1-149.⎨31⎫⎪62⎪,求r(A)31⎪⎪00⎭⎧x 1+2x 2+kx 3=1问k 为何值时方程组无解?k 为何值时方程组有解?并求解⎩2x 1+kx 2+8x 3=350.讨论λ为何值时,4元线性方程组⎧x 1⎪2x⎪1⎨⎪-3x 1⎪⎩x 1+2x 2+5x 2-6x 2+2x 2-x3+(λ-1)x3++-x43x 43x4=-1===030+(λ+1)x4①无解;②有唯一解,并求解;③有无穷多解,并求其全部解51.设随机事件A 、B 、C ,试表示:(1)事件A 、B 、C 恰有一个发生(2)事件A 、B 、C 恰有两个发生(3)事件A 、B 、C 至少有一个发生(4)事件A 、B 、C 至少有两个发生(5)事件A 、B 、C 都不发生52.口袋里有3个白球、4个红球,现在从袋中随机地取出3个球,设X 表示取出的3个球中白球的个数,求X 的概率分布、E(X)、D(X)53.口袋里有3个白球、4个红球,现在从袋中随机地取出1个球,看后将其放回口袋,然后再取一个球,如此这般共取了三次。
一、单项选择题(共10小题,每小题2分,共20分)1、设函数)(x f 的定义域是[0,1],那么(1)f x +的定义域是( B )。
A. [0,1]B. [1,0]-C. [1,2]D. [0,2] 2、xxx 3sin lim∞→= ( D )。
A. 3B. 1C.31D. 03、下列为0→x 时的等价无穷小的是( C )。
A. x 2sin 与xB. 12-xe 与x C. )1ln(x +与x D. x cos 1-与22x4、过曲线x x y ln =上0M 点的切线平行于直线x y 2=,则切点0M 的坐标是( D )。
A.(1,0)B.(e, 0)C. (e, 1)D. (e, e)5、设函数)(x f y =二阶可导,如果01)(")('00=+=x f x f ,那么点0x ( A )。
A. 是极大值点 B. 是极小值点 C. 不是极值点 D. 不是驻点6、在区间),(+∞-∞内,下列曲线为凹的是( D )。
A.)1ln(2x y +=B.32x x y -=C.x y cos =D.x e y -=7、设)(x f 为连续函数,则]')2([⎰dx x f =( B )。
A. )2(21x f B. )2(x f C. )2(2x f D. )(2x f 8、若C ex dx x f x+=⎰22)(,则)(x f =( D )。
A. x xe 22B. x e x 222C. x xe 2D. )1(22x xe x +9、下列关系式正确的是( C ) A. )()(x f dx x f d=⎰ B. )()(x df dx x f d =⎰ C. dx x f dx x f d)()(=⎰D. C x f dx x f d+=⎰)()(10、⎰-)cos 1(x d =( C )。
A. x cos 1-B. C x x +-sinC. C x +-cosD. C x +sin二、填空题(共10空,每空2分,共20分)11xx x )1321(lim ++∞→=32e 12、 设1)('0=xf ,则hx f h x f h )()2(l i m 000-+→= 2 。
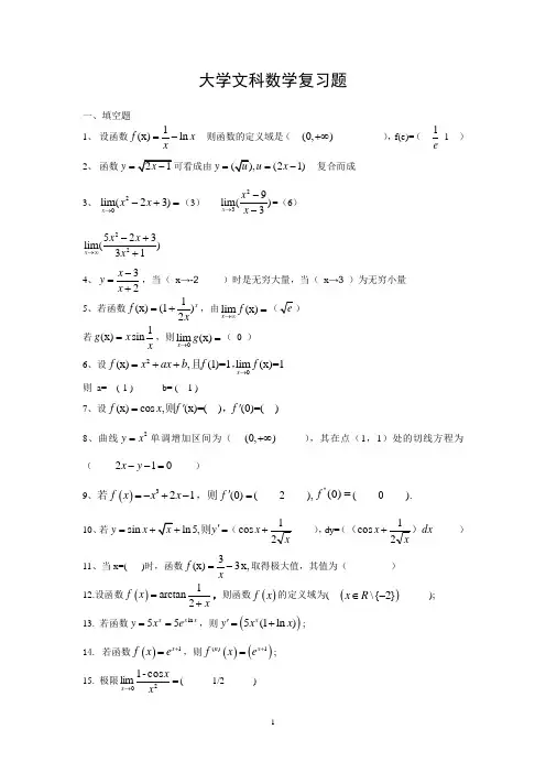
大学文科数学复习题一、填空题 1、 设函数1(x)ln f x x =- 则函数的定义域是( (0,)+∞ ),f(e)=( e1-1 )2、 函数y =(21)y u x ==- 复合而成3、 20lim(23)x x x →-+=(3) 239lim()3x x x →--=(6) 22523lim()31x x x x →∞-++ 4、32x y x -=+,当( x →-2 )时是无穷大量,当( x →3 )为无穷小量 5、若函数1(x)(1)2xf x=+,由lim (x)x f →∞=(e ) 若1(x)sin g x x=,则0lim (x)x g →=( 0 )6、设2(x),(1)=1lim (x)=1x f x ax b f f →=++且,则 a= (-1 ) b= ( 1 )7、设(x)cos ,(x)=( )(0)=( )f x f f ''=则,8、曲线2y x =单调增加区间为( (0,)+∞ ),其在点(1,1)处的切线方程为(210x y --=)9、若()321f x x x =-+-,则=')0(f ( 2 ),''(0)f =( 0 ).10、若s i n 5,y x y '=+=则(xx 21cos +),dy=(dx xx )(21cos + )11、当x=( )时,函数3(x)3x,f x=-取得极大值,其值为( ) 12.设函数()1arctan 2f x x=+,则函数()f x 的定义域为( ()\{2}x R ∈- ); 13. 若函数ln 55xx xy x e ==,则()5(1ln )xy x x '=+;14. 若函数()1x f x e +=,则()()()1n x f x e +=;15. 极限=→20cos -1limxxx ( 1/2 )16. 极限=++∞→xxx sin x lim( 1 )17. 不定积分21ln 1(1ln )2x dx x C x+⎛⎫=++ ⎪⎝⎭⎰ 18. 设函数cos , 0() ,0x x f x x a x <⎧=⎨-≥⎩在0x =点连续,则=a ___-1____.19. 设2)(x x f =, 则[()]f f x '= 22x .20. sin limx xx→+∞= 021. 曲线1y x=在点(1,1)处的法线方程为 y=x22. (1cos )x dx -⎰= sin x x c -+ .二、选择题 1、设函数()ln(1)f x x =-,则函数()f x 的定义域为( C );A) (1,2) , B) [1,2] , C) (1,2] , D) [1,2). 2、设()()2,cos f x x x x ϕ==,则()()2lim x f x πϕ→=⎡⎤⎣⎦;BA) 2cos4π , B) 0 , C)12, D) 1. 3、设()()2,sin f x x x x ϕ==,(){}();f x ϕ'=⎡⎤⎣⎦ CA) sin 2x , B) 2sin x , C) 22cos x x , D) 2cos x .4、极限2311lim ()34x x x x →-=+-;BA)12, B) 13 , C) 0 , D) 1.5.极限3331lim ()21x x x x x →∞-+=+-.BA) 1, B) 32, C) 0, D) 23.6.下列命题中正确的是( A );A) 1lim sin1x x x →∞=, B) 01lim sin 1x x x→= ,C) 1lim sin 0x x x →∞=, D) 0sin lim0x xx→=. 7、若函数()11xf x x ⎛⎫=+ ⎪⎝⎭,则()()lim x f x →+∞=;A) 1, B) e , C)1e, D) 0. 8、若函数()11xf x x ⎛⎫=+ ⎪⎝⎭,则()()0lim x f x +→=;BA) 1 , B) e , C)1e, D) 0. 9、设()3f x x ax b =++,且()13f =,()0lim 2x f x →=,则(D );A) 2,0a b ==, B) 2,1a b =-=, C) 2,1a b ==-, D) 0,2a b ==. 10、设1()1xf x x-=+,则(0)()f '=;AA) 2-, B) 1-, C) 0, D) 2. 11、曲线21y x =-+单调上升区间为( );AA) (,0]-∞, B) (,1]-∞, C) [0,)+∞, D) [1,)+∞. 12、曲线2y x =在点(1,1)的切线方程为 ( );CA) 1(1)y x -=--, B) 11(1)2y x -=- , C) 12(1)y x -=-, D) 11y x -=- . 13、若()551f x x x =+-,则(5)()fx =( );DA) 0, B) 12, C) 24, D) 120.14、当()x =时,函数3()32f x x x =-+取得极大值,该极大值等于4;BA) 1, B) 1-, C) 0, D) 3.15. 当1x =时,函数3()31f x x x =-+取得极小值,该极小值等于( B ).A) 0, B) 1-, C) 2-, D) 3-. 16. 下列函数为初等函数的是( B )(B). y =(C).⎪⎩⎪⎨⎧=≠--=11112x x x x y (D).⎩⎨⎧≥<+=001x x x x y17. 当x →0时,与sin x 等价的无穷小是( A )(A) 2x x + (B) x x sinx 2 18. 设)0(f '存在,则0(0)()limx f f x x→--=( D )(A) )0(f '- (B) )0(2f '- (C) )0(2f ' (D) )0(f ' 19. 物体在某时刻的瞬时速度,等于物体运动在该时刻的( D ) (A)函数值 (B)极限 (C) 积分 (D)导数 20. 若)(x f 的导函数是x sin ,则)(x f 有一个原函数为( C ) (A) x cos 1+(B) sin x x + (C) sin x x - (D)x cos 1-三、求下面极限1、222111lim(...)1n n n n n →∞+++++, 因为:01111111022222→=≤+++++≤+=+←nn n n n n n n n n n 所以原式=02、101020(x 1)(2x 5)lim()(3x 7)x →∞---=201032 3、3211lim();28x x x →---4、81lim(1)x x x -→∞-e 1=5、25sin 3x 6lim 2x x →--=∞6、3tan limx x xx →- 解: 30tan lim x x x x →-=220sec 1lim 3x x x →-=22222001cos sin 1lim lim 3cos 33x x x x x x x →→-==7、20(1)lim sin x x x e x→-解:20(1)lim sin x x x e x →-=001lim lim sin x x x x e x x →→-=01lim11xx e →⋅= 四、求下面函数的导数、微分或不定积分 1、x)y =; 略2、1arcsin arctan 2t y t=+,求dy 略3、2cos x y e x =解:y '=222cos sin xxe x e x -=2(2cos sin )x e x x -4、053=-+x y exy,求dy()xyxyxy xe y ye y y y y x y e +-='⇒=-'+'+22350535、已知2ln(1)ln y x x =+-,求dy解:因为y '=2211x x x -+所以dy =221d (1)x x x x -+ 6、求不定积分21xdx x -⎰解:21x dx x -⎰=211dx x x ⎡⎤-=⎢⎥⎣⎦⎰211d d x x x x -⎰⎰=1ln x C x--+ 五、解答1.求函数()ln(21)f x x =-+的定义域解:290x ->且210x ->,所以函数()ln(21)f x x =-的定义域:132x << 2. 欲做一个体积为72立方厘米的带盖箱子,其底面长方形的两边成一比二的关系,怎样做法所用的材料最省?解:设底面长方形的两边的边长为x 厘米,x 2厘米,则高为2362.72xx x =厘米表面积x x x x x x x x S 21642).36.2(2).36.(2).2.(222+=++=求导 021682,=-=xx S 所以在区间),0(+∞上只有唯一的驻点3=x又因为在实际问题中存在最值,所以驻点3=x 就是所求的最值点。
2018年高考文科数学知识点复习高考文科数学知识点一不等式一、不等式的性质1.两个实数a与b之间的大小关系2.不等式的性质(4)(乘法单调性)3.绝对值不等式的性质(2)如果a 0,那么(3)|a?b|=|a|?|b|.(5)|a|-|b| |a b| |a|+|b|.(6)|a1+a2+ +an| |a1|+|a2|+ +|an|.二、不等式的证明1.不等式证明的依据(2)不等式的性质(略)(3)重要不等式:①|a| a2 (a-b)2 0(a、b R)②a2+b2 2ab(a、b R,当且仅当a=b时取= 号)2.不等式的证明方法(1)比较法:要证明a b(a0(a-b 0),这种证明不等式的方法叫做比较法.用比较法证明不等式的步骤是:作差变形判断符号.(2)综合法:从已知条件出发,依据不等式的性质和已证明过的不等式,推导出所要证明的不等式成立,这种证明不等式的方法叫做综合法.(3)分析法:从欲证的不等式出发,逐步分析使这不等式成立的充分条件,直到所需条件已判断为正确时,从而断定原不等式成立,这种证明不等式的方法叫做分析法.证明不等式除以上三种基本方法外,还有反证法、数学归纳法等.三、解不等式1.解不等式问题的分类(1)解一元一次不等式.(2)解一元二次不等式.(3)可以化为一元一次或一元二次不等式的不等式.①解一元高次不等式;②解分式不等式;③解无理不等式;④解指数不等式;⑤解对数不等式;⑥解带绝对值的不等式;⑦解不等式组.2.解不等式时应特别注意下列几点:(1)正确应用不等式的基本性质.(2)正确应用幂函数、指数函数和对数函数的增、减性.(3)注意代数式中未知数的取值范围.3.不等式的同解性(5)|f(x)|0)(6)|f(x)| g(x)①与f(x) g(x)或f(x) -g(x)(其中g(x) 0)同解;②与g(x) 0同解.(9)当a 1时,af(x) ag(x)与f(x) g(x)同解,当0ag(x)与f(x)四、不等式解不等式的途径,利用函数的性质。
文科数学高考复习(推荐5篇)1.文科数学高考复习第1篇1、学会三视图的分析:2、斜二测画法应注意的地方:(1)在已知图形中取互相垂直的轴Ox、Oy。
画直观图时,把它画成对应轴o'x'、o'y'、使∠x'o'y'=45°(或135°);(2)平行于x轴的线段长不变,平行于y轴的线段长减半.(3)直观图中的45度原图中就是90度,直观图中的90度原图一定不是90度.3、表(侧)面积与体积公式:⑴柱体:①表面积:S=S侧+2S底;②侧面积:S侧=;③体积:V=S底h⑵锥体:①表面积:S=S侧+S底;②侧面积:S侧=;③体积:V=S底h:⑶台体①表面积:S=S侧+S上底S下底②侧面积:S侧=⑷球体:①表面积:S=;②体积:V=4、位置关系的证明(主要方法):注意立体几何证明的书写(1)直线与平面平行:①线线平行线面平行;②面面平行线面平行。
(2)平面与平面平行:①线面平行面面平行。
(3)垂直问题:线线垂直线面垂直面面垂直。
核心是线面垂直:垂直平面内的两条相交直线5、求角:(步骤-------Ⅰ.找或作角;Ⅱ.求角)⑴异面直线所成角的求法:平移法:平移直线,构造三角形;⑵直线与平面所成的角:直线与射影所成的角2.文科数学高考复习第2篇解题经验主要包括:对某种类型的问题我们应该如何思考,怎样解最简捷?比如:如何证明函数的单调性?怎样求函数的最大(小)值?如何证明直线与平面垂直?怎样求直线与平面的角?这些都是构成高考题的一些基本要素;又比如:复合函数的单调性有什么特点?圆锥曲线的通径、渐进线有什么特征?这都是有效解题的一些基本结论。
当然不是要陷入题型分类与结论记忆之中,但记忆与把握一些基本思路和常用结论(数据),还是十分必要的,这对提高学生解题的起点和速度,增强看问题的深度十分有益。
考生注重良好习惯的培养,包括:(1)速度。
考试的时间紧,是争分夺秒,复习一定要有速度意识,加强速度训练,用时多即使对了也是潜在丢分,要避免小题大做。
急对点解藩考点1集合的含义及集合间的基本关系题组一集合的含义调研1 已知全集u={l f 2, 3, 4, 5),集合A={x\x2-3x+2=0}f B={x\x=2a, a^A},则集合B)屮元素的个数为A. 1 B・ 2C・3 D・4【答案】B【解析】因为集合人={1, 2), B={2, 4),所以AUB={1, 2, 4},所以B)={3, 5).故选B.晅。
・::龜・冷色°・。
總。
•。
晅・•。
龜.晅・"•龜o ■■解决集合概念问题的一般思路(1) 研究集合问题吋,首先要明确构成集合的元素是什么,即弄清该集合是数集、点集,还是英他集合, 然后再看集合的构成元素满足的限制条件是什么,从而准确把握集合的意义.常见的集合的意义如下表:集合{x\f(x) = 0}{x|/(x)>0}{A | y = /(x)}{)m{(x,y)\y = f(x)}集合的 意义方程/*(兀)=0 的解集不等式/(x)>0 的解集函数y = f{x) 的定义域函数y = f{x) 的值域函数y = /(x)图 象上的点集(2)利用集合元素的限制条件求参数的值或确定集合中的元素的个数时,要注意检验集合是否满足元素的互异性.晅•二龜 色吓電・。
色「龜。
•。
色宀總.» ®・第题组二 求集合的子集调研2 设全集"={1, 2, 3, 4, 5}, A={1, 3, 5},则①,A 的所有非空子集的个数为A. 4B. 3C. 2D. 1【答案】B【解析】・・・0A = {2, 4},・・・非空子集有22-1= 3个,故选B. 题组二 rh 集合关系求参数的取值范圉调研3己知全集为R,集合A/={xeR|-2<x<2}, P={x\x>a}f 并且Mq 編P,则实数a 的取值范围是【答案】血2【解析】由题意得 M={x\-2<x<2], d^P = {x\x<a}.rtl 数轴知 dN2.。
第三章变量变化速度与局部改变量估值问题——导数与微分学之之博,未若知之之要,知之之要,未若行之之实.——朱熹:《朱子语类辑略》在一切理论成就中,未必再有什么像17世纪下半叶微积分的发明那样被看作人类精神的最高胜利了.——恩格斯本章简介数学中研究导数、微分及其应用的部分叫做微分学,研究不定积分、定积分及其应用的部分叫做积分学.微分学与积分学统称为微积分学.微积分学,或称数学分析,是高等数学最基本最重要的组成部分,是现代数学很多分支的基础.它是人们认识客观世界、探索宇宙奥妙乃至人类自身的典型数学模型之一.恩格斯(F.Engels,德,1820-1895)指出:“在一切理论成就中,未必再有什么像17世纪下半叶微积分的发明那样被看作人类精神的最高胜利了.”微积分发展史曲折跌宕,撼人心灵,是培养人们正确世界观、科学方法论和对人们进行文化熏陶的极好素材.然而,微积分教学存在着遗憾,正如美国数学家、数学教育家R. 柯朗(R.Courant,1888-1972)所指出的那样:“微积分,或者数学分析,是人类思维的伟大成果之一.它处于自然科学与人文科学之间的地位,使它成为高等教育的一种特别的有效工具.遗憾的是,微积分的教学方法有时流于机械,不能体现出这门学科乃是一种撼人心灵的智力奋斗的结晶”.我们在微积分教学中,要努力发掘微积分震撼心灵的力量.积分的雏形可追溯到古希腊和我国魏晋时期,而微分概念却姗姗来迟,16世纪才应运萌生.至17世纪,由天才的英国数学家、物理学家牛顿与德国哲学家、数学家莱布尼茨,在不同的国家,几乎同时在总结先贤研究成果的基础上,各自独立地创建了划时代的微积分,为数学的迅猛发展,科学的长足进步,乃至人类文化的昌盛作出了无与伦比的卓越贡献.本章与下章介绍一元微分学,俟后两章介绍一元积分学.本章介绍导数、微分的概念及其运算法则.1函数的局部变化率——导数1.1抽象导数概念的两个原型问题提出我们在解决实际问题时,除了需要了解变量之间的函数关系以外,有时还需要研究变量变化快慢的程度.例如物体运动的速度,城市人口增长的速度,国民经济发展的速度等,而这些问题只有在引进导数概念之后,才能解决.学习过程原型Ⅰ求变速直线运动的速度设一质点从点开始作变速直线运动,经秒到达点,求该质点在时刻的瞬时速度.分析(1)以为原点,沿质点运动的方向建立数轴——轴(图3.1)用表示质点运动的路程,则有(2)质点作匀速直线运动时,路程、时间、速度之间的关系:速度=(3)想一想如何处理速度变与不变的矛盾?(4)分以下三步解决速度变与不变的矛盾①求增量给一个增量,则路程有了增量②求增量的比(局部以匀速代变速)③取极限(平均速度的极限值即为在时刻的瞬时速度)原型Ⅱ求曲线切线的斜率求曲线在点处的切线斜率分析如图3.2所示:(1)复习曲线在点处切线的概念曲线上两点和的连线是该曲线的一条割线,当点沿曲线无限趋近于点时,割线绕转动,其极限位置就是曲线在点处的切线.(2)复习过两点的直线斜率公式(3)提出问题如何以直代曲,实现曲与直矛盾的转化?(4)解决曲与直的矛盾即求曲线在点处的切线斜率的三个步骤.①求增量:给一个增量,则有②求增量比(局部以直代曲)③取极限(即割线斜率的极限就是切线的斜率)1.2导数概念问题提出从数学的角度考虑两个原型的共同点引入导数的概念(1)求一个变量相对于另一个相关变量的变化快慢程度,即变化率问题;(2)处理问题的思想方法相同;(3)数学结构相同.学习过程1、定义设函数在点的某一邻域内有定义,当自变量在点处有增量(点仍在该邻域内)时,相应的函数有增量如果与之比,当时的极限存在,则称这个极限值为在点处的导数,记作,即(3.1)亦可记作,注意(1)若极限(3.1)存在,则称函数在点处可导;(2)若极限(3.1)不存在,则称函数在点处不可导;(3)函数的平均变化率函数的平均变化速度称为函数的平均变化率.(4)函数f(x)在点x0处的瞬时变化率导数称为函数在点处的瞬时速度.(5)概括导数的概念导数是平均变化率的极限2、导数的力学意义导数的力学意义是变速直线运动的瞬时速度.3、导数的何意义导数的几何意义是曲线的切线斜率.4、求导数的步骤(1)给一个增量,求相应的函数增量;(2)求平均变化率;(3)求平均变化率的极限,即5、应用举例例1 求函数在点处的导数解(1)确定,即(2)求,即(3)求,即(4)取极限得6、函数在区间内可导如果函数y=f(x)在区间内的每一点处可导,则称函数在区间内可导.7、导函数若函数在区间内可导,则称为函数的导函数,记作,,或导函数的计算公式=(x) ==想一想与的区别与联系(1)区别是关于函数,是在点处的导数,是一个常数(2)联系是在点的函数值,即:8、应用举例例2 求函数在点处的导数解(注意利用与的关系)总结幂函数的导数例3 求常数函数的导数分析常函数的特点(当自变量从变到时,函数的增量为0即)解即常数函数的导数恒为零.例4 求的导数解任取,给一个增量,得,∴做一做求的导数1.3 求导过程中的哲学分析提出问题求函数在点处的导数的思想方法中主要体现了哪些辩证法?学习过程引导学生分析归纳出(1)体现了事物运动变化的观点和量变质变规律;(2)体现了事物相互联系的观点和矛盾转化的思想;(3)体现了否定之否定的规律.想一想求导过程中蕴涵的数学思想方法是什么?1.4 函数的连续性与可导性之间的关系提出问题函数的连续性与可导性有什么关系呢?学习过程定理2 如果函数在点处可导,那么在点处连续.注意(1)可导则连续;(2)连续不一定可导:例如在点处连续但不可导.做一做举例说明可导和连续的关系1.5高阶导数的概念提出问题在直线运动中,速度是位移关于时间的变化率,而加速度则是速度关于时间的变化率.对“变化率的变化率”的讨论,就引入了高阶导数的概念.学习过程1、二阶导数如果函数的导数可导,则称的导数叫做函数的二阶导数,记作即注意还可记作想一想二阶导数的物理意义是什么?2、阶导数设函数存在阶导数,并且阶导数可导,那么的导数,叫做函数的阶导数,记作.二阶和二阶以上的导数称为高阶导数做一做求的三阶导数小结(1)导数的定义;(2)导数的几何意义;(3)可导与连续的关系.作业必作题习题三 1选作题习题三 2思考题函数可导是否为连续的充要条件?求导数的方法——法则与公式2.1求导法则问题提出求变量的变化率—导数,是在理论研究和实践应用中经常遇到的一个普遍问题,但根据定义求导数往往很繁难,有时甚至不可行,那么能否找到求导数的一般法则或公式呢?学习过程1、函数和、差、积、商的求导法则定理设u=u(x),v=v(x)是x的可导函数,则(1)(υ±ν)′=υ′±ν′(2)(Cυ)′=Cυ′(C是常数)(3)(4)注意(1)有限个函数代数和的导数等于各个函数导数的代数和;(2)应用举例例1已知,求解=例2 已知,求.解(注意对求导法则熟悉之后可以简化步骤)例3已知,求解例4已知,求解2、复合函数的求导法则设y=f〔(x)〕是由函数y=f(u)及u=(x)复合而成的函数,并设函数u=(x)在点x处可导,y=f(u)在对应点u=(x)处也可导,则有复合函数y=f〔(x)〕的求导法则:或=或=(u)(x)注意其中表示y对x的导数,,(u)表示y对中间变量u的导数,、(x)表示中间变量u对x的导数.例5,求y′解(1)分解复合函数即令(2)据复合函数求导法则得想一想求复合函数的关键是什么?注意熟练之后可省略中间变量,从外向量,逐层求导例6,求解例7y=ln|x|,求分析函数中含有绝对值,所以首先应去掉绝对值符号,用分段函数表示函数解当x>0时,当x<0时,〔〕′3、用复合函数求导法则求隐函数的导数隐函数若方程F(x,y)=0确定了y是x的函数,那么,这样的函数叫做隐函数.隐函数的求导方法例8 方程x2-y+lny=0确定了y是x的隐函数,求y′.分析(1)y是x的函数;(2)lny是x的复合函数解方程两端对x求导得解出y′,得例9例9 求圆x2+y2=4上一点M o(-,)处的切线方程分析解题步骤(1)求出曲线在点M o处的切线斜率(即求),(2)根据直线的点斜式方程求出切线方程解方程两端对x求导得2x+2yy′=0即亦即∴所求圆的切线方程做一做求的导数2.2基本初等函数的求导公式问题提出在第一节中我们学习了几个基本初等函数的求导公式如:那么其它初等函数的求导公式又如何呢?学习过程1、任意指数的幂函数y=xα(α∈R)的导数证明(xα)′=α xα-1证明在y=xα两边取自然对数得lny=αlnx (lny是x的复合函数)两边对x求导得∴想一想是如何证明的?(引入取对数求导法)取对数求导法(1)先对等式两端取自然对数;(2)利用复合函数求导法则求隐函数的导数;(3)求y对x的导数y′.2、指数函数y=a x(a>0且a≠1)的导数利用对数求导法有lny=xlna两边对x求导得∴y′=ylna=a x lna即(a x)′=a x lna注意(e x)′=e x(性质良好,应用广泛)3、反三角函数的导数(1)求y=arcsinx,x∈(-1,1),的导数y′解由y=arcsinx得x=siny在x=siny两端对x求导得1=cosy·y′(2)公式(注意以上导数的求导法则及基本初等函数的求导公式为求初等函数的导数提供了方便)例10质量为m0的放射性物质,经过时间t以后,所剩的质量m与时间t的关系为m=m0e-kt(k为正数,是该物质的衰减系数),求该物质的衰减率.解物质的衰减率就是质量m对时间t的导数,即该式表明放射性物质的衰减率与质量成正比,而负号表示质量m随时间增大而减小。
《高等数学复习》教程第一讲 函数、连续与极限一、理论要求 1.函数概念与性质 函数的基本性质(单调、有界、奇偶、周期) 几类常见函数(复合、分段、反、隐、初等函数) 2.极限极限存在性与左右极限之间的关系 夹逼定理和单调有界定理会用等价无穷小和罗必达法则求极限 3.连续函数连续(左、右连续)与间断理解并会应用闭区间上连续函数的性质(最值、有界、介值)二、题型与解法A.极限的求法 (1)用定义求(2)代入法(对连续函数,可用因式分解或有理化消除零因子) (3)变量替换法 (4)两个重要极限法(5)用夹逼定理和单调有界定理求 (6)等价无穷小量替换法(7)洛必达法则与Taylor 级数法(8)其他(微积分性质,数列与级数的性质) 1.612arctan lim )21ln(arctan lim3030-=-=+->->-xx x x x x x x (等价小量与洛必达) 2.已知2030)(6lim0)(6sin limx x f x x xf x x x +=+>->-,求 解:20303')(6cos 6lim )(6sin limx xy x f x x x xf x x x ++=+>->- 72)0(''06)0(''32166'''''36cos 216lim6'''26sin 36lim 00=∴=+-=++-=++-=>->-y y xy y x x xy y x x x362722''lim 2'lim )(6lim0020====+>->->-y x y x x f x x x (洛必达) 3.121)12(lim ->-+x xx x x (重要极限)4.已知a 、b 为正常数,xx x x b a 30)2(lim +>-求 解:令]2ln )[ln(3ln ,)2(3-+=+=x x x x x b a xt b a t 2/300)()ln(23)ln ln (3limln lim ab t ab b b a a b a t xx x x x x =∴=++=>->-(变量替换) 5.)1ln(12)(cos lim x x x +>-解:令)ln(cos )1ln(1ln ,)(cos 2)1ln(12x x t x t x +==+ 2/100212tan limln lim ->->-=∴-=-=e t x x t x x (变量替换)6.设)('x f 连续,0)0(',0)0(≠=f f ,求1)()(lim22=⎰⎰>-xx x dtt f xdtt f(洛必达与微积分性质)7.已知⎩⎨⎧=≠=-0,0,)ln(cos )(2x a x x x x f 在x=0连续,求a解:令2/1/)ln(cos lim 2-==>-x x a x (连续性的概念)三、补充习题(作业) 1.3cos 11lim-=---->-xx x e x x (洛必达)2.)1sin 1(lim 0xx ctgx x ->- (洛必达或Taylor ) 3.11lim 22=--->-⎰x xt x edte x (洛必达与微积分性质)第二讲 导数、微分及其应用一、理论要求1.导数与微分 导数与微分的概念、几何意义、物理意义会求导(基本公式、四则、复合、高阶、隐、反、参数方程求导) 会求平面曲线的切线与法线方程2.微分中值定理 理解Roll 、Lagrange 、Cauchy 、Taylor 定理 会用定理证明相关问题3.应用 会用导数求单调性与极最值、凹凸性、渐进线问题,能画简图 会计算曲率(半径)二、题型与解法A.导数微分的计算 基本公式、四则、复合、高阶、隐函数、参数方程求导 1.⎩⎨⎧=+-==52arctan )(2te ty y t x x y y 由决定,求dx dy2.x y x y x x y y sin )ln()(32+=+=由决定,求1|0==x dxdy解:两边微分得x=0时y x y y ==cos ',将x=0代入等式得y=1 3.y x x y y xy+==2)(由决定,则dx dy x )12(ln |0-==B.曲线切法线问题 4.求对数螺线)2/,2/πθρρπθe e (),在(==处切线的直角坐标方程。
一、选择题(每小题3分,共15分)1.下列函数为初等函数的是( B )(B). y = (C).⎪⎩⎪⎨⎧=≠--=101112x x x x y (D).⎩⎨⎧≥<+=001x x x x y2.当x →0时,与sin x 等价的无穷小是( A )(A) 2x x + (B) x x sinx 23.设)0(f '存在,则0(0)()lim x f f x x→--=( D ) (A) )0(f '- (B) )0(2f '- (C) )0(2f ' (D) )0(f '4. 物体在某时刻的瞬时速度,等于物体运动在该时刻的( D )(A)函数值 (B)极限 (C) 积分 (D)导数5.若)(x f 的导函数是x sin ,则)(x f 有一个原函数为( C )(A) x cos 1+ (B) sin x x + (C) sin x x - (D)x cos 1-二、填空题(每小题3分,共15分)1. 设函数cos , 0() ,0x x f x x a x <⎧=⎨-≥⎩在0x =点连续,则=a ____1-_____. 2. 设2)(x x f =, 则[()]f f x '= ____22x _ ____ .3.sin limx x x→+∞= 0 4. 曲线1y x =在点(1,1)处的法线方程为 y x = 5. (1cos )x dx -⎰= sin x x c -+ .三、计算题(每小题5分,共40分)1.求函数()ln(21)f x x =-+的定义域.解:290x ->且210x ->,所以函数()ln(21)f x x =-的定义域:132x << 2. 设ln(2)y x =-,求其反函数解:由2y e x =-得 2y x e =+所以函数ln(2)y x =-的反函数是:xe y +=2,(,)x ∈-∞+∞3.求极限20(1)lim sin x x x e x→- 解:20(1)lim sin x x x e x →-=001lim lim sin x x x x e x x→→-=01lim 11xx e →⋅= 4.求极限30tan lim x x x x→- 解: 30tan lim x x x x→-=220sec 1lim 3x x x →-=22222001cos sin 1lim lim 3cos 33x x x x x x x →→-== 5. 已知2ln(1)ln y x x =+-,求dy 解:因为y '=2211x x x-+所以dy =221d (1)x x x x -+ 6.求2cos x y e x =的微分y '解:y '=222cos sin x x e x e x -=2(2cos sin )x e x x - 7. 求不定积分21x dx x -⎰ 解:21x dx x -⎰=211dx xx ⎡⎤-=⎢⎥⎣⎦⎰211d d x x x x -⎰⎰=1ln x C x --+ 8. 求定积分21ln ex xdx ⎰解:21ln ex xdx ⎰=3311ln 39ex x x ⎡⎤-⎢⎥⎣⎦ =31(21)9e + 四、综合应用题(每小题10分,共30分) 1. 证明方程012=-⋅x x 至少有一个小于1的正实数根.解:令()21xf x x =⋅-, ()010f =-< ,()110f =>, ()f x 闭区间[]0,1上连续, 由根的存在性定理,有()0,1ξ∈,使得()0fξ= ,即012=-⋅x x 至少有一个小于1的正实数根 2. 欲做一个体积为72立方厘米的带盖箱子,其底面长方形的两边成一比二的关系,怎样做法所用的材料最省?解:设底面长方形的两边的边长为x 厘米,x 2厘米,则高为2362.72x x x =厘米 表面积x x x x x x x x S 21642).36.2(2).36.(2).2.(222+=++= 求导 021682,=-=xx S 所以在区间),0(+∞上只有唯一的驻点3=x又因为在实际问题中存在最值,所以驻点3=x 就是所求的最值点。
高等数学2(文科)期末考试题型及复习要点第一篇:高等数学2(文科)期末考试题型及复习要点2011年—2012年第二学年高等数学(文科)期末考试题型及复习要点一、选择题(5*3’)知识要点:定积分的定义及性质;简单二元函数的一阶偏导数的函数值;二元函数的极值的定义及其必要条件;常数项级数的性质;一阶线性常微分方程的通解;二、填空题(5*3’)知识要点:变限函数的导数;简单二元函数的一阶偏导数;幂级数的收敛半径;二元函数极值存在的必要条件的求法;二重积分的性质;三、计算题(10*6’)知识要点:定积分的换元法和分部积分法;广义积分的求法(无穷积分);未定式的极限(变限函数的导数,罗必塔法则);二元隐函数的导数;全微分求近似值(可参考书上例题及习题);二元函数的全微分;幂级数的收敛域;利用定积分求平面图形的面积(利用二重积分求面积也可);二重积分的计算(直角坐标系);二重积分的计算(交换积分次序);四、应用题10’经济应用(最优化问题)。
第二篇:期末考试复习要点及题型分布期末考试复习要点及题型分布复习要点:1.参数传递方式(值传递和引用传递)2.类的静态成员和实例成员3.构造函数和析构函数4.简单对话框的用法5.画图工具的使用6.方法的重载7.类的继承与多态8.异常处理9.简单数据库应用程序题型分布:一、程序改错:(共1题,二、程序填空:(共3题,每题三、程序设计:(共3题,每题10分)10分,共20分,共30分)60分)第三篇:《会计学》期末考试题型、分值和复习要点(定稿)期末《会计学》试卷题型、分值和复习要点(请尽早通知到所任教班级班级学习委员和学生)一、判断题(每小题1分,共20分)二、单项选择题(每小题1分,共20分)三、多项选择题(每小题1分,共20分)四、实务题(共40分)(一)报表题(此题20分)1.利润表编制(10分)2.资产负债表项目指标计算(10分)(二)分录题(共20分,每小题2分)【说明】1.判断、单选和多选题:重点复习第5、8、9、10、11、12、13章内容。
1、2、命题的定义:逻辑联结词、3、构成复合命题的形式: 作、q” )。
a— ??或、(1)“非可以判断真假的语句叫做命题。
简单命题与复合命题:“且”、“非”这些词叫做逻辑联结词;不含有逻辑联结词的命题是简单由简单命题和逻辑联结词“或”、“且”、p或q(记作“ p V q”“非”构成的命题是复合命题。
);p 且q(记作“ p A q” );非p(记n q“且”、“非”的真值判断P”形式复合命题的真假与F的真假相反;集合与简易逻辑知识回顾:(一)集合1. 基本概念:集合、元素;有限集、无限集;空集、全集;符号的使用2. 集合的表示法:列举法、描述法、图形表示法集合元素的特征:确定性、互异性、无序性3⑴①一个命题的否命题为真,它的逆命题一定为真.否命题逆命题.②一个命题为真,则它的逆否命题一定为真.原命题逆否命题.(二)含绝对值不等式、一元二次不等式的解法及延伸1.含绝对值不等式的解法(1)公式法:ax b c,与|ax b| c(c 0)型的不等式的解法(2)定义法:用“零点分区间法”分类讨论.(3)几何法:根据绝对值的几何意义用数形结合思想方法解题特例①一元一次不等式ax>b解的讨论;2(2)" p且q”形式复合命题当P与q同为真时为真,其他情况时为假;(3)"p或q”形式复合命题当p与q同为假时为假,其他情况时为真.4、四种命题的形式:原命题:若P则q;逆命题:若q则p;否命题:若「P则「q;逆否命题:若「q则「p。
6、如果已知p q那么我们说,p是q的充分条件,q是p的必要条件。
若p q且q p,则称p是q的充要条件,记为p? q.函数知识回顾:(一)映射与函数1.映射与一一映射2•函数函数三要素是定义域,对应法则和值域,而定义域和对应法则是起决定作用的要素,因为这二者确定后,值域也就相应得到确定,因此只有定义域和对应法则二者完全相同的函数才是同一函数.(二)函数的性质1.函数的单调性定义:对于函数f(X)的定义域I内某个区间上的任意两个自变量的值X1,X2,⑴若当X1<X2时,都有f(X l)<f(X 2),则说f(X)在这个区间上是增函数;⑵若当X1VX2时,都有f(X1)>f(X2),则说f(X)在这个区间上是减函数.若函数y=f(X)在某个区间是增函数或减函数,则就说函数y=f(X)在这一区间具有(严格的)单调性,这一区间叫做函数y=f(X)的单调区间•此时也说函数是这一区间上的单调函数2•函数的奇偶性偶宙数的左义:如果对于函数巾0的企文域内任童•个怡黑円区),那么南数巾0就叫做偶南数.f匕康偶函数o /(-I)-/(I)-加T3-5谒函数的筮3G如果对于函数TOO的建义域内任直、个£都有戶巾QJK 么歯蠱“刃就曲做奇哺数*九x)是奇厨數少八詡■「他0/3+血io曙=U/饲旳4.判断函数单调性(定义)作差法:对带根号的一定要分子有理化,例如:2.2 2.2 (X1 X2)(X1 X2)f(X1)f(X2) \X1 b . X2 b(x X b2VX2 b2指数函数与对数函数指数函数及其性质精品文档y=a x (a>O,a 半 1)⑺ a r a s a r s ,(a0,r,s Q) (8) (a r )s a rs ,(a 0,r,s Q)(9) (ab)r a r a s ,(a 0,b0, r Q)对数函数及其性质(1) a na a a........... a(n N )⑵ 0a1(a 0)(3)a p 1 a p(a 0.p N )m⑷ a nn.am(a 0, m, nN ,且n 1)m1,且na nm(a0,m, n N 1)a70, 0的负分数指数幕无意义y=log a x(a>0,a 丰 1)lo g a(M N) log a M log a N⑴M叽Nlog a M log a Nlo g a M n n叽M 12)叽n、M1j°g a Mna log a N N推论:log a b log b c log c a 1log a1a2 log a2a3 ... log a n 1a n log a1a n.函数的定义域的求法:布列使函数有意义的自变量的不等关系式,求解即可求得函数的定义域.常涉及到的依据为①分母不为0;②偶次根式中被开方数不小于0;③对数的真数大于0,底数大于零且不等于1 :④零指数幕的底数不等于零;⑤实际问题要考虑实际意义等..函数值域的求法:①配方法(二次或四次);②“判别式法”;③换元法;④不等式法;⑤函数的单调性法.换底公式:log a N数列叭Nlog b a①a n a n 〔 d(n 2,d 为常数)② 2 a n a n 1 a n 1 (n 2)⑶看数列是不是等比数列有以下方法: ①a na n 1q(n 2,q 为常数,且 0)②a 2①a n 1a n 1 (n 2,a n an 1 a n 10)a m 0在等差数列{ a n }中,有关S n 的最值问题:(1)当a 1 >0,d<0时,满足 m 的项数m 使a m 1a m 0得s m 取最大值.⑵当a 1 <0,d>0时,满足的项数m 使得s m 取最小值。
高数(上册)期末复习要点第一章:1、极限(夹逼准则)2、连续(学会用定义证明一个函数连续,判断间断点类型)第二章:1、导数(学会用定义证明一个函数是否可导)注:连续不一定可导,可导一定连续2、求导法则(背)3、求导公式也可以是微分公式第三章:1、微分中值定理(一定要熟悉并灵活运用--第一节)2、洛必达法则3、泰勒公式拉格朗日中值定理4、曲线凹凸性、极值(高中学过,不需要过多复习)5、曲率公式曲率半径第四章、第五章:积分不定积分:1、两类换元法2、分部积分法(注意加C )定积分:1、定义2、反常积分第六章:定积分的应用主要有几类:极坐标、求做功、求面积、求体积、求弧长第七章:向量问题不会有很难1、方向余弦2、向量积3、空间直线(两直线的夹角、线面夹角、求直线方程)3、空间平面4、空间旋转面(柱面)高数解题技巧。
(高等数学、考研数学通用)高数解题的四种思维定势●第一句话:在题设条件中给出一个函数f(x)二阶和二阶以上可导,“不管三七二十一”,把f(x)在指定点展成泰勒公式再说。
●第二句话:在题设条件或欲证结论中有定积分表达式时,则“不管三七二十一”先用积分中值定理对该积分式处理一下再说。
●第三句话:在题设条件中函数f(x)在[a,b]上连续,在(a,b)内可导,且f(a)=0或f(b)=0或f(a)=f(b)=0,则“不管三七二十一”先用拉格朗日中值定理处理一下再说。
●第四句话:对定限或变限积分,若被积函数或其主要部分为复合函数,则“不管三七二十一”先做变量替换使之成为简单形式f(u)再说。
线性代数解题的八种思维定势●第一句话:题设条件与代数余子式Aij或A*有关,则立即联想到用行列式按行(列)展开定理以及AA*=A*A=|A|E。
●第二句话:若涉及到A、B是否可交换,即AB=BA,则立即联想到用逆矩阵的定义去分析。
●第三句话:若题设n阶方阵A满足f(A)=0,要证aA+bE可逆,则先分解因子aA+bE再说。
高考文科数学必会知识点数学作为一门科学,不可否认在我们的日常生活中起着重要的作用。
而在高考中,数学更是文科生们必须要攻克的一关。
在备考阶段,有一些必会的知识点,对于考生来说至关重要。
本文将介绍关于高考文科数学的一些必会知识点。
1.函数与方程函数与方程是数学中最基本的概念之一,而解方程的能力也是文科高考数学考试的重要指标之一。
在解方程的过程中,要掌握基本的方程解法,如一元二次方程的因式分解法、配方法、根的性质等。
此外,了解一些特殊的方程类型,如绝对值方程和分式方程,也是必备知识。
2.平面几何平面几何是文科高考数学中难度较大的一部分。
在平面几何中,考生需要熟悉基本的几何定理和公式,并能够正确运用它们解决问题。
例如,要熟练掌握直线与圆的性质、相交线段的问题、相似三角形的判定等。
3.概率统计概率统计是数学中与实际生活联系紧密的一部分。
考生需要了解基本的概率分布、期望、方差等概念,并能够应用到实际问题中。
此外,对于文科生来说,统计学也是重要的一部分,要了解调查设计、数据的收集、整理和分析等内容。
4.数列与数学归纳法数列与数学归纳法是文科高考数学中常见的考点。
考生需要掌握数列的基本概念与性质,并能够求解数列的通项公式和前n项和。
此外,数学归纳法也是解决数学问题的重要方法之一,考生需要了解归纳法的基本思想和步骤,并能够熟练运用它解决实际问题。
5.导数与微分导数与微分是高等数学中的重要内容,也是文科高考数学的一部分。
考生需要了解导数的定义和基本性质,并能够正确求解函数的导数。
此外,对于函数的极值、最值等问题,考生也需要掌握求解的方法。
6.解析几何解析几何是数学中的一门重要学科,也是文科高考数学中的考点之一。
考生需要了解坐标系的基本概念和性质,并能够利用坐标系解决几何问题。
此外,对于直线和圆的性质,考生也需要熟悉并能够正确应用。
7.数论数论是数学中的一个分支,也是文科高考数学中的一部分。
在数论中,考生需要了解素数、因子、最大公因数和最小公倍数等基本概念,并能够运用数论的知识解决实际问题。
一、选择题(每小题3分,共15分)
1.下列函数为初等函数的是( B )
(B). y = (C).⎪⎩⎪⎨⎧=≠--=101112x x x x y (D).⎩⎨⎧≥<+=001x x x x y
2.当x →0时,与sin x 等价的无穷小是( A )
(A) 2x x + (B) x x sin
x 2
3.设)0(f '存在,则0(0)()lim x f f x x
→--=( D ) (A) )0(f '- (B) )0(2f '- (C) )0(2f ' (D) )0(f '
4. 物体在某时刻的瞬时速度,等于物体运动在该时刻的( D )
(A)函数值 (B)极限 (C) 积分 (D)导数
5.若)(x f 的导函数是x sin ,则)(x f 有一个原函数为( C )
(A) x cos 1+ (B) sin x x + (C) sin x x - (D)x cos 1-
二、填空题(每小题3分,共15分)
1. 设函数cos , 0() ,0
x x f x x a x <⎧=⎨-≥⎩在0x =点连续,则=a ____1-_____. 2. 设2)(x x f =, 则[()]f f x '= ____22x _ ____ .
3.sin lim
x x x
→+∞= 0 4. 曲线1y x =在点(1,1)处的法线方程为 y x = 5. (1cos )x dx -⎰= sin x x c -+ .
三、计算题(每小题5分,共40分)
1.
求函数()ln(21)f x x =-+的定义域.
解:290x ->且210x ->,
所以函数()ln(21)f x x =-的定义域:132
x << 2. 设ln(2)y x =-,求其反函数
解:由2y e x =-得 2y x e =+所以函数ln(2)y x =-的反函数是:x
e y +=2,(,)x ∈-∞+∞
3.求极限20(1)lim sin x x x e x
→- 解:20(1)lim sin x x x e x →-=001lim lim sin x x x x e x x
→→-=01lim 11x
x e →⋅= 4.求极限30tan lim x x x x
→- 解: 30tan lim x x x x
→-=220sec 1lim 3x x x →-=22222001cos sin 1lim lim 3cos 33x x x x x x x →→-== 5. 已知2
ln(1)ln y x x =+-,求dy 解:因为y '=2211x x x
-+所以dy =221d (1)x x x x -+ 6.求2cos x y e x =的微分y '
解:y '
=222cos sin x x e x e x -=2(2cos sin )x e x x - 7. 求不定积分21x dx x -⎰ 解:21x dx x -⎰=211dx x
x ⎡⎤-=⎢⎥⎣⎦⎰211d d x x x x -⎰⎰=1ln x C x --+ 8. 求定积分21ln e
x xdx ⎰
解:21ln e
x xdx ⎰=3311ln 3
9e
x x x ⎡⎤-⎢⎥⎣⎦ =31(21)9e + 四、综合应用题(每小题10分,共30分) 1. 证明方程012=-⋅x x 至少有一个小于1的正实数根.
解:令()21x
f x x =⋅-, ()010f =-< ,()110f =>, ()f x 闭区间[]0,1上连续, 由根的存在性定理,有()0,1ξ∈,使得()0f
ξ= ,即012=-⋅x x 至少有一个小于1的正
实数根 2. 欲做一个体积为72立方厘米的带盖箱子,其底面长方形的两边成一比二的关系,怎样做法所用的材料最省?
解:设底面长方形的两边的边长为x 厘米,x 2厘米,则高为
2362.72x x x =厘米 表面积x x x x x x x x S 21642).36.2(2).36.
(2).2.(222+=++= 求导 021682,=-=x
x S 所以在区间),0(+∞上只有唯一的驻点3=x
又因为在实际问题中存在最值,所以驻点3=x 就是所求的最值点。
即当底面边长为3厘米,6厘米,高为4厘米时所用的材料最省。
3. 求由曲线x
y 1=
与直线24==x x y 及所围成的平面图形的面积. 解:由曲线x y 1=与直线x y 4=得到交点)2,2
1( 所以所围成的平面图形的面积.S=dx x x )14(22
1⎰- 即.S=dx x x )14(221⎰-=2221)ln 2(x x -=4ln 215-。