电工学少学时第三版-张南主编-课后练习答案-第二章(末)
- 格式:doc
- 大小:6.00 MB
- 文档页数:32
U2.1求阳113所示电坤:|切关S闭介和盼汕闻种佶况 J、b・c二点的电他.【龊】S匱仟时.K = ^V. l;=_3V・V c = 0 V.S 断开吋.V, = V; = 6 V, K =(6+3) V=9 V.1・3」冷田1 14所环:电拓•"・电诉电劝外虫一120 V・内电阻7^-03 述按导线电阻心/ =O2・・jX-ftftlSfl A L= 115 Q. 4<J( 1)遽路时的电沆•负载和电淅的电爪.侑载消克的电功沖、削滋产牛和输II]的电功屮:(2〉升略时的电加屯压和负找屯圧,(3)在负皴均和屯凍玳如滋时屯源的巳滄恵电压。
2 1.D LU 114【解】(1)通络时电険的电流E120I = ------------------ = ---------------------- A= 10 J A+• R、・+R L 0.3 + 0.2-t-11.5负我电圧U L■%】-11.5X1OV-115 V 屯折屯斥f/5=叫 * R X}1 = (0 2 + 11 5)x10 V =117 V 或者U s -£-&/-(120 - 0・3x10)V-117 V 负找消耗的电功冰^=^7 = 115x10 W = 1 150 W 或古化=R』=1 I 5xl0; W = 1 150 W 电源产生的电功率件二日“ 20x10 W 二 1 200 W电游城)出的电功率化一UJ -117X10 w-l 170 W(2>幵路时U、=£=120 V久-0⑶短幷吋S 二 O 二 0・2xZ4() V 二 4H V- E-/1.7- (120-0.3x240)V-48 V 1.5.1试分析图1.15所示西电路中电阳的电压刃电浹以&图(3)中电Ml 液的电压和IM M 中电压涯恂电盜.【解】的足为了理解Rih 游棚电浜・的待点•选择待求电压和屯讹 的參考方向如图1」5所示.(1》在阁1.15 <3)所禾电路中•山于二匕并联.屯压和问・故 〃•二 S =1 v K •>/ = ―— = A = 2 A R 0.5i/c =(/s =l V(2>右图l.M (b)所示电腔中,川丁「者皿段,电涼相I 町故= 7S = 1 A—pRI* =05x1 V =05 V人=4 = 1 A1.5.2 在町1丄6所示直淀屯册帀•乜知17十37 ■人二3A ;求41、b 、C 三点的电位C 【解】木题H 的是力了复习理母电経元件 的特点以及电位的槪念・ill T a 点电型就足a 点对卷為点c 们电压,M «=5・3 V由丁• b 点电位比4点电位高7?/fl ・a 点电位乂120 0.3 4-0.2 = 240 A孔卅)A 0.3R 05Q3)(b >1・8J 用叠加左理求BB 123所示电踣中的电流人和【解】 电朮源単独作用时,电路如图1.24 (a)所示.则1: = ——— 1、= | —-—x 5 IA = 3 A&F 〔2 + 3 /x5 A = 2 A比c 点岳U“故b 丘电位儿%=RS =0x3 + 3)V = 6 V c*;为翁考点.故c 点电位为v c = 01.7.1用支賂屯说注求图1.220详口跑中各支肉的电血•并说叨匕% 昆起电源作用还足起负栽作用“廉中(7SI =12 V,O S2 = 15 V , &=3a • = 1.5 Q, R ? = 9 □.【解】结血、回控标十图1.22屮。
《电工学》作业答案第二章 2-9解:变换过程如图所示,解得I 4 = 2A 。
2-10解:对结点a 列KCL 方程1230I I I对左、右边的网孔列KVL 方程1122S1S20R I R I U U 2233S2S30R I R I U U将数据代入上述方程,联立求解方程组12312230124243204432120I I I I I I I解得1231A 5A 6A I I I ,, 2-11解:对结点a 和b 列KCL 方程13S1S223S2S300I I I I I I I I对回路abca 列KVL 方程22S 11330R I U R I R I将数据代入上述方程,联立求解方程组132321362023022420I I I I I I I解得1232A 1A 2A I I I ,,2-12 解:根据两个结点电路中结点电压方程的一般形式得S1S2S3123a 12312612346V 6V 111111346U U U R R R U R R R 电流I 3可用欧姆定律求得a S333612A 3A 6U U I R2-14解:(a)电路图; (b)电压源U S 单独作用的电路; (c)电流源I S 单独作用的电路电压源U S1单独作用时,将U S2短路,电路如 (b)所示S1123123321232312318A 3.6A 6336333.6A 1.2A 6363.6A 2.4A63U I R R R R R R I I R R R I I R R电压源U S2单独作用时,将U S1短路,电路如图 (c)所示S2213213312131321315A 2A 3362332A 1A3332A 1A33U I R R R R R R I I R R R I I R RU S 和I S 共同作用时111222333 3.61A 2.6A 1.22A 0.8A 2.41A 3.4A I I I I I I I I I 2-16解:(a)I S1单独作用的电路; (b)I S2单独作用的电路; (c)U S 单独作用的电路电流源I S1单独作用时,电路如 (a)所示2S12333A 1.8A 32R I I R R电流源I S2单独作用时,电路如 (b)所示3S22325A 2A 32R I I R R电压源U S2单独作用时,电路如 (c)所示S 2315A 3A 32U I R RI S1、I S1和U S 共同作用时1.823A 6.8A I I I I2-19 解:(a) 求开路电压的电路; (b)求除源电阻的电路; (c) 戴维南等效电路求开路电压的等效电路如 (a)所示。
1-1题~1-5题,根据题意,画出电路,通过求解,进一步增强电源、负载、额定值的概念。
1-6:在图1-63中,d 点为参考点,即其电位V d =0,求a 、b 、c 三点的电位V a 、V b 、V c 。
20V+-Ω20图 1-63 题1-6Ω1050VΩ10Ω20+-dcbaI解:根据电位与电压的关系:a ad b bd c cd V U , V U , V U === 要求电压:需求电流: 0.5(A)6030201020102050I ==+++-=。
根据电压降准则:a adb bdc cd V U 10(I)5010(0.5)5045(V)V U 20(I)10(I)5030(0.5)5035(V) V U 20I 200.510(V)==⨯-+=⨯-+===⨯-+⨯-+=⨯-+===⨯=⨯=1-7:在图1-64中,已知R 1= R 2=5,求电位V a 、V b 、V c 。
Ω01图 1-64 题1-7Ω8Ω2+-dIΩ6+-b36V24VcΩ41R 2R解:根据电位与电压的关系:V a =U ao ,V b =U bo ,V c =U co ,求电压需求电流:2(A)30602610482436I ==+++++=。
根据电压降准则: []。
20(V )24424)(2)I (U V 。
(V)236)34(36)548(I U V 。
(V)2036)82(368)I (U V co c bo b ao a -=-=-+⨯===+-=+++⨯-===+⨯-=+⨯-==1-8:在图1-64中,b 为电位器移动触点的引出端。
试问R 1和R 2为何值时,b 点电位等于零? 解:)6(410R 10R )4(16)/2(24R 24)(2)6(R I 0U V 2122bo b Ω=-=-=Ω=-=-+++⨯===1-9:求图1-65中的电压U ab图1-65 题1-9Ω6abU R解:本题不限方法,首先进行化简。
第二章 电路的分析方法2.1.1 在图2.01的电路中,V 6=E ,Ω=61R ,Ω=32R ,Ω=43R ,Ω=34R ,Ω=15R 。
试求3I 和4I 。
4I ↓图2.01解:图2.01电路可依次等效为图(a )和图(b )。
R 3R 1R(b)Ω=+×=+×=23636414114R R R R R Ω=+++×=+++×=2243)24(3)(14321432R R R R R R R A 22165=+=+=R R E IA 322363)(214323=×+=++=I R R R R IA 943263631414−=×+−=+−=I R R R I2.3.3 计算图2.12中的电流3I 。
Ω=1R A2S =图2.12解:根据电压源与电流源的等效变换,图2.12所示电路可依次等效为图(a )和图(b ),由图(b )可求得A 2.15.023=+=I由图(a )可求得:A 6.02.121213=×==I IΩ=1R V22=Ω=14R(b)Ω=12R2.6.1 在图2.19中,(1)当将开关S 合在a 点时,求电流1I ,2I 和3I ;(2)当将开关S 合在b 点时,利用(1)的结果,用叠加定理计算电流321,I I I 和 。
I图2.19I (a)I (b)解:(1)当将开关S 合在a 点时,图2.19所示电路即为图(a ),用支路电流法可得:=+=+=+12042130423231321I I I I I I I 解得:===A 25A 10A 15321I I I(2)开关S 合在b 点时,利用叠加原理图2.19所示电路可等效为图(a )和图(b ),其中图(a )电路中130V 和120V 两个电压源共同作用时所产生的电流已在(1)中求得,即:A 151=,I A 102=,I A 253=,I由图3(b )可求得:A 642422202=+×+=,,I A 464241−=×+−=,,IA26422=×+=则:A 11415111=−=+=,,,I I IA 16610,222=+=+=,,I I IA 27225333=+=+=,,,I I I2.6.2 电路如图2.20(a )所示,V 10ab ,,V 124321=====U R R R R E 。
[工学]电工学少学时第三版课后答案全第一章习题 1,1 指出图1,1所示电路中A、B、C三点的电位。
图1,1 题 1,1 的电路6I,,1.5mA解:图(a)中,电流 , 各点电位 V= 0 C 2,2V= 2×1.5 = 3V BV= (2+2)×1.5 = 6V A6I,,1mA 图(b)中,电流,各点电位 V= 0 B 4,2V= 4×1 = 4V AV =, 2×1 = ,2V C图(c)中,因S断开,电流I = 0,各点电位 V = 6V AV = 6V BV = 0 C12I,,2mA 图(d)中,电流,各点电位V = 2×(4+2) =12V A2,4V = 2×2 = 4V BV= 0 C图(e)的电路按一般电路画法如图,6,6I,,1mA 电流, 4,2各点电位 V = E= 6V A1V = (,1×4)+6 = 2V BV= ,6V C1,2 图1,2所示电路元件P产生功率为10W,则电流I应为多少? 解:由图1,2可知电压U和电流I参考方向不一致,P = ,10W ,UI因为U,10V, 所以电流I,,1A图 1,2 题 1,2 的电路1,3 额定值为1W、10Ω的电阻器,使用时通过电流的限额是多少, 解:P12根据功率P = I R I,,,0.316AR101,4 在图1,3所示三个电路中,已知电珠EL的额定值都是6V、50mA,试问哪个电珠能正常发光,图 1,3 题 1,4 的电路解:图(a)电路,恒压源输出的12V电压加在电珠EL两端,其值超过电珠额定值,不能正常发光。
6R,,0.12K,,120,图(b)电路电珠的电阻,其值与120Ω电阻相同,因此50 电珠EL的电压为6V,可以正常工作。
图(c)电路,电珠与120Ω电阻并联后,电阻为60Ω,再与120Ω电阻串联,电60,12,4V珠两端的电压为小于额定值,电珠不能正常发光。
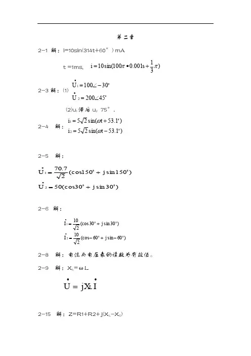
第二章2-1 解:i=10sin(314t+60°) mAt =1ms,)31001.0100sin(10ππ+∙=s i 2-3解:(1)452003010021∠=-∠=∙∙U U(2)u 1滞后u 2 75°.2-4 解:)1.53sin(25)1.53sin(2521-=+=t i t i ωω2-5 解:)30sin 30(cos 50)150sin 150(cos 27.7021 j U j U +=+=∙∙2-6 解:)60sin 60(cos 210)30sin 30(cos 21021 -+-=+=∙∙j I j I2-8 解:电流与电压表的读数为有效值。
2-9 解:X L =ωL∙∙=I jX U L2-15 解:Z=R1+R2+j(X L -X C )CjI U L j I U RI U C L R ωω1∙∙∙∙∙∙-===2-28 解:220605.0220401cos 1cos 22111==⨯===U P I U P I UI P ϕϕ SP P P P UIS I I I I II I =+==+=∠=+=∙∙∙∙∙ϕϕϕcos 0)1sin 1(cos 212122112-30解:22)sin (cos 31cos )1sin 1(cos 01211111∙∙∙∙∙∙∙∙=-=+==+=∠=I U Z I I I I I U P I I I U U ϕϕϕϕϕ2-32: 未接电容时接电容后:有功功率不变,电压不变,功率因数提高到0.9。
Ru Lu Ci1cos 1ϕUI P =2122112sin 1sin Q Q Q UI Q UI Q C -===ϕϕ2-34 : (1)求L=2.44MhCI LCf π210=Ω======⨯===Ω==53.106.310106.303.1523.15IUR U U U U IX U X X L X CC C C CL L ω3-1 : )180314sin(22203)60314sin(22202 +=-=t e t e3-4:电阻负载上的电流和相位UVWi 1122220===A U I p电感负载上的电流和相位电容负载上的电流和相位3-8 :∙WU ∙VU ∙UU ∙1I ∙2I ∙3I ∙1I ∙NI ∙2I 022902210220====ϕA X U I Lp150222102212022∠=-∠=-∠=∙∙I U U P 033902210220====ϕA X U I Cp15022210120333-∠=∠=∠=∙∙I I U U P1201038120380150103812038090103803801203801203800380313131232323121212312312∠=∠==∠=-∠==∠=-∠==∠=-∠=∠=∙∙∙∙∙∙∙∙∙Z U I j Z U I j Z U I U U U233131223231211∙∙∙∙∙∙∙∙∙-=-=-=I I I I I I I I I4-2解: U 1=N 1U N 1=U 1/U=220/0.2=1100 U 2=N 2U N 2=180 K=N1/N 2=1100/180=6.1 S=U 1I 1 I 1=S/U 1=1000/220 I 2=S/U 24-3解: U 1/U 2=N 1/N 27-2解: a) u i<6V,二级管导通,u o=6V。
电工电子学课后习题答案目录电工电子学课后习题答案 (1)第一章电路的基本概念、定律与分析方法 (2)练习与思考 (2)习题 (4)第二章正弦交流电 (14)课后习题 (14)第三章电路的暂态分析 (29)第四章常用半导体器件 (41)第五章基本放大电路 (43)第六章集成运算放大器及其应用 (46)第七章数字集成电路及其应用 (54)第八章Multisim简介及其应用 (65)第九章波形的产生与变换 (65)第十章数据采集系统 (67)第十一章直流稳压电源 (69)第十二章变压器与电动机 (71)第十三章电气控制技术 (77)第十四章电力电子技术 (80)第一章电路的基本概念、定律与分析方法练习与思考1.4.2(b)a1.4.2(c)ab 1.4.3(a)b552155ababUVR=+⨯==Ω1.4.3 (b)ab666426ababU VR=+⨯==Ω1.4.3 (c)abR106510405ababU U VR=+=⨯+==Ω1.4.3 (d)ab124s su uI= I=912:23036absababKVL uuu VRI+- I==-6⨯=+1=3Ω3+61.4.4 (2)R242434311515155b bb bV V R R V V R R --I =I =-+I = I =12341243:b b b b b KCL V V V V R R R R V I =I +I +I +515-6- 5- = + +求方程中2121+9+9==50k 100k 9:=150k 100kb b b b b b b V V V V R R V V KCL V V 6-6-I =I = 6-+=b :650KI+100KI 9=01100KI=15 I=A10k 1=650k =1V10k KVL V -+--⨯习题1.1 (a ) 5427x A I =+-= (b ) 10.40.70.3x A I =-=- 20.30.20.20.1x A I =-++= (C) 40.230x ⨯I ==0.1A 6030.20.10.3x AI =+=2x 10⨯0.3+0.2⨯30I ==0.6A 1.510.30.60.9x A I =+=1.230.010.30.31A I =+=49.610.319.3A I =-=60.39.39.6AI =+=1.3114228P =-⨯=-ω发出功率211010P =⨯=ω 吸收功率 3428P =⨯=ω 吸收功率 4(110)10P =--⨯=ω 吸收功率=28=28P P ωω发吸=P P 吸发1.6612050606()12460120R R R mvV b V=== =⨯=+Ω(a) u u1.7(a )144s u V =⨯=(b) 252209s s s I A u u V = -+-⨯= = 1.812221014102110s s u V I A=⨯+==-=-121428P =-⨯=-ω 210110P =-⨯(-)=ω1.91230.450.30.450.30.15I A I A I A= = =-=1233 6.341680.1510 6.34 6.3174.40.45x y u R I R ⨯===-⨯-==ΩΩ1.10(a): 2116u u V ==(b): 2516 1.6455u V =⨯=+ (c): 251.60.16455u V =⨯=+(d): 250.160.016455u V=⨯=+1.112211128.41p pR R u u VR R R +==++222112 5.64p R u u VR R R ==++1.12B A 630.563=0.51990.5199.5CD D D R R R ⨯==+=+=ΩΩΩ12342311055235 4.23.60.650.83.6I mA I mA I mA I mA I I =⨯= = =⨯==⨯==- 10199.5 1.995=15=510 1.9950.01995AD BD s u mV u mVP =⨯=⨯=-⨯=-ω1.13 (a)RAB(b)AB1.153Ω1.5Ω1.5611.53I A -==-+1.162Ω3Ω3I311302451010110532110202121621633311633s I A I I I I A I A I A I A+==+++=-=-==--=-=-+==⨯=+=⨯=+1.17Ω821222I A-==++1.181231113333222:00I I I KVL u I R I R I R I R u += -++= --+=12316622757575I I I ==0.213 ==0.08 ==0.2931.191321232123218:14020606041012n I I I KVL I I I I I A I A I A=+=+ -++= 5-== = =1122208066014045606018108u I Vu I VP P ==== =-⨯=-ω =-⨯=-ω 电压源发出功率电流源发出功率1.201212221232+10:0.81201160.400.4116408.759.37528.125n I I IKVL I I I I I A I A I A=+= -+-= -+== = =22120:1209.3751125116:120160.75101510:10428.1251175:28.12543078.125L V P V P A P R P I R =-⨯=-ω=-⨯=-ω =-⨯⨯=-ω ==⨯=-ω1.21122212220.523133427I I V V I V I V +=----====1.22suR R212460.14020s u I AR R ===++R sI 2422240.10.10.2200.30.14020s I A R I I AR R =+==⨯=⨯=++1.2331110.250.50.5111I A=⨯=+++sI3231120.50.50.5120.250.50.75I AI A =⨯⨯=++=+=1.24 (a)1231223123:01:2130120202:21204015,10,25KCL I I I KVL I I KVL I I I A I A I A++= -+-= --== = =-(b)开关合在b 点时,求出20V 电压源单独作用时的各支路电流:2Ω''1'2'3204422442206224202222442I AI AI A=-⨯=-+//+==+//=-⨯=-+//+所以开关在b 点时,各支路电流为:123154111061625227I A I A I A=-==+==--=-1.25(b )等效变换3AAAB(3 2.5)211ab U V=+⨯=(c )等效变换abb4A(42) 1.59ab U V=+⨯=1.26 戴维宁:1220110225122110255015a ab L u V R I A=⨯===⨯=+Ω诺顿:22022505252225225255015ab ab L I A R I A ====⨯=+Ω1.28(1) 求二端网络的开路电压:10410242ab U I V ⨯=-=-=10410242ab U I V ⨯=-=-=(2)求二端网络的等效内阻(电压源短路、电流源开路)24ab R R Ω==(3)得到戴维南等效电路+1R abU abR1120.15413ab ab U I A A R R ∴==≈+1.32 (a )1231235050105205050105201007A A AA A AA I I I V V VI I I V V V V V=+-+===-+=+=- 2.3.2(a) 取电源为参考向量2()tan 6031=232R=3c C cC C U I R U I jX IR RIX X X X fc fc ••••==-====π∴π又 (b )2()tan 603=23R=32c R CL L U I jX U I RIRIX X X fL fL••••0==∴==∴= π∴π又第二章 正弦交流电课后习题 2.3.2(a) 取电源为参考向量60ο2U •RU •U •I•2()tan 6031=232R=3c C cC C U I R U I jX IR R IX X X X fc fc ••••==-====π∴π又(b )RU •2U •1U •I •60ο2()tan 603=23R=32c R CL L U I jX U I RIRIX X X fL fL••••0==∴==∴= π∴π又习题2.2111122334455,10sin(100045)45554510sin(100045)5513510sin(1000135)5513510sin(1000135)I j I i t A I AI j Ai t A I j A i t A I j A i t A•00•00•00•00=+ =∴=+==-=-=-=-+==+=--=-=-2.3(1)1••12126306308arctan =536=+=10)U V U V U U U V u t V••00•••00=∠ =∠ϕ= ∠83=ω+83(2)1210301060arctan1=45(4530)7520sin(75)I A I A I A i t A••00•0000=∠- =∠ ϕ= ∴=-+=-=ω-2.4(a) 以电流I•为参考向量•RU •10arctan =451014.145U V U V•0ϕ= ===(b )以电流I•为参考向量CRU ••22280C RC U U U U V=+∴==1122sin()sin(90)sin(45)u t i t A i t A 00=ω=ω+=ω-(c) 以电流I•为参考方向•C(200100)9010090100U V U V•00=-∠=∠=(d )以电压U•为参考方向I••RI•LI •3L I I A =∴==(e ) 以电压U•为参考方向•RI I •7.07I A ===(f )以电压U•为参考方向•I •18L CL C I I I I I I A =-∴=+=2.5 (1)3)70,2314/31.470314100219.80309.9sin()310C L L L C L I t AI A f rad s X L U I j L V Vu t V•0••0-000=ω=∠ ω=π==ω=Ω=ω=∠⨯⨯⨯10∠90=∠9=ω+90(2)3309.9sin()3101274314100L L L Lu t V U I AL X 0-=ω+90===ω⨯⨯102.6 (1)6220022011796.22 3.1402200.28796.20.280.39sin()c c C c C c C c U V U VX C U I AX I i t A•0-•0=∠ ====Ωω⨯⨯5⨯4⨯10 ====∠90=ω+90(2)0.10796.279.6c U V•000=∠-6⨯∠-90⨯=∠-1502.9 (1))22002314/)100u t V U Vf rad s i t A I A0•00•0=ω+30=∠3ω=π==ω-30=∠-3(2)22002201110060.7250L UZ I X L mH•00•0∠3===∠6=+Ω∠-3∴===ωπ⨯(3)00220102200cos 22010cos601100sin 2200sin 601905varS UI V AP UI W ==⨯=•=ϕ=⨯⨯=ϕ=ϕ=⨯=2.10(1)2u电容两端f=HZ |Z |=2000Ω 1000以1I•为参考向量=-601cos 212sin 217072110.1c c cR k K X k X c uF c X ϕ=|Z |ϕ=⨯=Ω=-|Z |ϕ=-⨯(-=Ω=∴==ωω(2)电阻两端1U •U 2R U U ••=1I•c =-30cos =2k 1X =sin =-2K =210.16R c uFc ϕ=|Z |ϕΩ|Z |ϕΩ==ω—(—)10002.12CLCZ=R+(X )10VL C R X j U -=Ω=∣Z∣I =10⨯1=102.1300000006V 1002020)3000.47sin(100020)10000.4400100200.25400900.35sin(100070)11500C 100021010020R L L L L C c C U U Vu t i R t X L U I A jX i t A X U I jX •••-••=∣Z∣I =10⨯1=10=∠+===+=ω=⨯=Ω∠===∠-70∠=-===Ωω⨯⨯∠==-0000.20500900.28sin(1000110)c A i t A =∠11∠-=+000001111111()300400500.0030.00050.003991000.33300L cZ R jX jX j j j U I AZ ••=++- =+-+ =-=∠-∴Z =300∠∠20∴===∠11∠92.14U •以为参考向量I •LI •13022101010101045C L C LC L R RR C C C R C X X I I I I I I I UI A U RVRU RI I AX X I I I A I ••••••••=∴=∴=++=== ======+=∠∴=2.15(1)601301000251030405053CZ R jX j j -=- =-⨯⨯⨯ =-Ω=∠-Ω(2)000000000001000t-30V 1030()103040304090400120120)103050535008383)R S s C s C C s u i R I AU I jX Vu t VU I Z Vu t V •••••===∠-=-=∠-⨯∠-⨯∠- =∠-=-==∠-⨯∠-=∠-=-()(3)00300103000400104000500105000cos -53=3009sin -53=-3993VarR S C C S S P U I WQ Q U I Var S UI V A P S W Q S ==⨯===-=-⨯=-==⨯=•==()()2.18U •U •222824123430.3108(12)(12)10681.5111=X 0.067=0.022C 10 1.510 4.5R L R L C C C C CC C U R I U L I L HU U U U U jU U V VU X I C F F ••••===Ωω===Ω===++ =+-∴8+-=∴= == 4.5Ω ==ω⨯⨯或1或或2.19 (a) (1)(2)10361823691243537j j Z j j j jj j j j ⨯-===Ω+Z =4-4-+ =-=∠-Ω0000010002000300040041000420100237537237483723749085323719025323729041274127 1.3337339041270.67376690U I A Z U V U V U V U V U I A j U I Aj ••••••••••∠===∠∠-=∠⨯=∠=∠⨯∠-=∠-=∠⨯∠-=∠-=∠⨯∠=∠∠===∠∠∠===∠∠(3)0cos 102cos(37)16P UI W =ϕ=⨯⨯-=(b) (1)10(4)(6)242.436102 2.443537j j Z j j j j j j j j ---===-Ω---Z =3.4+4+- =+=∠Ω(2)0000001002000300040041000420100237537237490237237483723790453237 2.490 4.81274.8127 1.2374904.81270.8376690U I A Z U V U V U V U V U I A j U I A j ••••••••••∠===∠-∠=∠-⨯3.∠=∠-=∠-⨯=∠-=∠-⨯2∠=∠=∠-⨯∠-=∠-∠-===∠--4∠-∠-===∠--∠-(3)0cos 102cos(37)16P UI W=ϕ=⨯⨯=2.2001221201115545(55)105-5)10100==10AZ 10A 10AZ=10+1045Z 141.4Z j j j Z j j U I j U I V V=-=-Ω-⨯10==Ω+∴=||∴=Ω∴=||==(读数为读数为2.23426014411111010101()11451()1222101011 1.50.5C L X C j j Z jj j X L Z j Z j-===Ωω⨯⨯⨯--===-=-+--=ω=⨯=Ω=++=-2.240000000100.5229010110.5110.5 1.1(10.5)22+2(10.5)2211+2212123 3.61c c c c R c R R L R L c U I A j U I AR I I I j A A U I R j j VU I j j j j j VU U U U j j j V P UI •••••••••••••••∠===∠90-∠-∠===∠0=+=∠90+∠0=+ =∠26.6==+⨯= ==+=-=- =++=+-++=+=∠56.3 =00os 3.61 1.1cos(W ϕ=⨯⨯56.3 -26.6)=3.452.29110012122 1.21cos cos =0.5112206024.5(tan -tan 1.21(1.7320.456)=10222 3.14502201 4.54220380 4.541727.3sin 177.3-=-VarR P KP UI UI PC U K uFP K I A U S UI V A S =ϕϕ==⨯∴ϕ=ϕ==ϕϕω- =⨯⨯⨯=====⨯=•ϕ=ϕ=⨯0.821408 ,,)()2.30161212.5617.3712.671131.58250100102206.9131.85=25.15220==8.75A25.15cos=220cosRLRLCccRL CRL CRL cZ R j L jUIZZ jj cUI AZZ ZZ ZZ ZUIZP UI-=+ω=+=∠46.3Ω===Ω∣∣==-⨯=-Ωω⨯π⨯⨯⨯===∣∣//Z==∠14.4Ω+==ϕ⨯8.75⨯14.4总总=1864.5wcos=220sin=478.73wS=UI=220.75=1925V Acos0.9686Q UI=ϕ⨯8.75⨯14.4⨯8•ϕ=2.312202.22201002.2arccos0.837100378060PP LPPU VI I AUIZ j====|Z|===Ωϕ===∠=+ Ω2.32(1)861037220220221022PPPL PZ jU VUI AI I A=+=∠ Ω======|Z|==(2)220220220221038L P L P P L P U V U U V U I A I A= =====|Z |==(3)380380380381066L P L P P L P U V U U V U I A I A= =====|Z |==(4)220,380,Y 220N L L U V U V U V == =∆ 行,形2.33C0000000000038022022002200220022002201022002201002200220100220220220L P A B C A A B B C C N A B B U V U V U V U V U V U I AR U I AR U I A R I I I I •••••••••••••= =∣Z∣=10Ω=∠ =∠-12 =∠12 ∠===∠∠-12===∠-3∠-9∠12===∠3∠9=++=∠+∠-3+∠3设002260.1022104840A A P I R W=∠==⨯=2.34000312238380,2202205.838cos cos35.63054sin sin35.6=2290Var 3817cos 0.8L P P L P L L L L L L Z j U V U V U I I A Z P I W I S I V A =+=∠35.6======∣∣∴=ϕ==ϕ=ϕ==•ϕ=2.35380,1122L A B C U V R R R ==Ω==Ω,(1)00000000022222222002200220022002201122001002222010010010022111088A B C A A A B B B N A B B A A A B C C U V U V U V U I AR U I AR I I I I A P I R I R I R •••••••••••=∠ =∠-12 =∠12 ∠∴===∠∠12 ===∠12=++=∠+∠-12+∠12=∠=++=⨯+⨯22+10⨯22=设00W(2)0000000000017.3022017.3022017.30017.3017.30300AB AB B CA CAC B AB C CA A AB CA U I A R U I A R I I A I I AI I I A•••••••••••∠3===∠3∠15===∠15=-=-=∠-15===-=∠3-∠15=∠(3)0000008.6022228.60N A BC B C B C C I I U I I AR R I A••••••==⨯∠-9=-===∠-9++=∠9,2.3605.57760cos ==1018.3 5.59700320.7320.737256.6192.4L L L L I A P W U VS I V A Z = = ϕ0.8==⨯=•∣Z∣===Ω=∠=+ Ω2.3732.919380380L P P P L P I AI AU I V U U V=====|Z |====2.380000000000380=2200220022010100000220039.3039.3L A A A AB ABA A A A U V U V U I A R U I A R I A I I I AI A••'•'•'•''''•'''•••=∠∠∴===∠===∠3=⨯∠-3=∴=+=∠+=∠∴=设第三章电路的暂态分析3.1 (1)Uc22212111120(0)1000(0)(0)100(0)100100100(0) 1.0199(0)(0)1001000(0)0(0) 1.01c c c R R R R c t u U V t u u U V u V i A R u U u V u i A R i i i A--+-+++++++= == = === =====-=-=∴===-=-(2)+-Uci cu12121112222100()()1199()()1()()99()0()()99R R c c R U i i AR R u i R V u i R V i Au u V∞=∞===++∞=∞=∞=∞=∞=∞=∞=3.2 (1)换路前:0t-=434342341234123442123(0) 1.52(0) 1.51 1.5L c L R R R K R K R R R K i uA Ku i R uA K V --=+=Ω=Ω=+=Ω====⨯= (2)换路后0t +=(0)(0) 1.5(0)(0) 1.5L L c c i i mA u u V+-+-====412146 1.5(0) 2.2511(0)0(0)(0)(0) 2.25 1.50.75(0) 1.5 1.5 1.510c L L L i mAK Ki A i i i mA mA mA u i R mA K V++++++-==+==-=-==-=-⨯Ω=(2)t =∝R 4121236232c L L c L u Vi mAKi i mA i i u V(∝)=6⨯=(∝)==(∝)=(∝)=(∝)=0A (∝)=0A (∝)=03.3(1)求()c u +0 0(0)00(0)(0)0c c c t u V t u u V --+-+= ,= = ==(2)求()c u ∞()20c t u U V =∞,∞==(3)求τ2121212121661:112)22060.12R R K C C Z Z j cZ Z Z j c j c C C C C uF RC K s-==Ω//==ω=//==ωω(2∴=//==∴τ==Ω⨯20⨯10=(4)8.330.12()20(020)2020t t c u t ee V --=+-=-s/3.4t -=13K ΩR 60V(0)10660(0)(0)60c c c u m k V u u V-+-=⨯===0t +=13K ΩR c u36=5366060(0)125C K K R K K Ki mAR K +⨯=Ω+--===-Ω总总t =∝10mAR()0()0C Ci u ∝=∝=1R 3K ΩR[]20622100105521010()()(0)()060060()tc c c c t t R K RC K s u t u u u e ee V ----+--=Ωτ==Ω⨯⨯=⎡⎤∴=∝+-∝⎣⎦ =+-=[]210010()012012()t t c i t mA ee mA ---=+--=-60cu V/t s/t s/ci mA/-123.5(1)求(0),()c ci u++3131210(0)1005020(0)(0)505010050(0) 6.2544cc ccRt u U VR Rt u u VUi AR R--+-++= ,=⨯=⨯=+= ==--===++(2)求()()c ci u∞,∞,()0,()100c ct i A u U V=∞∞=∞==(3)求τ565612651021051021088210()0(6.250) 6.25()100(50100)10050t t c t t c R R R RC s i t ee A u t ee V -----⨯⨯--⨯⨯=+=Ωτ==⨯0.25=⨯∴=+-==+-=-3.60t -=+-2R 31i 2i c u +-1U11124(0)10544c R u u VR R -=⨯=⨯=++0t +=(0)(0)5c c u u V +-==+-2R 3R 1R cuci 2i U2212232250cc i i i U iR i R i R i R =+=++-= (0)0.625(0)0.3125c i mA i mA ++∴= =t =∝R 2R120312602244100100.4R R R R K K K R R R C K s-=+=Ω+Ω=Ω+τ==Ω⨯⨯=22122120.40.50.52.5 2.51()5 2.52()05()0.62544() 2.5(5 2.5)2.5 2.5()0(0.6250)()0.625(0.31250.625)c c t c t t c t t R u U VR R i U i mAR R K K u t e e Vi t e V e mAi t e -----∝=⨯=⨯=+∝=∝===+Ω+Ω∴=+- =+ =+-- =-0.625=+- 2.50.6250.3125t e mA- =-3.7650.250.10(0)0()2050100.2()20(020)2020(0.1)0.1(0.1)20207.870.1(0.1)7.87c c tt c c c t u t u U V RC K s u t ee V t s t u e V t u V++----⨯--++= = =∝ ∝==τ==Ω⨯4⨯=∴=+-=- ≤= =-== =U(0.1)(0.1)207.8712.13R c u U u V ++=-=-=()0R t u =∝ ∝=0600.11010.11010.10.1()0252254100.1()0(12.130)12.13(0.1)()20()()12.13(0.1)()20(7.8720)R t t R c t R c t c t u RR K R C K su t e e V t t u t U Vu t U u t e V t u t eV----+-+-=∝ ∝===Ωτ==Ω⨯⨯==+-= ≥=∝ ===-= ≥=+-3.836000.2100(0.2)0.0100.2,11010100.01(0.2)(0.2)100.2,(0.2)(0.2)10(0.2)(0.2)(0.2)01010,()0()0(100)10,0.20,(0)(0)0c i c i i c t t c i t RC s u u V t u u Vu u u V t u V u t ee V t t u u V ----++-+++-------=τ==⨯⨯⨯======∴=-=-=-=∞∞=∴=+--=-≥===001000.0100,(0)(0)0(0)(0)10,()0()0(100)10,00.2c i i t t t u u V u u V t u V u t ee V t +++++-======∞∞=∴=+-=≤≤u V/t s/3.9求(0)c u + ,(0),(0)BA V V ++0(6)0,(0)515250,(0)(0)1:10(0)125(0)660(0)0.31(0)6100.31 2.9(0)(0)1 1.9c c c B A B t u Vt u u VKVL i i i mA V V V V V-+++-++++++--==⨯=+===⨯++⨯--= =∴=-⨯= =-=求(),(),()cB A u V V ∞∞∞ 67127 2.3104.375106(6)()50.35 1.510525()6100.33()()()3 1.5 1.55(1025) 4.3754.37510010 4.37510() 1.5(1 1.5) 1.50.5() 1.5(1.9 1.5c B A B c t t c A u VV V V V u V R K RC s u t ee VV t -----⨯⨯--∞=⨯=⨯=++∞=-⨯=∞=∞-∞=-==//+=Ωτ==⨯⨯=⨯∴=+-=- =+-66662.310 2.3102.310 2.310) 1.50.4()3(2.93)30.1t t t t B e e V V t e e V-⨯-⨯-⨯-⨯=+ =+-=-3.10U L求(0)L i +31312331210.531040,(0)0.25150,(0)(0)0.24()0.3257.5()0.16215 3.7518.75100.5218.75()0.16(0.20.16)0.160.04L L L L t L U t i AR R t i i A U t i AR R R ii A R R R R L ms R i t ee ---++---⨯====++====∞,∞===+//+ ∞===+//=+=Ωτ===∴ =+-=+875t A3.11 (1)121212121212121212121)0.010.020.03(0),(0)0,(0)00,(0)(0)0(0)=(0)=0(),()6,()()2210.033,0.013()2(0L L L Z Z Z j L j L j L L L L L H i i t i A t i i A L i i A i i U t i i AR R L R R R sR i t ++--++-++=+=ω+ω=ω(+∴=+=+======∞∞=∞∞=∞===++=+=Ωτ===∴=+求断开:求1000.0110012)22()22t t t ee Ai t e A----=- =-(2)1010011112000.00512202020222500.022:()2()()26()320.010.0052()3(23)3:()2()()2()00.020.021()0(20)2tt tt L i t A i t i t A U i A R L s R i t e e AL i t A i t i t Ai A L s R i t ee A-+----+---= ==∞===τ====+-=- = ==∞=τ====+-=3.12100.1220(0),(0)101201(0)(0)10220(),()110110.20.111()110(10110)110100()30,0.02L c L L t t U i i AR R R i i A U i t i A R R L s R R i t e e Ai t A t s+-+---===++++==∞=∞,∞===++τ===++∴=+-=- ==求求3.131(40')400'1000,(0) 2.5400,(0)(0) 2.5(0) 2.5'(0),'80,()0,()0140'40'5%:()0(2.50) 2.5ln 0.05'40600.0360't R tR t i A t i i A u R V u V R t i A u VL sR R t i t ee R R --++-++--++=======- ⎢⎢≤200≤Ω=∞∞=∞=τ==++=+-=≥--=Ω∴Ω≤≤80Ω求对应+00,(0)0,0(0)06()1225014.425014.40,0.057625014.4250,0.0288500L L L L t t i A t i A t i mAL R R R s R s--+==>===∞∞==τ==+=τ===Ωτ==设时,开关闭合时,时,0.05760.05760.02880.02880,() 2.4(0 2.4) 2.4 2.4250,()2(012)12126()6,0.0288ln 0.0212:02500.02t t L t t L L R i t e e R i t e ei t mA t ms R ms----==+-=-==+-=-==-=∴~Ω~延时:0.0166第四章常用半导体器件4.2 (1)∴⨯∴去掉得优先导通则V 截止,,10,0,9109,19A B DA DB A F B D D U V U V D V D ====+ (2)∴⨯∴∴ ∴∴ 去掉得优先导通则V 导通,,6, 5.8,96 5.4,191196 5.81195.596 5.59 5.8 5.590.410.21110.62A B DA DB A F B A F B F FF F FF A B A B D D U V U V D V D V V V V V V V VV VI mA I mAI I I mA ====+--+=--+==--=====+= (3)∴ ∴∴∴ 去掉得 优先导通,,5,5,551194.735 4.730.270.2710.54A B DA DB A B FFFF A B A B D D U V U V D D V V V V VI mA I mAI I I mA==--+==-====+=4.4LR->反向击穿241228,LZ RL ZLZ R U U U VR R U V ====+ RL-IU∴>80.08100:0.160.080.0880I ZR L Z R R L Z ZmU U I AR KCL I I I A mA I I -====-=-== 4.5LR -IU > ∴>2反向击穿=2100L IZ IL Z I R U U U R R U V U V=+L R-IU ∴∴∴⨯≤≤⨯∴⨯≤≤⨯∴≤≤3333:1010050050020500510301020510301050022.535R Z R L I Z ZZ LI Z I Z Z I I KCL I I I U U U I R R U I U I I U V U V----=+-=+-=+-=-4.6 (1)∆β∆∆β∆11122220500.80.410500.80.6C B C B I I I I ===-===-(2)ββ12184.50.43847.50.8--====第五章 基本放大电路5.2输出端等效电路-2U 0Ω∴∞ ∴Ω0'000'00'001,11111.1100L L LL R K U V R U U r R U r R U Vr ===+=+=== 5.4 (1)β125024026CCB BC B CE CC C C V I uAR I I mA U V I R V ?====-= (2)∴ ∴β012432640CCC CE C BV mAR I mA U V I I ======(3)1206C BE C CE U U U U V=?==5.6R-•+••(1)•••••ββββ⨯⨯011(1)(1)10020.98(1.41012)b cc u be Ei b be b E U I R R A r R U I r I R --===++++-==-+(2)()()•••••ββββ⨯⨯02211(1)(1)10120.9(1.41012)bEEu be Ei b be b E IR RU A r R U I r I R ++===++++==+(3)•••••∠0⨯∠0∠180 ω⨯∠0∠0ω 000011001000220210.9810.981.39sin(180)0.9910.991.4sin i u i u i U U A U u t mVU A U u t mV===-==+==== 5.7ΩΩβ⨯Ωβ⨯∴Ωβ∴⨯01200,20lg 20046512100,20lg10040510.0520122400052626200(1)200(120)74611007463.7320121 3.738.2u Li m C B CC B B be E Cu beu be C CE CC C C A dBmA U R K A dBI uA I I mAB V R K I mAr I RA r A r R K U V I R ==========?==++=++==-=-=-==-=-=7V 5.8分压偏置共射极放大电路(1)⨯⨯β212201236020301.52()12 1.5(32) 4.51.52560B B CC B B B BE C E E CE CC C C E CB R U V VR R V V I I mAR U V I R R V I I uA ===++--?===-+=-+==== (2)βΩ//⨯ΩΩ'026300(160) 1.361.5366088.21.361.363Lu bebe u i be R A r r K A r r K r R C K =-=++==-=-====5.9 (1)β⨯β⨯⨯⨯1295.2(1)755115095.2 4.7612(150)95.217.14CCB B EC B CE CC E E V I uAR R I I mA U V I R V===+++=====-+= (2)β⨯//⨯//ββΩ//β//⨯//1Ω//Ωβ''''0(1)51(11)0.98472.8451(11)(1)(1) 4.8626200(150)472.844.86(1)75472.84(150)(1)19.3472.84757510.741150Lu be LE B be i B be L be S R A r R I I mA r r R r R K r R r +===+++=+==++=轾=++犏臌轾=++=犏臌++===++第六章 集成运算放大器及其应用6.2(1)∴ ∴ ∴0000:i f f if L i LL ii i u u u u u u u u u u KCL R Ru u R R u R A uf u R+--++-==========(2)∴ ∴∴∴∴A 11''1'10''00100:(1)(1)i ii i f E E Ef F F I E EF E i EFc cc EE F EEc EFc F i Ei i u u u u u u i R R KCL i i u R i i R R u R i R R R R u i R u i R i i i i i R u R i R u R Ruf Au R R +-+-+=====-==-===-==-=-»=+=-+==+(3)00001i ii ii i u u u u u u u u u u u A uf u +-++---=========(4)∴∴∴∴11''033'''003013031000:i i i f f i fi ii i u u u u u u u i R R u u u i R R u u u u u i R KCL i i u u R R u R A uf u R +-++----+=====-==-==-====-==-==- 6.3(1)∴±±⨯±55520lg 100101313100.1310opp dm u A u A u U u V mVA -======(2)±⨯±5max 13100.0652dm idu I mA r -===6.4∴0201222102212222122112211111f ix A x A F A A x A F A A A x A A F A A F A F A F =++===++++6.5∴∴∴~Ω Ω∴~0101110066:6(1):01010:612FFFF i i u Vu u V u u u KCL R R R R u u u R R R K R K u V+-+-+----=====-==+=+=6.6(a) ∴改变对无影响00,0i iR iL u u u u u u u i i R R ui RR i +--+--======= (b) 改变对无影响00,0i iR L u u u i u i i RR i -+-=====6.7改变对无影响00000L i R L i R iiL u i R u u u i i u i R u i RRu i R R i +-+-=+==-===6.8作用时12,i i u u'0u 4u i u∴∴⨯'12012'12012000123()1()222i i F i i F i i u u u u u R R R u u u R VR R +-+-====++==-+=-+=-作用时34,i i u u''04R||∴∴∴34343434343434''012''0''034'''0000:()2:234737 5.52i i i i i i Fi i i i u u u u KCL R R R R u u u u u R R R R u u u KCL R R R u u u u u u u V u u u V +-+++---+-==--+=+=+=+-====+=+==+=-+=6.9。
电工学少学时1-4章课后习题答案第一章电路的基本概念与基本定律11 电路和电路模型1、(1)实际电路是由各种电气器件按照一定的方式连接而成的,用于实现电能的传输、分配和转换,以及信号的传递、处理和控制等功能。
(2)电路模型是对实际电路的理想化和简化,它由理想电路元件组成,如电阻、电感、电容、电源等,用特定的符号表示,以便于对电路进行分析和计算。
2、常见的理想电路元件包括电阻元件、电感元件、电容元件、电压源和电流源。
电阻元件表示消耗电能并将电能转化为热能的元件;电感元件表示储存磁场能量的元件;电容元件表示储存电场能量的元件;电压源提供恒定的电压;电流源提供恒定的电流。
12 电流和电压的参考方向1、电流的参考方向是人为假定的电流流动的方向,若实际电流方向与参考方向相同,电流为正值;若实际电流方向与参考方向相反,电流为负值。
2、电压的参考方向也是人为假定的,通常从高电位指向低电位。
当实际电压方向与参考方向相同时,电压为正值;反之,电压为负值。
13 电功率和电能1、电功率是电路中单位时间内消耗或产生的电能,P = UI。
当 P> 0 时,元件吸收功率;当 P < 0 时,元件发出功率。
2、电能是电功率在一段时间内的积累,W = Pt。
电能的单位通常是焦耳(J)。
14 电路元件1、电阻元件的伏安特性是一条通过原点的直线,其电阻值是常数。
2、电感元件的电压与电流的关系为:$u = L\frac{di}{dt}$。
3、电容元件的电流与电压的关系为:$i = C\frac{du}{dt}$。
15 电源元件1、理想电压源的端电压恒定不变,与通过它的电流无关。
2、理想电流源的输出电流恒定不变,其两端电压由外电路决定。
16 基尔霍夫定律1、基尔霍夫电流定律(KCL):在任一时刻,流入一个节点的电流之和等于流出该节点的电流之和。
2、基尔霍夫电压定律(KVL):在任一时刻,沿任一闭合回路,各段电压的代数和恒等于零。
第二章电路的分析方法21 电阻串并联连接的等效变换1、电阻串联时,等效电阻等于各个电阻之和,即$R_{eq} = R_1 + R_2 +\cdots + R_n$。
第二章 正弦交流电路2.1 基本要求(1) 深入理解正弦量的特征,特别是有效值、初相位和相位差。
(2) 掌握正弦量的各种表示方法及相互关系。
(3) 掌握正弦交流电路的电压电流关系及复数形式。
(4) 掌握三种单一参数(R ,L ,C )的电压、电流及功率关系。
(5) 能够分析计算一般的单相交流电路,熟练运用相量图和复数法。
(6) 深刻认识提高功率因数的重要性。
(7) 了解交流电路的频率特性和谐振电路。
2.2 基本内容 2.2.1 基本概念 1. 正弦量的三要素(1) 幅值(U m ,E m ,I m )、瞬时值(u, e, i )、有效值(U ,E ,I )。
注:有效值与幅值的关系为:有效值2幅值=。
(2) 频率(f )、角频率(ω)、周期(T )。
注:三者的关系是Tf ππω22==。
(3) 相位(ϕω+t )、初相角(ϕ)、相位差(21ϕϕ-)。
注:相位差是同频率正弦量的相位之差。
2. 正弦量的表示方法 (1) 函数式表示法:。
)sin();sin();sin(i m e m u m t I i t E e t U u ϕωϕωϕω-=+=+= (2) 波形表示法:例如u 的波形如图2-1-1(a)所示。
(3) 相量(图)表示法:使相量的长度等于正弦量的幅值(或有效值); 使相量和横轴正方向的夹角等于正弦量的初相角; 使相量旋转的角速度等于正弦量的角速度。
注: 图2-6(b)U例。
)60sin(24,)30sin(2621V t u V t u o o +=+=ωω求?21=+u u解:因为同频率同性质的正弦量相加后仍为正弦量,故)sin(221ϕω+==+t U u u u , 只要求出U 及ϕ问题就解决了。
解1:相量图法求解如下:具体步骤为三步法(如图2-1-2所示): 第一步:画出正弦量u 1、u 2的相量12U U 、(U 1=6,U 2=4)。
第二步:在相量图上进行相量的加法,得到一个新相量U 。
第二章 电路的分析方法P39 习题二 2-1题2-1图题2-1等效图 解:334424144I R R I R I RR I ⋅=⋅+⎪⎪⎭⎫ ⎝⎛+⋅①33341445I R E I I R R I R ⋅-=⎥⎦⎤⎢⎣⎡++ ② 344443363I I I I =+⎪⎭⎫⎝⎛+,344215I I = 34815I I = ①33444621I I I I -=⎪⎭⎫⎝⎛++,345623I I -= 3410123I I -=,34506015I I -=,A 2930,302933==I I 代入 ①A 2916,293081544=⨯=⨯I I 另外,戴维南等效图A 29549296I 5==回归原图 3355I R I R E ⋅=⋅-,所以A 293042954163=⨯-=I 2-2答 由并联输出功率400w所以每个R 获得功率RU P 2,W 1004400==)(484,2201002Ω==R R改串联后:W 25422220P P 222=⨯===总消耗输出R U 2-33R 2R4R5R3I1I5I4I E+- 1R 2I6V+- Ω1Ω9205I题2-3等效图Ω=++⨯=++⋅=313212123121112111R R R R R R ,Ω=++⨯=++⨯=13213223121123122R R R R R RΩ=++⨯=++⋅=213213123121123133R R R R R R)(913910312953125225231ab Ω=+=+=+⨯+=R2-4题2-4 △-Y 变换(一)图题2-4 △-Y 变换(二)图题2-4 △-Y 变换(三)图题2-4 等效星型图2-5 解:ab cR 31 R 32 R 32 R 32 R 31R 31 bR 92 R 92 R 92 aR 31R 31 R 31 bacR 95R 95 R 951Ω1Ω2ΩΩ31 Ω21 a12 3+-10V Ω2Ω25A题2-5 (a)图2-6 用两种电源等效互换的方法,求电路中5Ω电阻上消耗的功率。
第一章 磁路1-1 磁路的磁阻如何计算?磁阻的单位是什么?答:磁路的磁阻与磁路的几何形状(长度、面积)和材料的导磁性能有关,计算公式为AlR m μ=,单位:Wb A1-2 铁心中的磁滞损耗和涡流损耗是怎样产生的,它们各与哪些因素有关?答:磁滞损耗:铁磁材料置于交变磁场中,被反复交变磁化,磁畴间相互摩擦引起的损耗。
经验公式V fB C p nm h h =。
与铁磁材料的磁滞损耗系数、磁场交变的频率、铁心的体积及磁化强度有关;涡流损耗:交变的磁场产生交变的电场,在铁心中形成环流(涡流),通过电阻产生的损耗。
经验公式G B f C p m Fe h 23.1≈。
与材料的铁心损耗系数、频率、磁通及铁心重量有关。
1-3 图示铁心线圈,已知线圈的匝数N=1000,铁心厚度为0.025m (铁心由0.35mm 的DR320硅钢片叠成), 叠片系数(即截面中铁的面积与总面积之比)为0.93,不计漏磁,试计算:(1) 中间心柱的磁通为4105.7-⨯Wb ,不计铁心的磁位降时所需的直流励磁电流; (2) 考虑铁心磁位降时,产生同样的磁通量时所需的励磁电流。
解: 磁路左右对称∴可以从中间轴线分开,只考虑右半磁路的情况: 铁心、气隙截面2422109.293.01025.1025.0m m A A --⨯=⨯⨯⨯==δ(考虑边缘效应时,通长在气隙截面边长上加一个气隙的长度;气隙截面可以不乘系数) 气隙长度m l 41052-⨯==δδ 铁心长度()m cm l 21045.122025.025.15225.125.7-⨯=⨯--+⨯⎪⎭⎫⎝⎛-= 铁心、气隙中的磁感应强度T T A B B 29.1109.22105.7244=⨯⨯⨯=Φ==--δ (1) 不计铁心中的磁位降: 气隙磁场强度m A m A B H 67100.110429.1⨯=⨯==-πμδδ 磁势A A l H F F I 500105100.146=⨯⋅⨯=⋅==-δδδ 电流A NF I I5.0==(2) 考虑铁心中的磁位降:铁心中T B 29.1= 查表可知:m A H 700= 铁心磁位降A A l H F Fe 15.871045.127002=⨯⨯=⋅=-A A A F F F Fe I 15.58715.87500=+=+=δ A NF I I59.0≈=1-4 图示铁心线圈,线圈A 为100匝,通入电流1.5A ,线圈B 为50匝,通入电流1A ,铁心截面积均匀,求PQ 两点间的磁位降。
1-1题〜1-5题,根据题意,画出电路,通过求解,进一步增强电源、负载、额定值的概念。
1-6 :在图1-63中,d 点为参考点,即其电位 V d =O ,求a 、b 、c 三点的电位 V a 、V b 、V c 。
10+O 20V解:根据电位与电压的关系V aU ad , V b U bd , V cU cd要求电压: 需求电流:I50 20 30 0.5(A)。
10 20 1020 60根据电压降准则:V a U ad 10 ( I) 50 10 ( 0.5) 50 45(V)V b U bd20 (I) 10 (I) ! 50 30 (0.5) 50 35(V)V cU cd 20 I20 0.5 10(V)1-7:在图 1-64 中, 已知 R 1= R 2=5 , 求电位V a 、 V b 、V c 。
a 41 06解: 根据电位与电压的关系: V a =U ao ,V b =U bo ,V c =U co ,求电压需求电流 136 2460 2(A)。
I8 410 6 230根据电压降准则:V a U ao (I 8) 36 ( 2 8) 36 20(V)。
V b U bo I (8 4 5)36 (34) 36 2(V)。
V cU C o(I 2)(24) 4 2420(V)。
1-8 :在图 1-64中,b 为电位器移动触点的引出端。
试问R 1和R 2为何值时,解:a2010+50V20d图 1-63 题 1-6图 1-64 题1-7V b U bo 0 I (R 2 6 2) ( 24)R 2 (24 16)/2 4()R 110R 2 104 6()1-9:求图1-65中的电压U abU ab 一 b o —解:本题不限方法,首先进行化简。
R 中无电流,电压降为零,图 设参考点 0,U ab = U ao - b U ,求U ao 。
可用多种方法:U abQ b15图 1-65-1(1)叠加法求U ao ,除源求R ao ;⑵结点法求U ao ,除源求R ao ;(3) 把电压源转换为电流源,电流源合并,最后把电流源再转换为电压源,如图 示。
第二章 正弦交流电路2.1 基本要求(1) 深入理解正弦量的特征,特别是有效值、初相位和相位差。
(2) 掌握正弦量的各种表示方法及相互关系。
(3) 掌握正弦交流电路的电压电流关系及复数形式。
(4) 掌握三种单一参数(R ,L ,C )的电压、电流及功率关系。
(5) 能够分析计算一般的单相交流电路,熟练运用相量图和复数法。
(6) 深刻认识提高功率因数的重要性。
(7) 了解交流电路的频率特性和谐振电路。
2.2 基本内容 2.2.1 基本概念 1. 正弦量的三要素(1) 幅值(U m ,E m ,I m )、瞬时值(u, e, i )、有效值(U ,E ,I )。
注:有效值与幅值的关系为:有效值2幅值=。
(2) 频率(f )、角频率(ω)、周期(T )。
注:三者的关系是Tf ππω22==。
(3) 相位(ϕω+t )、初相角(ϕ)、相位差(21ϕϕ-)。
注:相位差是同频率正弦量的相位之差。
2. 正弦量的表示方法 (1) 函数式表示法:。
)sin();sin();sin(i m e m u m t I i t E e t U u ϕωϕωϕω-=+=+= (2) 波形表示法:例如u 的波形如图2-1-1(a)所示。
(3) 相量(图)表示法:使相量的长度等于正弦量的幅值(或有效值); 使相量和横轴正方向的夹角等于正弦量的初相角; 使相量旋转的角速度等于正弦量的角速度。
注: U &U例。
)60sin(24,)30sin(2621V t u V t u o o +=+=ωω求?21=+u u解:因为同频率同性质的正弦量相加后仍为正弦量,故)sin(221ϕω+==+t U u u u , 只要求出U 及ϕ问题就解决了。
解1:相量图法求解如下:具体步骤为三步法(如图2-1-2所示):第一步:画出正弦量u 1、u 2的相量12U U &&、(U 1=6,U 2=4)。
第二步:在相量图上进行相量的加法,得到一个新相量U&。
利用∆ABC 求出AC 的长度为9.68,即新相量U&的长度。
利用∆ABC 求出α的数值为11.9o,则3041.9ϕα=+=o o 。
第三步:把新相量U&还原为正弦量u : U&→u=9.6841.9)()t V ω+o以上三步总结如下:4434421•••=+↑↓↓=+U U U u u u 21213060BC1U 2U 0图2-1-2(4) 相量式(复数)表示法:使复数的模等于正弦量的幅值(或有效值); 使复数的复角等于正弦量的初相角。
注:① 实际表示时多用有效值。
② 复数运算时,加减常用复数的代数型,乘除常用复数的极坐标型。
③ 利用复数,可以求解同频率正弦量之间的有关加减乘除....问题。
解2: 复数法求解如下:具体步骤为三步法: 第一步:正弦量表示为复数(极坐标形式):32.530611j U u +=∠=→ο& 47.3260422j Uu +=∠=→ο& 第二步:复数运算,产生一个新复数U&。
ο&&&9.4168.947.62.747.3232.521∠=+=+++=+=j j j U U U )()(第三步:把新复数还原为正弦量。
)()(ο&9.41sin 268.9sin 2+=+=→t t U u U ωϕω以上三步总结如下:4434421•••=+↑↓↓=+U U U u u u 21212.2.2 基本定律 1. 欧姆定律交流电路欧姆定律:IU Z =(有效值形式电压电流关系)。
交流电路欧姆定律的复数形式:Z=IU&&(复数形式电压电流关系)。
注:Z Z ϕ=∠。
2. 克希荷夫定律克希荷夫电流定律:0=∑I &克希荷夫电压定律:0=∑U& 2.2.3 基本分析方法直流电路分析方法在交流电路中同样适用,只不过要注意元件性质的正确表达及引进复数的若干问题。
2.2.4 交流电路中的功率设电路两端电压和电路中的电流分别为:t U u m ωsin =,)sin(ϕω-=t I i m ,瞬时功率p=ui 平均功率P=)(cos 121w P P UI pdt T⋯⋯++==⎰ϕ。
无功功率Csin ()LUI Var ϕ==-∑∑Q Q Q。
视在功率S UI ==。
功率因数SP =ϕcos 2.2.5 R ,L ,C 单一参数元件的电压、电流及功率关系电阻、电感和电容(单一参数元件)中的电压、电流关系及功率关系,是分析正弦电路的理论基础。
现列表归纳如下:表2-1:单一参数交流电路中电压、电流及功率关系2.2.6 RL、RC串联电路中电压电流及功率关系RL、RC串联电路中电压电流及功率关系如表2.2所示。
表2-2:RL、RC串联电路中电压电流及功率关系注:RL、RC串联电路都存在三个三角形,即阻抗、电压及功率,而且三个三角形都是相似∆。
2.2.7 电路的谐振在含有L、C的电路中,当满足一定条件时,出现电路总电压与总电流同相位的现象,称这种状态为谐振。
谐振又分串联谐振和并联谐振两种,现比较如下:表2-3:串联谐振与并联谐振的比较2.3 重点与难点2.3.1 重点(单相交流电路的分析与计算是本章的重点)1.直流电路的定律、准则、分析方法同样适用于正弦交流电路,直流电路的解题思路同样适用于交流电路。
2. 交流电路的欧姆定律IUZ =及复数形式Z=I U &&适用于一个元件,又适用于一条支路,也适用于全电路。
3. 元件(负载)的性质决定电压电流的相位差,决定有功功率和无功功率的大小。
4. RL 串联、RC 串联时,借助电路存在的三个相似三角形分析求解较为方便。
5. 不同的题目选用不同的解题方法:(1) 有的习题,用有效值公式就可以求解,再结合元件性质也可以画出相量图。
(2)有的习题,用复数法求解较为简便,求解后再画相量图也很容易。
(3)有的习题,可以用相量图法和复数法两种方法求解。
[第一种][第二种](4) 不少题目,根据题意,估画相量图,借助相量图,逐步求之,既直观又方便。
(5) 与功率相关的问题,首先应该考虑ϕcos UI P =,ϕsin UI Q =,S=UI 。
然后再考虑P 、Q 、S 所组成的功率三角形之间的关系。
如果是多个R 、L 、C 时,可利用下面的方法求解。
1112111111211111122211122L 22C cos ......sin .......Q .......Q R R LCLL L L L L L CC C C C C C P UI P P U P I R R Q UI Q QQQ Q U I X X QQ Q U I X X S UI ϕϕ==++==⋅==-=++==⋅=++==⋅==∑∑∑∑2.3.2 难点1. 交流电路中符号繁多,但各有其物理意义。
正弦量有三种(e 、u 、i ),每种又有三个值(以电压为例,u 、U 、U m )。
正弦量的表示法(电路中)又分相量图法和相量式法,尽管表示符号都为U&,在相量图中代表有方向的线段,在相量式中代表一个复数。
在电路分析计算时,正弦量、相量、复数三者互为表示,互为转换,但并不等于。
2. 个别习题需要几个方面综合考虑方可求解。
在图2-1-3(a)中,已知电路及有关参数,f=50Hz ,u=220tV ωsin 2 。
(1)求电流表A 及功率表P 的读数,(2)S 闭合,A 为5A ,P 为1000w ,求R 及C ?解(1)S 闭合前:;LI I &&='(功率表的读数)电流表的读数))(580cos 6.013.53cos 3040tan cos cos )((4.440302201'22'w I U P A I I L =''='==⎥⎦⎤⎢⎣⎡==+=-=ϕϕ(2)S 闭合后:CL I I I &&&+= 1000cos 0.91, 24.62205P UI ϕϕ====⨯o ① 以U &为参考相量,画出LI &相量( 4.4, 53.13I ϕ''==-o )及I &相量(I=5,ο6.24=ϕ),如图2-1-3(b )所示。
② 由⊿BAC 求出BC ,则BC=AD ,I C 可知。
③ 由⊿CAD 求出(α+24.6°),α可知。
④ 由RC 串联支路组成的电压⊿,如图2-1-3(C )所示,画出与之相似的阻抗⊿,如图2-1-3(d )所示,在阻抗⊿中,CCI U Z=,故R 、X C 、C 可求(具体求解见后述)。
A图2-1-3(a)I →U &图2-1-3(b )aR图2-1-3(d)CX CZ 图2-1-3(C)2.4 例题与习题解答2.4.1. 例题例2-1:已知 ))(30sin(251A t i o +=ω ))(60sin(2102A t i o -=ω (1)求各正弦量对应的相量,并画出相量图;(2)借助相量图,求i 1 + i 2;(3)求各正弦量的相量式(复数式); (4)借助复数求21i i -。
注:正弦量与相量之间是一一对应的关系,只能用(→)表示,而不能用等号。
解:(1)设零参考相量(只有方向,没有大小),分别画出1i 、2i 的相量21I I &&、(长度用有效值),如图2-1-4所示:AB图 2-1-4&0&(2)参阅前述利用相量图求正弦量的和(或差)的三步法思路:在△ABC 中:2222222cos(18090)51025100()11.18()o o AC AB BCAB BC AC AC I A =+-•⨯-=+-⨯⨯⨯'=在△ADC 中:22222212 2cos() 511.1810211.1810cos cos 0.89 26.56 6025.5633.4433.44)()DC AC AD AC AD i i t A ααααϕω=+-⋅⋅=+-⨯⨯⨯===-︒=+=-︒ooo故(3)5.233.430sin 530cos 53051j j I +=+=∠=οοο& 66.85)60sin(1060cos 1060102j j I -=-+=-∠=οοο& (4)参阅前述利用相量式(复数)求解正弦量的加、减、乘、除问题的三步法思路: ο&&56.8618.11.16.1167.0)66.85()5.233.4(21-∠=+-=--+=-j j j I I(A ) 故:。