高考物理知识点大全(坤哥物理)
- 格式:docx
- 大小:1.36 MB
- 文档页数:80
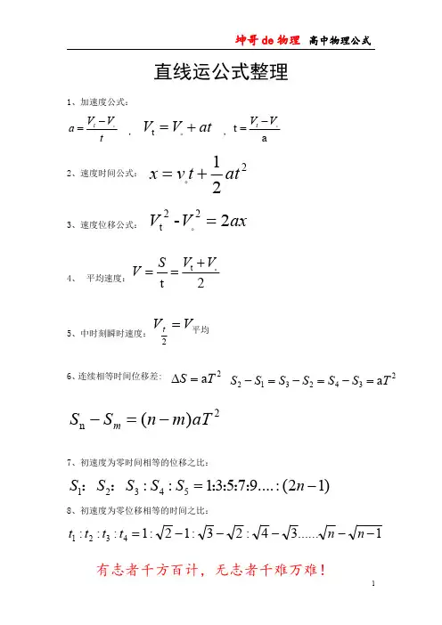
第一单元直线运动 (1)第二单元相互作用 (4)第三单元牛顿运动定律 (7)第四单元曲线运动 (9)第五单元万有引力 (12)第六单元机械能 (14)第七单元动量 (18)第八单元力学实验 (24)第九单元静电场 (30)第十单元恒定电流 (34)第十一单元电学实验 (36)第十二单元磁场 (46)第十三单元电磁感应 (49)第十四单元交变电流 (51)第十五单元近代物理 (53)第十六单元选修3-3 (63)第十七单元选修3-4 (73)第十八单元常用的物理方法 (85)第十九单元常用的数学方法 (92)第一单元直线运动1.匀变速直线运动:(1)平均速度(定义式)v=st(2)有用推论v t2-v02=2as(3)中间时刻速度v t2=(v t+v0)2(4)末速度v t=v0+at(5)中间位置速度v s2=√v02+v t22(6)位移s=v0t+12at2(7)加速度a=v t-v0t(以v0为正方向,a与v0同向(加速)则a>0;反向则a<0) (8)实验用推论Δs=aT2(Δs为连续相邻相等时间T内位移之差)易错提醒:(1)平均速度是矢量(2)物体速度大,加速度不一定大(3)a=v t-v0t只是量度式,不是决定式2.自由落体运动(1)初速度v0=0(2)末速度v t=gt(3)下落高度h=12gt2(从v0位置向下计算)(4)推论v t2=2gh易错提醒:(1)自由落体运动是初速度为零的匀加速直线运动,遵循匀变速直线运动规律。
(2)a=g=9.8m/s2≈10m/s2(重力加速度在赤道附近较小,在高山处比平地小,方向竖直向下)。
3.竖直上抛运动gt2(1)位移s=v0t-12(2)末速度v t=v0-gt(3)有用推论v t2-v02=-2gs(从抛出点算起)。
(4)上升最大高度H m=v022g(从抛出落回原位置的时间)。
(5)往返时间t=2v0g易错提醒:(1)全过程处理:是匀减速直线运动,以向上为正方向,加速度取负值。
第一单元直线运动 (1)第二单元相互作用 (4)第三单元牛顿运动定律 (7)第四单元曲线运动 (9)第五单元万有引力 (12)第六单元机械能 (14)第七单元动量 (18)第八单元力学实验 (24)第九单元静电场 (30)第十单元恒定电流 (34)第十一单元电学实验 (36)第十二单元磁场 (46)第十三单元电磁感应 (49)第十四单元交变电流 (51)第十五单元近代物理 (53)第十六单元选修3-3 (63)第十七单元选修3-4 (73)第十八单元常用的物理方法 (85)第十九单元常用的数学方法 (92)第一单元直线运动1.匀变速直线运动:(1)平均速度(定义式)v=st(2)有用推论vt2-v02=2as(3)中间时刻速度v t2=(v t+v0)2(4)末速度v t=v0+at(5)中间位置速度v s2=√v02+v t22(6)位移s=v0t+12at2(7)加速度a=v t-v0t(以v0为正方向,a与v0同向(加速)则a>0;反向则a<0) (8)实验用推论Δs=aT2(Δs为连续相邻相等时间T内位移之差)易错提醒:(1)平均速度是矢量(2)物体速度大,加速度不一定大(3)a=v t-v0t只是量度式,不是决定式2.自由落体运动(1)初速度v0=0(2)末速度v t=gt(3)下落高度h=12gt2(从v0位置向下计算)(4)推论vt2=2gh易错提醒:(1)自由落体运动是初速度为零的匀加速直线运动,遵循匀变速直线运动规律。
(2)a=g=9.8m/s2≈10m/s2(重力加速度在赤道附近较小,在高山处比平地小,方向竖直向下)。
3.竖直上抛运动gt2(1)位移s=v0t-12(2)末速度v t=v0-gt(3)有用推论v2-v02=-2gst(4)上升最大高度H m=v02(从抛出点算起)。
2g(从抛出落回原位置的时间)。
(5)往返时间t=2v0g易错提醒:(1)全过程处理:是匀减速直线运动,以向上为正方向,加速度取负值。
高考物理知识点总结一、力和物体的平衡1.力是物体对物体的作用,是物体发生形变和改变物体的运动状态(即产生加速度)的原因. 力是矢量。
2.重力(1)重力是由于地球对物体的吸引而产生的.[注意]重力是由于地球的吸引而产生,但不能说重力就是地球的吸引力,重力是万有引力的一个分力.但在地球表面附近,可以认为重力近似等于万有引力(2)重力的大小:地球表面G=mg,离地面高h处G/=mg/,其中g/=[R/(R+h)]2g(3)重力的方向:竖直向下(不一定指向地心)。
(4)重心:物体的各部分所受重力合力的作用点,物体的重心不一定在物体上. 3.弹力(1)产生原因:由于发生弹性形变的物体有恢复形变的趋势而产生的.(2)产生条件:①直接接触;②有弹性形变.(3)弹力的方向:与物体形变的方向相反,弹力的受力物体是引起形变的物体,施力物体是发生形变的物体.在点面接触的情况下,垂直于面;在两个曲面接触(相当于点接触)的情况下,垂直于过接触点的公切面.①绳的拉力方向总是沿着绳且指向绳收缩的方向,且一根轻绳上的张力大小处处相等.②轻杆既可产生压力,又可产生拉力,且方向不一定沿杆.(4)弹力的大小:一般情况下应根据物体的运动状态,利用平衡条件或牛顿定律来求解.弹簧弹力可由胡克定律来求解.★胡克定律:在弹性限度内,弹簧弹力的大小和弹簧的形变量成正比,即F=kx.k为弹簧的劲度系数,它只与弹簧本身因素有关,单位是N/m.4.摩擦力(1)产生的条件:①相互接触的物体间存在压力;③接触面不光滑;③接触的物体之间有相对运动(滑动摩擦力)或相对运动的趋势(静摩擦力),这三点缺一不可.(2)摩擦力的方向:沿接触面切线方向,与物体相对运动或相对运动趋势的方向相反,与物体运动的方向可以相同也可以相反.(3)判断静摩擦力方向的方法:①假设法:首先假设两物体接触面光滑,这时若两物体不发生相对运动,则说明它们原来没有相对运动趋势,也没有静摩擦力;若两物体发生相对运动,则说明它们原来有相对运动趋势,并且原来相对运动趋势的方向跟假设接触面光滑时相对运动的方向相同.然后根据静摩擦力的方向跟物体相对运动趋势的方向相反确定静摩擦力方向.②平衡法:根据二力平衡条件可以判断静摩擦力的方向.(4)大小:先判明是何种摩擦力,然后再根据各自的规律去分析求解.①滑动摩擦力大小:利用公式f=μFN 进行计算,其中FN是物体的正压力,不一定等于物体的重力,甚至可能和重力无关.或者根据物体的运动状态,利用平衡条件或牛顿定律来求解.②静摩擦力大小:静摩擦力大小可在0与f max 之间变化,一般应根据物体的运动状态由平衡条件或牛顿定律来求解.5.物体的受力分析(1)确定所研究的物体,分析周围物体对它产生的作用,不要分析该物体施于其他物体上的力,也不要把作用在其他物体上的力错误地认为通过“力的传递”作用在研究对象上. (2)按“性质力”的顺序分析.即按重力、弹力、摩擦力、其他力顺序分析,不要把“效果力”与“性质力”混淆重复分析.(3)如果有一个力的方向难以确定,可用假设法分析.先假设此力不存在,想像所研究的物体会发生怎样的运动,然后审查这个力应在什么方向,对象才能满足给定的运动状态.6.力的合成与分解(1)合力与分力:如果一个力作用在物体上,它产生的效果跟几个力共同作用产生的效果相同,这个力就叫做那几个力的合力,而那几个力就叫做这个力的分力.(2)力合成与分解的根本方法:平行四边形定则.(3)力的合成:求几个已知力的合力,叫做力的合成.共点的两个力(F 1 和F 2 )合力大小F的取值范围为:|F1 -F2|≤F≤F1+F2.(4)力的分解:求一个已知力的分力,叫做力的分解(力的分解与力的合成互为逆运算).在实际问题中,通常将已知力按力产生的实际作用效果分解;为方便某些问题的研究,在很多问题中都采用正交分解法.7.共点力的平衡(1)共点力:作用在物体的同一点,或作用线相交于一点的几个力.(2)平衡状态:物体保持匀速直线运动或静止叫平衡状态,是加速度等于零的状态.(3)★共点力作用下的物体的平衡条件:物体所受的合外力为零,即∑F=0,若采用正交分解法求解平衡问题,则平衡条件应为:∑Fx =0,∑Fy=0.(4)解决平衡问题的常用方法:隔离法、整体法、图解法、三角形相似法、正交分解法等等.二、直线运动1.机械运动:一个物体相对于另一个物体的位置的改变叫做机械运动,简称运动,它包括平动,转动和振动等运动形式.为了研究物体的运动需要选定参照物(即假定为不动的物体),对同一个物体的运动,所选择的参照物不同,对它的运动的描述就会不同,通常以地球为参照物来研究物体的运动.2.质点:用来代替物体的只有质量没有形状和大小的点,它是一个理想化的物理模型.仅凭物体的大小不能做视为质点的依据。
2024年高三物理必修三知识点总结一、力学1.牛顿第一定律:物体在外力作用下,如果没有受到合力,则物体将保持匀速直线运动或静止。
2.牛顿第二定律:物体在外力作用下,加速度与物体的质量成正比,与物体所受的合力成正比,方向与合力方向相同。
3.牛顿第三定律:物体对物体施加的作用力和物体对其施加的反作用力大小相等,方向相反,且作用在两个不同的物体上。
4.匀变速直线运动:物体在平直轨道上沿着一个方向做匀变速直线运动,其位移、速度和加速度之间的关系为:位移与时间的平方成正比,速度与时间成正比,加速度恒定。
5.重力:地球对物体的吸引力称为重力,重力的大小与物体质量成正比,与物体与地球之间的距离的平方成反比。
6.摩擦力:物体在接触面上由于相互作用而产生的力。
7.弹力:当弹性变形的物体恢复到原来形状时所产生的力。
8.力的合成与分解:几个力合成为一个力的重力称为合力,一个力分解为几个力的合力称为分力。
二、热学1.热量与温度:热量是物体之间传递的能量,温度是物体内部能量的一种表现形式。
2.内能与热容:物质的内能是指物质微观粒子的平均动能,热容是物质单位质量或单位物质的温度升高所需的热量。
3.热传递:热传递可以通过传导、对流和辐射来进行。
4.热力学第一定律:能量守恒定律,能量可以从一个系统转移到另一个系统,但总能量守恒。
5.物态变化:固体、液体和气体之间的相互转变称为物态变化,包括熔化、凝固、汽化、凝结、升华和凝华。
6.理想气体状态方程:理想气体状态方程是描述理想气体的状态的方程,其中P表示气体的压强,V表示气体的体积,T表示气体的温度,n表示气体的物质的量。
7.热机效率:热机效率定义为输出的功与输入的热量之比,根据卡诺定理,理想的卡诺热机的效率只取决于高温热源和低温热源的温度差。
三、光学1.光的传播:光是电磁波的一种,通过空气、真空和某些介质可以传播,光的传播速度为光速。
2.光的反射:光在与介质的界面上反射时,根据反射定律,入射角等于反射角。
高考物理必考知识点归纳总结高考物理是高中阶段学生必修的一门科目,也是高考中常常出现的科目之一。
物理的考点较多,难度也相对较大。
为了有效备考,我们需要对高考物理的必考知识点进行归纳总结。
本文将从力学、电学、热学、光学和波动等几个方面来梳理高考物理必考知识点。
力学部分是物理学的基础,它主要研究物体的运动和力的作用。
在高考中,力学部分往往占有较大的比重。
必考的知识点有:牛顿三定律、动量守恒定律、机械能守恒原理、摩擦力和弹力。
牛顿三定律是力学中最重要的定律之一。
其中第一定律也被称为惯性定律,它指出物体在没有外力作用时保持匀速直线运动或静止;第二定律描述了力的作用导致物体加速度的改变,力的大小和物体的质量成正比;第三定律是著名的作用-反作用定律,它指出任何两个物体之间的相互作用力和反作用力大小相等、方向相反。
动量守恒定律在碰撞问题中经常出现。
动量守恒定律表明,系统内部的物体在碰撞过程中总的动量保持不变。
这一定律可以有效求解碰撞问题,例如弹性碰撞、完全非弹性碰撞等。
机械能守恒原理是力学中的重要理念,它适用于机械能不受外界做功的情况。
在高中阶段,弹簧振子和重物下滑等问题中常用到机械能守恒原理。
摩擦力和弹力是力的两种特殊作用形式。
摩擦力是物体滑动或滚动时由于接触面之间的相互作用力而产生的。
弹力则是弹性形变的物体上的恢复力。
学生需要掌握摩擦力和弹力的计算方法以及它们在力的平衡和运动学问题中的应用。
电学部分是物理学的重要分支,它主要研究电荷、电场、电流、电势等。
在高考中,电学部分往往也是必考的内容。
重点知识点有:库仑定律、欧姆定律、电容器和电路等。
库仑定律描述了两个带电物体之间的作用力与它们之间距离的平方成反比。
这个定律对于计算带电物体之间的作用力和电场强度有着重要的意义。
欧姆定律是电学中一个基本的定律。
它表明,电流与电压成正比,与电阻成反比。
根据欧姆定律,我们可以计算电路中的电流和电阻之间的关系。
电容器是电路中常见的元件。
高三物理课程必讲知识点学习就要掌握技巧,也不是死学要与世界上的万物联系在一起,古人说的好活到老学到老,学习是无止境的。
要做到多观察、多吃苦、多研究学识是不断深化人的精神,下面是小编给大家带来的高三物理课程必讲知识点,希望大家能够喜欢!高三物理课程必讲知识点11、热现象:与温度有关的现象叫做热现象。
2、温度:物体的冷热程度。
3、温度计:要准确地判断或测量温度就要使用的专用测量工具。
4、温标:要测量物体的温度,首先需要确立一个标准,这个标准叫做温标。
(1)摄氏温标:单位:摄氏度,符号℃,摄氏温标规定,在标准大气压下,冰水混合物的温度为0℃;沸水的温度为100℃。
中间100等分,每一等分表示1℃。
(a)如摄氏温度用t表示:t=25℃(b)摄氏度的符号为℃,如34℃(c)读法:37℃,读作37摄氏度;–4.7℃读作:负4.7摄氏度或零下4.7摄氏度。
(2)热力学温标:在国际单位之中,采用热力学温标(又称开氏温标)。
单位:开尔文,符号:K。
在标准大气压下,冰水混合物的温度为273K。
热力学温度T与摄氏温度t的换算关系:T=(t+273)K。
0K是自然界的低温极限,只能无限接近永远达不到。
(3)华氏温标:在标准大气压下,冰的熔点为32℉,水的沸点为212℉,中间180等分,每一等分表示1℉。
华氏温度F与摄氏温度t 的换算关系:F=5t+325、温度计(1)常用温度计:构造:温度计由内径细而均匀的玻璃外壳、玻璃泡、液面、刻度等几部分组成。
原理:液体温度计是根据液体热胀冷缩的性质制成的。
常用温度计内的液体有水银、酒精、煤油等。
6、正确使用温度计(1)先观察它的测量范围、最小刻度、零刻度的位置。
实验温度计的范围为-20℃-110℃,最小刻度为1℃。
体温温度计的范围为35℃-42℃,最小刻度为0.1℃。
(2)估计待测物的温度,选用合适的温度计。
(3)温度及的玻璃泡要与待测物充分接触(但不能接触容器底与容器侧面)。
(4)待液面稳定后,才能读数。
高三物理重难点知识点梳理高三物理重难点知识点梳理1.分子动理论(1)物质是由大量分子组成的分子直径的数量级一般是10-10m。
(2)分子永不停息地做无规则热运动。
①扩散现象:不同的物质互相接触时,可以彼此进入对方中去。
温度越高,扩散越快。
②布朗运动:在显微镜下看到的悬浮在液体(或气体)中微小颗粒的无规则运动,是液体分子对微小颗粒撞击作用的不平衡造成的,是液体分子永不停息地无规则运动的宏观反映。
颗粒越小,布朗运动越明显;温度越高,布朗运动越明显。
(3)分子间存在着相互作用力分子间同时存在着引力和斥力,引力和斥力都随分子间距离增大而减小,但斥力的变化比引力的变化快,实际表现出来的是引力和斥力的合力。
2.物体的内能(1)分子动能:做热运动的分子具有动能,在热现象的研究中,单个分子的动能是无研究意义的,重要的是分子热运动的平均动能。
温度是物体分子热运动的平均动能的标志。
(2)分子势能:分子间具有由它们的相对位置决定的势能,叫做分子势能。
分子势能随着物体的体积变化而变化。
分子间的作用表现为引力时,分子势能随着分子间的距离增大而增大。
分子间的作用表现为斥力时,分子势能随着分子间距离增大而减小。
对实际气体来说,体积增大,分子势能增加;体积缩小,分子势能减小。
(3)物体的内能:物体里所有的分子的动能和势能的总和叫做物体的内能。
任何物体都有内能,物体的内能跟物体的温度和体积有关。
(4)物体的内能和机械能有着本质的区别。
物体具有内能的同时可以具有机械能,也可以不具有机械能。
3.改变内能的两种方式(1)做功:其本质是其他形式的能和内能之间的相互转化。
(2)热传递:其本质是物体间内能的转移。
(3)做功和热传递在改变物体的内能上是等效的,但有本质的区别。
4.热力学第一定律(1)内容:物体内能的增量(ΔU)等于外界对物体做的功(W)和物体吸收的热量(Q)的总和。
(2)表达式:W+Q=ΔU(3)符号法则:外界对物体做功,W取正值,物体对外界做功,W取负值;物体吸收热量,Q取正值,物体放出热量,Q取负值;物体内能增加,ΔU取正值,物体内能减少,ΔU取负值。
高考物理知识点归纳总结1. 力和运动:- 力的定义:力是物体间相互作用的结果,可以改变物体的状态或形状。
- 牛顿第一定律(惯性定律):物体如果不受力作用,将保持静止或匀速直线运动。
- 牛顿第二定律(运动定律):物体受到的力等于质量乘以加速度,即 F = ma。
- 牛顿第三定律(作用-反作用定律):物体间的相互作用力大小相等、方向相反。
2. 万有引力定律:- 万有引力定律:两个物体之间的引力与它们的质量成正比,与它们的距离的平方成反比。
F = G * (m1 * m2) / r^2,其中 G 是万有引力常量。
3. 动能和功:- 动能:物体由于运动而具有的能量。
动能的大小与物体的质量和速度的平方成正比。
动能 K = 1/2 * mv^2。
- 功:力对物体的作用产生的效果,计算公式为功 = 力 * 距离* cosθ。
4. 简单机械:- 杠杆原理:杠杆平衡时,两个物体受到的力的乘积相等,即力的大小与距离成反比。
- 斜面和滑块:斜面上的物体受到重力分解和支持力的作用,通过运用三角函数,可以计算物体的加速度。
- 轮轴系统:利用轮轴系统可以实现力的传递和改变方向,根据杠杆原理和角动量守恒定律,可以计算轮轴系统的机械效率。
5. 电学基础:- 电荷和电场:电荷是电磁相互作用的基本载体,有正负之分。
电场是电荷周围的物理量,可以用来描述电荷之间的相互作用。
- 电流和电阻:电流是电荷的流动,可以用电流强度来表示。
电阻是物体阻碍电流流动的程度,可以用电阻大小来衡量。
- 欧姆定律:在恒定温度下,电流强度与电压成正比,与电阻成反比。
U = IR,其中 U 是电压,I 是电流强度,R 是电阻。
- 串联和并联电路:串联电路中,电流强度相等,电压分担;并联电路中,电压相等,电流分担。
以上是一些高考物理的基本知识点归纳总结。
希望对你有帮助!6. 磁学基础:- 磁场和磁力:磁场是由磁体或电流所产生的物理场,可用磁感应强度来表示。
磁力是磁场对磁体或带电粒子产生的力。
高考物理99个考点总结1. 力学1.1 牛顿运动定律•牛顿第一定律:[惯性定律] 物体在没有外力作用下保持匀速直线运动或静止。
•牛顿第二定律:[运动方程] 物体的加速度与作用在其上的合力成正比,与质量成反比。
•牛顿第三定律:[作用-反作用定律] 任何作用于物体的力都会引起相等大小、方向相反的反作用力。
1.2 力的合成与分解•合力:若多个力共同作用于一个物体,合力的大小等于它们矢量和的大小。
•分解力:将一个力按照一定方式分解成两个或多个力的过程。
1.3 动能定理与动量守恒定理•动能定理:物体的动能变化等于外力所做的功。
•动量守恒定理:在一个孤立系统中,当外力合为零时,系统的动量保持不变。
1.4 万有引力与简单机械•万有引力定律:[牛顿引力定律] 两个物体之间的引力等于它们的质量乘积与距离的平方成反比。
•简单机械:[杠杆、滑轮、斜面] 利用简单机械可以改变力的方向和大小。
1.5 波动•波动现象:[机械波与电磁波] 振动源产生振动,通过媒质传播的现象。
•波动的特性:[频率、波长、声速] 波动的频率决定了声音或光的音调或颜色。
2. 光学2.1 光的反射与折射•反射定律:[入射角等于反射角] 光线在光滑表面上反射时,入射角和反射角相等。
•折射定律:[斯涅尔定律] 光线在两种不同介质之间传播时,入射角、折射角和两种介质的折射率之间满足一定关系。
2.2 光的色散与光的干涉•色散现象:[折射率随波长的变化] 光在透明介质中传播时,不同波长的光由于折射率不同而弯曲的现象。
•干涉现象:[光程差] 光波在某一空间区域叠加时,由于光程差的存在而产生明暗相间的干涉条纹。
2.3 光的偏振与电磁波•光的偏振:[只有一种方向的振动] 光波的偏振是指光波的振动只在特定方向上进行的现象。
•电磁波:由电场和磁场以垂直于传播方向的方式传播的波动现象。
3. 电磁学3.1 电场与电势•静电场:[电场强度] 由电荷引起的力的作用区域。
•电势:[单位正电荷的势能] 电场中某点的电势等于单位正电荷在该点的势能。
高考物理180个知识点解析高考是每个中国学生都不可逃避的一场考试,而物理作为其中一门科目,被广大学生视为难题。
在高考物理的备考过程中,掌握和理解知识点是至关重要的。
本文将以一种非单调的方式,分节论述高考物理的180个知识点。
第一节:力学力学是物理学的基础,也是高考物理的重要部分。
这一节将介绍一些力学的关键知识点。
1. 万有引力定律:描述了任意两个物体之间的引力关系,是质点运动和行星轨道等现象的基础。
2. 牛顿运动定律:包括惯性定律、动量定律和作用-反作用定律。
它们描述了物体运动的基本规律。
3. 牛顿第一定律:一个物体如果没有外力作用,将保持静止或匀速直线运动。
4. 牛顿第二定律:物体的加速度与作用在它上面的力成正比,与物体的质量成反比。
F=ma。
5. 牛顿第三定律:任何两个物体之间的相互作用力都是相等且反向的。
第二节:电磁学电磁学在高考物理中占据重要地位,涉及电场、电流、电磁感应等内容。
以下是几个电磁学的知识点。
1. 库仑定律:描述两个电荷之间的作用力与它们之间的距离成正比,与它们之间的电量乘积成正比。
2. 电流和电阻:电流是电荷流动的现象,而电阻则阻碍电流的流动。
欧姆定律描述了电压、电流和电阻之间的关系。
3. 磁场和磁感应:磁场可以通过磁感线展示,而磁感应则是由磁场对导线或线圈产生的电动势。
4. 法拉第电磁感应定律:描述磁场变化时电磁感应的现象,即磁通量的变化会导致感应电动势的产生。
第三节:光学光学是高考物理中需要用到光线传播、光的成像、光的色散等知识的部分。
以下是几个重要的光学知识点。
1. 光的直线传播:光线在同质介质中沿直线传播,而在界面上则会发生折射和反射。
2. 光的成像:通过凸透镜和凹透镜可以形成不同类型的实像或虚像,利用成像公式可以计算物距、像距和焦距的关系。
3. 光的色散和衍射:光经过某些介质时会发生折射和色散,而光通过狭缝或物体边缘时会发生衍射。
4. 光的干涉和照明:干涉现象包括等厚干涉和薄膜干涉,而光的照明则需要考虑光源的亮度、色温和光的强度分布等因素。
高考物理知识点汇总大全一路走来,懵懵懂懂,跌跌撞撞,或欢欣或鼓舞,一个脚印一步成长,深深浅浅,感谢时光,教会了我如何成长,如何去演绎自己的人生,让我对这个未知世界有了一点感性的认识,它没有我们想象中的那么完美,它和人一样有优点也有缺点。
接下来是小编为大家整理的高考物理知识点汇总大全,希望大家喜欢!高考物理知识点汇总大全一高中物理重力势能知识点之一重力势能是物体因为重力作用而拥有的能量,公式为Ep=mgh((Ep为重力势能,m为质量,g为重力加速度,在大多数情况下,h为物体距离参考平面的高度,g通常取9.8N/kg)。
其中势能Ep与力F、距离h(弹性势能为x,引力势能为r等)存在着一定的关系。
高中物理重力势能知识点之二影响重力势能大小的因素:地球对物体的引力大小以及地球和地面上物体的相对位置决定。
(1)物体质量越大、位置越高、做功本领越大,物体具有的重力势能就越多。
(2)当高度一定时,质量越大,重力势能越大;质量一定时,高度越高,重力势能越大。
高中物理重力势能知识点之三重力势能的特点:重力做功与路径无关,只与起点和终点的位置有关。
重力做正功,重力势能减少;重力做负功,重力势能增加;可理解为重力做功等于重力势能变化量的负值。
高中物理重力势能例题解析质量为10kg的物体从125m高处自由落下,求在下列状态时他的动能和重力势能。
1、开始下落时2、下落2s末时3、到达地面时(g取10m/s)答:1、开始下落时EP1=mgH=10_0_25=12500JEK1=02、下落2s末时下落h=gt2/2=10_2/2=20米EP2 =mgH2=10_0_125-20)=10500JEK2 =mV12/2=m_gh/2=mgh=2000J3、到达地面时EP3=0EK3=mVt2/2=mgH=12500J高考物理知识点汇总大全二(1)滑动摩擦力:一个物体在另一个物体表面上相当于另一个物体滑动的时候,要受到另一个物体阻碍它相对滑动的力,这种力叫做滑动摩擦力。
最新高考物理知识点大全(坤哥物理)-CAL-FENGHAI-(2020YEAR-YICAI)_JINGBIAN第一单元直线运动 (1)第二单元相互作用 (4)第三单元牛顿运动定律 (7)第四单元曲线运动 (9)第五单元万有引力 (12)第六单元机械能 (14)第七单元动量 (18)第八单元力学实验 (24)第九单元静电场 (30)第十单元恒定电流 (34)第十一单元电学实验 (36)第十二单元磁场 (46)第十三单元电磁感应 (49)第十四单元交变电流 (51)第十五单元近代物理 (53)第十六单元选修3-3 (63)第十七单元选修3-4 (73)第十八单元常用的物理方法 (85)第十九单元常用的数学方法 (92)第一单元直线运动1.匀变速直线运动:(1)平均速度(定义式)v=ss(2)有用推论ss 2-s2=2as(3)中间时刻速度s s2=(s s+s0)2(4)末速度v t=v0+at(5)中间位置速度s s2=√s02+s s22(6)位移s=v0t+12at2(7)加速度a=s s-s0s(以v0为正方向,a与v0同向(加速)则a>0;反向则a<0) (8)实验用推论Δs=aT2(Δs为连续相邻相等时间T内位移之差)易错提醒:(1)平均速度是矢量(2)物体速度大,加速度不一定大(3)a=s s-s0s只是量度式,不是决定式2.自由落体运动(1)初速度v0=0(2)末速度v t=gt(3)下落高度h=12gt2(从v位置向下计算)(4)推论ss2=2gh易错提醒:(1)自由落体运动是初速度为零的匀加速直线运动,遵循匀变速直线运动规律。
(2)a=g=9.8 m/s2≈10 m/s2(重力加速度在赤道附近较小,在高山处比平地小,方向竖直向下)。
3.竖直上抛运动(1)位移s=v0t-12gt2(2)末速度v t=v0-gt(3)有用推论ss 2-s2=-2gs(4)上升最大高度H m=s022s(从抛出点算起)。
(5)往返时间t=2s0s(从抛出落回原位置的时间)。
易错提醒:(1)全过程处理:是匀减速直线运动,以向上为正方向,加速度取负值。
(2)分段处理:向上为匀减速直线运动,向下为自由落体运动,具有对称性。
(3)上升与下落过程具有对称性,如在同一点速度等值反向等。
1.误认为a与Δv成正比,与时间t成反比是加速度的定义式,而不是加速度的决定式。
(1)表达式a=Δvt(2)物体的加速度a由F和m决定,对于同一个匀加速运动,Δv越大则时间t越长,而Δv是不变的。
t2.将加速度的正负错误地理解为物体做加速直线运动还是做减速直线运动的判断依据(1)加速度的正负与正方向的规定有关。
(2)物体做加速直线运动还是做减速直线运动,判断的依据是加速度的方向和速度方向是相同还是相反。
(3)当加速度与速度同方向,如v0>0,a>0时,物体做加速运动;当加速度与速度反方向,如v0>0,a<0时,物体做减速运动。
3.刹车类问题中,对运动过程不清,盲目套用公式(1)对刹车的过程要清楚。
当速度减为零后,汽车会静止不动,不会反向加速,要结合现实生活中的刹车过程分析。
(2)对位移公式的物理意义理解要深刻。
位移x对应时间t,这段时间内a必须存在,而当a不存在时,求出的位移则毫无意义。
1.平均速度求解平均速度的常用计算方法有:(1)利用定义式v=ΔxΔt,这种方法适用于任何运动形式。
(2)利用v=v0+v2,只适用于匀变速直线运动。
(3)利用vt =v t2(某段时间内的平均速度等于该段时间中间时刻的瞬时速度),也只适用于匀变速直线运动。
2.两个中点速度(1)中间时刻的瞬时速度v t2=vt=12(v0+v)。
(2)中点位移的瞬时速度v x2=√12(v02+v t2)。
无论是匀加速还是匀减速,都有v t2<v x2。
3.几个比值(1)1s末、2s末、3s末…n s末的速度之比为:v1∶v2∶v3∶…∶v n=1∶2∶3∶…∶n。
(2)1s内、2s内、3s内…n s内的位移之比为:x1∶x2∶x3∶…∶x n=1∶4∶9∶…∶n2。
(3)第1s内、第2s内、第3s内…第n s内的位移之比为:x1'∶x2'∶x3'∶…∶x n'=1∶3∶5∶…∶(2n-1)。
第二单元相互作用1.常见的力(1)重力G=mg(方向竖直向下,g=9.8m/s2≈10m/s2,作用点在重心,适用于地球表面附近)。
(2)胡克定律F=kx(方向沿恢复形变方向)。
(3)滑动摩擦力F=μF N(与物体相对运动方向相反)。
(4)静摩擦力0≤f静≤f m(与物体相对运动趋势方向相反,f m为最大静摩擦力)。
易错提醒:(1)劲度系数k由弹簧自身决定。
(2)动摩擦因数μ与压力大小及接触面积大小无关,由接触面材料特性与表面状况等决定。
(3)f m略大于μF N,一般视为f m≈μF N。
2.力的合成与分解(1)同一直线上力的合成同向:F=F1+F2;反向:F=F1-F2(F1>F2)。
(2)互成角度力的合成:F=√F12+F22+2F1F2cosα(余弦定理),当F1⊥F2时,F=√F12+F22。
(3)合力大小范围:|F1-F2|≤F≤|F1+F2|。
(4)力的正交分解:F x=F cosβ,F y=F sinβ(β为合力与x轴之间的夹角,tanβ=F y)。
F x易错提醒:(1)力(矢量)的合成与分解遵循平行四边形定则。
(2)合力与分力的关系是等效替代关系,可用合力替代分力的共同作用,反之也成立。
(3)除公式法外,也可用作图法求解,此时要选择标度,严格作图。
(4)F1与F2的值一定时,F1与F2的夹角(α角)越大,合力越小。
(5)同一直线上力的合成,可沿直线取正方向,用正负号表示力的方向,化简为代数运算。
1.将F=μF N错误地理解为F=μmg(1)未能深刻理解公式F=μF N中F N表示接触面间的压力。
(2)当物体在水平面滑动且不受其他力时接触面间的压力大小等于物体的重力。
(3)当物体在斜面上滑动时接触面间的压力可以小于物体的重力。
2.将接触面间的“相对滑动方向”错误地理解为物体的运动方向(1)“相对滑动方向”是指以接触面上另一个物体为参考系时的运动方向。
(2)物体的运动方向通常是指以地面为参考系时的运动方向。
3.误认为“静止的物体才受到静摩擦力,运动的物体才受到滑动摩擦力”(1)静摩擦力发生在相互接触且存在相对运动趋势的两个物体之间。
如用传送带斜向上输送物品时,物品和传送带相对静止一起向上运动,物品受到传送带对它的静摩擦力。
(2)滑动摩擦力发生在相互接触且存在相对运动的两个物体之间,如黑板擦擦黑板时,黑板虽静止,但黑板擦对它有滑动摩擦力,静止的物体可以受到滑动摩擦力。
(3)判断是静摩擦力还是滑动摩擦力的关键是接触面间两物体是相对运动还是有相对运动趋势,与物体的运动状态无关。
1.胡克定律的另一种表达式为ΔF=kΔx,其中ΔF为弹力的改变量,而Δx为弹簧形变量的变化量。
2.F1与F2的夹角θ不变,使其中一个力增大时,合力F的变化,分θ>90°和θ<90°两种情况讨论:(1)从图中可以看出,当θ>90°时,若F2增大,其合力的大小变化无规律。
(2)当0<θ<90°时,合力随其中一个力的增大而增大。
,方向在两个力夹角的3.当两个大小为F的力的夹角为θ时,其合力大小F合=2F cosθ2平分线上。
当θ=120°时,F合=F。
4.当物体受到三个互成角度的力(非平行力)作用而平衡时,这三个力必在同一平面内,且三个力的作用线或作用线的反向延长线必相交于一点。
5.静摩擦力的有无及方向判断方法(1)假设法:利用假设法判断摩擦力的有无及方向的思维程序如下:(2)根据摩擦力的效果来判断其方向如平衡其他力、作动力、作阻力、提供向心力等。
(3)利用牛顿第三定律来判断此法关键是抓住“摩擦力是成对出现的”,先确定受力较少的物体受到的摩擦力方向,再确定另一物体受到的摩擦力方向。
6.力的分解思维路线7.隔离法和整体法(1)如果要分析几个物体组成的系统内物体间的相互作用力,要采用隔离法把系统内某物体隔离出来。
(2)分析几个物体组成的系统外的作用力,要采用整体法,把系统看作一个整体。
8.正交分解法(1)建立相互垂直的x、y坐标轴。
(2)将力的作用点画在坐标原点上,沿x、y轴方向把力分解,各分量的方向由正、负号表示,与坐标轴同向为正、反向为负。
(3)速度、加速度等其他矢量也可以采用正交分解法。
第三单元牛顿运动定律1.牛顿第一定律(惯性定律):物体具有惯性,总保持匀速直线运动状态或静止状态,直到有外力迫使它改变这种状态为止。
(由合外力决定,与合外力方向一致)。
2.牛顿第二定律:F合=ma或a=F合m3.牛顿第三定律:F=-F'(负号表示方向相反,F、F'各自作用在对方)。
4.共点力的平衡F合=0,推广 F x=0, F y=0。
5.超重:F N>G,失重:F N<G(加速度方向向下,均失重,加速度方向向上,均超重)。
6.牛顿运动定律的适用条件:适用于解决低速运动问题,适用于宏观物体,不适用于处理高速问题,不适用于微观粒子。
1.误认为“惯性与物体的运动速度有关,速度大、惯性就大;速度小,惯性就小”(1)物体的质量是惯性大小的唯一量度,与物体的速度无关。
(2)刹车过程中力相同时,初速度越大,停下来速度变化量越大,所用时间越长;速度越小,停下来所用时间越短。
因此速度越大的汽车越难停下来,不是因为运动状态难改变,而是因为运动状态改变量大。
2.将“牛顿第一定律”错误地理解为“牛顿第二定律的特例”(1)牛顿第一定律是建立在大量的实验现象的基础上,通过思维的逻辑推理而发现的,不能用实验直接定性指出力和运动的关系。
(2)牛顿第二定律是实验定律,当F、m、a均采用国际单位时有F=ma,定量指出了力和运动的关系,它们是两个不同的定律。
3.将“超重或失重”错误地理解为“物体重力变大或变小了”(1)物体处于超重或失重状态时,物体的重力始终存在,大小也没有变化。
(2)发生超重或失重现象是由于物体竖直方向有加速度,使得物体对水平支持物的压力(或对悬绳的拉力)大于或小于物体的重力。
4.误认为“物体受到哪个方向的合外力,则物体就向哪个方向运动”(1)物体的合外力方向决定了加速度的方向,物体的运动情况由力和运动决定。
(2)初速度为零的物体。
受到恒定的合外力作用,将沿合外力方向做匀加速直线运动。
(3)初速度不为零的物体,若受到与初速度反向的恒定合外力作用,将沿初速度方向做匀减速直线运动;若合外力方向与初速度方向不在同一直线上,物体做曲线运动。