有机化学复习
- 格式:ppt
- 大小:1.49 MB
- 文档页数:119
有机化学复习资料一、选择题1、烷烃分子中碳原子的空间几何形状是()。
A、四面体形B、平面四边形C、线形D、金字塔形2、下列碳正离子最稳定的是()。
A、CH3B、CH3CHCH3C、CH2CHCH2D、3、仲卤烷和叔卤烷在消除HX生成烯烃时,遵循()。
A、马氏规则B、反马氏规则C、次序规则D、扎依采夫规则4、下列化合物中有手性碳原子的是()。
A、B、CH3CH2CH2CH CH2C、CH3CH2CHCH2CH3Br D、CH3CH2CH2CHCH3Br5、下列物质中,沸点最高的是()。
A、B、CD、6、2,3-二甲基丁烷沿C2-C3旋转时最稳定的构象是()。
ABCD7、醛与HCN的反应属于()。
A、亲电加成反应B、亲核加成反应C、亲电取代反应D、亲核取代反应8、某一旋光性物质的分子中含有2个不同的手性碳原子,其旋光异构体的数目为A、2个B、3个C、4个D、5个9、下列药物易发生潮解失效的是()。
ABCD10、构成麦芽糖的单糖是()。
A、葡萄糖B、果糖C、苷露糖D、半乳糖11、优先次序最大的基团是()A、–COOHB、–OHC、–CH2OHD、–NH212、最容易发生水解的是()A、内消旋体是纯净物B、有手性碳一定具有手性C、外消旋体是混合物D、外消旋体旋光度为014、“福尔马林”的组成成分是()A、40%煤酚肥皂液B、40%甲酸水溶液C、40%乙醛水溶液D、40%甲醛水溶液15、乙烯中碳原子是下面哪种杂化类型()A、sp2 杂化B、sp杂化C、sp3杂化D、sp4杂化16、下列对糖类的叙述正确的是( )A、都可以水解B、都是天然高分子化合物C、都有甜味D、都含有C、H、O 三种元素17、下列哪种物质在人运动时含量增加导致肌肉酸痛()A、乳酸B、丙酮酸C、水杨酸D、乙酸18、下列属于间位定位基的是( )A、甲基B、羟基C、氨基D、硝基19、下列说法不正确的是()A、生物碱主要来源于植物,因此也称植物碱B、生物碱是天然产物,无毒,可以放心使用C、多数生物碱难溶于水,易溶于有机溶剂,故用有机溶剂来萃取D、生物碱有较强生理生化活性,因此有重要临床价值A、NB、OC、SD、Cl21、下列化合物中不属于酮体的是 ( )A 、丁酸B 、丙酮C 、β-羟基丁酸D 、β-丁酮酸 22、碳原子的杂化轨道类型不包括( )A 、sp 2 杂化B 、sp 杂化C 、sp 3杂化D 、sp 4杂化 23、下列自由基中最稳定的是( )A 、CH 3·B 、C(CH 3)3·C 、CH(CH 3)2·D 、CH 2CH 3· 24、葡萄糖和果糖不能发生的反应( )A 、氧化反应B 、成苷反应C 、成酯反应D 、水解反应 25、下列酸属于羟基酸的是( )A 、草酸B 、乙酸C 、水杨酸D 、苯甲酸 26、下列几类化合物中,酸性大于碳酸的是( )A 、有机酸B 、水C 、苯酚D 、醇 27、下列化合物能与FeCl 3发生显色反应的是( )A 、苯甲醇B 、苯酚C 、苯甲醚D 、环乙醇 28、常温下化学性质比较稳定,与强酸、强碱、还原剂及氧化剂不发生反应是( ) A 、烷烃 B 、烯烃 C 、酚 D 、醇 29、乙烯和水的反应属于( )A 、取代反应B 、氧化反应C 、加成反应D 、聚合反应 30、根据下列油脂的皂化值,可以确定平均分子量最小的是( )A 、猪油195-203B 、奶油210-230C 、牛油190-200D 、豆油189-19531、烷烃分子中C 原子的空间几何形状是: A 、 四面体形 B 、 平面四边形 C 、线形 D 、金字塔形 32、下列环烷烃中加氢开环最容易的是: A 、环丙烷 B 、环丁烷 C 、环戊烷 D 、环己烷 33、用下列哪种方法可由1-烯烃制得伯醇? A 、冷、稀KMnO 4 B 、①B 2H 6;②H 2O 2,OH - C 、浓H 2SO 4,水解 D 、H 2O 34、下列碳正离子最稳定的是( )。
有机化学复习总结一.有机化合物的命名1.能够用系统命名法命名各种类型化合物:包括烷烃,烯烃,炔烃,烯炔,脂环烃(单环脂环烃和多环置换脂环烃中的螺环烃和桥环烃),芳烃,醇,酚,醚,醛,酮,羧酸,羧酸衍生物(酰卤,酸酐,酯,酰胺),多官能团化合物(官能团优先顺序:-COOH>- SO3H>- COOR>- COX>- CN>- CHO> >C= O>- OH(醇 ) >- OH(酚 ) >- SH>- NH2>- OR> C = C>- C≡C-> ( -R>- X>- NO2),并能够判断出Z/E 构型和 R/S 构型。
2. 根据化合物的系统命名,写出相应的结构式或立体结构式(伞形式,锯架式,纽曼投影式,Fischer 投影式)。
立体结构的表示方法:COOH CH 31)伞形式: C 2)锯架式:H H OHH OHOHH3C C 2 H 5H H COOHH HH4)菲舍尔投影式:H OH 3)纽曼投影式:H H HCH 3H H H H5)构象 (conformation)(1)乙烷构象:最稳定构象是交叉式,最不稳定构象是重叠式。
(2)正丁烷构象:最稳定构象是对位交叉式,最不稳定构象是全重叠式。
(3) 环己烷构象:最稳定构象是椅式构象。
一取代环己烷最稳定构象是 e 取代的椅式构象。
多取代环己烷最稳定构象是 e 取代最多或大基团处于 e 键上的椅式构象。
立体结构的标记方法1. Z/E 标记法:在表示烯烃的构型时,如果在次序规则中两个优先的基团在同一侧,为Z 构型,在相反侧,为 E 构型。
CH 3 Cl CH 3 C 2 H 5C C C CH C 2H 5 H Cl(Z) - 3 -氯- 2 -戊烯(E) - 3 -氯- 2 -戊烯2、顺 / 反标记法:在标记烯烃和脂环烃的构型时,如果两个相同的基团在同一侧,则为顺式;在相反侧,则为反式。
CH3 CH3 CH3 H CH3 CH3 H CH3C C C CH H H CH3 H H CH3 H顺- 2-丁烯反- 2-丁烯顺- 1,4-二甲基环己烷反- 1,4-二甲基环己烷3、 R/S 标记法:在标记手性分子时,先把与手性碳相连的四个基团按次序规则排序。
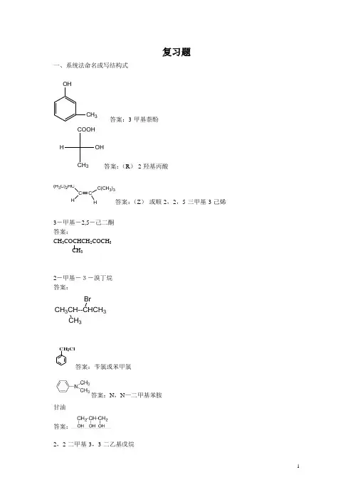
复习题一、系统法命名或写结构式OHCH 3答案:3-甲基萘酚COOHHOH CH 3答案:(R )-2-羟基丙酸C HC(CH 3)3(H 3C)2HCH答案:(Z )-或顺-2,2,5-三甲基-3-己烯3-甲基-2,5-己二酮 答案:CH 3COCHCH 2COCH 3 CH 32-甲基-3-溴丁烷 答案:CH 3CH--CHCH 3CH 3BrCH 2CH(CH 3)24.Cl 答案:苄氯或苯甲氯答案:N ,N —二甲基苯胺甘油答案:2,2-二甲基-3,3-二乙基戊烷答案:CH 3 CH CHCH 2CH 3CH 3CH 3CH 2CH 32CH 33,4-二甲基-2-戊烯 答案:CH 3CH=CCHCH 3CH 3CH 3二、选择题 ( )1、下列化合物的碱性由大到小的顺序是:NH 2NN H(CH 3)2NH 2a b c dA. a>b>c> dB. d > b > a > cC. d >a >b > cD.d> a>c >b ( )2、下列化合物属于杂环化合物的是:A.SNB.NHOC.OOD.N( )3、自然界中的氨基酸一般属于A. L-型B. D-型C. α-型D.β-型水扬酸与下列物质反应可制得乙酰水扬酸的是: A 乙酸钠; B. 乙酸酐; C. 乙酸; D. 乙醇.下列化合物中进行亲核加成反应的活性最强为: a 、乙醛 b 、丙酮 c 、苯乙酮 d 、二苯甲酮 下列化合物中沸点最高的是( )a 、CH 3 CH 3b 、CH 3 CH 2Brc 、CH 3 CH 2OHd 、CH 3 COOH 4. 指出下列化合物的相对关系( )32CH 3H 32CH 3A ,相同,B ,对映异构,C ,非对映体,D ,没关系5. 下列化合物不发生碘仿反应的是( )A 、 C 6H 5COCH 3B 、C 2H 3OH C 、 CH 3CH 2COCH 2CH 3D 、CH 3COCH 2CH 3 7. 能与托伦试剂反应产生银镜的是( )A 、CCl 3COOHB 、CH 3COOHC 、 CH 2ClCOOHD 、HCOOH1、下列物质在常温下能使溴水褪色的是( ) A 丙烷 B 环戊烷 C 甲苯 D 乙烯2、羧酸衍生物中,下列哪种最容易水解( ) A 酰卤 B 酸酐 C 酰胺 D 酯3、按照马氏规则,CH 3CHC ClCH 3与HBr 加成产物是( )A CH 3CH 2CCH 3Cl BrB CH 3CHCHCH 3BrC CH 3CHCHCH 3Br ClD CH 3CHCHCH 34、下列物质容易氧化的是( ) A 苯 B 烷烃 C 酮 D 醛1.下列正碳离子最稳定的是( A )(a) (CH 3)2CCH 2CH 3, (b) (CH 3)3CCHCH 3, (c) C 6H 5CH 2CH 2+++ 2.下列不是间位定位基的是( C )3.下列卤代烃与硝酸银的乙醇溶液作用,生成沉淀最快的是( B ) A B C4.不与苯酚反应的是( )A 、NaB 、NaHCO 3C 、FeCl 3D 、Br 26.下列哪种物质不能用来去除乙醚中的过氧化物( ) A 、KI B 硫酸亚铁 C 亚硫酸钠 D 双氧水 7.以下几种化合物哪种的酸性最强( )ACOOHBSO 3HCCH 3DCHOCH 2Cl Cl CH 2CH 2ClA 乙醇B 水C 碳酸D 苯酚9.下列不能发生碘仿反应的是( )A B C D10.下列哪个化合物不属于硝基化合物( )A B C D完成下列反应方程式1、H O / H +CH 3CH 2CH=CH 2答案:CH 3CH 2CH-CH 3OH3、H 3CC CH +H 2OHgSO 4H 2SO 4答案:CH 3COCH 34CH 2CH 3+Br 2FeBr 3答案:C 2H 5Br+BrC 2H 55、CH 3CCH 3O CH 3CHCH 3CH 3CH 2CH 2OH CH3CCH2CH3OCH 3NO 2NO 2CH3CH 3CH 2NO 2CH 3ONO 2+KMnO 4+答案:COOH6、CH 2ClCl答案:CH 2OHCl8、OH +HClZnCl 2答案:Cl11、C 6H 5COCH 3+C 6H 5MgBrH +H 2O答案:C 6H 56H 5CH 3OH答案:(CH 3)2C CHCH 2CH 33Zn 粉,H 2O (1)(2)(CH 3)2CCHCH 2CH 3O 3(1)(2)CH 3O CH 3+CH 3CH 2CHO+CH 3ClAlCl 3答案:答案:答案:鉴别题H 2C CHCH 2CH 3HCCCH 2CH 3CH 3CH 2OH答案:先用溴水,褪色的为b 和c ,不褪色的为a 和d ,b 和c 用Ag(NH 3)2+,有沉淀的为C ,没沉淀的为b ,在a 和d 中加金属钠,有气泡的为d ,没有的为a 。
第1 章 绪 论 1. 有机化合物与有机化学的定义2.有机化合物的特点(了解)3.共价键的特性和属性。
注意:分子的极性与键的极性和分子的对称性有关。
4.共价键的断裂和有机化学反应的基本类型(1) 共价键的断裂方式分为均裂和异裂,根据共价键的断裂和形成的方式不同,可把有机反应机理分为:游离基反应、离子型反应和协同反应等 3 大类。
5.有机反应中“离子型”反应根据反应试剂类型不同,分为亲电反应与亲核反应两类:(1) 亲电试剂与亲电反应:由缺电子的试剂进攻部分负电荷的碳原子而发生的,这类十分需要电子的试剂称为亲电试剂。
如含有 H +、Cl +、Br +、NO 2+、RN 2+、R 3C +等正离子的试剂。
由亲电试剂的进攻而引起的反应称为亲电反应。
(2) 亲核试剂和亲核反应:由能供给电子的试剂进攻具有部分正电荷的碳原子而发生的,这类能供给电子的试剂称亲核试剂,如 H 2O、ROH、OH -、RO -、Br -、NH 3、RNH 2、CN -等。
由亲核试剂的进攻而引起的反应称为亲核反应。
注意:有机反应中,加成反应分为亲电加成(烯烃与卤素的反应)、亲核加成(羰基与氰氢酸、水、醇、格氏试剂、氨的衍生物之间的反应)、自由基加成(如:不对称与 HBr 在过氧化物存在下的反应属于自由基加成,遵循反马氏规则)三类。
第 2 章 烷烃和环烷烃一、烷烃的命名:1.掌握有机化合物系统命名的基本原则2.碳原子的分类(伯、仲、叔、季)与常见烷基的结构和名称(P 48)3.顺序规则 —— 主要烷基的优先次序:甲基<乙基<丙基<异丙基二、烷烃的结构(了解)三、烷烃的构象异构(属于立体异构)乙烷中最典型的 2 种构象是交叉式(稳定构象)和重叠式,用 Newman 投影式和锯架式表示。
丁烷的 4 种典型构象及其稳定顺序:对位交叉式>邻位交叉式>部分重叠式>全重叠式。
四、烷烃的化学性质(掌握)烷烃卤代反应的机制——游离基(自由基)反应,分链引发、链增长与链终止是的 3 个阶段;烷烃卤代反应的取向主要由自由基稳定性次序来决定。
有机化学复习资料一、有机化合物的命名命名是学习有机化学的“语言”,因此,要求学习者必须掌握。
有机合物的命名包括俗名、习惯命名、系统命名等方法,要求能对常见有机化合物写出正确的名称或根据名称写出结构式或构型式。
1、俗名及缩写:要求掌握一些常用俗名所代表的化合物的结构式,如:木醇、甘醇、甘油、石炭酸、蚁酸、水杨醛、水杨酸、氯仿、草酸、苦味酸、肉桂酸、苯酐、甘氨酸、丙氨酸、谷氨酸、巴豆醛、葡萄糖、果糖等。
还应熟悉一些常见的缩写及商品名称所代表的化合物,如:RNA、DNA、阿司匹林、福尔马林、尼古丁等。
2.习惯命名法:要求掌握“正、异、新”、“伯、仲、叔、季”等字头的含义及用法,掌握常见烃基的结构,如:烯丙基、丙烯基、正丙基、异丙基、异丁基、叔丁基、苄基等。
3系统命名法:系统命名法是有机化合物命名的重点,必须熟练掌握各类化合物的命名原则。
其中烃类的命名是基础,几何异构体、光学异构体和多官能团化合物的命名是难点,应引起重视。
要牢记命名中所遵循的“次序规则”。
多官能团化合物(官能团优先顺序:-COOH>-SO3H >-COOR>-COX>-CN>-CHO>>C=O>-OH(醇)>-OH(酚)>-SH>-NH2>-OR>C=C>-C≡C->(-R>-X>-NO2)4(1)原子:原子序数大的排在前面,同位素质量数大的优先。
几种常见原子的优先次序为:I>Br>Cl>S>P>O>N>C>H(2)饱和基团:如果第一个原子序数相同,则比较第二个原子的原子序数,依次类推。
常见的烃基优先次序为:(CH3)3C->(CH3)2CH->CH3CH2->CH3-(3)不饱和基团:可看作是与两个或三个相同的原子相连。
不饱和烃基的优先次序为: -C≡CH>-CH=CH2>(CH3)2CH-5 几何异构体的命名CH3-CH2 BrC=C (反式,Z型)H CH2-CH3CH3-CH2CH3C=C (反式,E型)H CH2-CH3脂环化合物也存在顺反异构体,两个取代基在环平面的同侧为顺式,反之为反式。
有机复习专题一、命名1、习惯2、的系统命名----含有官能团的有机化合物的系统命名以烷烃命名为基础,但要注意一些规则的变化:①主链是包含官能团的最长碳链——而不一定是最长碳链;②编号应从离官能团最近的一端开始——而不是从离支链最近的一端开始;③名称要注明官能团的位置;二、有机物的同分异构体----同分异构体的种类1.碳链异构 2.位置异构 3.官能团异构类别异构详写下表组成通式可能的类别典型实例C n H2n烯烃、环烷烃CH2=CHCH3与C n H2n-2炔烃、二烯烃CH≡C—CH2CH3与CH2=CHCH=CH2C n H2n+2O饱和一元醇、醚C2H5OH与CH3OCH3C n H2n O醛、酮、烯醇、环醚、环醇CH3CH2CHO、CH3COCH3、CH=CHCH2OH与C n H2n O2羧酸、酯、羟基醛CH3COOH、HCOOCH3与HO—CH3—CHOC n H2n-6O酚、芳香醇、芳香醚与C n H2n+1NO2硝基烷、氨基酸CH3CH2—NO2与H2NCH2—COOHC n H2O m单糖或二糖葡萄糖与果糖C6H12O6、蔗糖与麦芽糖C12H22O11三、同分异构体的书写规律1.主链由长到短,支链由整到散,位置由心到边,排列邻、间、对;2.按照碳链异构→位置异构→顺反异构→官能团异构的顺序书写,也可按官能团异构→碳链异构→位置异构→顺反异构的顺序书写,不管按哪种方法书写都必须防止漏写和重写;3.若遇到苯环上有三个取代基时,可先定两个的位置关系是邻或间或对,然后再对第三个取代基依次进行定位,同时要注意哪些是与前面重复的;四、同分异构体数目的判断方法1.记忆法记住已掌握的常见的异构体数;例如:1凡只含一个碳原子的分子均无异构; 2丁烷、丁炔、丙基、丙醇有2种;3戊烷、戊炔有3种; 4丁基、丁烯包括顺反异构、C8H10芳烃有4种;5己烷、C7H8O含苯环有5种;6C8H8O2的芳香酯有6种;2.基元法例如:丁基有4种,丁醇、戊醛、戊酸都有4种3.替代法例如:二氯苯C6H4Cl2有3种,四氯苯也为3种将H替代Cl;又如:CH4的一氯代物只有一种,新戊烷CCH34的一氯代物也只有一种;4.对称法又称等效氢法等效氢法的判断可按下列三点进行:1同一碳原子上的氢原子是等效的;2同一碳原子所连甲基上的氢原子是等效的;3处于镜面对称位置上的氢原子是等效的相当于平面成像时,物与像的关系;有机化合物命名与同分异构体习题:1-2个选项正确1. 分子式为C10H14的单取代芳烃,其可能的结构有A.2种 B.3种 C.4种 D.5种2. 下列化合物在核磁共振氢谱中能出现两组峰.且其峰面积之比为3:1的有 A .乙酸异丙酯 B .乙酸叔丁酯 C .对二甲苯 D .均三甲苯3.下列说法正确的是A .按系统命名法, 的名称为2,5,6-三甲基-4-乙基庚烷B .常压下,正戊烷、异戊烷、新戊烷的沸点依次增大C .肌醇HOHOHHH OHHOH OH OH H H 与葡萄糖O H OHOHHHOHHOHCH 2OHH 的元素组成相同,化学式均为C 6H 12O 6,满足C m H 2O n ,因此,均属于糖类化合物D . mol 的 O OHCH 3OCH 3OOOO最多能与含 mol NaOH 的水溶液完全反应4. 分子是为C 5H 12O 且可与金属钠反应放出氢气的有机物有不考虑立体异构A .5种B .6种C .7种D .8种 A .C 7H 16 B .C 7H 14O 2 C .C 8H 18 D .C 8H 18O 5.下列化合物的分子中,所有原子都处于同一平面的有A. 乙烷B. 甲苯C. 氟苯D. 四氯乙烯 6.同分异构体现象在有机化学中是非常普遍的,下列有机物互为同分异构体的是①CH 2=CHCH 3 ② ③CH 3CH 2CH 3 ④HCCCH 3 ⑤ ⑥CH 3CH =CHCH 3A .①和②B .①和③C .①和④D .⑤和⑥7.最简式相同, 但既不是同系物, 又不是同分异构体的是A .辛烯和3—甲基—1—丁烯B .苯和乙炔C .1—氯丙烷和2—氯丙烷D .甲基环己烷和乙烯 8.有机物,有多种同分异构体,其中属于酯且含有苯环结构的共有A .3种B .4种C .5种D .6种 9.分子式为C 7H 16的烷烃中,在结构简式中含有3个甲基的同分异构体数目是A .2种B .3种C .4种D .5种 10.写出下列有机物基的名称或结构简式:① ② 异丙基 ③④ CH 3CH 2CHCH =CH 2 ⑤ 异戊二烯 ⑦烷烃CH 3CHCH 2CH 3是由某烯烃与氢气加成得到的,则该烯烃的同分异构体有____种⑧分子式为C 7H 8O 的芳香族化合物共有5种,写出它们的结构简式:_____________、_____________、 _____________、_____________、_____________ 二、官能团——决定有机物分子化学性质的原子或原子团三、1.碳碳双键结构1加成反应:与H 2、X 2、HX 、H 2O 等; 主要现象:烯烃使溴的四氯化碳溶液褪色 2氧化反应:①能燃烧; ②被酸性KMnO 4氧化,使KMnO 4酸性溶液褪色 3加聚反应: 碳碳双键中的一个碳碳键断开后首尾连接,形成长碳链—C =C — ︱ ︱ CH 3CHCH 2CH 3CH 2CH 3 │CH 3 | CH 3 |2.碳碳三键结构1加成反应:与H 2、X 2、HX 、H 2O 等, 主要现象:烯烃使溴的四氯化碳溶液褪色 2氧化反应:①能燃烧; ②被酸性KMnO 4氧化,使KMnO 4酸性溶液褪色 3.苯环结构1取代反应:①在铁为催化剂下,与溴取代, ②浓硫酸下,硝化反应 2在催化剂下,与氢气加成 4.卤原子结构-X1水解反应取代:条件——NaOH 的水溶液,加热2消去反应,条件:NaOH 的醇溶液,加热;连羟基碳的邻位碳至少有一个氢 5.醇-OH1与活泼金属Al 之前的反应:如:2R -OH+2Na→2RONa + H 2↑2氧化反应:①燃烧 ②催化氧化,条件:催化剂,连接-OH 的碳至少连一个氢 3消去反应:条件:浓H 2SO 4作催化剂,加热,连羟基碳的邻位碳至少有一个氢 4酯化反应:条件:浓H 2SO 4作催化剂,加热 6.酚-OH1弱酸性:①与活泼金属反应放H 2 ②与NaOH :OH ONa NaOH OH 2+→+酸性:H 2CO 3>酚-OH>HCO 3-2取代反应:苯酚与浓溴水反应生成三溴苯酚白色沉淀; 3与FeCl 3的显色反应:苯酚溶液遇FeCl 3显紫色; 7.醛基1与H 2加成反应:R -CHO +H 2 RCH 2OH 制得醇2氧化反应: ①催化氧化:2R -CHO +O 2 2 RCOOH 制得羧酸②银镜反应:与银氨溶液反应 试管内壁产生光亮如镜的银 ③被新制CuOH 2氧化; 产生红色沉淀8.酯基酸性水解:R ,COOR +H 2O R -OH +R ,-COOH 碱性水解:COOR +NaOH → R -OH + R ,-COONa 三、.比较表能反应的打上√试剂名称NaNaOHNa 2CO 3NaHCO 3醇羟基 酚羟基 羧基Ⅱ、请你认真思考后完成以下填空在箭头后面填上合适的物质:对你很有帮助哟 课后提升练-------有机推断专题1.化合物A 相对分子质量为86,碳的质量分数为%,氢为%,其余为氧;A 的相关反应如下图所示:已知R-CH=CHOH 烯醇不稳定,很快转化为2R CH CHO -; 根据以上信息回答下列问题:—C ≡C — 催化剂 △催化剂△无机酸322NaHCO OH CO O H ONa +→++1 A的分子式为 ;2 反应②的化学方程式是 ;3 A的结构简式是 ;4 反应①的化学方程式是;2、下图中X是一种具有水果香味的合成香料,A是有直链有机物,E与FeCl3溶液作用显紫色;请根据上述信息回答:1H中含氧官能团的名称是;B→I的反应类型为;2只用一种试剂鉴别D、E、H,该试剂是;3H与J互为同分异构体,J在酸性条件下水解有乙酸生成,J的结构简式为;4D和F反应生成X的化学方程式为;3.有机化合物A~H的转换关系如下所示:请回答下列问题:1链烃A有南链且只有一个官能团,其相对分子质量在65~75之间,1 mol A完全燃烧消耗7 mol氧气,则A的结构简式是 ,名称是;2在特定催化剂作用下,A与等物质的量的H2反应生成E;由E转化为F的化学方程式是;3G与金属钠反应能放出气体,由G转化为H的化学方程式是;4①的反应类型是;③的反应类型是;5链烃B是A的同分异构体,分子中的所有碳原子共平面,其催化氢化产物为正戊为烷,写出B所有可能的结构简式6C也是A的一种同分异构体,它的一氯代物只有一种不考虑立体异构,则C的结构简式为 ;5、化学——选修有机化学基础15分PC是一种可降解的聚碳酸酯类高分子材料,由于其具有优良的耐冲击性和韧性,因而得到了广泛的应用;以下是某研究小组开发的生产PC的合成路线:已知以下信息:①A可使溴的CCl4溶液褪色;②B中有五种不同化学环境的氢;③C可与FeCl3溶液发生显色反应:④D不能使溴的CCl4褪色,其核磁共振氢谱为单峰;请回答下列问题:1A的化学名称是; 2B的结构简式为——;3C与D反应生成E的化学方程式为;4D有多种同分异构体,其中能发生银镜反应的是写出结构简式;5B的同分异构体中含有苯环的还有种,其中在核磁共振氢谱中出现丙两组峰,且峰面积之比为3:1的是写出结构简式;有机化学有关计算某气态烃,在50mL氧气中充分燃烧,得到液态水和35mL气体气体体积均在同温同压下测定此烃可能是:A.C2H6 B.C4H8 C.C3H8 D.C3H62.常温常压下,气体X与氧气的混合气体aL,充分燃烧后产物通过浓硫酸,并恢复到原来条件下时,体积为a/2 L,则气体X是O2适量A.乙烯 B.乙炔 C.甲烷 D.丁二烯3.室温下,1体积气态烃和一定量的氧气混合并充分燃烧后, 再冷却至室温,气体体积比反应前缩小了3体积,则气态烃是A.丙烷 B.丙烯 C.丁烷 D.丁烯4.乙烯和乙炔的混合物70mL加入200mL氧气过量,使它们充分燃烧,冷却到原温度再除去水,气体体积为150mL,求乙烯和乙炔的体积各是多少5.完全燃烧标准状况下某气态烷烃和气态烯烃的混合物,生成二氧化碳,水.求该混合气的成分和各成分的体积分数.有机化学能力提高----信息给予题性质类似于HX,只是水解产物不同;—CN水解为—COOH,而—X水解为—OH;写出A、B、C、D的结构简式:A、 ,B、 ,C、 ,D、2.烯烃在强氧化剂作用下,可发生如下反应:以某烯烃A为原料,制取甲酸异丙酯的过程如下:试写出A、B、C、D、E的结构简式;3.已知:用乙烯和其它无机物为原料合成环状有机物E C6H8O4的流程如下:试写出A、B、C、D、E的结构简式;4.已知CC可被冷稀的酸性高锰酸钾溶液氧化成二元醇,如:现以甲基丙烯为原料合成有机玻璃D和环状化合物EC8H12O4试写出A、B、C、D、E的结构简式;5.维纶的成分是乙烯醇缩甲醛;它可以由石油的产品为起始原料进行合成;先由乙烯、氧气和醋酸合成醋酸乙烯酯;然后经过加聚、水解、缩聚制得;试写出各步反应中指定有机物的结构简式;B、C 、D均为高分子聚合物;6.某环状有机物分子式为C6H12O,其官能团的性质与链烃的衍生物的官能团性质相似,已知A具有下列性质: 1能与HX作用3 不能使Br2水褪色; 45 OHH2NiA试写出A、B、C的结构简式;7.从有机物C5H10O3出发,有如下图所示的一系列反应:已知E的分子式为C5H8O2,其结构中无甲基、无支链、含环,D和E互为同分异构体,B能使Br2水褪色;试写出A、B、C、D、E及C5H10O3的结构简式;9.已知下列反应可以发生:,又知醇和氨都有似水性与水的性质相似,酯可以水解又可以醇解或者氨解;现以乙烯为原料合成维纶,其主要步骤如下:(1)生成A的化学方程式为(2)由C生成D和E的化学方程式为(3)E的名称为(4)维纶的结构简式为10.已知:-CH 3 -OH现有只含C 、H 、O 的化合物A F,有关它们的某些信息如下: (1) 写出化合物A 、E 、F 的结构简式:2写出B 与足量的新制CuOH 2悬浊液反应的化学方程式11.由本题所给①、②两条信息、结合所学知识,回答下列问题: ①、已知有机分子中的烯键可发生臭氧分解反应;例如: ②、在碱存在下从松树中分离得到的松柏醇,其分子式为C 10H 12O 3,它既不溶于水,也不溶于碳酸氢钠溶液;下图为松柏醇的部分性质;试回答:1写出化合物的结构简式:松柏醇: B : C : D : 2写出反应类型:反应① 反应② 12.已知分析下图变化,试回答下列问题: 1写出有机物的结构简式A B C D E F 2写出下列有关反应的化学方程式: C →D D →E有机化学专题复习二 有机化合物命名与同分异构体习题答案1C 2BD 3D 4 D 6 CD 7C 8AD 9BD 11 D 12 A 13.① 3-甲基戊烷 ③3,5,6—三甲基—3—乙基辛烷④ 3-甲基-1-戊烯 ⑤ ⑦ 3 ⑧ 、 、 、 、 ⑨.CH 3CH 2CH 2COOH 、 、 HCOOCH 2CH 2CH 3 、 CH 3COOCH 2CH 3、CH 3CH 2COOCH 316.醛基 醇羟基 甲丙 乙甲丙CH 2=C -CH =CH 2 CH 3| ② CH 3─CH ─ CH 3 |CH 3 | CH 3| -CH 2OH -OCH 3 -OH CH 3|-CH 3 OH - CH 3CHCOOH CH 3| HCOOCHCH 3CH 3|HCOO -C =CH 2CH 3 | -C -CH 3CH 3 |OH |。
有机化学总复习一 命名几个规则:官能团次序,次序规则,最低系列原则 1.选母体: 官能团有一定次序2.选主链:含母体官能团最长的碳链为主链3.编号:是母体官能团的位次最低;取代基最低系列原则;有选择时,小官能团尽量占领小位次, 双键优先占领小位次, R.Z 构型优先占领小位次CH 3C CCHCH 2CH CHCH 3CH CH 25-乙烯基-2-辛稀-6-炔,氰基醛、醛基羧基的碳算在总碳数里4.构型:烯烃(顺/反,Z/E ),手性碳(R/S ),环状化合物 5 螺环化合物和桥环化合物COOH SO 3H COOR COX CONH 2CNCHOCOOH OH NH 2ORRX (F Cl Br I )NO 2NO(醇)(酚)CH 3C C H CC CH 3HHH 123456123456(2Z,4E)-2,4-己二烯CH 3CH 2CHCH 2CHCH 2CH 3CH CH CH 1 2 3 4 5 6 77 6 5 4 3 2 1练习二排序和选择题(一) 沸点:形成氢键,氢键越多,沸点越高;极性越大,沸点越高;分子量越大,沸点越高;支链越多沸点越少。
下列化合物沸点由高到低的顺序是()(1)丙酰胺,(2)丙酸,(3)丙醇,(4)丙醛(二) 熔点:与沸点类似,注意对称性好的熔点越高下列熔点最高的是( )A正戊烷 B 异戊烷C新戊烷D异丁烷(三) 水中溶解性:与水形成氢键的溶解性高;极性强的,水溶性增强下列化合物中在水溶液中溶解度最大的是( a )a乙二醇 b. CH3CH2CH2CH2Cl c. CH3COOCH3 d. 正戊烷(四) 酸性强弱排序(五) 碱性强弱次序(六)亲核性大小(七) 碳正离子的稳定性:烯丙型和苄基型碳正离子〉叔碳正离子〉仲碳正离子〉伯碳正离子> CH3+ 碳自由基类似(八) 烯烃的亲电加成的活性次序12下列烯烃与Br2发生加成反应最快的是()(CH3)2CC(CH3)2CH3CH CHCH3CH2CHCl A B C(十) 烯烃的稳定性次序双键碳带的取代基越多越稳定氢化热:实质是考不饱和烃的稳定性,氢化热越大,性赢得不饱和烃的稳定性越差。
有机化学基础知识点总复习一、协议关键信息1、有机化学的基本概念有机化合物的定义与特点:____________________________官能团的概念与常见官能团:____________________________同系物、同分异构体的定义与判断:____________________________2、烃类化合物烷烃的结构、性质与命名:____________________________烯烃的结构、性质与加成反应:____________________________炔烃的结构、性质与化学性质:____________________________芳香烃的结构、性质与苯的同系物:____________________________3、烃的衍生物卤代烃的性质与卤代烃的取代反应:____________________________醇的结构、性质与醇的氧化反应:____________________________酚的结构、性质与酚的酸性:____________________________醛的结构、性质与醛的氧化还原反应:____________________________羧酸的结构、性质与羧酸的酯化反应:____________________________酯的结构、性质与酯的水解反应:____________________________4、有机化学反应类型取代反应的特点与常见实例:____________________________加成反应的特点与常见实例:____________________________消去反应的条件与常见实例:____________________________氧化反应与还原反应的判断与常见反应:____________________________聚合反应的分类与常见聚合反应:____________________________5、有机化合物的合成合成路线的设计原则:____________________________官能团的引入与转化方法:____________________________有机合成中的保护与去保护策略:____________________________6、有机化合物的结构鉴定红外光谱、核磁共振氢谱的原理与应用:____________________________有机化合物结构推断的方法与思路:____________________________二、协议内容11 有机化学的基本概念111 有机化合物是指含碳的化合物,但一些简单的含碳化合物如一氧化碳、二氧化碳、碳酸盐等通常被归类为无机化合物。
常见的lewis 酸-Li +,Ag +,R +,Br +,NO 2+,BF 3,AlCl 3,SnCl 2,ZnCl 2,FeCl 3 等常见的Lewis 碱 -X -,RO -,SH ,H 2O,NH 3,RNH 2,ROH,ROR,RSH 等 丁烷的构象稳定性:对位交叉式>邻位交叉式>部分重叠式>全重叠式烷烃的性质1.物理性质同分异构体,取代基越多,沸点越低 同分异构体,对称性好,熔点高2化学性质烷烃的卤代反应活性: F 2>Cl 2>Br 2>I 2各类氢原子的卤代活性和游离基的稳定性a.各类氢原子的卤代活性:叔氢(3O )> 仲氢(2O )> 伯氢(1O )>甲烷氢原子 b.游离基的稳定性:烯炔的命名a.双键、叁键位次相同时,以双键编号< 叁键编号(CH 3)3C .(CH 3)2CH .CH 3CH 2.CH 3.>>>b.双键、叁键位次不同时,靠近双键或叁键一端编号3-甲基-5-己烯-1-炔2-甲基-1-己烯-5-炔重要的烃基:CH3CH=CH- 丙烯基 -CH2CH=CH2烯丙基顺,反-2,5-庚二烯Z/E次序规则1. 原子序数大者为大,同位素原子质量高者为大2. 两个基团第一个原子相同时,则比较与之相连的第二个原子,以此类推。
-CH2CH2CH2CH3 >-CH2CH2CH3 > -CH2CH3 >-CH3-C(CH3)3 >-CH(CH3)2 > -CH2CH2CH33. 重键看作多个单键CCCCH C CH2C O O C H OOHC NNNC CCN-C=CH > -CH=CH 2 > -CH 2CH 3 -C0OH > -CHO > -CH 2OH > -CN顺,反-2,4-己二烯烯烃的物理性质a.较相应的烷烃熔点高b.同碳数的烯烃,直链的沸点高于支链c.反式异构体的沸点低于顺式,熔点高于顺式化学性质 (一)加成反应1、催化加氢???????????????琳德拉催化剂2、加卤素3、加水(在酸存在下烯烃加水可以生成醇)烯烃结构不同,加成产物难易程度不同,其活性顺序如下:CH3)2C=CH2 > CH3CH=CH2 >CH2=CH2类型1类型21,3-丁二烯(1,4加成为主)环戊二烯?(二)氧化反应1、稀、冷、碱性KMnO4溶液氧化,生成邻二醇3CH2=CH2 + 2KMnO4 + 4H2O = 3CH2OHCH2OH + 2KOH + 2MnO2↓▲2、酸性KMnO4等强氧化剂氧化,双或三键发生断裂.结论1:若双键碳上无氢(R1R2C = )则生成酮;有一个氢(R1HC = )生成酸;有两个氢(H2C = )生成二氧化碳。
(一)反应题的重要考点:(1)烷烃的卤代反应,反应活性:①氟氯溴碘(F2>Cl2>Br2>I2);②活泼H原子的类型3〫>2〫>1°>CH3。
注意:药大考研常考察碳正离子稳定性,也会考察环烷烃的卤代开环(2)单烯烃的主要反应:①加成反应:催化加氢(注意:顺式加成)、亲电加成(X2、HX、H2SO4、H2O、BH3)、自由基加成(药大考研常考:HBr/ROOR(唯一));②氧化烯烃的反应(常用氧化剂总结:KMnO4/OH-(OsO4,药大考研官网推荐王积套课本有此氧化剂)、KMnO4/H+、O3、过氧酸、O2/Ag);③ɑ-H卤代(自由基取代反应);④聚合反应。
中国药科大学考研辅导南药人研路提示:马氏比较常考,但是反马加成也常涉及。
(3)炔烃和二烯烃的主要反应:①加成反应(林德拉、NaNH2/NH3(l)、亲电加成、自由基加成、亲核加成,这些加成反应类似烯烃的加成);②氧化反应;③炔氢的反应(注意);④聚合(一般不会考察);⑤D-A反应(多年考研真题中出现,重点掌握);⑥周环反应(开环和关环相应的条件下的顺旋和对旋)。
中国药科大学考研辅导南药人研路提示:2019年710真题第一次出现此知识点考查,注意掌握(常考炔烃部分加氢、与H2O加成生成醛酮;D-A反应等)(4)芳烃的主要反应:①亲电取代(注意:卤代、磺化、硝化、傅克反应、氯甲基化反应);②氧化反应;③α-H卤代(自由基);④加成反应。
中国药科大学考研辅导南药人研路提示:芳环上亲电取代的定位效应在药大考研中常考察,这个主要根据环上的电子云密度来判断;还有α-H的卤代。
(5)卤代烃的主要反应:①亲核取代、AgNO3(SN1);SN2的瓦尔登转化是药大历年重点!);②消除反应(HX(扎伊采夫规则,E2反式消除【特变注意】)、X2);③与金属反应(烷基铜锂,注意位阻,是1,2加成还是1,4加成,非常重要!);④还原产物为烃,常用还原剂:LiAlH4、NaBH4、Zn+HCL,醋酸等。
有机物复习提纲一、烃:(一)代表物:甲烷、乙烯、乙炔、苯、甲苯。
(二)分子式、电子式、结构式、结构简式。
(三)分子结构。
(四)物理性质。
(五)化学性质:1、氧化反应:(1)与氧气反应:都能燃烧,但现象不同:甲烷:没有烟→乙烯:火焰明亮、黑烟→乙炔:火焰明亮、浓烈的黑烟→苯:火焰明亮、浓烈的黑烟。
(2)与酸性高锰酸钾反应:甲烷、苯不能反应。
乙烯、乙炔、甲苯能反应。
2、取代反应:(1)甲烷与氯气发生的取代(五种产物,其中两种为气体,另三种为液体)。
化学方程式:(2)苯:①与液溴发生取代反应,生成密度比水大、不溶于水的溴苯。
化学方程式:注意:苯不与溴水反应,但能发生萃取②硝化反应(与浓硝酸、浓硫酸,加热),生成无色、有毒、密度比水大、不溶于水的硝基苯。
化学方程式:(3)甲苯:与浓硝酸、浓硫酸发生硝化反应生成三硝基甲苯(淡黄色不溶于水的晶体,又叫TNT或黄色炸药,所以甲苯、硝酸都是制取工业用炸药的原料)。
化学方程式:3、加成反应:①乙烯可以加溴、氢气、氯化氢、水。
化学方程式:②乙炔可以加溴、氢气、氯化氢。
化学方程式:③苯可以加氢气。
化学方程式:(六)用途:1、甲烷:燃料,合成氨。
2、乙烯:制塑料、催熟果实。
3、乙炔:氧炔焰用于焊接与切割金属。
4、苯、甲苯:合成原料,有机溶剂。
(七)实验室制法:1、乙烯:乙醇与浓硫酸共热到170℃(浓硫酸的作用:催化剂和脱水剂),反应类型:消去。
化学方程式:注意:温度计的球泡要插入液面以下。
2、乙炔:电石(CaC2)与水反应(所以乙炔俗称为电石气),化学方程式:,反应类型:复分解。
注意事项:1、电石中常含有硫化钙、磷化钙等杂质,所以制得的乙炔常有特殊的臭味(硫化氢、磷化氢),去除方法:用氢氧化钠溶液。
2、实际操作中常用饱和食盐水代替水,用块状电石代替粉末状电石,这是为了减慢反应速率以得到平稳的乙炔气流。
3、常在导管口附近塞少量棉花,这是为了防止电石与水剧烈反应生成的泡沫进入导管。