【精选】 一元一次方程章末练习卷(Word版 含解析)
- 格式:doc
- 大小:1.13 MB
- 文档页数:13
一元一次方程练习题基本题型: 一、选择题:1、下列各式中是一元一次方程的是( )A. y x -=-54121 B. 835-=--C. 3+xD.146534+=-+x xx 2、方程x x 231=+-的解是( )A 。
31-B 。
31C 。
1 D. -13、若关于x 的方程m x 342=-的解满足方程m x =+2,则m 的值为( ) A 。
10 B. 8 C 。
10- D 。
8-4、下列根据等式的性质正确的是( )A. 由y x 3231=-,得y x 2= B 。
由2223+=-x x ,得4=xC 。
由x x 332=-,得3=x D. 由753=-x ,得573-=x5、解方程16110312=+-+x x 时,去分母后,正确结果是( ) A 。
111014=+-+x x B 。
111024=--+x x C 。
611024=--+x x C 。
611024=+-+x x6、电视机售价连续两次降价10%,降价后每台电视机的售价为a 元,则该电视机的原价为( )A 。
0.81a 元 B. 1。
21a 元 C 。
21.1a 元 D. 81.0a元8、某商店卖出两件衣服,每件60元,其中一件赚25%,另一件亏25%,那么这两件衣服卖出后,商店是 ( )A 。
不赚不亏 B.赚8元 C 。
亏8元 D 。
赚8元 9、下列方程中,是一元一次方程的是( )(A);342=-x x (B );0=x (C );12=+y x (D).11xx =-10、方程212=-x 的解是( )(A );41-=x (B );4-=x (C );41=x (D ).4-=x11、已知等式523+=b a ,则下列等式中不一定...成立的是( ) (A );253b a =- (B );6213+=+b a(C );523+=bc ac (D ).3532+=b a 12、方程042=-+a x 的解是2-=x ,则a 等于( ) (A );8- (B );0 (C );2 (D ).813、解方程2631xx =+-,去分母,得( ) (A );331x x =-- (B);336x x =-- (C);336x x =+- (D ).331x x =+- 14、下列方程变形中,正确的是( )(A)方程1223+=-x x ,移项,得;2123+-=-x x(B )方程()1523--=-x x ,去括号,得;1523--=-x x(C)方程2332=t ,未知数系数化为1,得;1=x(D )方程15.02.01=--xx 化成.63=x 15、儿子今年12岁,父亲今年39岁,( )父亲的年龄是儿子的年龄的4倍. (A )3年后; (B )3年前; (C )9年后; (D )不可能。
《一元一次方程》测试卷(总分: 120 分 时间: 120 分钟)一、填空题(每题 3 分,共 30 分)1.( 1) -3x+2x=_______ . ( 2) 5m-m-8m=_______.2.一个两位数,十位数字是9,个位数比十位数字小a ,则该两位数为 _______.3.一个长方形周长为 108cm ,长比宽 2 倍多 6cm ,则长比宽大 _______cm . 4.对于 x 的方程( k-1 ) x-3k=0 是一元一次方程,则 k_______.5.方程 6x+5=3x 的解是 ________.6.若 x=3 是方程 2x-10=4a 的解,则 a=______ .7.某服饰成本为 100 元,订价比成本高 20%,则收益为 ________元.8.某加工厂出米率为 70%的稻谷加工大米,现要加工大米1000t ,设需要这类稻谷 xt ,则列出的方程为 ______.9.当 m 值为 ______时,4m 5的值为 0.310.敌我两军相距 14 千米,敌军于 1 小时前以 4 千米 / 小时的速度逃跑, ?现我军以7 千米 / 小时的速度追击 ______小时后可追上敌军. 二、选择题(每题 3 分,共 30 分)11.以下说法中正确的选项是( )A .含有一个未知数的等式是一元一次方程B .未知数的次数都是 1 次的方程是一元一次方程C .含有一个未知数,而且未知数的次数都是一次的方程是一元一次方程D . 2y-3=1 是一元一次方程12.以下四组变形中,变形正确的选项是( )A .由 5x+7=0 得 5x=-7B .由 2x-3=0 得 2x-3+3=0C .由 x =2 得 x=1D.由 5x=7 得 x=356 313.以下各方程中,是一元一次方程的是( )A . 3x+2y=5B . y 2-6y+5=0 C. 1x-3=1D. 3x-2=4x-73x14.以下各组方程中,解同样的方程是( )A . x=3 与 4x+12=0 B. x+1=2 与( x+1) x=2xC . 7x-6=25 与7 x 1=6D. x=9 与 x+9=0515.一件工作,甲独自做20 小时达成,乙独自做 12 小时达成,现由甲独做 4 小时,剩下 的甲、乙合做,还需几小时?设剩下部分要 x 小时达成,以下方程正确的选项是( )4 x xB.14 x xA.120 1220 2012204 x xD .14 xxC.120 1220 20 122016.( 2006,江苏泰州)若对于 x 的一元一次方程 2x k x3k =1 的解为 x=-1 ,则 k 的32值为( )A .2B.1C .-13D . 071117.一条公路甲队独修需24 天,乙队需 40 天,若甲、?乙两队同时分别从两头开始修, ( )天后可将所有修完.A .24B.40C. 15 D .1618.解方程x1 4 x=1 去分母正确的选项是( )32A . 2(x-1 ) -3 ( 4x-1 )=1B . 2x-1-12+x=1C . 2(x-1 ) -3 ( 4-x ) =6D.2x-2-12-3x=619.某人从甲地到乙地,水道比公路近40 千米,但乘轮船比汽车要多用3 小时, ?已知轮船速度为 24 千米 / 时,汽车速度为 40 千米 / 时,则水道和公路的长分别为( )A . 280 千米, 240 千米B . 240 千米, 280 千米- 2 -20.一组学生去春游,估计共需用 120 元,以后又有 2 人参加进来,总花费降下来,?于是每人可少摊 3 元,设本来这组学生人数为 x 人,则有方程为()A . 120x=( x+2) xB .120x 2x120 120120 120C.x 3D.2 3xx 2 x三、解方程(共 28 分)21.( 1) 5 -6x=-7x+1; (5分)( 2)y-1( y-1 ) = 2( y-1 ) ; (5分)3 22 3(3)3[4 ( 1 x- 1) -8]= 3 43 24 2x+1; (5 分)( 4) 0.2 x 10.1 x. (5 分)0.30.222.( 8 分)若对于 x 的方程 2x-3=1 和 x k=k-3x 有同样的解,求 k 的值.2四、应用题(每题8 分,共 32 分)23.( 8 分)某校八年级近期推行小班教课,若每间教室安排20 名学生,则缺乏 3?间教室;若每间教室安排24 名学生,则空出一间教室.问这所学校共有教室多少间?24.( 8 分)如图,有9 个方格,要求每个方格填入不一样的数,使得每行、每列、?每条对角线上三个数的和相等,问图中的m是多少?m191325.( 8 分)先阅读下边的资料,再解答后边的问题.现代社会对保密要求愈来愈高,密码正在成为人们生活的一部分,有一种密码的明文(真切文)按计算器键盘字母摆列分解,此中Q、W、E、、N、M这26个字母挨次对应1、2、 3、 25、 26 这 26 个自然数(见下表):给出一个变换公式:x` x 是自然数,1 x 26, x被整除) 3 ( x 3x` x 2 是自然数,1 x 26,x被除余1 3 17( x 3 )x` x 1 是自然数,1 x被除余2)3 8(x 26, x 3将明文变换成密文,如: 4→42 +17=19,即 R 变成 L:11→111 +8=12,即 A 变成3 3S.将密文变换成明文,如:21 → 3×( 21-17 ) -2=10 ,即 X 变成 P;13→ 3×( 13-8 ) -1=14 ,即 D 变成 F;(1)按上述方法将明文 NET译为密文;(2)若按上述方法将明文译成的密文为DMN,请找出它的明文.26.( 8 分)某音乐厅五月初决定在暑期时期举办学生专场音乐会,入场券分为集体票和零售票,此中集体票占总数的2,若提早购票,则赐予不一样程序的优惠,在五月份内,3集体票每张12 元,共售出集体票数的3;零售票每张16元,?共售出零售票数的一半,5假如在六月份内,集体票按每张 16 元销售, ?并计划在六月份售出所有余票,那么零售票应按每张多少元订价才能使这两个月的票款收入持平?答案 :1.≠ 1 2 .x=-53.-14 .( 1)-x ( 2)-4m 5 .99-a 6 .22 7 .20 ? ?8.?0.7x=100039.510 .511 .D12.A13.D14.C15.C16.B17.C18.C4x x 40 19. B (点拨:设水道 x 千米,有方程+3)244020. C21.( 1) x=4( 2) y=7 ( 3)x=-29(4) x1 22.k14 15410323.设学校有 x 间教室,依题意得方程 20( x+3) =24( x-1 ),解得 x=21 (间).24.设相应的方格中数为 x 1, x 2, x 3,x 4 ,如图,由已知得m+x 1+x2=m+x +x =x +x3+13=x +19+x ,由此得 2m+x +x +x 3+x =13+19+x +x +x 3+x .341 2412 412 4∴ 2m=13+19,即 m=16.m x 1 x 2x 3 1913 x 425 .(1) 25→ 25 2+17=26 N变成 N→ 333 =1E变成 Q35 →51+8=10T变成 P3( 2) 13→ 3×( 13-8 ) -1=14D 变成 F 2 →3×( 2-0 )=6W变成 Y25 → 3×( 25-17 ) -2=22N变成 C26 .设总票数 a 张,六月份零售标价为 x 元 / 张,依题意,得12 ×3×2a+16× 1 × 1a=16×4a+ 1 ax53 23156∴ x=19.2 ,故六月份零售票应按每张19.2 元订价.。
第三章一元一次方程单元达标检测卷一、单选题:1.下列方程是一元一次方程的是()A.2x+3y=7B.3x 2=3C.6=2x-1 D.2x-1=202.下列解方程步骤正确的是()A.由0.2x +4=0.3x +1,得0.2x -0.3x =1+4B.由4x +1=0.310.1x ++1.2,得4x +1=3101x ++12C.由0.2x -0.3=2-1.3x ,得2x -3=2-13x D.由13x --26x +=2,得2x -2-x -2=123.解方程3112424x x-+-=-时,去分母后得到的方程正确的是()A.()231124x x --+=- B.()()231121x x --+=-C.()()231124x x --+=- D.()()2311216x x --+=-4.如果式子5x-4的值与-16互为倒数,则x 的值为()A.56B.-56C.-25D.255.下列变形中,不正确的是()A.若a ﹣3=b ﹣3,则a=bB.若a b c c=,则a=b C.若a=b ,则2211a bc c =++ D.若ac=bc ,则a=b6.小华在做解方程作业时,不小心将方程中的一个常数弄脏了而看不清楚,被弄脏的方程是13.(-12x -+x)=1-5x -,这该怎么办呢?他想了一想,然后看了一下书后面的答案,知道此方程的解是x=5,于是,他很快便补好了这个常数,并迅速地做完了作业。
同学们,你能补出这个常数吗?它应该是()A.2 B.3 C.4 D.57.某校教师举行茶话会.若每桌坐10人,则空出一张桌子;若每桌坐8人,还有6人不能就坐.设该校准备的桌子数为x ,则可列方程为()A.()10186x x -=- B.()10186x x -=+ C.()10186x x +=- D.()10186x x +=+8.下图是某超市中某品牌洗发水的价格标签,一服务员不小心将墨水滴签上,使得原价看不清楚,请你帮忙算一算,该洗发水的原价为()A.22元 B.23元 C.24元D.26元9.小明所在城市的“阶梯水价”收费办法是:每户用水不超过5吨,每吨水费x 元;超过5吨,超过部分每吨加收2元,小明家今年5月份用水9吨,共交水费为44元,根据题意列出关于x 的方程正确的是()A.5x+4(x+2)=44 B.5x+4(x-2)=44 C.9(x+2)=44 D.9(x+2)-4×2=4410.已知关于x 的一元一次方程2133axx +=+的解为正整数,则所有满足条件的整数a 有()个A.3B.4C.6D.8二、填空题:11.若关于x 的方程(k ﹣3)x |k ﹣2|+5k+1=0是一元一次方程,则k=.12.若关于y 的方程32y k -=与32y y +=的解相同,则k 的值为.13.若方程3(2x ﹣1)=2+x 的解与关于x 的方程623k-=2(x+3)的解互为相反数,则k 的值是14.在全国足球甲级A 组的比赛中,某队在已赛的11场比赛中保持连续不败,积25分.已知胜一场得3分,平一场得1分,那么该队已胜场.15.春节将近,各服装店清仓大甩卖.一商店某一时间以每件120元的价格卖出两件衣服,其中一件盈利50%,另一件亏损20%,卖这两件衣服的利润为元.16.整理一批资料,由一个人做要20h 完成,现计划由一部分人先做3h ,然后调走其中5人,剩下的人再做2h 正好完成这项工作,假设这些人的工作效率相同,具体应先安排多少人工作?若设应先安排x 人工作3h ,则根据题意可列方程为.17.为了抓住国庆长假的商机,某商家推出了“每满300元减30元”的活动,该商家将某品牌微波炉按进价提高50%后标价,再按标价的八折销售,一顾客在国庆长假期间购买了一个该商家这个品牌的微波炉,最终付款780元.(1)将表格补充完整:(2)该商家卖一个这个品牌的微波炉的利润为元.18.按照下面的程序计算,如果输入的值是正整数,输出结果是94,则满足条件的y 值有个.19.某商场经销一种商品,由于进货时价格比原进价降低了6.4%,使得利润率增加了8个百分点,那么经销这种商品原来的利润率是%(注:利润率=-销售价进价进价×100%).20.线段15AB =,点P 从点A 开始向点B 以每秒1个单位长度的速度运动,点Q 从点B 开始向点A 以每秒2个单位长度的速度运动,当其中一个点到达终点时另一个点也随之停止运动,当2AP PQ =时,t 的值为.三、计算题:21.解下列方程(1)()4315235x x --=(2)10.10.051220.2x x+--=+四、解答题:22.小李在解关于x 的方程2133x x a-+=-1去分母时,方程右边的-1漏乘了3,因而求得方程的解为x=-2,请你帮小李同学求出a 的值,并且求出原方程的解.23.学习了一元一次方程的解法后,老师布置了这样一道计算题317124x x +--=,甲、乙两位同学的解答过程分别如下:甲同学:解方程317124x x +--=.解:317441424x x +-⨯-⨯=⨯…第①步()23174x x +--=……第②步6274x x +--=……第③步6427x x -=-+……第④步59x =…………第⑤步95x =.………第⑥步乙同学:解方程317124x x +--=.解:31744124x x +-⨯-⨯=…第①步()23171x x +-+=……第②步6271x x +-+=……第③步6127x x -=--……第④步58x =-…………第⑤步85x =-.………第⑥步老师发现这两位同学的解答过程都有不符合题意.请你从甲、乙两位同学中,选择一位同学的解答过程,帮助他分析错因,并加以改正.(1)我选择同学的解答过程进行分析(填“甲”或“乙”);(2)该同学的解答过程从第步开始出现不符合题意(填序号);错误的原因是;(3)请写出正确的解答过程.24.某地区发生强烈地震,维和部队在两个地方进行救援工作,甲处有91名维和部队队员,乙处有49名维和部队队员,现又调来100名维和部队队员支援,要使甲处的人数比乙处人数的3倍少12人,应往甲、乙两处各调来多少名维和部队队员?25.用方程解答问题:某车间有22名工人,用铝片生产听装饮料瓶,每人每天可以生产1200个瓶身或2000个瓶底,一个瓶身和两个瓶底可配成一套,为使每天生产的瓶身和瓶底刚好配套,应安排生产瓶身和瓶底的工人各多少名?26.某城市对用户的自来水收费实行阶梯水价,收费标准如下表所示:月用水量不超过12吨的部分超过12吨不超过18吨的部分超过18吨的部分收费标准(元/吨) 2.00 2.50 3.00(1)某用户5月份缴水费45元,则该用户5月份的用水量是多少?(2)某用户想月所缴水费控制在20元至30元之间,则该用户的月用水量应该如何控制?(3)若某用户的月用水量为m吨,请用含m的代数式表示该用户月所缴水费.27.为发展校园足球运动,某县城区四校决定联合购买一批足球运动装备,市场调查发现:甲、乙两商场以同样的价格出售同种品牌的足球队服和足球,已知每套队服比每个足球多50元,两套队服与三个足球的费用相等,经洽谈,甲商场优惠方案是:每购买十套队服,送一个足球;乙商场优惠方案是:若购买队服超过80套,则购买足球打八折.(1)求每套队服和每个足球的价格是多少?(2)若城区四校联合购买100套队服和a个足球,请用含a的式子分别表示出到甲商场和乙商场购买装备所花的费用;(3)假如你是本次购买任务的负责人,你认为到哪家商场购买比较合算?28.某牛奶加工厂现有鲜奶8吨,若市场上直接销售鲜奶,每吨可获取利润500元;制成酸奶销售,每吨可获取利润1200元;制成奶片销售,每吨可获取利润2000元.该工厂的生产能力是:如制成酸奶每天可加工3吨;制成奶片每天可加工1吨.受人员制约,两种加工方式不可同时进行;受气温制约,这批牛奶必须在4天内全部销售或加工完毕.为此,该工厂设计了两种可行方案:方案一:尽可能多的制成奶片,其余直接销售鲜牛奶;方案二:将一部分制成奶片,其余制成酸奶销售,并恰好4天完成.你认为选择哪种方案获利最多?为什么?答案一、单选题:1-10DDDCD DBCAB 二、填空题:11.112.713.-314.715.1016.320x +()2520x -=117.(1)60(2)8018.319.1720.307或6三、计算题:21.(1)解:去括号,得:445635x x -+=移项,合并同类项,得:1080x =系数化为1,得:8x =(2)解:原方程化为:110512220x x+--=+去分母,得:()1012040105x x+-=+-去括号得:101020505x x +-=-移项,合并同类项,得:1560x =系数化为1,得:4x =四、解答题:22.解:按小李的解法解方程,去分母得:2x -1=x +a -1,整理,解得x =a ,又∵小李解得x =-2,∴a =-2,把a =-2代入原方程,得2x 1x 2133--=-,去分母得:2x-1=x-2-3,整理,解得x =-4,将x=-4代入方程中,左式=右式,即x =-4为原方程正确的解.23.(1)甲(2)②;去分母时7x -这一项没有加括号(3)解:317124x x +--=.317441424x x +-⨯-⨯=⨯()231(7)4x x +--=62+74x x +-=6427x x -=--55x =-1x =-.24.解:设应往甲处调x 名维和部队队员,则往乙处调100-x 名,可列方程:91+x=3[49+(100-x )]-12解得x=86,则100-x=14答:应往甲处调86名维和部队队员,往乙处调14名维和部队队员。
初中数学一元一次方程精选试题(含答案和解析)一.选择题1.(2018·湖北省恩施·3分)一商店在某一时间以每件120元的价格卖出两件衣服.其中一件盈利20%.另一件亏损20%.在这次买卖中.这家商店()A.不盈不亏 B.盈利20元C.亏损10元D.亏损30元【分析】设两件衣服的进价分别为x、y元.根据利润=销售收入﹣进价.即可分别得出关于x、y的一元一次方程.解之即可得出x、y的值.再用240﹣两件衣服的进价后即可找出结论.【解答】解:设两件衣服的进价分别为x、y元.根据题意得:120﹣x=20%x.y﹣120=20%y.解得:x=100.y=150.∴120+120﹣100﹣150=﹣10(元).故选:C.【点评】本题考查了一元一次方程的应用.找准等量关系.正确列出一元一次方程是解题的关键.2.(2018湖南省邵阳市)(3分)程大位是我国明朝商人.珠算发明家.他60岁时完成的《直指算法统宗》是东方古代数学名著.详述了传统的珠算规则.确立了算盘用法.书中有如下问题:一百馒头一百僧.大僧三个更无争.小僧三人分一个.大小和尚得几丁.意思是:有100个和尚分100个馒头.如果大和尚1人分3个.小和尚3人分1个.正好分完.大、小和尚各有多少人.下列求解结果正确的是()A.大和尚25人.小和尚75人 B.大和尚75人.小和尚25人C.大和尚50人.小和尚50人 D.大、小和尚各100人【分析】根据100个和尚分100个馒头.正好分完.大和尚一人分3个.小和尚3人分一个得到等量关系为:大和尚的人数+小和尚的人数=100.大和尚分得的馒头数+小和尚分得的馒头数=100.依此列出方程即可.【解答】解:设大和尚有x人.则小和尚有(100﹣x)人.根据题意得:3x+=100.解得x=25则100﹣x=100﹣25=75(人)所以.大和尚25人.小和尚75人.故选:A.【点评】本题考查了一元一次方程的应用.关键以和尚数和馒头数作为等量关系列出方程.二.填空题1.(2018·湖北江汉油田、潜江市、天门市、仙桃市·3分)某公司积极开展“爱心扶贫”的公益活动.现准备将6000件生活物资发往A.B两个贫困地区.其中发往A区的物资比B区的物资的1.5倍少1000件.则发往A区的生活物资为3200 件.【分析】设发往B区的生活物资为x件.则发往A区的生活物资为(1.5x﹣1000)件.根据发往A.B两区的物资共6000件.即可得出关于x的一元一次方程.解之即可得出结论.【解答】解:设发往B区的生活物资为x件.则发往A区的生活物资为(1.5x﹣1000)件.根据题意得:x+1.5x﹣1000=6000.解得:x=2800.∴1.5x﹣1000=3200.答:发往A区的生活物资为3200件.故答案为:3200.【点评】本题考查了一元一次方程的应用.找准等量关系.正确列出一元一次方程是解题的关键.3.(2018•上海•4分)方程组的解是..【分析】方程组中的两个方程相加.即可得出一个一元二次方程.求出方程的解.再代入求出y即可.【解答】解:②+①得:x2+x=2.解得:x=﹣2或1.把x=﹣2代入①得:y=﹣2.把x=1代入①得:y=1.所以原方程组的解为..故答案为:..【点评】本题考查了解高次方程组.能把二元二次方程组转化成一元二次方程是解此题的关键.三.解答题1.(2018•广东•7分)某公司购买了一批A.B型芯片.其中A型芯片的单价比B型芯片的单价少9元.已知该公司用3120元购买A型芯片的条数与用4200元购买B型芯片的条数相等.(1)求该公司购买的A.B型芯片的单价各是多少元?(2)若两种芯片共购买了200条.且购买的总费用为6280元.求购买了多少条A型芯片?【分析】(1)设B型芯片的单价为x元/条.则A型芯片的单价为(x ﹣9)元/条.根据数量=总价÷单价结合用3120元购买A型芯片的条数与用4200元购买B型芯片的条数相等.即可得出关于x的分式方程.解之经检验后即可得出结论;(2)设购买a条A型芯片.则购买(200﹣a)条B型芯片.根据总价=单价×数量.即可得出关于a的一元一次方程.解之即可得出结论.【解答】解:(1)设B型芯片的单价为x元/条.则A型芯片的单价为(x﹣9)元/条.根据题意得:=.解得:x=35.经检验.x=35是原方程的解.∴x﹣9=26.答:A型芯片的单价为26元/条.B型芯片的单价为35元/条.(2)设购买a条A型芯片.则购买(200﹣a)条B型芯片.根据题意得:26a+35(200﹣a)=6280.解得:a=80.答:购买了80条A型芯片.【点评】本题考查了分式方程的应用以及一元一次方程的应用.解题的关键是:(1)找准等量关系.正确列出分式方程;(2)找准等量关系.正确列出一元一次方程.2.(2018•海南•8分)“绿水青山就是金山银山”.海南省委省政府高度重视环境生态保护.截至2017年底.全省建立国家级、省级和市县级自然保护区共49个.其中国家级10个.省级比市县级多5个.问省级和市县级自然保护区各多少个?【分析】设市县级自然保护区有x个.则省级自然保护区有(x+5)个.根据国家级、省级和市县级自然保护区共49个.即可得出关于x的一元一次方程.解之即可得出结论.【解答】解:设市县级自然保护区有x个.则省级自然保护区有(x+5)个.根据题意得:10+x+5+x=49.解得:x=17.∴x+5=22.答:省级自然保护区有22个.市县级自然保护区有17个.【点评】本题考查了一元一次方程的应用.找准等量关系.正确列出一元一次方程是解题的关键.3.(2018湖南张家界5.00分)列方程解应用题《九章算术》中有“盈不足术”的问题.原文如下:“今有共買羊.人出五.不足四十五;人出七.不足三.问人数、羊價各幾何?”题意是:若干人共同出资买羊.每人出5元.则差45元;每人出7元.则差3元.求人数和羊价各是多少?【分析】可设买羊人数为未知数.等量关系为:5×买羊人数+45=7×买羊人数+3.把相关数值代入可求得买羊人数.代入方程的等号左边可得羊价.【解答】解:设买羊为x人.则羊价为(5x+45)元钱.5x+45=7x+3.x=21(人).5×21+45=150(员).答:买羊人数为21人.羊价为150元.【点评】本题考查了一元一次方程的应用.找准等量关系.正确列出一元一次方程是解题的关键.。
一、初一数学一元一次方程解答题压轴题精选(难)1.已知关于a的方程2(a+2)=a+4的解也是关于x的方程2(x-3)-b=7的解.(1)求a、b的值;(2)若线段AB=a,在直线AB上取一点P,恰好使 =b,点Q为PB的中点,请画出图形并求出线段AQ的长.【答案】(1)解:2(a-2)=a+4,2a-4=a+4a=8,∵x=a=8,把x=8代入方程2(x-3)-b=7,∴2(8-3)-b=7,b=3(2)解:①如图:点P在线段AB上,=3,AB=3PB,AB=AP+PB=3PB+PB=4PB=8,PB=2,Q是PB的中点,PQ=BQ=1,AQ=AB-BQ=8-1=7,②如图:点P在线段AB的延长线上,=3,PA=3PB,PA=AB+PB=3PB,AB=2PB=8,PB=4,Q是PB的中点,BQ=PQ=2,AQ=AB+BQ=8+2=10.所以线段AQ的长是7或10.【解析】【分析】(1)根据题意可得两个方程的解相同,所以根据第一个方程的解,可求出第二个方程中的b。
(2)分类讨论,P在线段AB上,根据,可求出PB的长,再根据中点的性质可得PQ的长,最后根据线段的和差可得AQ;P在线段AB的延长线上,根据,可求出PB的长,再根据中点的性质可得BQ的长,最后根据线段的和差可得AQ.2.约定:上方相邻两数之和等于这两数下方箭头共同指向的数.示例:如图1,即4+3=7,观察图2,求:(1)用含x的式子分别表示m和n;(2)当y=-7时,求n的值。
【答案】(1)解:根据约定的方法可得:m=x+2x=3x;n=2x+3;(2)解:x+2x+2x+3=m+n=y当y=-7时,5x+3=-7解得x=-2.∴n=2x+3=-4+3=-1【解析】【分析】(1)根据约定:上方相邻两数之和等于这两数下方箭头共同指向的数,分别列式即可;(2)根据约定可得m+n=y,代入上题的关系整理可得关于x的一元一次方程,解出x, 代入n的表达式求值即可.3.元旦假期,甲、乙两家超市以相同的价格出售同样的商品,为了吸引顾客,各自推出不同的优惠方案:在甲超市当日累计购物超出了300元以后,超出部分按原价8折优惠;在乙超市当日累计购物超出200元之后,超出部分按原价8.5折优惠.设某位顾客在元旦这天预计累计购物x元(其中x>300).(1)当x=400时,顾客到哪家超市购物优惠.(2)当x为何值时,顾客到这两家超市购物实际支付的钱数相同.【答案】(1)解:在甲超市购物所付的费用是:元,在乙超市购物所付的费用是:元;当时,在甲超市购物所付的费用是:,在乙超市购物所付的费用是:,所以到乙超市购物优惠(2)解:根据题意由得:,解得:,答:当时,两家超市所花实际钱数相同【解析】【分析】(1)甲超市费用:利用300元+超出300元部分×0.8即得;乙超市费用:利用200元+超出200元部分×0.85即得;然后将x=400分别代入甲乙超市费用的代数式中计算即可.(2)由甲超市费用=乙超市费用建立方程,求出x值即可.4.某县外出的农民工准备集体包车回家过春节,如果单独租用45座客车若干辆,刚好坐满;如果单独租用60座客车,可少租1辆,且余15个座位.(1)求准备包车回家过春节的农民工人数;(2)已知租用45座客车的租金为每辆车5000元,60座客车的租金为每辆车6000元,问租用哪种客车更合算?请说明理由.【答案】(1)解:设需单独租45座客车x辆,依题意得45x=60(x-1)-15解这个方程,得 x=5则45x=45×5=225答:准备回家过春节的农民工有225人(2)解:由(1)知,需租5辆45座客车或4辆60座客车;而租5辆45座客车的费用为 5×5000=25000(元),租4辆60座客车的费用为4×6000=24000(元).故,租4辆60座客车更合算【解析】【分析】(1)设需单独租45座客车x辆,根据单独租用45座客车若干辆,刚好坐满;如果单独租用60座客车,可少租1辆,且余15个座位列出方程解出答案即可;(2)根据(1)知,需租5辆45座客车或4辆60座客车和租用45座客车的租金为每辆车5000元,60座客车的租金为每辆车6000元,求出答案即可。
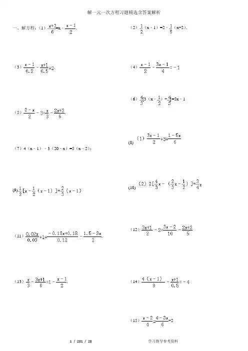
一、解方程:(1)=x ﹣.(3).(5).(7)4(x﹣1)﹣3(20﹣x)=5(x﹣2);(9)(11).(13).(2)(x﹣1)=2﹣(x+2).(4)(6)[3(x ﹣)+]=5x﹣1 (8)(10)(12)(14)(17)(19)x ﹣﹣3(21).(23).20.解方程(1).(2).(I8)12y﹣2.5y=7.5y+5(20).(22).二、计算:(1)(2)÷(4)﹣42×+|﹣2|3×(﹣)3(5)当k 为什么数时,式子比的值少3.6.2.4解一元一次方程(三)参考答案与试题解析一.解答题(共30小题)1.(2005•宁德)解方程:2x+1=7考点:解一元一次方程.专题:计算题;压轴题.分析:此题直接通过移项,合并同类项,系数化为1可求解.解答:解:原方程可化为:2x=7﹣1 合并得:2x=6系数化为1得:x=3点评:解一元一次方程,一般要通过去分母,去括号,移项,合并同类项,未知数的系数化为1等步骤,把一个一元一次方程“转化”成x=a的形式.2.考点:解一元一次方程.专题:计算题.分析:这是一个带分母的方程,所以要先去分母,再去括号,最后移项,化系数为1,从而得到方程的解.解答:解:左右同乘12可得:3[2x﹣(x﹣1)]=8(x﹣1),化简可得:3x+3=8x﹣8,移项可得:5x=11,解可得x=.故原方程的解为x=.点评:若是分式方程,先同分母,转化为整式方程后,再移项化简,解方程可得答案.3.(1)解方程:4﹣x=3(2﹣x);(2)解方程:.考点:解一元一次方程.专题:计算题.分析:(1)先去括号,然后再移项、合并同类型,最后化系数为1,得出方程的解;移项得:﹣x+3x=6﹣4,合并得:2x=2,系数化为1得:x=1.(2)去分母得:5(x﹣1)﹣2(x+1)=2,去括号得:5x﹣5﹣2x﹣2=2,移项得:5x﹣2x=2+5+2,合并得:3x=9,系数化1得:x=3.点评:(1)本题易在去分母、去括号和移项中出现错误,还可能会在解题前产生害怕心理.因为看到小数、分数比较多,学生往往不知如何寻找公分母,怎样合并同类项,怎样化简,所以我们要教会学生分开进行,从而达到分解难点的效果.(2)本题的另外一个重点是教会学生对于分数的分子、分母同时扩大或缩小若干倍,值不变.这一性质在今后常会用到.4.解方程:.考点:解一元一次方程.专题:计算题.分析:此题两边都含有分数,分母不相同,如果直接通分,有一定的难度,但将方程左右同时乘以公分母6,难度就会降低.解答:解:去分母得:3(2﹣x)﹣18=2x﹣(2x+3),去括号得:6﹣3x﹣18=﹣3,移项合并得:﹣3x=9,∴x=﹣3.点评:本题易在去分母和移项中出现错误,学生往往不知如何寻找公分母,怎样合并同类项,怎样化简,所以我们要教会学生分开进行,从而达到分解难点的效果.5.解方程(1)4(x﹣1)﹣3(20﹣x)=5(x﹣2);(2)x﹣=2﹣.考点:解一元一次方程.专题:计算题.分析:(1)先去括号,再移项、合并同类项、化系数为1,从而得到方程的解;(2)先去分母,再去括号,最后移项,化系数为1,从而得到方程的解.解答:解:(1)去括号得:4x﹣4﹣60+3x=5x﹣10(2分)移项得:4x+3x﹣5x=4+60﹣10(3分)合并得:2x=54(5分)系数化为1得:x=27;(6分)(2)去分母得:6x﹣3(x﹣1)=12﹣2(x+2)(2分)去括号得:6x﹣3x+3=12﹣2x﹣4(3分)移项得:6x﹣3x+2x=12﹣4﹣3(4分)合并得:5x=5(5分)多项式)作为一个整体加上括号.去括号时要注意符号的变化.6.(1)解方程:3(x﹣1)=2x+3;(2)解方程:=x﹣.考点:解一元一次方程.专题:计算题.分析:(1)是简单的一元一次方程,通过移项,系数化为1即可得到;(2)是较为复杂的去分母,本题方程两边都含有分数系数,如果直接通分,有一定的难度,但对每一个式子先进行化简、整理为整数形式,难度就会降低.解答:解:(1)3x﹣3=2x+33x﹣2x=3+3x=6;(2)方程两边都乘以6得:x+3=6x﹣3(x﹣1)x+3=6x﹣3x+3x﹣6x+3x=3﹣3﹣2x=0∴x=0.点评:本题易在去分母、去括号和移项中出现错误,还可能会在解题前不知如何寻找公分母,怎样合并同类项,怎样化简,所以要学会分开进行,从而达到分解难点的效果.去分母时,方程两端同乘各分母的最小公倍数时,不要漏乘没有分母的项,同时要把分子(如果是一个多项式)作为一个整体加上括号.7.﹣(1﹣2x)=(3x+1)考点:解一元一次方程.专题:计算题.分析:这是一个带分母的方程,所以要先去分母,再去括号,最后移项,化系数为1,从而得到方程的解.解答:解:﹣7(1﹣2x)=3×2(3x+1)﹣7+14x=18x+6﹣4x=13x=﹣.点评:解一元一次方程的一般步骤是去分母、去括号、移项、合并同类项和系数化为1.此题去分母时,方程两端同乘各分母的最小公倍数时,不要漏乘没有分母的项,同时要把分子(如果是一个多项式)作为一个整体加上括号.8.解方程:(1)5(x﹣1)﹣2(x+1)=3(x﹣1)+x+1;(2).点:专题:计算题.分析:(1)可采用去括号,移项,合并同类项,系数化1的方式进行;(2)本题方程两边都含有分数系数,如果直接通分,有一定的难度,但对每一个式子先进行化简、整理为整数形式,难度就会降低.解答:解:(1)5(x﹣1)﹣2(x+1)=3(x﹣1)+x+13x﹣7=4x﹣2∴x=﹣5;(2)原方程可化为:去分母得:40x+60=5(18﹣18x)﹣3(15﹣30x),去括号得:40x+60=90﹣90x﹣45+90x,移项、合并得:40x=﹣15,系数化为1得:x=.点评:(1)本题易在去分母、去括号和移项中出现错误,还可能会在解题前产生害怕心理.因为看到小数、分数比较多,学生往往不知如何寻找公分母,怎样合并同类项,怎样化简,所以我们要教会学生分开进行,从而达到分解难点的效果;(2)本题的另外一个重点是教会学生对于分数的分子、分母同时扩大或缩小若干倍,值不变.这一性质在今后常会用到.9.解方程:.考点:解一元一次方程.专题:计算题.分析:这是一个带分母的方程,所以要先去分母,再去括号,最后移项,化系数为1,从而得到方程的解.解答:解:,去分母得:2x﹣(3x+1)=6﹣3(x﹣1),去括号得:2x﹣3x﹣1=6﹣3x+3,移项、合并同点评:去分母时,方程两端同乘各分母的最小公倍数时,不要漏乘没有分母的项,同时要把分子(如果是一个多项式)作为一个整体加上括号.10.解方程:(1)4x﹣3(4﹣x)=2;(2)(x﹣1)=2﹣(x+2).考点:解一元一次方程.专题:计算题.分析:(1)先去括号,再移项,合并同类项,系数化1,即可求出方程的解;(2)先去分母,再去括号,移项,合并同类项,系数化1可求出方程的解.解答:解:(1)4x﹣3(4﹣x)=2去括号,得4x﹣12+3x=2移项,合并同类项7x=14系数化1,得x=2.(2)(x﹣1)=2﹣(x+2)去分母,得5﹣4移项、合并同类项,得7x=21系数化1,得x=3.点评:(1)此题主要是去括号,移项,合并同类项,系数化1.(2)方程两边每一项都要乘各分母的最小公倍数,方程两边每一项都要乘各分母的最小公倍数,切勿漏乘不含有分母的项,另外分数线有两层意义,一方面它是除号,另一方面它又代表着括号,所以在去分母时,应该将分子用括号括上.11.计算:(1)计算:(2)解方程:考点:解一元一次方程;有理数的混合运算.专题:计算题.分析:(1)根据有理数的混合运算法则计减;(2)两边同时乘以最简公分母4,即可去掉分母.解答:解:(1)原式=,=,=.(2)去分母得:2(x﹣1)﹣(3x﹣1)=﹣4,解得:x=3.点评:解答此题要注意:(1)去分母时最好先去中括号、再去小括号,以减少去括号带来的符号变化次数;(2)去分母就是方程两边同时乘以分母的最简公分母.12.解方程:考点:解一元一次方程.专题:计算题.分析:(1)这是一个带分母的方程,所以要为1,从而得到方程的解.(2)解一元一次方程的一般步骤:去分母、去括号、移项、合并同类项、化系数为1.解答:解:(1)去分母得:3(3x﹣1)+18=1﹣5x,去括号得:9x﹣3+18=1﹣5x,移项、合并得:14x=﹣14,系数化为1得:x=﹣1;(2)去括号得:x﹣x+1=x,移项、合并同类项得:x=﹣1,系数化为1得:x=﹣.点评:本题考查解一元一次方程,正确掌握解一元一次方程的一般步骤,注意移项要变号、去分母时“1”也要乘以最小公倍数.13.解方程:(2)考点:解一元一次方程.专题:计算题.分析:(1)去分母、去括号、移项、合并同类项、化系数为1.(2)去分母、去括号、移项、合并同类项、化系数为1.解答:(1)解:去分母得:5(3x+1)﹣2×10=3x﹣2﹣2(2x+3),去括号得:15x+5﹣20=3x﹣2﹣4x﹣6,移项得:15x+x=﹣8+15,合并得:16x=7,解得:;(2)解:,4(x﹣1)﹣18(x+1)=﹣36,4x﹣4﹣18x﹣18=﹣36,﹣14x=﹣14,x=1.点评:本题考查解一元一次方程,正确掌握解一元一次方程的一般步骤,注意移项要变号、去分母时“1”也要乘以最小公倍数.14.解方程:(1)5(2x+1)﹣2(2x﹣3)=6 (2)+2(3)[3(x﹣)+]=5x﹣1考点:解一元一次方程.专题:计算题.分析:(2)通过去括号、移项、合并同类项、系数化为1,解得x的值;(3)乘最小公倍数去分母即可;(4)主要是去括号,也可以把分数转化成整数进行计算.解答:解:(1)去括号得:10x+5﹣4x+6=6移项、合并得:6x=﹣5,方程两边都除以6,得x=﹣;(2)去分母得:3(x﹣2)=2(4﹣3x)+24,去括号得:3x﹣6=8﹣6x+24,移项、合并得:9x=38,方程两边都除以9,得x=;(3)整理得:[3(x﹣)+]=5x﹣1,4x﹣2+1=5x﹣1,移项、合并得:x=0.点评:一元一次方程的解法:一般要通过去分母、去括号、移项、合并同类项、未知数的系数化为1等步骤,把一个一元一次方程“转化”成x=a的形式.解题时,要灵活运用这些步骤.15.(A类)解方程:5x﹣2=7x+8;(B类)解方程:(x﹣1)﹣(x+5)=﹣;(C类)解方程:.考点:解一元一次方程.专题:计算题.分析:通过去分母、去括号、移项、系数化为1等方法,求得各方程的解.解答:解:A类:5x﹣2=7x+8移项:5x﹣7x=8+2化简:﹣2x=10即:x=﹣5;B类:(x﹣1)﹣(x+5)=﹣去括号:x﹣﹣x﹣5=﹣化简:x=5即:x=﹣;C类:﹣=1去分母:3(4﹣x)﹣2(2x+1)=6去括号:12﹣3x﹣4x﹣2=6化简:﹣7x=﹣4即:x=.点评:本题主要考查一元一次方程的解法,比较简单,但要细心运算.16.解方程(1)3(x+6)=9﹣5(1﹣2x)(2)(3)(4)考点:解一元一次方程.专题:计算题.分析:(1)去括号以后,移项,合并同类项,系数化为1即可求解;(2)(3)首先去掉分母,再去括号以后,移项,合并同类项,系数化为1以后即可求解;(4)首先根据分数的基本性质,把第一项分母中的0.3化为整数,再去分母,求解.解答:解:(1)去括号得:3x+18=9﹣5+10x 移项得:3x﹣10x=9﹣5﹣18合并同类项得:﹣7x=﹣14则x=2;(2)去分母得:2x+1=x+3﹣5移项,合并同类项得:x=﹣3;(3)去分母得:10y+2(y+2)=20﹣5(y﹣1)去括号得:10y+2y+4=20﹣5y+5移项,合并同类项得:17y=21系数化为1得:;(4)原方程可以变形为:﹣5x=﹣1去分母得:17+20x﹣15x=﹣3移项,合并同类项得:5x=﹣20系数化为1得:x=﹣4.解方程的过程中要注意每步的依据,这几个题目都是基础的题目,需要熟练掌握.点评:17.解方程:(1)解方程:4x﹣3(5﹣x)=13(2)解方程:x﹣﹣3考点:解一元一次方程.专题:计算题.分析:(1)先去括号,再移项,化系数为1,从而得到方程的解.(2)这是一个带分母的方程,所以要先去分母,再去括号,最后移项,化系数为1,从而得到方程的解.解答:解:(1)去括号得:4x﹣15+3x=13,移项合并得:7x=28,系数化为1得:得x=4;(2)原式变形为x+3=,去分母得:5(2x﹣5)+3(x﹣2)=15(x+3),去括号得10x﹣25+3x﹣6=15x+45,移项合并得﹣2x=76,系数化为1得:x=﹣38.点评:本题考查解一元一次方程,解一元一次方程的一般步骤是:去分母、去括号、移项、合并同类项、化系数为1.注意移项要变号.18.(1)计算:﹣42×+|﹣2|3×(﹣)3(2)计算:﹣12﹣|0.5﹣|÷×[﹣2﹣(﹣3)2](3)解方程:4x﹣3(5﹣x)=2;(4)解方程:.考点:解一元一次方程;有理数的混合运算.分析:(1)利用平方和立方的定义进行计算.(2)按四则混合运算的顺序进行计算.(3)主要是去括号,移项合并.乘最小公倍数去分母,再求值.解答:解:(1)﹣42×+|﹣2|3×(﹣)3==﹣1﹣1=﹣2.(2)﹣12﹣|0.5﹣|÷×[﹣2﹣(﹣3)2]====.(3)解方程:4x﹣3(5﹣x)=2去括号,得4x﹣15+3x)=2移项,得4x+3x=2+15合并同类项,得7x=17系数化为1,得.(4)解方程:去分母,得15x﹣3(x﹣﹣3×15去括号,得15x﹣3x+6=10x﹣25﹣45移项,得15x﹣3x﹣10x=﹣25﹣45﹣6合并同类项,得2x=﹣76系数化为1,得x=﹣38.点评:前两道题考查了学生有理数的混合运算,后两道考查了学生解一元一次方程的能力.19.(1)计算:(1﹣2﹣4)×;(2)计算:÷;(3)解方程:3x+3=2x+7;(4)解方程:.考点:解一元一次方程;有理数的混合运算.专题:计算题.分析:(1)和(2)要熟练掌握有理数的混合运算;(3)和(4)首先熟悉解一元一次方程的步骤:去分母,去括号,移项,合并同类项,系数化为1.解答:解:(1)(1﹣2﹣4)×=﹣=﹣13;(2)原式=﹣1×(﹣4﹣2)×(﹣)=6×(﹣)=﹣9;(3)解方程:3x+3=2x+7移项,得3x﹣2x=7﹣3合并同类项,得x=4;(4)解方程:去分母,得6(x+15)=15﹣10(x﹣7)去括号,得6x+90=15﹣10x+70移项,得6x+10x=15+70﹣90合并同类项,得16x=﹣5系数化为1,得x=.点评:(1)和(2)要注意符号的处理;(4)要特别注意去分母的时候不要发生数字漏乘的现象,熟练掌握去括号法则以及合并同类项法则.20.解方程(1)﹣0.2(x﹣5)=1;(2).考点:解一元一次方程.分析:(1)通过去括号、移项、系数化为1等过程,求得x的值;(2)通过去分母以及去括号、移项、系数化为1等过程,求得x的值.解答:解:(1)﹣0.2(x﹣5)=1;去括号得:﹣0.2x+1=1,∴﹣0.2x=0,∴x=0;(2).去分母得:2(x﹣2)+6x=9(3x+5)﹣(1﹣2x),∴﹣21x=48,∴x=﹣.点评:此题主要考查了一元一次方程解法,解一元一次方程常见的过程有去括号、移项、系数化为1等.21.解方程:(x+3)﹣2(x﹣1)=9﹣3x.考点:解一元一次方程.专题:计算题.分析:先去括号得x+3﹣2x+2=9﹣3x,然后移项、合并同类得到2x=4,然后把x的系数化为1即可.解答:解:去括号得x+3﹣2x+2=9﹣3x,移项得x﹣2x+3x=9﹣3﹣2,合并得2x=4,系数化为1得x=2.点评:本题考查了解一元一次方程:先去分母,再去括号,接着移项,把含未知数的项移到方程左边,不含未知数的项移到方程右边,然后合并同类项,最后把未知数的系数化为1得到原方程的解.22.8x﹣3=9+5x.5x+2(3x﹣7)=9﹣4(2+x)...考点:解一元一次方程.专题:方程思想.分析:本题是解4个不同的一元一次方程,第一个通过移项、合并同类项及系数化1求解.第二个先去括号再通过移项、合并同类项及系数化1求解.第三个先去分母再同第二个.第四个先分子分母乘以10,再同第三个求解.解答:8x﹣3=9+5x,解:8x﹣5x=9+3,3x=12,∴x=4.∴x=4是原方程的解;5x+2(3x﹣7)=9﹣4(2+x),解:5x+6x﹣14=9﹣8﹣4x,5x+6x+4x=9﹣8+14,15x=15,∴x=1.∴x=1是原方程的解..解:3(x﹣1)﹣2(2x+1)=12,3x﹣3﹣4x﹣2=12,3x﹣4x=12+3+2,﹣x=17,∴x=﹣17.∴x=﹣17是原方程的解.,解:,5(10x﹣3)=4(10x+1)+40,50x﹣15=40x+4+40,50x﹣40x=4+40+15,10x=59,∴x=.∴x=是原方程的解.点评:此题考查的知识点是解一元一次方程,关键是注意解方程时的每一步都要认真仔细,如移项时要变符号.23.解下列方程:(1)0.5x﹣0.7=5.2﹣1.3(x﹣1);(2)=﹣2.考点:解一元一次方程.分析:(1)首先去括号,然后移项、合并同类项,系数化成1,即可求解;(2)首先去分母,然后去括号,移项、合并同类项,系数化成1,即可求解解答:解:(1)去括号,得:0.5x﹣0.7=5.2﹣1.3x+1.3移项,得:0.5x+1.3x=5.2+1.3+0.7合并同类项,得:1.8x=7.2,则x=4;(2)去分母得:7(1﹣2x)=3(3x+1)﹣42,去括号,得:7﹣14x=9x+3﹣42,移项,得:﹣14x﹣9x=3﹣42﹣7,合并同类项,得:﹣23x=﹣46,则x=2.点评:本题考查解一元一次方程,解一元一次方程的一般步骤是:去分母、去括号、移项、合并同类项、化系数为1.注意移项要变号.24.解方程:(1)﹣0.5+3x=10;(2)3x+8=2x+6;(3)2x+3(x+1)=5﹣4(x﹣1);(4).考点:解一元一次方程.分析:(1)移项,合并同类项,然后系数化成1即可求解;(2)移项,合并同类项,然后系数化成1即可求解;(3)去括号、移项,合并同类项,然后系数化成1即可求解;(4)首先去分母,然后去括号、移项,合并同类项,然后系数化成1即可求解.解答:解:(1)3x=10.5,x=3.5;(2)3x﹣2x=6﹣8,x=﹣2;(3)2x+3x+3=5﹣4x+4,2x+3x+4x=5+4﹣3,9x=6,x=;(4)2(x+1)+6=3(3x﹣2),2x+2+6=9x﹣6,2x﹣9x=﹣6﹣2﹣6,﹣7x=﹣14,x=2.点评:本题考查解一元一次方程,解一元一次方程的一般步骤是:去分母、去括号、移项、合并同类项、化系数为1.注意移项要变号.25.解方程:.考点:解一元一次方程.专题:计算题.分析:方程两边乘以10去分母后,去括号,移项合并,将x系数化为1,即可求出解.解答:解:去分母得:5(3x﹣1)﹣2(5x﹣6)=2,去括号得:15x﹣5﹣10x+12=2,移项合并得:5x=﹣5,解得:x=﹣1.点评:此题考查了解一元一次方程,其步骤为:去分母,去括号,移项合并,将未知数系数化为1,求出解.26.解方程:(1)10x﹣12=5x+15;(2)考点:解一元一次方程.专题:计算题.分析:(1)先移项,再合并同类项,最后化系数为1,从而得到方程的解;(2)先去括号,再移项、合并同类项,最后化系数为1,从而得到方程的解.解答:解:(1)移项,得10x﹣5x=12+15,合并同类项,得5x=27,方程的两边同时除以5,得x=;(2)去括号,得=,方程的两边同时乘以6,得x+1=4x﹣2,移项、合并同类项,得3x=3,方程的两边同时除以3,得x=1.点评:本题考查解一元一次方程,解一元一次方程的一般步骤:去分母、去括号、移项、合并同类项、化系数为1.注意移项要变号.27.解方程:(1)8y﹣3(3y+2)=7(2).考点:解一元一次方程.专题:计算题.分析:(1)根据一元一次方程的解法,去括号,移项,合并同类项,系数化为1即可得解;(2)这是一个带分母的方程,所以要先去分母,再去括号,最后移项,合并同类项,系数化为1,从而得到方程的解.解答:解:(1)去括号得,8y﹣9y﹣6=7,移项、合并得,﹣y=13,系数化为1得,y=﹣13;(2)去分母得,3(3x﹣1)﹣12=2(5x﹣7),去括号得,9x﹣3﹣12=10x﹣14,移项得,9x﹣10x=﹣14+3+12,合并同类项得,﹣x=1,系数化为1得,x=﹣1.点评:本题主要考查了解一元一次方程,注意在去分母时,方程两端同乘各分母的最小公倍数时,不要漏乘没有分母的项,同时要把分子(如果是一个多项式)作为一个整体加上括号.28.当k 为什么数时,式子比的值少3.考点:解一元一次方程.专题:计算题.分析:先根据题意列出方程,再根据一元一次方程的解法,去分母,去括号,移项,合并同类项,系数化为1即可得解.解答:解:依题意,得=+3,去分母得,5(2k+1)=3(17﹣k)+45,去括号得,10k+5=51﹣3k+45,移项得,10k+3k=51+45﹣5,合并同类项得,13k=91,系数化为1得,k=7,∴当k=7时,式子比的值少3.点评:本题主要考查了解一元一次方程,注意在去分母时,方程两端同乘各分母的最小公倍数时,不要漏乘没有分母的项,同时要把分子(如果是一个多项式)作为一个整体加上括号.29.解下列方程:(I)12y﹣2.5y=7.5y+5(II ).考点:解一元一次方程.专题:计算题.分析:(Ⅰ)根据一元一次方程的解法,移项,合并同类项,系数化为1即可得解;(Ⅱ)是一个带分母的方程,所以要先去分母,再去括号,最后移项,合并同类项,系数化为1,从而得到方程的解.解答:解:(Ⅰ)移项得,12y﹣2.5y﹣7.5y=5,合并同类项得,2y=5,系数化为1得,y=2.5;(Ⅱ)去分母得,5(x+1)﹣10=(3x﹣2)﹣2(2x+3),去括号得,5x+5﹣10=3x﹣2﹣4x﹣6,移项得,5x﹣3x+4x=﹣2﹣6﹣5+10,合并同类项得,6x=﹣3,系数化为1得,x=﹣.点评:本题主要考查了解一元一次方程,注意在去分母时,方程两端同乘各分母的最小公倍数时,不要漏乘没有分母的项,同时要把分子(如果是一个多项式)作为一个整体加上括号.30.解方程:.考点:解一元一次方程.专题:计算题.分析:由于方程的分子、分母均有小数,利用分数的基本性质,分子、分母同时扩大相同的倍数,可将小数化成整数.解答:解:原方程变形为,(3分)去分母,得3×(30x﹣11)﹣4×(40x﹣2)=2×(16﹣70x),(4分)去括号,得90x﹣33﹣160x+8=32﹣140x,(5分)移项,得90x﹣160x+140x=32+33﹣8,(6分)合并同类项,得70x=57,(7分)系数化为1,得.(8分)点评:本题考查一元一次方程的解法.解一元一次方程的一般步骤:去分母,去括号,移项,合并同类项,系数化为1.本题的难点在于方程的分子、分母均有小数,将小数化成整数不同于去分母,不是方程两边同乘一个数,而是将分子、分母同乘一个数.。
一、初一数学一元一次方程解答题压轴题精选(难)1.下列图表是2017 年某校从参加中考体育测试的九年级学生中随机调查的10 名男生跑1000 米和 10 名女生跑 800米的成绩.(1)按规定,女生跑 800 米的时间不超过 3'24"就可以得满分.该校九年级学生有 490 人,男生比女生少 70 人.请你根据上面成绩,估计该校女生中有多少人该项测试成绩得满分? (2)假如男生 1 号和男生 10 号被分在同组测试,请分析他俩在 400 米的环形跑道测试的过程中能否相遇。
若能,求出发多长时间才能相遇;若不能,说明理由.【答案】(1)解:设男生有x人,女生有(x+70)人,由题意得:x+x+70=490,解得:x=210,则女生x+70=210+70=280(人).故女生得满分人数: (人)(2)解:不能;假设经过x分钟后,1号与10号在1000米跑中能首次相遇,根据题意得:解得又∵∴考生1号与10号不能相遇。
【解析】【分析】(1)通过男生、女生的人数关系列出方程,得出女生的人数;(2)根据题意表达出1号跟10号的速度,两位若相遇,相减的路程为400米,得出的时间为4.8, 但是4.8分钟大于3分钟,所以两位在测试过程中不会相遇。
2.你知道为什么任何无限循环小数都可以写成分数形式吗?下面的解答过程会告诉你原因和方法.(1)阅读下列材料:问题:利用一元一次方程将化成分数.设.由,可知,即.(请你体会将方程两边都乘以10起到的作用)可解得,即.填空:将写成分数形式为________ .(2)请仿照上述方法把小数化成分数,要求写出利用一元一次方程进行解答的过程.【答案】(1)(2)解:设 =m,方程两边都乘以100,可得100× =100x由=0.7373…,可知100× =73.7373…=73+0.73即73+x=100x可解得x= ,即 =【解析】【分析】解:(1)设0.4˙=x,则4+x=10x,∴x= .故答案是:;(2)理解该材料的关键在于:将循环小数扩大的倍数在于循环小数的循环节,释放一个循环节后,循环小数的大小仍不变.3.如图1,O为直线AB上一点,过点O作射线OC,∠AOC=30°,将一直角三角板(∠M=30°)的直角顶点放在点O处,一边ON在射线OA上,另一边OM与OC都在直线AB的上方.(1)将图1中的三角板绕点O以每秒3°的速度沿顺时针方向旋转一周.如图2,经过t秒后,OM恰好平分∠BOC.①求t的值;②此时ON是否平分∠AOC?请说明理由;(2)在(1)问的基础上,若三角板在转动的同时,射线OC也绕O点以每秒6°的速度沿顺时针方向旋转一周,如图3,那么经过多长时间OC平分∠MON?请说明理由;(3)在(2)问的基础上,经过多长时间OC平分∠MOB?请画图并说明理由.【答案】(1)解:①∵∠AON+∠BOM=90°,∠COM=∠MOB,∵∠AOC=30°,∴∠BOC=2∠COM=150°,∴∠COM=75°,∴∠CON=15°,∴∠AON=∠AOC﹣∠CON=30°﹣15°=15°,解得:t=15°÷3°=5秒;②是,理由如下:∵∠CON=15°,∠AON=15°,∴ON平分∠AOC(2)解:15秒时OC平分∠MON,理由如下:∵∠AON+∠BOM=90°,∠CON=∠COM,∵∠MON=90°,∴∠CON=∠COM=45°,∵三角板绕点O以每秒3°的速度,射线OC也绕O点以每秒6°的速度旋转,设∠AON为3t,∠AOC为30°+6t,∵∠AOC﹣∠AON=45°,可得:6t﹣3t=15°,解得:t=5秒(3)解:OC平分∠MOB∵∠AON+∠BOM=90°,∠BOC=∠COM,∵三角板绕点O以每秒3°的速度,射线OC也绕O点以每秒6°的速度旋转,设∠AON为3t,∠AOC为30°+6t,∴∠COM为(90°﹣3t),∵∠BOM+∠AON=90°,可得:180°﹣(30°+6t)= (90°﹣3t),解得:t=23.3秒;如图:【解析】【分析】(1)①根据∠AON+∠BOM=90°,∠COM=∠MOB,及平角的定义∠BOC=2∠COM=150°,故∠COM=75°,根据角的和差得出∠CON=15°从而得到AON=∠AOC ﹣∠CON=30°﹣15°=15°,根据旋转的速度,就可以算出t的值了;②根据∠CON=15°,∠AON=15°,即可得出ON平分∠AOC ;(2)15秒时OC平分∠MON,理由如下:∠AON+∠BOM=90°,∠CON=∠COM,从而得出∠CON=∠COM=45°,又三角板绕点O以每秒3°的速度,射线OC也绕O点以每秒6°的速度旋转,设∠AON为3t,∠AOC为30°+6t,根据∠AOC﹣∠AON=45°得出含t的方程,求解得出t的值;(3)根据∠AON+∠BOM=90°,∠BOC=∠COM,及三角板绕点O以每秒3°的速度,射线OC也绕O点以每秒6°的速度旋转,故设∠AON为3t,∠AOC为30°+6t,从而得到∠COM为(90°﹣3t),又∠BOM+∠AON=90°,从而得出含t的方程,就能解出t的值。
一、初一数学一元一次方程解答题压轴题精选(难)1.如图,数轴上 A、B 两点所对应的数分别是 a 和 b,且(a+5)2+|b﹣7|=0.(1)求 a,b;A、B 两点之间的距离.(2)有一动点 P 从点 A 出发第一次向左运动 1 个单位长度,然后在新的位置第二次运动,向右运动2个单位长度,在此位置第三次运动,向左运动3个单位长度…按照如此规律不断地左右运动,当运动到 2019次时,求点P所对应的数.(3)在(2)的条件下,点P在某次运动时恰好到达某一个位置,使点P到点B的距离是点 P 到点 A 的距离的3倍?请直接写出此时点 P所对应的数,并分别写出是第几次运动.【答案】(1)解:∵(a+5)2+|b﹣7|=0,∴a+5=0,b﹣7=0,∴a=﹣5,b=7;∴A、B两点之间的距离=|﹣5|+7=12;(2)解:设向左运动记为负数,向右运动记为正数,依题意得:﹣5﹣1+2﹣3+4﹣5+6﹣7+…+2018﹣2019=﹣5+1009﹣2019=﹣1015.答:点P所对应的数为﹣1015(3)解:设点P对应的有理数的值为x,①当点P在点A的左侧时:PA=﹣5﹣x,PB=7﹣x,依题意得:7﹣x=3(﹣5﹣x),解得:x=﹣11;②当点P在点A和点B之间时:PA=x﹣(﹣5)=x+5,PB=7﹣x,依题意得:7﹣x=3(x+5),解得:x=﹣2;③当点P在点B的右侧时:PA=x﹣(﹣5)=x+5,PB=x﹣7,依题意得:x﹣7=3(x+5),解得:x=﹣11,这与点P在点B的右侧(即 x>7)矛盾,故舍去.综上所述,点P所对应的有理数分别是﹣11和﹣2.所以﹣11和﹣2分别是点P运动了第11次和第6次到达的位置.【解析】【分析】(1)由绝对值和平方的非负性可得a与b的值,相减得两点间的距离。
(2)设向左运动记为负数,向右运动记为正数,并在-5的基础上把得到的数据相加即可。
(3)设点P对应的有理数的值为x,分别表示PA和PB的长,列方程求解即可。
一元一次方程章末综合测试题(培优卷)考试时间:120分钟满分:120分一、选择题(共20小题)1.若关于x 的方程230m mx m --+=是一元一次方程,则这个方程的解是( )A .0x =B .3x =C .3x =-D .2x =2.下列方程的解为1x =-的是( )A .1202x += B .550x += C .312x x -= D .122x =- 3.已知关于x 的方程35x x a -=+的解是2x =,则a 的值等于( )A .2-B .1-C .2D .1 4.方程31x a +=-的解是13x =,则a 的值是( )A .3B .2-C .1-D .0 5.方程3112x x +-=变形正确的是( ) A .312x x +-= B .3121x x +-= C .3112x x +-= D .3122x x +-=6.我国明代数学读本《算法统宗》中有一道题,其题意为:客人一起分银子,若每人6两,还剩3两;若每人8两,还差4两.问银子共有几两?设银子共有x 两,则可列方程为( )A .6384x x +=-B .6384x x -=+C .3468x x -+=D .3468x x +-= 7.《孙子算经》中有道“共车”问题,其大致意思是:今有若干人乘车,每4人乘一车,恰好剩余1辆车无人坐;若每2人共乘一车,最终剩余8人无车可乘,问有多少人,多少辆车?如果设有x 辆车,那么可列方程为( )A .4(1)28x x -=+B .4(1)28x x +=+C .4(1)28x x +=-D .4(1)2(1)8x x -=++8.若2x =是方程250x a +-=的解,则a 的值是( )A .1B .1-C .9D .9-9.若2x =是关于x 的一元一次方程3mx n +=的解,则代数式632m n +-的值是( )A .2B .3C .7D .910.我国古代《孙子算经》卷中记载“多人共车”问题,其原文如下:今有三人共车,二车空,二人共车,九人步,问人与车各几何?其大意为:若3个人乘一辆车,则空2辆车;若2个人乘一辆车,则有9个人要步行,问人与车数各是多少?若设有x 个人,则可列方程是( )A .3(2)29x x +=-B .3(2)29x x +=+C .9232x x -+=D .9232x x --= 11.若a ,b ,c 为互不相等的实数,且6177a c b +=,则下列结论正确的是( )A .6()a c b a -=-B .7()a b a c -=-C .6()a b b c -=-D .7()a c a b -=- 12.在解关于x 的方程2235x x a ++=-时,小颖在去分母的过程中,右边的“2-”漏乘了公分母15,因而求得方程的解为4x =,则方程正确的解是( )A .10x =-B .16x =C .203x =D .4x =13.根据图中两人的对话,小南买平板电脑的预算是( )A .3800元B .4800元C .5800元D .6800元14.欧拉是18世纪瑞士著名的数学大师,在他所著的《代数学入门》一书中,有这样一个问题:父亲死后,四个儿子按下述方式分了他的财产:老大拿了财产的一半少3000英镑,老二拿了财产的13少1000英镑;老三拿了恰好是财产的14;老四拿了财产的15加上600英镑.问整个财产有多少?每个儿子分了多少?根据题意下列叙述正确的是( )A .老大分了1000英镑B .老二分了2000英镑C .老三分了3000英镑D .老四分了4000英镑 15.下列方程变形中,正确的是( )A .由34x =-,系数化为1得34x =-B .由52x =-,移项得52x =-C .由123168x x -+-=,去分母得4(1)3(23)1x x --+=D .由3(24)5x x --=,去括号得3425x x +-=16.解方程262x x --=,去分母后所得到的正确的方程是( ) A .622x x --= B .1222x x --= C .1222x x -+= D .122(2)2x x --=17.某机械厂加工车间有33名工人,平均每名工人每天加工大齿轮5个或小齿轮15个.已知2个大齿轮和3个小齿轮配成一套,问分别安排多少名工人加工大,小齿轮,才能刚好配套?若设加工大齿轮的工人有x 名,则可列方程是( )A .25(33)315x x ⨯-=⨯B .25315(33)x x ⨯=⨯-C .35215(33)x x ⨯=⨯-D .35(33)215x x ⨯-=⨯18.中国古代入们很早就在生产生活中发现了许多有趣的数学问题,其中《孙子算经》中有个问题:今有三人共车,二车空;二人共车,九人步,问人与车各几何?这道题的意思是今有若干人乘车,若每3人共乘1车,最终剩余2辆车;若每2人共乘1车,最终剩余9个人无车可乘,问有多少人,多少辆车?若设有x 人,则可列方程为( )A .9232xx -+= B .3(2)29x x -=+ C .9232xx +-= D .3(2)29x x +=-19.表中给出的是某月的月历,任意选取“H ”型框中的7个数(如阴影部分所示),请你运用所学的数学知识来研究,发现这7个数的和不可能是( )A .63B .84C .96D .10520.若代数式2x ﹣3与+3的值相等,则x 的值为( )A .4B .9C .3D .0二、填空题(共10小题)21.已知方程210a x -+=是关于x 的一元一次方程,则a 的值是 .22.根据图中父女两人的微信聊天记录,可知父亲购买无人机的预算为 元.23.把1~9这九个数填入33⨯方格中,使其任意一行,任意一列及任意一条对角线上的数之和都相等,这样便构成了一个“九宫格”,它源于我国古代的“洛书”(图1),是世界上最早的“幻方”.图2是仅可以看到部分数值的“九宫格”,则“x ”的值为 .24.整理一批图书,由一个人做要40小时完成,现在计划由一部分人先做6小,假设每个人的工作时,再增加2人和他们一起做8小时,完成这项工作的34效率相同,则具体先安排人工作.25.如图,矩形ABCD中,8AB=cm,12BC=cm,动点P从点A出发沿cm秒;点Q从点C出发沿C B A D C----运动,A B C D A----运动,速度是2 /速度是4 /cm秒,设它们的运动时间为t秒.(1)当1t=时,连接PQ,PQ=cm;(2)若P、Q两点第一次相遇时,t=秒;第n次相遇时,t=秒.26.把1~9这9个数填入33⨯方格中,使其任意一行,任意一列及两条对角线上的数之和都相等,这样便构成了一个“九宫格”.它源于我国古代的“洛书”,是世界上最早的“幻方”.如图是仅可以看到部分数值的“九宫格”,则其中x y-的值为.27.某校七年级在元旦节举行了“速算大赛”,用签字笔、钢笔、圆规三种文具用品混装成甲、乙、丙三种奖品礼包,其中甲种奖品礼包包含10支签字笔、5支钢笔;乙种奖品礼包包含2支签字笔,6支钢笔,4个圆规;丙种奖品礼包包含4支签字笔,8个圆规.购买每个礼包的费用等于礼包内各文具用品的费用之和;已知两包乙奖品礼包比一包丙奖品礼包贵240元.学校采购员小李在1月1日当天,去文具店购买这三种文具用品发现,该文具店对签字笔、钢笔、圆规的售价分别打5折、7折、8折销售;1月2号恢复原价,小李发现1月1日一个乙礼包的售价比1月2日一个丙礼包售价便宜12元,若签字笔、钢笔、圆规三种文具用品的原价都是正整数,且签字笔的单价不超过10元,若小李在1月1日购买一个甲礼包和一个乙礼包,应该付元.28.如表是某市居民出行方式以及收费标准:(不足1千米按1千米算)假设乘坐8千米,耗时:8406012+-⨯=元;÷⨯=分钟;出租车收费:8(83) 2.420滴滴快车收费:8 1.4120.618.4⨯+⨯=元.为了提升市场竞争力,出租车公司推出行驶里程超过10千米立减4.8元活动.小聪乘坐出租车从甲地到达乙地支付车费22.4元,若改乘滴滴快车从甲地到乙地,则需支付元.29.中百超市推出如下优惠方案:①一次性购物不超过100元,不享受优惠;②一次性购物超过100元,但不超过300元一律9折;③一次性购物超过300元一律8折.某人第一次购物付款80元、第二次购物付款252元,那么(1)第一次购物的原价是元;(2)第二次购物的原价可能是元;(3)如果他将这两次所购商品一次性购买,则应付款元.30.某医院10月8日上午派遣了甲、乙两支核酸检测队伍,分别前往两个不同的学校为全校师生做核酸检测,已知每个医务人员的检测速度相同,甲队伍医务人员的人数是乙队伍的4倍,两队伍检测时长相同,下午两支队伍又分别前往两个社区做核酸检测,甲队伍检测人员不变,每个医务人员的检测速度增加了15,乙队伍检测人员和每个医务人员的检测速度都不变,两个队伍需检测的人数都增加,且甲队伍增加的人数是乙队伍增加的人数的4倍,甲、乙两支队伍下午的检测时间之比为 .三、解答题(共8小题)31.解方程:(1)2(2)37x x -=-;(2)123126x x -+-=. 32.解下列方程:(1)23(1)5(1)x x x --=-;(2)34153x x ---=. 33.解方程:212143x x -+=-. 34.排列成长为400米的一队新兵队伍步行去某地进行军事训练,队长走在队伍头,整个队伍步行的速度是150米/分.当队伍头走到的途中的A 地时,队长命令他身旁的通讯员甲以250米/分的速度急行军沿队伍从队伍头至队伍尾检查队伍步行的纪律,同时要求通讯员甲到达队伍尾后以原急行军的速度沿队伍从队伍尾返回队伍头.(1)通讯员甲沿队伍从队伍头至队伍尾后又从队伍尾返回队伍头共需要几分钟?(2)若通讯员甲返回队伍头把队伍步行的纪律情况向队长汇报完后,队长又命令身旁的通讯员乙以250米/分的速度急行军沿队伍从队伍头至队伍尾传达上级的一项命令.当通讯员乙到达队伍尾准备立即返回队伍头时,整个队伍步行的速度立即提升了%a ,于是通讯员乙返回队伍头的速度也在他原来急行军的速度的基础上立即提升了17%15a ,若通讯员乙沿队伍从队伍头至队伍尾后又从队伍尾返回队伍头所需要的时间、比通讯员甲沿队伍从队伍头至队伍尾后又从队伍尾返回队伍头所需要几分钟少了20%,求a 的值.35.我国航天事业的飞速发展引发了航空航天纪念品的热销,某商店准备购进甲、乙两类关于航空航天的纪念品进行销售.已知甲类纪念品的进价为m元/件,乙类纪念品的进价比甲类的进价多5元/件.若每件甲类纪念品的售价是在其进价的基础上提高了60%,每件乙类纪念品的售价是在其进价的基础上提高了40%,根据上述条件,回答下面问题:(1)请用含有m的代数式填写表:(2)该商店分别购进甲类纪念品100件,乙类纪念品80件.两类纪念品全部售出后所得的总利润为1080元,问每件甲、乙两类纪念品进价分别多少元?36.某商店购进甲、乙两种型号的节能灯共100只,购进100只节能灯的进货款恰好为2600元,达两种节能灯的进价、预售价如表:(利润=售价-进价)(1)求该商店购进甲、乙两种型号的节能灯各多少只?(2)在实际销售过程中,商店按预售价将购进的全部甲型号节能灯和部分乙型号节能灯售出后,决定将剩下的乙型号节能灯打九折销售,两种节能灯全部售完后,共获得利润380元,求乙型号节能灯按预售价售出了多少只.37.如下表,方程①、方程②、方程③、方程④⋯是按照一定规律排列的一列方程:(1)将上表补充完整;(2)按上述方程所包含的某种规律写出方程⑤及其解;(3)写出表内这列方程中的第(n n为正整数)个方程和它的解.38.杨先生准备购买一套小户型商品房,他在了解A、B两楼盘的过程中,均有钟意的商品房.从A楼盘获取的信息①购房单价为3万元2/m;②购房优惠方案为:可免费赠送书房面积(注:赠送面积不需要付钱);③杨先生钟意的A楼盘商品房平面图如图所示:从B楼盘获取的信息①购房单价为3万元2/m;②购房优惠方案如下;③杨先生在B楼盘钟意的一套商品房,享受优惠后的价格为214万元.(1)根据A楼盘商品房平面图,过道的长度为m(用含有x的式子表示);(2)若A楼盘杨先生钟意的商品房总面积为273m,请求出书房宽x的值,并计算若杨先生购买该商品房,应付多少钱?(3)在(2)的基础上杨先生打算从A、B楼盘里选择每平方米实付单价最低的商品房(每平方米实付单价=优惠后总价格商品房总面积单位:元2/)m,请你帮杨先生算一算,他应该选择哪个楼盘所钟意的商品房?(结果保留3位小数)。
一、初一数学一元一次方程解答题压轴题精选(难)1.下列图表是2017 年某校从参加中考体育测试的九年级学生中随机调查的10 名男生跑1000 米和 10 名女生跑 800米的成绩.(1)按规定,女生跑 800 米的时间不超过 3'24"就可以得满分.该校九年级学生有 490 人,男生比女生少 70 人.请你根据上面成绩,估计该校女生中有多少人该项测试成绩得满分? (2)假如男生 1 号和男生 10 号被分在同组测试,请分析他俩在 400 米的环形跑道测试的过程中能否相遇。
若能,求出发多长时间才能相遇;若不能,说明理由.【答案】(1)解:设男生有x人,女生有(x+70)人,由题意得:x+x+70=490,解得:x=210,则女生x+70=210+70=280(人).故女生得满分人数: (人)(2)解:不能;假设经过x分钟后,1号与10号在1000米跑中能首次相遇,根据题意得:解得又∵∴考生1号与10号不能相遇。
【解析】【分析】(1)通过男生、女生的人数关系列出方程,得出女生的人数;(2)根据题意表达出1号跟10号的速度,两位若相遇,相减的路程为400米,得出的时间为4.8, 但是4.8分钟大于3分钟,所以两位在测试过程中不会相遇。
2.某手机经销商购进甲,乙两种品牌手机共 100 部.(1)已知甲种手机每部进价1500 元,售价2000 元;乙种手机每部进价3500 元,售价4500 元;采购这两种手机恰好用了 27 万元 .把这两种手机全部售完后,经销商共获利多少元?(2)已经购进甲,乙两种手机各一部共用了5000 元,经销商把甲种手机加价50%作为标价,乙种手机加价 40%作为标价.从 A,B 两种中任选一题作答:A:在实际出售时,若同时购买甲,乙手机各一部打九折销售,此时经销商可获利1570 元.求甲,乙两种手机每部的进价.B:经销商采购甲种手机的数量是乙种手机数量的 1.5 倍.由于性能良好,因此在按标价进行销售的情况下,乙种手机很快售完,接着甲种手机的最后10 部按标价的八折全部售完.在这次销售中,经销商获得的利润率为 42.5%.求甲,乙两种手机每部的进价.【答案】(1)解:设购进甲种手机部,乙种手机部,根据题意,得解得:元.答:销商共获利元.(2)解:A: 设每部甲种手机的进价为元,每部乙种手机的进价元,根据题意,得解得:答:求甲,乙两种手机每部的进价分别为:3000元,2000元.B:乙种手机:部,甲种手机部,设每部甲种手机的进价为元,每部乙种手机的进价元,根据题意,得解得:答:求甲,乙两种手机每部的进价分别为:2000元,3000元.【解析】【分析】(1)甲的单价乘以部数加上乙的单价乘以部数等于总数,根据题意列出,然后解方程得到结果。
一元一次方程应用题测试卷姓名____________得分____________1、某数的7倍减去5等于这个数的5倍加上3,设某数为x ,根据题意所列方程是________________.2、若4:3:=ba ,6:7:=cb ,则=c b a ::________________.3、ABC ∆中,,3:2:1::=∠∠∠C B A 那么A ∠的度数是_______,B ∠的的度数是_______,C ∠的的度数是_______.4、某商品的成本价为a 元,现按成本价加七成作为售价,则售价为________________元.5、小王在银行存了1000元,存期5年,年利率为10.8%,到期后可得利息____________元,如果扣除20%的利息税,小王实得本利和是________________元.6、一项工程,甲单独做需要60天,乙单独需要120天,现在两人合作一天可以完成工程的_______________,现在要完成工程的52,需要_______________天.7、一件工作,甲单独做9天完成,甲乙合作需要6天,如果由乙单独做需要_________天可以完成8、船在航海中的问题,船顺水的速度=船在静水中的速度+______________;船逆水的速度=______________-水速.已知船在顺水中的速度是20千米/时,在静水中的速度是18千米/时,那么船在逆水中的速度是______________千米/时.9、甲乙两地相距400千米,一列.慢车从甲站开出每小时32千米,一列快车从乙站开出每小时行48千米,1)两车同时开出相向而行,x 小时后两车相遇,列出方程为______________.2)两车同时开出同向而行,快车在慢车后面,x 小时后快车追上慢车,列出方程为______________.3)两车相背而行,x 小时后相距660千米,列出方程为______________.10、一个两位数,十位数字是个位数字的3倍,如果把这个两位数的十位数字与个位数字对调,得到新两位数比原来的两位数小18,则原来的两位数是______________.11、在同一段路上,某人上坡的速度是a ,下拨速度是b ,那么他的平均速度是______________. 12、解方程33121xx x +-=--; 13、解方程)62.0(5)53.0(2-=+x x ;14、解方程%905%704x x -=- ; 15、解方程1255.09.04.0+-=+x x ;16、已知关于x 的方程a a x =+-5)2(2的根是2-,求a 的值.17、甲、乙、丙三个数的比是5:8:12,甲乙两数之和减去丙数所得的差等于7,求这三个数.18、一份文件,甲打字员单独工作需4小时完成,乙打字员单独工作需8小时,由甲先工作1小时后,甲乙共同完成余下的工作,完成这份工作甲一共工作了几小时?19、汽车以每小时40千米的速度从甲地开往乙地,行3小时后,速度每小时减慢了10千米,因此比预定时间迟到1小时,求甲乙两地的距离?20、为了加强公民的节水意识,合理利用水资源,某市采用价格调控手段达到节水的目的。
6.2.4解一元一次方程(三)一.解答题(共30小题)1.(2005•宁德)解方程:2x+1=72.3.(1)解方程:4﹣x=3(2﹣x);(2)解方程:.4.解方程:.5.解方程(1)4(x﹣1)﹣3(20﹣x)=5(x﹣2);(2)x ﹣=2﹣.6.(1)解方程:3(x﹣1)=2x+3;(2)解方程:=x ﹣.7.﹣(1﹣2x)=(3x+1)8.解方程:(1)5(x﹣1)﹣2(x+1)=3(x﹣1)+x+1;(2).9.解方程:.10.解方程:(1)4x﹣3(4﹣x)=2;(2)(x﹣1)=2﹣(x+2).11.计算:(1)计算:(2)解方程:12.解方程:13.解方程:(1)(2)14.解方程:(1)5(2x+1)﹣2(2x﹣3)=6(2)+2(3)[3(x﹣)+]=5x﹣115.(A 类)解方程:5x﹣2=7x+8;(B类)解方程:(x﹣1)﹣(x+5)=﹣;(C类)解方程:.16.解方程(1)3(x+6)=9﹣5(1﹣2x)(2)(3)(4)17.解方程:(1)解方程:4x﹣3(5﹣x)=13(2)解方程:x﹣﹣318.(1)计算:﹣42×+|﹣2|3×(﹣)3(2)计算:﹣12﹣|0.5﹣|÷×[﹣2﹣(﹣3)2](3)解方程:4x﹣3(5﹣x)=2;(4)解方程:.19.(1)计算:(1﹣2﹣4)×;(2)计算:÷;(3)解方程:3x+3=2x+7;(4)解方程:.20.解方程(1)﹣0.2(x﹣5)=1;(2).21.解方程:(x+3)﹣2(x﹣1)=9﹣3x.22.8x﹣3=9+5x.5x+2(3x﹣7)=9﹣4(2+x)...23.解下列方程:(1)0.5x﹣0.7=5.2﹣1.3(x﹣1);(2)=﹣2.24.解方程:(1)﹣0.5+3x=10;(2)3x+8=2x+6;(3)2x+3(x+1)=5﹣4(x﹣1);(4).25.解方程:.26.解方程:(1)10x﹣12=5x+15;27.解方程:(1)8y﹣3(3y+2)=7(2).28.当k为什么数时,式子比的值少3.29.解下列方程:(I)12y﹣2.5y=7.5y+5(II).30.解方程:.6.2.4解一元一次方程(三)参考答案与试题解析一.解答题(共30小题)1.(2005•宁德)解方程:2x+1=7考点:解一元一次方程.专题:计算题;压轴题.分析:此题直接通过移项,合并同类项,系数化为1可求解.解答:解:原方程可化为:2x=7﹣1合并得:2x=6系数化为1得:x=32.考点:解一元一次方程.专题:计算题.分析:这是一个带分母的方程,所以要先去分母,再去括号,最后移项,化系数为1,从而得到方程的解.解答:解:左右同乘12可得:3[2x﹣(x﹣1)]=8(x﹣1),化简可得:3x+3=8x﹣8,移项可得:5x=11,解可得x=.故原方程的解为x=.点评:若是分式方程,先同分母,转化为整式方程后,再移项化简,解方程可得答案.3.(1)解方程:4﹣x=3(2﹣x);(2)解方程:.考点:解一元一次方程.专题:计算题.分析:(1)先去括号,然后再移项、合并同类型,最后化系数为1,得出方程的解;(2)题的方程中含有分数系数,应先对各式进行化简、整理,然后再按(1)的步骤求解.解答:解:(1)去括号得:4﹣x=6﹣3x,移项得:﹣x+3x=6﹣4,合并得:2x=2,系数化为1得:x=1.(2)去分母得:5(x﹣1)﹣2(x+1)=2,去括号得:5x﹣5﹣2x﹣2=2,移项得:5x﹣2x=2+5+2,合并得:3x=9,系数化1得:x=3.而达到分解难点的效果.(2)本题的另外一个重点是教会学生对于分数的分子、分母同时扩大或缩小若干倍,值不变.这一性质在今后常会用到.4.解方程:.考点:解一元一次方程.专题:计算题.分析:此题两边都含有分数,分母不相同,如果直接通分,有一定的难度,但将方程左右同时乘以公分母6,难度就会降低.解答:解:去分母得:3(2﹣x)﹣18=2x﹣(2x+3),去括号得:6﹣3x﹣18=﹣3,移项合并得:﹣3x=9,∴x=﹣3.点评:本题易在去分母和移项中出现错误,学生往往不知如何寻找公分母,怎样合并同类项,怎样化简,所以我们要教会学生分开进行,从而达到分解难点的效果.5.解方程(1)4(x﹣1)﹣3(20﹣x)=5(x﹣2);(2)x﹣=2﹣.考点:解一元一次方程.专题:计算题.分析:(1)先去括号,再移项、合并同类项、化系数为1,从而得到方程的解;(2)先去分母,再去括号,最后移项,化系数为1,从而得到方程的解.解答:解:(1)去括号得:4x﹣4﹣60+3x=5x﹣10(2分)移项得:4x+3x﹣5x=4+60﹣10(3分)合并得:2x=54(5分)系数化为1得:x=27;(6分)(2)去分母得:6x﹣3(x﹣1)=12﹣2(x+2)(2分)去括号得:6x﹣3x+3=12﹣2x﹣4(3分)移项得:6x﹣3x+2x=12﹣4﹣3(4分)合并得:5x=5(5分)系数化为1得:x=1.(6分)点评:去分母时,方程两端同乘各分母的最小公倍数时,不要漏乘没有分母的项,同时要把分子(如果是一个多项式)作为一个整体加上括号.去括号时要注意符号的变化.6.(1)解方程:3(x﹣1)=2x+3;(2)解方程:=x﹣.考点:解一元一次方程.专题:计算题.分析:(1)是简单的一元一次方程,通过移项,系数化为1即可得到;(2)是较为复杂的去分母,本题方程两边都含有分数系数,如果直接通分,有一定的难度,但对每一个式3x﹣2x=3+3x=6;(2)方程两边都乘以6得:x+3=6x﹣3(x﹣1)x+3=6x﹣3x+3x﹣6x+3x=3﹣3﹣2x=0∴x=0.点评:本题易在去分母、去括号和移项中出现错误,还可能会在解题前不知如何寻找公分母,怎样合并同类项,怎样化简,所以要学会分开进行,从而达到分解难点的效果.去分母时,方程两端同乘各分母的最小公倍数时,不要漏乘没有分母的项,同时要把分子(如果是一个多项式)作为一个整体加上括号.7.﹣(1﹣2x)=(3x+1)考点:解一元一次方程.专题:计算题.分析:这是一个带分母的方程,所以要先去分母,再去括号,最后移项,化系数为1,从而得到方程的解.解答:解:﹣7(1﹣2x)=3×2(3x+1)﹣7+14x=18x+6﹣4x=13x=﹣.点评:解一元一次方程的一般步骤是去分母、去括号、移项、合并同类项和系数化为1.此题去分母时,方程两端同乘各分母的最小公倍数时,不要漏乘没有分母的项,同时要把分子(如果是一个多项式)作为一个整体加上括号.8.解方程:(1)5(x﹣1)﹣2(x+1)=3(x﹣1)+x+1;(2).考点:解一元一次方程.专题:计算题.分析:(1)可采用去括号,移项,合并同类项,系数化1的方式进行;(2)本题方程两边都含有分数系数,如果直接通分,有一定的难度,但对每一个式子先进行化简、整理为整数形式,难度就会降低.解答:解:(1)5(x﹣1)﹣2(x+1)=3(x﹣1)+x+13x﹣7=4x﹣2∴x=﹣5;(2)原方程可化为:去分母得:40x+60=5(18﹣18x)﹣3(15﹣30x),去括号得:40x+60=90﹣90x﹣45+90x,移项、合并得:40x=﹣15,系数化为1得:x=.点评:(1)本题易在去分母、去括号和移项中出现错误,还可能会在解题前产生害怕心理.因为看到小数、分数(2)本题的另外一个重点是教会学生对于分数的分子、分母同时扩大或缩小若干倍,值不变.这一性质在今后常会用到.9.解方程:.考点:解一元一次方程.1184454专题:计算题.分析:这是一个带分母的方程,所以要先去分母,再去括号,最后移项,化系数为1,从而得到方程的解.解答:解:,去分母得:2x﹣(3x+1)=6﹣3(x﹣1),去括号得:2x﹣3x﹣1=6﹣3x+3,移项、合并同类项得:2x=10,系数化为1得:x=5.点评:去分母时,方程两端同乘各分母的最小公倍数时,不要漏乘没有分母的项,同时要把分子(如果是一个多项式)作为一个整体加上括号.10.解方程:(1)4x﹣3(4﹣x)=2;(2)(x﹣1)=2﹣(x+2).考点:解一元一次方程.专题:计算题.分析:(1)先去括号,再移项,合并同类项,系数化1,即可求出方程的解;(2)先去分母,再去括号,移项,合并同类项,系数化1可求出方程的解.解答:解:(1)4x﹣3(4﹣x)=2去括号,得4x ﹣12+3x=2移项,合并同类项7x=14系数化1,得x=2.(2)(x﹣1)=2﹣(x+2)去分母,得5(x﹣1)=20﹣2(x+2)去括号,得5x﹣5=20﹣2x﹣4移项、合并同类项,得7x=21系数化1,得x=3.点评:(1)此题主要是去括号,移项,合并同类项,系数化1.(2)方程两边每一项都要乘各分母的最小公倍数,方程两边每一项都要乘各分母的最小公倍数,切勿漏乘不含有分母的项,另外分数线有两层意义,一方面它是除号,另一方面它又代表着括号,所以在去分母时,应该将分子用括号括上.11.计算:(1)计算:(2)解方程:考点:解一元一次方程;有理数的混合运算.专题:计算题.分析:(1)根据有理数的混合运算法则计算:先算乘方、后算乘除、再算加减;(2)两边同时乘以最简公分母4,即可去掉分母.解答:解:(1)原式=,=,=.(2)去分母得:2(x﹣1)﹣(3x﹣1)=﹣4,解得:x=3.点评:解答此题要注意:(1)去分母时最好先去中括号、再去小括号,以减少去括号带来的符号变化次数;(2)去分母就是方程两边同时乘以分母的最简公分母.12.解方程:考点:解一元一次方程.专题:计算题.分析:(1)这是一个带分母的方程,所以要先去分母,再去括号,最后移项,化系数为1,从而得到方程的解.(2)解一元一次方程的一般步骤:去分母、去括号、移项、合并同类项、化系数为1.解答:解:(1)去分母得:3(3x﹣1)+18=1﹣5x,去括号得:9x﹣3+18=1﹣5x,移项、合并得:14x=﹣14,系数化为1得:x=﹣1;(2)去括号得:x﹣x+1=x,移项、合并同类项得:x=﹣1,系数化为1得:x=﹣.点评:本题考查解一元一次方程,正确掌握解一元一次方程的一般步骤,注意移项要变号、去分母时“1”也要乘以最小公倍数.13.解方程:(1)(2)分析:(1)去分母、去括号、移项、合并同类项、化系数为1.(2)去分母、去括号、移项、合并同类项、化系数为1.解答:(1)解:去分母得:5(3x+1)﹣2×10=3x﹣2﹣2(2x+3),去括号得:15x+5﹣20=3x﹣2﹣4x﹣6,移项得:15x+x=﹣8+15,合并得:16x=7,解得:;(2)解:,4(x﹣1)﹣18(x+1)=﹣36,4x﹣4﹣18x﹣18=﹣36,﹣14x=﹣14,x=1.点评:本题考查解一元一次方程,正确掌握解一元一次方程的一般步骤,注意移项要变号、去分母时“1”也要乘以最小公倍数.14.解方程:(1)5(2x+1)﹣2(2x﹣3)=6(2)+2(3)[3(x﹣)+]=5x﹣1考点:解一元一次方程.专题:计算题.分析:(2)通过去括号、移项、合并同类项、系数化为1,解得x的值;(3)乘最小公倍数去分母即可;(4)主要是去括号,也可以把分数转化成整数进行计算.解答:解:(1)去括号得:10x+5﹣4x+6=6移项、合并得:6x=﹣5,方程两边都除以6,得x=﹣;(2)去分母得:3(x﹣2)=2(4﹣3x)+24,去括号得:3x﹣6=8﹣6x+24,移项、合并得:9x=38,方程两边都除以9,得x=;(3)整理得:[3(x﹣)+]=5x﹣1,4x﹣2+1=5x﹣1,移项、合并得:x=0.点评:一元一次方程的解法:一般要通过去分母、去括号、移项、合并同类项、未知数的系数化为1等步骤,把一个一元一次方程“转化”成x=a的形式.解题时,要灵活运用这些步骤.15.(A类)解方程:5x﹣2=7x+8;(B类)解方程:(x﹣1)﹣(x+5)=﹣;(C类)解方程:.考点:解一元一次方程.专题:计算题.分析:通过去分母、去括号、移项、系数化为1等方法,求得各方程的解.解答:解:A类:5x﹣2=7x+8移项:5x﹣7x=8+2化简:﹣2x=10即:x=﹣5;B类:(x﹣1)﹣(x+5)=﹣去括号:x﹣﹣x﹣5=﹣化简:x=5即:x=﹣;C类:﹣=1去分母:3(4﹣x)﹣2(2x+1)=6去括号:12﹣3x﹣4x﹣2=6化简:﹣7x=﹣4即:x=.点评:本题主要考查一元一次方程的解法,比较简单,但要细心运算.16.解方程(1)3(x+6)=9﹣5(1﹣2x)(2)(3)(4)考点:解一元一次方程.专题:计算题.分析:(1)去括号以后,移项,合并同类项,系数化为1即可求解;(2)(3)首先去掉分母,再去括号以后,移项,合并同类项,系数化为1以后即可求解;(4)首先根据分数的基本性质,把第一项分母中的0.3化为整数,再去分母,求解.解答:解:(1)去括号得:3x+18=9﹣5+10x移项得:3x﹣10x=9﹣5﹣18合并同类项得:﹣7x=﹣14则x=2;(2)去分母得:2x+1=x+3﹣5移项,合并同类项得:x=﹣3;(3)去分母得:10y+2(y+2)=20﹣5(y﹣1)去括号得:10y+2y+4=20﹣5y+5移项,合并同类项得:17y=21系数化为1得:;(4)原方程可以变形为:﹣5x=﹣1去分母得:17+20x﹣15x=﹣3移项,合并同类项得:5x=﹣20系数化为1得:x=﹣4.点评:解方程的过程中要注意每步的依据,这几个题目都是基础的题目,需要熟练掌握.17.解方程:(1)解方程:4x﹣3(5﹣x)=13(2)解方程:x﹣﹣3考点:解一元一次方程.专题:计算题.分析:(1)先去括号,再移项,化系数为1,从而得到方程的解.(2)这是一个带分母的方程,所以要先去分母,再去括号,最后移项,化系数为1,从而得到方程的解.解答:解:(1)去括号得:4x﹣15+3x=13,移项合并得:7x=28,系数化为1得:得x=4;(2)原式变形为x+3=,去分母得:5(2x﹣5)+3(x﹣2)=15(x+3),去括号得10x﹣25+3x﹣6=15x+45,移项合并得﹣2x=76,系数化为1得:x=﹣38.点评:本题考查解一元一次方程,解一元一次方程的一般步骤是:去分母、去括号、移项、合并同类项、化系数为1.注意移项要变号.18.(1)计算:﹣42×+|﹣2|3×(﹣)3(2)计算:﹣12﹣|0.5﹣|÷×[﹣2﹣(﹣3)2](3)解方程:4x﹣3(5﹣x)=2;(4)解方程:.考点:解一元一次方程;有理数的混合运算.分析:(1)利用平方和立方的定义进行计算.(2)按四则混合运算的顺序进行计算.(3)主要是去括号,移项合并.(4)两边同乘最小公倍数去分母,再求值.解答:解:(1)﹣42×+|﹣2|3×(﹣)3==﹣1﹣1=﹣2.(2)﹣12﹣|0.5﹣|÷×[﹣2﹣(﹣3)2]====.(3)解方程:4x﹣3(5﹣x)=2去括号,得4x﹣15+3x)=2移项,得4x+3x=2+15合并同类项,得7x=17系数化为1,得.(4)解方程:去分母,得15x﹣3(x﹣2)=5(2x﹣5)﹣3×15去括号,得15x﹣3x+6=10x﹣25﹣45移项,得15x﹣3x﹣10x=﹣25﹣45﹣6合并同类项,得2x=﹣76系数化为1,得x=﹣38.点评:前两道题考查了学生有理数的混合运算,后两道考查了学生解一元一次方程的能力.19.(1)计算:(1﹣2﹣4)×;(2)计算:÷;(3)解方程:3x+3=2x+7;(4)解方程:.考点:解一元一次方程;有理数的混合运算.专题:计算题.分析:(1)和(2)要熟练掌握有理数的混合运算;(3)和(4)首先熟悉解一元一次方程的步骤:去分母,去括号,移项,合并同类项,系数化为1.解答:解:(1)(1﹣2﹣4)×=﹣=﹣13;(2)原式=﹣1×(﹣4﹣2)×(﹣)=6×(﹣)=﹣9;(3)解方程:3x+3=2x+7移项,得3x﹣2x=7﹣3合并同类项,得x=4;(4)解方程:去分母,得6(x+15)=15﹣10(x﹣7)去括号,得6x+90=15﹣10x+70移项,得6x+10x=15+70﹣90合并同类项,得16x=﹣5系数化为1,得x=.点评:(1)和(2)要注意符号的处理;(4)要特别注意去分母的时候不要发生数字漏乘的现象,熟练掌握去括号法则以及合并同类项法则.20.解方程(1)﹣0.2(x﹣5)=1;(2).考点:解一元一次方程.分析:(1)通过去括号、移项、系数化为1等过程,求得x的值;(2)通过去分母以及去括号、移项、系数化为1等过程,求得x的值.解答:解:(1)﹣0.2(x﹣5)=1;去括号得:﹣0.2x+1=1,∴﹣0.2x=0,∴x=0;(2).去分母得:2(x﹣2)+6x=9(3x+5)﹣(1﹣2x),∴﹣21x=48,∴x=﹣.点评:此题主要考查了一元一次方程解法,解一元一次方程常见的过程有去括号、移项、系数化为1等.21.解方程:(x+3)﹣2(x﹣1)=9﹣3x.考点:解一元一次方程.专题:计算题.分析:先去括号得x+3﹣2x+2=9﹣3x,然后移项、合并同类得到2x=4,然后把x的系数化为1即可.解答:解:去括号得x+3﹣2x+2=9﹣3x,移项得x﹣2x+3x=9﹣3﹣2,合并得2x=4,系数化为1得x=2.点评:本题考查了解一元一次方程:先去分母,再去括号,接着移项,把含未知数的项移到方程左边,不含未知数的项移到方程右边,然后合并同类项,最后把未知数的系数化为1得到原方程的解.22.8x﹣3=9+5x.5x+2(3x﹣7)=9﹣4(2+x)...考点:解一元一次方程.专题:方程思想.分析:本题是解4个不同的一元一次方程,第一个通过移项、合并同类项及系数化1求解.第二个先去括号再通过移项、合并同类项及系数化1求解.第三个先去分母再同第二个.第四个先分子分母乘以10,再同第三个求解.解答:8x﹣3=9+5x,解:8x﹣5x=9+3,3x=12,∴x=4.∴x=4是原方程的解;5x+2(3x﹣7)=9﹣4(2+x),解:5x+6x﹣14=9﹣8﹣4x,5x+6x+4x=9﹣8+14,15x=15,∴x=1.∴x=1是原方程的解..解:3(x﹣1)﹣2(2x+1)=12,3x﹣3﹣4x﹣2=12,3x﹣4x=12+3+2,﹣x=17,∴x=﹣17.∴x=﹣17是原方程的解.,解:,5(10x﹣3)=4(10x+1)+40,50x﹣15=40x+4+40,50x﹣40x=4+40+15,10x=59,∴x=.∴x=是原方程的解.点评:此题考查的知识点是解一元一次方程,关键是注意解方程时的每一步都要认真仔细,如移项时要变符号.23.解下列方程:(1)0.5x﹣0.7=5.2﹣1.3(x﹣1);(2)=﹣2.考点:解一元一次方程.分析:(1)首先去括号,然后移项、合并同类项,系数化成1,即可求解;(2)首先去分母,然后去括号,移项、合并同类项,系数化成1,即可求解解答:解:(1)去括号,得:0.5x﹣0.7=5.2﹣1.3x+1.3移项,得:0.5x+1.3x=5.2+1.3+0.7合并同类项,得:1.8x=7.2,则x=4;(2)去分母得:7(1﹣2x)=3(3x+1)﹣42,去括号,得:7﹣14x=9x+3﹣42,移项,得:﹣14x﹣9x=3﹣42﹣7,合并同类项,得:﹣23x=﹣46,则x=2.点评:本题考查解一元一次方程,解一元一次方程的一般步骤是:去分母、去括号、移项、合并同类项、化系数为1.注意移项要变号.24.解方程:(1)﹣0.5+3x=10;(2)3x+8=2x+6;(3)2x+3(x+1)=5﹣4(x﹣1);(4).考点:解一元一次方程.分析:(1)移项,合并同类项,然后系数化成1即可求解;(2)移项,合并同类项,然后系数化成1即可求解;(3)去括号、移项,合并同类项,然后系数化成1即可求解;(4)首先去分母,然后去括号、移项,合并同类项,然后系数化成1即可求解.解答:解:(1)3x=10.5,x=3.5;(2)3x﹣2x=6﹣8,x=﹣2;(3)2x+3x+3=5﹣4x+4,2x+3x+4x=5+4﹣3,9x=6,x=;(4)2(x+1)+6=3(3x﹣2),2x+2+6=9x﹣6,2x﹣9x=﹣6﹣2﹣6,﹣7x=﹣14,x=2.点评:本题考查解一元一次方程,解一元一次方程的一般步骤是:去分母、去括号、移项、合并同类项、化系数为1.注意移项要变号.25.解方程:.考点:解一元一次方程.专题:计算题.分析:方程两边乘以10去分母后,去括号,移项合并,将x系数化为1,即可求出解.解答:解:去分母得:5(3x﹣1)﹣2(5x﹣6)=2,去括号得:15x﹣5﹣10x+12=2,移项合并得:5x=﹣5,解得:x=﹣1.点评:此题考查了解一元一次方程,其步骤为:去分母,去括号,移项合并,将未知数系数化为1,求出解.26.解方程:(1)10x﹣12=5x+15;(2)考点:解一元一次方程.专题:计算题.解答:解:(1)移项,得10x﹣5x=12+15,合并同类项,得5x=27,方程的两边同时除以5,得x=;(2)去括号,得=,方程的两边同时乘以6,得x+1=4x﹣2,移项、合并同类项,得3x=3,方程的两边同时除以3,得x=1.点评:本题考查解一元一次方程,解一元一次方程的一般步骤:去分母、去括号、移项、合并同类项、化系数为1.注意移项要变号.27.解方程:(1)8y﹣3(3y+2)=7(2).解答:解:(1)去括号得,8y﹣9y﹣6=7,移项、合并得,﹣y=13,系数化为1得,y=﹣13;(2)去分母得,3(3x﹣1)﹣12=2(5x﹣7),去括号得,9x﹣3﹣12=10x﹣14,移项得,9x﹣10x=﹣14+3+12,合并同类项得,﹣x=1,系数化为1得,x=﹣1.点评:本题主要考查了解一元一次方程,注意在去分母时,方程两端同乘各分母的最小公倍数时,不要漏乘没有分母的项,同时要把分子(如果是一个多项式)作为一个整体加上括号.28.当k为什么数时,式子比的值少3.考点:解一元一次方程.专题:计算题.解答:解:依题意,得=+3,去分母得,5(2k+1)=3(17﹣k)+45,去括号得,10k+5=51﹣3k+45,移项得,10k+3k=51+45﹣5,合并同类项得,13k=91,系数化为1得,k=7,∴当k=7时,式子比的值少3.29.解下列方程:(I)12y﹣2.5y=7.5y+5(II).考点:解一元一次方程.专题:计算题.解答:解:(Ⅰ)移项得,12y﹣2.5y﹣7.5y=5,合并同类项得,2y=5,系数化为1得,y=2.5;(Ⅱ)去分母得,5(x+1)﹣10=(3x﹣2)﹣2(2x+3),去括号得,5x+5﹣10=3x﹣2﹣4x﹣6,移项得,5x﹣3x+4x=﹣2﹣6﹣5+10,合并同类项得,6x=﹣3,系数化为1得,x=﹣.。
北师大版七年级上册数学第五章一元一次方程单元测试卷一、单选题(本大题共12小题,每小题3分,共36分)1.已知a b =,根据等式的性质,可以推导出的是( )A .21a b +=+B .33a b -=-C .232a b -=D .a b c c = 2.若使方程(2)1m x +=是关于x 的一元一次方程,则m 的值是( )A .2m ≠-B .0m ≠C .2m ≠D .2m >-3.疫情无情人有情,爱心捐款传真情.某校三个年级为疫情重灾区捐款,经统计,七年级捐款数占全校三个年级捐款总数的25,八年级捐款数是全校三个年级捐款数的平均数,已知九年级捐款1916元,求其他两个年级的捐款数若设七年级捐款数为x 元,则可列方程为( )A .55191662x x x ++=B .21191653x x x ++= C .2191635x x x ++= D .25191652x x x ++= 4.若3x =是关于x 的方程5ax b -=的解,则622a b --的值为( )A .2B .8C .-3D .-85.《九章算术》是中国传统数学最重要的著作,奠定了中国传统数学的基本框架.它的代数成就主要包括开方术、正负术和方程术,其中方程术是其最高的代数成就.《九章算术》中有这样一个问题:“今有善行者行一百步,不善行者行六十步.今不善行者先行一百步,善行者追之,问几何步及之?”译文:“相同时间内,走路快的人走100步,走路慢的人只走60步.若走路慢的人先走100步,走路快的人要走多少步才能追上?(注:步为长度单位)”设走路快的人要走x 步才能追上,根据题意可列出的方程是( )A .60100100x x =-B .60100100x x =+C .10010060x x =+D .10010060x x =- 6.我国古代数学著作《孙子算经》中有这样一道题,原文如下:今有百鹿入城,家取一鹿,不尽,又三家共一鹿,适尽,问:城中家几何?大意为:今有100头鹿进城,每家取一头鹿,没有取完,剩下的鹿每3家共取一头,恰好取完,问:城中有多少户人家?在这个问题中,城中人家的户数为( )A .25B .75C .81D .907.一件夹克衫先按成本价提高70%标价,再将标价打7折出售,结果获利38元.设这件夹克衫的成本价是x 元,那么依题意所列方程正确的是( )A .70%(1+70%)x =x +38B .70%(1+70%)x =x ﹣38C .70%(1+70%x )=x ﹣38D .70%(1+70%x )=x +388.若关于x 的一元一次方程1322022x x b +=+的解为3x =-,则关于y 的一元一次方程1(1)32(1)2022y y b ++=++的解为( ) A .1y = B .=2y - C .=3y - D .4y =-9.已知关于x 的方程38132ax x x --=-有负整数解,则所有满足条件的整数a 的值之和为( ) A .11- B .26- C .28- D .30-10.已知|2|(3)58---=a a x 是关于x 的一元一次方程,则=a ( )A .3或1B .1C .3D .011.我国古代数学名著《九章算术》中记载:“今有共买物,人出八,盈三;人出七,不足四,问人数,物价各几何?”意思是现有几个人共买一件物品,每人出8钱.多出3钱;每人出7钱,差4钱.问人数,物价各是多少?若设共有x 人,物价是y 钱,则下列方程正确的是( )A .()()8374x x -=+B .8374x x +=-C .3487y y -+=D .3487y y +-= 12.某书店推出如下优惠方案:(1)一次性购书不超过100元不享受优惠;(2)一次性购书超过100元但不超过300元一律九折;(3)一次性购书超过300元一律八折.某同学两次购书分别付款80元、252元,如果他将这两次所购书籍一次性购买,则应付款( )A .288B .360C .288或316D .360或395。
一、初一数学一元一次方程解答题压轴题精选(难)1.(公园门票价格规定如下表:1)班人数较少,不足50人,(2)班超过50人,但不足100人。
经估算,如果两个班都以班为单位购票,则一共应付1240元,问:(1)两班各有多少学生?(2)如果两班联合起来,作为一个团体购票,可省多少钱?(3)如果七年级(1)班单独组织去游公园,作为组织者的你将如何购票才最省钱?【答案】(1)解:设七(1)班有x人,由题意可知:七(2)班的人数应不足64人,且多于54人则根据题意,列方程得:13x+11(104-x)=1240解得:x=48.即七(1)班48人,七(2)班56人;(2)解:1240-104×9=304,所以可省304元钱(3)解:要想省钱,由(1)可知七(1)班48人,只需多买3张票,51×11=561,48×13=624>561,∴ 48人买51人的票可以更省钱【解析】【分析】(1)设七(1)班有x人,根据条件:某校七(1)、(2)两个班共104人去游览该公园,其中七(1)班人数较少,不足50人,但超过40人,可得七(2)班的人数应不足64人,且多于54人,再根据1240元的门票钱可列方程解得答案;(2)如果两班联合起来作为一个团体购票,则每张票9元,可省1240-104×9元;(3)由(1)可得七(1)班48人,所以多买3张票,按照第二种售票方案买票.2.约定:上方相邻两数之和等于这两数下方箭头共同指向的数.示例:如图1,即4+3=7,观察图2,求:(1)用含x的式子分别表示m和n;(2)当y=-7时,求n的值。
【答案】(1)解:根据约定的方法可得:m=x+2x=3x;n=2x+3;(2)解:x+2x+2x+3=m+n=y当y=-7时,5x+3=-7解得x=-2.∴n=2x+3=-4+3=-1【解析】【分析】(1)根据约定:上方相邻两数之和等于这两数下方箭头共同指向的数,分别列式即可;(2)根据约定可得m+n=y,代入上题的关系整理可得关于x的一元一次方程,解出x, 代入n的表达式求值即可.3.先阅读下列解题过程,然后解答问题⑴、⑵,解方程:。
一、初一数学一元一次方程解答题压轴题精选(难)1.如图,已知数轴上点A表示的数为8,B是数轴上位于点A左侧一点,且AB=20,(1)写出数轴上点B表示的数________;(2)|5-3|表示5与3之差的绝对值,实际上也可理解为5与3两数在数轴上所对的两点之间的距离.如|x-3|的几何意义是数轴上表示有理数3的点与表示有理数x的点之间的距离.试探索:①:若|x-8|=2,则x =________.②:|x+12|+|x-8|的最小值为________.(3)动点P从O点出发,以每秒5个单位长度的速度沿数轴向右匀速运动,设运动时间为t(t>0)秒.当t=________,A,P两点之间的距离为2;(4)动点P,Q分别从O,B两点,同时出发,点P以每秒5个单位长度沿数轴向右匀速运动,Q点以P点速度的两倍,沿数轴向右匀速运动,设运动时间为t(t>0)秒.当t=________,P,Q之间的距离为4.【答案】(1)﹣12(2)6或10;0(3)1.2或2(4)3.2或1.6【解析】【解答】(1)数轴上B表示的数为8-20=﹣12;(2)①因为互为相反数的两个数绝对值相同,所以由│x-8│=2可得x-8=2或﹣(x-8)=2,解得x=6或10;②因为绝对值最小的数是0,所以│x+12│+│x-8│的最小值是0;(3)根据│A点在数轴上的位置-t秒后P点在数轴上的位置│=A、P两点间的距离列式得│8-5t│=2,因为互为相反数的两个数绝对值相同,所以8-5t=2或﹣(8-5t)=2,解得t=1.2或2;(4)根据t秒后Q点在数轴上的位置-t秒后P点在数轴上的位置│=t秒后P,Q的距离列式得│﹣12+10t-5t│=4,因为互为相反数的两个数绝对值相同,所以﹣12+10t-5t=4或﹣(﹣12+10t-5t)=4,解得t=3.2或1.6.【分析】(1)抓住已知条件:B是数轴上位于点A左侧一点,且AB=20,且点A表示的数是8,就可求出OB的长,从而可得出点B表示的数。
一、初一数学一元一次方程解答题压轴题精选(难)1.已知关于a的方程2(a+2)=a+4的解也是关于x的方程2(x-3)-b=7的解.(1)求a、b的值;(2)若线段AB=a,在直线AB上取一点P,恰好使 =b,点Q为PB的中点,请画出图形并求出线段AQ的长.【答案】(1)解:2(a-2)=a+4,2a-4=a+4a=8,∵x=a=8,把x=8代入方程2(x-3)-b=7,∴2(8-3)-b=7,b=3(2)解:①如图:点P在线段AB上,=3,AB=3PB,AB=AP+PB=3PB+PB=4PB=8,PB=2,Q是PB的中点,PQ=BQ=1,AQ=AB-BQ=8-1=7,②如图:点P在线段AB的延长线上,=3,PA=3PB,PA=AB+PB=3PB,AB=2PB=8,PB=4,Q是PB的中点,BQ=PQ=2,AQ=AB+BQ=8+2=10.所以线段AQ的长是7或10.【解析】【分析】(1)根据题意可得两个方程的解相同,所以根据第一个方程的解,可求出第二个方程中的b。
(2)分类讨论,P在线段AB上,根据,可求出PB的长,再根据中点的性质可得PQ的长,最后根据线段的和差可得AQ;P在线段AB的延长线上,根据,可求出PB的长,再根据中点的性质可得BQ的长,最后根据线段的和差可得AQ.2.有两个大小完全一样长方形OABC和EFGH重合着放在一起,边OA、EF在数轴上,O 为数轴原点(如图1),长方形OABC的边长OA的长为6个坐标单位.(1)数轴上点A表示的数为________.(2)将长方形EFGH沿数轴所在直线水平移动.①若移动后的长方形EFGH与长方形OABC重叠部分的面积恰好等于长方形OABC面积的一半时,则移动后点F在数轴上表示的数为________.②若长方形EFGH向左水平移动后,D为线段AF的中点,求当长方形EFGH移动距离x为何值时,D、E两点在数轴上表示的数时互为相反数?【答案】(1)6(2)①3或9②如图所示:据题意得出D所表示的数为,点E表示数为:,当D、E两点在数轴上表示的数时互为相反数时:则解得:,当移动x为4的时候D、E两点在数轴上表示的数时互为相反数.【解析】【解答】解:(1)根据题意可得:A表示数为的长,故答案为:6.( 2 )①当向左边移动的时候,刚好移到矩形长一半的时候,此时重叠面积为长方形面积的一半,此时为9,当向右边边移动的时候,刚好移到矩形长一半的时候,此时重叠面积为长方形面积的一半,此时为3;故答案为:3或9.【分析】(1)根据题意可以看出结果;(2)①分为两种情况,分别向左或向右平移;②根据题意得出D所表示的数为,当D、E两点在数轴上表示的数时互为相反数时点E表示数为:,则,解出答案即可.3.一根长80厘米的弹簧,一端固定,如果另一端挂上物体,那么在正常情况下物体的质量每增加1千克可使弹簧增长2厘米。
一、初一数学一元一次方程解答题压轴题精选(难)1.某手机经销商购进甲,乙两种品牌手机共 100 部.(1)已知甲种手机每部进价1500 元,售价2000 元;乙种手机每部进价3500 元,售价4500 元;采购这两种手机恰好用了 27 万元 .把这两种手机全部售完后,经销商共获利多少元?(2)已经购进甲,乙两种手机各一部共用了5000 元,经销商把甲种手机加价50%作为标价,乙种手机加价 40%作为标价.从 A,B 两种中任选一题作答:A:在实际出售时,若同时购买甲,乙手机各一部打九折销售,此时经销商可获利1570 元.求甲,乙两种手机每部的进价.B:经销商采购甲种手机的数量是乙种手机数量的 1.5 倍.由于性能良好,因此在按标价进行销售的情况下,乙种手机很快售完,接着甲种手机的最后10 部按标价的八折全部售完.在这次销售中,经销商获得的利润率为 42.5%.求甲,乙两种手机每部的进价.【答案】(1)解:设购进甲种手机部,乙种手机部,根据题意,得解得:元.答:销商共获利元.(2)解:A: 设每部甲种手机的进价为元,每部乙种手机的进价元,根据题意,得解得:答:求甲,乙两种手机每部的进价分别为:3000元,2000元.B:乙种手机:部,甲种手机部,设每部甲种手机的进价为元,每部乙种手机的进价元,根据题意,得解得:答:求甲,乙两种手机每部的进价分别为:2000元,3000元.【解析】【分析】(1)甲的单价乘以部数加上乙的单价乘以部数等于总数,根据题意列出,然后解方程得到结果。
(2)A 根据进价加利润等于甲和乙的售价,列出方程B 先求出甲乙的部数,表示出甲乙的标价,列出关系式,50部甲×甲的标价+10部甲×甲标价的八折+40部乙×乙的标价=利润率乘以成本,即可解出结果。
2.温州和杭州某厂同时生产某种型号的机器若干台,温州厂可支援外地10台,杭州厂可支援外地4台,现在决定给武汉8台,南昌6台,每台机器的运费如下表,设杭州厂运往南昌的机器为x台,(1)用含x的代数式来表示总运费(单位:元)(2)若总运费为8400元,则杭州厂运往南昌的机器应为多少台?(3)试问有无可能使总运费是7800元?若有可能请写出相应的调动方案;若无可能,请说明理由.【答案】(1)解:总费用为:400(6-x)+800(4+x)+300x +500(4-x)=200x+7600(2)解:由题意得200x+7600=8400,解得x=4,答:杭州运往南昌的机器应为4台(3)解:由题意得200x+7600=7800,解得x=1. 符合实际意义,答:有可能,杭州厂运往南昌的机器为1台.【解析】【分析】(1)根据总费用=四条线路的运费之和(每一条线路的费用=台数×运费),列式后化简即可。
(2)根据(1)中的表达式等于8400,列方程并求解。
(3)根据(1)中的表达式等于7800,列方程并求解,若方程的解符合实际意义,则有可能,否则就不可能。
3.同学们都知道,|4﹣(﹣2)|表示4与﹣2的差的绝对值,实际上也可理解为4与﹣2两数在数轴上所对应的两点之间的距离;同理|x﹣3|也可理解为x与3两数在数轴上所对应的两点之间的距离.试探索:(1)|4﹣(﹣2)|的值.(2)若|x﹣2|=5,求x的值是多少?(3)同理|x﹣4|+|x+2|=6表示数轴上有理数x所对应的点到4和﹣2所对应的两点距离之和,请你找出所有符合条件的整数x,使得|x﹣4|+|x+2|=6,写出求解的过程.【答案】(1)解:∵4与﹣2两数在数轴上所对应的两点之间的距离是6,∴|4﹣(﹣2)|=6.(2)解:|x﹣2|=5表示x与2两数在数轴上所对应的两点之间的距离是5,∵﹣3或7与2两数在数轴上所对应的两点之间的距离是5,∴若|x﹣2|=5,则x=﹣3或7.(3)解:∵4与﹣2两数在数轴上所对应的两点之间的距离是6,∴使得|x﹣4|+|x+2|=6成立的整数是﹣2和4之间的所有整数(包括﹣2和4),∴这样的整数是﹣2、﹣1、0、1、2、3、4.【解析】【分析】(1)根据4与-2两数在数轴上所对应的两点之间的距离是6,可得|4-(-2)|=6.(2)根据|x-2|=5表示x与2两数在数轴上所对应的两点之间的距离是5,可得x=-3或7.(3)因为4与-2两数在数轴上所对应的两点之间的距离是6,所以使得|x-4|+|x+2|=6成立的整数是-2和4之间的所有整数(包括-2和4),据此求出这样的整数有哪些即可.4.如图1,已知,在内,在内,.(1)从图1中的位置绕点逆时针旋转到与重合时,如图2,________ ;(2)若图1中的平分,则从图1中的位置绕点逆时针旋转到与重合时,旋转了多少度?(3)从图2中的位置绕点逆时针旋转,试问:在旋转过程中的度数是否改变?若不改变,请求出它的度数;若改变,请说明理由.【答案】(1)100(2)解:∵平分,∴,设,则,,由,得:,解得:,∴从图1中的位置绕点逆时针旋转到与重合时,旋转了12度;(3)解:不改变①当时,如图,,,∵,,∴;② 时,如图,此时,与重合,此时,;③当时,如图,,,;综上,在旋转过程中,的度数不改变,始终等于【解析】【解答】(1)解:由题意:∠EOF= ∠AOB+ ∠COD=80°+20°=100°【分析】(1)根据∠EOF=∠BOE+∠BOF计算即可;(2)设,得,,再根据列方程求解即可;(3)分三种情形分别计算即可;5.用“※”定义一种新运算:对于任意有理数a和b,规定a※b=ab2+2ab+a.如:1※2=1×22+2×1×2+1=9(1)(﹣2)※3=________;(2)若※3=16,求a的值;(3)若2※x=m,( x)※3=n(其中x为有理数),试比较m,n的大小.【答案】(1)-32(2)因为※3= ×32+2× ×3+ =8a+8,所以8a+8=16,解得a=1;(3)根据题意,得m=2x2+2×2x+2=2x2+4x+2,n= x×32+2× x×3+ x=4x,则m﹣n=2x2+2>0,所以m>n.【解析】【解答】解:(1)原式=﹣2×32+2×(﹣2)×3+(﹣2)=﹣18﹣12﹣2=﹣32,故答案为:﹣32.【分析】(1)根据新运算展开,再求出即可;(2)先根据新运算展开,再解一元一次方程即可;(3)先根据新运算展开,再求出m、n,即可得出答案.6.已知:如图所示,O为数轴的原点,A,B分别为数轴上的两点,A点对应的数为﹣30,B点对应的数为100.(1)A、B的中点C对应的数是________;(2)若点D数轴上A、B之间的点,D到B的距离是D到A的距离的3倍,求D对应的数.(提示:数轴上右边的点对应的数减去左边对应的数等于这两点间的距离);(3)若P点和Q点是数轴上的两个动点,当P点从B点出发,以6个单位长度/秒的速度向左运动时,Q点也从A点出发,以4个单位长度/秒的速度向右运动,设两点在数轴上的E点处相遇,那么E点对应的数是多少?【答案】(1)35(2)解:设点D对应的数是x,则由题意,得100﹣x=3[x﹣(﹣30)]解得,x=2.5所以点D对应的数是2.5.(3)解:设t秒后相遇,由题意,4t+6t=130,解得,t=13,BE=100﹣6t=78,100﹣78=22答:E点对应的数是22.【解析】【解答】解:(1)点A表示的数是﹣30,点B表示的数是100,所以AB=100﹣(﹣30)=130因为点C是AB的中点,∴AC=BC==65A、B的中点C对应的数是100﹣65=35.故答案为:35.【分析】(1)根据点A和点B的坐标,求出AB之间的距离,取其中点,找出C点对应的数字即可。
(2)根据题意,可以设点D对应的数为x,根据其与AB两点之间的距离关系,列出方程解出x的值,即可得到D点对应的坐标。
(3)根据题意设二者相遇的时间为t,根据二者运动的距离之和为线段AB的长度列出方程,解出t的值,即可得到E点对应的数。
7.某校七年级10个班师生举行文艺汇演,每班2个节目,有歌唱与舞蹈两类节目,七年级统计后发现歌唱类节目比跳舞类节目数的2倍少4个.(1)七年级师生表演的歌唱与舞蹈类节目数各有多少个?(2)该校七、八年级师生有小品节目参与,在歌唱、舞蹈、小品三类节目中,每个节目的演出平均用时分别是5分钟、6分钟、8分钟,预计所有演出节目交接用时共花15分钟.若从开始到结束共用2小时35分钟,问参与的小品类节目有多少个?【答案】(1)解:设七年级师生表演的舞蹈类节目有x个,表演歌唱类节目有(2x﹣4)个,根据题意,得:x+2x﹣4=10×2,解得:x=8,所以2x﹣4=12.答:七年级师生表演的歌唱类节目有12个,舞蹈类节目有8个(2)解:设参与的小品类节目有a个,根据题意,得:12×5+8×6+8a+15=2×60+35,解得:a=4,答:参与的小品类节目有4个【解析】【分析】(1)设七年级师生表演的舞蹈类节目有x个,表演歌唱类节目有(2x-4)个.根据“七年级统计后发现歌唱类节目比跳舞类节目数的2倍少4个”列方程求解可得;(2)设参与的小品类节目有a个,根据“三类节目的总时间+交接用时=2小时35分钟”列等式求解可得.8.对于三个数a,b,c,用 b,表示a,b,c这三个数的平均数,用 b,表示a,b,c这三个数中最小的数,如: 2,, 2, .(1)若,求x的值;(2)已知, 0,,是否存在一个x值,使得0,若存在,请求出x的值;若不存在,请说明理由.【答案】(1)解:由题意:,,解得: .(2)解:由题意:,若,则 .解得 .此时与条件矛盾;若,则 .解得 .此时与条件矛盾;不存在.【解析】【分析】(1)由,结合题意得,解之可得;(2)由,再分和两种情况分别求解可得.9.小明和父母打算去某火锅店吃火锅,该店在网上出售“ 元抵元的全场通用代金券”(即面值元的代金券实付元就能获得),店家规定代金券等同现金使用,一次消费最多可用张代金券,而且使用代金券的金额不能超过应付总金额.(1)如果小明一家应付总金额为元,那么用代金券方式买单,他们最多可以优惠多少元:(2)小明一家来到火锅店后,发现店家现场还有一个优惠方式: 除锅底不打折外,其余菜品全部折.小明一家点了一份元的锅底和其他菜品,用餐完毕后,聪明的小明对比两种优惠,选择了现场优惠方式买单,这样比用代金券方式买单还能少付元.问小明一家实际付了多少元?【答案】(1)解:∴最多购买并使用两张代金券,最多优惠元(2)解:设小明一家应付总金额为元,当时,由题意得, .解得: (舍去).当时,由题意得, .解得: (舍去).当时,由题意得, .解得: .∴ .答:小明一家实际付了元【解析】【分析】(1)根据,即最多购买并使用两张代金券,即可得到答案;(2)设小明一家应付总金额为元,则对应付金额进行分析,然后列式进行计算,即可得到答案.10.点A、B在数轴上分别表示有理数a、b,A、B两点之间的距离表示为AB,在数轴上A、B两点之间的距离AB=|a-b|.利用数形结合思想回答下列问题:(1)数轴上表示1和3两点之间的距离是________(2)数轴上表示和-1的两点之间的距离表示为________(3)若表示一个有理数,且,则=________(4)若表示一个有理数,且=8,则有理数的值是________【答案】(1)2(2)或(3)6(4)-5,3【解析】【解答】解:(1)由题意得1和3两点之间的距离为;(2)和-1的两点之间的距离表示为,或;(3)∵-4<x<2, 则x-2<0, x+4>0,∴=-(x-2)+(x+4)=-x+2+x+4=6;(4)当x<-4时,则x-2<0,x+4<0,=-(x-2)-(x+4)=2-x-x-4=-2x-2=8,解得x=-5;当4≤x<2, 则x-2<0, x+4≥0,=-(x-2)+(x+4)=-x+2+x+4=6≠8,无解;当x≥2时,则x-2≥0, x+4>0,∴=x-2+x+4=2x+2=8解得x=3.【分析】(1)(2)由题意可知数轴两点间的距离即是两点所表示的数相减所得的数的绝对值,据此计算即可;(3)先根据x的范围确定绝对值里面的代数式的正负,再根据绝对值的非负性去绝对值,然后再化简计算即得结果;(4)分三种情况讨论,即把整个数轴分三部分,即x<-4, -4≤x<2, x≥2,然后分别根据绝对值的非负性去绝对值,化简计算,再根据所得的结果等于8解方程求出x即可.11.已知|a+4|+(b﹣2)2=0,数轴上A、B两点所对应的数分别是a和b(1)填空:a=________,b=________(2)数轴上是否存在点C,C点在A点的右侧,且点C到A点的距离是点C到B点的距离的2倍?若存在,请求出点C表示的数;若不存在,请说明理由(3)点P以每秒2个单位的速度从A点出发向左运动,同时点Q以3个单位每秒的速度从B点出发向右运动,点M以每秒4个单位的速度从原点O点出发向左运动.若N为PQ 的中点,当PQ=16时,求MN的长.【答案】(1)﹣4;2(2)解:设C点表示的数为x,根据题意得,①当点C在A、B之间时,有c+4=2(2﹣c),解得,c=0;②当点C在B的右侧时,有c+4=2(c﹣2),解得,c=8.故点C表示的数为0或8(3)解:设运动的时间为t秒,根据题意得,2t+3t+AB=16,即2t+3t+6=16,解得,t=2,∴运动2秒后,各点表示的数分别为:P:﹣4﹣2×2=﹣8,Q:2+3×2=8,M:0﹣4×2=﹣8,N:(-8+8)÷2=0,∴MN=0﹣(﹣8)=8.【解析】【解答】(1)解:由题意得,a+4=0,b﹣2=0,解得,a=﹣4,b=2,故答案为:﹣4;2【分析】(1)根据“几个非负数和为0,则这几个数都为0”可列方程求解;(2)由题意分两种情况:点C在A、B之间和点C在B的右侧.可列方程求解;(3)设运动时间为t秒,根据PQ=16可列关于t的方程求得t,于是可求得运动后的M、N点表示的数.12.如图是一种数值转换机的运算程序.(1)若输入的数x=1,y=-1,则输出的数为________;若输入的数x=3,y=-5,则输出的数为________;若输入的数x=n,y=-n,则输出的数为________;(2)若输入的数x=2,输出的数为20,求输入的数y.【答案】(1)1;17;n2(2)解:由图可知:输出数为:,∵x=2,输出的数为20,∴=20,解得:y=±6.【解析】【解答】解:(1)由图可知:输出数为:,∵x=1,y=-1,∴==1;∵x=3,y=-5,∴==17;∵x=n,y=-n,∴==n2;故答案为:1,,17,n2.【分析】(1)由图可知输出数为:,分别将x、y的值代入,计算即可得出答案.(2)由图可知输出数为:,,分别将x、输出的数代入,计算即可求得y值.。