2011年考研数学试题数学二
- 格式:doc
- 大小:343.50 KB
- 文档页数:6
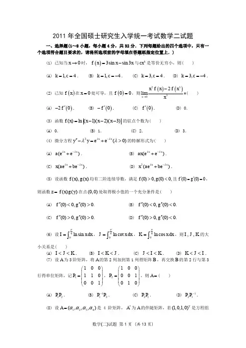
二零一一年全国研究生入学考试试题(数学二)一选择题1.已知当0x →时,函数是等价无穷小,则与k cx x x x f 3sin sin 3)(-= A k=1,c=4 B k=a, c=-4 C k=3,c=4 D k=3,c=-42.=-==→3320)(2)(,0)0(0)(limx x f x f x f x x f x 则处可导,且在已知A )0(2f '-B )0(f '-C )0(f ' D03.函数)3)(2)(1(ln )(---=x x x x f 的驻点个数为 A0 B1 C2 D34.微分方程的特解形式为)0(2>+=-'-λλλλx x e e y y A(x x e e a λλ-+ B )(x x e e ax λλ-+C )(x x be ae x λλ-+D )(2x x be ae x λλ-+5设函数)(x f 具有二阶连续导数,且0)0(,0)(>'>f x f ,则函数)(ln )(y f x f z =在点(0,0)处取得极小值的一个充分条件A 0)0(,1)0(>''>f fB 0)0(,1)0(<''>f fC 0)0(,1)0(>''<f fD 0)0(,1)0(<''<f f 6.设⎰⎰⎰===44400cos ln ,cot ln ,sin ln πππxdx K xdx J xdx I 的大小关系是、、则K J IA I<J<KB I<K<JC J<I<KD K<J<I7.设A 为3阶矩阵,将A 的第二列加到第一列得矩阵B ,再交换B 的第二行与第一行得单位矩阵。
记,010100001,010********⎥⎥⎥⎦⎤⎢⎢⎢⎣⎡=⎥⎥⎥⎦⎤⎢⎢⎢⎣⎡=P P 则A=A 21P PB 211P P -C 12P PD 112P P -8设),,,(4321αααα=A 是4阶矩阵,*A 是A 的伴随矩阵,若T)0,1,0,1(是方程组0=Ax 的一个基础解系,则0*=x A 的基础解系可为A 31,ααB 21,ααC 321,,αααD 432,,ααα 二填空题9.=+→xx x 10)221(lim 10.微分方程===+'-y y x e y y x 的解满足条件0)0(cos 11.曲线)40(tan 0⎰≤≤=xx tdt y π的弧长s=____________12.设函数{0,)(0,0,0>=>≤-λλx x x f ,则=⎰+∞∞-dx x xf )(13.设平面区域D 由y=x,圆y y x 222=+及y 轴所组成,则二重积分⎰⎰=Dxyda ________14.二次型3231212322213212223),,(x x x x x x x x x x x x f +++++=,则f 的正惯性指数为________________ 三解答题15.已知函数αxdt t x F x⎰+=2)1ln()(,设0)(lim )(lim 0==+→+∞→x F x F x x ,试求α的取值范围。
2011年考研数学(二)试题答案速查一、选择题(1)C (2)B (3)C (4)C (5)A (6)B (7)D (8)D 二、填空题(9(10)e sin xx − (11)ln(1 (12)1λ(13)712(14)2 三、解答题 (15)13α<<. (16)极小值13y =−,极大值1y =, 凸区间为1(,)3−∞,凹区间为1(,)3+∞,拐点为11(,)33.(17)11112(1,1)(1,1)(1,1)f f f '''''++. (18)π()arcsin4x y x =−. (19)略. (20)(Ⅰ)9π4V =.(Ⅱ)27π8W g ρ=. (21)a .(22)(Ⅰ)5=a .(Ⅱ)112324=+−βααα,2122=+βαα,31235102=+−βααα.(23)(Ⅰ)1112223331231101,0,1,0,0,1,0110p k p k p k k k k λλλ⎛⎫⎛⎫⎛⎫ ⎪ ⎪ ⎪=−=====≠ ⎪ ⎪ ⎪ ⎪ ⎪ ⎪−⎝⎭⎝⎭⎝⎭.(Ⅱ)001000100⎛⎫⎪= ⎪ ⎪⎝⎭A .2011年全国硕士研究生入学统一考试数学(二)参考答案一、选择题:1~8小题,每小题4分,共32分.下列每题给出的四个选项中,只有一个选项是符合题目要求的.请将所选项前的字母填在答题纸...指定位置上. (1)【答案】C .【解答】由泰勒展开定理33sin ()3!x x x o x =−+,33(3)sin 33()3!x x x o x =−+.所以,333339()3sin sin 33(3)()4()22x x f x x x x x o x x o x =−=−−−+=+.当0x →时,3()4f x x ,所以选择C.(2)【答案】B .【解答】2330()2()lim x x f x f x x →−22330()(0)2()2(0)lim x x f x x f f x f x →−−+= 330()(0)()(0)lim 2x f x f f x f x x →⎡⎤−−=−⎢⎥⎣⎦(0)2(0)(0)f f f '''=−=−. 故应选B. (3)【答案】C .【解答】(2)(3)(1)(3)(1)(2)()(1)(2)(3)x x x x x x f x x x x −−+−−+−−'=−−−231211(1)(2)(3)x x x x x −+=−−− 令2()31211g x x x =−+,由于2124311120∆=−⨯⨯=>,故()g x 有两个不同的实根,且不是1,2,3,所以()f x 有两个不同的驻点. (4)【答案】C.【解答】由题可知特征方程为 220r λ−=,特征根12r r λλ==−,,则齐次方程通解为12e e x x y C C λλ−=+. 方程2e x y y λλ''−=的特解可设为1e x y x a λ=⋅⋅,方程2e xy y λλ−''−=的特解可设为2exy x b λ−=⋅⋅,则由微分方程解的结构可知,方程2e e xx y y λλλ−''−=+可设特解(e e )x x y x a b λλ−=+.(5)【答案】A . 【解答】由题设条件,(0,0)(0,0)()()(0)(0)0zf xg y f g x ∂''===∂,(0,0)(0,0)()()(0)(0)0zf xg y f g y ∂''===∂.故,(0,0)点为函数()()z f x f y =的驻点.又22(0,0)(0)(0)z A f g x ∂''==∂,2(0,0)(0)(0)0z B f g x y ∂''===∂∂,22(0,0)(0)(0)zC f g y∂''==∂.所以2(0)(0)(0)(0)AC B f g g f ''''−=.如果(0,0)点为函数()()z f x f y =的极小值点, 则要求20,0A AC B >−>,已知有()0,(0)0f x g ><,所以,(0)0,g (0)0f ''''<>, 故正确答案选A . (6)【答案】B . 【解答】当π04x <<时,有0sin cos 1cot x x x <<<<,所以ln sin ln cos ln cot x x x <<,由定积分的性质,答案选B . (7)【答案】D .【解答】易知100110,001⎛⎫⎪= ⎪⎪⎝⎭A B 100001010⎛⎫ ⎪ ⎪ ⎪⎝⎭B =E即12,=AP B P B =E ,所以1112121−−−A =P P =P P ,选答案D . (8)【答案】D .【解答】易知**,()3,()1r r ==AA =O A A ,*=A x 0的基础解系有3个线性无关的向量,1234,,,αααα是*=A x 0的解;又因为T (1,0,1,0)是方程组0Ax =的一个基础解系,即13+=0αα,所以13,αα线性相关,则方程组*=A x 0的基础解系为234,,ααα,选答案D .二、填空题:9~14小题,每小题4分,共24分.请将答案写在答题纸...指定位置上. (9).【解答】0012121ln 1(1)ln()22limlim 012lim e e 2x x x x x xxxx →→⎡⎤+++−⎢⎥⎢⎥⎣⎦→⎛⎫+== ⎪⎝⎭00212ln 21limlimln 2222eeex x x x x →→−⋅====(10)【答案】esin xx −.【解答】d d e (e cos e d )x xx y x x C −−⎰⎰=⋅+⎰e (cos d )x x x C −=+⎰e (sin )x x C −=+由于(0)0,y =故0C =,所以e sin x y x −=. (11)【答案】ln(1+.【解答】ππ440sec d ln |sec tan |ln(1s x x x x ===+=⎰.(12)【答案】1λ【解答】()()0111()d ed ed e d xxt t x xf x x x x x x t t λλλλλλλλλ+∞+∞+∞+∞−−−−∞==⋅==⎰⎰⎰⎰. (13)【答案】712. 【解答】由题设条件令cos sin x r y r θθ=⎧⎨=⎩, 其中ππ,02sin 42r θθ,所以, ππ2sin 2sin 322ππ044d d cos sin d sin cos d d Dxy r r r r r r θθσθθθθθθ=⋅⋅=⎰⎰⎰⎰⎰⎰ππ4622ππ44(2sin )27sin cos d sin 4312θθθθθ===⎰. (14)【答案】2.【解答】由于二次型f 对应矩阵111131111⎛⎫⎪= ⎪ ⎪⎝⎭A ,()()111131140111λλλλλλλ−−−−=−−−=−−=−−−E A , 得1230,1,4λλλ===,因此f 的正惯性指数为2.三、解答题:15~23小题,共94分.解答应写出文字说明、证明过程或演算步骤.请将答案写在答题纸...指定位置上. (15)(本题满分10分)解:当0α时,220ln(1)d limlim ln(1)d xxx x t t x t t x αα−→+∞→+∞+=⋅+=+∞⎰⎰与已知矛盾,不和题意. 因为22230110000ln(1)d ln(1)1limlim lim lim 0xx x x x t t x x x x x x ααααααα++++−−−→→→→++===⋅=⎰, 所以30α−>,即3α<.又因为223201222ln(1)d ln(1)210lim lim lim lim(1)(1)1xx x x x xt t x x x x x x x ααααααααα−−−→+∞→+∞→+∞→+∞+++====−−+⎰, 所以32α−<,即1α>. 综上可得,13α<<.(16)(本题满分11分)解:对参数方程求导,得22d 1d ()d 1d yt t y x x t t−'==+, 2222222231d()12(1)(1)2141()d d (1)1(1)d t t t t t t t y x x t t t t t−+−−⋅+''=⋅=⋅=+++. 令()0y x '=,得1t =±. 当1t =时,得53x =,13y =−,0y ''>. 故13y =−为极小值. 当1t =−时,得1x =−,1y =,0y ''<. 故1y =为极大值. 令()0y x ''=,得0t =,13x y ==. 当0t <时,得13x <,0y ''<;当0t >时,13x >,0y ''>. 所以曲线()=y y x 的凸区间为1,3⎛⎫−∞ ⎪⎝⎭,凹区间为1,3⎛⎫+∞ ⎪⎝⎭,11(,)33为拐点. (17)(本题满分9分) 解:[][]12,(),()()zf xy yg x y f xy yg x yg x x∂'''=⋅+⋅∂ []211112,()(,())(,())()zf xy yg x y f xy yg x x f xy yg x g x x y∂'''''⎡⎤=++⎣⎦∂∂ []{}22122(),()()[,()][,()]()g x f xy yg x yg x f xy yg x x f xy yg x g x '''''''+⋅+⋅+又()g x 在1x =可导,且为极值,所以(1)0g '=,所以,21111121d |(1,1)(1,1)(1,1).d d x y zf f f x y =='''''=++ (18)(本题满分10分)解: 由题当0x =时,有d 0,(0)1,tan d yy y xα'===. 方程d tan d y x α=两边对x 求导,可得222d d sec d d y x x αα⋅=① 由d d d d y x x α=,则①式可化为222d d d 1d d d y y y x x x⎡⎤⎛⎫+⋅=⎢⎥ ⎪⎝⎭⎢⎥⎣⎦,即方程()21y y y ''''=+ ② 令y p '=,有d d py py''=,则②式可化为3d d p p p p y =+ ③由于0y p '=≠,所以③变为2d 1d pp y=+ ④ 解方程④得1arctan p y C =+. 再有(0)0,(0)1,y y '==可得1π4C =. 所以,πtan 4y y ⎛⎫'=+⎪⎝⎭,分离变量,两边积分得2πsin e 4xy C ⎛⎫+= ⎪⎝⎭. 由(0)0y =,得22C =,因此π()4x y x =−.(19)(本题满分10分)证:(Ⅰ)设()()1ln 1,0,f x x x n ⎡⎤=+∈⎢⎥⎣⎦.显然()f x 在10,n⎡⎤⎢⎥⎣⎦上满足拉格朗日中值定理:()1111110ln 1ln1ln 1,0,1f f n n n n n ξξ⎛⎫⎛⎫⎛⎫⎛⎫−=+−=+=⋅∈ ⎪ ⎪ ⎪ ⎪+⎝⎭⎝⎭⎝⎭⎝⎭当10,n ξ⎛⎫∈ ⎪⎝⎭时,11111111101n n n nξ⋅<⋅<⋅+++,即111111n n n ξ<⋅<++,x111ln 11n n n⎛⎫<+< ⎪+⎝⎭. 结论得证.(Ⅱ)利用(Ⅰ)的结论,可以得到11ln(1)1n n <++,所以11ln 101n n ⎛⎫−+< ⎪+⎝⎭得到1n n a a +<,即数列{}n a 单调递减.因为,1111ln ln 1ln nnn k k a n n k k ==⎛⎫=−>+− ⎪⎝⎭∑∑,而,()11112341ln 1ln ln ln 1123nnk k k n n k k n ==++⎛⎫⎛⎫⎛⎫+==⋅⋅=+ ⎪ ⎪ ⎪⎝⎭⎝⎭⎝⎭∑∏, 所以,()1111ln ln 1ln ln 1ln 0nnn k k a n n n n k k ==⎛⎫=−>+−>+−> ⎪⎝⎭∑∑.(20)(本题满分11分) 解:(Ⅰ)12V V V =+()()12222112π2d π1d y y y y y −=−+−⎰⎰23212π3y y ⎛⎫=− ⎪⎝⎭+1321π3y y −⎛⎫− ⎪⎝⎭=π1534⎛⎫+− ⎪⎝⎭=9π4(Ⅱ)22d π(2)(1)d π(2)1(1)d W g y y y g y y y ρρ⎡⎤=−−+−−−⎣⎦12222112π(2)(1)d π(2)1(1)d W g y y y g y y y ρρ−⎡⎤=−−+−−−⎣⎦⎰⎰1232322112π(22)d (44)d g y y y y y y y y ρ−⎛⎫=−−++−+ ⎪⎝⎭⎰⎰11122432231222222111121112224π2243243yy y y y g yy ρ−−−−⎛⎫⎪=−−++−+ ⎪ ⎪⎝⎭27π8g ρ=.(21)(本题满分11分) 解:110d (,)d xyI x x yf x y y ''=⎰⎰1100d (,)d x x x ydf x y y '=⎰⎰ ()()111000d ,,d x x x x y f x y f x y y ⎡⎤''=−⎢⎥⎣⎦⎰⎰()11d (,1)(,)d x x x x f x f x y y ''=−⎰⎰.因为(,1)0f x =,所以(,1)0x f x '=.110d (,)d x I x x f x y y '=−⎰⎰1100d (,)d x y xf x y x '=−⎰⎰111000d (,)(,)d y xf x y f x y x ⎡⎤=−−⎢⎥⎣⎦⎰⎰1100d (1,)(,)d y f y f x y x ⎡⎤=−−⎢⎥⎣⎦⎰⎰ d (,)d Df x y x y =⎰⎰a =.(22)(本题满分11分)解:(Ⅰ)由于123,,ααα不能由123,,βββ线性表示,则对于123123(,,,,,)βββααα进行初等行变换:123123(,,,,,)βββααα= 11310112401313115a ⎛⎫ ⎪ ⎪ ⎪⎝⎭113101011112023014a ⎛⎫ ⎪→− ⎪ ⎪−⎝⎭113101011112005210a ⎛⎫ ⎪→− ⎪ ⎪−−⎝⎭. 当5a =时,1231231(,,)2(,,,)3r r =≠=ββββββα,此时,1α不能由123,,βββ线性表示,故5a =.(Ⅱ)对123123(,,,,,)αααβββ进行初等行变换:123123(,,,,,)=αααβββ101113013124115135⎛⎫ ⎪ ⎪ ⎪⎝⎭101113013124014022⎛⎫ ⎪→ ⎪ ⎪⎝⎭101113013124001102⎛⎫ ⎪→ ⎪ ⎪−−⎝⎭1002150104210001102⎛⎫ ⎪→ ⎪ ⎪−−⎝⎭.故112324=+−βααα,2122=+βαα,31235102=+−βααα.(23)(本题满分11分)解:(Ⅰ)设()()TT121,0,1,1,0,1=−=αα,则()()1212,,=−ααααA ,即1122,=−=ααααA A ,从而A 有特征值121,1λλ=−=,对应的特征向量分别为()1110k k ≠α,()2220k k ≠α. 由于()2A =R ,所以30λ=.由于A 是三阶实对称矩阵,故不同特征值对应的特征向量相互正交,设30λ=对应的特征向量为()T3123,,x x x =α,则T 13T230,0.⎧=⎨=⎩αααα即13130,0.x x x x −=⎧⎨+=⎩ 解此方程组,得()T30,1,0=α,故30λ=对应的特征向量为()3330k k ≠α.故A 的所有特征值为1231,1,0λλλ=−==,对应的特征向量分别为()1110k k ≠α,()2220k k ≠α和()3330k k ≠α.(Ⅱ)由于不同特征值对应的特征向量已经正交,只需单位化:))()T T T3121231231,0,1,1,0,1,0,1,0==−====αααβββααα. 令()123,,=βββQ ,则T110−⎛⎫⎪== ⎪ ⎪⎝⎭ΛQ AQ , T =A Q QΛ022012200110220010022⎛⎫−⎛⎫ ⎪ ⎪ ⎪−⎛⎫ ⎪ ⎪ ⎪= ⎪ ⎪ ⎪⎪ ⎪ ⎪⎝⎭ ⎪ ⎪− ⎪ ⎪⎝⎭⎪⎝⎭222200002201022⎛⎫−⎛⎫ ⎪− ⎪ ⎪⎪ ⎪= ⎪ ⎪⎪ ⎪⎪ ⎪⎪ ⎪⎝⎭ ⎪⎝⎭001000100⎛⎫⎪= ⎪⎪⎝⎭.。
2011年考研数学二真题及答案解析2011年考研数学二真题及答案解析一、选择题部分1. 如图,矩形OABC中,AB=4,BC=3,M为BC的中点,点D,E分别在AO,CO上,满足AD=CE,连接DE、BM相交于F。
则DE/AB的值等于()。
A.1/3 B.1/4 C.1/2 D.2/3答案:A解析:根据题意,首先连接AM,然后用面积比解法。
设矩形OABC的面积为S,则S=AB×BC=12。
由于AD=CE,所以AM=CM,即BM=1.5,MF=BM/2=0.75。
在ΔABF中,AF是BM的中线,所以AF=BM/2=0.75。
设AC与DE交点为G,则AG=(BC+DE)/2=3+DE/2。
在ΔEBG中,EF是AM的中线,所以EF=AM/2=1.25。
因此,S[DEFG]/S[OABC]=[1-(MF/BC)]×[1-(EF/AB)]=2/3。
所以DE/AB=[S[DEFG]/S[OABC]]1/2=1/3。
2. 若(cosx+sinx)tanx=3,则tan3x的值为()。
A.1/2 B.1/3 C.1 D.3答案:D解析:将(cosx+sinx)tanx=3变形为cosx/(sinx+1/cosx)=3/sin^2(x)。
设y=sin(x),则cos(x)=√(1-y^2),所以上式化为(y+1/√(1-y^2))√(1-y^2)=3/y^2。
整理得y^5+3y^4+3y^3-8=0。
由于y=0不是方程的解,所以可将其化为(y+1)^3=y^2+3y+8/3。
又因为y^2+3y+8/3=(y+3/2)^2+7/12>0,所以y只可能为y=-1或y=-1/2。
当y=-1时,得cos(x)=0,sin(x)=-1,此时tan3x不存在。
当y=-1/2时,得cos(x)=√(1-1/4)=√3/2,sin(x)=-1/2。
因此sin(3x)=3sin(x)-4sin^3(x)=-3/4,cos(3x)=4cos^3(x)-3cos(x)=-1/2。
2011年全国硕士研究生入学统一考试数学二试题一、选择题(1~8小题,每小题4分,共32分.下列每题给出的四个选项中,只有一个选项符合题目要求的,请将所选项前的字母填在答题纸...指定位置上.)(1)已知当0x →时,()3sin sin 3f x x x =-与kcx 是等价无穷小,则()(A)1,4k c ==.(B)1,4k c ==-.(C)3,4k c ==.(D)3,4k c ==-.(2)已知()f x 在0x =处可导,且()00f =,则()()2332limx x f x f x x →-=()(A)()20f '-.(B)()0f '-.(C)()0f '.(D)0.(3)函数()ln (1)(2)(3)f x x x x =---的驻点个数为()(A)0.(B)1.(C)2.(D)3.(4)微分方程2(0)xx y y e e λλλλ-''-=+>的特解形式为()(A)()xx a ee λλ-+.(B)()xx ax ee λλ-+.(C)()xx x aebe λλ-+.(D)2()xx x aebe λλ-+.(5)设函数(),()f x g x 均有二阶连续导数,满足(0)0,(0)0,f g ><且(0)(0)0f g ''==,则函数()()z f x g y =在点(0,0)处取得极小值的一个充分条件是()(A)(0)0,(0)0.f g ''''<>(B)(0)0,(0)0.f g ''''<<(C)(0)0,(0)0.f g ''''>>(D)(0)0,(0)0.f g ''''><(6)设40ln sin I x dx π=⎰,40ln cot J x dx π=⎰,40ln cos K x dx π=⎰,则,,I J K 的大小关系是()(A)I J K <<.(B)I K J <<.(C)J I K <<.(D)K J I <<.(7)设A 为3阶矩阵,将A 的第2列加到第1列得矩阵B ,再交换B 的第2行与第3行得单位矩阵,记1100110001P ⎛⎫ ⎪= ⎪ ⎪⎝⎭,2100001010P ⎛⎫ ⎪= ⎪ ⎪⎝⎭,则A =()(A)12PP .(B)112P P -.(C)21P P .(D)121P P -.(8)设1234(,,,)A αααα=是4阶矩阵,*A 为A 的伴随矩阵,若(1,0,1,0)T是方程组0Ax =的一个基础解系,则*0A x =的基础解系可为()(A)13,αα.(B)12,αα.(C)123,,ααα.(D)234,,ααα.二、填空题(9~14小题,每小题4分,共24分.请将答案写在答题纸...指定位置上.)(9)1012lim()2x x x →+= .(10)微分方程'cos xy y e x -+=满足条件(0)0y =的解为 .(11)曲线0tan (04xy tdt x π=≤≤⎰的弧长s = .(12)设函数,0,()0,0,0,x e x f x x λλλ-⎧>=>⎨≤⎩则()xf x dx +∞-∞=⎰ .(13)设平面区域D 由直线,y x =圆222x y y +=及y 轴围成,则二重积分Dxyd σ=⎰⎰ .(14)二次型222123123121323(,,)3222f x x x x x x x x x x x x =+++++,则f 的正惯性指数为.三、解答题(15~23小题,共94分.请将解答写在答题纸...指定位置上.解答应写出文字说明、证明过程或演算步骤.)(15)(本题满分10分)已知函数20ln(1)()xat dt F x x+=⎰,设0lim ()lim ()0,x x F x F x +→+∞→==试求a 的取值范围.(16)(本题满分11分)设函数()y y x =由参数方程3311,3311,33x t t y t t ⎧=++⎪⎪⎨⎪=-+⎪⎩确定,求()y y x =的极值和曲线()y y x =的凹凸区间及拐点.(17)(本题满分9分)设函数(,())z f xy yg x =,其中函数f 具有二阶连续偏导数,函数()g x 可导且在1x =处取得极值(1)1g =,求211x y zx y==∂∂∂.(18)(本题满分10分)x设函数()y x 具有二阶导数,且曲线:()l y y x =与直线y x =相切于原点,记α为曲线l 在点(,)x y 处切线的倾角,若,d dydx dxα=求()y x 的表达式.(19)(本题满分10分)(I)证明:对任意的正整数n ,都有111ln(11n n n<+<+成立.(II)设111ln (1,2,)2n a n n n=+++-= ,证明数列{}n a 收敛.(20)(本题满分11分)一容器的内侧是由图中曲线绕y 轴旋转一周而成的曲面,该曲线由2212()2x y y y +=≥与2211()2x y y +=≤连接而成的.(I)求容器的容积;(II)若将容器内盛满的水从容器顶部全部抽出,至少需要做多少功?(长度单位:m ,重力加速度为2/gm s ,水的密度为3310/kg m ).图1(21)(本题满分11分)已知函数(,)f x y 具有二阶连续偏导数,且(1,)0f y =,(,1)0f x =,(,)Df x y dxdy a =⎰⎰,其中{}(,)|01,01D x y x y =≤≤≤≤,计算二重积分(,)xyDI xy f x y dxdy ''=⎰⎰.(22)(本题满分11分)设向量组123(1,0,1),(0,1,1),(1,3,5)T T T ααα===,不能由向量组1(1,1,1)T β=,2(1,2,3)T β=,3(3,4,)T a β=线性表示.(I)求a 的值;(II)将123,,βββ由123,,ααα线性表示.(23)(本题满分11分)A 为三阶实对称矩阵,A 的秩为2,即()2r A =,且111100001111A -⎛⎫⎛⎫ ⎪ ⎪= ⎪ ⎪ ⎪ ⎪-⎝⎭⎝⎭.(I)求A的特征值与特征向量;(II)求矩阵A.2011年全国硕士研究生入学统一考试数学二试题答案一、选择题(1~8小题,每小题4分,共32分.下列每题给出的四个选项中,只有一个选项符合题目要求的,请将所选项前的字母填在答题纸...指定位置上.)(1)【答案】(C).【解析】因为03sin sin 3limk x x x cx →-03sin sin cos 2cos sin 2limk x x x x x xcx →--=()20sin 3cos 22cos limkx x x x cx →--=2103cos 22cos lim k x x xcx -→--=()22132cos 12cos limk x x xcx -→---=22110044cos 4sin lim lim k k x x x x cxcx --→→-==304lim1k x cx -→==.所以4,3c k ==,故答案选(C).(2)【答案】(B).【解析】()()2332limx x f x f x x →-()()()()22330220limx x f x x f f x f x →--+=()()()()33000lim 2x f x f f x f x x →⎡⎤--⎢⎥=-⎢⎥⎣⎦()()()0200f f f '''=-=-.故答案选(B).(3)【答案】(C).【解析】()ln 1ln 2ln 3f x x x x =-+-+-111'()123f x x x x =++---231211(1)(2)(3)x x x x x -+=---令'()0f x =,得1,2633x ±=,故()f x 有两个不同的驻点.(4)【答案】(C).【解析】微分方程对应的齐次方程的特征方程为220r λ-=,解得特征根12r r λλ==-,.所以非齐次方程2xy y e λλ''-=有特解1x y x a e λ=⋅⋅,非齐次方程2xy y eλλ-''-=有特解2x y x b e λ-=⋅⋅,故由微分方程解的结构可知非齐次方程2xx y y ee λλλ-''-=+可设特解().x x y x ae be λλ-=+(5)【答案】(A).【解析】由题意有()()zf xg y x ∂'=∂,()()z f x g y y∂'=∂所以,()0,0(0)(0)0zf g x ∂'==∂,()0,0(0)(0)0z f g y ∂'==∂,即()0,0点是可能的极值点.又因为22()()zf xg y x ∂''=∂,2()()z f x g y x y ∂''=∂∂,22()()z g y f x y∂''=∂,所以,2(0,0)2|(0)(0)zA f g x ∂''==⋅∂,2(0,0)|(0)(0)0zB f g x yα''==⋅=∂∂,2(0,0)2|(0)(0)zC f g y∂''==⋅∂,根据题意由()0,0为极小值点,可得20,AC B A C -=⋅>且(0)(0)0A f g ''=⋅>,所以有(0)(0)0.C f g ''=⋅>由题意(0)0,(0)0f g ><,所以(0)0,(0)0f g ''''<>,故选(A).(6)【答案】(B).【解析】因为04x π<<时,0sin cos 1cot x x x <<<<,又因ln x 是单调递增的函数,所以ln sin ln cos ln cot x x x <<.故正确答案为(B).(7)【答案】(D).【解析】由于将A 的第2列加到第1列得矩阵B ,故100110001A B ⎛⎫ ⎪= ⎪ ⎪⎝⎭,即1AP B =,11A BP -=.由于交换B 的第2行和第3行得单位矩阵,故100001010B E ⎛⎫ ⎪= ⎪ ⎪⎝⎭,即2,P B E =故122B P P -==.因此,121A P P -=,故选(D).(8)【答案】(D).【解析】由于(1,0,1,0)T是方程组0Ax =的一个基础解系,所以(1,0,1,0)0TA =,且()413r A =-=,即130αα+=,且0A =.由此可得*||A A A E O ==,即*1234(,,,)A O =αααα,这说明1234,,,αααα是*0A x =的解.由于()3r A =,130αα+=,所以234,,ααα线性无关.又由于()3r A =,所以*()1r A =,因此*0A x =的基础解系中含有413-=个线性无关的解向量.而234,,ααα线性无关,且为*0A x =的解,所以234,,ααα可作为*0A x =的基础解系,故选(D).二、填空题(9~14小题,每小题4分,共24分.请将答案写在答题纸...指定位置上.)(9)【答案】.【解析】原式=0121lim(1)2x x x e →+-00212ln 21limlimln 2222x x x x x eee→→-⋅====.(10)【答案】sin xy e x -=.【解析】由通解公式得(cos )dx dxx y e e x e dx C --⎰⎰=⋅+⎰(cos )x e xdx C -=+⎰(sin )x e x C -=+.由于(0)0,y =故C =0.所以sin xy ex -=.(11)【解析】选取x 为参数,则弧微元sec ds xdx ===所以440sec ln sec tan ln(1s xdx x x ππ==+=+⎰.(12)【答案】1λ.【解析】原式0x xx e dx xde λλλ+∞+∞--==-⎰⎰1lim0x x xx x x xee dx ee λλλλλ+∞-+∞--+∞→+∞=-+=-+-⎰01111limlim x x x x e e e λλλλλ→+∞→+∞⎛⎫=---= ⎪⎝⎭.(13)【答案】712.【解析】原式2sin 2sin 322044cos sin cos sin d r r rdr d r drππθθππθθθθθθ=⋅=⋅⎰⎰⎰⎰4241sin cos 16sin 4d ππθθθθ=⋅⋅⋅⎰5522444cos sin 4sin sin d d ππππθθθθθ=⋅=⎰⎰66447sin 612ππθ==.(14)【答案】2.【解析】方法1:f 的正惯性指数为所对应矩阵的特征值中正的个数.二次型f 对应矩阵为111131111A ⎛⎫ ⎪= ⎪ ⎪⎝⎭.111000131131132111111112E A λλλλλλλλλλλ-----=---=---=------------()()321412λλλλλλ--==----,故1230,1,4λλλ===.因此f 的正惯性指数为2.方法2:f 的正惯性指数为标准形中正的平方项个数.()222123123121323,,3222f x x x x x x x x x x x x =+++++()2222212322332323232x x x x x x x x x x x =++---+++()2212322x x x x =+++,令11232233,,,y x x x y x y x =++⎧⎪=⎨⎪=⎩则22122f y y =+,故f 的正惯性指数为2.三、解答题(15~23小题,共94分.请将解答写在答题纸...指定位置上.解答应写出文字说明、证明过程或演算步骤.)(15)(本题满分10分)【解析】如果0a ≤时,220(1)limlim ln(1)xxa ax x ln t dt x t dt x -→+∞→+∞+=⋅+=+∞⎰⎰,显然与已知矛盾,故0a >.当0a >时,又因为22230110000ln(1)ln(1)1limlim lim lim 0xaaa a x x x x t dt x x x x ax ax a++++---→→→→++===⋅=⎰.所以30a ->即3a <.又因为223201222ln(1)ln(1)210lim lim lim lim (1)(1)1xa a a a x x x x xt dt x x x x ax a a x a a x ---→+∞→+∞→+∞→+∞+++====--+⎰所以32a -<,即1a >,综合得13a <<.(16)(本题满分11分)【解析】因为221()1dyt dt y x dx t dt -'==+,2222222231(12(1)(1)2141(),(1)1(1)t d t t t t t t y x dx dt t t t dt-+--⋅+''=⋅=⋅=+++令()0y x '=得1t =±,当1t =时,53x =,13y =-,此时0y ''>,所以13y =-为极小值.当1t =-时,1x =-,1y =,此时0y ''<,所以1y =为极大值.令()0y x ''=得0t =,13x y ==.当0t <时,13x <,此时0y ''<;当0t >时,13x >,此时0y ''>.所以曲线的凸区间为13⎛⎫-∞ ⎪⎝⎭,,凹区间为13⎛⎫+∞ ⎪⎝⎭,,拐点为11(,)33.(17)(本题满分9分)【解析】[],()z f xy yg x =[][]12,(),()()zf xy yg x y f xy yg x yg x x∂'''=⋅+⋅∂[][]211112,()(,())(,())()zf xy yg x y f xy yg x x f xy yg x g x x y∂'''''=++∂∂[]{}21222(),()()[,()][,()]()g x f xy yg x yg x f xy yg x x f xy yg x g x '''''''+⋅+⋅+.因为()g x 在1x =可导,且为极值,所以(1)0g '=,则21111121|(1,1)(1,1)(1,1)x y d zf f f dxdy =='''''=++.(18)(本题满分10分)【解析】由题意可知当0x =时,0y =,'(0)1y =,由导数的几何意义得tan y α'=,即arctan y α'=,由题意()arctan d dyy dx dx '=,即21y y y '''='+.令y p '=,y p '''=,则21p p p '=+,3dpdx p p =+⎰⎰,即21dp p dp dx p p -=+⎰⎰⎰,211ln ||ln(1)2p p x c -+=+,即2211x p ce -=-.当0x =,1p =,代入得2c =,所以'y =则0()(0)t xxy x y -==⎰⎰004t t xxx d π===⎰.又因为(0)0y =,所以()arcsin 24x y x e π=-.(19)(本题满分10分)【解析】(Ⅰ)设()()1ln 1,0,f x x x n ⎡⎤=+∈⎢⎥⎣⎦显然()f x 在10,n⎡⎤⎢⎥⎣⎦上满足拉格朗日的条件,()1111110ln 1ln1ln 1,0,1f f n n n n n ξξ⎛⎫⎛⎫⎛⎫⎛⎫-=+-=+=⋅∈ ⎪ ⎪ ⎪ ⎪+⎝⎭⎝⎭⎝⎭⎝⎭所以10,n ξ⎛⎫∈ ⎪⎝⎭时,11111111101n n n n ξ⋅<⋅<⋅+++,即:111111n n n ξ<⋅<++,亦即:111ln 11n n n⎛⎫<+< ⎪+⎝⎭.结论得证.(II)设111111ln ln 23nn k a n n n k==++++-=-∑ .先证数列{}n a 单调递减.()111111111ln 1ln ln ln 1111n n n n k k n a a n n k k n n n n ++==⎡⎤⎡⎤⎛⎫⎛⎫-=-+--==-+⎪ ⎢⎥⎢⎥+++⎝⎭⎝⎭⎣⎦⎣⎦∑∑,利用(I)的结论可以得到11ln(1)1n n <++,所以11ln 101n n ⎛⎫-+< ⎪+⎝⎭得到1n n a a +<,即数列{}n a 单调递减.再证数列{}n a 有下界.1111ln ln 1ln nnn k k a n n k k ==⎛⎫=->+- ⎪⎝⎭∑∑,()11112341ln 1ln ln ln 1123nnk k k n n k k n ==++⎛⎫⎛⎫⎛⎫+==⋅⋅=+ ⎪ ⎪ ⎪⎝⎭⎝⎭⎝⎭∑∏ ,()1111ln ln 1ln ln 1ln 0nn n k k a n n n n k k ==⎛⎫=->+->+-> ⎪⎝⎭∑∑.得到数列{}n a 有下界.利用单调递减数列且有下界得到{}n a 收敛.(20)(本题满分11分)【解析】(I)容器的容积即旋转体体积分为两部分12V V V =+()()1222211221y y dy y dyππ-=-+-⎰⎰232123y y π⎛⎫=- ⎪⎝⎭+13213y y π-⎛⎫- ⎪⎝⎭=π1534⎛⎫+-⎪⎝⎭=94π.(II)所做的功为22(2)(1)(2)(2)dw g y y dy g y y y dyπρπρ=--+--12222112(2)(1)(2)(2)w g y y dy g y y y dyπρπρ-=--+--⎰⎰1232322112(22)44)g y y y dy y y y dy πρ-⎛⎫=--+++-+ ⎪⎝⎭⎰⎰111224322312222221111211122242243243yy y yy g y yπρ----⎛⎫⎪=--++-+ ⎪ ⎪⎝⎭3271033758g g ππ⨯==.(21)(本题满分11分)【解析】因为(,1)0f x =,(1,)0f y =,所以(,1)0x f x '=.110(,)xyI xdx yf x y dy ''=⎰⎰11(,)x xdx ydf x y '=⎰⎰()()111000,|,x x xdx yf x y f x y dy ⎡⎤''=-⎢⎥⎣⎦⎰⎰()1100(,1)(,)x x xdx f x f x y dy''=-⎰⎰1100(,)x xdx f x y dy '=-⎰⎰1100(,)x dy xf x y dx '=-⎰⎰111000(,)|(,)dy xf x y f x y dx ⎡⎤=--⎢⎥⎣⎦⎰⎰1100(1,)(,)dy f y f x y dx ⎡⎤=--⎢⎥⎣⎦⎰⎰(,)Df x y dxdy =⎰⎰a =.(22)(本题满分11分)【解析】(I)由于123,,ααα不能由123,,βββ线性表示,对123123(,,,,,)βββααα进行初等行变换:123123113101(,,,,,)12401313115a ⎛⎫⎪= ⎪⎪⎝⎭βββααα113101011112023014a ⎛⎫ ⎪→- ⎪ ⎪-⎝⎭113101011112005210a ⎛⎫ ⎪→- ⎪ ⎪--⎝⎭.当5a =时,1231231(,,)2(,,,)3r r ββββββα=≠=,此时,1α不能由123,,βββ线性表示,故123,,ααα不能由123,,βββ线性表示.(II)对123123(,,,,,)αααβββ进行初等行变换:123123101113(,,,,,)013124115135⎛⎫ ⎪= ⎪⎪⎝⎭αααβββ101113013124014022⎛⎫ ⎪→ ⎪ ⎪⎝⎭101113013124001102⎛⎫ ⎪→ ⎪ ⎪--⎝⎭1002150104210001102⎛⎫ ⎪→ ⎪ ⎪--⎝⎭,故112324βααα=+-,2122βαα=+,31235102βααα=+-.(23)(本题满分11分)【解析】(I)由于111100001111A -⎛⎫⎛⎫⎪ ⎪= ⎪ ⎪ ⎪ ⎪-⎝⎭⎝⎭,设()()121,0,1,1,0,1T T αα=-=,则()()1212,,A αααα=-,即1122,A A αααα=-=,而120,0αα≠≠,知A 的特征值为121,1λλ=-=,对应的特征向量分别为()1110k k α≠,()2220k k α≠.由于()2r A =,故0A =,所以30λ=.由于A 是三阶实对称矩阵,故不同特征值对应的特征向量相互正交,设30λ=对应的特征向量为()3123,,Tx x x α=,则13230,0,T T⎧=⎨=⎩αααα即13130,0x x x x -=⎧⎨+=⎩.解此方程组,得()30,1,0Tα=,故30λ=对应的特征向量为()3330k k α≠.(II)由于不同特征值对应的特征向量已经正交,只需单位化:))()3121231231,0,1,1,0,1,0,1,0T T Tαααβββααα==-====.令()123,,Q βββ=,则110TQ AQ -⎛⎫ ⎪=Λ= ⎪ ⎪⎝⎭,T A Q Q =Λ22022012200110220010022⎛⎫-⎛⎫ ⎪ ⎪ ⎪-⎛⎫ ⎪ ⎪ ⎪= ⎪ ⎪ ⎪⎪ ⎪ ⎪⎝⎭ ⎪ ⎪- ⎪ ⎪⎝⎭⎪⎝⎭2202200012200000002210022010022⎛-⎛⎫ - ⎪ ⎪⎛⎫ ⎪ ⎪ ⎪==⎪ ⎪ ⎪ ⎪ ⎪ ⎪⎝⎭⎪ ⎪⎪ ⎪⎝⎭ ⎪⎝⎭.。
2011年全国硕士研究生入学统一考试数学二试题及解析一、选择题:1~8小题,每小题4分,共32分,下列每小题给出的四个选项中,只有一项符合题目要求,把所选项前的字母填在答题纸指定位置上.1、已知当0x →时,函数()3sin sin 3f x x x =-与k cx 等价无穷小,则(A )1,4k c == (B )1,4k c ==- (C ) 3,4k c == (D )3,4k c ==- 【分析】本题考查等价无穷小的有关知识.可以利用罗必达法则或泰勒公式完成。
【详解】法一:由题设知 13sin sin 33cos 3cos 31=lim=limkk x x x xx xcxkcx-→→--233sin 9sin 33cos 27cos 3=lim=lim(1)(1)(2)k k x x x x x x k k cxk k k cx--→→-+-+---324=lim(1)(2)k x k k k cx-→--从而(1)(2)243k k k c k --=⎧⎨=⎩,故3,4k c ==。
从而应选(C )。
法二:333333(3)()3(())(3())4()3!3!xx f x x o x x o x x o x =-+--+=+所以3,4k c ==。
,从而应选(C )。
2、已知()f x 在0x =处可导,且(0)0f =,则233()2()limx x f x f x x→-=(A )2'(0)f - (B )'(0)f - (C ) '(0)f (D )0【分析】本题考查导数的定义。
通过适当变形,凑出()f x 在0x =点导数定义形式求解。
【详解】23223333()2()()(0)()(0)limlim[2]x x x f x f x x f x x f f x f xxx→→---=-()22333()(0)()(0)lim2lim'0x x x f x x f f x f f xx→→--=-=-故应选(B )。
全国硕士研究生入学统一考试数学二真题2011年(总分150, 做题时间180分钟)[*]1.SSS_SIMPLE_SINA B C D该题您未回答:х该问题分值: 4答案:C2.SSS_SIMPLE_SINA B C D该题您未回答:х该问题分值: 4答案:B3.SSS_SIMPLE_SINA B C D该题您未回答:х该问题分值: 4答案:C4.SSS_SIMPLE_SINA B C D该题您未回答:х该问题分值: 4答案:C5.SSS_SIMPLE_SINA B C D该题您未回答:х该问题分值: 4答案:A6.SSS_SIMPLE_SINA B C D该题您未回答:х该问题分值: 4答案:B7.SSS_SIMPLE_SINA B C D该题您未回答:х该问题分值: 4答案:D8.SSS_SIMPLE_SINA B C D该题您未回答:х该问题分值: 4答案:D[*]1.SSS_FILL该题您未回答:х该问题分值: 4答案:2.SSS_FILL该题您未回答:х该问题分值: 4答案:3.SSS_FILL该题您未回答:х该问题分值: 4答案:4.SSS_FILL该题您未回答:х该问题分值: 4答案:5.SSS_FILL该题您未回答:х该问题分值: 4答案:6.SSS_FILL该题您未回答:х该问题分值: 4答案:[*][*]1.SSS_TEXT_QUSTI该题您未回答:х该问题分值: 10答案:2.SSS_TEXT_QUSTI该题您未回答:х该问题分值: 11答案:3.SSS_TEXT_QUSTI该题您未回答:х该问题分值: 9答案:4.SSS_TEXT_QUSTI该题您未回答:х该问题分值: 10答案:5.SSS_TEXT_QUSTI该题您未回答:х该问题分值: 10答案:6.SSS_TEXT_QUSTI该题您未回答:х该问题分值: 11答案:7.SSS_TEXT_QUSTI该题您未回答:х该问题分值: 11答案:8.SSS_TEXT_QUSTI该题您未回答:х该问题分值: 11答案:9.SSS_TEXT_QUSTI该题您未回答:х该问题分值: 11答案:1。
2011年考研数学试题(数学二)一、选择题1. 已知当时,函数A k=1,c=4B k=a, c=-4C k=3,c=4D k=3,c=-42.A B C D03. 函数的驻点个数为A0 B1 C2 D34. 微分方程A BC D5设函数具有二阶连续导数,且,则函数在点(0,0)处取得极小值的一个充分条件A BC D6.设A I<J<KB I<K<JC J<I<KD K<J<I7.设A为3阶矩阵,将A的第二列加到第一列得矩阵B,再交换B的第二行与第一行得单位矩阵。
记则A=A B C D8设是4阶矩阵,是A的伴随矩阵,若是方程组的一个基础解系,则的基础解系可为A B C D二、填空题9.10. 微分方程11.曲线的弧长s=____________12.设函数 ,则13.设平面区域D由y=x,圆及y轴所组成,则二重积分14.二次型,则f的正惯性指数为________________三、解答题15. 已知函数,设,试求的取值范围。
16. 设函数y=y(x)有参数方程,求y=y(x)的数值和曲线y=y(x)的凹凸区间及拐点。
17. 设,其中函数f具有二阶连续偏导数,函数g(x)可导,且在x=1处取得极值g(1)=1,求18. 设函数y(x)具有二阶导数,且曲线l:y=y(x)与直线y=x相切于原点,记是曲线l在点(x,y)外切线的倾角,求y(x)的表达式。
19.证明:1)对任意正整数n,都有2)设,证明收敛。
20.一容器的内侧是由图中曲线绕y旋转一周而成的曲面,该曲面由连接而成。
(1)求容器的容积。
(2)若从容器内将容器的水从容器顶部全部抽出,至少需要多少功?(长度单位:m;重力加速度为;水的密度为)21.已知函数f(x,y)具有二阶连续偏导数,且f(1,y)=0,f(x,1)=0,,其中,计算二重积分。
22.X01P1/32/3Y-101P1/31/31/3求:(1)(X,Y)的分布;(2)Z=XY的分布;(3)23.A为三阶实矩阵,,且(1)求A的特征值与特征向量;(2)求A参考答案选择题:CBCC ABDD填空题:9. 10. 11. 12. 13 14. 解答题:15. 解:16.解:sss17.解:18. 解:19.解:20. 解:21. 解:22. 解:23. 解:。
2011年考研数学试题(数学一,二)一、选择题1、 曲线()()()()4324321----=x x x x y 的拐点是( )(A )(1,0) (B )(2,0) (C )(3,0) (D )(4,0)【答案】C 【考点分析】本题考查拐点的判断。
直接利用判断拐点的必要条件和第二充分条件即可。
【解析】由()()()()4324321----=x x x x y 可知1,2,3,4分别是()()()()23412340y x x x x =----=的一、二、三、四重根,故由导数与原函数之间的关系可知(1)0y '≠,(2)(3)(4)0y y y '''===(2)0y ''≠,(3)(4)0y y ''''==,(3)0,(4)0y y ''''''≠=,故(3,0)是一拐点。
2、 设数列{}n a 单调减少,0lim =∞→n n a ,()∑===nk k n n a S 12,1 无界,则幂级数()11nn n a x ∞=-∑的收敛域为( ) (A ) (-1,1] (B ) [-1,1) (C ) [0,2) (D )(0,2]【答案】C 【考点分析】本题考查幂级数的收敛域。
主要涉及到收敛半径的计算和常数项级数收敛性的一些结论,综合性较强。
【解析】()∑===n k k n n a S 12,1 无界,说明幂级数()11nn n a x ∞=-∑的收敛半径1R ≤;{}n a 单调减少,0lim =∞→nn a ,说明级数()11nn n a ∞=-∑收敛,可知幂级数()11nn n a x ∞=-∑的收敛半径1R ≥。
因此,幂级数()11nn n a x ∞=-∑的收敛半径1R =,收敛区间为()0,2。
又由于0x =时幂级数收敛,2x =时幂级数发散。
2011年考研数学真题原题(数二)
一、选择题
1、C
2、B
3、C
4、C
5、A
6、B
7、D
8、D
二、填空题
三解答题
同学,你最好还是把通用的考研数学教材:
同济大学《高等数学》上下两本,第五版或第六版;
同济大学工程数学《线性代数》第四版或第五版;
浙江大学《概率论与数理统计》第三版或第四版
中的3本书吃透,这是基础,万丈高楼平地起吗!!!
其他的书是提高和加强的作用,很多拿不到高分的同学都是基础不扎实的原因!你的书太全面了,你要是还要的话也就是大家公认的陈文灯和李永乐的书了!我认为资料太多事看不完的,还是看3本教材,然后用陈文灯和李永乐的书,最后再用你的十年真题和基础660,就绰绰有余了!!!。
2011考研数学二真题题目一题目描述某同学参加考研数学二的考试,以下是该考题的一部分:已知函数 $f(x) = \\sin(x)$,则有 $f(x+\\pi)$ 的值是多少?解答过程由已知函数 $f(x) = \\sin(x)$,我们可以得出 $f(x+\\pi)$ 等于 $\\sin(x+\\pi)$。
根据正弦函数的性质,$\\sin(x+\\pi) = -\\sin(x)$。
因此,$f(x+\\pi) = -\\sin(x)$。
答案根据解答过程,可得出 $f(x+\\pi) = -\\sin(x)$。
题目二题目描述给定函数g(g)=2g,求函数g−1(g)的表达式。
解答过程要求函数g−1(g),即求出g=2g的逆函数。
首先,设g=g(g)=2g,然后将g和g进行互换,得出g=2g。
接下来,为了解出g,我们需要对等式两边取对数。
因此,得到 $\\log_2(x) = y$,即 $g^{-1}(x) = \\log_2(x)$。
答案函数 $g^{-1}(x) = \\log_2(x)$。
题目三题目描述已知函数 $h(x) = \\frac{1}{x}$,求函数$h(\\frac{1}{x})$ 的值。
解答过程给定函数 $h(x) = \\frac{1}{x}$,我们需要求出$h(\\frac{1}{x})$ 的值。
将g替换为 $\\frac{1}{x}$,得到 $h(\\frac{1}{x}) =\\frac{1}{\\frac{1}{x}} = x$。
答案根据解答过程可得出 $h(\\frac{1}{x}) = x$。
结论本篇文章涵盖了2011年考研数学二真题的三个题目,并提供了详细的解答过程和最终答案。
在第一题中,我们通过正弦函数的性质推导出了 $f(x+\\pi)$ 的值。
第二题中,我们求得了函数g−1(g)的表达式。
最后,在第三题中,我们计算了函数 $h(\\frac{1}{x})$ 的值。
2011年考研数学试题(数学二)一、选择题1.已知当0x →时,函数是等价无穷小,则与kcx x x x f 3sin sin 3)(-= A k=1,c=4 B k=a, c=-4 C k=3,c=4 D k=3,c=-42.=-==→3320)(2)(,0)0(0)(lim x x f x f x f x x f x 则处可导,且在已知 A )0(2f '- B )0(f '- C )0(f ' D03.函数)3)(2)(1(ln )(---=x x x x f 的驻点个数为 A0 B1 C2 D34.微分方程的特解形式为)0(2>+=-'-λλλλx x e e y y A)(x x e e a λλ-+ B )(x x e e ax λλ-+C )(x xbe aex λλ-+ D )(2x x be ae x λλ-+5设函数)(x f 具有二阶连续导数,且0)0(,0)(>'>f x f ,则函数)(ln )(y f x f z =在点(0,0)处取得极小值的一个充分条件A 0)0(,1)0(>''>f fB 0)0(,1)0(<''>f fC 0)0(,1)0(>''<f fD 0)0(,1)0(<''<f f 6.设⎰⎰⎰===44400cos ln ,cot ln ,sin ln πππxdx K xdx J xdx I 的大小关系是、、则K J IA I<J<KB I<K<JC J<I<KD K<J<I7.设A 为3阶矩阵,将A 的第二列加到第一列得矩阵B ,再交换B 的第二行与第一行得单位矩阵。
记,010100001,010********⎥⎥⎥⎦⎤⎢⎢⎢⎣⎡=⎥⎥⎥⎦⎤⎢⎢⎢⎣⎡=P P 则A=A 21P PB 211P P -C 12P PD 112P P -8设),,,(4321αααα=A 是4阶矩阵,*A 是A 的伴随矩阵,若T)0,1,0,1(是方程组0=Ax 的一个基础解系,则0*=x A 的基础解系可为 A 31,αα B 21,αα C 321,,ααα D 432,,ααα二、填空题9.=+→xx x 10)221(lim 10.微分方程===+'-y y x e y y x的解满足条件0)0(cos11.曲线)40(tan 0⎰≤≤=xx tdt y π的弧长s=____________12.设函数{0,)(0,0,0>=>≤-λλx x x f ,则=⎰+∞∞-dx x xf )(13.设平面区域D 由y=x,圆y y x 222=+及y 轴所组成,则二重积分⎰⎰=Dxyda ________14.二次型3231212322213212223),,(x x x x x x x x x x x x f +++++=,则f 的正惯性指数为________________三、解答题 15.已知函数αx dt t x F x⎰+=2)1ln()(,设0)(lim )(lim 0==+→+∞→x F x F x x ,试求α的取值范围。
16.设函数y=y(x)有参数方程⎩⎨⎧++=+-=3131313133t t x t t y ,求y=y(x)的数值和曲线y=y(x)的凹凸区间及拐点。
17.设))(,(x yg xy f z =,其中函数f 具有二阶连续偏导数,函数g(x)可导,且在x=1处取得极值g(1)=1,求1,12==∂∂∂y x yx z18.设函数y(x)具有二阶导数,且曲线l:y=y(x)与直线y=x 相切于原点,记α是曲线l 在点(x,y)外切线的倾角dxdydx d =α,求y(x)的表达式。
19.证明:1)对任意正整数n ,都有nn n 1)11ln(11<+<+ 2)设),2,1(ln n1211⋯=-+⋯++=n n a n ,证明}{n a 收敛。
20.一容器的内侧是由图中曲线绕y 旋转一周而成的曲面,该曲面由)21(1),21(22222≤=+≥=+y y x y y y x 连接而成。
(1)求容器的容积。
(2)若从容器内将容器的水从容器顶部全部抽出,至少需要多少功?(长度单位:m ;重力加速度为2/s gm ;水的密度为33/10m kg )21.已知函数f(x,y)具有二阶连续偏导数,且f(1,y)=0,f(x,1)=0,⎰⎰=Da dxdy y x f ),(,其中}10,10),{(≤≤≤≤=y x y x D ,计算二重积分dxdy y x xy I Dxy ),("=⎰⎰⎰。
22.1)(22==Y X P求:(1)(X ,Y )的分布;(2)Z=XY 的分布;(3)XY ρ23.A 为三阶实矩阵,2)(=A R ,且⎪⎪⎪⎭⎫⎝⎛-=⎪⎪⎪⎭⎫ ⎝⎛-101101101101A(1)求A 的特征值与特征向量;(2)求A参考答案选择题:CBCC ABDD填空题: 9.2 10.x e y xsin -= 11.)12ln(+ 12.λ1 13 127 14. 2解答题: 15.解:313,120lim )1ln(lim )1ln(lim)(lim 0,0)1(112lim )1ln(lim )1ln(lim)(lim 0,)(lim ,0120120020221202<<<->==+=+=>=-+=+=+=>+∞=≤-→-→+∞→→-+∞→-+∞→+∞→+∞→+∞→+++⎰⎰a a a ax x ax x x dt t x F a xa a x x ax x x dt t x F a x F a a x a x axx x a x a x axx x x 于是所以得得,当所以结论不正确因为当16.解:sss17.解:)1,1()1,1()1,1()](,()()(,([)](,[)()](,[)](,[1211212111221f f f yx zx yg xy f x g x yg xy f x y x yg xy f yx zx g y x yg xy f y x yg xy f x zx ''+''+'=∂∂∂''+''+'=∂∂∂''+'=∂∂18.解:{.22,2,0)(22,2,211,21ln ,1ln ),1(,,,,)1(,sec ,tan 22222221122)1(1)0(,0)0(222x x xx xx xy y y y y e y C o y C e dx e e y e e p e pp C C x p p p p dxdp dx dp y p y y y y y dxd x dx dy --===+--=-=-==+=+=++==''='''=''+''==⎰''+=''='=故所以因为平方解得:故带入初始条件得变量分离得于是有则令于是有即求导得:两边对ααα 19.解:{}{}。
单调递减有界,故收敛单调递减即其中即应用中值定理,在n n n n n n n n n n a nn n n nn n n nn a a a a a a n n n n n n a a n n a n n nnn n nn n n x x f 01ln ln )1ln(ln 1ln 2/3ln 2ln ln )11ln()211()111ln(12/11,01,111ln )1ln(11)1ln(112/11)2(11)11ln(1111,111111,101111ln )11ln()11ln(]1,0[)1ln()()1(1111>+=-+=-++⋯+-=-++⋯++++>+⋯++=<<-+<<-+=++-+=-+-++⋯++=<+<+<++<<+=-+=++=++++ξξξξξ20.解: .241724)1()2()2()2()1()2()2(49)1()2()1(2212112222221211221222121122⋅=--+--=-+-==-+-=⎰⎰⎰⎰⎰⎰---πρπρπρπρπρππg dyy g y dy y y g y dyx g y dy x g y y W dy y dy y y V21.解:adxdy y x f dx y x f dy dx y x f dy dy y x xf dxy x f x dy dy y x f y xdx x xf dy y x f y xdx dx x f x dy y x f y xdx I dy y x f y x f y y x f yd dy y x f y dy y x f y xdx dxdy y x f xy I Dx x x x x x xyx xy x xy Dxy xy===--='-='-='-'=''='-'='=''''=''=⎰⎰⎰⎰⎰⎰⎰⎰⎰⎰⎰⎰⎰⎰⎰⎰⎰⎰⎰⎰⎰⎰⎰),(),(]),(),([),(),()1,(),()1,(),(,),(),(),(),(),(),(111110111111011010101011010111于是,22.解:⎝⎛++=++=-+=⎪⎪⎪⎭⎫ ⎝⎛-→⎪⎪⎪⎭⎫⎝⎛-→⎪⎪⎪⎭⎫ ⎝⎛→⎪⎪⎪⎭⎫ ⎝⎛===<∴=∴≠==321132123211321321321321321321321321000242100021142100010001101321111106310101420321111410310101531321111511300101),,,)(250,3)(,,3),,(01531110101,,)1αααβαααβαααββββαααβββββββββααααααααα于是,,,解得,,于是,,线性表示,,,不能由又a r r23.解:{{⎪⎪⎪⎭⎫ ⎝⎛=⎪⎪⎪⎭⎫ ⎝⎛-=⎪⎪⎪⎭⎫ ⎝⎛-=⎪⎪⎪⎪⎪⎭⎫ ⎝⎛-==⎪⎪⎪⎭⎫⎝⎛=⎪⎪⎪⎭⎫ ⎝⎛=⎪⎪⎪⎭⎫ ⎝⎛-=⎪⎪⎪⎭⎫ ⎝⎛=⎪⎪⎪⎭⎫ ⎝⎛===∴<=⎪⎪⎪⎭⎫⎝⎛=⎪⎪⎪⎭⎫ ⎝⎛-==-==-=⎪⎪⎪⎭⎫ ⎝⎛=⎪⎪⎪⎭⎫ ⎝⎛-==-=+==001000100000010001,000010001,0212110002121),,Q ,010,10121,101212010000,32)(101101,1,1,,A 101101321321321000332133212122112131313T13T 2T T x x x x Q Q A AQ Q r r r r r r A A x x x A A r A A 于是则(令单位化得:)解得即为实矩阵,所以有的特征向量的相应于为矩阵令故,向量为对应的线性无关的特征的特征值为,根据特征值向量的定义则,令αααλαλααλλαααααααααα。