2007年考研数学二真题与答案
- 格式:docx
- 大小:475.77 KB
- 文档页数:24
硕士研究生入学考试数学二试题及答案解析一、选择题:(本题共10小题,每小题4分,共40分. 每小题给出的四个选项中,只有一项符合题目要求,把所选项前的字母填在题后的括号内)(1) 当0x +→时,与x 等价的无穷小量是 (A) 1xe-. (B) 1ln1xx+-. (C) 11x +-. (D) 1cos x -. [ B ]【分析】 利用已知无穷小量的等价代换公式,尽量将四个选项先转化为其等价无穷小量,再进行比较分析找出正确答案. 【详解】 当0x +→时,有1(1)~xx ee x -=---;111~2x x +-; 2111cos ~().22x x x -= 利用排除法知应选(B). (2) 函数11()tan ()()xxe e xf x x e e +=-在[,]ππ-上的第一类间断点是x =(A) 0. (B) 1. (C) 2π-. (D)2π. [ A ] 【分析】 本题f (x )为初等函数,找出其无定义点即为间断点,再根据左右极限判断其类型。
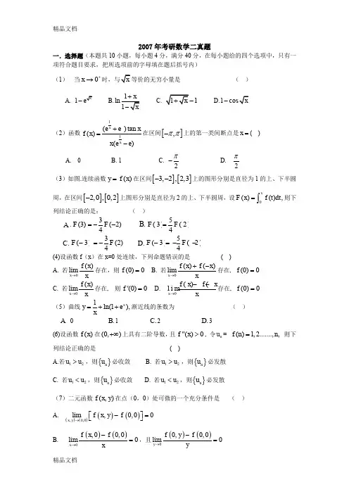
【详解】 f (x )在[,]ππ-上的无定义点,即间断点为x =0,1,.2π±又 11110()tan tan lim lim 1(1)1()xxx x xx e e x x e exx e e e e --→→++=⋅=⋅-=---, 11110()tan tan lim lim 111()xxx x xx e e x x e exx e e e e++→→++=⋅=⋅=--, 可见x =0为第一类间断点,因此应选(A).(3) 如图,连续函数y =f (x )在区间[−3,−2],[2,3]上的图形分别是直径为1的上、下半圆周,在区间[−2,0],[0,2]的图形分别是直径为2的上、下半圆周,设0()().xF x f t dt =⎰则下列结论正确的是(A) 3(3)(2)4F F =--. (B) 5(3)(2)4F F =. (C) )2(43)3(F F =-. (D) )2(45)3(--=-F F . [ C ]【分析】 本题考查定积分的几何意义,应注意f (x )在不同区间段上的符号,从而搞清楚相应积分与面积的关系。
最新整理2007年全国硕士研究生入学统一考试数学二试题一、选择题:1~10小题,每小题4分,共40分. 在每小题给出的四个选项中,只有一项符合题目要求,把所选项前的字母填在题后的括号内. (1)当0x +→时,与x 等价的无穷小量是(A )1ex- (B )1ln1xx+- (C )11x +- (D )1cos x - [ ](2)函数在[],ππ-上的第一类间断点是x = [ ](A )0(B )1(C )2π-(D )2π (3)如图,连续函数()y f x =在区间[][]3,2,2,3--上的图形分别是直径为1的上、下半圆周,在区间[][]2,0,0,2-上的图形分别是直径为2的下、上半圆周,设0()()d xF x f t t =⎰,则下列结论正确的是:( )(A )3(3)(2)4F F =-- (B) 5(3)(2)4F F =(C ))()(2433F F =-(D ))()(2453-=-F F [ ] (4)设函数()f x 在0x =处连续,下列命题错误的是(A )若0()lim x f x x→存在,则(0)0f =(B )若0()()limx f x f x x→+-存在,则(0)0f = .(C )若0()lim x f x x→存在,则(0)0f '=(D )若0()()lim x f x f x x→--存在,则(0)0f '=.(5)曲线()1ln 1e xy x=++渐近线的条数为(A )0.(B )1.(C )2.(D )3. [ ](6)设函数()f x 在(0,)+∞上具有二阶导数,且()0f x ''>,令()n u f n =)(Λ,2,1=n ,则下列结论正确的是: (A) 若12u u > ,则{}n u 必收敛. (B) 若12u u > ,则{}n u 必发散(C) 若12u u < ,则{}n u 必收敛.(D) 若12u u < ,则{}n u 必发散. [ ](21)(本题满分12分)已知曲线L 的方程221,(0)4x t t y t t⎧=+≥⎨=-⎩(I )讨论L 的凹凸性;(II )过点(1,0)-引L 的切线,求切点00(,)x y ,并写出切线的方程;(III )求此切线与L (对应于0x x ≤的部分)及x 轴所围成的平面图形的面积.(22)(本题满分9分)已知非齐次线性方程组1234123412341435131x x x x x x x x ax x x bx +++=-⎧⎪++-=-⎨⎪+++=⎩有3个线性无关的解.(Ⅰ)证明方程组系数矩阵A 的秩()2r A =;(Ⅱ)求,a b 的值及方程组的通解.(23)(本题满分9分)设3阶实对称矩阵A 的各行元素之和均为3,向量()()T T121,2,1,0,1,1αα=--=-是线性方程组0Ax =的两个解.(Ⅰ) 求A 的特征值与特征向量;(Ⅱ) 求正交矩阵Q 和对角矩阵Λ,使得TQ AQ =Λ.(A) 2222y u x u ∂∂-=∂∂.(B ) 2222y u x u ∂∂=∂∂. (C) 222yu y x u ∂∂=∂∂∂.(D) 222xu y x u ∂∂=∂∂∂. [ ](12)设函数,11)(1-=-x x ex f 则( )(A )x=0,x=1都是f(x)的第一类间断点. (B )x=0,x=1都是f(x)的第二类间断点.(C )x=0是f(x)的第一类间断点,x=1是f(x)的第二类间断点.(D )x=0是f(x)的第二类间断点,x=1是f(x)的第一类间断点. [ ](13)设21,λλ是矩阵A 的两个不同的特征值,对应的特征向量分别为21,αα,则1α,)(21αα+A 线性无关的充分必要条件是(A) 01≠λ. (B) 02≠λ.(C) 01=λ. (D) 02=λ. [ ](14)设A 为n (2≥n )阶可逆矩阵,交换A 的第1行与第2行得矩阵B, **,B A 分别为A,B 的伴随矩阵,则 [ ] (A )交换*A 的第1列与第2列得*B . (B) 交换*A 的第1行与第2行得*B . (C) 交换*A 的第1列与第2列得*B -.(D) 交换*A 的第1行与第2行得*B -.三 、解答题(本题共9小题,满分94分.解答应写出文字说明、证明过程或演算步骤.) (15)(本题满分11分)设函数f(x)连续,且0)0(≠f ,求极限.)()()(lim⎰⎰--→x xx dtt x f x dtt f t x(16)(本题满分11分)如图,1C 和2C 分别是)1(21x e y +=和x e y =的图象,过点(0,1)的曲线3C 是一单调增函数的图象. 过2C 上任一点M(x,y)分别作垂直于x 轴和y 轴的直线x l 和y l . 记21,C C 与x l 所围图形的面积为)(1x S ;3C 的方程32,C C 与y l 所围图形的面积为).(2y S 如果总有)()(21y S x S =,求曲线).(y x ϕ=(17)(本题满分11分)如图,曲线C 的方程为y=f(x),点(3,2)是它的一个拐点,直线1l 与2l 分别是曲线C 在点(0,0)与(3,2)处的切线,其交点为(2,4). 设函数f(x)具有三阶连续导数,计算定积分试问a取何值时, 该方程组有非零解, 并求出其通解.(23)(本题满分9分)设矩阵12314315a-⎛⎫⎪--⎪⎪⎝⎭的特征方程有一个二重根, 求a的值, 并讨论A是否可相似对角化.(A) 求曲线 )(x f y =的方程;(B) 已知曲线x y sin =在],0[π上的弧长为l ,试用l 表示曲线)(x f y =的弧长s .九 、(本题满分10分)有一平底容器,其内侧壁是由曲线)0)((≥=y y x ϕ绕y 轴旋转而成的旋转曲面(如图),容器的底面圆的半径为2 m.根据设计要求,当以min /33m 的速率向容器内注入液体时,液面的面积将以min /2m π的速率均匀扩大(假设注入液体前,容器内无液体).(1) 根据t 时刻液面的面积,写出t 与)(y ϕ之间的关系式; (2) 求曲线)(y x ϕ=的方程.(注:m 表示长度单位米,min 表示时间单位分.)任意常数k 必有( )(A)21321,,,ββααα+k 线性无关; (B) 21321,,,ββααα+k 线性相关; (C)21321,,,ββαααk +线性无关;(D) 21321,,,ββαααk +线性相关.三、(本题满分6分)已知曲线的极坐标方程为θcos 1-=r ,求该曲线对应于6πθ=处的切线与法线的直角坐标方程.四、(本题满分7分)设.1001.)1(232)(22≤≤<≤-⎪⎪⎩⎪⎪⎨⎧++=x x e xe x x x f x x ,,,求函数⎰-=x dt t f x F 1)()(的表达式.五、(本题满分7分)已知函数)(x f 在),(∞+0内可导,0)(>x f ,1)(lim =+∞→x f x ,且满足 x he xf hx x f h 11))()((lim 0=+→,求)(x f .六、(本题满分7分)求微分方程0)2(=-+dx y x xdy 的一个解)(x y y =,使得由曲线)(x y y =与直线2,1==x x 以及x 轴所围成的平面图形绕x 轴旋转一周的旋转体的体积最小.七、(本题满分7分)某闸门的形状与大小如图所示,其中直线l 为对称轴,闸门的上部为矩形ABCD,下部由二次抛物线与线段AB所围成.当水面与闸门的上断相平时,欲使闸门矩形部分与承受的水压与闸门下部承受的水压之比为5:4,闸门矩形部分的高h 应为多少米?三、(本题满分6分)求⎰++1)12(22x xdx.四、(本题满分7分)求极限sin sin sin lim()sin xt x t x t x-→记此极限为)(x f ,求函数)(x f 的间断点并指出其类型.五、(本题满分7分)设)(x ρρ=是抛物线x y =上任意一点M (y x ,)(1≥x )处的曲率半径,)(x s s =是抛物线上介于点A (1,1)与M 之间的弧长,计算222)(3ds d ds d ρρρ-的值(在直角坐标系下曲率公式为K =23)1(2y y '+'').六、(本题满分7分)设函数)(x f 在[0,+∞)可导,)0(f =0,且其反函数为)(x g . 若x x f e x dt t g 2)(0)(=⎰,求)(x f .七、(本题满分7分)设函数)(x f ,)(x g 满足)(x f '=)(x g , )(x g '=2xe -)(xf 且)0(f =0,(0)g =2,求dx x x f x x g ⎰+-+π2])1()(1)([.1、 写出)(x f 的带拉格朗日余项的一阶麦克劳林公式;2、 证明在],[a a -上至少存在一点η,使⎰-=''a adx x f f a )(3)(3η十一、(本题满分6分)已知矩阵⎪⎪⎪⎭⎫ ⎝⎛=⎪⎪⎪⎭⎫ ⎝⎛=011101110,111011001B A 且矩阵X 满足X E E BXA AXB BXA AXA 阶单位矩阵,求是其中3,++=+.十二、(本题满分6分)已知4321,,,αααα是线性方程组0=AX 的一个基础解系,若144433322211,,,ααβααβααβααβt t t t +=+=+=+=,讨论实数t 满足什么关系时, 4321,,,ββββ也是0=AX 的一个基础解系.2000年全国硕士研究生入学统一考试数学(二)试卷一、填空题(本题共5小题,每小题3分,满分15分.把答案填在题中横线上) (1) ()=+-→30x 21ln arctan limx xx _____________.-(2)设函数()x y y =由方程y x xy+=2所确定,则=-0x dy _____________.(3)()=-+⎰+∞227x x dx_____________.(4)曲线()xe x y 112-=的斜渐进线方程为_____________.(5)设E A ,⎪⎪⎪⎪⎪⎭⎫ ⎝⎛---=7000650004300021为4阶单位矩阵,且()()()=+-+=--11,B E A E A E B 则_____________.10.具有特解xx x e y xe y e y 3,2,321===--的3阶常系数齐次线性微分方程是( )(A ).0=+'-''-'''y y y y (B ).0=-'-''+'''y y y y(C ).06116=-'+''-'''y y y y (D ).022=+'-''-'''y y y y 三、解答题 11.设()()()⎰+=.,1ln ln dx x f xx x f 计算12.设xOy 平面上有正方形{}10,10,≤≤≤≤=y x y x D )(及直线()()t S t t y x l 若.0:≥=+表示正方形D 位于直线l 左下方部分的面积,试求()().00⎰≥xx dt t S13.求函数()()()().3001ln 2≥=+=n f n x x x x f x阶导数处的在14.设函数(),cos 0dt t x S x⎰=(1)当n 为正整数,且()()();1221+<≤+<≤n x S n n x n 时,证明:ππ (2)求().lim xx S x +∞→15.某湖泊的水量为V ,每年排入湖泊内含污染物A 的污水量为6V ,流入湖泊内不含A 的水量为6V,流出湖泊的水量为3V.已知1999年年底湖中A 的含量为05m ,超过国家规定指标,为了治理污水,从2000年年初起,限定排入湖泊中含A 污水的浓度不超过.0Vm问至多需经过多少年,湖泊中污染物A 的含量将至0m 以内?(注:设湖水中A 的浓度是均匀的.)1999年全国硕士研究生入学统一考试数学(二)试卷一、填空题(本题共5小题,每小题3分,满分15分.把答案填在题中横线上)(1) 曲线⎩⎨⎧==te y te x tt cos 2sin 在点(0,1)处的法线方程为_____________. (2)设函数()x y y =由方程()x y x y x sin ln 32+=+确定,则=-0x dxdy _____________.(3)=+-+⎰dx x x x 13652_____________.(4)函数221x x y -=在区间]23,21[上的评价值为_____________. (5)微分方程xe y y 24=-''的通解为_____________.三、(本题满分5分) 求()21ln sin 1tan 1limxx x xx x -++-+→四、(本题满分6分) 计算.arctan 12dx x x⎰+∞五、(本题满分7分)求初值问题()()⎪⎩⎪⎨⎧=>=-++=00,0122x y x xdy dx y x y 的解六、(本题满分7分) 为清楚井底的污泥,用缆绳将抓斗放入井底,抓起污泥提出井口,已知井深30m ,抓斗自重400N,缆绳每米重500N ,抓斗抓起的污泥重2000N ,提升速度为3m/s,在提升过程中,污泥以20N/s 的速度从抓斗缝隙中漏掉,现将抓起污泥的抓斗提升至井口,问克服重力需作多少焦耳的功?(说明:①1N ×1m=1J ;m,N,s,J 分别表示米,牛顿,秒,焦耳;②抓斗的高度位于井口上方的缆绳长度忽略不计)七、(本题满分8分)已知函数(),123-=x x y 求 (1)函数的增减区间及极值; (2)函数图形的凸凹区间及拐点;(3)函数图形的渐近线。
2007年全国硕士研究生入学统一考试数学二试题一、选择题:1~10小题,每小题4分,共40分. 在每小题给出的四个选项中,只有一项符合题目要求,把所选项前的字母填在题后的括号内. (1)当0x +→时,与x 等价的无穷小量是(A )1ex- (B )1ln1xx+- (C )11x +- (D )1cos x - [ ](2)函数在[],ππ-上的第一类间断点是x = [ ](A )0(B )1(C )2π-(D )2π (3)如图,连续函数()y f x =在区间[][]3,2,2,3--上的图形分别是直径为1的上、下半圆周,在区间[][]2,0,0,2-上的图形分别是直径为2的下、上半圆周,设0()()d xF x f t t =⎰,则下列结论正确的是:( )(A )3(3)(2)4F F =-- (B) 5(3)(2)4F F =(C ))()(2433F F =-(D ))()(2453-=-F F [ ] (4)设函数()f x 在0x =处连续,下列命题错误的是(A )若0()lim x f x x→存在,则(0)0f =(B )若0()()limx f x f x x→+-存在,则(0)0f = .(C )若0()lim x f x x→存在,则(0)0f '=(D )若0()()lim x f x f x x→--存在,则(0)0f '=.(5)曲线()1ln 1e xy x=++渐近线的条数为(A )0.(B )1.(C )2.(D )3. [ ](6)设函数()f x 在(0,)+∞上具有二阶导数,且()0f x ''>,令()n u f n =)( ,2,1=n ,则下列结论正确的是: (A) 若12u u > ,则{}n u 必收敛. (B) 若12u u > ,则{}n u 必发散(C) 若12u u < ,则{}n u 必收敛.(D) 若12u u < ,则{}n u 必发散. [ ](7)二元函数(,)f x y 在点()0,0处可微的一个充分条件是[ ] (A )()[](,)0,0lim(,)(0,0)0x y f x y f →-=.α均为n ,,s,,s α线性相关,则,,s A α线性相关,,s α线性相关,则,,s A α线性无关,,s α线性无关,则,,s A α线性相关,,s α线性无关,则,,s A α线性无关阶矩阵,将A 行得B ,再将2,)(A )F(x)是偶函数⇔f(x)是奇函数. (B ) F(x)是奇函数⇔f(x)是偶函数.(C ) F(x)是周期函数⇔f(x)是周期函数.(D )F(x)是单调函数⇔f(x)是单调函数. [ ](9)设函数y=y(x)由参数方程⎩⎨⎧+=+=)1ln(,22t y t t x 确定,则曲线y=y(x)在x=3处的法线与x 轴交点的横坐标是(A)32ln 81+. (B) 32ln 81+-. (C) 32ln 8+-.(D) 32ln 8+. [ ](10)设区域}0,0,4),{(22≥≥≤+=y x y x y x D ,f(x)为D 上的正值连续函数,a,b 为常数,则=++⎰⎰σd y f x f y f b x f a D)()()()((A) πab . (B)π2ab. (C) π)(b a +.(D)π2ba + . [ ] (11)设函数⎰+-+-++=yx yx dt t y x y x y x u )()()(),(ψϕϕ, 其中函数ϕ具有二阶导数,ψ 具有一阶导数,则必有(A) 2222y u x u ∂∂-=∂∂. (B ) 2222yu x u ∂∂=∂∂. (C) 222y u y x u ∂∂=∂∂∂. (D) 222x u y x u ∂∂=∂∂∂. [ ] (12)设函数,11)(1-=-x x ex f 则( )(A )x=0,x=1都是f(x)的第一类间断点. (B )x=0,x=1都是f(x)的第二类间断点.(C )x=0是f(x)的第一类间断点,x=1是f(x)的第二类间断点.(D )x=0是f(x)的第二类间断点,x=1是f(x)的第一类间断点. [ ](13)设21,λλ是矩阵A 的两个不同的特征值,对应的特征向量分别为21,αα,则1α,)(21αα+A 线性无关的充分必要条件是(A) 01≠λ. (B) 02≠λ.(C) 01=λ. (D) 02=λ. [ ](14)设A 为n (2≥n )阶可逆矩阵,交换A 的第1行与第2行得矩阵B, **,B A 分别为A,B 的伴随矩阵,则 [ ] (A )交换*A 的第1列与第2列得*B . (B) 交换*A 的第1行与第2行得*B . (C) 交换*A 的第1列与第2列得*B -.(D) 交换*A 的第1行与第2行得*B -.三 、解答题(本题共9小题,满分94分.解答应写出文字说明、证明过程或演算步骤.) (15)(本题满分11分)设函数f(x)连续,且0)0(≠f ,求极限.)()()(lim⎰⎰--→x xx dtt x f x dtt f t x(16)(本题满分11分)如图,1C 和2C 分别是)1(21x e y +=和x e y =的图象,过点(0,1)的曲线3C 是一单调增函数的图象. 过2C 上任一点M(x,y)分别作垂直于x 轴和y 轴的直线x l 和y l . 记21,C C 与x l 所围图形的面积为)(1x S ;32,C C 与y l 所围图形的面积为).(2y S 如果总有)()(21y S x S =,求曲线3C 的方程).(y x ϕ=(17)(本题满分11分)如图,曲线C 的方程为y=f(x),点(3,2)是它的一个拐点,直线1l 与2l 分别是曲线C 在点(0,0)与(3,2)处的切线,其交点为(2,4). 设函数f(x)具有三阶连续导数,计算定积分⎰'''+32.)()(dx x f x x(18)(本题满分12分)用变量代换)0(cos π<<=t t x 化简微分方程0)1(2=+'-''-y y x y x ,并求其满足2,10='===x x y y的特解.(19)(本题满分12分)已知函数f(x)在[0,1]上连续,在(0,1)内可导,且f(0)=0,f(1)=1. 证明:(I )存在),1,0(∈ξ 使得ξξ-=1)(f ;(II )存在两个不同的点)1,0(,∈ζη,使得.1)()(=''ζηf f(20)(本题满分10分)已知函数z=f(x,y) 的全微分ydy xdx dz 22-=,并且f(1,1,)=2. 求f(x,y)在椭圆域}14),{(22≤+=y x y x D 上的最大值和最小值.(21)(本题满分9分)计算二重积分σd y xD⎰⎰-+122,其中}10,10),{(≤≤≤≤=y x y x D .(22)(本题满分9分)确定常数a,使向量组,),1,1(1T a =α,)1,,1(2Ta =αT a )1,1,(3=α可由向量组,),1,1(1T a =β,)4,,2(2T a -=βT a a ),,2(3-=β线性表示,但向量组321,,βββ不能由向量组321,,ααα线性表示.(23)(本题满分9分)22(1)nn+1试问a取何值时, 该方程组有非零解, 并求出其通解.(23)(本题满分9分)设矩阵12314315a-⎛⎫⎪--⎪⎪⎝⎭的特征方程有一个二重根, 求a的值, 并讨论A是否可相似对角化.2003年考研数学(二)真题(A) 求曲线 )(x f y =的方程;(B) 已知曲线x y sin =在],0[π上的弧长为l ,试用l 表示曲线)(x f y =的弧长s .九 、(本题满分10分)有一平底容器,其内侧壁是由曲线)0)((≥=y y x ϕ绕y 轴旋转而成的旋转曲面(如图),容器的底面圆的半径为2 m.根据设计要求,当以min /33m 的速率向容器内注入液体时,液面的面积将以min /2m π的速率均匀扩大(假设注入液体前,容器内无液体).+++1cos四、(本题满分7分)设.11.)1(232)(22≤≤<≤-⎪⎪⎩⎪⎪⎨⎧++=xxexexxxfxx,,,求函数⎰-=x dttfxF1)()(的表达式.五、(本题满分7分)已知函数)(xf在),(∞+0内可导,0)(>xf,1)(lim=+∞→xfx,且满足xh exfhxxfh11))()((lim=+→,求)(xf.六、(本题满分7分)求微分方程0)2(=-+dxyxxdy的一个解)(xyy=,使得由曲线)(xyy=与直线2,1==xx以及x轴所围成的平面图形绕x轴旋转一周的旋转体的体积最小.七、(本题满分7分)某闸门的形状与大小如图所示,其中直线l为对称轴,闸门的上部为矩形ABCD,下部由二次抛物线与线段AB所围成.当水面与闸门的上断相平时,欲使闸门矩形部分与承受的水压与闸门下部承受的水压之比为5:4,闸门矩形部分的高h应为多少米?八、(本题满分8分)设31<<x,)3(1nnnxxx-=+(n=1,2,…).证明:数列{nx}的极限存在,并求此极限.九、(本题满分8分)设ba<<0,证明不等式abababbaa1lnln222<--<+.1、设1101)(>≤⎩⎨⎧=x x x f ,,则)]}([{x f f f =( ) ( A ) 0;(B )1;(C )1101>≤⎩⎨⎧x x ; (D )111>≤⎩⎨⎧x x .2、设当0→x 时,)1ln()cos 1(2x x +-是比n x x sin 高阶的无穷小,而nx x sin 是比()12-x e高阶的无穷小,则正整数n 等于( )( A )1; (B )2;(C )3; (D )4.3、曲线22)3()1(--=x x y 的拐点的个数为( ) ( A )0;(B )1;(C )2;(D )3.4、已知函数)(x f 在区间(1-δ,1+δ)内具有二阶可导,)(x f ' 严格单调减小,且)1(f =)1(f '=1,则( ) (A )在(1-δ,1)和(1,1+δ)内均有)(x f x <; (B )在(1-δ,1)和(1,1+δ)内均有)(x f x >;(C )在(1-δ,1)内有)(x f x <,在(1,1+δ)内,有)(x f x >; (D )在(1-δ,1)内有)(x f x >,在(1,1+δ)内,有)(x f x <.5、已知函数)(x f y =在其定义域内可导,它的图形如图所示:则其导函数)(x f y '=的图形为 ( )三、(本题满分6分)求⎰++1)12(22x xdx.四、(本题满分7分)求极限sin sin sin lim()sin xt x t x t x-→记此极限为)(x f ,求函数)(x f 的间断点并指出其类型.1、 写出)(x f 的带拉格朗日余项的一阶麦克劳林公式;2、 证明在],[a a -上至少存在一点η,使⎰-=''a adx x f f a )(3)(3η十一、(本题满分6分)已知矩阵⎪⎪⎪⎭⎫ ⎝⎛=⎪⎪⎪⎭⎫ ⎝⎛=011101110,111011001B A 且矩阵X 满足X E E BXA AXB BXA AXA 阶单位矩阵,求是其中3,++=+.十二、(本题满分6分)已知4321,,,αααα是线性方程组0=AX 的一个基础解系,若144433322211,,,ααβααβααβααβt t t t +=+=+=+=,讨论实数t 满足什么关系时, 4321,,,ββββ也是0=AX 的一个基础解系.2000年全国硕士研究生入学统一考试数学(二)试卷一、填空题(本题共5小题,每小题3分,满分15分.把答案填在题中横线上) (1) ()=+-→30x 21ln arctan limx xx _____________.-(2)设函数()x y y =由方程y x xy+=2所确定,则=-0x dy _____________.(3)()=-+⎰+∞227x x dx_____________.(4)曲线()xe x y 112-=的斜渐进线方程为_____________.(5)设E A ,⎪⎪⎪⎪⎪⎭⎫ ⎝⎛---=7000650004300021为4阶单位矩阵,且()()()=+-+=--11,B E A E A E B 则_____________.(C )()().00的拐点)是曲线,点(x f y f = (D )()()()()00.0f x f f ,点的极值不是也不是曲线()x f y =的拐点8.设函数()()x g x f ,是大于零的可导函数,且()()()()时,有则当b x a x g x f x g x f <<<'-',0( ) (A )()()()().x g b f b g x f > (B )()()()().x g a f a g x f > (C )()()()().b g b f x g x f > (D )()()()().a g a f x g x f >9.若()()为则20306lim ,06sin lim x x f x x xf x x x +=⎪⎭⎫⎝⎛+→→( ) (A )0.(B )6.(C )36.(D )∞10.具有特解xx x e y xe y e y 3,2,321===--的3阶常系数齐次线性微分方程是( )(A ).0=+'-''-'''y y y y (B ).0=-'-''+'''y y y y(C ).06116=-'+''-'''y y y y (D ).022=+'-''-'''y y y y 三、解答题 11.设()()()⎰+=.,1ln ln dx x f xx x f 计算12.设xOy 平面上有正方形{}10,10,≤≤≤≤=y x y x D )(及直线()()t S t t y x l 若.0:≥=+表示正方形D 位于直线l 左下方部分的面积,试求()().00⎰≥xx dt t S13.求函数()()()().3001ln 2≥=+=n f n x x x x f x阶导数处的在14.设函数(),cos 0dt t x S x⎰=(1)当n 为正整数,且()()();1221+<≤+<≤n x S n n x n 时,证明:ππ21.已知向量组⎪⎪⎪⎭⎫ ⎝⎛=⎪⎪⎪⎭⎫ ⎝⎛=⎪⎪⎪⎭⎫ ⎝⎛-=01,1211032,1b a βββ,与向量组⎪⎪⎪⎭⎫ ⎝⎛-=⎪⎪⎪⎭⎫ ⎝⎛=⎪⎪⎪⎭⎫ ⎝⎛-=7691033213,2,1ααα,,具有相同的秩,且3β可由321ααα,,线性表示,求b a ,的值。
考研数二历年真题答案为了帮助考研数学二科目的学生更好地备考,以下整理了近几年的考研数学二历年真题及其详细答案。
通过仔细研究和解析这些真题,考生们可以更好地了解考试内容和出题思路,从而更有针对性地复习和备考。
一、2000年考研数学二真题及答案(下面是2000年考研数学二的真题及其答案,请考生查看。
)二、2001年考研数学二真题及答案(下面是2001年考研数学二的真题及其答案,请考生查看。
)三、2002年考研数学二真题及答案(下面是2002年考研数学二的真题及其答案,请考生查看。
)四、2003年考研数学二真题及答案(下面是2003年考研数学二的真题及其答案,请考生查看。
)五、2004年考研数学二真题及答案(下面是2004年考研数学二的真题及其答案,请考生查看。
)六、2005年考研数学二真题及答案(下面是2005年考研数学二的真题及其答案,请考生查看。
)七、2006年考研数学二真题及答案(下面是2006年考研数学二的真题及其答案,请考生查看。
)八、2007年考研数学二真题及答案(下面是2007年考研数学二的真题及其答案,请考生查看。
)九、2008年考研数学二真题及答案(下面是2008年考研数学二的真题及其答案,请考生查看。
)十、2009年考研数学二真题及答案(下面是2009年考研数学二的真题及其答案,请考生查看。
)十一、2010年考研数学二真题及答案(下面是2010年考研数学二的真题及其答案,请考生查看。
)十二、2011年考研数学二真题及答案(下面是2011年考研数学二的真题及其答案,请考生查看。
)十三、2012年考研数学二真题及答案(下面是2012年考研数学二的真题及其答案,请考生查看。
)十四、2013年考研数学二真题及答案(下面是2013年考研数学二的真题及其答案,请考生查看。
)十五、2014年考研数学二真题及答案(下面是2014年考研数学二的真题及其答案,请考生查看。
)十六、2015年考研数学二真题及答案(下面是2015年考研数学二的真题及其答案,请考生查看。
2007-2010年全国硕士研究生入学考试数学真题详解——线性代数部分一、2007年:1、(2007年数学一、二、三、四) 设向量组321,,ααα线性无关,则下列向量组线性相关的是(A) 133221,,αααααα---. (B) 133221,,αααααα+++.(C) 1332212,2,2αααααα---. (D) 1332212,2,2αααααα+++. [ ] 【答案】A【详解】用定义进行判定:令0)()()(133322211=-+-+-ααααααx x x ,得 0)()()(332221131=+-++-+-αααx x x x x x .因321,,ααα线性无关,所以 1312230,0,0.x x x x x x -=⎧⎪-+=⎨⎪-+=⎩ 又 011011101=---, 故上述齐次线性方程组有非零解, 即133221,,αααααα---线性相关. 类似可得(B), (C), (D)中的向量组都是线性无关的.2、(2007年数学一、二、三、四) 设矩阵⎪⎪⎪⎭⎫ ⎝⎛------=211121112A , ⎪⎪⎪⎭⎫ ⎝⎛=000010001B , 则A 与B(A) 合同, 且相似. (B) 合同, 但不相似 .(C) 不合同, 但相似. (D) 既不合同, 又不相似. [ ] 【答案】B【详解】 由0||=-A E λ 得A 的特征值为0, 3, 3, 而B 的特征值为0, 1, 1,从而A 与B 不相似.又r (A )=r (B )=2, 且A 、B 有相同的正惯性指数, 因此A 与B 合同. 故选(B) .3、(2007年数学一、二、三、四) 设矩阵⎪⎪⎪⎪⎪⎭⎫ ⎝⎛=0000100001000010A , 则3A 的秩为 . 【答案】1【详解】 依矩阵乘法直接计算得 ⎪⎪⎪⎪⎪⎭⎫ ⎝⎛=00000000000010003A , 故r (3A )=1.4、(2007年数学一、二、三、四)设线性方程组⎪⎩⎪⎨⎧=++=++=++04,02,03221321321xa x x ax x x x x x ①与方程12321-=++a x x x ②有公共解,求a 的值及所有公共解.【分析】 两个方程有公共解就是①与②联立起来的非齐次线性方程组有解. 【详解】 将①与②联立得非齐次线性方程组:⎪⎪⎩⎪⎪⎨⎧-=++=++=++=++.12,04,02,03213221321321a x x x x a x x ax x x x x x ③ 若此非齐次线性方程组有解, 则①与②有公共解, 且③的解即为所求全部公共解. 对③的增广矩阵A 作初等行变换得:→⎪⎪⎪⎪⎪⎭⎫⎝⎛-=112104102101112a a a A ⎪⎪⎪⎪⎪⎭⎫⎝⎛-----11000)1)(2(0001100111a a a a a .于是1° 当a =1时,有)()(A r A r ==2<3,方程组③有解, 即①与②有公共解, 其全部公共解即为③的通解,此时⎪⎪⎪⎪⎪⎭⎫⎝⎛→0000000000100101A , 此时方程组③为齐次线性方程组,其基础解系为: ⎪⎪⎪⎭⎫⎝⎛-101,所以①与②的全部公共解为⎪⎪⎪⎭⎫ ⎝⎛-101k ,k 为任意常数.2° 当a =2时,有)()(A r A r ==3,方程组③有唯一解, 此时⎪⎪⎪⎪⎪⎭⎫⎝⎛-→0000110010100001A ,故方程组③的解为:011⎛⎫ ⎪⎪ ⎪-⎝⎭, 即①与②有唯一公共解: 为123011x x x x ⎛⎫⎛⎫⎪ ⎪== ⎪ ⎪ ⎪ ⎪-⎝⎭⎝⎭.5、(2007年数学一、二、三、四)设3阶对称矩阵A的特征值,2,2,1321-===λλλ T)1,1,1(1-=α是A的属于1λ的一个特征向量,记E A A B +-=354其中E 为3阶单位矩阵.(I) 验证1α是矩阵B的特征向量,并求B 的全部特征值与特征向量.(II) 求矩阵B.【分析】 根据特征值的性质可立即得B 的特征值, 然后由B 也是对称矩阵可求出其另外两个线性无关的特征向量.【详解】 (I) 由11αα=A 得 1112ααα==A A , 进一步 113αα=A , 115αα=A , 故 1351)4(ααE A A B +-=113154ααα+-=A A1114ααα+-=12α-=,从而1α是矩阵B的属于特征值−2的特征向量.因E A A B +-=354, 及A的3个特征值,2,2,1321-===λλλ 得 B 的3个特征值为1,1,2321==-=μμμ.设32,αα为B 的属于132==μμ的两个线性无关的特征向量, 又A为对称矩阵,得B 也是对称矩阵, 因此1α与32,αα正交, 即0,03121==ααααT T 所以32,αα可取为下列齐次线性方程组两个线性无关的解:0)1,1,1(321=⎪⎪⎪⎭⎫ ⎝⎛-x x x ,其基础解系为: ⎪⎪⎪⎭⎫ ⎝⎛011,⎪⎪⎪⎭⎫ ⎝⎛-101 , 故可取2α=⎪⎪⎪⎭⎫ ⎝⎛011, 3α=⎪⎪⎪⎭⎫ ⎝⎛-101.即B 的全部特征值的特征向量为: ⎪⎪⎪⎭⎫⎝⎛-1111k , ⎪⎪⎪⎭⎫ ⎝⎛-+⎪⎪⎪⎭⎫ ⎝⎛10101132k k , 其中01≠k ,是不为零的任意常数, 32,k k 是不同时为零的任意常数.(II) 令),,(321ααα=P =⎪⎪⎪⎭⎫ ⎝⎛--101011111, 则 ⎪⎪⎪⎭⎫⎝⎛-=-1121BP P ,得 1112-⎪⎪⎪⎭⎫ ⎝⎛-=P P B =⎪⎪⎪⎭⎫ ⎝⎛--101011111⎪⎪⎪⎭⎫⎝⎛-112⎪⎪⎪⎭⎫ ⎝⎛--21112111131=⎪⎪⎪⎭⎫ ⎝⎛---102012112⎪⎪⎪⎭⎫ ⎝⎛--21112111131⎪⎪⎪⎭⎫ ⎝⎛--=011101110.二、2008年:1、(2008年数学一、二、三、四)设A 为n 阶非零矩阵,E 为n 阶单位矩阵.若30A =,则[ ]则下列结论正确的是:(A) E A -不可逆,则E A +不可逆. (B) E A -不可逆,则E A +可逆.(C) E A -可逆,则E A +可逆. (D) E A -可逆,则E A +不可逆. 【答案】应选(C).【详解】23()()E A E A A E A E -++=-=,23()()E A E A A E A E +-+=+=. 故E A -,E A +均可逆.故应选(C).2、(2008年数学一)设A 为3阶实对称矩阵,如果二次曲面方程()1x x yz A y z ⎛⎫⎪= ⎪ ⎪⎝⎭在正交变换下的标准方程的图形如图,则A 的正特征值个数为[ ](A) 0. (B) 1. (C) 2. (D) 3. 【答案】 应选(B).【详解】此二次曲面为旋转双叶双曲面,此曲面的标准方程为222221x y z a c +-=.故A 的正特征值个数为1.故应选(B).3、(2008年数学二、三、四)设1221A ⎛⎫=⎪⎝⎭,则在实数域上,与A 合同矩阵为[ ] (A) 2112-⎛⎫⎪-⎝⎭ . (B)2112-⎛⎫ ⎪-⎝⎭. (C) 2112⎛⎫ ⎪⎝⎭. (D) 1221-⎛⎫ ⎪-⎝⎭. 【答案】 应选(D). 【详解】2212(1)423(1)(3)021E A λλλλλλλλ---==--=--=+-=--则121,3λλ=-=,记1221D -⎛⎫=⎪-⎝⎭,则2212(1)423(1)(3)021E D λλλλλλλλ--==--=--=+-=-则121,3λλ=-=,正负惯性指数相同.故选D.4、(2008年数学一) 设A 为2阶矩阵,12,αα为线性无关的2维列向量,10A α=,2122A ααα=+.则A 的非零特征值为___________.【答案】应填1.【详解】根据题设条件,得1212121202(,)(,)(0,2)(,)01A A A αααααααα⎛⎫==+= ⎪⎝⎭.记12(,)P αα=,因12,αα线性无关,故12(,)P αα=是可逆矩阵.因此0201AP P ⎛⎫= ⎪⎝⎭,从而10201P AP -⎛⎫= ⎪⎝⎭.记0201B ⎛⎫= ⎪⎝⎭,则A 与B 相似,从而有相同的特征值. 因为2||(1)01E B λλλλλ--==--,0λ=,1λ=.故A 的非零特征值为1.5、(2008年数学二)设3阶矩阵A 的特征值为2,3,λ.若行列式|2|48A =-,则λ=___________. 【答案】应填1-.【详解】由482-=A ,依据方阵行列式的性质,则有48223-==A A ,即6-=A .又A 等于其特征值的乘积,即632321-=⨯⨯=⨯⨯=λλλλA ,得1-=λ. 6、(2008年数学三)设3阶方阵A 的特征值为1,2,2,E 为单位矩阵,则=--E A 14 .【答案】应填3.【详解】由方阵特征值的性质,E AA f -=-14)(,则14)(1-=-λλf ,故方阵EA --14的特征值分别为1,1,3,又由方阵行列式等于其特征值的乘积,则有341=--E A .7、(2008年数学四)设3阶方阵A 的特征值互不相同,若行列式0=A ,则A 的秩为 . 【答案】应填2.【详解】由题可知,方阵A 的特征值含有0,而其余两个非零,故A 的秩为2.8、(2008年数学一)设,αβ为3维列向量,矩阵TTA ααββ=+,其中,TTαβ分别是,αβ得转置.证明: (I ) 秩()2r A ≤;(II )若,αβ线性相关,则秩()2r A <.【详解】(I )【证法1】()()()()()()2TTTTr A r r r r r ααββααββαβ=+≤+≤+≤. 【证法2】因为TTA ααββ=+,A 为33⨯矩阵,所以()3r A ≤. 因为,αβ为3维列向量,所以存在向量0ξ≠,使得0,0T T αξβξ==于是 0T T A ξααξββξ=+= 所以0Ax =有非零解,从而()2r A ≤.【证法3】因为TTA ααββ=+,所以A 为33⨯矩阵.又因为()00T TTT A αααββαββ⎛⎫⎪=+= ⎪ ⎪⎝⎭, 所以|||0|00TT a A αββ==故 ()2r A ≤.(II )【证法】由,αβ线性相关,不妨设k αβ=.于是()2()()(1)()12TT T r A r r k rααβββββ=+=+≤≤<. 9、(2008年数学一、二、三、四) 设n 元线性方程组Ax b =,其中2222212121212a a a a a A a a a a ⎛⎫ ⎪⎪⎪=⎪ ⎪⎪ ⎪ ⎪⎝⎭,12n x x x x ⎛⎫ ⎪ ⎪= ⎪ ⎪⎝⎭,b 100⎛⎫ ⎪ ⎪= ⎪ ⎪⎝⎭.(I )证明行列式||(1)n A n a =+;(II )当a 为何值时,该方程组有惟一解,并求1x . (III )当a 为何值时,该方程组有无穷多解,并求其通解.【详解】(I )【证法1】数学归纳法.记2222212121||212n na a a a aD A a a a a ==以下用数学归纳法证明(1)nn D n a =+.当1n =时,12D a =,结论成立. 当2n =时,2222132a D a a a==,结论成立. 假设结论对小于n 的情况成立.将n D 按第一行展开得n n n a a a aD aD a a a a 2212211021212212--=-2122n n aD a D --=-1222(1)n n ana a n a --=-- (1)n n a =+故 (1)nA n a =+.【注】本题(1)也可用递推法.由2122n n n D aD a D --==-得,2211221()()n n n n n n n D aD a D aD a D a D a ------=-==-=.于是(1)n n D n a =+(I )【证法2】消元法.记2222212121||212na a a a aA a a a a =22122213121212212na a a ar ar a a a a -322222130124123321212naa a r ar a aa a a a -=n n na a a n r ar nn a n n a n 121301240113111----+(1)n n a =+.(II )【详解】当0a ≠时,方程组系数行列式0n D ≠,故方程组有惟一解.由克莱姆法则,将n D 得第一列换成b ,得行列式为22211222211121021212121212122n n nn a aa a a aa aD na a a a a a a a a ---===所以,11(1)n n D ax D n a-==+. (III )【详解】 当0a =时,方程组为12101101001000n n x x x x -⎛⎫⎛⎫⎛⎫ ⎪⎪ ⎪ ⎪ ⎪ ⎪⎪ ⎪ ⎪=⎪ ⎪ ⎪ ⎪ ⎪ ⎪ ⎪ ⎪ ⎪⎝⎭⎝⎭⎝⎭ 此时方程组系数矩阵得秩和增广矩阵得秩均为1n -,所以方程组有无穷多组解,其通解为()()010100TTx k =+,其中k 为任意常数.10、(2008年数学二、三、四)设A 为3阶矩阵,12,αα为A 的分别属于特征值1,1-的特征向量,向量3α满足321A ααα=+,(I)证明123,,ααα线性无关; (II)令123(,,)P ααα=,求1P AP -.【详解】(I)【证明】设有一组数123,,k k k ,使得 122330k k k ααα++=. 用A 左乘上式,得112233()()()0k A k A k A ααα++=. 因为 11A αα=-, 22A αα=,321A ααα=+, 所以 1123233()0k k k k ααα-+++=, 即113220k k αα-=.由于12,αα是属于不同特征值得特征向量,所以线性无关,因此130k k ==,从而有20k =.故 123,,ααα线性无关.(II )由题意,100011001AP P -⎛⎫⎪= ⎪ ⎪⎝⎭.而由(I )知,123,,ααα线性无关,从而123(,,)P ααα=可逆.故1100011001P AP --⎛⎫⎪= ⎪ ⎪⎝⎭.三、2009年:1、(2009年数学一)设123,,ααα是3维向量空间3R 的一组基,则由基12311,,23ααα到基 122331,,αααααα+++的过渡矩阵为()A 101220033⎛⎫⎪⎪ ⎪⎝⎭. ()B 120023103⎛⎫⎪⎪ ⎪⎝⎭.()C 111246111246111246⎛⎫- ⎪ ⎪ ⎪- ⎪ ⎪ ⎪- ⎪⎝⎭.()D 111222111444111666⎛⎫-⎪ ⎪ ⎪- ⎪ ⎪ ⎪- ⎪⎝⎭. 【答案】A【解析】因为()()1212,,,,,,n n A ηηηααα=,则A 称为基12,,,n ααα到12,,,nηηη的过渡矩阵。
全国硕士研究生入学统一考试数学二试题一、选择题:110:小题,每小题4分,共40分,下列每题给出的四个选项中,只有一个选项符合题目要求的,请将所选项前的字母填在答题纸指定位置上.(1)当0x +→等价的无穷小量是( )A.1-B1C.1D -(2)函数11()tan ()()xxe e xf x x e e +=-在[],ππ-上的第一类间断点是x =( ).A 0 .B 1 .C 2π-.D 2π (3)如图.连续函数()y f x =在区间[][]3,2,2,3--上的图形分别是直径为1的上、下半圆周,在区间[][]2,0,0,2-上的图形分别是直径为2的上、下半圆周.设0()(),xF x f t dt =⎰则下列结论正确的是( ).A (3)F 3(2)4F =-- .B (3)F 5(2)4F = .C (3)F - 3(2)4F = .D (3)F -5(2)4F =--(4)设函数()f x 在0x =连续,则下列命题错误的是( ).A 若0()limx f x x →存在,则(0)0f = .B 若0()()lim x f x f x x →+-存在,则(0)0f =.C 若0()lim x f x x →存在,则(0)f '存在 .D 若0()()lim x f x f x x→--存在,则(0)f '存在(5)曲线1ln(1)xy e x=++渐近线的条数为( ).A 0 .B 1 .C 2 .D 3(6)设函数()f x 在(0,)+∞上具有二阶导数,且()0f x ''>,令()(1,2,)n u f n n ==L ,则下列结论正确的是( ).A 若12u u >,则{}n u 必收敛 .B 若12u u >,则{}n u 必发散.C 若12u u <,则{}n u 必收敛 .D 若12u u <,则{}n u 必发散(7) 二元函数(,)f x y 在点(0,0)处可微的一个充分条件是( ).A[](,)(0,0)lim(,)(0,0)0x y f x y f →-=.B []0(,0)(0,0)lim0x f x f x→-=且[]0(0,)(0,0)lim 0y f y f y→-=.C(,)(,)(0,0)lim0x y f x y f →-=.D []0lim (,0)(0,0)0x x x f x f →''-=且 0lim (0,)(0,0)0y y y f y f →''⎡⎤-=⎣⎦ (8)设函数(,)f x y 连续,则二次积分1sin 2(,)xdx f x y dy ππ⎰⎰等于( ).A 1arcsin (,)ydy f x y dx ππ+⎰⎰.B 10arcsin (,)ydy f x y dx ππ-⎰⎰.C 1arcsin 02(,)ydy f x y dx ππ+⎰⎰ .D 1arcsin 02(,)ydy f x y dx ππ-⎰⎰(9)设向量组123,,ααα线性无关,则下列向量组线性相关的是 ( ).A 12αα-2331,,αααα-- .B 21αα+2331,,αααα++ .C 1223312,2,2αααααα--- .D 1223312,2,2αααααα+++(10)设矩阵211121112A --⎡⎤⎢⎥=--⎢⎥⎢⎥--⎣⎦,100010000B ⎡⎤⎢⎥=⎢⎥⎢⎥⎣⎦则A 与B ( ) .A 合同,且相似 .B 合同,但不相似.C 不合同,但相似 .D 既不合同,也不相似二、填空题:11-16小题,每小题4分,共24分,请将答案写在答题纸指定位置上. (11)30arctan sin lim_____x x xx →-=(12)曲线2cos cos 1sin x t t y t⎧=+⎨=+⎩上对应于4t π=的点处的法线斜率为_____(13)设函数123y x =+,则()(0)_____n y = (14)二阶常系数非齐次线性微分方程2432xy y y e '''-+=的通解为_____y =(15)设(,)f u v 是二元可微函数,(,),y x z f x y =则z zxy x y∂∂-=∂∂_____ (16) 设矩阵01000010,00010000A ⎛⎫⎪⎪= ⎪⎪⎝⎭则3A 的秩为_____.三、解答题:17-24小题,共86分.请将解答写在答题纸指定的位置上.解答应写出文字说明、证明过程或演算步骤. (17)(本题满分10分)设()f x 是区间[0,]4π上的单调、可导函数,且满足()10cos sin ()sin cos f x xt tf t dt tdt t t--=+⎰⎰其中1f-是f 的反函数,求()f x .(18)(本题满分11分)设D是位于曲线2(1,0)xay a x -=>≤<+∞下方、x 轴上方的无界区域.(Ⅰ)求区域D 绕x 轴旋转一周所成旋转体的体积()V a ; (Ⅱ)当a 为何值时,()V a 最小?并求出最小值.(19)(本题满分10分)求微分方程2()y x y y ''''+=满足初始条件(1)(1)1y y '==的特解. (20)(本题满分11分)已知函数()f u 具有二阶导数,且(0)1f '=,函数()y y x =由方程11y y xe--=所确定.设(ln sin )z f y x =-,求2002,x x dz d zdxdx ==.(21)(本题满分11分)设函数()f x ,()g x 在[],a b 上连续,在(,)a b 内二阶可导且存在相等的最大值,又()f a =()g a ,()f b =()g b ,证明:存在(,),a b ξ∈使得''()''().f g ξξ=(22)(本题满分11分)设二元函数2,1(,)12x x y f x y x y ⎧+≤⎪=<+≤计算二重积分(,)Df x y d σ⎰⎰,其中{}(,)2D x y x y =+≤(23)(本题满分11分)设线性方程组1231232123020(1)40x x x x x ax x x a x ⎧++=⎪++=⎨⎪++=⎩12321(2)x x x a ++=-与方程有公共解,求a 得值及所有公共解.(24)(本题满分11分)设3阶实对称矩阵A 的特征值12311,2,2,(1,1,1)Tλλλα===-=-是A 的属于1λ的一个特征向量.记534B A A E =-+,其中E 为3阶单位矩阵.(Ⅰ)验证1α是矩阵B 的特征向量,并求B 的全部特征值与特征向量; (Ⅱ)求矩阵B .。
黄先开辅导地位:历届考生公认的“线性代数第一人”,北京理工大学应用数学系硕士,中国科学院数学与系统科学研究院获博士,美国哈佛大学访问学者,现任北京工商大学数学系主任、教授。
授课特点:理论扎实,表达独到,基础为纲,技巧为器,言简意赅,重点突出,伐毛洗髓,效果极佳名师风采:曾被评为北京市优秀青年骨干教师;1997年被授予“有突出贡献的部级青年专家”称号;曾在国内外一级刊物上发表论文30余篇,单独完成以及合作完成数学专著10多部。
曹显兵辅导地位:考研数学辅导的“概率第一人”;数学系教授,中国科学院数学与系统科学类)》稿.(1) 】【【分析】 利用已知无穷小量的等价代换公式,尽量将四个选项先转化为其等价无穷小量,再进行比较分析找出正确答案.【详解】当0x +→时,有1(1)~-=--1~;2111~.22x -= 利用排除法知应选(B). 【评注】 本题直接找出ln的等价无穷小有些困难,但由于另三个的等价无穷小很容易得到,因此通过排除法可得到答案。
事实上,2000ln(1)ln(1) lim lim limtx x tt tt+++→→→+--==22200212(1)111lim lim 1.1(1)(1)t ttt t tt tt t++→→+-+++-==+-完全类似例题见《经典讲义》P.28例1.63, 例1.64, 例1.65及辅导班讲义例1.6.1x【型。
【又【(3)如图,连续函数y=f(x)在区间[−3,−2],[2,3]上的图形分别是直径为1的上、下半圆周,在区间[−2,0],[0,2]的图形分别是直径为2的下、上半圆周,设()().xF x f t dt=⎰则下列结论正确的是(A)3(3)(2)4F F=--. (B)5(3)(2)4F F=.(C) )2(43)3(FF=-. (D) )2(45)3(--=-FF.【】【答案】应选(C).【分析】 本题考查定积分的几何意义,应注意f (x )在不同区间段上的符号,从而搞清楚相应积分与面积的关系。
2007年考研数学二真题一.选择题(本题共10小题,每小题4分,满分40分,在每小题给的四个选项中,只有一项符合题目要求,把所选项前的字母填在题后括号内)(1) 当0x +→( )A. 1-B.lnC. 1D.1-(2)函数11()tan ()()xxe e xf x x e e +=-在区间[],ππ-上的第一类间断点是x =( )A. 0B. 1C. 2π-D. 2π (3)如图.连续函数()y f x =在区间[][]3,2,2,3--上的图形分别是直径为1的上、下半圆周,在区间[][]2,0,0,2-上图形分别是直径为2的上、下半圆周,设0()(),xF x f t dt =⎰则下列结论正确的是: ( ).A .(3)F 3(2)4F =-- .B (3)F 5(2)4F = .C (3)F - 3(2)4F =- .D (3)F -5(2)4F =-- (4)设函数f (x )在x=0处连续,下列命题错误的是 ( )A. 若0()limx f x x →存在,则(0)0f = B. 若0()()lim x f x f x x→+-存在, (0)0f =C. 若0()lim x f x x →存在, 则(0)0f '=D. 0()()l i m x f x f x x→--存在, (0)0f =(5)曲线1ln(1),xy e x=++渐近线的条数为 ( ).A 0 .B 1 .C 2 .D 3(6)设函数()f x 在(0,)+∞上具有二阶导数,且"()0f x >, 令n u = ()1,2.......,,f n n = 则下列结论正确的是 ( )A.若12u u >,则{}n u 必收敛B. 若12u u >,则{}n u 必发散C. 若12u u <,则{}n u 必收敛D. 若12u u <,则{}n u 必发散 (7)二元函数(,)f x y 在点(0,0)处可微的一个充分条件是 ( ) A.()()()(),0,0lim,0,00x y f x y f →-=⎡⎤⎣⎦B. ()(),00,0lim0x f x f x→-=,且()()00,0,0lim0y f y f y →-=C.()(,0,0,00,0lim0x y f x f →-=D. ()0lim ',0'(0,0)0,x x x f x f →-=⎡⎤⎣⎦且()0lim ',0'(0,0)0,y y y f x f →⎡⎤-=⎣⎦ (8)设函数(,)f x y 连续,则二次积分1sin 2(,)x dx f x y dy ππ⎰⎰等于 ( ).A10arcsin (,)y dy f x y dx ππ+⎰⎰ .B 10arcsin (,)y dy f x y dy ππ-⎰⎰.C 1arcsin 02(,)y dy f x y dx ππ+⎰⎰ .D 1arcsin 02(,)y dy f x y dx ππ-⎰⎰(9)设向量组123,,ααα线形无关,则下列向量组线形相关的是: ( ) (A ) ,,122331αααααα--- (B ) ,,122331αααααα+++ (C ) 1223312,2,2αααααα--- (D )1223312,2,2αααααα+++(10)设矩阵A=211121112--⎛⎫ ⎪-- ⎪ ⎪--⎝⎭,B=100010000⎛⎫ ⎪⎪ ⎪⎝⎭,则A 于B , ( )(A) 合同,且相似 (B) 合同,但不相似(C) 不合同,但相似 (D)既不合同,也不相似二.填空题:11-16小题,每小题4分,共24分,请将答案写在答题纸指定位置上(11)30arctan sin limx x xx→-=____. (12)曲线2cos cos 1sin x t t y t⎧=+⎨=+⎩上对应于4t π=的点处的法线斜率为_____ (13)设函数123y x =+,则()0ny =_____.(14)二阶常系数非齐次线性微分方程2''4'32x y y y e -+=的通解y =_____. (15)设(,)f u v 是二元可微函数,(,)y x z f x y =,则_____z zx yx y∂∂-=∂∂.(16)设矩阵01000010********A ⎛⎫⎪⎪= ⎪⎪⎝⎭,则3A 的秩为______.三、解答题:17-24小题,共86分.请将解答写在答题纸指定的位置上.解答应写出文字说明、证明过程或演算步骤. (17)设()f x 是区间0,4π⎡⎤⎢⎥⎣⎦上单调、可导函数,且满足()100cos sin ()sin cos f x x t t f t dt t dt t t --=+⎰⎰,其中1f-是f 的反函数,求()f x .(18)(本题满分11分) 设D是位于曲线y =- ()1,0a x >≤<+∞下方、x 轴上方的无界区域.(Ⅰ)求区域D 绕x 轴旋转一周所成旋转体的体积()V a ; (Ⅱ)当a 为何值时,()V a 最小?并求此最小值.(19)求微分方程()2''''y x y y +=满足初始条件(1)'(1)1y y ==的特解. (20)已知函数()f a 具有二阶导数,且'(0)f =1,函数()y y x =由方程11y y xe--=所确定.设(ln sin ),z f y x =-求x dzdx=,202x d z dx=.(21)(本题11分) 设函数(),()f x g x 在[,]a b 上连续,在(,)a b 内具有二阶导数且存在相等的最大值,()(),()()f a g a f b g b ==证明:存在(,)a b ξ∈,使得''''()()f g ξξ=.(22)(本题满分11分)设二元函数2.1.(,)12.x x y f x y x y ⎧+≤⎪=≤+≤计算二重积分(,).Df x y d σ⎰⎰其中{}(,)2D x y x y =+≤(23)(本题满分11分)设线性方程组1231232123020(1)40x x x x x ax x x a x ⎧++=⎪++=⎨⎪++=⎩与方程12321(2)x x x a ++=-有公共解,求a 的值及所有公共解(24)设3阶对称矩阵A 的特征向量值1231,2,2,λλλ===-1(1,1,1)Tα=-是A 的属于1λ的一个特征向量,记534B A A E =-+其中E 为3阶单位矩阵()I 验证1α是矩阵B 的特征向量,并求B 的全部特征值的特征向量; ()II 求矩阵B .2007年考研数学二真题解析一.选择题(本题共10小题,每小题4分,满分40分,在每小题给的四个选项中,只有一项符合题目要求,把所选项前的字母填在题后括号内)(2) 当0x +→(B )A. 1-B.lnC. 1D.1-(2)函数11()tan ()()xxe e xf x x e e +=-在区间[],ππ-上的第一类间断点是x =(A)A. 0B. 1C. 2π-D. 2π (3)如图.连续函数()y f x =在区间[][]3,2,2,3--上的图形分别是直径为1的上、下半圆周,在区间[][]2,0,0,2-上图形分别是直径为2的上、下半圆周,设0()(),xF x f t dt =⎰则下列结论正确的是:(C ).A .(3)F 3(2)4F =-- .B (3)F 5(2)4F = .C (3)F - 3(2)4F =- .D (3)F -5(2)4F =-- (4)设函数f (x )在x=0处连续,下列命题错误的是 (C)A. 若0()limx f x x →存在,则(0)0f = B. 若0()()lim x f x f x x→+-存在, (0)0f =C. 若0()lim x f x x →存在, 则(0)0f '=D. 0()()lim x f x f x x→--存在, (0)0f =(5)曲线1ln(1),xy e x=++渐近线的条数为 (D ).A 0 .B 1 .C 2 .D 3(6)设函数()f x 在(0,)+∞上具有二阶导数,且"()0f x >, 令n u = ()1,2.......,,f n n = 则下列结论正确的是 (D)A.若12u u >,则{}n u 必收敛B. 若12u u >,则{}n u 必发散C. 若12u u <,则{}n u 必收敛D. 若12u u <,则{}n u 必发散 (7)二元函数(,)f x y 在点(0,0)处可微的一个充分条件是 (B ) A.()()()(),0,0lim,0,00x y f x y f →-=⎡⎤⎣⎦B. ()(),00,0lim0x f x f x→-=,且()()00,0,0lim0y f y f y →-=C.()(,0,0,00,0lim0x y f x f →-=D. ()0lim ',0'(0,0)0,x x x f x f →-=⎡⎤⎣⎦且()0lim ',0'(0,0)0,y y y f x f →⎡⎤-=⎣⎦ (8)设函数(,)f x y 连续,则二次积分1sin 2(,)x dx f x y dy ππ⎰⎰等于 (B ).A10arcsin (,)y dy f x y dx ππ+⎰⎰ .B 10arcsin (,)y dy f x y dy ππ-⎰⎰.C 1arcsin 02(,)y dy f x y dx ππ+⎰⎰ .D 1arcsin 02(,)y dy f x y dx ππ-⎰⎰(9)设向量组123,,ααα线形无关,则下列向量组线形相关的是: (A) (A ) ,,122331αααααα--- (B ) ,,122331αααααα+++ (C ) 1223312,2,2αααααα--- (D )1223312,2,2αααααα+++(10)设矩阵A=211121112--⎛⎫ ⎪-- ⎪ ⎪--⎝⎭,B=100010000⎛⎫ ⎪⎪ ⎪⎝⎭,则A 于B , (B )(A) 合同,且相似 (B) 合同,但不相似(C) 不合同,但相似 (D)既不合同,也不相似二.填空题:11-16小题,每小题4分,共24分,请将答案写在答题纸指定位置上(11)30arctan sin limx x x x →-=16.(12)曲线2cos cos 1sin x t t y t⎧=+⎨=+⎩上对应于4t π=1). (13)设函数123y x =+,则()0ny =23n -⋅.(14)二阶常系数非齐次线性微分方程2''4'32x y y y e -+=的通解y =_32122x x x C e C e e +-. (15)设(,)f u v 是二元可微函数,(,)y x z f x y=,则1222(,)(,)z z y y x x y x xy f f x y x x y y x y∂∂''-=-+∂∂.(16)设矩阵01000010********A ⎛⎫⎪⎪= ⎪⎪⎝⎭,则3A 的秩为_1______.三、解答题:17-24小题,共86分.请将解答写在答题纸指定的位置上.解答应写出文字说明、证明过程或演算步骤. (17)设()f x 是区间0,4π⎡⎤⎢⎥⎣⎦上单调、可导函数,且满足()100cos sin ()sin cos f x x t t f t dt t dt t t --=+⎰⎰,其中1f-是f 的反函数,求()f x .【详解】: 设(),y f t =则1()t fy -=.则原式可化为:1(0)0cos sin '()sin cos xxf t tyf y dy tdt t t--=+⎰⎰ 等式两边同时求导得:cos sin '()sin cos x xxf x x x x-=+c o s s i n'()s i n c o sx x f x x x -=+ (18)(本题满分11分) 设D是位于曲线y =- ()1,0a x >≤<+∞下方、x 轴上方的无界区域.(Ⅰ)求区域D 绕x 轴旋转一周所成旋转体的体积()V a ; (Ⅱ)当a 为何值时,()V a 最小?并求此最小值. 【详解】:22222()())(ln )xa a I V a y dx dx a πππ-+∞+∞===⎰⎰ 22412(ln )(2ln )2()()0(ln )a a a a II V a a π-'=⋅= 得ln (ln 1)0a a -=故ln 1a =即a e =是唯一驻点,也是最小值点,最小值2()V e e π= (19)求微分方程()2''''y x y y +=满足初始条件(1)'(1)1y y ==的特解.【详解】: 设dy p y dx '==,则dpy dx''=代入得:22()dp dx x p x x p p p dx dp p p++=⇒==+ 设x u p= 则()d pu u p dp =+du u p u p dp ⇒+=+1dudp ⇒=1u p c ⇒=+ 即21x p c p =+ 由于(1)1y '=故11110c c =+⇒=即2x p =32223dy p y x c dx ⇒==⇒=±+ 由21(1)13y c =⇒=或253c = 特解为322133y x =+或322533y x =-+(20)已知函数()f a 具有二阶导数,且'(0)f =1,函数()y y x =由方程11y y xe--=所确定.设(ln sin ),z f y x =-求x dzdx=,202x d zdx=.【详解】: 11y y xe--=两边对x 求导得11()0y y y e xe y --''-+⋅=得 111y y e y xe --'=- (当01)x y ==,故有11121x e y -='==-1(ln sin )(cos )(0)(111)0x x dz f y x y x f dxy=='''=--=⨯-=222221()(ln sin )(cos )(ln sin )(sin )x x d z y f y x y x f y x x dx y y=='''''=--+--+221(0)(111)(0)(10)1(1)11f f -'''=⨯-+⨯+=⨯-=- (21)(本题11分)设函数(),()f x g x 在[,]a b 上连续,在(,)a b 内具有二阶导数且存在相等的最大值,()(),()()f a g a f b g b ==证明:存在(,)a b ξ∈,使得''''()()f g ξξ=.【详解】:证明:设(),()f x g x 在(,)a b 内某点(,)c a b ∈同时取得最大值,则()()f c g c =,此时的c 就是所求点()()f g ηηη=使得.若两个函数取得最大值的点不同则有设()max (),()max ()f c f x g d g x ==故有()()0,()()0f c g c g d f d ->-<,由介值定理,在(,)c d 内肯定存在()()f g ηηη=使得由罗尔定理在区间(,),(,)a b ηη内分别存在一点''1212,,()()f f ξξξξ使得==0在区间12(,)ξξ内再用罗尔定理,即''''(,)()()a b f g ξξξ∈=存在,使得.(22)(本题满分11分)设二元函数2.1.(,)12.x x y f x y x y ⎧+≤⎪=≤+≤计算二重积分(,).Df x y d σ⎰⎰其中{}(,)2D x y x y =+≤【详解】:D 如图(1)所示,它关于x,y 轴对称,(,)f x y 对x,y 均为偶函数,得1(,)4(,)DD f x y d f x y d σσ=⎰⎰⎰⎰,其中1D 是D 的第一象限部分.由于被积函数分块表示,将1D 分成(如图(2)):11112D D D =,且(1)(2)1112:1,0,0 :12,0,0D x y x y D x y x y +≤≥≥≤+≤≥≥于是11212(,)(,)(,)D D D f x y d f x y d f x y d σσσ=+⎰⎰⎰⎰⎰⎰.而111112200111(,)(1)3412xD f x y d dx x dy x x dx σ-==-=-=⎰⎰⎰⎰⎰121222cos sin 10cos sin 1(,)()D D f x y d d rdr rπθθθθσσθ++==⋅⎰⎰⎰⎰极坐标变换2200221122200021112001cos sin cos sin 2sin cos222(tan )222122(1)1tan 2tan22221)u td d d du du u u u dt dt t πππθθθθθθθθθθθ-===+-+===-+---+==-===⎰⎰⎰⎰⎰⎰ 所以11(,)1)12D f x y d σ=⎰⎰得1(,)4(1))12Df x y d σ=+⎰⎰(23)(本题满分11分)设线性方程组1231232123020(1)40x x x x x ax x x a x ⎧++=⎪++=⎨⎪++=⎩与方程12321(2)x x x a ++=-有公共解,求a 的值及所有公共解. 【详解】:因为方程组(1)、(2)有公共解,即由方程组(1)、(2)组成的方程组1231232123123020(3)4021x x x x x ax x x a x x x x a ++=⎧⎪++=⎪⎨++=⎪⎪++=-⎩的解.即矩阵211100201401211aa a ⎛⎫ ⎪ ⎪ ⎪ ⎪ ⎪-⎝⎭211100110001000340a a a ⎛⎫ ⎪- ⎪→⎪- ⎪ ⎪++⎝⎭方程组(3)有解的充要条件为 1,2a a ==.当1a =时,方程组(3)等价于方程组(1)即此时的公共解为方程组(1)的解.解方程组(1)的基础解系为(1,0,1)Tξ=-此时的公共解为:,1,2,x k k ξ==当2a =时,方程组(3)的系数矩阵为111011101220011014400001111100⎛⎫⎛⎫⎪ ⎪⎪ ⎪→ ⎪ ⎪⎪ ⎪⎝⎭⎝⎭此时方程组(3)的解为1230,1,1x x x ===-,即公共解为:(0,1,1)Tk -(24)设3阶对称矩阵A 的特征向量值1231,2,2,λλλ===-1(1,1,1)Tα=-是A 的属于1λ的一个特征向量,记534B A A E =-+其中E 为3阶单位矩阵()I 验证1α是矩阵B 的特征向量,并求B 的全部特征值的特征向量; ()II 求矩阵B .【详解】:(Ⅰ)可以很容易验证111(1,2,3...)n nA n αλα==,于是5353111111(4)(41)2B A A E ααλλαα=-+=-+=- 于是1α是矩阵B 的特征向量.B 的特征值可以由A 的特征值以及B 与A 的关系得到,即 53()()4()1B A A λλλ=-+,所以B 的全部特征值为-2,1,1.前面已经求得1α为B 的属于-2的特征值,而A 为实对称矩阵,于是根据B 与A 的关系可以知道B 也是实对称矩阵,于是属于不同的特征值的特征向量正交,设B 的属于1的特征向量为123(,,)Tx x x ,所以有方程如下:1230x x x -+=于是求得B 的属于1的特征向量为23(1,0,1),(1,1,0)T Tαα=-=(Ⅱ)令矩阵[]123111,,101110P ααα-⎡⎤⎢⎥==-⎢⎥⎢⎥⎣⎦,则1(2,1,1)P BP diag -=-,所以1111333111112(2,1,1)101(2,1,1)333110121333B P d i a g P d i a g -⎡⎤-⎢⎥-⎡⎤⎢⎥⎢⎥⎢⎥=⋅-⋅=---⎢⎥⎢⎥⎢⎥⎢⎥⎣⎦⎢⎥⎢⎥⎣⎦011101110-⎡⎤⎢⎥=⎢⎥⎢⎥-⎣⎦。
2007年考研数学二真题解析一.选择题(本题共10小题,每小题4分,满分40分,在每小题给的四个选项中,只有一项符合题目要求,把所选项前的字母填在题后括号内)(1) 当0x +→(B )A. 1-B.lnC. 1D.1-(2)函数11()tan ()()xxe e xf x x e e +=-在区间[],ππ-上的第一类间断点是x =(A)A. 0B. 1C. 2π-D.2π (3)如图.连续函数()y f x =在区间[][]3,2,2,3--上的图形分别是直径为1的上、下半圆周,在区间[][]2,0,0,2-上图形分别是直径为2的上、下半圆周,设0()(),xF x f t dt =⎰则下列结论正确的是:(C ).A .(3)F 3(2)4F =-- .B (3)F 5(2)4F = .C (3)F - 3(2)4F =- .D (3)F -5(2)4F =--(4)设函数f (x )在x=0处连续,下列命题错误的是 (C)A. 若0()limx f x x →存在,则(0)0f = B. 若0()()lim x f x f x x→+-存在, (0)0f =C. 若0()lim x f x x →存在, 则(0)0f '=D. 0()()lim x f x f x x→--存在, (0)0f =(5)曲线1ln(1),xy e x=++渐近线的条数为 (D ).A 0 .B 1 .C 2 .D 3(6)设函数()f x 在(0,)+∞上具有二阶导数,且"()0f x >, 令n u = ()1,2.......,,f n n = 则下列结论正确的是 (D)A.若12u u >,则{}n u 必收敛B. 若12u u >,则{}n u 必发散C. 若12u u <,则{}n u 必收敛D. 若12u u <,则{}n u 必发散 (7)二元函数(,)f x y 在点(0,0)处可微的一个充分条件是 (B ) A.()()()(),0,0lim,0,00x y f x y f →-=⎡⎤⎣⎦B. ()()0,00,0lim0x f x f x →-=,且()()00,0,0lim 0y f y f y→-=C.()(,0,0,00,0lim0x y f x f →-=D. ()0lim ',0'(0,0)0,x x x f x f →-=⎡⎤⎣⎦且()0lim ',0'(0,0)0,y y y f x f →⎡⎤-=⎣⎦ (8)设函数(,)f x y 连续,则二次积分1sin 2(,)x dx f x y dy ππ⎰⎰等于 (B ).A10arcsin (,)y dy f x y dx ππ+⎰⎰ .B 10arcsin (,)y dy f x y dy ππ-⎰⎰.C 1arcsin 02(,)y dy f x y dx ππ+⎰⎰.D 1arcsin 02(,)y dy f x y dx ππ-⎰⎰(9)设向量组123,,ααα线形无关,则下列向量组线形相关的是: (A) (A ),,122331αααααα--- (B ) ,,122331αααααα+++(C ) 1223312,2,2αααααα--- (D )1223312,2,2αααααα+++(10)设矩阵A=211121112--⎛⎫ ⎪-- ⎪ ⎪--⎝⎭,B=100010000⎛⎫ ⎪⎪ ⎪⎝⎭,则A 于B , (B )(A) 合同,且相似 (B) 合同,但不相似(C) 不合同,但相似 (D)既不合同,也不相似二.填空题:11-16小题,每小题4分,共24分,请将答案写在答题纸指定位置上(11)30arctan sin limx x x x →-=16.(12)曲线2cos cos 1sin x t t y t⎧=+⎨=+⎩上对应于4t π=1).(13)设函数123y x =+,则()0ny =23n -⋅.(14)二阶常系数非齐次线性微分方程2''4'32x y y y e -+=的通解y =_32122x x x C e C e e +-. (15)设(,)f u v 是二元可微函数,(,)y x z f x y=,则1222(,)(,)z z y y x x y x xy f f x y x x y y x y∂∂''-=-+∂∂.(16)设矩阵0100001000010000A ⎛⎫ ⎪⎪= ⎪ ⎪⎝⎭,则3A 的秩为_1______. 三、解答题:17-24小题,共86分.请将解答写在答题纸指定的位置上.解答应写出文字说明、证明过程或演算步骤. (17)设()f x 是区间0,4π⎡⎤⎢⎥⎣⎦上单调、可导函数,且满足()100cos sin ()sin cos f x x t t f t dt t dt t t --=+⎰⎰,其中1f-是f 的反函数,求()f x .【详解】:设(),y f t =则1()t f y -=.则原式可化为:1(0)0cos sin '()sin cos xxf t t yf y dy tdt t t--=+⎰⎰ 等式两边同时求导得:cos sin '()sin cos x xxf x x x x-=+c o s s i n '()s i n c o sx x f x x x -=+ (18)(本题满分11分) 设D是位于曲线y =- ()1,0a x >≤<+∞下方、x 轴上方的无界区域.(Ⅰ)求区域D 绕x 轴旋转一周所成旋转体的体积()V a ; (Ⅱ)当a 为何值时,()V a 最小?并求此最小值. 【详解】:22222()())(ln )xa a I V a y dx dx a πππ-+∞+∞===⎰⎰ 22412(ln )(2ln )2()()0(ln )a a a a II V a a π-'=⋅= 得ln (ln 1)0a a -=故ln 1a =即a e =是唯一驻点,也是最小值点,最小值2()V e eπ=(19)求微分方程()2''''y x y y +=满足初始条件(1)'(1)1y y ==的特解.【详解】: 设dy p y dx '==,则dpy dx''=代入得:22()dp dx x p x x p p p dx dp p p++=⇒==+设x u p= 则()d pu u p dp =+du u p u p dp ⇒+=+1dudp ⇒=1u p c ⇒=+即21x p c p =+ 由于(1)1y '= 故11110c c =+⇒=即2x p =32223dy p y x c dx ⇒==⇒=±+ 由21(1)13y c =⇒=或253c = 特解为322133y x =+或322533y x =-+(20)已知函数()f a 具有二阶导数,且'(0)f =1,函数()y y x =由方程11y y xe --=所确定.设(ln sin ),z f y x =-求0x dzdx=,202x d zdx =.【详解】: 11y y xe--=两边对x 求导得11()0y y y e xe y --''-+⋅=得 111y y e y xe --'=- (当01)x y ==,故有11121x e y -='==-1(ln sin )(cos )(0)(111)0x x dz f y x y x f dxy=='''=--=⨯-=222221()(ln sin )(cos )(ln sin )(sin )x x d z y f y x y x f y x x dx y y=='''''=--+--+221(0)(111)(0)(10)1(1)11f f -'''=⨯-+⨯+=⨯-=- (21)(本题11分)设函数(),()f x g x 在[,]a b 上连续,在(,)a b 内具有二阶导数且存在相等的最大值,()(),()()f a g a f b g b ==证明:存在(,)a b ξ∈,使得''''()()f g ξξ=. 【详解】:证明:设(),()f x g x 在(,)a b 内某点(,)c a b ∈同时取得最大值,则()()f c g c =,此时的c 就是所求点()()f g ηηη=使得.若两个函数取得最大值的点不同则有设()max (),()max ()f c f x g d g x ==故有()()0,()()0f c g c g d f d ->-<,由介值定理,在(,)c d 内肯定存在()()f g ηηη=使得由罗尔定理在区间(,),(,)a b ηη内分别存在一点''1212,,()()f f ξξξξ使得==0在区间12(,)ξξ内再用罗尔定理,即''''(,)()()a b f g ξξξ∈=存在,使得. (22)(本题满分11分)设二元函数2.1.(,)12.x x y f x y x y ⎧+≤⎪=≤+≤计算二重积分(,).Df x y d σ⎰⎰其中{}(,)2D x y x y =+≤【详解】:D 如图(1)所示,它关于x,y 轴对称,(,)f x y 对x,y 均为偶函数,得1(,)4(,)DD f x y d f x y d σσ=⎰⎰⎰⎰,其中1D 是D 的第一象限部分.由于被积函数分块表示,将1D 分成(如图(2)):11112D D D =,且1112:1,0,0 :12,0,0D x y x y D x y x y +≤≥≥≤+≤≥≥(1)(2)于是11212(,)(,)(,)D D D f x y d f x y d f x y d σσσ=+⎰⎰⎰⎰⎰⎰.而111112200111(,)(1)3412xD f x y d dx x dy x x dx σ-==-=-=⎰⎰⎰⎰⎰121222cos sin 10cos sin 1(,)()D D f x y d d rdr rπθθθθσσθ++==⋅⎰⎰⎰⎰极坐标变换220221122200021112001cos sin cos sin 2sin cos222(tan )222122(1)1tan 2tan22221)u t d d d du duu u u dt dt t πππθθθθθθθθθθθ-===+-+===-+---+==+-===⎰⎰⎰⎰⎰⎰ 所以11(,)1)12D f x y d σ=+⎰⎰得1(,)4(1))12Df x y d σ=⎰⎰(23)(本题满分11分)设线性方程组1231232123020(1)40x x x x x ax x x a x ⎧++=⎪++=⎨⎪++=⎩与方程12321(2)x x x a ++=-有公共解,求a 的值及所有公共解. 【详解】:因为方程组(1)、(2)有公共解,即由方程组(1)、(2)组成的方程组1231232123123020(3)4021x x x x x ax x x a x x x x a ++=⎧⎪++=⎪⎨++=⎪⎪++=-⎩的解.即矩阵211100201401211a a a ⎛⎫ ⎪⎪ ⎪ ⎪ ⎪-⎝⎭211100110001000340a a a ⎛⎫ ⎪- ⎪→ ⎪- ⎪ ⎪++⎝⎭方程组(3)有解的充要条件为1,2a a ==.当1a =时,方程组(3)等价于方程组(1)即此时的公共解为方程组(1)的解.解方程组(1)的基础解系为(1,0,1)T ξ=-此时的公共解为:,1,2,x k k ξ==当2a =时,方程组(3)的系数矩阵为11101110122001101440000111110000⎛⎫⎛⎫⎪ ⎪⎪ ⎪→ ⎪ ⎪⎪ ⎪⎝⎭⎝⎭此时方程组(3)的解为1230,1,1x x x ===-,即公共解为:(0,1,1)Tk -(24)设3阶对称矩阵A 的特征向量值1231,2,2,λλλ===-1(1,1,1)T α=-是A 的属于1λ的一个特征向量,记534B A A E =-+其中E 为3阶单位矩阵()I 验证1α是矩阵B 的特征向量,并求B 的全部特征值的特征向量; ()II 求矩阵B .【详解】:(Ⅰ)可以很容易验证111(1,2,3...)n n A n αλα==,于是5353111111(4)(41)2B A A E ααλλαα=-+=-+=- 于是1α是矩阵B 的特征向量.B 的特征值可以由A 的特征值以及B 与A 的关系得到,即53()()4()1B A A λλλ=-+,所以B 的全部特征值为-2,1,1.前面已经求得1α为B 的属于-2的特征值,而A 为实对称矩阵,于是根据B 与A 的关系可以知道B 也是实对称矩阵,于是属于不同的特征值的特征向量正交,设B 的属于1的特征向量为123(,,)T x x x ,所以有方程如下:1230x x x -+=于是求得B 的属于1的特征向量为23(1,0,1),(1,1,0)TTαα=-=(Ⅱ)令矩阵[]123111,,101110P ααα-⎡⎤⎢⎥==-⎢⎥⎢⎥⎣⎦,则1(2,1,1)P BP diag -=-,所以 1111333111112(2,1,1)101(2,1,1)333110121333B P d i a g P d i a g -⎡⎤-⎢⎥-⎡⎤⎢⎥⎢⎥⎢⎥=⋅-⋅=---⎢⎥⎢⎥⎢⎥⎢⎥⎣⎦⎢⎥⎢⎥⎣⎦011101110-⎡⎤⎢⎥=⎢⎥⎢⎥-⎣⎦。
2007年考研数学二真题解析一.选择题(本题共10小题,每小题4分,满分40分,在每小题给的四个选项中,只有一项符合题目要求,把所选项前的字母填在题后括号内)(1) 当0x +→(B )A. 1-B.lnC. 1D.1-(2)函数11()tan ()()xxe e xf x x e e +=-在区间[],ππ-上的第一类间断点是x =(A)A. 0B. 1C. 2π-D. 2π (3)如图。
连续函数()y f x =在区间[][]3,2,2,3--上的图形分别是直径为1的上、下半圆周,在区间[][]2,0,0,2-上图形分别是直径为2的上、下半圆周,设0()(),xF x f t dt =⎰则下列结论正确的是: (C ).A .(3)F 3(2)4F =-- .B (3)F 5(2)4F = .C (3)F - 3(2)4F =- .D (3)F -5(2)4F =-- (4)设函数f (x )在x=0处连续,下列命题错误的是 (C)A. 若0()limx f x x →存在,则(0)0f = B. 若0()()lim x f x f x x→+-存在, (0)0f =C. 若0()lim x f x x →存在, 则(0)0f '=D. 0()()lim x f x f x x→--存在, (0)0f =(5)曲线1ln(1),xy e x=++渐近线的条数为 (D ).A 0 .B 1 .C 2 .D 3(6)设函数()f x 在(0,)+∞上具有二阶导数,且"()0f x >, 令n u = ()1,2.......,,f n n = 则下列结论正确的是 (D)A.若12u u >,则{}n u 必收敛B. 若12u u >,则{}n u 必发散C. 若12u u <,则{}n u 必收敛D. 若12u u <,则{}n u 必发散 (7)二元函数(,)f x y 在点(0,0)处可微的一个充分条件是 (B ) A.()()()(),0,0lim,0,00x y f x y f →-=⎡⎤⎣⎦B. ()()0,00,0lim0x f x f x→-=,且()()00,0,0lim 0y f y f y →-= C.()(,0,0,00,0lim0x y f x f →-=D. ()0lim ',0'(0,0)0,x x x f x f →-=⎡⎤⎣⎦且()0lim ',0'(0,0)0,y y y f x f →⎡⎤-=⎣⎦ (8)设函数(,)f x y 连续,则二次积分1sin 2(,)x dx f x y dy ππ⎰⎰等于 (B ).A10arcsin (,)y dy f x y dx ππ+⎰⎰ .B 10arcsin (,)y dy f x y dy ππ-⎰⎰.C 1arcsin 02(,)y dy f x y dx ππ+⎰⎰ .D 1arcsin 02(,)y dy f x y dx ππ-⎰⎰(9)设向量组123,,ααα线形无关,则下列向量组线形相关的是: (A) (A ) ,,122331αααααα--- (B ) ,,122331αααααα+++ (C ) 1223312,2,2αααααα--- (D )1223312,2,2αααααα+++(10)设矩阵A=211121112--⎛⎫ ⎪-- ⎪ ⎪--⎝⎭,B=100010000⎛⎫ ⎪⎪ ⎪⎝⎭,则A 于B , (B )(A) 合同,且相似 (B) 合同,但不相似(C) 不合同,但相似 (D)既不合同,也不相似二.填空题:11-16小题,每小题4分,共24分,请将答案写在答题纸指定位置上(11)30arctan sin limx x x x →-=16(12)曲线2cos cos 1sin x t t y t⎧=+⎨=+⎩上对应于4t π=1) (13)设函数123y x =+,则()0ny =23n -⋅(14)二阶常系数非齐次线性微分方程2''4'32x y y y e -+=的通解y =_32122x x x C e C e e +- (15)设(,)f u v 是二元可微函数,(,)y x z f x y=,则1222(,)(,)z z y y x x y x xy f f x y x x y y x y∂∂''-=-+∂∂ (16)设矩阵0100001000010000A ⎛⎫⎪ ⎪= ⎪⎪⎝⎭,则3A 的秩为_1______三、解答题:17-24小题,共86分。
2007 年考研数学二真题一、选择题( 1 10 小题,每小题 4 分,共 40 分。
下列每题给出的四个选项中,只有一个选项是符合题目要求的。
)(1) 当时,与等价的无穷小量是(A)(B)(C)(D)【答案】 B。
【解析】当时几个不同阶的无穷小量的代数和,其阶数由其中阶数最低的项来决定。
综上所述,本题正确答案是B。
【考点】高等数学—函数、极限、连续—无穷小量的性质及无穷小量的比较(2) 函数在上的第一类间断点是(A)0(B)1(C)(D)【答案】A。
【解析】A:由得所以是的第一类间断点;B:C:D:所以都是的第二类间断点。
综上所述,本题正确答案是A。
【考点】高等数学—函数、极限、连续—函数间断点的类型(3) 如图,连续函数在区间上的图形分别是直径为 1 的上、下半圆周,在区间上的图形分别是直径为 2 的下、上半圆周,设则下列结论正确的是,(A)(B)(C)(D)-3-2-10123【答案】 C。
【解析】【方法一】四个选项中出现的在四个点上的函数值可根据定积分的几何意义确定则【方法二】由定积分几何意义知,排除 (B)又由的图形可知的奇函数,则为偶函数,从而显然排除 (A) 和(D), 故选 (C) 。
综上所述,本题正确答案是C。
【考点】高等数学—一元函数积分学—定积分的概念和基本性质,定积分的应用(4) 设函数在处连续,下列命题错误的是..(A) 若存在,则(B) 若存在,则(C)若存在,则存在(D) 若存在,则存在【答案】 D。
【解析】(A) :若存在,因为,则,又已知函数在处连续,所以, 故,(A) 正确;(B) :若(C),则存在,则,故 (B) 正确。
存在,知,则则存在,故 (C) 正确(D)存在,不能说明存在例如在处连续,存在,但是不存在,故命题 (D) 不正确。
综上所述,本题正确答案是D。
【考点】高等数学—一元函数微分学—导数和微分的概念(5) 曲线渐近线的条数为(A)0(B)1(C)2(D)3【答案】 D。
【解析】由于,则是曲线的垂直渐近线;又所以是曲线的水平渐近线;斜渐近线:由于一侧有水平渐近线,则斜渐近线只可能出现在∞一侧。
则曲线有斜渐近线,故该曲线有三条渐近线。
综上所述,本题正确答案是D。
【考点】高等数学—一元函数微分学—函数图形的凹凸性、拐点及渐近线(6)设函数在内具有二阶导数,且, 令,则下列结论正确的是(A) 若,则必收敛(B) 若,则必发散(C)若,则必收敛(D) 若,则必发散【答案】 D。
【解析】【方法一】图示法:由,知曲线是凹的,显然,图 1 排除选项 (A) ,其中;图2 排除选项(B) ;图3 排除选项 (C),其中;故应选(D) 。
O12O 1 2O12图1图2图3【方法二】排除法:取,显然在,,,但,排除A;取在上,且,但,排除 B;取在上,,且,,排除 (C),故应选 (D) 。
但【方法三】由拉格朗日中值定理知当时,由于,且,则从而有则有综上所述,本题正确答案是D。
【考点】高等数学—一元函数微分学—函数图形的凹凸性、拐点及渐近线(7)二元函数在点处可微的一个充分条件是(A)(B),且(C)(D),且【答案】C。
【解析】由可得即,同理从而根据可微的判定条件可知函数在点处可微综上所述,本题正确答案是C。
【考点】高等数学—多元函数微分学—多元函数的偏导数和全微分,全微分存在的必要条件和充分条件(8) 设函数连续,则二次积分等于(A)(B)(C)(D)【答案】 B。
【解析】交换积分次序,已知,,则可得综上所述,本题正确答案是B。
【考点】高等数学—多元函数微积分学—二重积分的概念、基本性质和计算(9) 设向量组线性无关,则下列向量组线性相关的是....(A)(B)(C)(D)【答案】 A。
【解析】(A) :因为,所以向量组线性相关;(B):因为线性无关,所以判断线性无关由于,故知线性无关;(C):,同理线性无关;(D):,同理线性无关;综上所述,本题正确答案是A。
【考点】线性代数—向量—向量组的线性相关与线性无关(10) 设矩阵,则与(A) 合同,且相似(B) 合同,但不相似(C)不合同,但相似(D) 既不合同,也不相似【答案】 B。
【解析】根据相似的必要条件 :,易得和肯定不相似,合同的充分必要条件是具有相同的正惯性指数、负惯性指数。
由知矩阵的特征值.故二次型的正惯性指数,负惯性指数,而二次型也是正惯性指数,负惯性指数,所以和合同综上所述,本题正确答案是B。
【考点】线性代数—二次型—二次型及其矩阵表示,合同变换与合同矩阵二、填空题(本题共 6 小题,每小题 4 分,满分 24 分)(11)。
【答案】。
【解析】【方法一】(洛必达法则)【方法二】泰勒公式:【方法三】综上所述,本题正确答案是。
【考点】高等数学—函数、极限、连续—无穷小量的性质及无穷小量的比较、极限的四则运算高等数学—一元函数微分学—洛必达法则,泰勒公式(12)曲线上对应于的点处的法线斜率为。
【答案】。
【解析】切线斜率代入,得所以对应的法线斜率为综上所述,本题正确答案是。
【考点】高等数学—一元函数微分学—导数和微分的概念,导数的几何意义和物理意义(13) 设函数,则。
【答案】。
【解析】【方法一】先求一阶导数,二阶导数,归纳总结阶导数则由此可归纳得到则【方法二】利用幂级数展开,为求将在处展开为幂级数,则其展开式中的次幂项的系数为,即可求出。
所以推出综上所述,本题正确答案是。
【考点】高等数学—一元函数微分学—高阶导数(14) 二阶常系数非齐次微分方程的通解为。
【答案】其中为任意常数【解析】对应齐次方程的特征方程为则对应齐次方程的通解为设原方程特解为,代入原方程可得所以原方程的特解为故原方程的通解为其中为任意常数,综上所述,本题正确答案是其中为任意常数。
【考点】高等数学—常微分方程—简单的二阶常系数非齐次线性微分方程(15) 设是二元可微函数,,则。
【答案】。
【解析】利用求导公式所以综上所述,本题正确答案是。
【考点】高等数学—多元函数微积分学—多元函数偏导数的概念与计算(16) 设矩阵,则的秩为。
【答案】 1。
【解析】因为所以。
综上所述,本题正确答案是1。
【考点】线性代数—矩阵—矩阵的乘法,矩阵的秩三、解答题(本题共 8 小题,满分 86 分。
解答应写出文字说明、证明过程或演算步骤)(17)(本题满分 10 分)设是区间上单调、可导函数,且满足其中是的反函数,求【解析】等式两端同时对求导,得即则由原题设知因为是区间上单调、可导函数,则的值域为,它是单调,非负的。
故必有所以【考点】高等数学—一元函数积分学—积分上限的函数及其导数(18)(本题满分 11 分)设是位于曲线下方,轴上方的无界区域。
(I)求区域绕轴旋转一周所成的旋转体的体积;(II)当为何值时,最小,并求最小值。
【解析】(I)旋转体体积为(II)令当当所以,得时,,单调减少;时,,单调增加。
时,旋转体体积最小,最小体积为【考点】高等数学—一元函数积分学—定积分的应用(19)(本题满分 10 分)求微分方程满足初始条件的特解【解析】设,则,原方程变为则,解之得,将代入得得结合,得所以【考点】高等数学—常微分方程—可用简单的变量代换求解的某些微分方程,可降阶的高阶微分方程(20)(本题满分 11 分)已知函数具有二阶导数,且,函数由方程所确定,设,求【解析】在中令得方程两端对求导得,代入上式得上式两端再对求导得可得又则【考点】高等数学—一元函数微分学—复合函数、反函数、隐函数以及参数方程所确定的函数的微分法(21)(本题满分 11 分)设函数在上连续,在内具有二阶导数,且存在相等的最大值,,证明:存在,使得。
【解析】【方法一】令,则设在内的最大值为,且分别在,时取到,即若取到,即;若则此时,由连续函数介值定理知在之间至少存在点,综上所述,存在,使得由罗尔定理知,存在, 使得;再由罗尔定理知,存在, 使得即。
【方法二】用反证法证明存在,使得:假设不存在,使得,则由的连续性知对于一切,恒大于零或恒小于零。
设,设在取到最大值,则即,从而可知在上的最大值比在上的最大值要大,与题设矛盾,所以假设命题不成立。
存在,使得所以由罗尔定理知,存在, 使得;再由罗尔定理知,存在,使得即。
【考点】高等数学—一元函数微分学—微分中值定理(22)(本题满分 11 分)设二元函数计算二重积分,其中【解析】因为被积函数关于均为偶函数,且积分区域关于轴均对称,所以,为在第一象限内的部分而所以【考点】高等数学—多元函数微积分学—二重积分的概念、基本性质和计算(23) (本题满分 11 分)设线性方程组①与方程②有公共解,求的值及所有公共解。
【解析】【方法一】方程组有公共解,即为将两个方程联立的解③对联立方程组的增广矩阵进行初等行变换,有已知方程组有解,所以应有,时,此时,公共解为:,其中为任意常数。
时,此时,有唯一的公共解为【方法二】先求方程组①的解,其系数行列式为不是方当时,方程组①只有零解,但此时程②的解,所以公共解发生在或时,当时,对方程组①的系数矩阵进行初等行变换方程组①的通解为, 其中为任意常数。
此解也满足方程组②,所以此时方程组①和②的公共解为,其中为任意常数。
当时,同样求方程组①的通解方程组①的通解为, 其中为任意常数。
将其代入方程组②中得:得,因此此时方程组①和②的公共解为【考点】线性代数—线性方程组—齐次线性方程组的基础解系和通解,非齐次线性方程组的通解(24) (本题满分 11 分)设3阶实对称矩阵的特征值为,且是的属于的一个特征向量,记,其中为3阶单位矩阵。
(I)验证是矩阵的特征向量,并求的所有特征值和特征向量;(II)求矩阵。
【解析】(I) 由知,那么所以是矩阵属于特征值的特征向量同理,,,有,因此,矩阵的特征值为由矩阵是对称矩阵知矩阵。
也是对称矩阵,设矩阵关于特征值的特征向量是,那么因为实对称矩阵特征值不同特征向量相互正交,有所以矩阵关于特征值的特征向量是因此,矩阵属于特征值的特征向量是,其中是不为 0 的任意常数。
其中是不全为0 的任意常数。
(II)由,有所以【考点】线性代数—矩阵的特征值与特征向量—矩阵的特征值和特征向量的概念、性质,实对称矩阵的特征值、特征向量及其相似对角矩阵其中是不全为0 的任意常数。
(II)由,有所以【考点】线性代数—矩阵的特征值与特征向量—矩阵的特征值和特征向量的概念、性质,实对称矩阵的特征值、特征向量及其相似对角矩阵。