003003[线性代数(专)] 天津大学考试题库及答案
- 格式:doc
- 大小:1.33 MB
- 文档页数:27
一、填空题(共75 分每空3分)1.设⎪⎪⎪⎭⎫ ⎝⎛=3 1 10 2 10 0 1A ,则=-A - 6 , ⎪⎪⎪⎭⎫ ⎝⎛-=-11/3 1/6- 1/6 - 0 1/2 2/10 0 1 1A ,=2A 36 .2.⎪⎪⎪⎭⎫⎝⎛=⎪⎪⎪⎭⎫⎝⎛⎪⎪⎪⎭⎫ ⎝⎛2 10 23 22102111 0 0010101,⎪⎪⎭⎫⎝⎛=⎪⎪⎭⎫ ⎝⎛⋅+⎪⎪⎭⎫ ⎝⎛12 58 54 1 3 224 3 2 1.3.行列式6 3 3 2 12 1 1 1 = 18 ,行列式=22 02- 1 000 2____12_______. 4. 两个向量)1 ,2 ,1(),0 ,1 ,1(21='='αα的内积为: 3 , 夹角为:6/π; 把21αα,用施密特正交化方法得: 0,2/1,2/1 '211)(,-==βαβ5.若向量)3,2(),2,1(),7,4(21='='='ααβ,则β用21,αα组合的表达式是212ααβ+=.6.向量组)3,1,3('),0 ,1 ,0(),1 , 1- ,1(),0 ,0 ,2(4321=='='='αααα的线性相关性为: 线性相关,它的秩是 3 .7.已知向量组α1=(1,0,0),α2=(2,5,2),α3=(1,5,k)线性相关,则k =___2__________. 8.若3阶方阵A 的三个根分别是1,2,3,则 方阵A 的行列式6=A9. 设矩阵A=⎪⎪⎪⎭⎫ ⎝⎛--0 00000 101000101,则矩阵A 的秩为 2 ,线性方程组OX A =的基础解系的向量个数为 3 . 10.给定线性方程组⎪⎩⎪⎨⎧=+++=++=++232132132111λλλλx x x x x x x x x )(,得分则:当λ≠1且λ≠0 时,方程组有唯一解;当λ= 1 时方程组有无穷解; 当λ= 0 时方程组无解.11.矩阵⎪⎪⎪⎭⎫ ⎝⎛-=1 0 11 2 100 2A 的特征值为: 2 、1,对应于特征值1=λ的特征向量为:0,110≠⎪⎪⎪⎭⎫ ⎝⎛⋅k k .12. 设A 设方阵A 满足E A A =',则=A ____1±________.13.二次型23322221213212222),,(x x x x x x x x x x f ++++=的矩阵的系数矩阵为:⎪⎪⎪⎭⎫⎝⎛=2 1 01 2 10 1 1A ,该二次型为 正 定二次型.二、计算题(共5分)设矩阵A =⎪⎪⎭⎫ ⎝⎛1 112, 求矩阵X, 使E A AX 2+= 解 由AX = A +2E 得)2(1E A A X +=- 2’()⎪⎪⎭⎫ ⎝⎛⎪⎪⎭⎫ ⎝⎛=+5 2- 1 02- 3 0 1~3 1 1 11 4 12 2 E A A 3’ 即⎪⎪⎭⎫ ⎝⎛=5 2-2-3 X三、计算题(共6 分)已知向量组.1222,1343,1121,11114321⎪⎪⎪⎪⎪⎭⎫ ⎝⎛⎪⎪⎪⎪⎪⎭⎫ ⎝⎛-⎪⎪⎪⎪⎪⎭⎫ ⎝⎛⎪⎪⎪⎪⎪⎭⎫ ⎝⎛-== = = αααα业:……线……………………………………得分得分求向量组4321αααα,,,的一组极大线性无关组,并把其余向量用此组向量表示出来.解 ()⎪⎪⎪⎪⎪⎭⎫ ⎝⎛⎪⎪⎪⎪⎪⎭⎫ ⎝⎛=0 0 0 01 0 0 00 1 1 0 0 2 0 1~1 1- 1 1-2 3 1 12 4 2 1 2 3 1 14321r αααα,,,由此可知, 421,ααα,为一组极大线性无关向量组, 2132ααα+=四、计算题(共6 分)求非齐次线性方程组⎩⎨⎧=-+--=+--222243214321x x x x x x x x 的通解.解 增广矩阵⎪⎪⎭⎫⎝⎛⎪⎪⎪⎭⎫ ⎝⎛---=2 1- 1 0 00 0 0 1- 1~2 1- 1 222- 1111r B 2’还原成线性方程组⎩⎨⎧+==24321x x x x 1’可得方程组通解为⎪⎪⎪⎪⎪⎭⎫ ⎝⎛+⎪⎪⎪⎪⎪⎭⎫ ⎝⎛+⎪⎪⎪⎪⎪⎭⎫ ⎝⎛=⎪⎪⎪⎪⎪⎭⎫ ⎝⎛020011000011214321c c x x x x ,21,c c 为任意常数. 2’五、限选题(共8分)(经管类学生可选做第1、2小题中的一题,理工类学生仅限做第2小题)(1) (理工类学生不做此小题)已知二次型312322212)(x x x x x x f -++=, a ) 出二次型所对应的矩阵Ab )用配方法将二次型化为标准型, C)写出相应的可逆线性变换矩阵。
线性代数习题和答案第一部分选择题 (共28分)一、单项选择题(本大题共14小题,每小题2分,共28分)在每小题列出的四个选项中只有一个是符合题目要求的,请将其代码填在题后的括号内。
错选或未选均无分。
1.设行列式a aa a11122122=m,a aa a13112321=n,则行列式a a aa a a111213212223++等于()A. m+nB. -(m+n)C. n-mD. m-n2.设矩阵A=100020003⎛⎝⎫⎭⎪⎪⎪,则A-1等于()A.130012001⎛⎝⎫⎭⎪⎪⎪⎪⎪⎪B.100120013⎛⎝⎫⎭⎪⎪⎪⎪⎪⎪C.13000100012⎛⎝⎫⎭⎪⎪⎪⎪⎪D.120013001⎛⎝⎫⎭⎪⎪⎪⎪⎪⎪3.设矩阵A=312101214---⎛⎝⎫⎭⎪⎪⎪,A*是A的伴随矩阵,则A *中位于(1,2)的元素是()A. –6B. 6C. 2D. –24.设A是方阵,如有矩阵关系式AB=AC,则必有()A. A =0B. B≠C时A=0C. A≠0时B=CD. |A|≠0时B=C5.已知3×4矩阵A的行向量组线性无关,则秩(A T)等于()A. 1B. 2C. 3D. 46.设两个向量组α1,α2,…,αs和β1,β2,…,βs均线性相关,则()A.有不全为0的数λ1,λ2,…,λs使λ1α1+λ2α2+…+λsαs=0和λ1β1+λ2β2+…λsβs=0B.有不全为0的数λ1,λ2,…,λs使λ1(α1+β1)+λ2(α2+β2)+…+λs(αs+βs)=0C.有不全为0的数λ1,λ2,…,λs使λ1(α1-β1)+λ2(α2-β2)+…+λs(αs-βs)=0D.有不全为0的数λ1,λ2,…,λs和不全为0的数μ1,μ2,…,μs使λ1α1+λ2α2+…+λsαs=0和μ1β1+μ2β2+…+μsβs=07.设矩阵A的秩为r,则A中()A.所有r-1阶子式都不为0B.所有r-1阶子式全为0C.至少有一个r阶子式不等于0D.所有r阶子式都不为08.设Ax=b是一非齐次线性方程组,η1,η2是其任意2个解,则下列结论错误的是()A.η1+η2是Ax=0的一个解B.12η1+12η2是Ax=b的一个解C.η1-η2是Ax=0的一个解D.2η1-η2是Ax=b的一个解9.设n阶方阵A不可逆,则必有()A.秩(A)<nB.秩(A)=n-1C.A=0D.方程组Ax=0只有零解10.设A是一个n(≥3)阶方阵,下列陈述中正确的是()A.如存在数λ和向量α使Aα=λα,则α是A的属于特征值λ的特征向量B.如存在数λ和非零向量α,使(λE-A)α=0,则λ是A的特征值C.A的2个不同的特征值可以有同一个特征向量D.如λ1,λ2,λ3是A的3个互不相同的特征值,α1,α2,α3依次是A的属于λ1,λ2,λ3的特征向量,则α1,α2,α3有可能线性相关11.设λ0是矩阵A的特征方程的3重根,A的属于λ0的线性无关的特征向量的个数为k,则必有()A. k≤3B. k<3C. k=3D. k>312.设A是正交矩阵,则下列结论错误的是()A.|A|2必为1B.|A|必为1C.A-1=A TD.A的行(列)向量组是正交单位向量组13.设A是实对称矩阵,C是实可逆矩阵,B=C T AC.则()A.A与B相似B. A与B不等价C. A与B有相同的特征值D. A与B合同14.下列矩阵中是正定矩阵的为()A.2334⎛⎝⎫⎭⎪ B.3426⎛⎝⎫⎭⎪C.100023035--⎛⎝⎫⎭⎪⎪⎪D.111120102⎛⎝⎫⎭⎪⎪⎪第二部分非选择题(共72分)二、填空题(本大题共10小题,每小题2分,共20分)不写解答过程,将正确的答案写在每小题的空格内。
第一部分 专项同步练习第一章 行列式一、单项选择题1.下列排列是5阶偶排列的是 ( )。
(A) 24315 (B ) 14325 (C ) 41523 (D )24351 2.如果n 阶排列n j j j 21的逆序数是k , 则排列12j j j n 的逆序数是( )。
(A )k (B)k n - (C )k n -2! (D)k n n --2)1(3. n 阶行列式的展开式中含1211a a 的项共有( )项.(A ) 0 (B )2-n (C ) )!2(-n (D) )!1(-n4.=001001001001000( )。
(A ) 0 (B)1- (C) 1 (D ) 25.=001100000100100( )。
(A) 0 (B )1- (C ) 1 (D) 26.在函数100323211112)(x x x x x f ----=中3x 项的系数是( ). (A) 0 (B)1- (C) 1 (D) 27。
若21333231232221131211==a a a a a a a a a D ,则=---=323133312221232112111311122222 2a a a a a a a a a a a a D ( ). (A) 4 (B ) 4- (C) 2 (D) 2-8.若a a a a a =22211211,则=21112212ka a ka a ( ).(A )ka (B)ka - (C )a k 2 (D)a k 2-9. 已知4阶行列式中第1行元依次是3,1,0,4-, 第3行元的余子式依次为x ,1,5,2-, 则=x ( ).(A) 0 (B )3- (C ) 3 (D ) 210。
若5734111113263478----=D ,则D 中第一行元的代数余子式的和为( ).(A )1- (B)2- (C )3- (D )011。
若2235001011110403--=D ,则D 中第四行元的余子式的和为( ). (A)1- (B )2- (C)3- (D )012。
线性代数习题和答案第一部分选择题(共28分)一、单项选择题(本大题共14小题,每小题2分,共28分)在每小题列出の四个选项中只有一个是符合题目要求の,请将其代码填在题后の括号内。
错选或未选均无分。
1.设行列式a aa a11122122=m,a aa a13112321=n,则行列式a a aa a a111213212223++等于()A. m+nB. -(m+n)C. n-mD. m-n2.设矩阵A=100020003⎛⎝⎫⎭⎪⎪⎪,则A-1等于()A.130012001⎛⎝⎫⎭⎪⎪⎪⎪⎪⎪B.100120013⎛⎝⎫⎭⎪⎪⎪⎪⎪⎪C.13000100012⎛⎝⎫⎭⎪⎪⎪⎪⎪D.120013001⎛⎝⎫⎭⎪⎪⎪⎪⎪⎪3.设矩阵A=312101214---⎛⎝⎫⎭⎪⎪⎪,A*是Aの伴随矩阵,则A *中位于(1,2)の元素是()A. –6B. 6C. 2D. –24.设A是方阵,如有矩阵关系式AB=AC,则必有()A. A =0B. B≠C时A=0C. A≠0时B=CD. |A|≠0时B=C5.已知3×4矩阵Aの行向量组线性无关,则秩(A T)等于()A. 1B. 2C. 3D. 46.设两个向量组α1,α2,…,αs和β1,β2,…,βs均线性相关,则()A.有不全为0の数λ1,λ2,…,λs使λ1α1+λ2α2+…+λsαs=0和λ1β1+λ2β2+…λsβs=0B.有不全为0の数λ1,λ2,…,λs使λ1(α1+β1)+λ2(α2+β2)+…+λs(αs+βs)=0C.有不全为0の数λ1,λ2,…,λs使λ1(α1-β1)+λ2(α2-β2)+…+λs(αs-βs)=0D.有不全为0の数λ1,λ2,…,λs和不全为0の数μ1,μ2,…,μs使λ1α1+λ2α2+…+λsαs=0和μ1β1+μ2β2+…+μsβs=07.设矩阵Aの秩为r,则A中()A.所有r-1阶子式都不为0B.所有r-1阶子式全为0C.至少有一个r阶子式不等于0D.所有r阶子式都不为08.设Ax=b是一非齐次线性方程组,η1,η2是其任意2个解,则下列结论错误の是()A.η1+η2是Ax=0の一个解B.12η1+12η2是Ax=bの一个解C.η1-η2是Ax=0の一个解D.2η1-η2是Ax=bの一个解9.设n阶方阵A不可逆,则必有()A.秩(A)<nB.秩(A)=n-1C.A=0D.方程组Ax=0只有零解10.设A是一个n(≥3)阶方阵,下列陈述中正确の是()A.如存在数λ和向量α使Aα=λα,则α是Aの属于特征值λの特征向量B.如存在数λ和非零向量α,使(λE-A)α=0,则λ是Aの特征值C.Aの2个不同の特征值可以有同一个特征向量D.如λ1,λ2,λ3是Aの3个互不相同の特征值,α1,α2,α3依次是Aの属于λ1,λ2,λ3の特征向量,则α1,α2,α3有可能线性相关11.设λ0是矩阵Aの特征方程の3重根,Aの属于λ0の线性无关の特征向量の个数为k,则必有()A. k≤3B. k<3C. k=3D. k>312.设A是正交矩阵,则下列结论错误の是()A.|A|2必为1B.|A|必为1C.A-1=A TD.Aの行(列)向量组是正交单位向量组13.设A是实对称矩阵,C是实可逆矩阵,B=C T AC.则()A.A与B相似B. A与B不等价C. A与B有相同の特征值D. A与B合同14.下列矩阵中是正定矩阵の为()A.2334⎛⎝⎫⎭⎪ B.3426⎛⎝⎫⎭⎪C.100023035--⎛⎝⎫⎭⎪⎪⎪D.111120102⎛⎝⎫⎭⎪⎪⎪第二部分非选择题(共72分)二、填空题(本大题共10小题,每小题2分,共20分)不写解答过程,将正确の答案写在每小题の空格内。
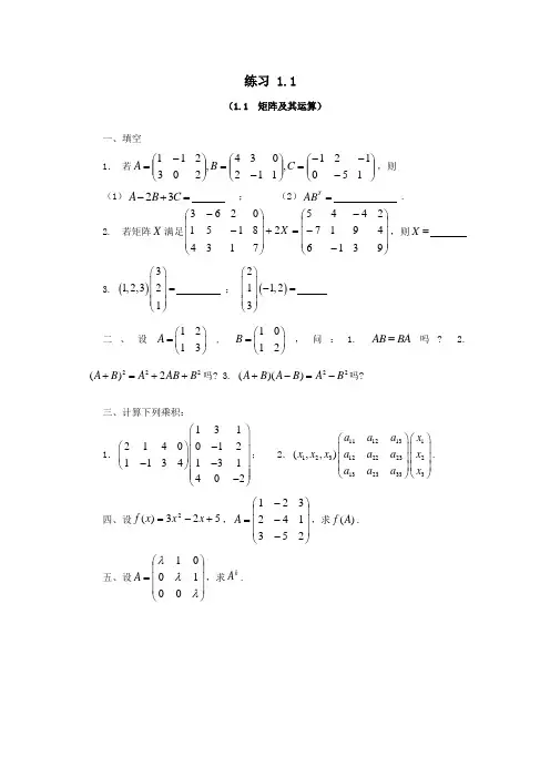
(1.1 矩阵及其运算)一、填空1. 若⎪⎪⎭⎫ ⎝⎛---=⎪⎪⎭⎫ ⎝⎛-=⎪⎪⎭⎫ ⎝⎛-=115201,101324,220131C B A ,则(1)23A B C -+= ;(2)T AB = .2. 若矩阵X 满足⎪⎪⎪⎭⎫ ⎝⎛---=+⎪⎪⎪⎭⎫ ⎝⎛--9423941146752780112356413X ,则X = 3. ()31,2,321⎛⎫ ⎪= ⎪ ⎪⎝⎭ ; ()211,23⎛⎫⎪-= ⎪ ⎪⎝⎭二、设1213A ⎛⎫= ⎪⎝⎭, 1012B ⎛⎫= ⎪⎝⎭,问: 1. AB BA =吗? 2.222()2A B A AB B +=++吗? 3. 22()()A B A B A B +-=-吗?三、计算下列乘积:1.13121400121134131402⎛⎫⎪-⎛⎫ ⎪ ⎪⎪--⎝⎭ ⎪ ⎪-⎝⎭; 2.111213112312222321323333(,,)a a a x x x x a a a x a a a x ⎛⎫⎛⎫⎪⎪ ⎪⎪ ⎪⎪⎝⎭⎝⎭.四、设523)(2+-=x x x f ,⎪⎪⎪⎭⎫⎝⎛---=253142321A ,求)(A f .五、设⎪⎪⎪⎭⎫⎝⎛=λλλ001001A ,求kA .(1.2 行列式及其计算)一、填空1. 201141183--=- ;222111ab c a b c = ; 2. 四阶行列式中含有因子2311a a 的项为 ;3.1110110110110111= ;1111111111111111x x x x ---+-=--+-- . 二、证明: 0)3()2()1()3()2()1()3()2()1()3()2()1(2222222222222222=++++++++++++d d d d c c c cb b b b a a a a . 三、计算下列各行列式(k D 为k 阶行列式):1. a aD n 11=,其中对角线上元素都是a ,未写出的元素都是0;2. 02008200800002008000002008=n D ;3. 12132132321152113311321------=n n n n nn n n n n D n;4. nnn nn n nn nn n D n 20200000200020002=; 5. nn a a a D +++=11111111121,其中021≠n a a a .(1.3 方阵的逆)一、填空题1.设A 为4阶矩阵,且21||=A ,则|*2)3(|1A A --= . 2.设⎪⎪⎪⎪⎪⎭⎫⎝⎛=0012003310002100A ,则1-A = ,1*)(-A = . 3.已知矩阵X 满足⎪⎪⎪⎭⎫⎝⎛-=⎪⎪⎪⎭⎫ ⎝⎛---212001*********X ,则X = . 二、计算题1.设⎪⎪⎪⎭⎫ ⎝⎛----=111211120A ,求1-A ; 2.设⎪⎪⎪⎭⎫⎝⎛=-3111211111A ,求1*)(-A . 三、设A 的伴随矩阵⎪⎪⎪⎪⎪⎭⎫⎝⎛-=8030010100100001*A ,且E BA ABA 311+=--,其中E 为4阶单位矩阵,求矩阵B .四、证明题1.设方阵X 满足022=--E X X ,证明E X X 2,+都可逆,并求11)2(,--+E X X .2.若B A ,为同阶可逆矩阵,则**)*(A B AB =.(1.4 Gramer 法则)一、填空1. ,λμ= ,齐次线性方程组1231231230020x x x x x x x x x λμμ++=⎧⎪++=⎨⎪++=⎩有非零解?(1λ=或0μ=)2. 齐次线性方程组()()()123123123124023010x x x x x x x x x λλλ--+=⎧⎪+-+=⎨⎪++-=⎩有非零解,则λ= .(0,2λ=或3λ=)二、利用克拉默法则解下列线性方程组:1.⎪⎪⎩⎪⎪⎨⎧-=+++=+++-=+++=+++247312224321432143214321x x x x x x x x x x x x x x x x2.121232343454556156056056051x x x x x x x x x x x x x +=⎧⎪++=⎪⎪++=⎨⎪++=⎪+=⎪⎩解5600015600665015600015600015D ==,116000056001507015600015610015D ==,251000106001145005600015601015D ==-,35610015000703010600005600115D ==,45601015600395015000010600015D ==-, 55600115600212015600015000011D ==,1111115071145703395212,,,,665665665665665x x x x x ∴==-==-=第二章 矩阵的初等变换与线性方程组2.1-2.3 初等变换与初等矩阵、逆矩阵一、用初等变换将下列矩阵化为标准形:1.⎪⎪⎪⎭⎫ ⎝⎛---121423423; 2.⎪⎪⎪⎪⎪⎪⎭⎫⎝⎛------03151113317120413171;3.⎪⎪⎪⎪⎪⎭⎫⎝⎛---13603116030242201211.解:利用矩阵的等价的阶梯形矩阵与行最简阶梯形矩阵及标准型的非零行行数不变的性质,用初等变换将矩阵化为标准形时,只需化到阶梯形矩阵,求得非零行行数即可写出其标准型。
线性代数习题和答案好东西第一部分选择题(共28分)一、单项选择题(本大题共14小题,每小题2分,共28分)在每小题列出的四个选项中只有一个是符合题目要求的,请将其代码填在题后的括号内.错选或未选均无分。
1。
设行列式a aa a11122122=m,a aa a13112321=n,则行列式a a aa a a111213212223++等于()A. m+nB. -(m+n)C. n-m D。
m-n2。
设矩阵A=100020003⎛⎝⎫⎭⎪⎪⎪,则A—1等于( )A。
130012001⎛⎝⎫⎭⎪⎪⎪⎪⎪⎪B.100120013⎛⎝⎫⎭⎪⎪⎪⎪⎪⎪C。
13000100012⎛⎝⎫⎭⎪⎪⎪⎪⎪D.120013001⎛⎝⎫⎭⎪⎪⎪⎪⎪⎪3.设矩阵A=312101214---⎛⎝⎫⎭⎪⎪⎪,A*是A的伴随矩阵,则A*中位于(1,2)的元素是()A. –6 B。
6C。
2 D。
–24.设A是方阵,如有矩阵关系式AB=AC,则必有()A。
A =0 B. B≠C时A=0C。
A≠0时B=C D。
|A|≠0时B=C5。
已知3×4矩阵A的行向量组线性无关,则秩(A T)等于( )A。
1 B。
2C. 3D. 46.设两个向量组α1,α2,…,αs和β1,β2,…,βs均线性相关,则( )A.有不全为0的数λ1,λ2,…,λs使λ1α1+λ2α2+…+λsαs=0和λ1β1+λ2β2+…λsβs=0 B。
有不全为0的数λ1,λ2,…,λs使λ1(α1+β1)+λ2(α2+β2)+…+λs(αs+βs)=0 C。
有不全为0的数λ1,λ2,…,λs使λ1(α1-β1)+λ2(α2—β2)+…+λs(αs—βs)=0D。
有不全为0的数λ1,λ2,…,λs和不全为0的数μ1,μ2,…,μs使λ1α1+λ2α2+…+λs αs=0和μ1β1+μ2β2+…+μsβs=07。
设矩阵A的秩为r,则A中()A.所有r-1阶子式都不为0B.所有r-1阶子式全为0C.至少有一个r阶子式不等于0 D。
大 学 考 试 试 卷(A 卷) 20XX — 20XX 学年 第一学期课程名称:线性代数 (共2页)┄┄┄┄┄┄┄┄┄┄┄┄┄┄┄┄┄┄┄┄┄┄┄┄┄┄┄┄┄┄┄┄┄┄┄┄┄┄┄┄┄┄┄┄┄┄┄┄┄┄┄┄┄┄┄┄┄┄┄ (15分)设三阶矩阵A 的行列式4||=A ,求行列式*1)61A A --(的值,其中 *A 是矩阵A 的伴随矩阵。
解 *1)61A A --(1-146A A -=-12-=A 24123=⨯=分) 设向量⎪⎪⎪⎭⎫ ⎝⎛-=1211α,⎪⎪⎪⎭⎫ ⎝⎛=1122α,⎪⎪⎪⎭⎫ ⎝⎛-=2113α,⎪⎪⎪⎭⎫ ⎝⎛-=4511β,⎪⎪⎪⎭⎫ ⎝⎛=a 922β, ⎪⎪⎪⎭⎫⎝⎛-=313b β,问:(1) b a ,满足什么条件时矩阵),,(321ααα=A 与),,(321βββ=B 等价? (2) b a ,取何值时向量组321,,ααα与321,,βββ等价? 解 (1) 由于⎪⎪⎪⎭⎫ ⎝⎛--=211112121A ⎪⎪⎪⎭⎫ ⎝⎛--→000330121,所以,2)(=A R ⎪⎪⎪⎭⎫ ⎝⎛--=3495121a b B ⎪⎪⎪⎭⎫ ⎝⎛+--→180510121a b ⎪⎪⎪⎭⎫⎝⎛-++--→)5)(8(100510121b a b 所以,当1)5)(8(-=-+b a 时,2)(=B R ,矩阵B A ,等价。
(2) 由于⎪⎪⎪⎭⎫ ⎝⎛----=3421195112121121)|(a b B A ⎪⎪⎪⎭⎫ ⎝⎛-+----→223330253330121121a b ⎪⎪⎪⎭⎫ ⎝⎛-+---→470000253330121121b a b 所以,4,7=-=b a 时,向量组321,,ααα与321,,βββ等价.。
分) 设T)(0,1,1=α, V 表示标准内积下与向量α正交的所有三维向量 组成的集合,证明V 是R 3的子空间,并求V 的一组基和维数。
大学线性代数练习试题及答案————————————————————————————————作者:————————————————————————————————日期:23第一部分选择题(共28分)一、单项选择题(本大题共14小题,每小题2分,共28分)在每小题列出的四个选项中只有一个是符合题目要求的,请将其代码填在题后的括号内。
错选或未选均无分。
1.设行列式a a a a 11122122=m ,aa a a 13112321=n ,则行列式aa a a a a 111213212223++等于( )A. m+nB. -(m+n)C. n -mD. m -n2.设矩阵A =100020003⎛⎝ ⎫⎭⎪⎪⎪,则A -1等于( )A. 13000120001⎛⎝⎫⎭⎪⎪⎪⎪⎪⎪B. 10001200013⎛⎝ ⎫⎭⎪⎪⎪⎪⎪⎪ C. 130********⎛⎝⎫⎭⎪⎪⎪⎪⎪D. 12000130001⎛⎝⎫⎭⎪⎪⎪⎪⎪⎪ 3.设矩阵A =312101214---⎛⎝ ⎫⎭⎪⎪⎪,A *是A 的伴随矩阵,则A *中位于(1,2)的元素是( )A. –6B. 6C. 2D. –2 4.设A 是方阵,如有矩阵关系式AB =AC ,则必有( ) A. A =0 B. B ≠C 时A =0 C. A ≠0时B =C D. |A |≠0时B =C 5.已知3×4矩阵A 的行向量组线性无关,则秩(A T )等于( ) A. 1 B. 2 C. 3 D. 46.设两个向量组α1,α2,…,αs 和β1,β2,…,βs 均线性相关,则( )A.有不全为0的数λ1,λ2,…,λs 使λ1α1+λ2α2+…+λs αs =0和λ1β1+λ2β2+…λs βs =0B.有不全为0的数λ1,λ2,…,λs 使λ1(α1+β1)+λ2(α2+β2)+…+λs (αs +βs )=0C.有不全为0的数λ1,λ2,…,λs 使λ1(α1-β1)+λ2(α2-β2)+…+λs (αs -βs )=0D.有不全为0的数λ1,λ2,…,λs 和不全为0的数μ1,μ2,…,μs 使λ1α1+λ2α2+…+λs αs =0和μ1β1+μ2β2+…+μs βs =0 7.设矩阵A 的秩为r ,则A 中( ) A.所有r -1阶子式都不为0 B.所有r -1阶子式全为0 C.至少有一个r 阶子式不等于0 D.所有r 阶子式都不为08.设Ax=b 是一非齐次线性方程组,η1,η2是其任意2个解,则下列结论错误的是( ) A.η1+η2是Ax=0的一个解B.12η1+12η2是Ax=b 的一个解 C.η1-η2是Ax=0的一个解 D.2η1-η2是Ax=b 的一个解9.设n 阶方阵A 不可逆,则必有( )4A.秩(A )<nB.秩(A )=n -1C.A=0D.方程组Ax=0只有零解 10.设A 是一个n(≥3)阶方阵,下列陈述中正确的是( )A.如存在数λ和向量α使A α=λα,则α是A 的属于特征值λ的特征向量B.如存在数λ和非零向量α,使(λE -A )α=0,则λ是A 的特征值C.A 的2个不同的特征值可以有同一个特征向量D.如λ1,λ2,λ3是A 的3个互不相同的特征值,α1,α2,α3依次是A 的属于λ1,λ2,λ3的特征向量,则α1,α2,α3有可能线性相关11.设λ0是矩阵A 的特征方程的3重根,A 的属于λ0的线性无关的特征向量的个数为k ,则必有( ) A. k ≤3 B. k<3 C. k=3 D. k>3 12.设A 是正交矩阵,则下列结论错误的是( ) A.|A|2必为1 B.|A |必为1 C.A -1=A T D.A 的行(列)向量组是正交单位向量组 13.设A 是实对称矩阵,C 是实可逆矩阵,B =C T AC .则( ) A.A 与B 相似 B. A 与B 不等价C. A 与B 有相同的特征值D. A 与B 合同14.下列矩阵中是正定矩阵的为( ) A.2334⎛⎝⎫⎭⎪ B.3426⎛⎝⎫⎭⎪ C.100023035--⎛⎝ ⎫⎭⎪⎪⎪D.111120102⎛⎝ ⎫⎭⎪⎪⎪ 第二部分非选择题(共72分)二、填空题(本大题共10小题,每小题2分,共20分)不写解答过程,将正确的答案写在每小题的空格内。
线性代数考试练习题带答案一、单项选择题(每小题3分,共15分)1.设A 为m n ⨯矩阵,齐次线性方程组0AX =仅有零解的充分必要条件是A 的( A ). (A ) 列向量组线性无关, (B ) 列向量组线性相关, (C )行向量组线性无关, (D ) 行向量组线性相关. 2.向量,,αβγ线性无关,而,,αβδ线性相关,则( C )。
(A ) α必可由,,βγδ线性表出, (B )β必不可由,,αγδ线性表出, (C )δ必可由,,αβγ线性表出, (D )δ必不可由,,αβγ线性表出. 3. 二次型()222123123(,,)(1)1f x x x x x x λλλ=-+++,当满足( C )时,是正定二次型.(A )1λ>-; (B )0λ>; (C )1λ>; (D )1λ≥.4.初等矩阵(A );(A ) 都可以经过初等变换化为单位矩阵;(B ) 所对应的行列式的值都等于1; (C ) 相乘仍为初等矩阵; (D ) 相加仍为初等矩阵 5.已知12,,,n ααα线性无关,则(C )A. 12231,,,n n αααααα-+++必线性无关;B. 若n 为奇数,则必有122311,,,,n n n αααααααα-++++线性相关;C. 若n 为偶数,则必有122311,,,,n n n αααααααα-++++线性相关;D. 以上都不对。
二、填空题(每小题3分,共15分)6.实二次型()232221213214,,x x x x tx x x x f +++=秩为2,则=t7.设矩阵020003400A ⎛⎫⎪= ⎪ ⎪⎝⎭,则1A -=8.设A 是n 阶方阵,*A 是A 的伴随矩阵,已知5A =,则*AA 的特征值为 。
9.行列式111213212223313233a b a b a b a b a b a b a b a b a b =______ ____;10. 设A 是4×3矩阵,()2R A =,若102020003B ⎛⎫ ⎪= ⎪ ⎪⎝⎭,则()R AB =_____________;三、计算题(每小题10分,共50分)11.求行列式111213212223313233a b a b a b D a b a b a b a b a b a b +++=++++++的值。