直线与圆知识点总结
- 格式:doc
- 大小:685.00 KB
- 文档页数:5
高中数学直线和圆知识点复习总结
1.直线方程⑴点斜式;⑵斜截式;⑶截距式;⑷两点式;⑸一般式(A,B不全为0)。
(直线的方向向量,法向量)
2.求解线性规划问题的步骤是:(1)列约束条件;(2)作可行域,写目标函数;(3)确定目标函数的最优解。
3.两条直线的位置关系:
4.直线系。
5.几个公式⑴设A(x1,y1)、B(x2,y2)、C(x3,y3),⊿ABC的重心G是:();⑵点P(x0,y0)到直线Ax+By+C=0的距离:;⑶两条平行线Ax+By+C1=0与Ax+By+C2=0的距离是;
6.圆的方程:⑴标准方程:①;②。
⑵一般方程:(注:Ax2+Bxy+Cy2+Dx+Ey+F=0表示圆A=C0且B=0且D2+E2-4AF
7.圆的方程的求法:⑴待定系数法;⑵几何法;⑶圆系法。
8.圆系:⑴;注:当时表示两圆交线。
⑵。
9.点、直线与圆的位置关系:(主要掌握几何法)⑴点与圆的位置关系:(表示点到圆心的距离)①点在圆上;②点在圆内;③点在圆外。
⑵直线与圆的位置关系:(表示圆心到直线的距离)①相切;②相交;③相离。
⑶圆与圆的位置关系:(表示圆心距,表示两圆半径,且)①相离;②外切;③相交;④内切;⑤内含。
高二数学直线与圆知识点直线与圆是高中数学中的基础知识,也是解析几何的重要内容之一。
掌握直线与圆的性质和关系,对于理解几何图形的性质、解题以及拓展数学思维都有重要意义。
本文将介绍高二数学中与直线与圆相关的知识点。
一、直线的基本性质1. 直线的定义:直线是由无限多个点构成,且任意两点都在这条直线上。
2. 直线的表示方式:直线可以用两个点表示,也可以用方程表示。
3. 直线的斜率:斜率是直线的重要性质之一,可以用来描述直线的倾斜程度。
直线的斜率可以通过两点的坐标计算得到。
二、圆的基本性质1. 圆的定义:圆是平面上到一个定点距离固定的点的轨迹。
定点称为圆心,距离称为半径。
2. 圆的表示方式:圆可以用圆心和半径表示。
3. 弧长和扇形面积:圆上的弧长是圆心角所对的弧段的长度,扇形面积是圆心角所对的扇形的面积。
三、直线与圆的关系1. 直线和圆的位置关系:直线可以与圆相切、相离、相交。
相切时,直线只与圆相切于一点;相离时,直线与圆没有公共点;相交时,直线与圆相交于两个点。
2. 切线的性质:切线是与圆相切于一点的直线,切线与半径垂直。
3. 弦的性质:弦是圆上任意两点之间的线段,圆心角等于弦所对的弧的一半。
4. 弦切角的性质:弦切角是弦和切线的夹角,弦切角等于所对弧的圆心角。
四、直线与圆的方程1. 直线的方程:直线可以用点斜式、一般式、截距式等多种形式表示。
2. 圆的方程:圆的方程可以用标准方程和一般方程来表示,其中标准方程是以圆心为原点,半径为r的圆的方程。
五、直线与圆的相关定理1. 切线定理:切线与半径垂直,且切点在切线上。
2. 弦切定理:切线与弦所夹角等于所对的弧的圆心角。
3. 弧切定理:切线与弦所夹的圆心角等于所对的弧的一半。
六、直线与圆的相关应用1. 直线与圆的位置关系的应用:可以根据直线与圆的位置关系求出点的坐标、判断线段的长度等。
2. 直线与圆的方程的应用:可以通过直线和圆的方程求解交点的坐标、判断直线与圆是否相交等。
一、基本概念斜率与倾斜角x轴正方向与直线向上的方向所成的角叫这条直线的倾斜角。
倾斜角α∈0,π),直线的斜率,常用k表示,即k=tanα。
倾斜角是π2时,k不存在当k=0时,直线平行于轴或与轴重合;当k>0时,直线的倾斜角为锐角,倾斜角随k的增大而增大;当k<0时,直线的倾斜角为钝角,倾斜角k随的增大而减小;二、基本公式1. P1(x1,y1),P2(x2,y2)两点间的距离公式|P1P2|=√(x1−x2)2+(y1−y2)22. P1(x1,y1),P2(x2,y2)的直线斜率公式k=y1−y2x1−x2=tanα(x1≠x2,α≠π2)3.直线方程的几种形式(1)点斜式:直线的斜率k存在且过(x0,y0),y−y0=k(x−x0)(2)斜截式:直线的斜率k存在且过(0,b),y=kx+b(3)两点式:y−y1y2−y1=x−x1x2−x1,不能表示垂直于坐标轴的直线。
(4)截距式:xa +yb=1不能表示垂直于坐标轴及过原点的直线。
(5)一般式:Ax+By+C=0(A2+B2≠0),能表示平面上任何一条直线4.两直线平行,则k1=k2⟺A1B2-A2B1=0;两直线垂直,则k1k2=−1⟺A1A2+B1B2=05.点到直线距离公式:点P(x0,y0)到直线l:Ax+By+C=0的距离为:d=00√22两平行线间的距离公式:已知两条平行线直线l1和l2的一般式方程为l1:Ax+By+C1=0,l2:Ax+By+C2=0,则l1与l2的距离为d=12√226. 圆的标准方程:(x−a)2+(y−b)2=r2圆心为A(a,b),半径为r的圆的方程圆的一般方程:x2+y2+Dx+Ey+F=0,圆心(−D2,−E2),半径r=12√D2+E2−4F7. 直线Ax+By+C=0与圆(x-a)2+(y-b)2=r2的位置关系及判断1.两圆之间存在以下三种位置关系(1)两圆相交,有两个公共点;(2)两圆相切,包括外切与内切,只有一个公共点;(3)两圆相离,包括外离与内含,没有公共点。
直线和圆知识点总结1、直线的倾斜角:(1)定义:在平面直角坐标系中,对于一条与x 轴相交的直线l ,如果把x 轴绕着交点按逆时针方向转到和直线l 重合时所转的最小正角记为α,那么α就叫做直线的倾斜角。
当直线l 与x 轴重合或平行时,规定倾斜角为0;(2)倾斜角的范围[)π,0。
如(1)直线023cos =-+y x θ的倾斜角的范围是____(答:5[0][)66,,πππ);(2)过点),0(),1,3(m Q P -的直线的倾斜角的范围m 那么],32,3[ππα∈值的范围是______(答:42≥-≤m m 或)2、直线的斜率:(1)定义:倾斜角不是90°的直线,它的倾斜角的正切值叫这条直线的斜率k ,即k =tan α(α≠90°);倾斜角为90°的直线没有斜率;(2)斜率公式:经过两点111(,)P x y 、222(,)P x y 的直线的斜率为()212121x x x x y y k ≠--=;(3)直线的方向向量(1,)a k =,直线的方向向量与直线的斜率有何关系?(4)应用:证明三点共线: AB BC k k =。
如(1) 两条直线钭率相等是这两条直线平行的____________条件(答:既不充分也不必要);(2)实数,x y 满足3250x y --= (31≤≤x ),则xy 的最大值、最小值分别为______(答:2,13-) 3、直线的方程:(1)点斜式:已知直线过点00(,)x y 斜率为k ,则直线方程为00()y y k x x -=-,它不包括垂直于x 轴的直线。
(2)斜截式:已知直线在y 轴上的截距为b 和斜率k ,则直线方程为y kx b =+,它不包括垂直于x 轴的直线。
(3)两点式:已知直线经过111(,)P x y 、222(,)P x y 两点,则直线方程为121121x x x x y y y y --=--,它不包括垂直于坐标轴的直线。
直线与圆的方程知识点总结
直线与圆的方程是解析几何中的基本知识点,下面是关于直线与圆的方程的一些重要知识点总结:
直线方程知识点总结:
1. 直线的点斜式方程:y-y0=k(x-x0),其中 (x0, y0) 为直线上的一点,k 为直线的斜率。
2. 直线的斜截式方程:y=kx+b,其中 k 为直线的斜率,b 为 y 轴上的截距。
3. 直线的两点式方程:(y-y1)/(y2-y1)=(x-x1)/(x2-x1),其中 (x1, y1) 和
(x2, y2) 为直线上的两点。
4. 直线的截距式方程:x/a + y/b = 1,其中 a 和 b 分别为直线在 x 轴和 y 轴上的截距。
5. 直线的一般式方程:Ax + By + C = 0,其中 A、B、C 为常数,且 A 和
B 不为 0。
圆的方程知识点总结:
1. 圆的标准式方程:(x-h)^2 + (y-k)^2 = r^2,其中 (h, k) 为圆心坐标,r 为半径。
2. 圆的参数式方程:x=h+rcosθ, y=k+rsinθ,其中 (h, k) 为圆心坐标,r 为半径,θ 为参数。
3. 圆的极坐标式方程:ρ=r,其中 r 为半径,θ 为极角。
4. 圆的直径式方程:x^2 + y^2 + Dx + Ey + F = 0,其中 D、E、F 为常数。
5. 圆的一般式方程:x^2 + y^2 + Ax + By + C = 0,其中 A、B、C 为常数。
在直线与圆的方程中,还有一些重要的知识点和概念,如直线的法线式和参数式,圆的切线和割线等。
理解和掌握这些概念和公式对于解决几何问题非常重要。
数学高一直线与圆知识点在高中数学学科中,直线与圆是重要的几何图形,它们的相互关系也是我们必须深入了解的知识点。
下面将从不同角度介绍直线与圆的相关知识。
一、直线的基本概念与性质直线是最常见的几何图形之一,它具有以下基本概念与性质。
1. 定义:直线是由无数个点连成的轨迹,它没有起点和终点,并且内部的任意两点可以连成一条直线。
2. 点斜式方程:直线可以通过点和斜率来表示,一般形式为y= kx + b,其中k为斜率,b为常量。
3. 平行与垂直线:两条直线平行的充要条件是它们的斜率相等;两条直线垂直的充要条件是它们的斜率的乘积为-1。
4. 直线与直线的位置关系:两条直线可能相交、平行或重合。
5. 直线与平面图形的关系:直线可以与平面图形相交于一个或多个点,通过这些交点可以研究直线与图形的性质。
二、圆的基本概念与性质圆是另一种重要的几何图形,它有独特的定义和性质。
1. 定义:圆是由一个不动定点到平面上所有距离相等于这个定点与平面上其他点的距离的轨迹。
这个不动定点称为圆心,所有距离相等的线段称为半径,常用r表示。
2. 圆的方程:圆的方程一般形式为:(x - a)² + (y - b)² = r²,其中(a, b)为圆心的坐标,r为半径的长度。
3. 弧长与扇形面积:圆上的弧可以通过圆心角来确定长度,圆心角为1弧度时所对应的弧长度等于半径的长度。
圆的扇形面积等于圆心角所对应的弧长除以圆的周长再乘以圆的面积。
4. 圆内接与外切:如果一个三角形的三边分别和一个圆相切,那么这个三角形叫做这个圆的内切三角形。
如果一个四边形的四边分别和一个圆相切,那么这个四边形叫做这个圆的内切四边形。
三、直线与圆的相交关系直线与圆的相交关系给了我们更多的图形特性来研究。
1. 直线与圆的位置关系:直线可以与圆相离、相切或相交于两个交点。
2. 切线定理:直线若与圆相切,那么切点和圆心连线垂直。
3. 弦:直线在圆内部所对应的线段称为弦,弦的中垂线通过圆心。
圆与直线知识点总结一、圆的基本概念圆是平面上与一个给定点距离相等的点的集合。
这个给定点叫做圆心,与圆心距离相等的距离叫做半径。
圆通常用“O”表示圆心,“r”表示半径。
如果圆心为坐标原点(0,0),那么圆的方程可以表示为x²+y²=r²。
圆的直径是圆上任意两点之间的最大距离,其长度为圆的半径的两倍,可以表示为d=2r。
圆的常见性质:1. 圆的周长:圆的周长叫做圆的周长,通常用C表示。
圆的周长可以用圆的直径或者半径表示。
圆的周长公式为:C=2πr或者C=πd。
其中π是一个无限不循环小数,它约等于3.14159。
2. 圆的面积:圆的面积叫做圆的面积,通常用S表示。
圆的面积公式为S=πr²。
3. 圆的弧长与扇形面积:圆的一部分叫做弧,连接两个圆周上的点的线段叫做弦,弧与弦所夹的部分叫做扇形。
弧的长度叫做圆的弧长,可以表示为l=α/180°×πr。
扇形的面积可以表示为S=1/2r²θ。
二、圆与直线的位置关系1. 直线与圆的相交:直线与圆的位置关系主要有相交、外切、内切和相离四种情况。
直线与圆相交的情况有两点相交和两点重合两种情况。
2. 判别方法:通过解析几何的方法可以判别直线与圆的位置关系。
设直线的方程为y=kx+b,圆的方程为(x-a)²+(y-b)²=r²,通过联立直线方程与圆的方程,可以求解直线与圆的交点。
根据交点的数量和位置可以判断直线与圆的位置关系。
三、圆与直线的解析几何1. 直线的方程:直线的方程通常用一般式、点斜式、斜截式等形式表示。
一般式为Ax+By+C=0,其中A、B、C为常数。
点斜式为y-y₁=k(x-x₁),其中k是斜率,(x₁,y₁)是直线上的一个点。
斜截式为y=kx+b,其中k为斜率,b为截距。
2. 圆的方程:圆的方程通常用标准方程和一般方程表示。
标准方程为(x-a)²+(y-b)²=r²,一般方程为Ax²+By²+Cx+Dy+E=0。
高中数学之直线与圆的方程一、概念理解:1、倾斜角:①找α:直线向上方向、x 轴正方向;②平行:α=0°;③范围:0°≤α<180° 。
2、斜率:①找k :α (α≠90°);②垂直:斜率k 不存在;③范围: 斜率 k ∈ R 。
3、斜率与坐标:12122121tan x x y y x x y y k --=--==α ①构造直角三角形(数形结合);②斜率k 值于两点先后顺序无关;③注意下标的位置对应。
4、直线与直线的位置关系:222111:,:b x k y l b x k y l +=+=①相交:斜率21k k ≠(前提是斜率都存在)特例垂直时:<1> 0211=⊥k k x l 不存在,则轴,即;<2> 斜率都存在时:121-=∙k k 。
②平行:<1> 斜率都存在时:2121,b b k k ≠=;<2> 斜率都不存在时:两直线都与x 轴垂直。
③重合: 斜率都存在时:2121,b b k k ==;二、方程与公式:1、直线的五个方程:①点斜式:)(00x x k y y -=- 将已知点k y x 与斜率),(00直接带入即可; ②斜截式:b kx y += 将已知截距k b 与斜率),0(直接带入即可; ③两点式:),(2121121121y y x x x x x x y y y y ≠≠--=--其中, 将已知两点),(),,(2211y x y x 直接带入即可; ④截距式:1=+by a x 将已知截距坐标),0(),0,(b a 直接带入即可; ⑤一般式:0=++C By Ax ,其中A 、B 不同时为0用得比较多的是点斜式、斜截式与一般式。
2、求两条直线的交点坐标:直接将两直线方程联立,解方程组即可3、距离公式:①两点间距离:22122121)()(y y x x P P -+-=②点到直线距离:2200B A CBy Ax d +++=③平行直线间距离:2221B A C C d +-=4、中点、三分点坐标公式:已知两点),(),,(2211y x B y x A①中点),(00y x :)2,2(2121y y x x ++ ②三分点),(),,(2211t s t s :)32,32(2121y y x x ++ 靠近A 的三分点坐标 )32,32(2121y y x x ++ 靠近B 的三分点坐标 中点坐标公式,在求对称点、第四章圆与方程中,经常用到。
中职直线与圆的方程知识点总结一、直线的方程在二维平面上,直线可以由一元一次方程表示,其一般形式为:Ax + By + C = 0其中 A、B 和 C 是实数且 A 和 B 不同时为 0。
斜截式方程:斜率为 k,截距为 b 的直线方程可以表示为:y = kx + b其中 k 是斜率,b 是截距。
点斜式方程:已知直线上一点(x₁, y₁)和直线的斜率 k,可以使用以下点斜式方程表示直线:y - y₁ = k(x - x₁)二、圆的方程在二维平面上,圆可以由圆心的坐标 (h, k) 和半径 r 表示,其标准方程为:(x - h)² + (y - k)² = r²三、直线与圆的关系直线与圆有以下几种关系:1.直线与圆相切:当直线与圆只有一个交点时,即直线与圆相切。
相切的直线与圆的切线相切于圆的一点。
2.直线与圆相离:当直线与圆没有交点时,即直线与圆相离。
3.直线与圆相交:当直线与圆有两个交点时,即直线与圆相交。
相交的直线与圆会穿过圆的两个点。
4.直线在圆上:当直线经过圆心时,即直线在圆上。
四、直线与圆的方程求解1.判断直线与圆的位置关系:–将直线方程代入圆的标准方程,得到一个一元二次方程;–计算一元二次方程的判别式;–根据判别式的值得出直线与圆的位置关系。
2.求直线与圆的交点坐标:–将直线方程代入圆的标准方程,得到一个二元一次方程组;–解方程组,求得交点坐标。
五、举例例 1:判断直线与圆的位置关系,直线方程为 y = 2x + 1,圆的标准方程为 (x - 3)² + (y - 4)² = 9。
将直线方程代入圆的标准方程得到:(x - 3)² + (2x + 1 - 4)² = 9化简得:5x² - 14x + 9 = 0计算判别式 D = (-14)² - 4 * 5 * 9 = 4,判别式大于 0,因此直线与圆相交。
直线与圆知识点总结1. 直线与圆的位置关系:- 直线与圆可能相交于两个点,这种情况称为相交。
- 直线与圆可能与圆外部割线相切于一点,这种情况称为相切。
- 直线可能与圆没有交点,这种情况称为相离。
2. 判断直线与圆的位置关系:- 使用勾股定理可以判断直线与圆是否相交。
设直线的方程为ax + by + c = 0,圆的方程为(x - h)² + (y - k)² = r²,其中(h, k)为圆心的坐标,r为半径。
将直线的方程代入圆的方程,计算方程的解。
若方程的解为实数,且解满足直线的方程,则直线与圆相交;若方程的解为实数,但解不满足直线的方程,则直线与圆相离;若方程的解为复数,则直线与圆相切。
- 使用两点式可以判断直线与圆的位置关系。
设直线上两点为(x₁, y₁)和(x₂, y₂),圆的方程为(x - h)² + (y - k)² = r²,其中(h, k)为圆心的坐标,r为半径。
计算直线的斜率m = (y₂ - y₁) / (x₂ - x₁),若直线的斜率存在且非零,则直线与圆相交或相离;若直线的斜率不存在或为0,则直线可能与圆相切或相离。
将直线的方程代入圆的方程,计算方程的解。
若方程的解为实数,且解满足直线的方程,则直线与圆相交;若方程的解为实数,但解不满足直线的方程,则直线与圆相离;若方程的解为复数,则直线与圆相切。
3. 求直线与圆的交点:- 设直线的方程为ax + by + c = 0,圆的方程为(x - h)² + (y - k)²= r²,其中(h, k)为圆心的坐标,r为半径。
将直线的方程代入圆的方程,得到一个关于x的二次方程。
解这个方程即可得到直线与圆的交点的x坐标。
将得到的x坐标代入直线的方程,可以求得对应的y坐标。
4. 求直线与圆的切点:- 设直线的方程为ax + by + c = 0,圆的方程为(x - h)² + (y - k)²= r²,其中(h, k)为圆心的坐标,r为半径。
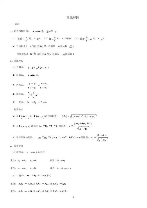
直线和圆一.直线1.斜率与倾斜角:k tan,[0, )(1)[0,) 时, k 0 ;(2)时,k不存在;(3)( , ) 时, k0 222(4)当倾斜角从0 增加到 90 时,斜率从0 增加到;当倾斜角从90增加到180时,斜率从增加到02.直线方程(1)点斜式:y y 0k ( x x 0 )(2)斜截式:y kx b(3)两点式:y y1x x1y 2y1x 2x1(4)截距式:x ya 1b(5)一般式:Ax By C03.距离公式(1)点P ( x , y) , P ( x, y) 之间的距离:P1 P2( x2x1 ) 2( y2y1 ) 2 111222(2)点P ( x0, y0)到直线Ax By C0| Ax0By0 C |的距离: d22A B(3)平行线间的距离:Ax By C 10与 Ax By C 20| C1 C 2 |的距离: d22A B4.位置关系(1)截距式:y kx b 形式重合: k1k 2b1b2相交: k1k 2平行: k1k 2b1b2垂直: k1k 21(2)一般式:Ax By C0 形式重合: A1B2A2B1且 A1C 2A2C1且 B1C 2C1B2平行: A1B2A2B1且 A1C 2A2C1且 B1C 2C1B 2垂直:A1 A2B1 B20相交:A1B2A2 B15.直线系A1 x B1 y C 1+( A2 x B 2 y C 2)0 表示过两直线l 1 : A1 x B1 y C 10 和 l 2 : A2 x B 2 y C 20 交点的所有直线方程(不含l 2)二.圆1.圆的方程(1)标准形式:( x a )2( y b )2R2( R0 )(2)一般式:x2y 2Dx Ey F0(D2 E 24F 0)(3)参数方程:x x0r cos(是参数)y y0r sin【注】题目中出现动点求量时,通常可采取参数方程转化为三角函数问题去解决.(4)以A ( x1, y1) , B ( x2, y2) 为直径的圆的方程是: ( x x A )( x x B ) ( y y A )( y y B ) 0 2.位置关系(1)点P ( x0, y0)和圆( x a ) 2( y b ) 2R 2的位置关系:2当 ( x0 a )( y0 b )当 ( x0 a )2( y0 b )2当 ( x0 a )( y0 b )2R 2时,点 P ( x 0, y 0 ) 在圆 ( x a )2R 2时,点 P ( x 0, y 0 ) 在圆 ( x a )2R 2时,点 P ( x 0, y 0 ) 在圆 ( x a )222( y b ) 2R 2内部( y b )2R2上( y b )2R2外(2)直线Ax By C 0和圆 ( x a)2( y b )2R 2 的位置关系:判断圆心 O (a , b ) 到直线 Ax By C0的距离 d| AaBb C |与半径 R 的大小关系22A B当 d R 时,直线和圆相交(有两个交点);当 d R 时,直线和圆相切(有且仅有一个交点);当 d R 时,直线和圆相离(无交点);3.圆和圆的位置关系判断圆心距 d O1O2与两圆半径之和 R1 R2,半径之差 R1R2(R1R 2)的大小关系当 d R1R2时,两圆相离,有 4 条公切线;当 d R R时,两圆外切,有 3 条公切线;12当 R R2d R R时,两圆相交,有 2条公切线;112当 d R1R 2时,两圆内切,有 1 条公切线;当 0d R1R2时,两圆内含,没有公切线;4.当两圆相交时,两圆相交直线方程等于两圆方程相减225.弦长公式:l 2 R d。
直线与圆1、直线的倾斜角与斜率:tan k α=,当α∈[0°,90°)时,斜率k ∈[0,+∞); 当α∈(90°,180°)时,斜率k ∈(-∞,0)。
过两点111(,)P x y 、222(,)P x y 的直线斜率公式:2121y y k x x -=-.2、直线的五种方程:⑴点斜式:00()y y k x x -=- (直线l 过点00(,)P x y ,且斜率为k ). ⑵斜截式:y kx b =+(k 为直线的斜率,b 为直线l 在y 轴上的截距⑶两点式:112121y y x x y y x x --=-- (12y y ≠且12x x ≠)(111(,)P x y 、222(,)P x y ⑷截距式:1x y a b+=(a b、分别为直线的横、纵截距,且0a b ≠、)⑸一般式:0Ax By C ++=(其中A 、B 不同时为0). 3、两条直线平行和垂直的等价关系:(1)若111:l y k x b =+,222:l y k x b =+,则①121212||,l l k k b b ⇔=≠②12l l ⊥(2)若1111:0l A x B y C ++=,2222:0l A x B y C ++=,且A 1、A 2、B 1、B 2①11112122112212220A B C l ||l A B A B C C A B C ⇔=≠-=≠或且B B ;②1212120l l A A B B ⊥⇔+=; 4、五种常用直线系方程:⑴斜率为k 的直线系方程为:y kx b =+(k 为常数,b 为参数;). ⑵过定点()00,M x y 的直线系方程为:()00y y k x x -=-及0x x =⑶与直线0Ax By C ++=平行的直线系方程为:0Ax By λ++=(C ≠数)⑷与直线0Ax By C ++=垂直的直线系方程为:0Bx Ay λ-+=(λ⑸过直线1111A B C 0l x y ++=:和2222A B C 0l x y ++=:的交点的直线系的方程为:()()111222AB C A B C 0x y x y λ+++++=(不含2l )(λ为参数)5、两点间距离公式:12P P ||111(,)P x y 、222(,)P x y )特别的:点(,)P x y 到坐标原点(0,0)O 的距离为:||OP =6、点到直线的距离公式:d =(点00(,)P x y ,直线l :0Ax By C ++=).7、两条平行直线间的距离公式:d =直线1l :10Ax By C ++=,2l :20Ax By C ++=).8、光的反射定律:当反射面是坐标轴时,入射光线与反射光线所在直线的斜率互为相反数,即:k k 入反=-。
直线与圆1、直线的倾斜角与斜率: tan k α=,当α∈[0°,90°)时,斜率k ∈[0,+∞); 当α∈(90°,180°)时,斜率k ∈(-∞,0)。
过两点111(,)P x y 、222(,)P x y 的直线斜率公式:2121y y k x x -=-. 2、直线的五种方程:⑴点斜式:00()y y k x x -=- (直线l 过点00(,)P x y ,且斜率为k ). ⑵斜截式:y kx b =+(k 为直线的斜率,b 为直线l 在y 轴上的截距⑶两点式:112121y y x x y y x x --=-- (12y y ≠且12x x ≠)(111(,)P x y 、222(,)P x y ⑷截距式:1x ya b+=(a b 、分别为直线的横、纵截距,且0a b ≠、)⑸一般式:0Ax By C ++=(其中A 、B 不同时为0). 3、两条直线平行和垂直的等价关系:(1)若111:l y k x b =+,222:l y k x b =+, 则①121212||,l l k k b b ⇔=≠②(2)若1111:0l A x B y C ++=,2222:0l A x B y C ++=,且A 1、A 2、B 1、B 2①11112122112212220A B C l ||l A B A B C C A B C ⇔=≠-=≠或且B B ; ②12l l ⊥4、两种常用直线系方程:⑴与直线0Ax By C ++=平行的直线系方程为:0Ax By λ++=(C ≠⑵与直线0Ax By C ++=垂直的直线系方程为:0Bx Ay λ-+=(λ5、两点间距离公式:12P P |111(,P x y6、点到直线的距离公式:d =(点00(,)P x y ,直线l :Ax+7、两条平行直线间的距离公式:d =(直线1l :10Ax By C ++=,2l 8、圆的两种方程:⑴圆的标准方程 222()()x a y b r -+-=(圆心为(,)a b⑵圆的一般方程 220x y Dx Ey F ++++= (2240D E F +->).(圆心为(,)22D E --,半径为r =9、点与圆的位置关系:点00(,)P x y 与圆222)()(r b y a x =-+-的位置关系有三种,若d =d r >⇔点P 在圆外;d r =⇔点P 在圆上;d r <⇔点P 在圆内.10、直线与圆的三种位置关系:直线l :0=++C By Ax 与圆222)()(r b y a x =-+-的位置关系判断的两种方法: ⑴设圆心(,)a b 到直线l 的距离22BA C Bb Aa d +++=,则d r d r d r >⇔=⇔<⇔相离;相切;相交。
直线和圆--知识总结一、直线的方程 1、倾斜角:L α,范围0≤α<π,若x l //轴或与x 轴重合时,α=00。
2、斜率: k=tan α α与κ的关系:α=0⇔κ=0已知L 上两点P 1(x 1,y 1) 0<α<02>⇔k πP 2(x 2,y 2) α=κπ⇔2不存在⇒k=1212x x y y -- 022<⇔<<κππ当1x =2x 时,α=900,κ不存在。
当0≥κ时,α=arctank ,κ<0时,α=π+arctank 3、截距(略)曲线过原点⇔横纵截距都为0。
4、直线方程的几种形式 已知 方程 说明几种特殊位置的直线 斜截式K 、bY=kx+b不含y 轴和行平于y 轴的直线①x 轴:y=0点斜式P 1=(x 1,y 1) k y-y 1=k(x-x 1) 不含y 轴和平行于y 轴的直线②y 轴:x=0两点式P 1(x 1,y 1) P 2(x 2,y 2) 121121x x x x y y y y --=-- 不含坐标辆和平行于坐标轴的直线③平行于x 轴:y=b截距式a 、b1=+by a x 不含坐标轴、平行于坐标轴和过原点的直线④平行于y 轴:x=a ⑤过原点:y=kx一般式 Ax+by+c=0 A 、B 不同时为0两个重要结论:①平面内任何一条直线的方程都是关于x 、y 的二元一次方程。
②任何一个关于x 、y 的二元一次方程都表示一条直线。
5、直线系:(1)共点直线系方程:p 0(x 0,y 0)为定值,k 为参数y-y 0=k (x-x 0) 特别:y=kx+b ,表示过(0、b )的直线系(不含y 轴) (2)平行直线系:①y=kx+b ,k 为定值,b 为参数。
②AX+BY+入=0表示与Ax+By+C=0 平行的直线系 ③BX-AY+入=0表示与AX+BY+C 垂直的直线系(3)过L 1,L 2交点的直线系A 1x+B 1y+C 1+入(A 2X+B 2Y+C 2)=0(不含L2)6、三点共线的判定:①AC BC AB =+,②K AB =K BC ,③写出过其中两点的方程,再验证第三点在直线上。
直线与圆的知识点总结1. 直线的基本性质直线是没有宽度和厚度的,只有长度的几何图形。
直线上的任意两点可以确定一条直线,直线也可以延伸到无穷远。
直线有无穷多条平行直线。
直线和直线之间可以相交,也可以平行。
2. 圆的基本性质圆是由平面上与一个固定点的距离恒定的所有点组成的集合。
这个固定点叫做圆心,恒定的距离叫做半径。
圆的直径是通过圆心并且两端点在圆上的线段。
圆有无穷多条切线,切线与半径的夹角是直角。
圆周上的任意两点与圆心的连线组成的角叫做圆心角,这个角的弧长等于圆周上它所对的圆弧的长度的角叫做圆心角。
3. 直线与圆的关系直线与圆之间有着丰富的关系,包括直线和圆的相交,直线和圆的切线,以及圆的切线定理等。
3.1 直线和圆的相交直线和圆有三种可能的相交关系:相离、相切和相交。
相离是指直线和圆不相交,相切是指直线和圆只有一个公共的切点,相交是指直线和圆有两个公共的交点。
这些相交关系在解决一些几何问题的时候非常重要。
3.2 直线与圆的切线直线与圆的切线是指直线与圆只有一个公共的切点,并且这个切点是切线与圆的切点,切线与半径的夹角是直角。
切线的存在定理指出,直线与圆相交于两点,在这两点中可以找到一条切线。
切线与圆的切点处的切线定理为切线与圆的切点处切线的性质提供了重要的条件。
3.3 圆的切线定理圆的切线定理是指直线与圆相交于两点,则切线与直线的两切点连线的对角线相交于圆心。
这个定理在解决一些几何问题的时候有着重要的作用,它是几何学中重要的基本定理之一。
除了以上提到的基本性质和关系以外,直线与圆的知识还涉及到诸如圆心角、圆锥曲线、圆锥曲线的性质、圆锥曲线的方程、圆锥曲线的应用等方面的内容。
因此,掌握直线与圆的知识是极为重要的,它不仅可以帮助我们更好地理解和应用数学知识,还可以为我们解决实际问题提供有力的工具和方法。
九年级数学直线与圆知识点
九年级数学直线与圆的知识点主要包括以下内容:
1. 直线与圆的位置关系:直线和圆可能有三种位置关系,即相离、相切和相交。
2. 直线与圆的性质:直线与圆相交的情况下,有以下性质:
- 直线与圆的切点:直线与圆的切点是直线与圆的交点中,与圆相切的点。
- 圆的切线:直线与圆的切线是通过圆上某一点并与圆垂直的直线。
- 圆的切线定理:直线与圆的切线与该线的切点外的点的连线垂直于直线与圆的半径。
3. 直线与圆的方程:直线与圆的方程表示了直线和圆之间的关系。
直线的方程一般形
式为y = kx + b,而圆的方程一般形式为(x - a)^2 + (y - b)^2 = r^2,其中(a, b)表
示圆心的坐标,r表示半径。
4. 直线与圆的交点求解:直线与圆的交点可以通过联立直线与圆的方程得到。
解方程
组可以求解出直线与圆的交点。
5. 切线方程的求解:如果已知圆的方程和切点的坐标,可以通过切线的斜率和切点求
解切线的方程。
这些知识点是九年级数学直线与圆的基本内容,希望对你有帮助!。
高三直线与圆的知识点直线与圆是高中数学中一个重要的几何学知识点。
本文将对高三学生在学习直线与圆相关内容时需要掌握的知识点进行详细介绍。
一、直线与圆的基本概念在几何学中,直线与圆是最基本的图形。
直线是无限延伸的、宽度可以忽略不计的一维图形,用两个端点确定;圆是平面上一组与一个给定点的距离相等的点的集合,该给定点称为圆心。
二、直线与圆的位置关系1. 直线与圆的位置关系有三种情况:(1)直线与圆相交:直线与圆相交于两个不同的点。
(2)直线与圆相切:直线与圆相切于圆上的一个点。
(3)直线与圆相离:直线与圆没有公共的点。
2. 判断直线与圆的位置关系的方法:(1)利用勾股定理:设圆的圆心为O,直线上任意一点为A,则直线上的点到圆心的距离等于圆的半径r,即OA²=r²。
(2)利用判别式:设圆的圆心为O(x0,y0),半径为r,直线的方程为Ax+By+C=0,则直线与圆的位置关系可以用判别式D=|Ax0+By0+C|²-(A²+B²)(x0²+y0²-r²)来判断。
当D>0时,直线与圆相交;当D=0时,直线与圆相切;当D<0时,直线与圆相离。
三、直线与圆的性质1. 直线的性质:(1)直线的斜率:直线的斜率定义为直线上任意两点的纵坐标之差除以横坐标之差。
(2)直线的截距:过直线上任意一点的垂直线与坐标轴的交点称为直线的截距。
直线的截距有x截距和y截距两种形式。
2. 圆的性质:(1)圆的周长:圆的周长等于半径乘以2π。
(2)圆的面积:圆的面积等于半径平方乘以π。
四、直线与圆的问题求解在学习直线与圆的知识时,常常需要解决与其相关的问题。
下面介绍几类常见的问题及求解方法:1. 直线与圆的交点问题:(1)已知直线与圆的方程,求交点坐标。
(2)已知直线与圆的位置关系,求直线方程或圆方程。
2. 直线与圆的切线问题:(1)已知直线与圆的位置关系为相切,求切点坐标及切线方程。
直线和圆知识点总结1、直线的倾斜角:(1)定义:在平面直角坐标系中,对于一条与x 轴相交的直线l ,如果把x 轴绕着交点按逆时针方向转到和直线l 重合时所转的最小正角记为α,那么α就叫做直线的倾斜角。
当直线l 与x 轴重合或平行时,规定倾斜角为0;(2)倾斜角的范围[)π,0。
如(1)直线023cos =-+y x θ的倾斜角的范围是____(答:5[0][)66,,πππ);(2)过点),0(),1,3(m Q P -的直线的倾斜角的范围m 那么],32,3[ππα∈值的范围是______(答:42≥-≤m m 或)2、直线的斜率:(1)定义:倾斜角不是90°的直线,它的倾斜角的正切值叫这条直线的斜率k ,即k =tan α(α≠90°);倾斜角为90°的直线没有斜率;(2)斜率公式:经过两点111(,)P x y 、222(,)P x y 的直线的斜率为()212121x x x x y y k ≠--=;(3)直线的方向向量(1,)a k =,直线的方向向量与直线的斜率有何关系?(4)应用:证明三点共线: AB BC k k =。
如(1) 两条直线钭率相等是这两条直线平行的____________条件(答:既不充分也不必要);(2)实数,x y 满足3250x y --= (31≤≤x ),则xy 的最大值、最小值分别为______(答:2,13-) 3、直线的方程:(1)点斜式:已知直线过点00(,)x y 斜率为k ,则直线方程为00()y y k x x -=-,它不包括垂直于x 轴的直线。
(2)斜截式:已知直线在y 轴上的截距为b 和斜率k ,则直线方程为y kx b =+,它不包括垂直于x 轴的直线。
(3)两点式:已知直线经过111(,)P x y 、222(,)P x y 两点,则直线方程为121121x x x x y y y y --=--,它不包括垂直于坐标轴的直线。
(4)截距式:已知直线在x 轴和y 轴上的截距为,a b ,则直线方程为1=+by a x ,它不包括垂直于坐标轴的直线和过原点的直线。
(5)一般式:任何直线均可写成0Ax By C ++=(A,B 不同时为0)的形式。
如(1)经过点(2,1)且方向向量为v =(-1,3)的直线的点斜式方程是___________(答:12)y x -=-);(2)直线(2)(21)(34)0m x m y m +----=,不管m 怎样变化恒过点______(答:(1,2)--);(3)若曲线||y a x =与(0)y x a a =+>有两个公共点,则a 的取值范围是_______(答:1a >)提醒:(1)直线方程的各种形式都有局限性.(如点斜式不适用于斜率不存在的直线,还有截距式呢?);(2)直线在坐标轴上的截距可正、可负、也可为0.直线两截距相等⇔直线的斜率为-1或直线过原点;直线两截距互为相反数⇔直线的斜率为1或直线过原点;直线两截距绝对值相等⇔直线的斜率为1±或直线过原点。
如过点(1,4)A ,且纵横截距的绝对值相等的直线共有___条(答:3)4.设直线方程的一些常用技巧:(1)知直线纵截距b ,常设其方程为y kx b =+;(2)知直线横截距0x ,常设其方程为0x my x =+(它不适用于斜率为0的直线);(3)知直线过点00(,)x y ,当斜率k 存在时,常设其方程为00()y k x x y =-+,当斜率k 不存在时,则其方程为0x x =;(4)与直线:0l Ax By C ++=平行的直线可表示为10Ax By C ++=;(5)与直线:0l Ax By C ++=垂直的直线可表示为10Bx Ay C -+=.提醒:求直线方程的基本思想和方法是恰当选择方程的形式,利用待定系数法求解。
5、点到直线的距离及两平行直线间的距离:(1)点00(,)P x y 到直线0Ax By C ++=的距离d =;(2)两平行线1122:0,:0l Ax By C l Ax By C ++=++=间的距离为d =。
6、直线1111:0l A x B y C ++=与直线2222:0l A x B y C ++=的位置关系:(1)平行⇔12210A B A B -=(斜率)且12210B C B C -≠(在y 轴上截距);(2)相交⇔12210A B A B -≠;(3)重合⇔12210A B A B -=且12210B C B C -=。
提醒:(1) 111222A B C A B C =≠、1122A B A B ≠、111222A B C A B C ==仅是两直线平行、相交、重合的充分不必要条件!为什么?(2)在解析几何中,研究两条直线的位置关系时,有可能这两条直线重合,而在立体几何中提到的两条直线都是指不重合的两条直线;(3)直线1111:0l A x B y C ++=与直线2222:0l A x B y C ++=垂直⇔12120A A B B +=。
如(1)设直线1:60l x my ++=和2:(2)320l m x y m -++=,当m =_______时1l ∥2l ;当m =________时1l ⊥2l ;当m _________时1l 与2l 相交;当m =_________时1l 与2l 重合(答:-1;12;31且m m ≠≠-;3);(2)已知直线l 的方程为34120x y +-=,则与l 平行,且过点(—1,3)的直线方程是______(答:3490x y +-=);(3)两条直线40ax y +-=与20x y --=相交于第一象限,则实数a 的取值范围是____(答:12a -<<);(4)设,,a b c 分别是△ABC 中∠A 、∠B 、∠C 所对边的边长,则直线sin 0A x ay c ++=与sin sin 0bx B y C -+=的位置关系是____(答:垂直);(5)已知点111(,)P x y 是直线:(,)0l f x y =上一点,222(,)P x y 是直线l 外一点,则方程1122(,)(,)(,)f x y f x y f x y ++=0所表示的直线与l 的关系是____(答:平行);(6)直线l 过点(1,0),且被两平行直线360x y +-=和330x y ++=所截得的线段长为9,则直线l 的方程是________(答:43401x y x +-==和)7、到角和夹角公式:(1)1l 到2l 的角是指直线1l 绕着交点按逆时针方向转到和直线2l 重合所转的角θ,θ()π,0∈且tan θ=21121k k k k +-(121k k ≠-);(2)1l 与2l 的夹角是指不大于直角的角,(0,]2πθθ∈且tan θ=︱21121k k k k +-︱(121k k ≠-)。
提醒:解析几何中角的问题常用到角公式或向量知识求解。
如已知点M 是直线240x y --=与x 轴的交点,把直线l 绕点M 逆时针方向旋转45°,得到的直线方程是______(答:360x y +-=)8、对称(中心对称和轴对称)问题——代入法:如(1)已知点(,)M a b 与点N 关于x 轴对称,点P 与点N 关于y 轴对称,点Q 与点P 关于直线0x y +=对称,则点Q 的坐标为_______(答:(,)b a );(2)已知直线1l 与2l 的夹角平分线为y x =,若1l 的方程为0(0)ax by c ab ++=>,那么2l 的方程是___________(答:0bx ay c ++=);(3)点A(4,5)关于直线l 的对称点为B(-2,7),则l 的方程是_________(答:3y=3x +);(4)已知一束光线通过点A(-3,5),经直线l :3x -4y+4=0反射。
如果反射光线通过点B(2,15),则反射光线所在直线的方程是_________(答:18x 510y -=+);(5)已知ΔABC 顶点A(3,-1),AB边上的中线所在直线的方程为6x+10y -59=0,∠B 的平分线所在的方程为x -4y+10=0,求BC边所在的直线方程(答:29650x y +-=);(6)直线2x ―y ―4=0上有一点P,它与两定点A(4,-1)、B(3,4)的距离之差最大,则P的坐标是______(答:(5,6));(7)已知A x ∈轴,:B l y x ∈=,C (2,1),ABC 周长的最小值为______。
提醒:在解几中遇到角平分线、光线反射等条件常利用对称求解。
9、简单的线性规划:(1)二元一次不等式表示的平面区域:①法一:先把二元一次不等式改写成y kx b >+或y kx b <+的形式,前者表示直线的上方区域,后者表示直线的下方区域;法二:用特殊点判断;②无等号时用虚线表示不包含直线l ,有等号时用实线表示包含直线l ;③设点11(,)P x y ,22(,)Q x y ,若11Ax By C ++与22Ax By C ++同号,则P ,Q 在直线l 的同侧,异号则在直线l 的异侧。
如已知点A (—2,4),B (4,2),且直线:2l y kx =-与线段AB 恒相交,则k 的取值范围是__________(答:(][)31∞∞-,-,+)(2)线性规划问题中的有关概念:①满足关于,x y 的一次不等式或一次方程的条件叫线性约束条件。
②关于变量,x y 的解析式叫目标函数,关于变量,x y 一次式的目标函数叫线性目标函数;③求目标函数在线性约束条件下的最大值或最小值的问题,称为线性规划问题;④满足线性约束条件的解(,x y )叫可行解,由所有可行解组成的集合叫做可行域; ⑤使目标函数取得最大值或最小值的可行解叫做最优解;(3)求解线性规划问题的步骤是什么?①根据实际问题的约束条件列出不等式;②作出可行域,写出目标函数;③确定目标函数的最优位置,从而获得最优解。
如(1)线性目标函数z=2x -y 在线性约束条件{||1||1x y ≤≤下,取最小值的最优解是____(答:(-1,1));(2)点(-2,t )在直线2x -3y+6=0的上方,则t 的取值范围是_________(答:23t >);(3)不等式2|1||1|≤-+-y x 表示的平面区域的面积是_________(答:8);(4)如果实数yx ,满足2040250x y x y x y -+≥⎧⎪+-≥⎨--≤⎪⎩,则|42|-+=y x z 的最大值_________(答:21)(4)在求解线性规划问题时要注意:①将目标函数改成斜截式方程;②寻找最优解时注意作图规范。