无机及分析化学答案全南京大学第四版
- 格式:doc
- 大小:599.00 KB
- 文档页数:97
第8章习题答案1.命名下列配合物:(1)K2[Ni(CN)4](2)(NH4)2[FeCl5(H2O)](3)[Ir(ONO)(NH3)5]Cl2(4)Na2[Cr(CO)5]解:(1)四氰根合镍(Ⅱ)酸钾(2)五氯•一水合铁(III)酸铵(3)二氯化亚硝酸根•五氨合铱(III)(4)五羰基合铬(-Ⅱ)酸钠(参考P172)2.写出下列配合物(配离子)的化学式?(1)硫酸四氨合铜(Ⅱ)(2)四硫氰•二氨合铬(III)酸铵(3)二羟基•四水合铝(III)离子(4)二苯合铬(0)解:(1)[Cu(NH3)4]SO4(2)(NH4)[Cr(NH3)2(SCN)4](3)[Al(H2O)4(OH-)2]+(4)[Cr(C6H6)2]6.试用价键理论说明下列配离子的键型(内轨型或外轨型)、几何构型和磁性大小。
(1)[Co(NH3)6]2+(2)[Co(CN)6]3-解:(1)Co最外层价电子排布为:27Co:3d74s2Co2+的最外层价电子排布为:27Co2+:3d74s0[][][][][][][][][][][][][][]3d74S04P04d0 [][][][][][][][][][][][][][]SP3d2杂化、成键,形成[Co(NH3)6]2+因为:形成[Co(NH3)6]2+时用的是Co2+最外层4S、4P、4d空轨道以SP3d2杂化、成键,而且中心离子Co2+形成配离子的前后单电子数没变,所以:该[Co(NH3)6]2+配合离子是外轨型,SP3d2杂化,几何构型为正八面体。
因为:以SP3d2杂化、成键形成[Co(NH3)6]2+后,具有3个单电子,所以:[Co(NH3)6]2+的磁矩为:,因为具有单电子分子是顺磁性分子,无单电子分子是抗磁性分子,所以形成[Co(NH3)6]2+后,具有3个单电子,[Co(NH3)6]2+是顺磁性分子。
(2)Co最外层价电子排布为:27Co:3d74s2Co3+的最外层价电子排布为:27Co3+:3d64s0[][][][][][][][][]3d64S04P0[][][][][][][][][]d2SP3杂化、成键,形成[Co(CN)6]3-因为:形成[Co(CN)6]3-时用的是Co3+内层d轨道,即(n-1)层d轨道与nS、nP空轨道以d2SP3杂化、成键,而且中心离子Co3+形成配合离子前有4个单电子,形成配合离子后没有单电子,中心离子Co3+形成配合离子前、后内层电子发生了重新排布,所以:该[Co(CN)6]3-配合离子是内轨型,d2SP3杂化,几何构型为正八面体。
第四版分析化学习题答案第四版分析化学习题答案分析化学是研究物质成分和性质的科学,通过实验和分析方法来确定物质的组成和特性。
在学习分析化学的过程中,习题是巩固知识和提高解题能力的重要途径。
本文将针对第四版分析化学习题进行分析和解答,帮助读者更好地理解和掌握相关知识。
第一章:分析化学基本概念1. 什么是分析化学?分析化学是研究物质成分和性质的科学,通过实验和分析方法来确定物质的组成和特性。
2. 什么是定性分析?什么是定量分析?定性分析是通过观察和实验现象来确定物质的成分和性质,如颜色、溶解性等。
定量分析是确定物质中某种或某几种成分的含量或浓度。
3. 什么是标准样品?为什么要使用标准样品?标准样品是已知成分和浓度的物质,用于定量分析中的校准和质量控制。
使用标准样品可以确保实验结果的准确性和可靠性。
第二章:化学平衡和反应动力学1. 什么是化学平衡?化学平衡是指在一个封闭系统中,反应物与生成物之间的反应速率相等的状态。
在化学平衡下,反应物和生成物的浓度保持不变。
2. 什么是平衡常数?如何计算平衡常数?平衡常数是在特定温度下,反应物和生成物浓度的比值的稳定值。
计算平衡常数需要根据反应的化学方程式和各物质的浓度来确定。
3. 什么是反应速率?如何影响反应速率?反应速率是指单位时间内反应物消耗或生成物产生的量。
反应速率受到温度、浓度、催化剂等因素的影响。
第三章:酸碱滴定和络合滴定1. 什么是酸碱滴定?如何确定滴定终点?酸碱滴定是通过滴定剂与待测溶液中的酸碱反应,确定酸碱的浓度。
滴定终点通常通过指示剂的颜色变化或pH计来确定。
2. 什么是络合滴定?如何选择合适的络合剂?络合滴定是指在滴定过程中,滴定剂与待测溶液中的金属离子形成络合物。
选择合适的络合剂需要考虑络合剂与金属离子的亲和力和络合常数。
3. 什么是滴定曲线?如何利用滴定曲线确定滴定终点?滴定曲线是滴定过程中滴定剂与待测溶液反应的曲线。
利用滴定曲线可以通过观察颜色变化、pH值变化等来确定滴定终点。
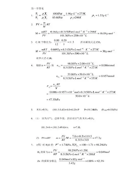
无机及分析化学(第四版)南京大学3-45^R = pl ; JOCMPa = L 处屮丄 1 x273K P ; _ p ;Ts 拓XKPo _ 化X29MK“ mRT 0J64«xS /?ISXPa7 ' K 1 x 298A^“ rM = --------- -- ---------------------------------------------- : ----------------- mPV101.3kPa x 250x MJ"化学犬H CH= (0.<«6 +0.957)x10 '/nn/x8 3l5kPtr^m0/ lK 0273K -50-0xl0^L= 4735kPa* P (V|=r*V- 0<» ^-5 63)xO5=(> 25xP *1913451 iP fn ()MmkRi)6 (1) HI 为空肌・0■不录* P?以对空T 有P.VHSVi1013x4-(101 3^l9 6)Xi X-7.8L(Q*屮注怖AS.U1为可以他 A 了间妙|的临抒基*甲詩価眦分了内氯H.tfiAMp 、= L53g-L 'PV ~lOJJtFtfXSOOxlO *L=30je4, HHRn = —MRTx £00 耳 KJ83l5JtPd £z»w/ ^JC 1X273K =0086mnxil 53X)4Fax5O.OxlO V &订禅m 山•-AT 'x333K=0.957niirial札 15七 HtHjQ 的>100-1.71*98.29^Z 川仆丿―呱2<"丫1警RT 8JI5JtP^7 K 'x288A r=0 04%讪< H ,土臥i?l PV-nRT7用 x 4竟3x11*5 S.3I5X513⑶ShHpPHiffiT書色Ifi力k(3) iCUHr;繭音*农定向力如诱导力⑷ MjO>NdiO Mg:<电荀稔.H: > M fi0 M rt k⑸SiO^^SO;'fi 3期瓯f晶悻/ i吿为仔『晶障i6>SrK'f:>SnCL Sn^ttft*丸于Sn;r. £nCL.问人忖逆过常比创直1训*~上也』人、”1十2“""册和一卜MI即-46.02/f? mol1• -X945JW 1+丄X43WC/册厂-3A.%_屮*- 亠行侏比..川=391K丿加"■狞2比n NH -NH、~ 九Hg科+ 2A卜H凋■} — 4A4H^ I—九町.、一对即^.26KJ mnl 1= 1+2K4J6^J WM?/ '-4x的iJC/ imJ '-亠"卜“褂%% M=I57KJW0.2«Ox»W>02920x180 H-101n=(ftr=O. 2920 x8314x310 = 753Jt?^13 n-b*RT>(0 5C6H)4#640055H).0^0011 ^OJI *0.002) X8 314x298 ■ 2TWW 14. r r = —= ——— = L53**X1O *^-L*fir 8315x291*册二0.51芍< V - 0.1539x50.0x10⑶byAZ = A ;7> = 0,5I2X L54X I0 1 =7.88X 10 * ATLX6xL54xlO * - 2.86x10 *K⑷ 卜給tA|^AT t ^IAT r A*b7-无法测笊・15 f(As 3S^m nS' 广 2nH*16A :K J K-i('hJu |>fckS< L>A 1( \iB:ACl^MESCu^KJlxlCNkln. 4电赫:当囲菠两扣坝牛扣对运动时.滞动的帝电体与博酒寧体之何的电够5f )0/22.4xl7 560/22.4x17-IKK> xKKr ; = 29.K f rO^OxlO 1!- L 1 X29.H■ LS»7&M W L 1CH.NinMK 比为恥尚.心CHN0.7W 00«7l> 0.1727 .._ , 12 I HL21X I03/M 243x10 1A/ =1・86卿&?员|)<匚2欢 CL5&KKX24.5 関=0 162烁册川 1 - 162 :/ nw>J甘汕的ttl^ VTffi* M=92E rnul *100x10 £2 (WK 7心皿討 xIOOxlO.86 K 蘇诉沏*(\H,<)..X HX <X>H>NX N.>( X :h呵 O.543K -- —■ -------K f 1,853 -4V9 誓皈!7 }聲;xh - A\ x抵民一聊特殊的“艄棒眾小中较体额諒威奇聚躺甘了耳和逢捲朋压闵优第勵蛤构空算充#i 了浪f*我社像《attt:皎体因折入隴第順血析出的过科\H»ik液剂彷了在压力ft用卜曲怖搐藏向編渚帧楼时过稈称为屁洽走. ia (1)II水的澳逢圧高十演水.鱼适应了海廉的潘逢医创不健适应播永的褂進医.(2)雄里落液的液度裔Jilt圧大于植債体的濤逢压・菌物孔盐就M L里会凶失倉血枯娄.0)出涪解到雷中使水的融周点ffffi.44)江河中的畋悽在入海赴週列电解质艾牛最锻*5 光加M]船时*朋舷时金旃龌育保护朮用.再1 如见加扛他讷.总化箱对带陀肴媲沉ft用*洛独i口聚贰啟不会址厭・二會5C SO S ; M u &>;t>z pl s urun心T —o 丄-*5芋 丄-飞養n $艮丄+{二倉 nNEAE —)*(二学n s H a亠・v <£13^s 3i M 0—^二當 n二公;)x P丄-12X -呂 —x :( -1 n g X 7站<-1 2® Z T I O I ~- 1-33T T -- 1-3^-^r -—-i =三肾丄二零工6窘*£m 6f >"a=d 0 —「工F:-l 3x rl X T R k **nu垄3H <r u r J:-H pk weI fs pa —*=■■. HC9-6ni £ + B X ^^-«x 7N 空“ 7 I-5^3>・*- ;5 i -A二二X里 F n三X N寧z x -N*- E u ** 兰亠左*r-i 样 J --f i c 3AC -S =i 6 r二X ^--I R s i e x *©- X S T ^-s -X Z A f x dL ^s 咧&o-h1HL-L A X x %A X \h二 「〔二菽町丁-壬 M三工交二=x £j二K x二!!.>;-X .K二二右£y JI _X T o M= ・l s l =才・£亠法*51 I s l #5=l莘毕JA"::+必诃 1)- 2 X (SOtiM rwl ')' I 1*-'} 岷般= 1253.7Mfl!fl/_,% 比收存打"['"“xl 节工了k/別凶1 =195KM.75M工 U) <1) Wi 2V ; + 2fl ; = 4Wj(3)A r ; = {-116&.8M /w>/■')-(-15304W^Hjr')=361 Wk/ mflj'1- 1 A H F ,= ' X36Ih=M0 4M OWJ J 'r ■* 斗 『* 目s均砒■£反应IM*能・£生-_rtl + A t w k A1+A*W|fl _wt + A*H (W J-[2A t nj -AA 丿怙 fyi + At^)/ »i r J=I.U.IkJ M * + %际/ 用川"+ 祗Xk 丿曲# ')-(2x-165kJ mr>/ * * 276U mji/ 1)= -3<)k/ BW / ' a u> ><2) >⑶>4 <⑸>⑹< 10 ⑴M⑵盾人 ⑶mk<5/ 悄 k…940.6x10* JJFW /'1rf =373A :U> AS ・込宀"曲_5IO77K275 A r也际KISMta273K = 22AJKIM A rAft if,弁r 旳況乱g 慟如补比曙化时期加怕队 鮎阳燈间KIJ. W=PAV == 8314J<-1'x373r = 3Jfc/[J W 「"k. J八\= 40.7k/Af/=^-W = 4O.7U-3Jk/ = 3T6My Q 4070UJ do =—=T 373ATM .利用左卫:|血竹養系・灿新反I 柱汁:刨,人f (M 僦既生*小于0可(U 发生(U“:=卜口站MJ 血广)* {jrrmij 册腐)][Cs9b.8KJ 时,「)]+(-39丄42佃川')=2SJkJ rnpZ 1 小于G 阿览引 ⑵注心:=卜 132192 w f J")+2x(- 237 2k/flw/■')!-(-1797V wL )=07JJ 加" 天于0不可投牛') [( 18SU W ')+(-l37/2L/ ntflJ )|= 69.2U mn/ 1小于0可发生15 (I )苫12)否(訂 fi(4)遺;刃昔A r G ; = (-S%W nW)— [(—5515kJww 厂)+2x(-157.317 ^-1 )|= -2U 7W W"1 小于0-此反应可以发牛17.巾址“讥-珞斗AfG.Cb 181—25TAH 打门尸&门十166亦Ar6…(J>= 20—43TAG = 0= 1(WJ A -AG = AW-7M 此憶極人于彼故此J 诅不可发生⑴亠屮:二id 成物的b 射卜no 討砌的t 成対=* 393 5U flin/ 'J+nx(- 283-83M^/11| 匸 2222U 预胡■卜・564£25k/w 」初 牡山 ffX 9 jy m * JTf 'x300ftffi = 19llU19llU, = 135>nol =46?g5644 25}J fnoi 12n, G J CO, =「“O + CO*)* (-3^3.5k/mn/ ' )|-{-12O6.9U>M ?/ 1 )= 178.3k> mr>/ 1A r S ; =(3M 77 AT ' 1+(213,6JJC ' )-92,97JC ' = 160 4MT ' fejSHIftfStl 时 = 0即= Ql7E3xlt>Jmpf 1I604J A r 1 ~ 21 UHQH Y 、2H 、0A r G* - |&K2k71+(-22S.6k/?W ')]-(-1e8.6U ftirt/ '卜8.2打*»「$//: _ 卜24MRJ 加",)+523kJ w*rj/ ')-(- 2353k/') - 45.HM mr?/ "A,S* =(2IWJT Jl8S/U K ')-2827-K 1 =126 l/ Af 1 2>VB1 AG)0 '■卷不握4 36(吃时 AC ;-45,SkJ/W 1 -(3W +273)x126.1x10 \J - -34.Q2U rtrfl/小于"JiJfi 可皈览宅21虚川:・(-235如如「)-(-277血』誠")・42”37财/ **iMU :.r =I26JJ X 1SV ■HV-紀r m o &T -X『60-7-呂「9V Z1+・ ¥『伫$卩-f kPOMT l n m弗T m r m亠—【T H披-}*I m z n -j w v < 9 u p er F c-¥f n w -d -f oo £v ;f ,£-^*X A ><M H ^<-飞E r芒o tl丄二層s *m "丄丄二富7W«W丄菽丄二¥s *二A 丄 H v <Nxwy■£■?」l<一二z y —-u 巷、-hs H a —一电£/■工-hot"「工<A G?n"匸工\久*1生更物}工心心「1反庙拗-*197.15 + (-228.59)・(39436)-2x(-1 氐 4B) = L6KJ1UU =,KM3K fl xKPl N T O.* ^ij|.yi < i dPN)IO(Hi+2x=ll6 k=l6KPjjr* ■色心戶厶.血-■。
无机化学(第四版)答案第一章物质的结构1-1 在自然界中氢有三种同位素,氧也有三种同位素,问:总共有种含不同核素的水分子?由于3H太少,可以忽略不计,问:不计3H时天然水中共有多少种同位素异构水分子?1-2 天然氟是单核素(19F)元素,而天然碳有两种稳定同位素(12C和13C),在质谱仪中,每一质量数的微粒出现一个峰,氢预言在质谱仪中能出现几个相应于CF4+的峰?1-3 用质谱仪测得溴得两种天然同位素的相对原子质量和同位素丰度分别为79Br 789183占50。
54%,81Br 80。
9163占49。
46%,求溴的相对原子质量(原子量)。
1-4 铊的天然同位素203Tl和205Tl的核素质量分别为202。
97u和204。
97u,已知铊的相对原子质量(原子量)为204。
39,求铊的同位素丰度。
1-5 等质量的银制成氯化银和碘化银,测得质量比m(AgCl):m(AgBr)=1。
63810:1,又测得银和氯得相对原子质量(原子量)分别为107。
868和35。
453,求碘得相对原子质量(原子量)。
1-6 表1-1中贝采里乌斯1826年测得的铂原子量与现代测定的铂的相对原子质量(原子量)相比,有多大差别?1-7 设全球有50亿人,设每人每秒数2个金原子,需要多少年全球的人才能数完1mol金原子(1年按365天计)?1-8 试讨论,为什么有的元素的相对质量(原子量)的有效数字的位数多达9位,而有的元素的相对原子质量(原子量)的有效数字却少至3~4位?1-9 太阳系,例如地球,存在周期表所有稳定元素,而太阳却只开始发生氢燃烧,该核反应的产物只有氢,应怎样理解这个事实?1-10 中国古代哲学家认为,宇宙万物起源于一种叫“元气”的物质,“元气生阴阳,阴阳生万物”,请对比元素诞生说与这种古代哲学。
1-11 “金木水火土”是中国古代的元素论,至今仍有许多人对它们的“相生相克”深信不疑。
与化学元素论相比,它出发点最致命的错误是什么?1-12 请用计算机编一个小程序,按1.3式计算氢光谱各谱系的谱线的波长(本练习为开放式习题,并不需要所有学生都会做)。
无机化学第四版答案第一章:无机化学基础知识1.1 无机化学的定义无机化学是研究无机物质的性质、合成方法、反应规律以及其在化学产业中的应用的科学。
1.2 无机化学的分类无机化学可以根据化合物的成分、物理性质、化学性质等进行分类。
其中,根据化合物的成分,可以分为无机酸、无机盐、无机氧化物等。
根据物理性质,可以分为固体、液体和气体。
根据化学性质,可以分为酸性、碱性和中性等。
1.3 无机化学的应用无机化学在工业生产、医药、农业等领域有着广泛的应用。
例如,无机化合物可以用于制备金属材料、电池、涂料等。
另外,无机化学也在医药领域有着重要的应用,例如无机化合物可以作为药物的原料或药物的载体。
第二章:无机化学方法与实验技术2.1 无机化合物的分离与纯化无机化合物的分离与纯化是无机化学研究中的基础工作。
常用的分离与纯化方法有结晶法、溶剂萃取法、沉淀法等。
其中,结晶法是最常用的方法之一,通过溶解和结晶过程可以得到纯度较高的无机化合物。
2.2 无机化合物的性质测试无机化合物的性质测试是了解化合物性质的重要手段。
常用的性质测试方法包括熔点测定、溶解度测定、电导率测定等。
2.3 无机化合物的结构表征无机化合物的结构表征可以帮助我们了解化合物的分子结构和形态。
常用的结构表征方法包括X射线衍射、核磁共振等。
第三章:无机离子化学3.1 离子的定义与分类离子是带电粒子,可以根据电荷的正负进行分类,分为阳离子和阴离子。
根据单个离子的总电荷,可以进一步分类为单价离子、二价离子等。
3.2 离子的稳定性离子的稳定性与其核外电子排布和电荷大小有关。
一般来说,具有稳定电子排布和电荷分布的离子比较稳定。
3.3 离子的溶解与配位化学离子在溶液中可以与其他离子或分子形成配合物。
配位化学研究离子和配体之间的结合方式以及配合物的性质。
常用的配位化学方法包括配体置换反应、配体合成等。
第四章:无机化学反应4.1 离子反应离子反应是无机化学中常见的反应类型。
无机化学(第四版)答案第一章物质的结构1-1 在自然界中氢有三种同位素,氧也有三种同位素,问:总共有种含不同核素的水分子?由于3H太少,可以忽略不计,问:不计3H时天然水中共有多少种同位素异构水分子?1-2 天然氟是单核素(19F)元素,而天然碳有两种稳定同位素(12C和13C),在质谱仪中,每一质量数的微粒出现一个峰,氢预言在质谱仪中能出现几个相应于CF4+的峰?1-3 用质谱仪测得溴得两种天然同位素的相对原子质量和同位素丰度分别为79Br 789183占50。
54%,81Br 80。
9163占49。
46%,求溴的相对原子质量(原子量)。
1-4 铊的天然同位素203Tl和205Tl的核素质量分别为202。
97u和204。
97u,已知铊的相对原子质量(原子量)为204。
39,求铊的同位素丰度。
1-5 等质量的银制成氯化银和碘化银,测得质量比m(AgCl):m(AgBr)=1。
63810:1,又测得银和氯得相对原子质量(原子量)分别为107。
868和35。
453,求碘得相对原子质量(原子量)。
1-6 表1-1中贝采里乌斯1826年测得的铂原子量与现代测定的铂的相对原子质量(原子量)相比,有多大差别?1-7 设全球有50亿人,设每人每秒数2个金原子,需要多少年全球的人才能数完1mol金原子(1年按365天计)?1-8 试讨论,为什么有的元素的相对质量(原子量)的有效数字的位数多达9位,而有的元素的相对原子质量(原子量)的有效数字却少至3~4位?1-9 太阳系,例如地球,存在周期表所有稳定元素,而太阳却只开始发生氢燃烧,该核反应的产物只有氢,应怎样理解这个事实?1-10 中国古代哲学家认为,宇宙万物起源于一种叫“元气”的物质,“元气生阴阳,阴阳生万物”,请对比元素诞生说与这种古代哲学。
1-11 “金木水火土”是中国古代的元素论,至今仍有许多人对它们的“相生相克”深信不疑。
与化学元素论相比,它出发点最致命的错误是什么?1-12 请用计算机编一个小程序,按1.3式计算氢光谱各谱系的谱线的波长(本练习为开放式习题,并不需要所有学生都会做)。
无机化学(第四版)答案第一章物质的结构1-1 在自然界中氢有三种同位素,氧也有三种同位素,问:总共有种含不同核素的水分子?由于3H太少,可以忽略不计,问:不计3H时天然水中共有多少种同位素异构水分子?1-2 天然氟是单核素(19F)元素,而天然碳有两种稳定同位素(12C和13C),在质谱仪中,每一质量数的微粒出现一个峰,氢预言在质谱仪中能出现几个相应于CF4+的峰?1-3 用质谱仪测得溴得两种天然同位素的相对原子质量和同位素丰度分别为79Br 789183占50。
54%,81Br 80。
9163占49。
46%,求溴的相对原子质量(原子量)。
1-4 铊的天然同位素203Tl和205Tl的核素质量分别为202。
97u和204。
97u,已知铊的相对原子质量(原子量)为204。
39,求铊的同位素丰度。
1-5 等质量的银制成氯化银和碘化银,测得质量比m(AgCl):m(AgBr)=1。
63810:1,又测得银和氯得相对原子质量(原子量)分别为107。
868和35。
453,求碘得相对原子质量(原子量)。
1-6 表1-1中贝采里乌斯1826年测得的铂原子量与现代测定的铂的相对原子质量(原子量)相比,有多大差别?1-7 设全球有50亿人,设每人每秒数2个金原子,需要多少年全球的人才能数完1mol金原子(1年按365天计)?1-8 试讨论,为什么有的元素的相对质量(原子量)的有效数字的位数多达9位,而有的元素的相对原子质量(原子量)的有效数字却少至3~4位?1-9 太阳系,例如地球,存在周期表所有稳定元素,而太阳却只开始发生氢燃烧,该核反应的产物只有氢,应怎样理解这个事实?1-10 中国古代哲学家认为,宇宙万物起源于一种叫“元气”的物质,“元气生阴阳,阴阳生万物”,请对比元素诞生说与这种古代哲学。
1-11 “金木水火土”是中国古代的元素论,至今仍有许多人对它们的“相生相克”深信不疑。
与化学元素论相比,它出发点最致命的错误是什么?1-12 请用计算机编一个小程序,按1.3式计算氢光谱各谱系的谱线的波长(本练习为开放式习题,并不需要所有学生都会做)。
无机化学(第四版)答案第一章物质得结构1-1在自然界中氢有三种同位素,氧也有三种同位素,问:总共有种含不同核素得水分子?由于3H太少,可以忽略不计,问:不计3H时天然水中共有多少种同位素异构水分子?1-2 天然氟就是单核素(19F)元素,而天然碳有两种稳定同位素(12C与13C),在质谱仪中,每一质量数得微粒出现一个峰,氢预言在质谱仪中能出现几个相应于CF4+得峰?1—3用质谱仪测得溴得两种天然同位素得相对原子质量与同位素丰度分别为79Br 789183占50、54%,81Br 80。
9163占49。
46%,求溴得相对原子质量(原子量)。
1-4 铊得天然同位素203Tl与205Tl得核素质量分别为202、97u与204、97u,已知铊得相对原子质量(原子量)为204。
39,求铊得同位素丰度。
1-5 等质量得银制成氯化银与碘化银,测得质量比m(AgCl):m(AgBr)=1。
63810:1,又测得银与氯得相对原子质量(原子量)分别为107。
868与35。
453,求碘得相对原子质量(原子量)、1-6表1-1中贝采里乌斯1826年测得得铂原子量与现代测定得铂得相对原子质量(原子量)相比,有多大差别?1-7 设全球有50亿人,设每人每秒数2个金原子,需要多少年全球得人才能数完1mol金原子(1年按365天计)?1-8 试讨论,为什么有得元素得相对质量(原子量)得有效数字得位数多达9位,而有得元素得相对原子质量(原子量)得有效数字却少至3~4位?1-9 太阳系,例如地球,存在周期表所有稳定元素,而太阳却只开始发生氢燃烧,该核反应得产物只有氢,应怎样理解这个事实?1—10 中国古代哲学家认为,宇宙万物起源于一种叫“元气”得物质,“元气生阴阳,阴阳生万物",请对比元素诞生说与这种古代哲学。
1—11 “金木水火土”就是中国古代得元素论,至今仍有许多人对它们得“相生相克”深信不疑。
与化学元素论相比,它出发点最致命得错误就是什么?1—12 请用计算机编一个小程序,按1、3式计算氢光谱各谱系得谱线得波长(本练习为开放式习题,并不需要所有学生都会做)。
无机及分析化学答案全(南京大学)(第四版)第8章习题答案1.命名下列配合物:(1)K2[Ni(CN)4] (2)(NH4)2[FeCl5(H2O)](3)[Ir(ONO)(NH3)5]Cl2 (4)Na2[Cr(CO)5]解:(1)四氰根合镍(Ⅱ)酸钾(2)五氯•一水合铁(III)酸铵(3)二氯化亚硝酸根•五氨合铱(III)(4)五羰基合铬(-Ⅱ)酸钠(参考P172)2.写出下列配合物(配离子)的化学式?(1)硫酸四氨合铜(Ⅱ) (2)四硫氰•二氨合铬(III)酸铵(3)二羟基•四水合铝(III)离子(4)二苯合铬(0)解:(1)[Cu(NH3)4]SO4 (2)(NH4)[Cr(NH3)2(SCN)4](3)[Al(H2O)4(OH-)2]+ (4)[Cr(C6H6)2]6.试用价键理论说明下列配离子的键型(内轨型或外轨型)、几何构型和磁性大小。
(1)[Co(NH3)6]2+ (2)[Co(CN)6]3-解:(1)Co最外层价电子排布为:27Co:3d74s2Co2+的最外层价电子排布为:27Co2+:3d74s0[ ][ ][ ][ ][ ] [ ] [ ][ ][ ] [ ][ ][ ][ ][ ]3d7 4S0 4P0 4d0[ ][ ][ ][ ][ ] [ ][ ][ ][ ][ ][ ] [ ][ ][ ]SP3d2杂化、成键,形成[Co(NH3)6]2+因为:形成[Co(NH3)6]2+时用的是Co2+最外层4S、4P、4d空轨道以SP3d2杂化、成键,而且中心离子Co2+形成配离子的前后单电子数没变,所以:该[Co(NH3)6]2+配合离子是外轨型,SP3d2杂化,几何构型为正八面体。
因为:以SP3d2杂化、成键形成[Co(NH3)6]2+后,具有3个单电子,所以:[Co(NH3)6]2+的磁矩为:,因为具有单电子分子是顺磁性分子,无单电子分子是抗磁性分子,所以形成[Co(NH3)6]2+后,具有3个单电子,[Co(NH3)6]2+是顺磁性分子。
无机化学(第四版)答案第一章物质的结构1-1 在自然界中氢有三种同位素,氧也有三种同位素,问:总共有种含不同核素的水分子?由于3H太少,可以忽略不计,问:不计3H时天然水中共有多少种同位素异构水分子?1-2 天然氟是单核素(19F)元素,而天然碳有两种稳定同位素(12C和13C),在质谱仪中,每一质量数的微粒出现一个峰,氢预言在质谱仪中能出现几个相应于CF4+的峰?1-3 用质谱仪测得溴得两种天然同位素的相对原子质量和同位素丰度分别为79Br 789183占50。
54%,81Br 80。
9163占49。
46%,求溴的相对原子质量(原子量)。
1-4 铊的天然同位素203Tl和205Tl的核素质量分别为202。
97u和204。
97u,已知铊的相对原子质量(原子量)为204。
39,求铊的同位素丰度。
1-5 等质量的银制成氯化银和碘化银,测得质量比m(AgCl):m(AgBr)=1。
63810:1,又测得银和氯得相对原子质量(原子量)分别为107。
868和35。
453,求碘得相对原子质量(原子量)。
1-6 表1-1中贝采里乌斯1826年测得的铂原子量与现代测定的铂的相对原子质量(原子量)相比,有多大差别?1-7 设全球有50亿人,设每人每秒数2个金原子,需要多少年全球的人才能数完1mol金原子(1年按365天计)?1-8 试讨论,为什么有的元素的相对质量(原子量)的有效数字的位数多达9位,而有的元素的相对原子质量(原子量)的有效数字却少至3~4位?1-9 太阳系,例如地球,存在周期表所有稳定元素,而太阳却只开始发生氢燃烧,该核反应的产物只有氢,应怎样理解这个事实?1-10 中国古代哲学家认为,宇宙万物起源于一种叫“元气”的物质,“元气生阴阳,阴阳生万物”,请对比元素诞生说与这种古代哲学。
1-11 “金木水火土”是中国古代的元素论,至今仍有许多人对它们的“相生相克”深信不疑。
与化学元素论相比,它出发点最致命的错误是什么?1-12 请用计算机编一个小程序,按1.3式计算氢光谱各谱系的谱线的波长(本练习为开放式习题,并不需要所有学生都会做)。
无机化学(第四版)答案第一章物质的结构1-1 在自然界中氢有三种同位素,氧也有三种同位素,问:总共有种含不同核素的水分子?由于3H太少,可以忽略不计,问:不计3H时天然水中共有多少种同位素异构水分子?1-2 天然氟是单核素(19F)元素,而天然碳有两种稳定同位素(12C和13C),在质谱仪中,每一质量数的微粒出现一个峰,氢预言在质谱仪中能出现几个相应于CF4+的峰?1-3 用质谱仪测得溴得两种天然同位素的相对原子质量和同位素丰度分别为79Br 789183占50。
54%,81Br 80。
9163占49。
46%,求溴的相对原子质量(原子量)。
1-4 铊的天然同位素203Tl和205Tl的核素质量分别为202。
97u和204。
97u,已知铊的相对原子质量(原子量)为204。
39,求铊的同位素丰度。
1-5 等质量的银制成氯化银和碘化银,测得质量比m(AgCl):m(AgBr)=1。
63810:1,又测得银和氯得相对原子质量(原子量)分别为107。
868和35。
453,求碘得相对原子质量(原子量)。
1-6 表1-1中贝采里乌斯1826年测得的铂原子量与现代测定的铂的相对原子质量(原子量)相比,有多大差别?1-7 设全球有50亿人,设每人每秒数2个金原子,需要多少年全球的人才能数完1mol金原子(1年按365天计)?1-8 试讨论,为什么有的元素的相对质量(原子量)的有效数字的位数多达9位,而有的元素的相对原子质量(原子量)的有效数字却少至3~4位?1-9 太阳系,例如地球,存在周期表所有稳定元素,而太阳却只开始发生氢燃烧,该核反应的产物只有氢,应怎样理解这个事实?1-10 中国古代哲学家认为,宇宙万物起源于一种叫“元气”的物质,“元气生阴阳,阴阳生万物”,请对比元素诞生说与这种古代哲学。
1-11 “金木水火土”是中国古代的元素论,至今仍有许多人对它们的“相生相克”深信不疑。
与化学元素论相比,它出发点最致命的错误是什么?1-12 请用计算机编一个小程序,按1.3式计算氢光谱各谱系的谱线的波长(本练习为开放式习题,并不需要所有学生都会做)。
无机及分析化学(第四版)南京大学3-45^R = pl ; JOCMPa = L 处屮丄 1 x273K P ; _ p ;Ts 拓XKPo _ 化X29MK“ mRT 0J64«xS /?ISXPa7 ' K 1 x 298A^“ rM = --------- -- ---------------------------------------------- : ----------------- mPV101.3kPa x 250x MJ"化学犬H CH= (0.<«6 +0.957)x10 '/nn/x8 3l5kPtr^m0/ lK 0273K -50-0xl0^L= 4735kPa* P (V|=r*V- 0<» ^-5 63)xO5=(> 25xP *1913451 iP fn ()MmkRi)6 (1) HI 为空肌・0■不录* P?以对空T 有P.VHSVi1013x4-(101 3^l9 6)Xi X-7.8L(Q*屮注怖AS.U1为可以他 A 了间妙|的临抒基*甲詩価眦分了内氯H.tfiAMp 、= L53g-L 'PV ~lOJJtFtfXSOOxlO *L=30je4, HHRn = —MRTx £00 耳 KJ83l5JtPd £z»w/ ^JC 1X273K =0086mnxil 53X)4Fax5O.OxlO V &订禅m 山•-AT 'x333K=0.957niirial札 15七 HtHjQ 的>100-1.71*98.29^Z 川仆丿―呱2<"丫1警RT 8JI5JtP^7 K 'x288A r=0 04%讪< H ,土臥i?l PV-nRT7用 x 4竟3x11*5 S.3I5X513⑶ShHpPHiffiT書色Ifi力k(3) iCUHr;繭音*农定向力如诱导力⑷ MjO>NdiO Mg:<电荀稔.H: > M fi0 M rt k⑸SiO^^SO;'fi 3期瓯f晶悻/ i吿为仔『晶障i6>SrK'f:>SnCL Sn^ttft*丸于Sn;r. £nCL.问人忖逆过常比创直1训*~上也』人、”1十2“""册和一卜MI即-46.02/f? mol1• -X945JW 1+丄X43WC/册厂-3A.%_屮*- 亠行侏比..川=391K丿加"■狞2比n NH -NH、~ 九Hg科+ 2A卜H凋■} — 4A4H^ I—九町.、一对即^.26KJ mnl 1= 1+2K4J6^J WM?/ '-4x的iJC/ imJ '-亠"卜“褂%% M=I57KJW0.2«Ox»W>02920x180 H-101n=(ftr=O. 2920 x8314x310 = 753Jt?^13 n-b*RT>(0 5C6H)4#640055H).0^0011 ^OJI *0.002) X8 314x298 ■ 2TWW 14. r r = —= ——— = L53**X1O *^-L*fir 8315x291*册二0.51芍< V - 0.1539x50.0x10⑶byAZ = A ;7> = 0,5I2X L54X I0 1 =7.88X 10 * ATLX6xL54xlO * - 2.86x10 *K⑷ 卜給tA|^AT t ^IAT r A*b7-无法测笊・15 f(As 3S^m nS' 广 2nH*16A :K J K-i('hJu |>fckS< L>A 1( \iB:ACl^MESCu^KJlxlCNkln. 4电赫:当囲菠两扣坝牛扣对运动时.滞动的帝电体与博酒寧体之何的电够5f )0/22.4xl7 560/22.4x17-IKK> xKKr ; = 29.K f rO^OxlO 1!- L 1 X29.H■ LS»7&M W L 1CH.NinMK 比为恥尚.心CHN0.7W 00«7l> 0.1727 .._ , 12 I HL21X I03/M 243x10 1A/ =1・86卿&?员|)<匚2欢 CL5&KKX24.5 関=0 162烁册川 1 - 162 :/ nw>J甘汕的ttl^ VTffi* M=92E rnul *100x10 £2 (WK 7心皿討 xIOOxlO.86 K 蘇诉沏*(\H,<)..X HX <X>H>NX N.>( X :h呵 O.543K -- —■ -------K f 1,853 -4V9 誓皈!7 }聲;xh - A\ x抵民一聊特殊的“艄棒眾小中较体额諒威奇聚躺甘了耳和逢捲朋压闵优第勵蛤构空算充#i 了浪f*我社像《attt:皎体因折入隴第順血析出的过科\H»ik液剂彷了在压力ft用卜曲怖搐藏向編渚帧楼时过稈称为屁洽走. ia (1)II水的澳逢圧高十演水.鱼适应了海廉的潘逢医创不健适应播永的褂進医.(2)雄里落液的液度裔Jilt圧大于植債体的濤逢压・菌物孔盐就M L里会凶失倉血枯娄.0)出涪解到雷中使水的融周点ffffi.44)江河中的畋悽在入海赴週列电解质艾牛最锻*5 光加M]船时*朋舷时金旃龌育保护朮用.再1 如见加扛他讷.总化箱对带陀肴媲沉ft用*洛独i口聚贰啟不会址厭・二會5C SO S ; M u &>;t>z pl s urun心T —o 丄-*5芋 丄-飞養n $艮丄+{二倉 nNEAE —)*(二学n s H a亠・v <£13^s 3i M 0—^二當 n二公;)x P丄-12X -呂 —x :( -1 n g X 7站<-1 2® Z T I O I ~- 1-33T T -- 1-3^-^r -—-i =三肾丄二零工6窘*£m 6f >"a=d 0 —「工F:-l 3x rl X T R k **nu垄3H <r u r J:-H pk weI fs pa —*=■■. HC9-6ni £ + B X ^^-«x 7N 空“ 7 I-5^3>・*- ;5 i -A二二X里 F n三X N寧z x -N*- E u ** 兰亠左*r-i 样 J --f i c 3AC -S =i 6 r二X ^--I R s i e x *©- X S T ^-s -X Z A f x dL ^s 咧&o-h1HL-L A X x %A X \h二 「〔二菽町丁-壬 M三工交二=x £j二K x二!!.>;-X .K二二右£y JI _X T o M= ・l s l =才・£亠法*51 I s l #5=l莘毕JA"::+必诃 1)- 2 X (SOtiM rwl ')' I 1*-'} 岷般= 1253.7Mfl!fl/_,% 比收存打"['"“xl 节工了k/別凶1 =195KM.75M工 U) <1) Wi 2V ; + 2fl ; = 4Wj(3)A r ; = {-116&.8M /w>/■')-(-15304W^Hjr')=361 Wk/ mflj'1- 1 A H F ,= ' X36Ih=M0 4M OWJ J 'r ■* 斗 『* 目s均砒■£反应IM*能・£生-_rtl + A t w k A1+A*W|fl _wt + A*H (W J-[2A t nj -AA 丿怙 fyi + At^)/ »i r J=I.U.IkJ M * + %际/ 用川"+ 祗Xk 丿曲# ')-(2x-165kJ mr>/ * * 276U mji/ 1)= -3<)k/ BW / ' a u> ><2) >⑶>4 <⑸>⑹< 10 ⑴M⑵盾人 ⑶mk<5/ 悄 k…940.6x10* JJFW /'1rf =373A :U> AS ・込宀"曲_5IO77K275 A r也际KISMta273K = 22AJKIM A rAft if,弁r 旳況乱g 慟如补比曙化时期加怕队 鮎阳燈间KIJ. W=PAV == 8314J<-1'x373r = 3Jfc/[J W 「"k. J八\= 40.7k/Af/=^-W = 4O.7U-3Jk/ = 3T6My Q 4070UJ do =—=T 373ATM .利用左卫:|血竹養系・灿新反I 柱汁:刨,人f (M 僦既生*小于0可(U 发生(U“:=卜口站MJ 血广)* {jrrmij 册腐)][Cs9b.8KJ 时,「)]+(-39丄42佃川')=2SJkJ rnpZ 1 小于G 阿览引 ⑵注心:=卜 132192 w f J")+2x(- 237 2k/flw/■')!-(-1797V wL )=07JJ 加" 天于0不可投牛') [( 18SU W ')+(-l37/2L/ ntflJ )|= 69.2U mn/ 1小于0可发生15 (I )苫12)否(訂 fi(4)遺;刃昔A r G ; = (-S%W nW)— [(—5515kJww 厂)+2x(-157.317 ^-1 )|= -2U 7W W"1 小于0-此反应可以发牛17.巾址“讥-珞斗AfG.Cb 181—25TAH 打门尸&门十166亦Ar6…(J>= 20—43TAG = 0= 1(WJ A -AG = AW-7M 此憶極人于彼故此J 诅不可发生⑴亠屮:二id 成物的b 射卜no 討砌的t 成対=* 393 5U flin/ 'J+nx(- 283-83M^/11| 匸 2222U 预胡■卜・564£25k/w 」初 牡山 ffX 9 jy m * JTf 'x300ftffi = 19llU19llU, = 135>nol =46?g5644 25}J fnoi 12n, G J CO, =「“O + CO*)* (-3^3.5k/mn/ ' )|-{-12O6.9U>M ?/ 1 )= 178.3k> mr>/ 1A r S ; =(3M 77 AT ' 1+(213,6JJC ' )-92,97JC ' = 160 4MT ' fejSHIftfStl 时 = 0即= Ql7E3xlt>Jmpf 1I604J A r 1 ~ 21 UHQH Y 、2H 、0A r G* - |&K2k71+(-22S.6k/?W ')]-(-1e8.6U ftirt/ '卜8.2打*»「$//: _ 卜24MRJ 加",)+523kJ w*rj/ ')-(- 2353k/') - 45.HM mr?/ "A,S* =(2IWJT Jl8S/U K ')-2827-K 1 =126 l/ Af 1 2>VB1 AG)0 '■卷不握4 36(吃时 AC ;-45,SkJ/W 1 -(3W +273)x126.1x10 \J - -34.Q2U rtrfl/小于"JiJfi 可皈览宅21虚川:・(-235如如「)-(-277血』誠")・42”37财/ **iMU :.r =I26JJ X 1SV ■HV-紀r m o &T -X『60-7-呂「9V Z1+・ ¥『伫$卩-f kPOMT l n m弗T m r m亠—【T H披-}*I m z n -j w v < 9 u p er F c-¥f n w -d -f oo £v ;f ,£-^*X A ><M H ^<-飞E r芒o tl丄二層s *m "丄丄二富7W«W丄菽丄二¥s *二A 丄 H v <Nxwy■£■?」l<一二z y —-u 巷、-hs H a —一电£/■工-hot"「工<A G?n"匸工\久*1生更物}工心心「1反庙拗-*197.15 + (-228.59)・(39436)-2x(-1 氐 4B) = L6KJ1UU =,KM3K fl xKPl N T O.* ^ij|.yi < i dPN)IO(Hi+2x=ll6 k=l6KPjjr* ■色心戶厶.血-■。
无机化学(第四版)答案第一章物质的结构1-1 在自然界中氢有三种同位素,氧也有三种同位素,问:总共有种含不同核素的水分子?由于3H太少,可以忽略不计,问:不计3H时天然水中共有多少种同位素异构水分子?1-2 天然氟是单核素(19F)元素,而天然碳有两种稳定同位素(12C和13C),在质谱仪中,每一质量数的微粒出现一个峰,氢预言在质谱仪中能出现几个相应于CF4+的峰?1-3 用质谱仪测得溴得两种天然同位素的相对原子质量和同位素丰度分别为79Br 789183占50。
54%,81Br 80。
9163占49。
46%,求溴的相对原子质量(原子量)。
1-4 铊的天然同位素203Tl和205Tl的核素质量分别为202。
97u和204。
97u,已知铊的相对原子质量(原子量)为204。
39,求铊的同位素丰度。
1-5 等质量的银制成氯化银和碘化银,测得质量比m(AgCl):m(AgBr)=1。
63810:1,又测得银和氯得相对原子质量(原子量)分别为107。
868和35。
453,求碘得相对原子质量(原子量)。
1-6 表1-1中贝采里乌斯1826年测得的铂原子量与现代测定的铂的相对原子质量(原子量)相比,有多大差别?1-7 设全球有50亿人,设每人每秒数2个金原子,需要多少年全球的人才能数完1mol金原子(1年按365天计)?1-8 试讨论,为什么有的元素的相对质量(原子量)的有效数字的位数多达9位,而有的元素的相对原子质量(原子量)的有效数字却少至3~4位?1-9 太阳系,例如地球,存在周期表所有稳定元素,而太阳却只开始发生氢燃烧,该核反应的产物只有氢,应怎样理解这个事实?1-10 中国古代哲学家认为,宇宙万物起源于一种叫“元气”的物质,“元气生阴阳,阴阳生万物”,请对比元素诞生说与这种古代哲学。
1-11 “金木水火土”是中国古代的元素论,至今仍有许多人对它们的“相生相克”深信不疑。
与化学元素论相比,它出发点最致命的错误是什么?1-12 请用计算机编一个小程序,按1.3式计算氢光谱各谱系的谱线的波长(本练习为开放式习题,并不需要所有学生都会做)。
第四版分析化学习题答案分析化学是化学学科中的一个重要分支,它涉及到物质的定性和定量分析。
习题的解答不仅能够帮助学生巩固理论知识,而且能够提高解决实际问题的能力。
以下是一些分析化学习题的解答示例,这些示例旨在帮助学生理解分析化学中的基本概念和方法。
习题1:某样品中含有一定量的铁,如何通过滴定法测定其含量?解答:首先,需要将样品中的铁转化为可滴定的形式。
通常,铁可以通过与盐酸反应生成铁(II)离子。
然后,使用已知浓度的氧化剂如高锰酸钾或重铬酸钾溶液进行滴定。
在滴定过程中,铁(II)离子被氧化为铁(III)离子,直到所有的铁都被氧化。
通过记录消耗的氧化剂体积,可以计算出样品中铁的含量。
习题2:如何使用原子吸收光谱法测定水样中的重金属含量?解答:原子吸收光谱法是一种基于原子对特定波长光的吸收来测定元素含量的技术。
首先,需要将水样中的重金属转化为可测定的原子态。
这通常涉及到样品的酸化和蒸发。
然后,将样品雾化并引入到原子吸收光谱仪中。
通过测量特定波长下的光吸收,可以定量分析水样中的重金属含量。
习题3:描述如何使用气相色谱法分离和分析混合物中的挥发性化合物。
解答:气相色谱法是一种基于不同化合物在移动相和固定相中分配系数差异来实现分离的技术。
首先,将混合物样品注入到色谱柱中。
随着移动相(通常是惰性气体如氮气或氦气)的流动,混合物中的不同化合物会在色谱柱中移动,由于它们在固定相中的吸附能力不同,因此会以不同的速度移动,从而实现分离。
通过检测器检测到的信号,可以识别和定量分析混合物中的各个组分。
习题4:说明如何通过红外光谱法鉴定有机化合物的结构。
解答:红外光谱法是一种基于分子振动对红外光的吸收特性来分析化合物结构的技术。
每种有机化合物都有其独特的红外吸收光谱,这些光谱可以作为化合物的“指纹”。
通过测量样品的红外光谱,可以识别出特定的化学键和官能团,从而推断出有机化合物的结构。
习题5:描述如何使用质谱法分析蛋白质的分子量。
无机及分析化学答案全南京大学第四版第8章习题答案1.命名下列配合物:(1)K2[Ni(CN)4] (2)(NH4)2[FeCl5(H2O)] (3)[Ir(ONO)(NH3)5]Cl2 (4)Na2[Cr(CO)5] 解:(1)四氰根合镍(Ⅱ)酸钾(2)五氯•一水合铁(III)酸铵(3)二氯化亚硝酸根•五氨合铱(III)(4)五羰基合铬(-Ⅱ)酸钠(参考P172)2.写出下列配合物(配离子)的化学式?(1)硫酸四氨合铜(Ⅱ) (2)四硫氰•二氨合铬(III)酸铵(3)二羟基•四水合铝(III)离子(4)二苯合铬(0)解:(1)[Cu(NH3)4]SO4 (2)(NH4)[Cr(NH3)2(SCN)4](3)[Al(H2O)4(OH-)2]+ (4)[Cr(C6H6)2] 6.试用价键理论说明下列配离子的键型(内轨型或外轨型)、几何构型和磁性大小。
(1)[Co(NH3)6]2+ (2)[Co(CN)6]3- 解:(1)Co最外层价电子排布为:27Co:3d74s2Co2+的最外层价电子排布为:27Co2+:3d74s0 [ ][ ][ ][ ][ ] [ ] [ ][ ][ ] [ ][ ][ ][ ][ ]3d7 4S0 4P0 4d0[ ][ ][ ][ ][ ] [ ][ ][ ][ ][ ][ ] [ ][ ][ ]SP3d2杂化、成键,形成[Co(NH3)6]2+因为:形成[Co(NH3)6]2+时用的是Co2+最外层4S、4P、4d空轨道以SP3d2杂化、成键,而且中心离子Co2+形成配离子的前后单电子数没变,所以:该[Co(NH3)6]2+配合离子是外轨型,SP3d2杂化,几何构型为正八面体。
因为:以SP3d2杂化、成键形成[Co(NH3)6]2+后,具有3个单电子,所以:[Co(NH3)6]2+的磁矩为:,因为具有单电子分子是顺磁性分子,无单电子分子是抗磁性分子,所以形成[Co(NH3)6]2+后,具有3个单电子,[Co(NH3)6]2+是顺磁性分子。
(2) Co最外层价电子排布为:27Co:3d74s2Co3+的最外层价电子排布为:27Co3+:3d64s0 [ ][ ][ ][ ][ ] [ ] [ ][ ][ ]3d6 4S0 4P0[ ][ ][ ] [ ][ ][ ][ ][ ][ ]d2SP3杂化、成键,形成[Co(CN)6]3-因为:形成[Co(CN)6]3-时用的是Co3+内层d轨道,即(n-1)层d轨道与nS、nP空轨道以d2SP3杂化、成键,而且中心离子Co3+形成配合离子前有4个单电子,形成配合离子后没有单电子,中心离子Co3+形成配合离子前、后内层电子发生了重新排布,所以:该[Co(CN)6]3-配合离子是内轨型,d2SP3杂化,几何构型为正八面体。
因为:以d2SP3杂化、成键形成[Co(CN)6]3-后,没有单电子,所以:[Co(CN)6]3-的磁矩为:,因为具有单电子分子是顺磁性分子,无单电子分子是抗磁性分子,所以形成[Co(CN)6]3-后,没有单电子,[Co(CN)6]3-是抗磁性分子。
7.有两个化合物A和B具有同一化学式:Co(NH3)3(H2O)2ClBr2.在一干燥器中,1molA很快失去1molH2O,但在同样条件下,B不失去H2O。
当AgNO3加入A中时,1molA沉淀出1molAgBr,而1molB沉淀出2molAgBr。
试写出A和B的化学式。
解:∵在干燥器中,1molA很快失去1molH2O,但在同样条件下,B不失去H2O知,说明A中的H2O 是外配位体,而B中的水是内配位体。
当AgNO3加入A溶液中时,1molA沉淀出1molAgBr,而1molB 沉淀出2molAgBr,说明1molA中外配体为1mol Br-,而1mol B中外配体为2 mol Br-。
因此它们的化学式分别为:A的化学式为:[Co(NH3)3(H2O)ClBr]Br•H2OB的化学式为:[Co(NH3)3(H2O)2Cl]Br217:在50mL0.10mol•L-1AgNO3溶液中加入密度为0.93 g•cm-3、质量分数为0.182的氨水30mL后,加水冲稀到100mL,求算溶液中Ag+,[Ag(NH3)2]+和NH3的浓度是多少?已配位在[Ag(NH3)2]+中的Ag+,占Ag+总浓度百分之几?解:溶液稀释后,AgNO3溶液的浓度为:NH3的浓度为:显然,NH3大大过量,故可认为全部的Ag+都已生成[Ag(NH3)2]+,+c始(mol•L-1):0.050 3.0 0c终(mol•L-1):0 3.0-2×0.050=2.90 0.050c平(mol•L-1):x 2.90+2x≈2.90 0.050-x≈0.050∵很大,∴x很小,可近似处理:2.90+2x≈2.90;0.050-x≈0.050∴∴x = cAg+ = 3.670×10-10≈3.7×10-10(mol•L-1) =0.050-x=0.050-3.7×10-10≈0.050(mol•L-1)=2.90+2x=2.90+2×(3.7×10-10)≈2.9(mol•L-1) 已配位的Ag+约占总浓度Ag+的100%。
(也可计算:)(8个9)答:溶液中Ag+浓度为 3.7×10-10mol•L-1。
[Ag(NH3)2]+浓度约为0.050mol•L-1。
NH3浓度约为2.9mol•L-1。
已配位的Ag+约占总浓度Ag+的100%。
19.欲将14.3mgAgCl溶于1.0mL氨水中,问此氨水溶液的总浓度至少应为多少?解:14.3mgAgCl溶于1.0mL氨水中的浓度:∵+ ++ +c始(mol•L-1):0.10 0 0c终(mol•L-1):0 -2×0.10 0.10 0.10c平(mol•L-1):x 0.10-x≈0.10 0.10-x≈0.10∵= 很大,∴x很小,可近似处理,0.10-x≈0.10 ∴=答:氨水溶液的总浓度至少应为2.2 mol•L-1。
21.已知Zn2++2e-=Zn ,, 求算[Zn(CN)4]2-+2e-=Zn+4CN- 的。
解:第一种解法:∵生成[Zn(CN)4]2-后比更小,∴为正极。
又∵(见书P458;附录十二)∴第二种解法:答:[Zn(CN)4]2-+2e-=Zn+4CN- 的为-1.259 V。
第九章s区元素5. 为什么碱金属氯化物的熔点NaCl﹥KCl ﹥RhCl ﹥CsCl ?而碱土金属氯化物的熔点MgCl2﹤CaCl2 ﹤SrCl2 ﹤BaCl2 ?前者阳离子电荷小,极化力弱,主要比较晶格能;而后者阳离子电荷大,极化力较强,比较极化作用6. 锂、钠、钾在氧气中燃烧生成何种氧化物?各氧化物与水反应情况如何?分别生成Li2O、Na2O2、KO2 ;Li2O + H2O 〓 2 LiOHNa2O2 + 2H2O(冷水) 〓H2O2 + 2NaOH2 Na2O2 + 2H2O(热水) 〓O2 + 4 NaOH2 KO2 + 2H2O 〓H2O2 + 2 KOH + O28. 比较下列性质的大小⑴与水反应的速率:MgO ﹤BaO⑵溶解度:CsI﹤LiI;CsF﹥LiF;LiClO4 ﹥KClO4⑶碱性的强弱:Be(OH)2 ﹤Mg(OH)2 ﹤Ca(OH)2 ﹤NaOH)⑷分解温度:K2CO3﹥Na2CO3 ﹥MgCO3 ﹥NaHCO3⑸水合能:Be2+﹥Mg2+ ﹥Na+ ﹥K+9. 解释下列事实⑴卤化锂在非极性溶剂中的溶解度大小的顺序为LiI﹥LiBr﹥LiCl﹥LiF (LiI电负性差小,极性小)⑵虽然电离能I(Li)﹥I(Na),但E⊖(Li+/Li) ﹤(Na+/Na)。
(Li+ 水合能大)。
⑶虽然E⊖(Li+/Li)﹤(Na+/Na),但锂与水反应不如与水反应钠激烈。
(Li熔点高,LiOH溶解度小)。
⑷锂的第一电离能小于铍的第一电离能,但锂的第二电离能却大于铍的第二电离能。
(内层难电离) 。
10. 利用什么性质可以区分下列化合物?⑴Be(OH)2 Mg(OH)2碱性、溶解度。
⑵BeCO3 MgCO3热稳定性。
⑶LiF KF水溶性。
1. 完成下列反应方程式⑴5KBr+KBrO3+3H2SO4 〓3Br2+3K2SO4+3H2O⑵AsF5+4H2O 〓H2 AsO4 +5HF⑶OCl2+H2O 〓 2 HClO⑷3Cl2 + 6NaOH(热) 〓NaClO3 + 5 NaCl+ 3H2O⑸Br2 + 2NaOH(冰水) 〓NaBr + NaBrO+H2O3. Br2能从I- 溶液中取代出I,但I2又能从KBrO3溶液中取代出Br2,这两种实验事实有无矛盾?为什么?Br2+2I- 〓2Br - + I2E⊖(Br2/Br-)﹥(I2/I-)2KBrO3 + 5I2 〓2KIO3 + 5Br2E⊖(BrO3-/Br2)﹥(IO3-/I2)不矛盾。
4. 将Cl2不断地通入KI 溶液中,为什么开始时溶液呈黄色,继而有棕色沉淀产生,最后又变成无色溶液?开始时Cl2+2I- 〓2Cl- + I2I2在水溶液中呈棕红色,由浅至深,I2多产生沉淀;最后5Cl2+ I2 〓2IO3-+ 10Cl-6. 比较下列性质的大小⑴键能:F—F﹤Cl—Cl⑵电子亲合能:F﹤Cl⑶酸性:HI ﹥HCl⑷热稳定性:HI ﹤HCl⑸水中溶解度:MgF2 ﹤MgCl2⑹氧化性:HClO ﹥HClO47. 在淀粉碘化钾溶液中加入少量NaClO时,得到蓝色溶液A;加入过量NaClO时,得到无色溶液B。
然后酸化之,并加入少量固体Na2SO3于B溶液,则蓝色又出现;当Na2SO3过量时,蓝色又褪去成无色溶液C;再加NaIO3溶液兰色又出现。
指出A、B、C各为何物?并写出各步的反应方程式。
ClO- (少量) + 2I- + 2H2O 〓I2 (A) + Cl-+2OH-I2+ 5ClO-(过量) + 2OH- 〓2IO3-(B) + 5Cl- + H2O2 IO3- + 5SO32-(少量) + 2H+ 〓I2 + 5SO42-+ H2OI2 + SO32-(过量) +H2O 〓SO42- + 2I- (C) + 2H+IO3- + 5I- + 6H+ 〓3I2 + 3 H2O8. 完成下列反应方程式⑴Na2SO3+2Na2S+6HCl 〓3S+6NaCl+3H2O⑵H2SO3+ Br2 +H2O 〓H2 SO4 +2HBr⑶2Na2S2O3+I2 +H2O 〓Na2S4O6 +2 NaI⑷2HNO3(稀) + 3H2S 〓3S+2NO+4H2O⑸ 2 H2 SO4 (浓) +S 〓3SO2 + 2H2O⑹2Mn2++5S2O82-+8H2O〓2MnO4- +10SO42-+16H+⑺2MnO4- + 5H2O2 + 6H+ 〓2Mn2++5O2 +8H2O9. 试解释⑴为何氧单质以O2形式而硫单质以S8形式存在?比较原子半径和键能大小。