无机及分析化学答案全(南京大学)(第四版)-第九章
- 格式:doc
- 大小:29.00 KB
- 文档页数:1
一、选择题在给出的4个选项中,请选出1个正确答案。
1. 下列物质中,不适宜做配体的就是( )A 、 S2O 32- B. H 2O C. Br - D 、 N H4+ 解:选D。
NH4+中的N 没有孤对电子。
2、 下列配离子中,属于外轨配合物的就是( )A 、 [F eF 6]3- B. [Cr (N H3) 6]3+ C 、 [Au(Cl)4]- D. [Ni(CN)4]2-解:选A, [Fe F6]3-中心原子F e3+采用sp 3d2轨道进行杂化。
3. 测得[Co(NH 3) 6]3+ 磁矩μ=0、0B 、M ,可知C O3+ 离子采取的杂化类型就是( ) A 、 sp 3 B、 dsp 2 C、 d 2s p3 D、 s p3d 2解:选C 。
C O 3+价电子构型就是3d6, 由磁矩μ=0、0B 、M 可以推断:该配合物中没有未成对的电子,在形成配合物时C O 3+3d轨道上的电子先经过重排,再采取d 2sp 3轨道杂化,与配体成键。
4、 下列物质中具有顺磁性的就是( )A 、 [Zn (NH 3)4]2+B 、 [Cu (NH 3) 4]2+C 、 [F e(CN)6]4- D、 [Ag (NH 3) 2] +解:选B。
Cu 2+的价电子构型就是3d9,在形成配合物时采用dsp 2杂化,有1个未成对的电子存在,所以就是顺磁性的。
5. 下列物质中能作为螫合剂的就是( )A 、 NO -OH B、 (C H3)2N -NH 2C 、 CNS-D. H2N -CH2-CH2-CH2-NH 2 解:选D,其分子中两个N 原子作为配位原子可以提供孤对电子,而且它们相距3个原子,可同时与一个中心原子配位形成含有六元螯环的螯合物。
6、 下列配合物能在强酸介质中稳定存在的就是( )A 、 [Ag(NH 3)2]+B 、 [FeCl 4]—C 、 [F e(C 2O 4)3]3— D. [Ag (S2O 3)2]3-解:选B 。
欢迎阅读一、选择题在给出的4个选项中,请选出1个正确答案。
1. 下列物质中,不适宜做配体的是( )A. S 2O 32-B. H 2OC. Br -D. NH 4+解:选D 。
NH 4+中的N 没有孤对电子。
2. 下列配离子中,属于外轨配合物的是( )A. [FeF 6]3-B. [Cr (NH 3) 6]3+C. [Au(Cl)4]-D. [Ni(CN)4] 2-3-3+323. A. 解:选轨道杂4. 5. 6. 在强酸7. A. 时,会发生8. 某金属指示剂在溶液中存在下列平衡:H 2In - ==== HIn 2- ==== In 3-??? ?紫红???? 蓝 ?橙它与金属离子形成的配合物显红色,使用该指示剂的pH 范围是( )A. <6.3????????B. >6.3?????????C. 7~10??????D. 6.3±1解:选C 。
该指示剂在pH <6.3??或pH >12时,游离指示剂的颜色与其金属离子配合物的颜色没有明显的差别,在pH 8~10??时进行滴定,终点由金属离子配合物的酒红色变成游离指示剂的蓝色,颜色变化才显着。
9. 在pH 为4左右,用EDTA 滴定Zn 2+,下列哪些离子不干扰滴定( )A. Al 3+B. Hg 2+C. Mg 2+D. Cu 2+解:选C 。
比较它们配合物的相对稳定性,并从酸效应曲线上的相对位置判断。
10. 己知Bi 3+的浓度为0.02 mol·L -1,log θBiY K =27.94,则用EDTA 滴定时所允许的最低pH 值为( )A. 0.6B. 0.8C. 0.9D. 0.4解:选A.由单一离子被准确滴定的条件推出:将数据代入得到 )(lg H Y α≤20.24,查表得到滴定时所允许的最低pH 值。
二、填空题1. 列表填空,指出下列配合物的中心离子(或原子)、配体、配位原子和配位数;确定配离子和形成体的电荷数,并给出它们的命名。
第8章习题答案1.命名下列配合物:(1)K2[Ni(CN)4] (2)(NH4)2[FeCl5(H2O)](3)[Ir(ONO)(NH3)5]Cl2 (4)Na2[Cr(CO)5]解:(1)四氰根合镍(Ⅱ)酸钾(2)五氯•一水合铁(III)酸铵(3)二氯化亚硝酸根•五氨合铱(III)(4)五羰基合铬(-Ⅱ)酸钠(参考P172)2.写出下列配合物(配离子)的化学式?(1)硫酸四氨合铜(Ⅱ) (2)四硫氰•二氨合铬(III)酸铵(3)二羟基•四水合铝(III)离子(4)二苯合铬(0)解:(1)[Cu(NH3)4]SO4 (2)(NH4)[Cr(NH3)2(SCN)4](3)[Al(H2O)4(OH-)2]+ (4)[Cr(C6H6)2]6.试用价键理论说明下列配离子的键型(内轨型或外轨型)、几何构型和磁性大小。
(1)[Co(NH3)6]2+ (2)[Co(CN)6]3-解:(1)Co最外层价电子排布为:27Co:3d74s2Co2+的最外层价电子排布为:27Co2+:3d74s0[ ][ ][ ][ ][ ] [ ] [ ][ ][ ] [ ][ ][ ][ ][ ]3d7 4S0 4P0 4d0 [ ][ ][ ][ ][ ] [ ][ ][ ][ ][ ][ ] [ ][ ][ ]SP3d2杂化、成键,形成[Co(NH3)6]2+因为:形成[Co(NH3)6]2+时用的是Co2+最外层4S、4P、4d空轨道以SP3d2杂化、成键,而且中心离子Co2+形成配离子的前后单电子数没变,所以:该[Co(NH3)6]2+配合离子是外轨型,SP3d2杂化,几何构型为正八面体。
因为:以SP3d2杂化、成键形成[Co(NH3)6]2+后,具有3个单电子,所以:[Co(NH3)6]2+的磁矩为:,因为具有单电子分子是顺磁性分子,无单电子分子是抗磁性分子,所以形成[Co(NH3)6]2+后,具有3个单电子,[Co(NH3)6]2+是顺磁性分子。
第9章2、滴定管的读数误差约为±0.02mL,如果要求分析结果达到2‰的准确度,滴定时所用溶液体积至少为多少毫升?如果滴定时消耗溶液5.00mL和25mL,相对误差各是多少?解. 至少需要x=0.02/(2‰)=10mL消耗5.00mL时相对误差Sx=0.02/5=4‰消耗25mL时相对误差Sx=0.02/25=0.8‰3、用酸碱滴定法测得纯碱中Na2CO3的百分含量为98.84, 98.80, 98.76,计算分析结果的平均值以及个别测定值的绝对偏差和相对偏差。
解. (98.84+98.80+98.76)/3=98.80绝对偏差d1=98.84-98.80=0.04; d2=98.80-98.80=0; d3=98.76-98.80= -0.04相对偏差分别为0.04/98.80=0.4‰; 0/98.80=0; -0.04/98.80=-0.4‰4、标定盐酸溶液的浓度(mol·L-1),得到如下数据:0.1043, 0.1039, 0.1049, 0.1041计算此结果的平均偏差、标准偏差、变异系数和平均值的标准偏差。
解:(0.1043+0.1039+0.1049+0.1041)/4=0.1043绝对偏差d1=0.1043-0.1043=0; d2=0.1039-0.1043= -0.0004; d3=0.1049-0.1043=0.0006; d4= 0.1041-0.1043= -0.0002平均偏差(0+0.0004+0.0006+0.0002)/4=0.0003标准偏差0.0004变异系数=3.8‰平均值的标准偏差s/=0.00015、在下列数字中有几位有效数字:0.004,0.0200,1.030,2.0╳10-5,pH=0.02, 8000解. 0.004, 1位;0.0200, 3位; 1.030,4位;2.0╳10-5,2位;pH=0.02, 2位;8000 4位或不确定8、已知在酸性溶液中,KMnO4与Fe2+反应时,1.00mL KMnO4溶液相当于0.1117g Fe,而1.00 mLKHC2O4·H2C2O4溶液在酸性介质中恰好和0.20mL上述KMnO4溶液完全反应,问需要多少mL0.2000mol·L-1NaOH溶液才能与上述1.0mL KHC2O4·H2C2O4溶液完全中和?解. MnO4- ~ 5Fe2+1mL KMnO4 n MnO4-=(1/5)╳(0.1117/56)0.2 mL KMnO4 n MnO4-=(1/5)╳(0.1117/56) ╳0.24MnO4- ~ 5 KHC2O4·H2C2O4KHC2O4·H2C2O4 ~ 3NaOHn NaOH=3n KHC2O4·H2C2O4=3╳(5/4) n MnO4-=3╳(5/4) ╳(1/5)╳(0.1117/56) ╳0.2V NaOH= n NaOH/0.2=1.50mL9.用酸碱滴定法测定工业用草酸的纯度:(1)称取纯H2C2O4·2H2O0.3655g,滴定时消耗NaOH35.14mL,计算NaOH溶液的浓度(mol·L-1(2)称取工业用草酸试样0.3340g,滴定时消耗上述NaOH标准溶液28.35mL,求试样中H2C2O4·2H2O的质量分数。
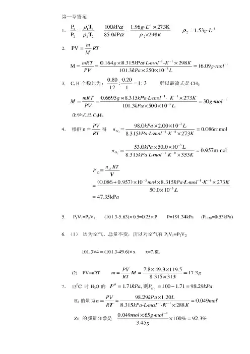
无机及分析化学(第四版)南京大学3-45^R = pl ; JOCMPa = L 处屮丄 1 x273K P ; _ p ;Ts 拓XKPo _ 化X29MK“ mRT 0J64«xS /?ISXPa7 ' K 1 x 298A^“ rM = --------- -- ---------------------------------------------- : ----------------- mPV101.3kPa x 250x MJ"化学犬H CH= (0.<«6 +0.957)x10 '/nn/x8 3l5kPtr^m0/ lK 0273K -50-0xl0^L= 4735kPa* P (V|=r*V- 0<» ^-5 63)xO5=(> 25xP *1913451 iP fn ()MmkRi)6 (1) HI 为空肌・0■不录* P?以对空T 有P.VHSVi1013x4-(101 3^l9 6)Xi X-7.8L(Q*屮注怖AS.U1为可以他 A 了间妙|的临抒基*甲詩価眦分了内氯H.tfiAMp 、= L53g-L 'PV ~lOJJtFtfXSOOxlO *L=30je4, HHRn = —MRTx £00 耳 KJ83l5JtPd £z»w/ ^JC 1X273K =0086mnxil 53X)4Fax5O.OxlO V &订禅m 山•-AT 'x333K=0.957niirial札 15七 HtHjQ 的>100-1.71*98.29^Z 川仆丿―呱2<"丫1警RT 8JI5JtP^7 K 'x288A r=0 04%讪< H ,土臥i?l PV-nRT7用 x 4竟3x11*5 S.3I5X513⑶ShHpPHiffiT書色Ifi力k(3) iCUHr;繭音*农定向力如诱导力⑷ MjO>NdiO Mg:<电荀稔.H: > M fi0 M rt k⑸SiO^^SO;'fi 3期瓯f晶悻/ i吿为仔『晶障i6>SrK'f:>SnCL Sn^ttft*丸于Sn;r. £nCL.问人忖逆过常比创直1训*~上也』人、”1十2“""册和一卜MI即-46.02/f? mol1• -X945JW 1+丄X43WC/册厂-3A.%_屮*- 亠行侏比..川=391K丿加"■狞2比n NH -NH、~ 九Hg科+ 2A卜H凋■} — 4A4H^ I—九町.、一对即^.26KJ mnl 1= 1+2K4J6^J WM?/ '-4x的iJC/ imJ '-亠"卜“褂%% M=I57KJW0.2«Ox»W>02920x180 H-101n=(ftr=O. 2920 x8314x310 = 753Jt?^13 n-b*RT>(0 5C6H)4#640055H).0^0011 ^OJI *0.002) X8 314x298 ■ 2TWW 14. r r = —= ——— = L53**X1O *^-L*fir 8315x291*册二0.51芍< V - 0.1539x50.0x10⑶byAZ = A ;7> = 0,5I2X L54X I0 1 =7.88X 10 * ATLX6xL54xlO * - 2.86x10 *K⑷ 卜給tA|^AT t ^IAT r A*b7-无法测笊・15 f(As 3S^m nS' 广 2nH*16A :K J K-i('hJu |>fckS< L>A 1( \iB:ACl^MESCu^KJlxlCNkln. 4电赫:当囲菠两扣坝牛扣对运动时.滞动的帝电体与博酒寧体之何的电够5f )0/22.4xl7 560/22.4x17-IKK> xKKr ; = 29.K f rO^OxlO 1!- L 1 X29.H■ LS»7&M W L 1CH.NinMK 比为恥尚.心CHN0.7W 00«7l> 0.1727 .._ , 12 I HL21X I03/M 243x10 1A/ =1・86卿&?员|)<匚2欢 CL5&KKX24.5 関=0 162烁册川 1 - 162 :/ nw>J甘汕的ttl^ VTffi* M=92E rnul *100x10 £2 (WK 7心皿討 xIOOxlO.86 K 蘇诉沏*(\H,<)..X HX <X>H>NX N.>( X :h呵 O.543K -- —■ -------K f 1,853 -4V9 誓皈!7 }聲;xh - A\ x抵民一聊特殊的“艄棒眾小中较体额諒威奇聚躺甘了耳和逢捲朋压闵优第勵蛤构空算充#i 了浪f*我社像《attt:皎体因折入隴第順血析出的过科\H»ik液剂彷了在压力ft用卜曲怖搐藏向編渚帧楼时过稈称为屁洽走. ia (1)II水的澳逢圧高十演水.鱼适应了海廉的潘逢医创不健适应播永的褂進医.(2)雄里落液的液度裔Jilt圧大于植債体的濤逢压・菌物孔盐就M L里会凶失倉血枯娄.0)出涪解到雷中使水的融周点ffffi.44)江河中的畋悽在入海赴週列电解质艾牛最锻*5 光加M]船时*朋舷时金旃龌育保护朮用.再1 如见加扛他讷.总化箱对带陀肴媲沉ft用*洛独i口聚贰啟不会址厭・二會5C SO S ; M u &>;t>z pl s urun心T —o 丄-*5芋 丄-飞養n $艮丄+{二倉 nNEAE —)*(二学n s H a亠・v <£13^s 3i M 0—^二當 n二公;)x P丄-12X -呂 —x :( -1 n g X 7站<-1 2® Z T I O I ~- 1-33T T -- 1-3^-^r -—-i =三肾丄二零工6窘*£m 6f >"a=d 0 —「工F:-l 3x rl X T R k **nu垄3H <r u r J:-H pk weI fs pa —*=■■. HC9-6ni £ + B X ^^-«x 7N 空“ 7 I-5^3>・*- ;5 i -A二二X里 F n三X N寧z x -N*- E u ** 兰亠左*r-i 样 J --f i c 3AC -S =i 6 r二X ^--I R s i e x *©- X S T ^-s -X Z A f x dL ^s 咧&o-h1HL-L A X x %A X \h二 「〔二菽町丁-壬 M三工交二=x £j二K x二!!.>;-X .K二二右£y JI _X T o M= ・l s l =才・£亠法*51 I s l #5=l莘毕JA"::+必诃 1)- 2 X (SOtiM rwl ')' I 1*-'} 岷般= 1253.7Mfl!fl/_,% 比收存打"['"“xl 节工了k/別凶1 =195KM.75M工 U) <1) Wi 2V ; + 2fl ; = 4Wj(3)A r ; = {-116&.8M /w>/■')-(-15304W^Hjr')=361 Wk/ mflj'1- 1 A H F ,= ' X36Ih=M0 4M OWJ J 'r ■* 斗 『* 目s均砒■£反应IM*能・£生-_rtl + A t w k A1+A*W|fl _wt + A*H (W J-[2A t nj -AA 丿怙 fyi + At^)/ »i r J=I.U.IkJ M * + %际/ 用川"+ 祗Xk 丿曲# ')-(2x-165kJ mr>/ * * 276U mji/ 1)= -3<)k/ BW / ' a u> ><2) >⑶>4 <⑸>⑹< 10 ⑴M⑵盾人 ⑶mk<5/ 悄 k…940.6x10* JJFW /'1rf =373A :U> AS ・込宀"曲_5IO77K275 A r也际KISMta273K = 22AJKIM A rAft if,弁r 旳況乱g 慟如补比曙化时期加怕队 鮎阳燈间KIJ. W=PAV == 8314J<-1'x373r = 3Jfc/[J W 「"k. J八\= 40.7k/Af/=^-W = 4O.7U-3Jk/ = 3T6My Q 4070UJ do =—=T 373ATM .利用左卫:|血竹養系・灿新反I 柱汁:刨,人f (M 僦既生*小于0可(U 发生(U“:=卜口站MJ 血广)* {jrrmij 册腐)][Cs9b.8KJ 时,「)]+(-39丄42佃川')=2SJkJ rnpZ 1 小于G 阿览引 ⑵注心:=卜 132192 w f J")+2x(- 237 2k/flw/■')!-(-1797V wL )=07JJ 加" 天于0不可投牛') [( 18SU W ')+(-l37/2L/ ntflJ )|= 69.2U mn/ 1小于0可发生15 (I )苫12)否(訂 fi(4)遺;刃昔A r G ; = (-S%W nW)— [(—5515kJww 厂)+2x(-157.317 ^-1 )|= -2U 7W W"1 小于0-此反应可以发牛17.巾址“讥-珞斗AfG.Cb 181—25TAH 打门尸&门十166亦Ar6…(J>= 20—43TAG = 0= 1(WJ A -AG = AW-7M 此憶極人于彼故此J 诅不可发生⑴亠屮:二id 成物的b 射卜no 討砌的t 成対=* 393 5U flin/ 'J+nx(- 283-83M^/11| 匸 2222U 预胡■卜・564£25k/w 」初 牡山 ffX 9 jy m * JTf 'x300ftffi = 19llU19llU, = 135>nol =46?g5644 25}J fnoi 12n, G J CO, =「“O + CO*)* (-3^3.5k/mn/ ' )|-{-12O6.9U>M ?/ 1 )= 178.3k> mr>/ 1A r S ; =(3M 77 AT ' 1+(213,6JJC ' )-92,97JC ' = 160 4MT ' fejSHIftfStl 时 = 0即= Ql7E3xlt>Jmpf 1I604J A r 1 ~ 21 UHQH Y 、2H 、0A r G* - |&K2k71+(-22S.6k/?W ')]-(-1e8.6U ftirt/ '卜8.2打*»「$//: _ 卜24MRJ 加",)+523kJ w*rj/ ')-(- 2353k/') - 45.HM mr?/ "A,S* =(2IWJT Jl8S/U K ')-2827-K 1 =126 l/ Af 1 2>VB1 AG)0 '■卷不握4 36(吃时 AC ;-45,SkJ/W 1 -(3W +273)x126.1x10 \J - -34.Q2U rtrfl/小于"JiJfi 可皈览宅21虚川:・(-235如如「)-(-277血』誠")・42”37财/ **iMU :.r =I26JJ X 1SV ■HV-紀r m o &T -X『60-7-呂「9V Z1+・ ¥『伫$卩-f kPOMT l n m弗T m r m亠—【T H披-}*I m z n -j w v < 9 u p er F c-¥f n w -d -f oo £v ;f ,£-^*X A ><M H ^<-飞E r芒o tl丄二層s *m "丄丄二富7W«W丄菽丄二¥s *二A 丄 H v <Nxwy■£■?」l<一二z y —-u 巷、-hs H a —一电£/■工-hot"「工<A G?n"匸工\久*1生更物}工心心「1反庙拗-*197.15 + (-228.59)・(39436)-2x(-1 氐 4B) = L6KJ1UU =,KM3K fl xKPl N T O.* ^ij|.yi < i dPN)IO(Hi+2x=ll6 k=l6KPjjr* ■色心戶厶.血-■。
分析化学:第9章课后习题答案第九章思考题与习题1.重量分析对沉淀的要求是什么?答:要求沉淀要完全、纯净。
对沉淀形式的要求:溶解度要小,纯净、易于过滤和洗涤,易于转变为称量形式。
对称量形式的要求:沉淀的组分必须符合一定的化学式、足够的化学稳定性、尽可能大的摩尔质量。
2.解释下列名词:沉淀形式,称量形式,固有溶解度,同离子效应,盐效应,酸效应,络合效应,聚集速度,定向速度,共沉淀现象,后沉淀现象,再沉淀,陈化,均匀沉淀法,换算因数。
答:沉淀形式:往试液中加入沉淀剂,使被测组分沉淀出来,所得沉淀称为沉淀形式。
称量形式:沉淀经过过滤、洗涤、烘干或灼烧之后所得沉淀。
固有溶解度:难溶化合物在水溶液中以分子状态或离子对状态存在的活度。
同离子效应:当沉淀反应达到平衡后,加入与沉淀组分相同的离子,以增大构晶离度,使沉淀溶解度减小的效应。
盐效应:由于强电解质盐类的存在,引起沉淀溶解度增加的现象。
酸效应:溶液的酸度对沉淀溶解度的影响。
配位效应:溶液中存在能与沉淀构晶离子形成配位化合物的配位剂时,使沉淀的溶解度增大的现象。
聚集速度:沉淀形成过程中,离子之间互相碰撞聚集成晶核,晶核再逐渐长大成为沉淀的微粒,这些微粒可以聚集为更大的聚集体。
这种聚集过程的快慢,称为聚集速度。
定向速度:构晶离子按一定的晶格排列成晶体的快慢,称为定向速度。
共沉淀现象:在进行沉淀时某些可溶性杂质同时沉淀下来的现象。
后沉淀现象:当沉淀析出后,在放置过程中,溶液中的杂质离子漫漫在沉淀表面上析出的现象。
再沉淀:将沉淀过滤洗涤之后,重新溶解,再加入沉淀剂进行二次沉淀的过程。
陈化:亦称熟化,即当沉淀作用完毕以后,让沉淀和母液在一起放置一段时间,称为陈化。
均匀沉淀法:在一定条件下,使加入沉淀剂不能立刻与被测离子生成沉淀,然后通过一种化学反应使沉淀剂从溶液中慢慢地均匀的产生出来,从而使沉淀在整个溶液中缓慢地、均匀地析出。
这种方法称为均匀沉淀法。
换算因数:被测组分的摩尔质量与沉淀形式摩尔质量之比,它是一个常数。
第九章 化学分析法 习题解答习题9-11. 能用于滴定分析的化学反应必须具备哪些条件?解 ①反应要定量完成,没有副反应伴生。
②反应速率要快,或有简便的方法加速反应。
③有可靠、简便的方法指示滴定终点。
2. 基准物应具备哪些条件?基准物的称量范围如何估算?解 基准物质必须具备以下条件:①试剂的纯度足够高,含量在99.9%以上,一般使用基准试剂或优级纯试剂。
②物质组成与化学式完全相符,若含有结晶水,其结晶水含量应与化学式相符。
③性质稳定,不易和空气中的O 2或CO 2等作用,不易发生风化和潮解。
④最好具有较大的相对分子量,可减小称量误差。
其称量范围是要计算使标准溶液消耗体积控制在20~30mL 之间所需基准物的质量。
3. 下列物质中那些可以用直接法配制标准溶液?那些只能用间接法配制?24422732232H SO , KOH, KMnO , K Cr O , KIO , Na S O 5H O ⋅4. 什么是滴定度?滴定度与物质的量浓度如何换算? 解 滴定度(T )指每毫升标准溶液所相当的待测物的质量,以符号T 待测物/滴定剂表示,单位为g ⋅mL 1-。
若a A~b B ,则两种浓度之间的换算关系为:3A/B B A 10a T c M b-=⨯。
5. 什么是“等物质的量的规则”,运用时基本单元如何选取?解 当待测组分A 与滴定剂B 的基本单元选取适当时,两组分所相当的物质的量相等,此规则称为等物质的量的规则。
若a A~b B ,A 与B 之间等物质的量的关系为:11A B n()=n()b a。
其一般的选择原则如下:酸碱滴定中,基本单元的选取以一个质子转移为基准;配位滴定中,以与EDTA 等物质的量反应为基准;氧化还原滴定中,以一个电子的转移为基准。
6. 已知浓硝酸的相对密度为 1.42,含3HNO 约为70%,求其物质的量浓度。
如欲配制 1.0L 、130.25mol L HNO -⋅溶液,应取这种浓硝酸多少毫升?解 (1)31000 1.4270/100(HNO )1663.01c ⨯⨯==(1mol L -⋅) (2)330.25 1.010(HNO )1616V ⨯⨯==(mL) 7. 已知密度为1.051g mL -⋅的冰醋酸(含HAc99.6%),求其物质的量浓度。
第八章习题1.命名下列配合物:(1)K4[Ni(CN)4] (2)(NH4)2[FeCl5(H2O)](3)[Ir(ONO)(NH3)5]Cl2(4)Na2[Cr(CO)5]2.写出下列配合物(配离子)的化学式:(1)硫酸四氨合铜(Ⅱ)(2)四硫氰·二氨合铬(Ⅲ)酸镁(3)二羟基·四水合铝(Ⅲ)离子(4)二苯合铬3.AgNO3能从Pt(NH3)6Cl4溶液中将所有的氯沉淀为AgCl,但在Pt(NH3)3Cl4中仅能沉淀出1/4的氯,根据这些事实写出两种配合物的化学式。
4.画出下列配合物可能有的几何异构体:(1)[PtClBr(NH3)py](平面正方形)(2)[Pt(NH3)4(NO2)Cl]Cl2(3)[Pt(NH3)2(OH)Cl3] (2)[Pt(NH3)2(OH)2Cl2]-与(1)Ag+,(2)Ni2+,(3)Fe3+,(4)Zn2+形成配离子,试根据价键理论探讨其杂化类型、几何构型和磁性。
6.试用价键理论说明下列配合物的键型(内轨型或外轨型)、几何构型和磁性大小。
(1)[Co(NH3)6]2+(2)[Co(CN)6]3-7.有两种化合物A和B具有同一化学式:Co(NH3)3(H2O)2ClBr2.在一干燥器中,1molA很快失去H2O,但在同样条件下,B不失去H2O.当AgNO3加入A中时,1molA沉淀出1molAgNO3,1molB沉淀出2molAgNO3。
试写出A和B的化学式。
8.试用晶体场理论解释变色硅胶(内含CoCl2)的变色现象(干时蓝色,湿时红色)。
9.根据Fe2+的电子成对能P,[Fe(H2O)6]2+和[Fe(CN)6]4-的分裂能△0解答:(1)这两个配离子是高自旋还是低自旋?(2)画出每个配离子的轨道能级中电子排布图。
10.试从Mn3+的P值和高自旋配合物,[Mn(H2O)6]3+的△0值,估计[Mn(CN)6]3-和[Mn(C2O4)3]3-是高自旋还是低自旋配合物?11.Cr2+,Cr3+,Mn2+,Fe2+和Co2+在强八面体晶体场和弱八面体晶体场中各有多少未成对电子?并写出t2g和e g轨道的电子数目。
第九章习题解答1.离子键无饱和性和方向性,而离子晶体中每一个离子有确信的配位数,二者有无矛盾?答:二者无矛盾。
离子键无饱和性和方向性是由离子特点决定的。
只要里自带有不同的电荷就会有库伦作用,不管周围的空间有多少带有相异电荷的离子,都会产生库伦吸引力,这就决定了离子键的不饱和性,而电荷相异的离子在任意方向的这种作用仍然存在。
即没有固定方向,不存在方向性。
而离子在离子晶体由于空间条件及离子本身大小的限制,使一个离子周围只能有确信数量的作用,即配位数必然。
但不论相邻的离子间库伦引力仍然存在,故二者不矛盾。
2.以下双原子分子或离子,哪些可稳固存在?哪些不可能稳固存在?请将能稳固存在的双原子分子或离子按稳固性由大到小的顺序排列起来。
H2 He2 He2+ Be2 C2 N2 N2+答:稳固存在的分子或离子:H2 He2+ C2 N2 N2+不能稳固存在的分子或离子:He2 Be2稳固性顺序:N2>N2+>C2>H2>He2+3.第二周期某元素的单质是双原子分子,键级为1是顺磁性物质。
(1)推断出它的原子序号; (2)写出分子轨道中的排布情形;答:(1)原子序号5(2)B2 σ1s2σ1s*2σ2s2σ2s*2π2py1π2pz14.在BCl3和NCl3分子中,中心原子的氧化数和配体数都相同,什么缘故二者的中心原子采取的杂化类型、分子构型却不同?答:BCl3与NCl3分子中,中心原子不同,中心原子的电子结构不同,使得二者的中心原子采纳不同的杂化方式:B采纳的是sp3杂化,每一个杂化轨道的的夹角是120o,与Cl原子以3p x轨道形成3个σ键,分子呈平面三角形。
N采纳sp3杂化,杂化轨道呈四面体结构,其中一个杂化轨道有一对孤电子,孤对电子成键电子有必然的排斥作用,使NCl3分子呈三角锥形。
5.写出O2分子的分子轨道表达式,据此判定以下双原子分子或离子:O2+、O2、O2-、O22-各有多少成单电子,将它们按键的强度由强到弱的顺序排列起来,并推测各自的磁性。
第九章s区元素
1. 为什么碱金属氯化物的熔点
NaCl﹥KCl ﹥RhCl ﹥CsCl ?
而碱土金属氯化物的熔点
MgCl2﹤CaCl2 ﹤SrCl2 ﹤BaCl2 ?
前者阳离子电荷小,极化力弱,主要比较晶格能;而后者阳离子电荷大,极化力较强,比较极化作用
2. 锂、钠、钾在氧气中燃烧生成何种氧化物?
各氧化物与水反应情况如何?
分别生成Li2O、Na2O2、KO2 ;
Li2O + H2O 〓 2 LiOH
Na2O2 + 2H2O(冷水) 〓H2O2 + 2 NaOH
2 Na2O2 + 2H2O(热水) 〓O2 + 4 NaOH
2 KO2 + 2H2O 〓H2O2 + 2 KOH + O2
4. 比较下列性质的大小
⑴与水反应的速率:MgO ﹤BaO
⑵溶解度:
CsI﹤LiI;CsF﹥LiF;LiClO4 ﹥KClO4 ⑶碱性的强弱:
Be(OH)2 ﹤Mg(OH)2 ﹤Ca(OH)2 ﹤NaOH)
⑷分解温度:
K2CO3﹥Na2CO3 ﹥MgCO3 ﹥NaHCO3
⑸水合能:Be2+﹥Mg2+ ﹥Na+ ﹥K+
5. 解释下列事实
⑴卤化锂在非极性溶剂中的溶解度大小的顺序为
LiI﹥LiBr﹥LiCl﹥LiF (LiI电负性差小,极性小)
⑵虽然电离能I(Li)﹥I(Na),但E⊖(Li+/Li) ﹤(Na+/Na)。
(Li+ 水合能大)。
⑶虽然E⊖(Li+/Li)﹤(Na+/Na),但锂与水反应不如与水反应钠激烈。
(Li熔点高,LiOH溶解度小)。
⑷锂的第一电离能小于铍的第一电离能,但锂的第
二电离能却大于铍的第二电离能。
(内层难电离) 。
7. 利用什么性质可以区分下列化合物?
⑴Be(OH)2 Mg(OH)2
碱性、溶解度。
⑵BeCO3 MgCO3
热稳定性。
⑶LiF KF
水溶性。