无机及分析化学课后重点习题答案详解(高等教育出版社)
- 格式:doc
- 大小:247.50 KB
- 文档页数:6
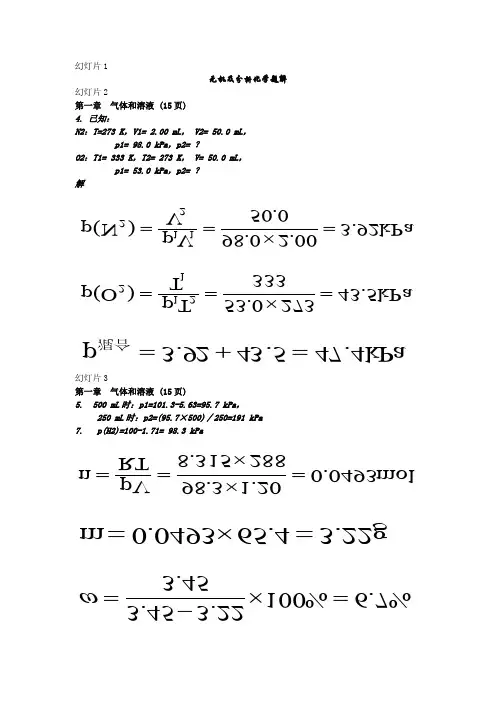
无机及分析化学题解幻灯片2第一章 气体和溶液 (15页)4. 已知:N2:T=273 K ,V1= 2.00 mL , V2= 50.0 mL , p1= 98.0 kPa ,p2= ?O2:T1= 333 K ,T2= 273 K , V= 50.0 mL , p1= 53.0 kPa ,p2= ? 解kPa92.30.5000.20.98)N (2112=⨯==VV p pkPa5.433332730.53)O (1212=⨯==TT p pkPa4.475.4392.3=+=混合p幻灯片3第一章 气体和溶液 (15页)5. 500 mL 时:p1=101.3-5.63=95.7 kPa , 250 mL 时:p2=(95.7×500)∕250=191 kPa 7. p(H2)=100-1.71= 98.3 kPamol0493.0288315.820.13.98=⨯⨯==RTpV ng22.34.650493.0=⨯=m%7.6%10045.322.345.3=⨯-=ω第一章 气体和溶液 (15页)8. n(NH3) =560∕22.4=25.0 mol m(NH3) =25.0×17.0=425 g =425∕1425=0.298=29.8% V=1425∕900=1.58 Lc=25.0∕1.58= 15.8 mol ·L-1 9.1:2:100.1633.53:008.160.6:12.0140.00=1-B b A b m ol g 180500.00510.000.9512.0⋅=⨯⨯=⋅∆=m T mK M最简式:CH2O 分子式:C6H12O6幻灯片5第一章 气体和溶液 (15页)g 9.986.1100.01.9200.2f B A f A =⨯⨯=⋅⋅∆=K m M T m10.11. 凝固点由高到低排列顺序:C6H12O6 CH3COOH NaCl CaCl2 12.g 5.5286.100.1180543.0f B A f A =⨯⨯=⋅⋅∆=K m M T m%99.4%1005.10525.52=⨯=ωbRTcRT ≈=∏kPa 75200.1180310315.85.52=⨯⨯⨯=幻灯片6第一章 气体和溶液 (15页)13. b 总= 0.566+0.486+0.055+0.029+0.011+0.011+0.002 =1.160mol ·L-1= bRT=1.160×8.315×298=2870 kPa=2.87 MPa 15. As2S3(H2S 为稳定剂) 的胶团结构:[(As2S3)m · nS2- · (2n-x)H+]x- · xH+幻灯片7第一章 气体和溶液 (15页) 17. 聚沉能力由大到小排列:A. 100 mL0.005mol ·L-1KI 和100 mL0.01mol ·L-1 AgNO3 制成的为正溶胶,所以排列顺序为:AlCl3 K3[Fe(CN)6] MgSO4 (电荷同由小到大) B. 100 mL0.005mol ·L-1 AgNO3和100 mL0.01mol ·L-1 KI 制成的为负溶胶,所以排列顺序为:K3[Fe(CN)6] AlCl3 MgSO4(电荷同由大到小) 幻灯片8第一章 气体和溶液 (15页) 18. 解释现象⑴ 海鱼放在淡水中会死亡。
无机及分析化学课后习题答案Document serial number【NL89WT-NY98YT-NC8CB-NNUUT-NUT108】一、选择题1.等压下加热5%的下列水溶液,最先沸腾的是()A. 蔗糖(C12H22O11)溶液 B. 葡萄糖(C6H12O6)溶液C. 丙三醇(C3H8O3)溶液 D. 尿素( (NH2)2CO)溶液解:选A。
在等压下,最先沸腾就是指溶液的蒸气压最低。
根据难挥发非电解质稀溶液的依数性变化规律,溶液质量摩尔浓度增大,溶液的蒸气压下降。
这里,相同质量分数下,溶质的摩尔质量越小,质量摩尔浓度越大。
选项D中非电解质尿素的摩尔质量最小,尿素溶液的质量摩尔浓度最大,蒸气压最低,在等压下最先沸腾。
2.0.1mol·kg-1下列水溶液中凝固点最低的是()A. NaCl溶液B. C12H22O11溶液 C. HAc溶液 D. H2SO4溶液解:选D。
电解质溶液的依数性虽然不能用拉乌尔定律进行统一的定量计算,但仍然可以参照难挥发非电解质稀溶液的依数性进行定性描述。
即溶质的粒子数目增大,会引起溶液的蒸气压降低,沸点升高,凝固点下降和溶液的渗透压增大。
此题中,在相同质量摩尔浓度下,溶液中的粒子数目估算出来是H2SO4溶液最多,所以其凝固点最低。
3.胶体溶液中,决定溶胶电性的物质是()A. 胶团B. 电位离子C. 反离子D. 胶粒解:选D。
根据胶团结构,胶核和吸附层的整体称为胶粒,胶粒中反离子数比电位离子数少,故胶粒所带电荷与电位离子符号相同。
即胶粒带电,溶胶电性由胶粒决定。
4.溶胶具有聚结不稳定性,但经纯化后的Fe(OH)3溶胶可以存放数年而不聚沉,其原因是()A. 胶体的布朗运动B. 胶体的丁铎尔效应C. 胶团有溶剂化膜D. 胶粒带电和胶团有溶剂化膜解:选D。
溶胶具有动力学稳定性和聚结稳定性,而聚结稳定性是溶胶稳定的根本原因,它包含两个方面,胶粒带有相同电性的电荷,当靠近时会产生静电排斥,阻止胶粒聚结合并;而电位离子和反离子形成的溶剂化膜,也会阻隔胶粒的聚结合并。
第一章 气体和溶液2. 解:根据理想气体状态方程:nRTV p =可得: RTpV M n ==m 则: mol /0.160.250L101.3kPa K 298K mol L kPa 315.8164.0-11g g pV mRT M ≈⨯⨯⋅⋅⋅⨯==-该的相对分子质量为16.04. 解:由题意可知,氮气为等温变化,氧气为等容变化 kPa 92.350.0mL2.00mL kPa 0.98211N 2=⨯==V V p p kPa 45.43333K 732kPa 0.53121O 2=⨯==K T T p p 根据道尔顿分压定律:kPa4.4792.345.4322O N ≈+=+=p p p 总7. 解: T =(273+15)K = 288K ; p 总 =100kPa ;V =1.20L 288K 时,p (H 2O)=1.71kPaM (Zn)=65.39则 p 氢气= (100-1.71)kPa = 98.29kPa mol 0493.0K288K mol L 8.315kPa L 20.18.29kPa 911-=⨯⋅⋅⋅⨯==-RT pV n 氢气根据: Zn(s) + 2HCl → ZnCl 2 + H 2(g)65.39g 1molm (Zn)=? 0.0493mol解得m (Zn)=3.22g则杂质的质量分数 w (杂质) = (3.45-3.22)/ 3.45 = 0.06714. 解:因溶液很稀,可设ρ ≈1 g·mL -1(1) 14113L mol 1054.1K293K mol L kPa 315.8kPa 10375-----⋅⨯=⋅⋅⋅⋅⨯=∏=RT c (2) mol g L L g cV m n m M /1069.6mol 1054.1010.50515.04143⨯=⋅⨯⨯⨯===--- 血红素的相对分子质量为41069.6⨯ (3) K1086.2kg mol 1054.1mol kg K 86.14141----⨯=⋅⨯⨯⋅⋅=⋅=∆b K T f f K1088.7kg mol 1054.1mol kg K 512.05141----⨯=⋅⨯⨯⋅⋅=⋅=∆b K T b b (4)由于沸点升高和凝固点下降的值太小,测量误差很大,所以这两种方法不适用。
无机及分析化学课后习题答案(高教、张绪宏,尹学博)第1章1. 下列各测量值含有的有效数字是几位?(定量化学分析简明教程(北大编第3版)P38-2.8)解:0.0030;26.023 1023;464.120;54.80 10-10;30.998;3(也可认为是四位)1000;不明确1.1 103;2pH=5.23。
22. 按有效数字计算下列结果:(定量化学分析简明教程(北大编第3版)P38-2.9,有修改)解:(1)213.64+4.4+0.3244;=213.6+4.4+0.3=218.3(2)10004182.1)1003206.16239.1400.20(0982.0-(注:3、100、1000为自然数)=0.0982×(20.00-7.780)/(1.4182×1000)=0.0982×12.22/(1.4182×1000)=0.0982×12.2/(1.42×1000)=8.44×10-4(3)pH=12.00 溶液的[H+]1.0×10-12mol/L3.甲乙二人同时分析一矿物试样中含硫量,每次称取试样4.7克,分析结果报告为:甲:0.062% ,0.061% ;乙:0.06099% ,0.06201%;问哪一份报告是合理的,为什么?(定量化学分析简明教程(北大编第3版)P37—思考题5,有修改)解:有效数字第9章1.定量分析过程中出现下面的情况,试回答它造成什么性质的误差,如何改进?(1) 过滤时错用了定性滤纸,最后灰份加大;(2) 过滤时沉淀发生穿滤;(3) 试剂中含有少量被测组分;(4) 滴定管读数时,最后一位估计不准;(5) 天平砝码锈蚀;(6) 天平零点稍有偏移;(7) 双臂天平臂长不等;(8) 容量仪器未经校正;(9) 指示剂的变色点于化学计量点不一致;(10) 溶液溅失。
解:(1) 过失重做(2) 过失重做(3) 系统更换试剂(4) 随机培训(5) 系统更换砝码(6) 系统校准(7) 系统校准(8) 系统校准(9) 系统(10) 过失重做2.某人对某铁矿石标准样品中铁的含量分别进行了两次测定,数据如下:①57.21%,58.35%,59.18%。
一、选择题1.对反应 2SO 2(g)+O 2NO(g)3(g) 下列几种速率表达式之间关系正确的是( )。
A. dtdc dtc )O ()SO (d 22=B. tc tc d 2)SO (d d )SO (d 32=C. tc tc d )O (d d 2)SO (d 23= D. 32d (SO ) d (O )2d d c c tt=-解:选D 。
依据化学反应的瞬时速率的表达通式,对于一般化学反应,速率表达可写出通式如下:2.由实验测定,反应 H 2(g)+Cl 2(g)===2HCl(g) 的速率方程为v =kc (H 2)c 1/2(Cl 2) ,在其他条件不变的情况下,将每一反应物浓度加倍,此时反应速率为( )。
A. 2v B. 4v C. 2.8v D. 2.5v 解:选C 。
依据化学反应的速率方程υ=kc (H 2)c 1/2(Cl 2),H 2和Cl 2浓度增大都增大一倍时,速率应该增大22倍,即相当于2.8Υa。
3.测得某反应正反应的活化能E a.正=70 kJ·mol -1,逆反应的活化能E a.逆=20 kJ·mol -1,此反应的反应热为( )A. 50 kJ·mol -1B. -50 kJ·mol -1C. 90 kJ·mol -1D. -45 kJ·mol -1解:选A 。
依据过渡态理论,反应热可以这样计算:Q = E a,正- E a,逆 。
4.在298K 时,反应 2H 2O 2===2H 2O+O 2,未加催化剂前活化能E a =71 kJ·mol -1,加入Fe 3+作催化剂后,活化能降到42 kJ·mol -1,加入催化剂后反应速率为原来的( )。
A. 29倍 B. 1×103倍 C. 1.2×105倍 D.5×102倍解:选C 。
依据阿仑尼乌斯指数式k = A ·e RT E a-,可得5298314.82900012102.1ee 21⨯===⨯-RTE E a a k k5.某反应的速率常数为2.15 L 2·mol -2·min -1,该反应为( )。
第1章思考题与习题参考答案一、选择题1.等压下加热5%的下列水溶液,最先沸腾的是()A. 蔗糖(C12H22O11)溶液B. 葡萄糖(C6H12O6)溶液C. 丙三醇(C 3H8O3)溶液D. 尿素((NH2)2 CO)溶液解:选D。
在等压下,最先沸腾就是指溶液的蒸气压最低。
根据难挥发非电解质稀溶液的依数性变化规律,溶液质量摩尔浓度增大,溶液的蒸气压下降。
这里,相同质量分数下,溶质的摩尔质量越小,质量摩尔浓度越大。
选项D中非电解质尿素的摩尔质量最小,尿素溶液的质量摩尔浓度最大,蒸气压最低,在等压下最先沸腾。
2.0.1mol·kg-1下列水溶液中凝固点最低的是()A. NaCl溶液B. C12H22O11溶液C. HAc溶液D. H2SO4溶液解:选D。
电解质溶液的依数性虽然不能用拉乌尔定律进行统一的定量计算,但仍然可以参照难挥发非电解质稀溶液的依数性进行定性描述。
即溶质的粒子数目增大,会引起溶液的蒸气压降低,沸点升高,凝固点下降和溶液的渗透压增大。
此题中,在相同质量摩尔浓度下,溶液中的粒子数目估算出来是H2SO4溶液最多,所以其凝固点最低。
3.胶体溶液中,决定溶胶电性的物质是()A. 胶团B. 电位离子C. 反离子D. 胶粒解:选D。
根据胶团结构,胶核和吸附层的整体称为胶粒,胶粒中反离子数比电位离子数少,故胶粒所带电荷与电位离子符号相同。
即胶粒带电,溶胶电性由胶粒决定。
4.溶胶具有聚结不稳定性,但经纯化后的Fe(OH)3溶胶可以存放数年而不聚沉,其原因是()A. 胶体的布朗运动B. 胶体的丁铎尔效应C. 胶团有溶剂化膜D. 胶粒带电和胶团有溶剂化膜解:选D。
溶胶具有动力学稳定性和聚结稳定性,而聚结稳定性是溶胶稳定的根本原因,它包含两个方面,胶粒带有相同电性的电荷,当靠近时会产生静电排斥,阻止胶粒聚结合并;而电位离子和反离子形成的溶剂化膜,也会阻隔胶粒的聚结合并。
由于纯化的Fe(OH)3溶胶具有这种聚结稳定性,从而可以存放数年而不聚沉。
第1章思考题与习题参考答案一、选择题1.等压下加热5%的下列水溶液,最先沸腾的是()A. 蔗糖(C12H22O11)溶液B. 葡萄糖(C6H12O6)溶液C. 丙三醇(C 3H8O3)溶液D. 尿素((NH2)2 CO)溶液解:选D。
在等压下,最先沸腾就是指溶液的蒸气压最低。
根据难挥发非电解质稀溶液的依数性变化规律,溶液质量摩尔浓度增大,溶液的蒸气压下降。
这里,相同质量分数下,溶质的摩尔质量越小,质量摩尔浓度越大。
选项D中非电解质尿素的摩尔质量最小,尿素溶液的质量摩尔浓度最大,蒸气压最低,在等压下最先沸腾。
2.0.1mol·kg-1下列水溶液中凝固点最低的是()A. NaCl溶液B. C12H22O11溶液C. HAc溶液D. H2SO4溶液解:选D。
电解质溶液的依数性虽然不能用拉乌尔定律进行统一的定量计算,但仍然可以参照难挥发非电解质稀溶液的依数性进行定性描述。
即溶质的粒子数目增大,会引起溶液的蒸气压降低,沸点升高,凝固点下降和溶液的渗透压增大。
此题中,在相同质量摩尔浓度下,溶液中的粒子数目估算出来是H2SO4溶液最多,所以其凝固点最低。
3.胶体溶液中,决定溶胶电性的物质是()A. 胶团B. 电位离子C. 反离子D. 胶粒解:选D。
根据胶团结构,胶核和吸附层的整体称为胶粒,胶粒中反离子数比电位离子数少,故胶粒所带电荷与电位离子符号相同。
即胶粒带电,溶胶电性由胶粒决定。
4.溶胶具有聚结不稳定性,但经纯化后的Fe(OH)3溶胶可以存放数年而不聚沉,其原因是()A. 胶体的布朗运动B. 胶体的丁铎尔效应C. 胶团有溶剂化膜D. 胶粒带电和胶团有溶剂化膜解:选D。
溶胶具有动力学稳定性和聚结稳定性,而聚结稳定性是溶胶稳定的根本原因,它包含两个方面,胶粒带有相同电性的电荷,当靠近时会产生静电排斥,阻止胶粒聚结合并;而电位离子和反离子形成的溶剂化膜,也会阻隔胶粒的聚结合并。
由于纯化的Fe(OH)3溶胶具有这种聚结稳定性,从而可以存放数年而不聚沉。
第1章思考题与习题参考答案一、选择题1.等压下加热5%的下列水溶液,最先沸腾的是()A. 蔗糖(C12H22O11)溶液B. 葡萄糖(C6H12O6)溶液C. 丙三醇(C 3H8O3)溶液D. 尿素((NH2)2 CO)溶液解:选D。
在等压下,最先沸腾就是指溶液的蒸气压最低。
根据难挥发非电解质稀溶液的依数性变化规律,溶液质量摩尔浓度增大,溶液的蒸气压下降。
这里,相同质量分数下,溶质的摩尔质量越小,质量摩尔浓度越大。
选项D中非电解质尿素的摩尔质量最小,尿素溶液的质量摩尔浓度最大,蒸气压最低,在等压下最先沸腾。
2.0.1mol·kg-1下列水溶液中凝固点最低的是()A. NaCl溶液B. C12H22O11溶液C. HAc溶液D. H2SO4溶液解:选D。
电解质溶液的依数性虽然不能用拉乌尔定律进行统一的定量计算,但仍然可以参照难挥发非电解质稀溶液的依数性进行定性描述。
即溶质的粒子数目增大,会引起溶液的蒸气压降低,沸点升高,凝固点下降和溶液的渗透压增大。
此题中,在相同质量摩尔浓度下,溶液中的粒子数目估算出来是H2SO4溶液最多,所以其凝固点最低。
3.胶体溶液中,决定溶胶电性的物质是()A. 胶团B. 电位离子C. 反离子D. 胶粒解:选D。
根据胶团结构,胶核和吸附层的整体称为胶粒,胶粒中反离子数比电位离子数少,故胶粒所带电荷与电位离子符号相同。
即胶粒带电,溶胶电性由胶粒决定。
4.溶胶具有聚结不稳定性,但经纯化后的Fe(OH)3溶胶可以存放数年而不聚沉,其原因是( )A. 胶体的布朗运动B. 胶体的丁铎尔效应C. 胶团有溶剂化膜D. 胶粒带电和胶团有溶剂化膜解:选D 。
溶胶具有动力学稳定性和聚结稳定性,而聚结稳定性是溶胶稳定的根本原因,它包含两个方面,胶粒带有相同电性的电荷,当靠近时会产生静电排斥,阻止胶粒聚结合并;而电位离子和反离子形成的溶剂化膜,也会阻隔胶粒的聚结合并。
由于纯化的Fe(OH)3溶胶具有这种聚结稳定性,从而可以存放数年而不聚沉。
第二章 原子结构和元素周期律 习题解答1.简单说明四个量子数的物理意义和量子化条件。
2.定性画出s, p, d 所有等价轨道的角度分布图。
3.下列各组量子数哪些是不合理的?为什么?(1)2, 1, 0n l m ===; (2)2, 2, 1n l m ===-;(3) 3, 0, 0n l m ===; (4)3, 1, 1n l m ===+;(5)2, 0, 1n l m ===-;(6)2, 3, 2n l m ===+。
解 (2),(5),(6)组不合理。
因为量子数的取值时要求l < n ,m ≤ l 。
4.用合理的量子数表示(1)3d 能级;(2)2p z 原子轨道;(3)4s 1电子。
解 (1)3d 能级的量子数为:n = 3,l = 2。
(2)2p z 原子轨道的量子数为:n = 2,l = 1,m = 0。
(3)4s 1电子的量子数为:n = 4,l = 0,m = 0,m s =12+。
5.在下列各组量子数中,恰当填入尚缺的量子数。
(1) n =?,l =2,m =0,m s = +1/2; (2) n =2,l =?,m =-1,m s =-1/2; (3) n =4,l =2,m =0,m s = ?; (4) n =2,l =0,m =?,m s = +1/2。
解 (1)n ≥ 3正整数; (2)l = 1; (3)m s = +½(或-½); (4)m = 0。
6.下列轨道中哪些是等价轨道?x x x y z 2s, 3s, 3p , 4p , 2p , 2p , 2p 。
解 对氢原子: (n 相同)(x y z 2s, 2p , 2p , 2p );(x 3s, 3p 3s ,3p x )。
对多电子原子:(n 、l 相同)(x y z 2p , 2p , 2p )。
7.下列各元素原子的电子分布式各自违背了什么原理?请加以改正。
第2章 习题答案2-1苯和氧按下式反应:C 6H 6(l) + 215O 2(g) → 6CO 2(g) + 3H 2O(l) 在25℃,100kPa 下,0.25mol 苯在氧气中完全燃烧放出817kJ 的热量,求C 6H 6的标准摩尔燃烧焓∆c H m 和燃烧反应的∆r U m 。
解: ξ = νB -1∆n B = (-0.25mol)/( -1) = 0.25mol∆c H m =∆r H m = ξH r ∆= -817 kJ/0.25mol= -3268 kJ ⋅mol -1∆r U m = ∆r H m -∆n g RT= -3268kJ ⋅mol -1-(6-15/2)⨯8.314⨯10-3⨯298.15kJ ⋅mol -1= -3264kJ ⋅mol -12-3已知下列化学反应的反应热:(1)C 2H 2(g) + 5/2O 2(g) → 2CO 2(g) + H 2O(g); ∆r H m = -1246.2 kJ ⋅mol -1(2) C(s) + 2H 2O(g) → CO 2(g) + 2H 2(g); ∆r H m = +90.9 kJ ⋅mol -1(3)2H 2O(g) → 2H 2(g) + O 2(g); ∆r H m = +483.6 kJ ⋅mol -1求乙炔(C 2H 2,g)的生成热 ∆f H m 。
解:反应2⨯(2)-(1)-2.5⨯(3)为:2C(s)+H 2(g)→C 2H 2(g)∆f H m (C 2H 2,g)=∆r H m =2⨯∆r H m (2)-∆r H m (1)- 2.5∆r H m (3)=[2⨯90.9-(-1246.2) -2.5⨯483.6] kJ ⋅mol -1=219.0 kJ ⋅mol -12-5计算下列反应在298.15K 的∆r H m ,∆r S m 和∆r G m ,并判断哪些反应能自发向右进行。
(1) 2CO(g)+O 2(g)→2CO 2(g)(3) Fe 2O 3(s)+3CO(g)→2Fe(s)+3CO 2(g)解:(1) ∆r H m = [2⨯(-393.509) -2⨯(-110.525)] kJ ⋅mol -1 = -565.968 kJ ⋅mol -1∆r S m = [2⨯213.74 -2⨯197.674 - 205.138] J ⋅mol -1⋅K -1 = -173.01 J ⋅mol -1⋅K -1∆r G m = [2⨯(-394.359) -2⨯(-137.168)] kJ ⋅mol -1 = -514.382kJ ⋅mol -1(3) ∆r H m = [3⨯(-393.509) -3⨯(-110.525) -(-824.2)] kJ ⋅mol -1 = -24.8 kJ ⋅mol -1∆r S m =[2⨯27.28+3⨯213.74-3⨯197.674 - 87.4]J ⋅mol -1⋅K -1 =15.4 J ⋅mol -1⋅K -1∆r G m = [3⨯(-394.359) -3⨯(-137.168) -(-742.2)] kJ ⋅mol -1 = -29.6kJ ⋅mol -1∆r G m 均小于零,反应均为自发反应。
第一章 气体与溶液2、 解:根据理想气体状态方程:nRT V p =可得: RTpV M n ==m 则: mol /0.160.250L101.3kPa K 298K mol L kPa 315.8164.0-11g g pV mRT M ≈⨯⨯⋅⋅⋅⨯==- 该的相对分子质量为16、04、 解:由题意可知,氮气为等温变化,氧气为等容变化kPa 92.350.0mL2.00mL kPa 0.98211N 2=⨯==V V p p kPa 45.43333K 732kPa 0.53121O 2=⨯==K T T p p 根据道尔顿分压定律:kPa 4.4792.345.4322O N ≈+=+=p p p 总7、 解: T =(273+15)K = 288K; p 总 =100kPa; V =1、20L288K 时,p (H 2O)=1、71kPaM (Zn)=65、39则 p 氢气= (100-1、71)kPa = 98、29kPamol 0493.0K288K mol L 8.315kPa L 20.18.29kPa 911-=⨯⋅⋅⋅⨯==-RT pV n 氢气 根据: Zn(s) + 2HCl → ZnCl 2 + H 2(g)65、39g 1molm (Zn)=? 0、0493mol解得m (Zn)=3、22g则杂质的质量分数 w (杂质) = (3、45-3、22)/ 3、45 = 0、06714、 解:因溶液很稀,可设ρ ≈1 g·mL -1(1) 14113L m ol 1054.1K293K m ol L kPa 315.8kPa 10375-----⋅⨯=⋅⋅⋅⋅⨯=∏=RT c (2) mol g LL g cV m n m M /1069.6mol 1054.1010.50515.04143⨯=⋅⨯⨯⨯===--- 血红素的相对分子质量为41069.6⨯(3) K 1086.2kg mol 1054.1mol kg K 86.14141----⨯=⋅⨯⨯⋅⋅=⋅=∆b K T f f K 1088.7kg mol 1054.1mol kg K 512.05141----⨯=⋅⨯⨯⋅⋅=⋅=∆b K T b b(4)由于沸点升高与凝固点下降的值太小,测量误差很大,所以这两种方法不适用。
一、选择题在给出的4个选项中,请选出1个正确答案。
1. 下列物质中,不适宜做配体的是()A. S2O32-B. H2OC. Br-D. NH4+解:选D。
NH4+中的N没有孤对电子。
2. 下列配离子中,属于外轨配合物的是()A. [FeF6]3-B. [Cr(NH3) 6]3+C. [Au(Cl)4]-D. [Ni(CN)4] 2-解:选A, [FeF6]3-中心原子Fe3+采用sp3d2轨道进行杂化。
3. 测得[Co(NH3) 6]3+磁矩μ=0.0B.M ,可知C O3+离子采取的杂化类型是()A. sp3B. dsp2C. d2sp3D. sp3d2解:选C 。
C O3+价电子构型是3d6, 由磁矩μ=0.0B.M可以推断:该配合物中没有未成对的电子,在形成配合物时C O3+3d轨道上的电子先经过重排,再采取d2sp3轨道杂化,与配体成键。
4. 下列物质中具有顺磁性的是()A. [Zn(NH3)4]2+B. [Cu(NH3) 4]2+C. [Fe(CN)6]4-D. [Ag(NH3) 2] +解:选B。
Cu2+的价电子构型是3d9,在形成配合物时采用dsp2杂化,有1个未成对的电子存在,所以是顺磁性的。
5. 下列物质中能作为螫合剂的是()A. NO-OHB. (CH3)2N-NH2C. CNS-D. H2N-CH2-CH2-CH2-NH2解:选D,其分子中两个N原子作为配位原子可以提供孤对电子,而且它们相距3个原子,可同时与一个中心原子配位形成含有六元螯环的螯合物。
6. 下列配合物能在强酸介质中稳定存在的是()A. [Ag(NH3)2]+B. [FeCl4]—C. [Fe(C2O4)3]3—D. [Ag(S2O3)2]3-解:选B。
Cl-在强酸中存在形式不变,对配合物的稳定性影响不大;而NH3、C2O42-在强酸介质中会形成难电离的弱酸,S2O32-与强酸反应会分解为硫和亚硫酸,后者又分解为二氧化硫和水,因此相应的配合物在强酸介质中会发生解离,稳定性降低。
第一章物质结构基础1-1.简答题(1) 不同之处为:原子轨道的角度分布一般都有正负号之分,而电子云角度分布图均为正值,因为Y平方后便无正负号了;除s轨道的电子云以外,电子云角度分布图比原子轨道的角度分布图要稍“瘦”一些,这是因为︱Y︱≤ 1,除1不变外,其平方后Y2的其他值更小。
(2) 几率:电子在核外某一区域出现的机会。
几率密度:电子在原子核外空间某处单位体积内出现的几率,表示微粒波的强度,用电子云表示。
(3) 原子共价半径:同种元素的两个原子以共价单键连接时,它们核间距离的一半。
金属半径:金属晶体中相邻两个金属原子核间距离的一半。
范德华半径:分子晶体中相邻两个分子核间距离的一半。
(4) BF3分子中B原子采用等性sp2杂化成键,是平面三角形;而NF3分子中N原子采用不等性sp3杂化,是三角锥形。
(5)分子式,既表明物质的元素组成,又表示确实存在如式所示的分子,如CO2、C6H6、H2;化学式,只表明物质中各元素及其存在比例,并不表明确实存在如式所示的分子,如NaCl、SiO2等;分子结构式,不但表明了物质的分子式,而且给出了分子中各原子的具体联接次序和方式,像乙酸的结构式可写为C HH HC OO H其结构简式可记为CH 3COOH 。
1-2解 1错;2错;3对;4对;5对;6错。
7对;8错;9对 10错;11错;12错。
1-3 波动性;微粒性1-4. 3s=3p=3d=4s ;3s< 3p< 4s <3d ;3s< 3p< 3d< 4s ; 1-5 32;E 4s < E 4p < E 4d < E 4f ; 第六周期;La 系;2;铈(Ce) 1-6 HF>HCl>HBr>HI ;HF>HCl>HBr>HI;HF<HCl<HBr<HI;HF>HI>HBr>HCl 。
第1章思考题与习题参考答案一、选择题1.等压下加热5%的下列水溶液,最先沸腾的是()A. 蔗糖(C12H22O11)溶液B. 葡萄糖(C6H12O6)溶液C. 丙三醇(C 3H8O3)溶液D. 尿素((NH2)2 CO)溶液解:选D。
在等压下,最先沸腾就是指溶液的蒸气压最低。
根据难挥发非电解质稀溶液的依数性变化规律,溶液质量摩尔浓度增大,溶液的蒸气压下降。
这里,相同质量分数下,溶质的摩尔质量越小,质量摩尔浓度越大。
选项D中非电解质尿素的摩尔质量最小,尿素溶液的质量摩尔浓度最大,蒸气压最低,在等压下最先沸腾。
2.0.1mol·kg-1下列水溶液中凝固点最低的是()A. NaCl溶液B. C12H22O11溶液C. HAc溶液D. H2SO4溶液解:选D。
电解质溶液的依数性虽然不能用拉乌尔定律进行统一的定量计算,但仍然可以参照难挥发非电解质稀溶液的依数性进行定性描述。
即溶质的粒子数目增大,会引起溶液的蒸气压降低,沸点升高,凝固点下降和溶液的渗透压增大。
此题中,在相同质量摩尔浓度下,溶液中的粒子数目估算出来是H2SO4溶液最多,所以其凝固点最低。
3.胶体溶液中,决定溶胶电性的物质是()A. 胶团B. 电位离子C. 反离子D. 胶粒解:选D。
根据胶团结构,胶核和吸附层的整体称为胶粒,胶粒中反离子数比电位离子数少,故胶粒所带电荷与电位离子符号相同。
即胶粒带电,溶胶电性由胶粒决定。
4.溶胶具有聚结不稳定性,但经纯化后的Fe(OH)3溶胶可以存放数年而不聚沉,其原因是()A. 胶体的布朗运动B. 胶体的丁铎尔效应C. 胶团有溶剂化膜D. 胶粒带电和胶团有溶剂化膜解:选D。
溶胶具有动力学稳定性和聚结稳定性,而聚结稳定性是溶胶稳定的根本原因,它包含两个方面,胶粒带有相同电性的电荷,当靠近时会产生静电排斥,阻止胶粒聚结合并;而电位离子和反离子形成的溶剂化膜,也会阻隔胶粒的聚结合并。
由于纯化的Fe(OH)3溶胶具有这种聚结稳定性,从而可以存放数年而不聚沉。
第1章思考题与习题参考答案一、选择题1.等压下加热5%的下列水溶液,最先沸腾的是()A. 蔗糖(C12H22O11)溶液B. 葡萄糖(C6H12O6)溶液C. 丙三醇(C 3H8O3)溶液D. 尿素((NH2)2 CO)溶液解:选D。
在等压下,最先沸腾就是指溶液的蒸气压最低。
根据难挥发非电解质稀溶液的依数性变化规律,溶液质量摩尔浓度增大,溶液的蒸气压下降。
这里,相同质量分数下,溶质的摩尔质量越小,质量摩尔浓度越大。
选项D中非电解质尿素的摩尔质量最小,尿素溶液的质量摩尔浓度最大,蒸气压最低,在等压下最先沸腾。
2.0.1mol·kg-1下列水溶液中凝固点最低的是()A. NaCl溶液B. C12H22O11溶液C. HAc溶液D. H2SO4溶液解:选D。
电解质溶液的依数性虽然不能用拉乌尔定律进行统一的定量计算,但仍然可以参照难挥发非电解质稀溶液的依数性进行定性描述。
即溶质的粒子数目增大,会引起溶液的蒸气压降低,沸点升高,凝固点下降和溶液的渗透压增大。
此题中,在相同质量摩尔浓度下,溶液中的粒子数目估算出来是H2SO4溶液最多,所以其凝固点最低。
3.胶体溶液中,决定溶胶电性的物质是()A. 胶团B. 电位离子C. 反离子D. 胶粒解:选D。
根据胶团结构,胶核和吸附层的整体称为胶粒,胶粒中反离子数比电位离子数少,故胶粒所带电荷与电位离子符号相同。
即胶粒带电,溶胶电性由胶粒决定。
4.溶胶具有聚结不稳定性,但经纯化后的Fe(OH)3溶胶可以存放数年而不聚沉,其原因是()A. 胶体的布朗运动B. 胶体的丁铎尔效应C. 胶团有溶剂化膜D. 胶粒带电和胶团有溶剂化膜解:选D。
溶胶具有动力学稳定性和聚结稳定性,而聚结稳定性是溶胶稳定的根本原因,它包含两个方面,胶粒带有相同电性的电荷,当靠近时会产生静电排斥,阻止胶粒聚结合并;而电位离子和反离子形成的溶剂化膜,也会阻隔胶粒的聚结合并。
由于纯化的Fe(OH)3溶胶具有这种聚结稳定性,从而可以存放数年而不聚沉。
第二章习 题 解 答基本题2-1 苯和氧按下式反应:C 6H 6(l) + 215O 2(g) → 6CO 2(g) + 3H 2O(l) 在25℃100kPa 下,0.25mol 苯在氧气中完全燃烧放出817kJ 的热量,求C 6H 6的标准摩尔燃烧焓∆c H m 和该燃烧反应的∆r U m 。
解: ξ = νB -1∆n B = (-0.25 mol) / ( -1) = 0.25 mol∆c H m = ∆r H m = = -817 kJ / 0.25 mol= -3268 kJ ⋅mol -1∆r U m = ∆r H m - ∆n g RT= -3268 kJ ⋅mol -1 - (6 -15 / 2) ⨯ 8.314 ⨯ 10-3 ⨯ 298.15 kJ ⋅mol -1= -3264 kJ ⋅mol -12-2 利用附录III 的数据,计算下列反应的∆r H m 。
(1) Fe 3O 4(s) + 4H 2(g) → 3Fe(s) + 4H 2O(g)(2) 2NaOH(s) + CO 2(g) → Na 2CO 3(s) + H 2O(l)(3) 4NH 3(g) + 5O 2(g) → 4NO(g) + 6H 2O(g)(4) CH 3COOH(l) + 2O 2(g) → 2CO 2(g) + 2H 2O(l)解: (1) ∆r H m = [4 ⨯ (-241.818) - (-1118.4)] kJ ⋅mol -1= 151.1 kJ ⋅mol -1(2) ∆r H m = [(-285.830) + (-1130.68) - (-393.509) - 2 ⨯ (-425.609)] kJ ⋅mol -1= -171.78 kJ ⋅mol -1(3) ∆r H m = [6 ⨯ (-241.818) + 4 ⨯ 90.25 - 4 ⨯ (-46.11)] kJ ⋅mol -1= -905.5 kJ ⋅mol -1(4) ∆r H m = [2(-285.830) + 2(-393.509) - (-484.5)] kJ ⋅mol -1= -874.1 kJ ⋅mol -12-3 已知下列化学反应的标准摩尔反应焓变,求乙炔(C 2H 2,g)的标准摩尔生成焓∆ f H m 。
第一章 气体和溶液2. 解:根据理想气体状态方程:nRT V p =可得: RTpV M n ==m 则: mol /0.160.250L101.3kPa K 298K mol L kPa 315.8164.0-11g g pV mRT M ≈⨯⨯⋅⋅⋅⨯==- 该的相对分子质量为16.04. 解:由题意可知,氮气为等温变化,氧气为等容变化kPa 92.350.0mL2.00mL kPa 0.98211N 2=⨯==V V p p kPa 45.43333K 732kPa 0.53121O 2=⨯==K T T p p 根据道尔顿分压定律:kPa 4.4792.345.4322O N ≈+=+=p p p 总7. 解: T =(273+15)K = 288K ; p 总 =100kPa ; V =1.20L288K 时,p (H 2O)=1.71kPaM (Zn)=65.39则 p 氢气= (100-1.71)kPa = 98.29kPamol 0493.0K288K mol L 8.315kPa L 20.18.29kPa 911-=⨯⋅⋅⋅⨯==-RT pV n 氢气 根据: Zn(s) + 2HCl → ZnCl 2 + H 2(g)65.39g 1molm (Zn)=? 0.0493mol解得m (Zn)=3.22g则杂质的质量分数 w (杂质) = (3.45-3.22)/ 3.45 = 0.06714. 解:因溶液很稀,可设ρ ≈1 g·mL -1(1) 14113L m ol 1054.1K293K m ol L kPa 315.8kPa 10375-----⋅⨯=⋅⋅⋅⋅⨯=∏=RT c (2) mol g LL g cV m n m M /1069.6mol 1054.1010.50515.04143⨯=⋅⨯⨯⨯===--- 血红素的相对分子质量为41069.6⨯(3) K 1086.2kg mol 1054.1mol kg K 86.14141----⨯=⋅⨯⨯⋅⋅=⋅=∆b K T f f K 1088.7kg mol 1054.1mol kg K 512.05141----⨯=⋅⨯⨯⋅⋅=⋅=∆b K T b b(4)由于沸点升高和凝固点下降的值太小,测量误差很大,所以这两种方法不适用。
第二章 化学热力学初步15. 答:(1)错;(2)错;(3)错,可改为:0<∆G r 的反应都能自发进行;(4)错,温度高于0K 时0θ>∆m S ;(5)错,如反应S H S H 22+→的0θ<∆m r S17. 答(1)0,0θθ>∆>∆m r m r S H ,高温下自发(2)0,0θθ<∆<∆m r m r S H ,低温下自发(3)0,0θθ>∆<∆m r m r S H 任何温度下都自发22. 解:(1) (g) OH H (l) OH H C 5252C →)mol kJ /(1θf -⋅∆m H -277.6 -235.3)K mol J /(11θ--⋅⋅m S 161 282K 350K mol J 121mol kJ 3.42111θr θr =⋅⋅⋅=∆∆=---mm b S H T (实测沸点78.3℃) (2) Br(g) (l)Br →)mol kJ /(1θf -⋅∆m H 0 30.91)K mol J /(11θ--⋅⋅m S 152.2 245.35 K 332K mol 3.15J 9mol 0.91kJ 3111θr θr =⋅⋅⋅=∆∆=---mm b S H T (实测沸点58.76℃) 24. 解:(1)标准态下)()()(O H 10SO Na SO Na g)O H (10242422θ⋅∆-∆+∆=∆=∆∑θθθθm f m f m f m f i m r G G G G v G = -2286+(-1267)-(-3644)= 91kJ/mol > 0正向非自发,不风化(1)60%相对湿度条件下,p H2O = 0.6*3.17kPa= 1.90 kPakPa100kPa 9.1ln 10298K mol kJ 315.8mol kJ 91ln 1-11θ⨯⨯⨯⋅⋅+⋅=+∆=∆--K Q RT G G m r m r = (91-98.2)kJ/mol = -7.2 kJ/mol <0正向自发,风化第三章7. 解:(2)*2- (1)得:(g)4NO 3O O(g)2N 222⇔+ (3)则反应(3)的标准平衡常数:6.1108.4108.88.8)(3738θ12θ2θ≈⨯⨯⨯==--K K K 8. 答:(1):减小,因增大容器体积导致物质浓度降低,平衡向分子数增加的方向移动(2):增大,生成物浓度增大,平衡左移(3):增大,增加的氧气不能完全消耗(4):减小,生成物浓度增大,平衡左移(5):增大,减小容器体积导致物质浓度增大,平衡向分子数减小的方向移动(6):增大,氯气摩尔数增大(7):不变,温度不变,平衡常数为定值(8):增大,吸热反应,升高温度,平衡常数增大(9):增大,平衡常数增大,平衡右移,且等容条件下升高温度气体压力增大(10):不变,反应物与生成物分压均不变(10):不变,催化剂不影响平衡的移动12. 解:(1)设平衡时NO 2与N 2O 4的分压分别为θxp 和θ)4(p x -,则:041/)4()/(2θθ2θθ=-+⇒=-x x pp x p xp 解得2)4(14112-⨯⨯-±-=x 取有意义值,得 x = 1.56N 2O 4解离百分率=%2.24%1002/56.142/56.1=⨯- (2)设平衡时NO 2与N 2O 4的分压分别为θxp 和θ)10(p x -,则:0101/)10()/(2θθ2θθ=-+⇒=-x x pp x p xp 解得2)10(14112-⨯⨯-±-=x 取有意义值,得 x = 2.7N 2O 4解离百分率=%6.15%1002/7.2102/7.2=⨯- 解释:增大总压,平衡向分子数减小方向移动,因此N 2O 4解离百分率降低13. 解:根据反应方程式及题意:(g)H (g)CO O(g)H CO(g)222+⇔+平衡时各气体分压为: θxp θyp θ9xp θ9xp反应前各气体分压为: θ10xp θθ9xp yp + 0 0则: 5.6)/)(/()/9(θθθθ2θθ=p yp p xp p xp 解得:08.0=yx 初始混合比例为465.0)908.01(:)1008.0(:2=⨯+⨯=O H CO n n14. 解:由平衡常数与温度的关系可得:)(ln 2112θθ1θ2T T T T R H K K r -∆= 代入数据得:)298K773K 298K 773K (K mol 8.315J mol 1000J 92101.6ln 1115θ2⨯-⨯⋅⋅⋅⨯-=⨯---K 解得5θ2102.7-⨯=K第四章1,2,3,4,8,11,14,22,27,321. 全错4. -2322-22-H 22H 23COOCH N H COOH CH N H COO CH N H COOH CH N H COOH CH N H --↔----−→−--−−−←--+++++ 14. 两性物质根据'][H θθa a K K ⋅=+确定其余:强碱弱酸盐显碱性强酸弱碱盐显酸性强酸强碱盐显中性22. (1)三种弱酸的pK a 值分别为:6.19,4.85,4.75,其中二甲基砷酸的pK a 值最接近6.50,因而用该酸配制pH 为6.50的缓冲溶液最合适;(2)根据 弱酸共轭碱c lg pK pH a c += 解得2c =弱酸共轭碱c ,共轭碱由弱酸与氢氧化钠反应转化而来, 因此二甲基砷酸的质量g 138L 1m ol 1L m ol 138g 1-1=⋅⨯⨯=-氢氧化钠质量g 8.26L m ol 67.01L m ol g 041-1=⋅⨯⨯=-27. 解:(1)混合后1L 0.10m ol (HAc))Ag (-+⋅==c c35θ-1032.11.01076.1][Ac --⨯=⨯⨯=⋅=c K b)AgAc (1032.11032.11.0]][Ac [Ag 43-θsp K Q <⨯=⨯⨯==--+所以混合后无AgAc 沉淀生成(2)加入NaAc ,溶液中HAc 解离产生的Ac -可以忽略,1.7g NaAc 完全解离产生的Ac -浓度:[Ac -]=0.10mol L -1,)AgAc (100.110.010.0]][Ac [Ag 2-θsp K Q >⨯=⨯==-+有AgAc 沉淀生成溶液的pH=pKa=4.75, 10-106.5][OH -⨯=-810-101.52)AgOH (106.510.0]][OH [Ag ⨯=<⨯⨯==-+θsp K Q无AgOH 沉淀生成,随着AgAc 沉淀生成,[Ag +]减小,AgOH 沉淀更不可能生成。
32. 解:反应式为:423324SO Na BaCO CO Na BaSO +→+2232434103.1][CO ][SO )BaCO ()BaSO (---⨯===θθθsp sp K K K 设每次处理后溶液中的硫酸根离子浓度为x, 则: 2103.1x-1.6-⨯=x , 解得x=0.0205l L -1,则每次处理硫酸钡溶解量为0.0205mol 需要处理的次数=0.1/0.0205=4.87, 取整数,为5次。