2014年成人高考 专升本 高等数学 公式手册 最全
- 格式:pdf
- 大小:155.12 KB
- 文档页数:15
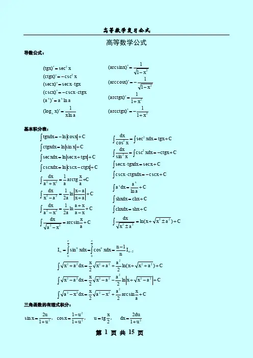
专升本高等数学公式大全导数公式:基本积分表:三角函数的有理式积分:ax x a a a ctgx x x tgx x x x ctgx x tgx a x x ln 1)(log ln )(csc )(csc sec )(sec csc )(sec )(22='='⋅-='⋅='-='='222211)(11)(11)(arccos 11)(arcsin x arcctgx x arctgx x x x x +-='+='--='-='⎰⎰⎰⎰⎰⎰⎰⎰⎰⎰+±+=±+=+=+=+-=⋅+=⋅+-==+==Ca x x a x dx C shx chxdx C chx shxdx Ca a dx a Cx ctgxdx x Cx dx tgx x Cctgx xdx x dx C tgx xdx x dx xx)ln(ln csc csc sec sec csc sin sec cos 22222222C axx a dx C x a xa a x a dx C a x ax a a x dx C a xarctg a x a dx Cctgx x xdx C tgx x xdx Cx ctgxdx C x tgxdx +=-+-+=-++-=-+=++-=++=+=+-=⎰⎰⎰⎰⎰⎰⎰⎰arcsin ln 21ln 211csc ln csc sec ln sec sin ln cos ln 22222222⎰⎰⎰⎰⎰++-=-+-+--=-+++++=+-===-Cax a x a x dx x a Ca x x a a x x dx a x Ca x x a a x x dx a x I nn xdx xdx I n n nn arcsin 22ln 22)ln(221cos sin 2222222222222222222222ππ222212211cos 12sin u dudx x tg u u u x u u x +==+-=+=, , , 一些初等函数: 两个重要极限:三角函数公式: ·诱导公式:·和差角公式: ·和差化积公式:2sin2sin 2cos cos 2cos2cos 2cos cos 2sin2cos 2sin sin 2cos2sin2sin sin βαβαβαβαβαβαβαβαβαβαβαβα-+=--+=+-+=--+=+αββαβαβαβαβαβαβαβαβαβαβαctg ctg ctg ctg ctg tg tg tg tg tg ±⋅=±⋅±=±=±±=±1)(1)(sin sin cos cos )cos(sin cos cos sin )sin( xxarthx x x archx x x arshx e e e e chx shx thx e e chx e e shx x xxx xx xx -+=-+±=++=+-==+=-=----11ln21)1ln(1ln(:2:2:22)双曲正切双曲余弦双曲正弦...590457182818284.2)11(lim 1sin lim 0==+=∞→→e xxx x x x·倍角公式:·半角公式:ααααααααααααααααααcos 1sin sin cos 1cos 1cos 12cos 1sin sin cos 1cos 1cos 122cos 12cos 2cos 12sin -=+=-+±=+=-=+-±=+±=-±=ctg tg·正弦定理:R CcB b A a 2sin sin sin === ·余弦定理:C ab b a c cos 2222-+=·反三角函数性质:arcctgx arctgx x x -=-=2arccos 2arcsin ππ高阶导数公式——莱布尼兹(Leibniz )公式:)()()()2()1()(0)()()(!)1()1(!2)1()(n k k n n n n nk k k n k n n uv v u k k n n n v u n n v nu v u v u C uv +++--++''-+'+==---=-∑中值定理与导数应用:拉格朗日中值定理。
成人高考专升本高等数学公式大全1.代数基本公式:-平方差公式:$a^2-b^2=(a+b)(a-b)$-三角恒等式:- 正弦定理:$\frac{a}{\sin A}=\frac{b}{\sin B}=\frac{c}{\sin C}$- 余弦定理:$c^2 = a^2 + b^2 - 2ab\cos C$- 正弦余弦定理:$\sin^2 A + \cos^2 A = 1$- 二项式定理:$(a + b)^n = \sum_{k=0}^{n}\binom{n}{k}a^{n-k}b^k$2.函数与极限公式:-导数的四则运算:- $(u \pm v)' = u' \pm v'$- $(uv)' = u'v + uv'$- $\left(\frac{u}{v}\right)' = \frac{u'v - uv'}{v^2}$- 泰勒公式:$f(x) = f(a) + f'(a)(x - a) + \frac{f''(a)(x - a)^2}{2!} + \cdots$-常用极限:- $\lim_{x \to 0}\frac{\sin x}{x} = 1$- $\lim_{x \to \infty}(1 + \frac{1}{x})^x = e$- $\lim_{x \to \infty}(1 + \frac{k}{x})^x = e^k$- $\lim_{n \to \infty}(1 + \frac{x}{n})^n = e^x$3.微分公式:-求导法则:-$(c)'=0$- $(x^n)' = nx^{n-1}$-$(e^x)'=e^x$- $(\ln x)' = \frac{1}{x}$-高阶导数:-$(f(x)g(x))''=f''(x)g(x)+2f'(x)g'(x)+f(x)g''(x)$-$(f(g(x)))''=f''(g(x))(g'(x))^2+f'(g(x))g''(x)$-微分运算法则:- $\frac{d(u \pm v)}{dx} = \frac{du}{dx} \pm \frac{dv}{dx}$ - $\frac{d(kv)}{dx} = k\frac{dv}{dx}$- $\frac{d(uv)}{dx} = u\frac{dv}{dx} + v\frac{du}{dx}$- $\frac{d(\frac{u}{v})}{dx} = \frac{v\frac{du}{dx} -u\frac{dv}{dx}}{v^2}$4.积分公式:-不定积分法则:- $\int k \,dx = kx + C$- $\int x^n \,dx = \frac{x^{n+1}}{n+1} + C, (n \neq -1)$- $\int e^x \,dx = e^x + C$- $\int \frac{1}{x} \,dx = \ln ,x, + C$-定积分法则:- $\int_a^b kf(x) \,dx = k\int_a^b f(x) \,dx$- $\int_a^b [f(x) + g(x)] \,dx = \int_a^b f(x) \,dx +\int_a^b g(x) \,dx$- $\int_a^b (f(x) - g(x)) \,dx = \int_a^b f(x) \,dx -\int_a^b g(x) \,dx$5.级数公式:-等比级数求和:$S_n = \frac{a(1-q^n)}{1-q}$,其中 $S_n$ 是前n 项和,a 是首项,q 是公比。
专升本高等数学公式全集在高等数学中,有许多重要的公式需要掌握。
下面是一些常用的高等数学公式全集:1.点与直线公式:1)点到直线的距离公式:设直线方程为Ax+By+C=0,点P(x0,y0)为直线外一点,则点P到直线的距离为d=,Ax0+By0+C,/√(A^2+B^2)。
2)点到直线的垂足坐标公式:设直线方程为Ax+By+C=0,点P(x0,y0)为直线外一点,点Q(x1,y1)为点P到直线的垂足,则x1=(B^2*x0-A*B*y0-A*C)/(A^2+B^2),y1=(-A*B*x0+A^2*y0-B*C)/(A^2+B^2)。
2.导数的四则运算:1)和差法则:(f+g)'=f'+g',(f-g)'=f'-g'。
2)积法则:(f*g)'=f'*g+f*g'。
3)商法则:(f/g)'=(f'*g-f*g')/g^24)复合函数法则:(f(g(x)))'=f'(g(x))*g'(x)。
3.不定积分的基本公式:1)幂函数不定积分公式:∫x^n dx = (x^(n+1)) / (n+1) + C,其中n不等于-12)指数函数不定积分公式:∫a^x dx = (a^x) / ln(a) + C,其中a为常数且a不等于13)三角函数不定积分公式:∫sin x dx = -cos x + C,∫cos x dx = sin x + C,∫sec^2 x dx = tan x + C。
4.定积分的基本公式:1)定积分的基本公式:∫[a, b]f(x) dx = F(b) - F(a),其中F(x)为f(x)的一个原函数。
2)分部积分公式:∫[a, b]u(x)v'(x) dx = u(x)v(x)∣[a, b] -∫[a, b]u'(x)v(x) dx。
5.泰勒级数展开:若函数f(x)在x=a处具有n阶导数,则泰勒级数展开可表示为f(x)=f(a)+f'(a)(x-a)+f''(a)(x-a)^2/2!+...+f^n(a)(x-a)^n/n!+Rn(x),其中Rn(x)为余项。
高等数学公式导数公式:基本积分表:三角函数的有理式积分: 222212211cos 12sin udu dx x tg u uu x uu x +==+-=+=, , , ax x a a a ctgx x x tgx x x x ctgx xtgx a xxln 1)(logln )(csc )(csc sec )(sec csc )(sec )(22='='⋅-='⋅='-='='222211)(11)(11)(arccos 11)(arcsin xarcctgx xarctgx xx xx +-='+='--='-='⎰⎰⎰⎰⎰⎰⎰⎰⎰⎰+±+=±+=+=+=+-=⋅+=⋅+-==+==Ca x x ax dx Cshx chxdx C chx shxdx Caadx aC x ctgxdx x C x dx tgx x Cctgx xdx xdxC tgx xdx x dxxx)ln(ln csc csc sec sec cscsinsec cos 22222222Cax xa dxCx a x a ax a dx C a x a x a a x dx C ax arctg a x a dxCctgx x xdx Ctgx x xdx Cx ctgxdx C x tgxdx +=-+-+=-++-=-+=++-=++=+=+-=⎰⎰⎰⎰⎰⎰⎰⎰arcsin ln21ln 211csc ln csc sec ln sec sin ln cos ln 22222222⎰⎰⎰⎰⎰++-=-+-+--=-+++++=+-===-Ca x ax a x dx x a Ca x x a a x x dx a x C a x x a a x x dx a x I n n xdx xdx I n nnn arcsin22ln 22)ln(221cos sin22222222222222222222220ππ一些初等函数: 两个重要极限:三角函数公式: ·诱导公式:·和差角公式: ·和差化积公式:2sin2sin2cos cos 2cos 2cos 2cos cos 2sin2cos2sin sin 2cos 2sin 2sin sin βαβαβαβαβαβαβαβαβαβαβαβα-+=--+=+-+=--+=+αββαβαβαβαβαβαβαβαβαβαβαctg ctg ctg ctg ctg tg tg tg tg tg ±⋅=±⋅±=±=±±=±1)(1)(sin sin cos cos )cos(sin cos cos sin )sin( xx arthx x x archx x x arshx ee e e chxshx thx ee chx ee shx xxx x xxxx-+=-+±=++=+-==+=-=----11ln 21)1ln(1ln(:2:2:22)双曲正切双曲余弦双曲正弦...590457182818284.2)11(lim 1sin lim==+=∞→→e xx x xx x·倍角公式:·半角公式:ααααααααααααααααααcos 1sin sin cos 1cos 1cos 12cos 1sin sin cos 1cos 1cos 122cos 12cos 2cos 12sin -=+=-+±=+=-=+-±=+±=-±=ctgtg·正弦定理:R Cc Bb Aa 2sin sin sin ===·余弦定理:C ab b a c cos 2222-+=·反三角函数性质:arcctgx arctgx x x -=-=2arccos 2arcsin ππ高阶导数公式——莱布尼兹(Leibniz )公式:)()()()2()1()(0)()()(!)1()1(!2)1()(n k k n n n n nk k k n k nn uvvuk k n n n v un n v nuv uvuCuv +++--++''-+'+==---=-∑中值定理与导数应用:拉格朗日中值定理。
高等数学公式导数公式:基本积分表:三角函数的有理式积分:222212211cos 12sin u dudx x tg u u u x u u x +==+-=+=, , , ax x a a a ctgx x x tgx x x x ctgx x tgx a x x ln 1)(log ln )(csc )(csc sec )(sec csc )(sec )(22='='⋅-='⋅='-='='222211)(11)(11)(arccos 11)(arcsin x arcctgx x arctgx x x x x +-='+='--='-='⎰⎰⎰⎰⎰⎰⎰⎰⎰⎰+±+=±+=+=+=+-=⋅+=⋅+-==+==Ca x x a x dx C shx chxdx C chx shxdx Ca a dx a Cx ctgxdx x C x dx tgx x Cctgx xdx x dx C tgx xdx x dx xx)ln(ln csc csc sec sec csc sin sec cos 22222222C axx a dx C x a xa a x a dx C a x ax a a x dx C a xarctg a x a dx Cctgx x xdx C tgx x xdx Cx ctgxdx C x tgxdx +=-+-+=-++-=-+=++-=++=+=+-=⎰⎰⎰⎰⎰⎰⎰⎰arcsin ln 21ln 211csc ln csc sec ln sec sin ln cos ln 22222222⎰⎰⎰⎰⎰++-=-+-+--=-+++++=+-===-Cax a x a x dx x a Ca x x a a x x dx a x Ca x x a a x x dx a x I nn xdx xdx I n n nn arcsin 22ln 22)ln(221cos sin 2222222222222222222222ππ一些初等函数: 两个重要极限:三角函数公式: ·诱导公式:函数 角A sin cos tg ctg -α -sinα cosα -tgα -ctgα 90°-α cosα sinαctgαtgα 90°+α cosα -sinα -ctgα -tgα 180°-α sinα-cosα -t gα-ctgα 180°+α -sinα -cosα tgα ctgα 270°-α -cosα -sinα ctgα tgα 270°+α -cosα sinα -ctgα -tgα360°-α -sinα cosα -tgα -ctgα 360°+αsinαcosαtgαctgα·和差角公式: ·和差化积公式:2sin2sin 2cos cos 2cos2cos 2cos cos 2sin2cos 2sin sin 2cos2sin2sin sin βαβαβαβαβαβαβαβαβαβαβαβα-+=--+=+-+=--+=+αββαβαβαβαβαβαβαβαβαβαβαctg ctg ctg ctg ctg tg tg tg tg tg ±⋅=±⋅±=±=±±=±1)(1)(sin sin cos cos )cos(sin cos cos sin )sin( xxarthx x x archx x x arshx e e e e chx shx thx e e chx e e shx x x xx xx xx -+=-+±=++=+-==+=-=----11ln21)1ln(1ln(:2:2:22)双曲正切双曲余弦双曲正弦...590457182818284.2)11(lim 1sin lim 0==+=∞→→e xxx x x x·倍角公式:·半角公式:ααααααααααααααααααcos 1sin sin cos 1cos 1cos 12cos 1sin sin cos 1cos 1cos 122cos 12cos 2cos 12sin -=+=-+±=+=-=+-±=+±=-±=ctg tg·正弦定理:R CcB b A a 2sin sin sin === ·余弦定理:C ab b a c cos 2222-+=·反三角函数性质:arcctgx arctgx x x -=-=2arccos 2arcsin ππ高阶导数公式——莱布尼兹(Leibniz )公式:)()()()2()1()(0)()()(!)1()1(!2)1()(n k k n n n n nk k k n k n n uv v u k k n n n v u n n v nu v u v u C uv +++--++''-+'+==---=-∑中值定理与导数应用:拉格朗日中值定理。
专升本高等数学公式(全)常数项级数: 级数审敛法:绝对收敛与条件收敛: 幂级数:函数展开成幂级数: 一些函数展开成幂级数: 可降阶的高阶微分方程类型一:()()n y f x = 解法(多次积分法):(1)()()n duu y f x f x dx -=⇒=⇒令多次积分求类型二:''(,')y f x y = 解法:'(,)dpp y f x p dx =⇒=⇒令一阶微分方程类型三:''(,')y f y y = 解法:'(,)dp dp dy dp p y p f y p dx dy dx dy =⇒==⇒⇒令类型二类型四:)()('x Q y x p y =+若Q(X)等于0,则通解为⎰=-dxx p Ce y )((一阶齐次线性)。
若不等于0,通解⎥⎦⎤⎢⎣⎡+⎰⎰=⎰-c dx e x Q e y dx x p dx x p )()()((一阶齐次非线性)。
一阶齐次非线性方程的通解是对应齐次方程的通解与它的一个特解之和。
三、线性微分方程类型一:''()'()0y P x y Q x y ++=(二阶线性齐次微分方程) 解法:找出方程的两个任意线性不相关特解:12(),()y x y x 则:1122()()()y x c y x c y x =+类型二:''()'()()y P x y Q x y f x ++=(二阶线性非齐次微分方程)解法:先找出对应的齐次微分方程的通解:31122()()()y x c y x c y x =+ 再找出非齐次方程的任意特解()p y x ,则:1122()()()()p y x y x c y x c y x =++ 类型三:'''0y py q ++=(二阶线性常系数齐次微分方程)解法(特征方程法):21,20p q λλλ++=⇒=(一)122121240x x p q y c e c e λλλλ∆=->⇒≠⇒=+(二)12120()x y c c x e λλλλ∆=⇒==⇒=+(三)12120,(cos sin )x i i y e c x c x αλαβλαβββ∆<⇒=+=-⇒=+导数公式:基本积分表:ax x a a a ctgx x x tgx x x x ctgx x tgx a x x ln 1)(log ln )(csc )(csc sec )(sec csc )(sec )(22='='⋅-='⋅='-='='222211)(11)(11)(arccos 11)(arcsin x arcctgx x arctgx x x x x +-='+='--='-='三角函数的有理式积分:一些初等函数: 两个重要极限: ·和差角公式: ·和差化积公式:⎰⎰⎰⎰⎰⎰⎰⎰⎰⎰+±+=±+=+=+=+-=⋅+=⋅+-==+==Ca x x a x dx C shx chxdx C chx shxdx Ca a dx a Cx ctgxdx x Cx dx tgx x Cctgx xdx x dx C tgx xdx x dx xx)ln(ln csc csc sec sec csc sin sec cos 22222222C axx a dx C x a xa a x a dx C a x ax a a x dx C a xarctg a x a dx Cctgx x xdx C tgx x xdx Cx ctgxdx C x tgxdx +=-+-+=-++-=-+=++-=++=+=+-=⎰⎰⎰⎰⎰⎰⎰⎰arcsin ln 21ln 211csc ln csc sec ln sec sin ln cos ln 22222222⎰⎰⎰⎰⎰++-=-+-+--=-+++++=+-===-Cax a x a x dx x a Ca x x a a x x dx a x Ca x x a a x x dx a x I nn xdx xdx I n n nn arcsin 22ln 22)ln(221cos sin 2222222222222222222222ππ2sin2sin 2cos cos 2cos2cos 2cos cos 2sin2cos 2sin sin 2cos2sin2sin sin βαβαβαβαβαβαβαβαβαβαβαβα-+=--+=+-+=--+=+αββαβαβαβαβαβαβαβαβαβαβαctg ctg ctg ctg ctg tg tg tg tg tg ±⋅=±⋅±=±=±±=±1)(1)(sin sin cos cos )cos(sin cos cos sin )sin(·倍角公式: ·半角公式: ·正弦定理:R CcB b A a 2sin sin sin === ·余弦定理:C ab b a c cos 2222-+= ·反三角函数性质:arcctgx arctgx x x -=-=2arccos 2arcsin ππ中值定理与导数应用: :空间解析几何和向量代数 多元函数微分法及应用 微分法在几何上的应用:),,(),,(),,(30))(,,())(,,())(,,(2)},,(),,,(),,,({1),,(0),,(},,{,0),,(0),,(0))(())(())(()()()(),,()()()(000000000000000000000000000000000000000000000000000z y x F z z z y x F y y z y x F x x z z z y x F y y z y x F x x z y x F z y x F z y x F z y x F n z y x M z y x F G G F F G G F F G G F F T z y x G z y x F z z t y y t x x t M t z z t y y t x x z y x M t z t y t x z y x z y x z y x yx y x x z x z z y z y -=-=-=-+-+-==⎪⎩⎪⎨⎧====-'+-'+-''-='-='-⎪⎩⎪⎨⎧===、过此点的法线方程::、过此点的切平面方程、过此点的法向量:,则:上一点曲面则切向量若空间曲线方程为:处的法平面方程:在点处的切线方程:在点空间曲线ωψϕωψϕωψϕ方向导数与梯度:多元函数的极值及其求法: 柱面坐标和球面坐标: 曲线积分:。
第一章节公式1、数列极限的四则运算法则 如果,lim ,lim B y A x n n n n ==∞→∞→那么BA y x y x n n n n n n n -=-=-∞→∞→∞→lim lim )(lim B A y x y x n n n n n n n +=+=+∞→∞→∞→lim lim )(limBA y x y x n n n n n n n .(lim ).(lim ).(lim ==∞→∞→∞→) )0(lim lim lim ≠==∞→∞→∞→B B A y x y x n n n n n n n推广:上面法则可以推广到有限..多个数列的情况。
例如,若{}na ,{}nb ,{}nc 有极限,则:n n n n n n n n n n c b a c b a ∞→∞→∞→∞→++=++lim lim lim )(lim特别地,如果C 是常数,那么CA a C a C n n n n n ==∞→∞→∞→lim .lim ).(lim2、函数极限的四算运则如果,)(lim ,)(lim B x g A x f ==那么B A x g x f x g x f ±=±=±)(lim )(lim )(lim )(limBA x g x f x g x f ⋅=⋅=⋅)(lim )(lim )(lim )(lim)0)(lim ()(lim )(lim )()(lim ≠===x g B B A x g x f x g x f推论设)(lim ),(lim ),......(lim ),(lim ),(lim 321x f x f x f x f x f n 都存在,k 为常数,n 为正整数,则有:)(lim ....)(lim )(lim )](....)()([lim 2111x f x f x f x f x f x f n n ±±±=±±)(lim )]([lim x f k x kf =nn x f x f )](lim [)]([lim =3、无穷小量的比较:.0lim ,0lim ,,==βαβα且穷小是同一过程中的两个无设);(,,0lim)1(βαβαβαo ==记作高阶的无穷小是比就说如果;),0(lim)2(同阶的无穷小是与就说如果βαβα≠=C C ;~;,1lim3βαβαβα记作是等价的无穷小量与则称如果)特殊地(= .),0,0(lim)4(阶的无穷小的是就说如果k k C C k βαβα>≠= .,lim)5(低阶的无穷小量是比则称如果βαβα∞= ,0时较:当常用等级无穷小量的比→x .21~cos 1,~1,~)1ln(,~arctan ,~tan ,~arcsin ,~sin 2x x x e x x x x x x x x x x x --+en e x e x x x n n x x x x x=+=+=+=∞→→→→)11(lim )1(lim .)11(lim .1sin lim 1000对数列有重要极限第二章节公式1.导数的定义:函数y =f (x )在x =x 0处的瞬时变化率是lim Δx →0f (x 0+Δx )-f (x 0)Δx =lim Δx →0ΔfΔx ,我们称它为函数y =f (x )在x =x 0处的导数,记作f ′(x 0)或y ′|x =x 0即f ′(x 0)=lim Δx →0f (x 0+Δx )-f (x 0)Δx.2.导数的几何意义函数f (x )在x =x 0处的导数就是切线的斜率k ,即k =lim Δx →0f (x 0+Δx )-f (x 0)Δx=f ′(x 0).3.导函数(导数)当x 变化时,f ′(x )便是x 的一个函数,我们称它为f (x )的导函数(简称导数),y =f (x )的导函数有时也记作y ′,即f ′(x )=y ′=lim Δx →0f (x +Δx )-f (x )Δx.4.几种常见函数的导数(1)c ′=0(c 为常数),(2)(x n)′=nx n -1(n ∈Z ),(3)(a x)′=a xlna(a >0,a ≠1), (e x)′=e x(4)(ln x )′=1x ,(log a x )′=1xlog a e=ax ln 1(a >0,a ≠1) (5)(sin x )′=cos x ,(6)(cos x )′=-sin x (7) x x 2cos 1)'(tan =, (8)xx 2sin 1)'(cot -= (9) )11(11)'(arcsin 2<<--=x xx , (10) )11(11)'(arccos 2<<---=x xx(11) 211)'(arctan x x +=, (12)211)'cot (x x arc +-= 5.函数的和、差、积、商的导数(u ±v )′=u ′±v ′,(uv )′=u ′v +uv ′⎝ ⎛⎭⎪⎫u v ′=u ′v -uv ′v 2,(ku )′=cu ′(k 为常数).(uvw )′=u ′vw +uv ′w + uvw ′ 微分公式:(1)为常数)c o cd ()(= 为任意实数))(a dx ax x d a a ()(21-=),1,0(ln 1)(log )3(≠>=a a dx a x d xadx x x d 1)(ln = )1,0(ln )(4≠>=a a adx a a d x x )(dxe e d x x =)(xdx x d cos )(sin )5(=xdx x d sin )(cos )6(-=(7) dx x x d 2cos 1)(tan =, (8)dx xx d 2sin 1)(cot -=(9) dx xx 211)'(arcsin -=, (10) dx xx 211)'(arccos --=(11) dx x x d 211)(arctan +=, (12) dx x x arc d 211)cot (+-=6.微分的四算运则d(u ±v )=d u ±d v , d(uv )=v du +udv)0()(2≠-=v v udvvdu v u d d(ku )=k du (k 为常数). 洛必达法则:在一定条件下通过分子分母分别求导,再求极限来确定未定式的值的方法。
导数公式:专升本高等数学公式大全2(tgx) sec x (arcsin x)(ctgx) 2 csc x(secx) secx tgx (arccosx)(cscx) cscx ctgx(a x) a x I na(arctgx) (Iog a X) 1 (arcctgx)1 1a r 2 1 X2.1 X2 1 X2基本积分表:三角函数的有理式积分:tgxdx In cosx C ctgxdx In sin x C secxdx In secx tgx Ccscxdx In cscx ctgx Cdx 2 .2 sec xdx tgx C cos xdx 2・2 csc xdx ctgx C sin xsecx tgxdx secx Cdx ~2 2 a x 1 丄x arctg C a adx x2a2dx2 2a x 丄ln|x a2a |x a1 , a x In2a a xcscx ctgxdx cscx Cxa x dx CIn ashxdx chx Cchxdx shx C异—arcsin 仝C “ a2 x2 adx 2 2 ——2 2 "( x x a ) C.x a2 2nn sin xdx ncos xdx 0 0'、 2 a dx x 2 x 2 a2x2a2 dx x ..x2a22<a2 2x dx x ■ a2 2 xI n2a . / In(x2a2I ——In x2x2 a2)2a . x arcs in C2 2 a2usinx 2,cosx1 u 2一些初等函数: 双曲正弦:shx 双曲余弦:chx 双曲正切:thxtg2,dx2du V~u\两个重要极限:xxe e2 xxe e2 x x shx e e xxchx e esin x ’ lim 1 x 0x lim(1丄广 x xe 2.718281828459045…arshx ln(x x 2 1) archx In (x x 2 1)arthx 1|n1 x2 1 三角函数公式: •诱导公式:-和差化积公式:sin( )sin coscos sin cos( )cos cossin sin、tg tgtg()1 tg tgctg()ctgctg 1ctgctg-和差角公式: sin sin sinsincos cos cos cos2sin cos — 2 2 2 cossin —222 cos cos —2 2 2 sin ------- s in ------2 2sin 2 2si n cos2 2cos2ctg2 ctg2 2ctgtg2 2tg 2•倍角公式:cos1 -半角公式: 1 1 2si n2 2cos ・2sin sin3 3si ncos3 4cos3tg33tg4sin33cos-3tg~2sin —21 cos21 coscos—21 cos21 cos sinsin 1 cosct g-1 cos sin1 cos sin 1 cos-正弦定理:,一sin A sin B 亠2Rsin C -余弦定理:b22abcosC-反三角函数性质: arcs inxarccosx arctgx arcctgx高阶导数公式一一莱布尼兹( Leibniz公式:(uv)(n)nCnU(nk 0k)v(k)u(n)v nu(n 1)v n(n 1)u2!(n 2)vn(n 1) (n kk!1) (n k)v(k)uv(n)中值定理与导数应用: 拉格朗日中值定理:柯西中值定理: f(b)f(b)f (a)f (a)F ()f ( )(b a))当F(x) x时,曲率:F(b) F(a)柯西中值定理就是拉格朗日中值定理。
专升本高等数学公式全集高等数学是专升本考试中的重要科目,掌握好相关公式是取得好成绩的关键。
以下为大家整理了一份较为全面的专升本高等数学公式,希望能对大家的学习有所帮助。
一、函数与极限1、函数的概念函数的定义:设 x 和 y 是两个变量,D 是给定的数集,如果对于每个数 x ∈ D,按照某种确定的对应关系 f,变量 y 都有唯一确定的值与之对应,则称 y 是 x 的函数,记作 y = f(x), x ∈ D。
函数的定义域:使函数有意义的自变量 x 的取值范围。
函数的值域:函数值的集合。
2、极限的概念数列的极限:对于数列{an},如果当 n 无限增大时,数列的项 an 无限趋近于一个常数 A,则称 A 为数列{an} 的极限,记作lim(n→∞)an = A。
函数的极限:当自变量x 趋近于某个值x0(或趋近于无穷大)时,函数 f(x) 趋近于一个常数 A,则称 A 为函数 f(x) 在该点的极限,记作lim(x→x0) f(x) = A 或lim(x→∞) f(x) = A。
3、极限的运算四则运算:若lim(x→x0) f(x) = A,lim(x→x0) g(x) = B,则lim(x→x0) f(x) ± g(x) = A ± Blim(x→x0) f(x) × g(x) = A × Blim(x→x0) f(x) / g(x) = A / B (B ≠ 0)无穷小量与无穷大量:无穷小量:以 0 为极限的变量。
若lim(x→x0) f(x) = 0,则称 f(x) 是x → x0 时的无穷小量。
无穷大量:绝对值无限增大的变量。
若lim(x→x0) f(x) =∞,则称f(x) 是x → x0 时的无穷大量。
无穷小量的性质:有限个无穷小量的和、差、积仍是无穷小量;无穷小量与有界量的乘积是无穷小量。
无穷小量与无穷大量的关系:在自变量的同一变化过程中,无穷大量的倒数是无穷小量,无穷小量的倒数是无穷大量。
常数项级数: 专升本高等数学公式(全)n等比数列: 1 qq 2q n 11 q1 q等差数列: 1 2 3 n ( n 1) n2调和级数: 11 1231 是发散的n级数审敛法:1、正项级数的审敛法 — —根植审敛法(柯西判1时,级数收敛 别法):设:lim nn u n ,则1时,级数发散 1时,不确定2、比值审敛法:1时,级数收敛设:limnU n 1 ,则U n1时,级数发散 1时,不确定3、定义法: s nu 1 u 2 u n ; lim ns n 存在,则收敛;否则发散。
交错级数 u 1 u 2 u 3 u 4u n(或 u n 1u 1 u 2 u 3 ,u n0) 的审敛法— —莱布尼兹定理:如果交错级数满足lim u nn,那么级数收敛且其和 s 0u 1,其余项r n 的绝对值 r n u n 1 。
绝对收敛与条件收敛:(1) u 1 u 2 u n (2) u 1u 2u 3,其中 u nu n 为任意实数;如果 ( 2)收敛,则 (1)肯定收敛,且称为绝对收敛级数;如果 ( 2)发散,而 1 (1) 收敛,则称 ( (1) 为条件收敛级数。
1) n调和级数:发散,而 n 收敛; n 级数: 1收敛; n 2p 级数: 1n pp 1时发散 p 1时收敛2 n 03幂级数:1 x x2x3xnx 1时,收敛于11 xx 1时,发散对于级数 ( 3) a 0a 1 x a x 2a xnx,如果它不是仅在原点 R 时收敛收敛,也不是在全数轴上都收敛,则必存在R ,使x R 时发散 xR 时不定,其中 R 称为收敛半径。
0时, R1求收敛半径的方法:设limna n 1a n ,其中 a n , a n 1是(3)的系数,则0时, R时, R 0函数展开成幂级数:函数展开成泰勒级数:f ( x )f ( x 0 )( xx 0 )f ( x 0 ) ( x 2!x 0 )f( n)( x ) ( x n!x 0 )余项: Rf ( n 1)( )( x x ) n1, f ( x)可以展开成泰勒级数的充要条件是:lim R(n 1)!f ( 0) 2 nnf( n )( 0)nx 00时即为麦克劳林公式:f ( x ) f ( 0) f ( 0) xx x2!n!一些函数展开成幂级数:(1 x)1 mx m( m 2!1) x m( m 1) ( m n!n 1) x( 1x 1)sin xxx x ( 1) n 12 n 1( x)3!5!( 2 n 1)!可降阶的高阶微分方程类型一: y( n )f ( x)解法(多次积分法): 令u ydu f (x)dx多次积分求f ( x)类型二: y '' f (x, y ')解法: 令p y 'dp f ( x , p )dx一阶微分方程类型三: y '' f ( y, y ')m2n( n 2nn5 x1)p( x) dx1 212121 2121 2解法: 令p y 'dp dp dy p dpf ( y , p )类型二dxdy dx dy类型四: y 'p ( x ) y Q ( x )若 Q(X) 等于 0,则通解为 y Ce(一阶齐次线性)。
高等数学公式导数公式:基本积分表:三角函数的有理式积分:222212211cos 12sin u dudx x tg u u u x u u x +==+-=+=, , , ax x a a a ctgx x x tgx x x x ctgx x tgx a x x ln 1)(log ln )(csc )(csc sec )(sec csc )(sec )(22='='⋅-='⋅='-='='222211)(11)(11)(arccos 11)(arcsin x arcctgx x arctgx x x x x +-='+='--='-='⎰⎰⎰⎰⎰⎰⎰⎰⎰⎰+±+=±+=+=+=+-=⋅+=⋅+-==+==Ca x x a x dx C shx chxdx C chx shxdx Ca a dx a Cx ctgxdx x C x dx tgx x Cctgx xdx x dx C tgx xdx x dx xx)ln(ln csc csc sec sec csc sin sec cos 22222222C axx a dx C x a xa a x a dx C a x ax a a x dx C a xarctg a x a dx Cctgx x xdx C tgx x xdx Cx ctgxdx C x tgxdx +=-+-+=-++-=-+=++-=++=+=+-=⎰⎰⎰⎰⎰⎰⎰⎰arcsin ln 21ln 211csc ln csc sec ln sec sin ln cos ln 22222222⎰⎰⎰⎰⎰++-=-+-+--=-+++++=+-===-Cax a x a x dx x a Ca x x a a x x dx a x Ca x x a a x x dx a x I nn xdx xdx I n n nn arcsin 22ln 22)ln(221cos sin 2222222222222222222222ππ一些初等函数: 两个重要极限:三角函数公式: ·诱导公式:·和差角公式: ·和差化积公式:2sin2sin 2cos cos 2cos2cos 2cos cos 2sin2cos 2sin sin 2cos2sin2sin sin βαβαβαβαβαβαβαβαβαβαβαβα-+=--+=+-+=--+=+αββαβαβαβαβαβαβαβαβαβαβαctg ctg ctg ctg ctg tg tg tg tg tg ±⋅=±⋅±=±=±±=±1)(1)(sin sin cos cos )cos(sin cos cos sin )sin( xxarthx x x archx x x arshx e e e e chx shx thx e e chx e e shx x x xx xx xx -+=-+±=++=+-==+=-=----11ln21)1ln(1ln(:2:2:22)双曲正切双曲余弦双曲正弦...590457182818284.2)11(lim 1sin lim 0==+=∞→→e xxx x x x·倍角公式:·半角公式:ααααααααααααααααααcos 1sin sin cos 1cos 1cos 12cos 1sin sin cos 1cos 1cos 122cos 12cos 2cos 12sin -=+=-+±=+=-=+-±=+±=-±=ctg tg·正弦定理:R CcB b A a 2sin sin sin === ·余弦定理:C ab b a c cos 2222-+=·反三角函数性质:arcctgx arctgx x x -=-=2arccos 2arcsin ππ高阶导数公式——莱布尼兹(Leibniz )公式:)()()()2()1()(0)()()(!)1()1(!2)1()(n k k n n n n nk k k n k n n uv v u k k n n n v u n n v nu v u v u C uv +++--++''-+'+==---=-∑中值定理与导数应用:拉格朗日中值定理。
高等数学公式导数公式:基本积分表:三角函数的有理式积分:222212211cos 12sin ududx x tg u u u x u u x +==+-=+=, , , 一些初等函数: 两个重要极限:ax x a a a ctgx x x tgx x x x ctgx x tgx a x x ln 1)(log ln )(csc )(csc sec )(sec csc )(sec )(22='='⋅-='⋅='-='='222211)(11)(11)(arccos 11)(arcsin x arcctgx x arctgx x x x x +-='+='--='-='⎰⎰⎰⎰⎰⎰⎰⎰⎰⎰+±+=±+=+=+=+-=⋅+=⋅+-==+==Ca x x a x dx C shx chxdx C chx shxdx Ca a dx a Cx ctgxdx x C x dx tgx x Cctgx xdx x dx C tgx xdx x dx xx)ln(ln csc csc sec sec csc sin sec cos 22222222C axx a dx C x a xa a x a dx C a x ax a a x dx C a xarctg a x a dx Cctgx x xdx C tgx x xdx Cx ctgxdx C x tgxdx +=-+-+=-++-=-+=++-=++=+=+-=⎰⎰⎰⎰⎰⎰⎰⎰arcsin ln 21ln 211csc ln csc sec ln sec sin ln cos ln 22222222⎰⎰⎰⎰⎰++-=-+-+--=-+++++=+-===-Cax a x a x dx x a Ca x x a a x x dx a x Ca x x a a x x dx a x I nn xdx xdx I n n n n arcsin 22ln 22)ln(221cos sin 2222222222222222222222ππ三角函数公式: ·诱导公式:·和差角公式: ·和差化积公式:2sin2sin 2cos cos 2cos2cos 2cos cos 2sin2cos 2sin sin 2cos2sin2sin sin βαβαβαβαβαβαβαβαβαβαβαβα-+=--+=+-+=--+=+αββαβαβαβαβαβαβαβαβαβαβαctg ctg ctg ctg ctg tg tg tg tg tg ±⋅=±⋅±=±=±±=±1)(1)(sin sin cos cos )cos(sin cos cos sin )sin(μμμxxarthx x x archx x x arshx e e e e chx shx thx e e chx e e shx x x xx xx xx -+=-+±=++=+-==+=-=----11ln21)1ln(1ln(:2:2:22)双曲正切双曲余弦双曲正弦...590457182818284.2)11(lim 1sin lim 0==+=∞→→e xxx x x x·倍角公式:·半角公式:ααααααααααααααααααcos 1sin sin cos 1cos 1cos 12cos 1sin sin cos 1cos 1cos 122cos 12cos 2cos 12sin -=+=-+±=+=-=+-±=+±=-±=ctg tg·正弦定理:R CcB b A a 2sin sin sin === ·余弦定理:C ab b a c cos 2222-+=·反三角函数性质:arcctgx arctgx x x -=-=2arccos 2arcsin ππ高阶导数公式——莱布尼兹(Leibniz )公式:)()()()2()1()(0)()()(!)1()1(!2)1()(n k k n n n n nk k k n k n n uv v u k k n n n v u n n v nu v u v u C uv +++--++''-+'+==---=-∑ΛΛΛ中值定理与导数应用:拉格朗日中值定理。
成人高考专升本高数二必考公式大全常用数学公式
, 乘法与因式分解公式
, 三角不等式
, 一元二次方程的解
, 某些数列的前n项和
, 二项式展开公式
, 三角函数公式
, 导数与微分
, 不定积分表(基本积分) 一、乘法与因式分解公式
1.1 1.2
1.4
二、三角不等式
2.1
2.2
2.3
2.4
2.6
三、一元二次方程的解
3.2(韦达定理)根与系数的关系:
四、某些数列的前n项和
4.2 4.3
4.7
五、二项式展开公式
六、三角函数公式
1 两角和公式
6.1 6.2
2 倍角公式
6.5
6.6
3 半角公式
4 和差化积
七、导数与微分
1 求导与微分法则
2 导数及微分公式
八、不定积分表(基本积分)。