第14讲 整式的乘法期末复习培优专题
- 格式:doc
- 大小:252.06 KB
- 文档页数:6
学习必备 欢迎下载第14章整式的乘法与因式分解复习一、知识网络结构图同底数幂的乘法法则: a m ·a n =a m + n (m ,n 都是正整数 ) 幂的运算法则幂的乘方法则: (am )n= amn(m ,n 是正整数 )积的乘方法则: (ab)n = a n b n (n 是正整数 )整式的乘法整 式乘法公式的 乘除 与 因 式 公 整式的除法解单项式乘以单项式法则:单项式乘以单项式,把它们的系数、相同字母分别相乘,对于只在一个单项式里含有的字母,则 连同它的指数作为积的一个因式单项式乘以多项式法则:单项式与多项式相乘,就是用单项式去乘多项式的每一项,再把所得的积相加多项式乘以多项式法则:多项式与多项式相乘,先用一个多项式的每一项去乘另一个多项式的每一项,再把所得的积相加平方差公式: (a +b)(a - b)=a 2-b2完全平方公式: (a + b)2= a 2+ 2ab +b 2,(a - b)2= a 2- 2ab +b 2同底数幂的除法法则: mnm - na ÷ a = a(a ≠0,m ,n 都是正整数且 m >n)零指数幂的意义: a 0=1(a ≠ 0)单项式除以单项式法则:单项式相除,把系数与同底数幂分别相除作为商的因式,对于只在被除式里含有的字母,则连同它的指数作为商的一个因式多项式除以单项式法则:先把这个多项式的每一项除以这个单项式,再把所得的商相加概念:把一个多项式化成几个整式的积的形式,像这样的式子变形叫做把这个多项式因式分解,也叫做把这个多项式分解因式因式分解平方差公式: 方法公式法完全平方公式a 2-b 2= (a + b)(a -b)2+2ab + b 22a = (a +b) a 2 -2ab + b 2= (a -b)2二、典型例题幂的运算法则及其逆运用例1 计算2 x3 · - x 2 = .( 3 )例 2 计算 [ a 4( a 4-4a) - ( - 3a 5) 2÷ ( a 2) 3] ÷( -2a 2 ) 2整式的混合运算例 3计算 [( a -2b)(2 a - b) -(2a + b) 2+ ( a +b)( a -b) - (3 a) 2 ] ÷ ( -2a) .因式分解例 4 分解因式.3x +x +2- .(1) m - m ;(2)( 2)(3)+ x4转化思想 例 5 分解因式 a 2- 2ab +b 2-c 2整体思想例 6 (1) 已知 x + y = 7, xy =12,求 ( x -y) 2;(2) 已知 a +b = ,a -b = ,求 ab 的值.8 2开放型题例 7 ( 2009·吉林中考)在三个整式 x 2 2xy, y 22xy, x 2 中,请你任意选出两个进行加(或减)运算,使所得整式可以因式分解,并进行因式分 解 .规律探究题例 8 如图 15- 5 所示,摆第 1 个“小屋子”需要 5 枚棋子,摆第 2 个需要枚棋子,摆第 3 个需枚棋子,按这种方式摆下去,摆第 n 个这样的 “小屋子”需要枚棋子.例 9 (1) 计算. ①( a - 1)( a +1) ;②( a - 1)( a 2+ a + 1) ;③( a - 1)( a 3+ a 2 +a +1) ;④( a - 1)( a 4+ a 3 +a 2+a +1) .(2) 根据 (1) 中的计算,你发现了什么规律 ?用字母表示出来.(3)根据 (2) 中的结论,直接写出下题的结果.①( a - 1)( a 9+ a 8 +a 7+a 6+ a 5+a 4+a 3+a 2 +a + 1) =;②若 ( a -1) ·M =a 15- ,则 M =;1③( a - b a 5+ a 4 b + a 3b 2 +a 2b 3+ab 4+b 5 )=;x - )( x 4+ x 3+ x 2+ x +④(2 1)(16 1) =;8 4 2三、训练题一、选择题1 .计算 ( a 3)2 的结果是( )A . a 5B . a 6C .a 8D . a 92 .下列运算正确的是( )A . a 2· a 3 =a 4B .( -a) 4 =a 4C . a 2+ a 3 =a 5-xD .( a 2) 3=a 53 .已知 x - y =- ,则+ 3y 的值是 ( )3 35A . 0B .2C .5D .8.若 m +n = ,则22 - 的值为4 m + mn + n6( )3 24 2A . 12B .6C .3D .05.如图 15-4 所示,在边长为 a 的正方形中挖去一个边长为 b 的小正方形( a >b ) ,把余下的部分拼成一个矩形, 根据两个图形中阴影部分的面积相等, 可以验证 ()A . ( a +b) 2=a 2+2ab + b 2B . ( a -b) 2=a 2-2ab + b 2C . a 2- b 2 =( a + b)( a - b)D . ( a +2b)( a - b) =a 2+ ab -2b 26 .下列各式中,与 ( a - b) 2 一定相等的是 ( )A . a 2+ ab +b 2B .a 2-b 22C . a 2+ b 2D .a 2- ab + b 0.已知 x + y =- ,xy = ,则 x 2+ y 2 的值为 27( )5 6A . 1B .13C .17D .25 8 .下列从左到右的变形是因式分解的是( )A . ma +mb - c = m a + b - c()B . ( a -b)( a 2+ab +b 2) =a 3-b 3C . a 2- ab +b 2- = a a - b +(2b +1)(2 b -1)441 y ( x 4 ) yD . x 2- y 2=(2 x +)(2-)4 25 5 59.下列各式中,能用平方差公式分解因式的是 ( )A .- a 2+b 2B .- a 2-b 2C .a 2+b 2D .a 3-b 310 .如果 ( x -2)( x - 3) =x 2+ px +q ,那么 p ,q 的值是 ()A . p =- ,q =6B .p = ,q =-651C . p = ,q =6D .p = ,q =-615二、填空题mn3m + 2n =.11.已知 10 =2,10 =3,则 10x -y 12 .当 x = ,y =1时,代数式( x + y)( ) +y 2的值是..若 a - 3b -b = ,ab =- ,则(a +1)(1) =.13123.14.分解因式: 2m -8m =.已知 y= 1 x - ,那么 1 x 2- xy + y 2 - 2 的值为 .153132316 .计算: 5752×12- 4252×12=.17.若 (9 n ) 2 =38,那么 n =.k 的值为18.如果 x 2 + kx +81是一个完全平方式,那么.219.多项式x 2+1加上一个单项式后, 使它成为一个整式的完全平方式, .那9么加上的单项式是.( 填一个你认为正确的即可 )20.利用图形中面积的等量关系可以得到某些数学公式.例如,根据图甲,222我们可以得到两数和的平方公式: ( a+b ) =a +2ab+b .你根据图乙能得到的数学公式是 _________________三、解答题21.化简. (1)-( m -2n) + 5( m +4n) -2( -4m - 2n) ;(2)3(2x +1)(2 x - 1) -4(3 x +2)(3 x -2) ;(3)20002-1999×2001.22 .分解因式.22- mn n -m ; (1)mn m - n() 4 ()(2)( x + y) 2+64-16( x +y) .23.已知 a,b 是有理数,试说明 a2+ b2-2a-4b+8 的值是正数.24.先化简,再求值: ( a+b)( a-b) + (4 ab3-8a2 b2) ÷4ab,其中 a= 2, b= 1.25.给出三个多项式:1x2 2 x 1 ,1x24x 1,1x22x .请选择你最喜欢222的两个多项式进行加法运算,并把结果因式分解.26.如图15- 6所示,有一个形如四边形的点阵,第l 层每边有两个点,第 2 层每边有三个点,第 3 层每边有四个点,以此类推.(1)填写下表;层数123456各层对应的点数所有层的总点数(2)写出第 n 层对应的点数;(3)写出 n 层的四边形点阵的总点数;(4)如果某一层共有 96 个点,你知道是第几层吗 ?(5)有没有一层点数为 100?。
一、选择题1.下列计算正确的是( )A .248a a a •=B .352()a a =C .236()ab ab =D .624a a a ÷= 2.根据等式:()()2111x x x -+=-,()()23111,x x x x -++=-()()324111x x x x x -+++=-,()()4325111,x x x x x x -++++=-……的规律,则可以推算得出2021202020192222...221++++++的末位数字是( )A .1B .3C .5D .7 3.若3a b +=-,10ab =-,则-a b 的值是( )A .0或7B .0或13-C .7-或7D .13-或13 4.当代数式2()2020x y ++的值取到最小..时,代数式222||2||x y x y -+-=……( ) A .0 B .2- C .0或2- D .以上答案都不对 5.如表,已知表格中竖直、水平、对角线上的三个数的和都相等,则m +n =( )A .1B .2C .5D .7 6.已知: 13m m +=, 则: 331m m +的值为( ) A .15B .18C .21D .9 7.计算()201920180.52-⨯的值( ) A .2 B .2- C .12 D .12- 8.在下列的计算中正确的是( )A .23a ab a b ⋅=;B .()()2224a a a +-=+;C .235x y xy +=;D .()22369x x x -=++ 9.下列计算正确的是( )A .(a +b )(a ﹣2b )=a 2﹣2b 2B .(a ﹣12)2=a 2﹣14C .﹣2a (3a ﹣1)=﹣6a 2+aD .(a ﹣2b )2=a 2﹣4ab +4b 210.下列运算正确是( )A .b 5÷b 3=b 2B .(b 5)3=b 8C .b 3b 4=b 12D .a (a ﹣2b )=a 2+2ab 11.计算2019202040.753⎛⎫⨯- ⎪⎝⎭的结果是( ) A .43 B .43-C .0.75D .-0.75 12.下列计算正确的是( ) A .()222x y x y +=+ B .()32626m m =C .()2224x x -=-D .()()2111x x x +-=- 13.若|m ﹣3n ﹣2019|=1,则(2020﹣m +3n )2的值为( ) A .1B .0C .1或2D .0或4 14.下列运算正确的是( ). A .236x x x =B .2242x x x +=C .22(2)4x x -=-D .358(3)(5)15a a a --=15.a ,b ,c 在数轴上的位置如下图所示,则下列代数式中值为正的是( )A .()()1a c b --B .()11c a b c ⎛⎫-- ⎪⎝⎭C .()1a a c b ⎛⎫+- ⎪⎝⎭D .()1ac bc -二、填空题16.若2330x x --=,则()()()123x x x x ---的值为______.17.历史上数学家欧拉最先把关于x 的多项式用记号()f x 来表示,把x 等于某数a 时的多项式的值用()f a 来表示.例如,对于多项式42()5f x mx nx x =+++,当2x =时,多项式的值为(2)1647f m n =++,若(2)10f =,则()2f -的值为_________.18.观察下列各式: 2(1)(1)1x x x -+=-;()23(1)11x x x x -++=-; ()324(1)11x xx x x -+++=-; …… (1)()432(1)1x x x x x -++++=___;(2)根据规律可得:()1(1)1n x x x --+++=_____(其中n 为正整数);(3)计算:()5049482(31)333331-++++++; 19.若231m n -=,则846m n -+=________.20.对于有理数a ,b ,定义min{,}a b 的含义为:当a b <时,min{,}a b a =;当a b >时,min{,}a b b =.例如:min{1,22}-=-,min{3,1}1-=-.已知min{21,}21a =,min{21,}b b =,且a 和b 是两个连续的正整数,则a+b =_____.21.已知2m n +=,2mn =-,则(1)(1)m n --=________.22.如图,把同样大小的黑色棋子摆放在正多边形的边上,按照这样的规律摆下去,则第6个图形需要黑色棋子的个数是______,第n 个图形需要的黑色棋子的个数是______.(n 为正整数)23.如图所示的四边形均为长方形,请写出一个可以用图中图形的面积关系说明的正确等式______.24.已知香蕉,苹果,梨的价格分别为a ,b ,c (单位:元/千克)、用20元正好可以买三种水果各1千克:买1千克香蕉,2千克苹果,3千克梨正好花去42元,若买b 千克香需w 元,则w =___________.(结果用含c 的代数式表示)25.分解因式3225a ab -=____.26.分解因式:2a 2﹣8=______.三、解答题27.(1)计算:()()()()23232121a a a a a -++-+-(2)分解因式:244xy xy x -+ 28.若x 满足()()944x x --=,求()()2249x x -+-的值. 解:设9,4x a x b -=-=,则()()944x x ab --==,()()945a b x x +=-+-=, 222222(9)(4)()252417x x a b a b ab ∴-+-=+=+-=-⨯=请仿照上面的方法求解下面问题:(1)若x 满足()()522x x --=,求()()2252x x -+-的值; (2)若x 满足()()632x x --=,求()()2263x x -+-的值; (3)已知正方形ABCD 的边长为x ,E ,F 分别是AD DC 、上的点,且1AE =,3CF =,长方形EMFD 的面积是48,分别以MF DF 、为边作正方形,求阴影部分的面积.29.计算:(1)x2·x(2)(x3)5(3)(-2x3)230.对于一个图形,通过两种不同的方法计算它的面积,可以得到一个数学等式.例如由图①可以得到两数和的平方公式:(a+b)2=a2+2ab+b2.请解答下列问题:(1)写出由图②可以得到的数学等式;(2)利用(1)中得到的结论,解决下面问题:若a+b+c=6,a2+b2+c2=14,求ab+bc+ac 的值;(3)可爱同学用图③中x个边长为a的正方形,y个宽为a,长为b的长方形,z个边长为b的正方形,拼出一个面积为(2a+b)(a+4b)的长方形,则x+y+z=.。
第十四章整式的乘法与因式分解知识点1 整式乘法单项式×单项式单项式的乘法法则:单项式相乘,把系数、同底数幂分别相乘,作为积的因式;对于只在一个单项式里含有的字母,则连同它的指数作为积的一个因式.单项式乘法易错点:典例1 计算:x•(﹣2x2)3=_____.【答案】﹣4x7【解析】分析:直接利用积的乘方运算法则化简,再利用单项式乘以单项式计算得出答案.标准解答:x•(﹣2x2)3=x•(﹣8x6)=﹣4x7.故答案为:﹣4x7.典例2 如果单项式-22x2m y3与23x4y n+1的差是一个单项式,则这两个单项式的积是______. 【答案】-32x8y6【标准解答】由题意可得,解得m=2,n=2,则这两个单项式的积为:-22x4y3×23x4y3=-32x8y6.故答案为-32x8y6.【点睛】本题考查了同类项和同底数幂的乘法,解此题的关键在于根据题意得到两个单项式为同类项,则相应字母的指数相等,求得指数的值,再根据同底数幂的乘法法则求解即可.典例3 有理数a,b,满足,=________;【答案】6【标准解答】∵|a-b-2|+(2a+2b-8)2=0,∴a-b-2=0,2a+2b-8=0,解得:a=3,b=1,则(-ab)•(-b3)•(2ab)=a2b5=×9×1=6.故答案为:6典例4 如果x n y4与2xy m相乘的结果是2x5y7,那么mn=_____.【答案】12【解析】,∴n+1=5,m+4=7,解得:m=3,n=4,∴mn=12.故答案为:12.单项式×多项式单项式与多项式相乘,用单项式和多项式的每一项分别相乘,再把所得的积相加【单项式乘以多项式注意事项】1.单项式乘多项式的结果是多项式,积的项数与原多项式的项数相同。
2.单项式分别与多项式的每一项相乘时,要注意积的各项符号。
(同号相乘得正,异号相乘得负)3.不要出现漏乘现象,运算要有顺序。
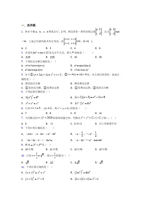
一、选择题1.将4个数a 、b 、c 、d 排成2行、2列,两边各加一条竖直线记成a cb d ,定义ac b d=ad -bc .上述记号就叫做2阶行列式,若11x x +-11x x -+=12,则x=( ).A .2B .3C .4D .6 2.多项式2425a ma ++是完全平方式,那么m 的值是( )A .10±B .20±C .10D .203.下列因式分解正确的是( )A .m 2+n 2=(m+n)(m-n)B .a 3-a=a(a+1)(a-1)C .a 2-2a+1=a(a-2)+1D .x 2+2x-1=(x-1)24.对于①2(2)(1)2x x x x +-=+-,②4(14)x xy x y -=-,从左到右的变形,表述正确的是( ) A .都是因式分解B .都是乘法运算C .①是因式分解,②是乘法运算D .①是乘法运算,②是因式分解 5.下列运算正确的是( ) A .()23636a =B .()()22356a a a a --=-+C .842x x x ÷=D .326326x x x ⋅=6.已知3x y +=,1xy =,则23x xy y -+的值是()A .7B .8C .9D .127.当代数式2()2020x y ++的值取到最小..时,代数式222||2||x y x y -+-=……( ) A .0 B .2- C .0或2- D .以上答案都不对8.下列计算正确的是( ) A .(a +b )(a ﹣2b )=a 2﹣2b 2 B .(a ﹣12)2=a 2﹣14C .﹣2a (3a ﹣1)=﹣6a 2+aD .(a ﹣2b )2=a 2﹣4ab +4b 2 9.数151025N =⨯是( ) A .10位数 B .11位数C .12位数D .13位数10.已知1x x+=1x x -的值为( )A B .2±C .D 11.下列计算正确的是( ) A .()222x y x y +=+ B .()32626m m =C .()2224x x -=-D .()()2111x x x +-=-12.计算()()202020213232-⨯的结果是( )A .32-B .23-C .23D .3213.若|m ﹣3n ﹣2019|=1,则(2020﹣m +3n )2的值为( ) A .1B .0C .1或2D .0或414.小明是一位密码翻译爱好者,在他的密码手册中,有这样一条信息:-a b ,x y -,x y +,+a b ,22x y -,22a b -分别对应下列六个字:通、爱、我、昭、丽、美、现将()()222222xy a x y b ---因式分解,结果呈现的密码信息可能是( )A .我爱美丽B .美丽昭通C .我爱昭通D .昭通美丽 15.下列运算正确的是( )A .x 2·x 3=x 6B .(x 3)2=x 6C .(-3x)3=27x 3D .x 4+x 5=x 9二、填空题16.2007200820092()(1.5)(1)3⨯÷-=_____.17.历史上数学家欧拉最先把关于x 的多项式用记号()f x 来表示,把x 等于某数a 时的多项式的值用()f a 来表示.例如,对于多项式42()5f x mx nx x =+++,当2x =时,多项式的值为(2)1647f m n =++,若(2)10f =,则()2f -的值为_________.18.若2211392781n n ++⨯÷=,则n =____.19.对于2(34)x y --的计算,追风学习小组进行了激烈的讨论,①小杰说只能用公式()2222a b a ab b -=-+;②小聪说可以看成普通的多项式乘以多项式即(34)(34)x y x y ----;③小懿说可以用公式222()2a b a ab b +=++但要看准谁是a 谁是b ;④小王说口算就是22916x y +;⑤小亮说可以转化计算2(34)x y +,你认为谁的说法正确请写出序号____. 20.分解因式323a a -=____.21.已知23x y -=,则432x y --=________. 22.已知,a b 满足1,2a b ab -==,则a b +=____________ 23.已知4222112x x +-⋅=,则x =________ 24.因式分解:33327xy x y -=______.25.如图:一块直径为+a b 的圆形钢板,从中挖去直径分别为a 与b 的两个半圆,则剩下的钢板面积为______.26.若代数式23y y +-的值为0,则代数式3242020y y ++的值为___________.三、解答题27.阅读材料:把形2ax bx c ++的二次三项式(或其一部分)配成完全平方式的方法叫配方法.配方法的基本形式是完全平方公式的逆写,即()2222a ab b a b ±+=±.请根据阅读材料解决下列问题:(1)填空:244a a -+=__________.(2)先化简,再求值:()()()33242a b a b a b abab +-+-÷,其中a b 、满足2226100a a b b ++-+=.(3)若a b c 、、分别是ABC ∆的三边,且222426240a b c ab b c ++---+=,试判断ABC ∆的形状,并说明理由.28.利用我们学过的知识,可以导出下面这个形式优美的等式:2222221()()()2x y z xy yz xz x y y z x z ⎡⎤++---=-+-+-⎣⎦,该等式从左到右的变形,不仅保持了结构的对称性,还体现了数学的和谐、简洁、美观. (1)请你检验说明这个等式的正确性;(2)若ABC 的三边长分别为a ,b ,c ,当222a b c ab bc ca ++=++时,试判断ABC 的形状;(3)若327a b -=,227a c -=,且22241abc ++=,求22ab bc ac ++的值. 29.计算:(1)化简:()()()222a a b a b a b +-+-(2)因式分解:244x y xy y ++30.在通常的日历牌上,可以看到一些数所满足的规律,表①是2020年12月份的日历牌.星期一 星期二 星期三 星期四 星期五 星期六 星期日1 2 3 4 5 67 8 9 10 11 12 13 14 15 16 17 18 19 20 21 22 23 24 25262728 293031(表①)(1)在表①中,我们选择用如表②那样22⨯的正方形框任意圈出22⨯个数,将它们先交叉相乘,再相减.如:用正方形框圈出3,4,10,11四个数,然后将它们交叉相乘,再相减,即3114107⨯-⨯=-或4103117⨯-⨯=.请你用表②的正方形框任意圈出22⨯个数,将它们先交叉相乘,再相减.列出算式并算出结果(选择其中一个算式即可). (2)在用表②的正方形框任意圈出的22⨯个数中,将它们先交叉相乘,再相减.若设左上角的数字为n ,用含n 的代数式表示其它三个位置的数字,列出算式并算出结果(选择其中一个算式即可).(3)若选择用表③那样33⨯的正方形方框任意圈出33⨯个数,将正方形方框四角....位置上的4个数先交叉相乘,再相减,你发现了什么.选择一种情况说明理由.。
培优专题整式的乘法整式的乘法培优训练教师寄语:任何的限制,都是从自己的内心开始的。
忘掉失败,不要牢记失败中的教训。
知识精要】1、幂的运算性质a^m\times a^n=a^{m+n}$a^m)^n=a^{mn}$ab)^m=a^mb^m$dfrac{a^m}{a^n}=a^{m-n}$a^p)^q=a^{pq}$dfrac{a}{b})^p=\dfrac{a^p}{b^p}$2、整式的乘法公式:a+b)(c+d)=ac+ad+bc+bd$$3、科学记数法:$a\times 10^n$4、单项式的乘法法则:单项式与单项式相乘,把他们的系数相乘,字母分别相乘,对于只在一个单项式里含有的字母,则连同它的指数作为积的一个因式。
5、单项式乘以多项式:用单项式去乘多项式的每一项,再把所得的积相加。
6、多项式与多项式相乘:先用多项式的每一项乘以另一个多项式的每一项,再把所得的积相加。
7、单项式的除法法则:单项式相除,把系数、同底数幂分别相除,作为商的因式,对于只在被除式里含有的字母,则连同它的指数作为商的一个因式。
8、多项式除以单项式:先把这个多项式的每一项除以这个单项式,在把所得的商相加。
例题】已知$x^2+8x=15$,求$(x+2)(x-2)-4x(x-1)+(2x+1)^2$的值。
练】1.若$a^2-2a-4=0$,求代数式$[(a+1)(a-1)+(a-2)^2-3]\div2$的值。
2.已知$x^2-x-1=0$,求$(x+2)(x-2)+(x-3)^2-x(x-5)$的值。
3.已知$x^2+3x-9=0$,求$(x+1)^2+(x+3)(x-3)-x(x-1)$的值。
4.已知$x^2-2x=2$,求代数式$(x-1)^2+(x+3)(x-3)+(x-3)(x-1)$的值。
5.已知$x^2-3x=1$,求$(x+2)(x-2)+(x-2)^2+(x-4)(x-1)$的值。
第14讲 整式的乘法期末复习培优专题一、知识点:1. 幂的运算性质(其中m 、n 、p 都为正整数):1.m n m n a a a +⋅=2.()m n mn a a =3.()n n n ab a b = 4.m n m n a a a -÷=5.011(0)(0)p pa a a a a -=≠=≠, 2. 整式的乘法3.乘法公式:⑴()()22b a b a b a -=-+. ⑵()2222b ab a b a +±=±⑶()bc ac ab c b a c b a 2222222+++++=++ ⑷()()3322b a b ab a b a ±=+±⑸()3223333b ab b a a b a ±+±=±专题一 :幂的运算性质及其逆用例、1、计算⑴(-0.125)2013× 82014=_______ 2001100021()(2)34-⋅=_______________ ⑵200120022003113(1)(1)()345⋅-⋅-=____________________ 2、(1)若10x =2 ,10y =3,求103x+2y 和102x-3y 的值。
(2)若的值。
,求正整数n n 24n 21682=⋅⋅(3)若的值。
,求b a b a 2395110,2010÷==专题二、整式的乘法及除法例1计算(1)35433660)905643(ax .ax .x a x a ÷-+- (2))250(241)2)(5(54423x .x x x x -⋅-⋅--(3))13)(25()13)(34()2)(1(3---+-+-+x x x x x x(4)2[()(2)8]2x y y x y x x +-+-÷错误!未找到引用源。
;(5))(5)2()3(22x y x y x y x -++--专题三:乘法公式的灵活运用例1. 1.多项式x 2-8x +k 2是一个完全平方式,则k =______.2.-+=+222)1(1xx x x ______=2)1(x x -+______. 3.如果a (a -1)+(b -a 2)=-5,则a 2+b 22-ab 的值=______.4.已知x +1x =4,则 (1)x 2+1x 2=______;(2)⎝ ⎛⎭⎪⎫x -1x =______. 5.已知x 2-7x +1=0,则x 2+x -2的值=______.6..若9x 2+4y 2=(3x +2y )2+M ,则 M 为( )A .6xyB .-6xyC .12xyD .-12xy例2计算:(1)20172 -2015×2019 (2)错误!未找到引用源。
第14讲 整式的乘法期末复习培优专题一、知识点:1. 幂的运算性质(其中m 、n 、p 都为正整数):1.m n m n a a a +⋅=2.()m n mn a a =3.()n n n ab a b = 4.m n m n a a a -÷=5.011(0)(0)p pa a a a a -=≠=≠, 2. 整式的乘法3.乘法公式:⑴()()22b a b a b a -=-+. ⑵()2222b ab a b a +±=±⑶()bc ac ab c b a c b a 2222222+++++=++ ⑷()()3322b a b ab a b a ±=+± ⑸()3223333b ab b a a b a ±+±=±专题一 :幂的运算性质及其逆用例、1、计算⑴(-0.125)2013× 82014=_______ 2001100021()(2)34-⋅=_______________ ⑵200120022003113(1)(1)()345⋅-⋅-=____________________ 2、(1)若10x =2 ,10y =3,求103x+2y 和102x-3y 的值。
(2)若的值。
,求正整数n n 24n 21682=⋅⋅(3)若的值。
,求b a b a 2395110,2010÷==专题二、整式的乘法及除法例1计算(1)35433660)905643(ax .ax .x a x a ÷-+- (2))250(241)2)(5(54423x .x x x x -⋅-⋅--(3))13)(25()13)(34()2)(1(3---+-+-+x x x x x x(4)2[()(2)8]2x y y x y x x +-+-÷错误!未找到引用源。
;(5))(5)2()3(22x y x y x y x -++--专题三:乘法公式的灵活运用例1. 1.多项式x 2-8x +k 2是一个完全平方式,则k =______.2.-+=+222)1(1xx x x ______=2)1(x x -+______. 3.如果a (a -1)+(b -a 2)=-5,则a 2+b 22-ab 的值=______.4.已知x +1x =4,则 (1)x 2+1x 2=______;(2)⎝ ⎛⎭⎪⎫x -1x =______. 5.已知x 2-7x +1=0,则x 2+x -2的值=______.6..若9x 2+4y 2=(3x +2y )2+M ,则 M 为( )A .6xyB .-6xyC .12xyD .-12xy例2计算:(1)20172 -2015×2019 (2)错误!未找到引用源。
(3)20052-4010×2006+20062 (4)()()()()248163212121211++++-例3若的值。
,求满足,,abc c bc ab c b a c b a 0962222222=+---++专题四: 因式分解的综合运用例1把下列各式因式分解(1)n 2(m ﹣2)﹣n (2﹣m ) (2)1)2(6)2(92+-+-b a b a(3)3222)(3)(a b b a --- (4)22222)(624b a b a +-(5)81721624+-x x(6)a 2﹣4a+4﹣b 2 (7)(x ﹣1)(x ﹣3)+1 (8)(x 2-2)2-(x 2-2)-2例2若a 、b 、c 为△ABC 的三边长,判断代数式()2222224a b c a b +--的正负。
专题五:整式的除法问题例若3223+-kx x 被12+x 除后余2,求k 的值.变式题组:01.若123+++ax ax x 被2-x 除的余数是3,则a = .02.若42323+++nx mx x 能被652+-x x 整除,则m = .n = . 03.若多项式c bx ax x x +++-234能被()31-x 整除,则a +b +c = . 演练巩固·反馈提高1.下列各题中,计算正确的是() A .322366()()m n m n --= B .322331818[()()]m n m n --=-C .2222398()()m n mn m n --=-D .232399()()m n mn m n --=-2.下列计算正确的是( )A .()()x x x x x x 41281324232---=-+∙-B .()()3322y x y x y x +=++C .()()21611414a a a -=-∙--D .()242222y xy x y x +-=-3.在①()()632-=-+x x y x ;②()()191313222-=-+m m m ;③()423123-=⎪⎭⎫ ⎝⎛-+pq q p 中运算错误的个数是( )A .0B .1C .1或5D .±1或±54.在1,-1,-2这三个数中,任意两数之和的最大值是( )A . 1B .1C .2D .35.下列计算正确的是( )A .()2222b ab a b a +-=--B .()222b a b a -=-C .()()()4422y x y x y x y x -=--+D .()()224422b ab a a b b a -+-=--6.下列关系式不成立的是( )A .()()ab b a b a 2222-+=+B .()()ab b a b a 2222+-=+C .()()()222222b a b a b a -++=+D .()()222b a b a ab --+=7.已知长方形的面积为a ab a 2642+-,且一边长为2a,则其周长为( )A . b a 34-B . b a 68-C . 134--b aD . 268+-b a8.下列命题中,正确的个数是( )(1)m 为正奇数时,一定有等式(4)4m m -=-(2)等式(2)2m m -=,无论m 为何值时都不成立(3)三个等式:236326236()()[))]a a a a a a -=-=--=,,((都不成立;(4)两个等式:3434(2)2m m m m x y x y -=-,3434(2)2n n n n x y x y -=-都不一定成立.A .1个B .2个C .3个D .4个 9.已知131-=x y ,那么2323122-+-y xy x 的值为__________10.若=+==+22,1,3b a ab b a 则 ;a-b=11、当2x =时,代数式31ax bx -+的值等于17-,那么当1x =-时,代数式31235ax bx --的值 .12、若3a =-,25b =,则20072006a b +的个位数字是 .解答题1. 若规定一种运算“*”:a *b =(a +2)(b +5)-(a +3)(b +4).试化简(m -1)*(n +1).2.若A =-2xy ,B =2332443141y x y x y x -+-,求B ÷A 2的值.3、甲乙同学分解因式:2mx ax b ++,甲看错了a 分解结果为:()()219x x --,乙看错了b 分解结果为:()()224x x --,你能确定正确的结果吗?4.试求(2-1)(2+1)(22+1)(24+1)…(2128+1)+1的个位数字.5、已知:()222,2m n n m m n =+=+≠,求:332m mn n -+的值.整式乘除培优检测一、选择题。
1.下列各式是完全平方式的是( )A .x 2-x+14B .4x 2+1C .a 2+ab+ b 2D .x 2+2x -12.下列多项式相乘,不能用平方差公式计算的是( )A .(x -2y) (2y +x)B .(-2y -x) (x +2y)C .(x -2y) (-x -2y)D . (2y -x) (-x -2y)3.下列计算正确的是( )A .a 6÷a 2=a 3B . a 4÷a=a 4C .(-a) 2÷(-a 2)=aD .(-a)3÷(-a) 2=a4.从左到右的变形属于因式分解的是( )A .(x+1) (x -1) =x 2-1 B.)11(22222xx x x +=+C .x 2-4y 2=(x+4y) (x -4y)D .x 2-x -6=(x +2) (x -3)5. 若M =(a +3)(a -4),N =(a +2)(2a -5),其中a 为有理数,则M ,N 的大小关系是 ( ) A .M >N B .M <N C .M =N D .无法确定6.使得381n +为完全平方数的正整数n 的值为( )A .2B .3C .4D .5二、填空题。
1.计算:(-x -3)2=_______________;2.正方形面积为)0,0(2212122>>++b a y xy x 则这个正方形的周长是3.计算:(3)(-ab )·⎝ ⎛⎭⎪⎫0.25a 2b -12a 3b 2-16a 4b 3÷(-0.5a 2b ) =_______________; 4.已知多项式2223286x xy y x y +--+-可以分解为(2)(2)x y m x y n ++-+的形式, 那么3211m n +-的值是______ 5.对于一个正整数n ,如果能找到a 、b ,使得n =a +b +ab ,则称n 为一个“好数”,例如:3=1+1+1×1,3就是一个好数,在1~20这20个正整数中,好数有_______个三.解答、认真观察下列二项式乘方展开式的系数规律与贾宪三角形,你就会发现他们有着紧密的联系并有一定的规律可寻。
(a +b)0=1 1 ……………第0行 (a +b)1=a +b 1 1 ………… 第1行 (a +b)2=a 2+2ab +b 2 1 2 1 …………第2行 (a +b)3= a 3+3a 2b+3ab 2+b 3 1 3 3 1 ………第3行 (a +b)4= a 4+4a 3b+6a 2b 2+4ab 3+b 4 1 4 6 4 1 ……第4行 (a +b)5= a 5+5a 4b+10a 3b 2+10a 2b 3+5ab 4+b 5 1 5 10 10 5 1……第5行 ⑴根据你观察到的规律,先写出贾宪三角形的第6行:___________________________;再写出(a +b)6的展开式: (a +b)6=_______________________________________; ⑵用你所学的知识验证(a +b)3= a 3+3a 2b+3ab 2+b 3 ;⑶在贾宪三角形中,假定最上面的数字1作为第0行,将每一行的数字相加,则得数字串: 1, 2, 8, 16, 32,……,请你根据这串数字的规律,写出第n 行的数字和:___________, 除此之外,我们还能发现很多数字规律,请你找一找,然后根据规律写出(a +b)50展开式中a 49b 的项的系数。