集合与函数概念测试题
- 格式:doc
- 大小:270.50 KB
- 文档页数:5
《集合与函数概念》测试题一、选择题1.已知集合,,若,则的值是( ).A.2B.2或3C.1或3D.1或2考查目的:本题考查了两个集合的交集的含义.答案:D.解析:验证时满足条件;验证时也满足条件.2.设集合,则( ).A. B.C. D.考查目的:本题考查了集合的补集运算,理解在给定集合中一个子集的补集的含义.答案: A.解析:3.已知,集合,集合,则图中阴影部分表示的集合为( )A. B.C. D.考查目的:本题考查了集合的识图能力,及集合的交并补运算.答案:D.解析:图中阴影部分表示的集合为,而,=.4.若函数,则对任意实数,下列不等式总成立的是( ).A. B.C. D.考查目的:本题考查了二次函数的图像及其性质及数形结合的思想.答案:A.解析:结合二次函数的图像可知,当时,;当时,总有,故答案选A.5.设集合,在下面4个图形中,能够表示集合到集合的函数关系的有( ).A.①②③④B.①②③C.②③ D.②考查目的:本题考查函数的概念及函数图像的表示.答案:C.解析:①中函数定义域不是集合,④中不满足函数的概念,②③正确,答案选C.6.设是定义在上的奇函数,当时,,则=( ).A.-3B.-1C.1D.3考查目的:本题考查函数的奇偶性,考查函数值的求法.属容易题.答案:A.解析:是定义在上的奇函数,必有,故,,故选A.二、填空题7.已知:全集,集合,,则=.答案:.解析:=,.8.设为两个非空实数集合,定义集合,若,,则中元素的个数是 .答案:8.解析:.9.设集合,集合,则.考查目的:本题考查了集合的代表元素应具备的特征,及函数的定义域、值域.答案:.解析:,集合,故.10.如果函数在区间上是单调递增的,则实数的取值范围是__________.考查目的:本题考查了函数的单调性,注意对二次项系数是否为0的讨论.答案:.解析:当时,,显然在区间上是单调递增的,故满足题意;当时,函数在区间上是单调递增的,则,且,解得,综上所述,实数的取值范围是.11.若集合有且仅有两个子集,则实数的值是________.考查目的:考查了子集的个数问题,本题集合A是单元素集.答案:或.解析:有且仅有两个子集,则集合是单元素集,当,即时,集合,两个子集为和;当时,则,此时,集合,两个子集为和.综上所述,实数的值为或.三、解答题12.设集合,,,求实数的取值范围.考查目的:考查了绝对值不等式的含义,及集合的并集的运算.答案:.解析:,,,∴,从而得.13.已知集合,,若,求实数的取值范围.考查目的:本题考查了与的等价关系,及子集中“空集优先”原则.答案:.解析:∵,∴.又∵,∴当时,由得;当时,则解得.综上可知,.14.已知奇函数在定义域上单调递减,求满足的实数的取值范围.考查目的:本题考查了奇函数在对称区间上的单调性问题及研究函数定义域优先的原则答案:解析:由,得.又∵为奇函数,∴.∵在定义域上单调递减,∴解得.∴实数的取值范围为.15.已知函数对一切都有.⑴求证:是奇函数;⑵若,用表示.考查目的:本题考查学生对函数概念和性质的理解.解析:⑴证明:显然的定义域是,它关于原点对称.在)中,令,得;令,得,∴,∴,即,∴是奇函数.⑵由,及是奇函数,得.。
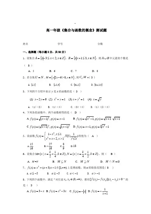
《集合与函数的概念》测试题一、选择题(每小题5分,60分)1、设集合{}Z x x x A ∈<≤-=,23,{}N x x x B ∈≤+=,31,则B A ⋃中元素的个数是( )A .5B .6C .7D .82、若全集U N =,{}260,M x x x N =->∈,则U C M =( )A.{}2,1B. {}3,2,1C.{}2,1,0D.{}3,2,1,03、下列四个方程中表示y 是x 的函数的是()(1) 26x y -= 2(2) 1x y += 2(3) 1x y += (4) x = A.(1)(2) B.(1)(4) C.(3)(4) D.(1)(2)(4)4、下列各组函数中,两个函数相等的是( )A.()()1f x g x x ==-B.()()f x g x ==C.2(),()f x g x ==D.()1,()1f x x g x =-=5、设函数221,11(),()(2)2,1x x f x f f x x x ⎧-≤=⎨+->⎩则的值为( )A.1516B.2716-C.89D.186、设集合M=},214|{},,412|{Z k k x x N Z k k x x ∈+==∈+=,则( )A .M =NB .M N ØC .M N ÙD .M ∩=N7、1)3()(2-++=x a x x f 在),1[+∞上是增函数,则a 的取值范围是( )A.5-≤aB. 5-≥aC.1-<aD. 1->a8、下列四个函数中,满足“对任意12,(0,)x x ∈+∞,都有1212[()()]()0f x f x x x -->”的是() A.()3f x x =- B.2()3f x x x =- C.()f x x =- D.1()1f x x =-+9、若函数()y f x =的定义域是[0,2],则函数(2)()1f x g x x =-的定义域是( )A.[0,1]B.[0,1)C.[0,1][1,4]UD.(0,1)10、若函数)(x f 是定义在R 上的偶函数,在区间)0,(-∞上是减函数,且0)2(=f ,则使0)(<x f 的x 的取值范围为( )A .)2,(-∞B .),2(+∞C .)2,2(-D .),2()2,(+∞--∞Y11.下列四个命题(1)f(x)=x x -+-12有意义; (2)函数是其定义域到值域的映射;(3)函数y=2x(x N ∈)的图象是一直线;(4)函数y=⎪⎩⎪⎨⎧<-≥0,0,22x x x x 的图象是抛物线,其中正确的命题个数是 ( )A .1B .2C .3D .4 12.设函数f (x )是(-∞,+∞)上的减函数,又若a ∈R ,则( ) A .f (a )>f (2a ) B .f (a 2)<f (a) C .f (a 2+a )<f (a )D .f (a 2+1)<f (a ) 二、填空题(每小题4分,共16分)13. 函数21)(--=x x x f 的定义域为 ___________. 14.()f x 是偶函数,当0x >时,3()f x x x =-,则0x <时,()f x =________.15.设集合{}21<<-=x x A ,{}a x x B <=,若φ≠⋂B A ,则a 的取值范围为______________. 16.若函数 f (x )=(K-2)x 2+(K-1)x +3是偶函数,则f (x )的递减区间是 .三、解答题(共74分)17.(本题满分12分)已知,全集U={x |-5≤x ≤3},A={x |-5≤x <-1},B={x |-1≤x <1},求C U A ,C U B ,(C U A)∩(C U B),(C U A)∪(C U B),C U (A ∩B),C U (A ∪B),并指出其中相关的集合.18.(本题满分12分))设{}042=+=x x x A ,{}R x a x a x x B ∈=-+++=,01)1(222,若BA ,求a 值。
第⼀章__《集合与函数概念》单元测试题(含答案)《集合与函数概念》单元测试题⼀、选择题:1、在“①⾼⼀数学课本中的难题;②所有的正三⾓形;③⽅程220x +=的实数解”中,能够表⽰成集合的是( )(A )②(B )③(C )②③(D )①②③2、若{{}|0,|12A x x B x x =<<=≤<,则A B ?= ( )(A ){}|0x x ≤ (B ){}|2x x ≥(C ){0x ≤≤ (D ){}|02x x <<3、若{}{}0,1,2,3,|3,A B x x a a A ===∈,则A B ?= ( )(A ){}1,2 (B ){}0,1(C ){}0,3 (D ){}34、在映射中B A f →:,},|),{(R y x y x B A ∈==,且),(),(:y x y x y x f +-→,则与A 中的元素)2,1(-对应的B 中的元素为()(A ))1,3(- (B ))3,1( (C ))3,1(-- (D ))1,3(5、下列各组函数)()(x g x f 与的图象相同的是()(A )2)()(,)(x x g x x f == (B )22)1()(,)(+==x x g x x f(C )0)(,1)(x x g x f == (D )?-==x x x g x x f )(|,|)( )0()0(<≥x x 6、已知集合2{40}A x x =-=,集合{1}B x ax ==,若B A ?,则实数a 的值是()A .0B .12±C .0或12±D .0或127、已知集合{(,)2}A x y x y =+=,{(,)4}B x y x y =-=,则A B = ()A .{3,1}x y ==-B .(3,1)-C .{3,1}-D .{(3,1)}-8、设A 、B 为两个⾮空集合,定义{(,),}A B a b a A b B ⊕=∈∈,若{1,2,3}A =,{2,3,4}B =,则A B ⊕中的元素个数为()A .3B .7C .9D .129、已知集合2{1}A y y x ==+,集合2{26}B x y x ==-+,则A B = ()A .{(,)1,2}x y x y ==B .{13}x x ≤≤C .{13}x x -≤≤D .?10、如图所⽰,阴影部分的⾯积S 是h 的函数()H h ≤≤0。
数学必修一第一章检测试题(含答案)(集合与函数概念)一、选择题:本大题共12小题,每小题5分,共60分,在每小题给出的四个选项中,只有一项是符合题目要求的.1.已知集合}8,5,2{=M ,}10,9,8,5{=N ,则=N M (A )A .}10,9,8,5,2{B .}8,5{C .}10,9{D .}2{ 2.若集合{},,a b c 当中的元素是△ABC 的三边长,则该三角形是(C)A .正三角形B .等腰三角形C .不等边三角形D .等腰直角三角形 3.集合{1,2,3}的真子集共有(C)A .5个B .6个C .7个D .8个4.设A 、B 是全集U 的两个子集,且A ⊆B ,则下列式子成立的是(C)A .C U A ⊆C U BB .C U A ⋃C U B=UC .A ⋂C U B=φD .C U A ⋂B=φ5.已知}19,2,1{2-=a A ,B={1,3},A =B }3,1{,则=a (C)A .32B .23 C .32±D .23±6.函数x xx y +=的图象是(D)7.如果集合A={x|ax 2+2x +1=0}中只有一个元素,那么a 的值是(B)A .0B .0 或1C .1D .不能确定8.已知22(1)()(12)2(2)x x f x x x x x +≤-⎧⎪=-<<⎨⎪≥⎩,若()3f x =,则x 的值是(D)A .1B .1或32C .1,32或9.若2)2()1()(22--+-++=a a x a x a x f 是偶函数,则=a (B)A .1B .2C .3D .410.若)(x f 是R 上的奇函数,且当),0[+∞∈x 时,)1()(x x x f +=,则当)0,(-∞∈x 时,=)(x f (D)A .)1(x x +-B .)1(x x +C .)1(x x --D .)1(x x - 11.给定集合A B 、,定义 {|,,}A B x x m n m A n B ==-∈∈※.若 {4,5,6},{1,2,3}A B ==,则集合 A B※ 中的所有元素之和为 (A)A .15B .14C .27D .-1412.若f(x)=-x 2+2ax 与1)(+=x ax g 在区间[1,2]上都是减函数,则a 的值范围是 (D)A .)1,0()0,1(⋃-B .]1,0()0,1(⋃-C .(0,1)D .]1,0(二、填空题:本题共4小题,每小题4分,共16分.把答案填在题中的横线上. 13.函数b x a y +-=)1(在R 上是减函数,则a 的取值范围是1<a ; 14.设集合{1,2,3,4},{|22,}P Q x x x R ==-≤≤∈,则=Q P }2,1{15. 已知集合}41|{<≤=x x A ,}|{a x x B ≤=, 若A B ,则实数a 的取值范围为 4≥a16. 给出下列四个命题:①函数是定义域到值域的映射; ②x x x f -+-=12)(是函数;③函数)(3N x x y ∈=的图像是一条直线;④已知函数)(x f 的定义域为R ,对任意实数1x ,2x ,且≠1x 2x ,都有0)()(2121<--x f x f x x ,则)(x f 在R 上是减函数.其中正确命题的序号是①④.(写出你认为正确的所有命题序号)三、解答题:本大题共6小题,共74分.解答应写出必要的文字说明、证明过程及演算步骤. 17.(本题满分12分)已知全集U R =,集合{|14}A x x =≤<,{|315}B x x x =-<+, 求:(Ⅰ)A B ; (Ⅱ)()U C A B ; 解:(Ⅰ)由已知得: )3,1[)4,1[)3,(=⋂∴=-∞=B A A B(Ⅱ)由已知得:),4[)1,(+∞⋃-∞=A C U),4[)3,()(+∞⋃-∞=⋃B A C U18.(本题满分12分)求下列函数的定义域:(Ⅰ)y =(Ⅱ)121y x =+-.解:(Ⅰ)由已知得⎪⎪⎩⎪⎪⎨⎧≤⇒≥--≥⇒≥+4304321012x x x x∴函数的定义域为]43,21[-(Ⅱ)由已知得:12012≠+∴≠-+x x∴函数的定义域),1()1,3()3,(+∞-⋃--⋃--∞19.(本题满分12分)(Ⅰ)集合}019|{22=-+-=a ax x x A ,}065|{2=+-=x x x B .若B A B A =,求a 的值.(Ⅱ)若集合5|{≤=x x M 或}7≥x ,}121|{-≤≤+=m x m x N ,且R N M = ,求实数m 的取值范围. 解:(Ⅰ)B A B A ⋂=⋃ B A =∴ ⎩⎨⎧=--=-∴61952a a 5=∴a (Ⅱ) 5|{≤=x x M 或}7≥x ,}121|{-≤≤+=m x m x N ,且R N M = ⎩⎨⎧≥⇒≥-≤⇒≤+∴4712451m m m m4=∴m 20.(本题满分12分)已知函数)(x f y =是二次函数,且8)0(=f ,12)()1(+-=-+x x f x f .(Ⅰ)求)(x f 的解析式;(Ⅱ)求证)(x f 在区间),1[+∞上是减函数.解:(Ⅰ)设c bx ax x f ++=2)(8)0(,)0(==∴f c f 又8=∴c又c x b x a x f ++++=+)1()1()1(2)(2)(])1()1([)()1(22b a axc bx ax c x b x a x f x f ++=++-++++=-+∴结合已知得12)(2+-=++x b a ax⎩⎨⎧=+-=∴122b a a 2,1=-=∴b a82)(2++-=∴x x x f(Ⅱ)证明:设任意的),1[,21+∞∈x x 且21x x <则)2)(()(2)()82()82()()(121221212222212121-+-=-+-=++--++-=-x x x x x x x x x x x x x f x f又由假设知012>-x x 而112≥>x x 0212>-+∴x x∴0)2)((1212>-+-x x x x0)()(21>-x f x f )()(21x f x f >∴)(x f 在区间),1[+∞上是减函数.21.(本题满分12分)已知函数)()1(1)1()(2R a x a xa x a x f ∈+-++-=.(Ⅰ)讨论)(x f 的奇偶性;(Ⅱ)当)(x f 为奇函数时,判断)(x f 在区间),0(+∞上的单调性,并用单调性的定义证明你的结论.解:(Ⅰ)①当1=a 时,x xx f 22)(-=,其定义域为),0()0,(+∞⋃-∞关于原点对称。
高一数学必修一集合与函数的概念单元测试附答案解析时间:120分钟满分:150分一、选择题本大题共12个小题,每小题5分,共60分.在每小题给出的四个选项中,只有一项是符合题目要求的1.设集合M={x|x2+2x=0,x∈R},N={x|x2-2x=0,x∈R},则M∪N=A.{0} B.{0,2} C.{-2,0} D.{-2,0,2}2.设f:x→|x|是集合A到集合B的映射,若A={-2,0,2},则A∩B=A.{0} B.{2} C.{0,2} D.{-2,0}3.fx是定义在R上的奇函数,f-3=2,则下列各点在函数fx图象上的是A.3,-2 B.3,2 C.-3,-2 D.2,-34.已知集合A={0,1,2},则集合B={x-y|x∈A,y∈A}中元素的个数是A.1 B.3 C.5 D.95.若函数fx满足f3x+2=9x+8,则fx的解析式是A.fx=9x+8 B.fx=3x+2 C.fx=-3x-4 D.fx=3x+2或fx=-3x-4 6.设fx=错误!则f5的值为A.16 B.18 C.21 D.247.设T={x,y|ax+y-3=0},S={x,y|x-y-b=0},若S∩T={2,1},则a,b的值为A.a=1,b=-1 B.a=-1,b=1C.a=1,b=1 D.a=-1,b=-18.已知函数fx的定义域为-1,0,则函数f2x+1的定义域为A.-1,1 C.-1,09.已知A={0,1},B={-1,0,1},f是从A到B映射的对应关系,则满足f0>f1的映射有A.3个B.4个C.5个D.6个10.定义在R上的偶函数fx满足:对任意的x1,x2∈-∞,0x1≠x2,有x2-x1fx2-fx1>0,则当n∈N时,有A.f-n<fn-1<fn+1 B.fn-1<f-n<fn+1C.fn+1<f-n<fn-1 D.fn+1<fn-1<f-n11.函数fx是定义在R上的奇函数,下列说法:①f0=0;②若fx在0,+∞上有最小值为-1,则fx在-∞,0上有最大值为1;③若fx在1,+∞上为增函数,则fx在-∞,-1上为减函数;④若x>0时,fx=x2-2x,则x<0时,fx=-x2-2x.其中正确说法的个数是A.1个 B.2个 C.3个 D.4个12.fx满足对任意的实数a,b都有fa+b=fa·fb且f1=2,则错误!+错误!+错误!+…+错误!=A.1006 B.2014 C.2012 D.1007二、填空题本大题共4小题,每小题5分,共20分.把答案填在题中横线上13.函数y=错误!的定义域为________.14.fx=错误!若fx=10,则x=________.15.若函数fx=x+abx+2a常数a,b∈R是偶函数,且它的值域为-∞,4,则该函数的解析式fx=________.16.在一定范围内,某种产品的购买量y吨与单价x元之间满足一次函数关系,如果购买1000吨,每吨为800元,购买2000吨,每吨为700元,那么客户购买400吨,单价应该是________元.三、解答题本大题共6小题,共70分.解答应写出必要的文字说明、证明过程或演算步骤17.本小题满分10分已知集合A={x|2≤x≤8},B={x|1<x<6},C={x|x>a},U=R.1求A∪B,U A∩B;2若A∩C≠,求a的取值范围.18.本小题满分12分设函数fx=错误!.1求fx的定义域;2判断fx的奇偶性;3求证:f错误!+fx=0.19.本小题满分12分已知y=fx是定义在R上的偶函数,当x≥0时,fx=x2-2x.1求当x<0时,fx的解析式;2作出函数fx的图象,并指出其单调区间.20.本小题满分12分已知函数fx=错误!,1判断函数在区间1,+∞上的单调性,并用定义证明你的结论.2求该函数在区间1,4上的最大值与最小值.21.本小题满分12分已知函数fx的定义域为0,+∞,且fx为增函数,fx·y=fx+fy.1求证:f错误!=fx-fy;2若f3=1,且fa>fa-1+2,求a的取值范围.22.本小题满分12分某商场经销一批进价为每件30元的商品,在市场试销中发现,此商品的销售单价x元与日销售量y件之间有如下表所示的关系:1在所给的坐标图纸中,根据表中提供的数据,描出实数对x,y的对应点,并确定y与x 的一个函数关系式.2设经营此商品的日销售利润为P元,根据上述关系,写出P关于x的函数关系式,并指出销售单价x为多少元时,才能获得最大日销售利润1.解析M={x|xx+2=0.,x∈R}={0,-2},N={x|xx-2=0,x∈R}={0,2},所以M∪N={-2,0,2}.答案D2. 解析依题意,得B={0,2},∴A∩B={0,2}.答案C3. 解析∵fx是奇函数,∴f-3=-f3.又f-3=2,∴f3=-2,∴点3,-2在函数fx的图象上.答案A4. 解析逐个列举可得.x=0,y=0,1,2时,x-y=0,-1,-2;x=1,y=0,1,2时,x-y =1,0,-1;x=2,y=0,1,2时,x-y=2,1,0.根据集合中元素的互异性可知集合B的元素为-2,-1,0,1,2.共5个.答案C5. 解析∵f3x+2=9x+8=33x+2+2,∴fx=3x+2.答案B6. 解析f5=f5+5=f10=f15=15+3=18.答案B7. 解析依题意可得方程组错误!错误!答案C8. 解析由-1<2x+1<0,解得-1<x<-错误!,故函数f2x+1的定义域为错误!.答案B9. 解析当f0=1时,f1的值为0或-1都能满足f0>f1;当f0=0时,只有f1=-1满足f0>f1;当f0=-1时,没有f1的值满足f0>f1,故有3个.答案A10.解析由题设知,fx在-∞,0上是增函数,又fx为偶函数,∴fx在0,+∞上为减函数.∴fn+1<fn<fn-1.又f-n=fn,∴fn+1<f-n<fn-1.答案C11. 解析①f0=0正确;②也正确;③不正确,奇函数在对称区间上具有相同的单调性;④正确.答案C12. 解析因为对任意的实数a,b都有fa+b=fa·fb且f1=2,由f2=f1·f1,得错误!=f1=2,由f4=f3·f1,得错误!=f1=2,……由f2014=f2013·f1,得错误!=f1=2,∴错误!+错误!+错误!+…+错误!=1007×2=2014.答案B13. 解析由错误!得函数的定义域为{x|x≥-1,且x≠0}.答案{x|x≥-1,且x≠0}14. 解析当x≤0时,x2+1=10,∴x2=9,∴x=-3.当x>0时,-2x=10,x=-5不合题意,舍去.∴x=-3.答案-315. 解析fx=x+abx+2a=bx2+2a+abx+2a2为偶函数,则2a+ab=0,∴a=0,或b=-2.又fx的值域为-∞,4,∴a≠0,b=-2,∴2a2=4.∴fx=-2x2+4.答案-2x2+416. 解析设一次函数y=ax+ba≠0,把错误!和错误!代入求得错误!∴y=-10x+9000,于是当y=400时,x=860.答案86017. 解1A∪B={x|2≤x≤8}∪{x|1<x<6}={x|1<x≤8}.A={x|x<2,或x>8}.U∴U A∩B={x|1<x<2}.2∵A∩C≠,∴a<8.18. 解1由解析式知,函数应满足1-x2≠0,即x≠±1.∴函数fx的定义域为{x∈R|x≠±1}.2由1知定义域关于原点对称,f-x=错误!=错误!=fx.∴fx为偶函数.3证明:∵f错误!=错误!=错误!,fx=错误!,∴f错误!+fx=错误!+错误!=错误!-错误!=0.19. 解1当x<0时,-x>0,∴f-x=-x2-2-x=x2+2x.又fx是定义在R上的偶函数,∴f-x=fx.∴当x<0时,fx=x2+2x.2由1知,fx=错误!作出fx的图象如图所示:由图得函数fx的递减区间是-∞,-1,0,1.fx的递增区间是-1,0,1,+∞.20. 解1函数fx在1,+∞上是增函数.证明如下:任取x1,x2∈1,+∞,且x1<x2,fx-fx2=错误!-错误!=错误!,1∵x1-x2<0,x1+1x2+1>0,所以fx1-fx2<0,即fx1<fx2,所以函数fx在1,+∞上是增函数.2由1知函数fx在1,4上是增函数,最大值f4=错误!,最小值f1=错误!.21. 解1证明:∵fx=f错误!=f错误!+fy,y≠0∴f错误!=fx-fy.2∵f3=1,∴f9=f3·3=f3+f3=2.∴fa>fa-1+2=fa-1+f9=f9a-1.又fx在定义域0,+∞上为增函数,∴错误!∴1<a<错误!.22. 解1由题表作出30,60,40,30,45,15,50,0的对应点,它们近似地分布在一条直线上,如图所示.设它们共线于直线y=kx+b,则错误!错误!∴y=-3x+1500≤x≤50,且x∈N,经检验30,60,40,30也在此直线上.∴所求函数解析式为y=-3x+1500≤x≤50,且x∈N.2依题意P=yx-30=-3x+150x-30=-3x-402+300.∴当x=40时,P有最大值300,故销售单价为40元时,才能获得最大日销售利润.。
高一数学必修1《集合与函数概念》测试卷(含答案)第一章(一)《集合与函数概念》测试卷考试时间:120分钟满分:150分一.选择题(本大题共12小题,每小题5分,共60分)1.下列叙述正确的是()A.函数的值域就是其定义中的数集BB.函数y=f(x)的图像与直线x=m至少有一个交点C.函数是一种特殊的映射D.映射是一种特殊的函数2.如果A={x|x>-1},则下列结论正确的是()A.XXXB.{}⊆AC.{}∈AD.∅∈A3.设f(x)=(2a-1)x+b在R上是减函数,则有()A.a≥1/2B.a≤1/2C.a>1/2D.a<1/24.定义在R上的偶函数f(x),对任意x1,x2∈[0,+∞)(x1≠x2),有|x1-x2|<π/2,则有()A.f(3)<f(-2)<f(1)B.f(1)<f(-2)<f(3)C.f(-2)<f(1)<f(3)D.f(3)<f(1)<f(-2)5.若奇函数f(x)在区间[1,3]上为增函数,且有最小值,则它在区间[-3,-1]上()A.是减函数,有最小值0B.是增函数,有最小值0C.是减函数,有最大值0D.是增函数,有最大值06.设f:x→x是集合A到集合B的映射,若A={-2,0,2},则AB等于()A.{}B.{2}C.{0,2}D.{-2,0}7.定义两种运算:a⊕b=ab,a⊗b=a²+b²,则函数f(x⊗3-3)为()A.奇函数B.偶函数C.既不是奇函数又不是偶函数D.既是奇函数又是偶函数8.若函数f(x)是定义域在R上的偶函数,在(-∞,0)上是减函数,且f(-2)=1/4,则使f(x)<1/4的x的取值范围为()A.(-2,2)B.(-2,0)∪(0,2)C.(-∞,-2)∪(2,+∞)D.(-∞,-2]∪[2,+∞)9.函数f(x)=x+(x|x|)的图像是()10.设f(x)是定义域在R上的奇函数,f(x+2)=-f(x),当|x|<1时,f(x)=x,则f(7.5)的值为()A.-0.5B.0.5C.-5.5D.7.511.已知f(-2x+1)=x²+1,且-1/2≤x≤1/2,则f(x)的值域为()A.[1,5/4]B.[1/4,5/4]C.[0,5/4]D.[1/4,2]12.设f(x)是定义在R上的奇函数,且f(x)在[-2,2]上单调递增,则f(x)在(-∞,-2)∪(2,+∞)上()A.单调递减B.单调不增也不减C.单调递增D.无法确定第一章(一)《集合与函数概念》测试卷考试时间:120分钟满分:150分一、选择题(本大题共12小题,每小题5分,共60分)1.下列叙述正确的是()A。
集合与函数概念一、选择题:1.已知集合{}|110,P x Nx =∈≤≤ {}2|60,Q x R x x =∈+-=则P QI 等于( D ).A. {}1,2,3B. {}2,3C. {}1,2D. {}2 2.已知集合{1,2,3,4,5,6,7}U =,{2,4,5,7}A =,{3,4,5}B =,则()()UU A B = 痧( D ). A. {1,6} B. {4,5} C. {2,3,4,5,7} D. {1,2,3,6,7} 3.设()f x 是R 上的任意函数,下列叙述正确的是( C )A. ()()f x f x -是奇函数B. ()()f x f x -是奇函数C. ()()f x f x +-是偶函数D. ()()f x f x --是偶函数4.设集合{}12A =,,则满足{}123A B = ,,的集合B 的个数是( C ). A. 1B. 3C. 4D. 85、下列表示图形中的阴影部分的是【A 】A 、()()A CBC U I U B 、()()A B A C U I U C 、()()A B B C U I UD 、()A B C U I6、若集合}1,1{-=A ,}1|{==mx x B ,且A B A =U ,则m 的值为【 D 】A 、1B 、1-C 、1或1-D 、1或1-或07、已知函数()()2212f x x a x =+-+在区间(]4,∞-上是减函数,则实数a 的取值范围是【 A 】 A 、3a ≤- B 、3a ≥- C 、5a ≤ D 、3a ≥8、)127()2()1()(22+-+-+-=m m x m x m x f 为偶函数,则m 的值是【 B 】A 、1B 、2C 、 3D 、 4 9、若偶函数)(x f 在(]1,-∞-上是增函数,则下列关系式中成立的是【 D 】A 、)2()1()23(f f f <-<- B 、)2()23()1(f f f <-<-C 、)23()1()2(-<-<f f fD 、 )1()23()2(-<-<f f f 10、设()f x 是奇函数,且在(0,)+∞内是增函数,又(3)0f -=,则()0x f x ⋅<的解集是【 D 】A 、{}|303x x x -<<>或B 、{}|303x x x <-<<或C 、{}|33x x x <->或D 、{}|3003x x x -<<<<或 二、填空题:11、用最恰当的符号填空≠⊂① 0__∈_Z,5∉N, 16_∈__Q ② 若{}2|A x x x ==,则-1∉A③ ∅ ={}2|10x x +=④ {}0,1≠⊂N ⑤ {}2|x x x =≠⊃{}0 12、若集合{}|37A x x =≤<,{}|210B x x =<<,则A B =U {}|210x x << 13、已知{}21B y y x ==+,{}221,A y y x x ==-+-则A B =I {}|0y y ≤ 14、若函数2()(2)(1)3f x k x k x =-+-+是偶函数,则)(x f 的递减区间是[)0,+∞15、奇函数()f x 在区间[3,7]上是增函数,在区间[3,6]上的最大值为8,最小值为1-,则2(6)(3)f f -+-=___15___三、解答题:16、若集合{}{}2|60,|10M x x x N x ax =+-==-=,且N M⊆,求实数a 的值.16解:由26023x x x +-=⇒=-或,因此,{}2,3M =-.(i )若0a =时,得N =∅,此时,NM⊆;(ii )若0a ≠时,得1{}Na =. 若N M⊆,满足1123a a ==-或,解得1123a a ==-或.故所求实数a 的值为0或12或13-.17、设集合{|(3)()0,}A x x x a a R =--=∈,{|(4)(1)0}B x x x =--=,求A B , A B.(教材P 14 B 组题2)17解:{1,4}B =.当3a =时,{3}A =,则{1,3,4}A B = ,A B =∅ ; 当1a =时,{1,3}A =,则{1,3,4}A B = ,{1}A B = ; 当4a =时,{3,4}A =,则{1,3,4}A B = ,{4}A B = ;当3a ≠且1a ≠且4a ≠时,{3,}A a =,则{1,3,4,}A B a = ,A B =∅ .18、设集合A ={x |240x x +=}, B ={x |222(1)10x a x a +++-=,a R ∈},若A B =B ,求实数a 的值.19解:先化简集合A ={4,0}-. 由A B =B ,则B ⊆A ,可知集合B 可为∅,或为{0},或{-4},或{4,0}-.(i )若B =∅,则224(1)4(1)0a a ∆=+--<,解得a <1-; (ii )若0∈B ,代入得2a 1-=0⇒a =1或a =1-, 当a =1时,B =A ,符合题意;当a =1-时,B ={0}⊆A ,也符合题意.(iii )若-4∈B ,代入得2870a a -+=⇒a =7或a =1, 当a =1时,已经讨论,符合题意;当a =7时,B ={-12,-4},不符合题意. 综上可得,a =1或a ≤1-.19、已知函数[]2()22,5,5f x x ax x =++∈-。
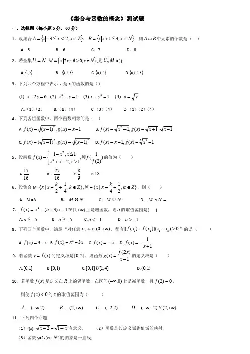
《集合与函数的概念》测试题满分 150分 时间 120分钟 一、选择题(每小题5分,共50分)1.下列五个写法,其中错误..写法的个数为( ) ①{0}∈{0,2,3}; ②{}0∅⊆; ③{0,1,2}⊆{1,2,0};④0∈Ø ; ⑤0∩Ø=Ø A .1 B .2 C .3 D .42.已知M ={x |y =x 2-2},N ={y |y =x 2-2},则M ∩N 等于( ) A .N B .M C .R D .Ø3.等腰三角形的周长是20,底边长y 是一腰的长x 的函数,则y 等于( )A .20-2x (0<x ≤10) B.20-2x (0<x <10) C .20-2x (5≤x ≤10) D.20-2x (5<x <10) 4.函数()f x =的定义域是( ) A. {}4,5x x x ≥≠±且 B. 4,x ≥且5x ≠ C. [)4,,5x +∞≠且 D. [)()4,55,+∞5.已知-1≤x ≤32,则函数f (x )=x 2+x +1( )A .有最小值-34,无最大值B .有最小值34,最大值1C .有最小值1,最大值194D .有最小值34,最大值1946.下列四个函数中,在()0,+∞上为增函数的是( )A.()3f x x =-B. ()23f x x x =- C. ()11f x x =-+ D.()f x x =- 7.函数()xf x x x=+的图象是( )8.若偶函数f (x )在区间(-∞,-1]上是增函数,则( )A .f (-32)<f (-1)<f (2)B .f (-1)<f (-32)<f (2)C .f (2)<f (-1)<f (-32)D .f (2)<f (-32)<f (-1)9. 已知函数f (x )的定义域为[a ,b ],函数y =f (x )的图象如图甲所示,则函数f (|x |)的图象是图乙中的( )甲 乙10.已知y =f (x )是定义在R 上的奇函数,则下列函数中为奇函数的是( ) ①y =f (|x |) ②y =f (-x ) ③y =xf (x ) ④y =f (x )+x A .①③ B .②③ C .①④ D .②④ 二、填空题(每小题5分,共25分)11.设全集U ={a ,b ,c ,d ,e },A ={a ,c ,d },B ={b ,d ,e },则∁U A ∩∁U B =________. 12.设全集U =R ,A ={x |x ≥1},B ={x |-1≤x <2},则∁U (A ∩B )=________.13.已知函数f (x )=x 2+2(a -1)x +2在区间(-∞,3]上为减函数,求实数a 的取值范围为________.14.若f (x )=(m -1)x 2+6mx +2是偶函数,则f (0)、f (1)、f (-2)从小到大的顺序是_______. 15. 已知()f x 是偶函数,当()()01x f x x x <=+时,,则当()0=x f x >时, . 三、解答题(写出必要的计算步骤,只写最后结果不得分,共75分)16.(12分)设A ={x |-2≤x ≤5},B ={x |m -1≤x ≤2m +1}, (1)当x ∈N *时,求A 的子集的个数; (2)当x ∈R 且A ∩B =Ø时,求m 的取值范围.17.(12分)已知函数()()()4040x x x f x x x x +≥⎧⎪=⎨-<⎪⎩,求()3,f -()1f a +的值.18.(12分) 已知函数()2=48f x x kx --在[]5,20上具有单调性,求实数k 的取值范围.19.(12分)求函数[]21,3,51x y x x -=∈+的最大值和最小值.20.(13分)如图,已知底角为45°的等腰梯形ABCD ,底边BC 长为7cm,腰长为当一条垂直于底边BC (垂足为F )的直线l 从左至右移动(与梯形ABCD 有公共点)时,直线l 把梯形分成两部分,令BF x =,试写出左边部分的面积y 与x 的函数解析式,并画出大致图象.CB21.(14分)已知函数()f x 对任意,,x y R ∈总有()()()f x f y f x y +=+,且当0x >时,()0,f x <. ⑴ 求证:()();f x f x -=- ⑵ 求证:()f x 在R 上是减函数;⑶ 若()12f -=,解不等式()()214f x f x +>+.。
.高一年级《集合与函数的概念》测试题姓名________________ 学号________________ 分数________________一、选择题(每小题5分,共50分)1、设集合{}Z x x x A ∈<≤-=,23,{}N x x x B ∈≤+=,31,则B A ⋃中元素的个数是( B )A .5B .6C .7D .8 2、若全集U N =,{}260,M x x x N =->∈,则U C M =( D )A.{}2,1 B. {}3,2,1 C.{}2,1,0 D.{}3,2,1,0 3、下列四个方程中表示y 是x 的函数的是( D )(1) 26x y -= 2(2) 1x y += 2(3) 1x y += (4) x = A.(1)(2) B.(1)(4) C.(3)(4) D.(1)(2)(4)4、下列各组函数中,两个函数相等的是( D )A.()()1f x g x x ==-B.()()f x g x =C.2(),()f x g x ==D.()1,()1f x x g x =-=5、设函数221,11(),()(2)2,1x x f x f f x x x ⎧-≤=⎨+->⎩则的值为( A ) A.1516B.2716- C.89 D.18 6、设集合M=},214|{},,412|{Z k k x x N Z k k x x ∈+==∈+=,则( B ) A .M =NB .M NC .M ND .M ∩=N ∅ 7、1)3()(2-++=x a x x f 在),1[+∞上是增函数,则a 的取值范围是( B )A.5-≤aB. 5-≥aC.1-<aD. 1->a8、下列四个函数中,满足“对任意12,(0,)x x ∈+∞,都有1212[()()]()0f x f x x x -->”的是( D )A.()3f x x =-B.2()3f x x x =-C.()f x x =-D.1()1f x x =-+9、若函数()y f x =的定义域是[0,2],则函数(2)()1f x g x x =-的定义域是( B ) A.[0,1] B.[0,1) C.[0,1][1,4] D.(0,1)10、若函数)(x f 是定义在R 上的偶函数,在区间)0,(-∞上是减函数,且0)2(=f ,则使0)(<x f 的x 的取值范围为( C )A .)2,(-∞B .),2(+∞C .)2,2(-D .),2()2,(+∞--∞二、填空题(每小题5分,共20分)11、 函数21)(--=x x x f 的定义域为 _____[1,2)(2,)+∞______. 12、()f x 是偶函数,当0x >时,3()f x x x =-,则0x <时,()f x =___3x x -+_____.13、设集合{}21<<-=x x A ,{}a x x B <=,若φ≠⋂B A ,则a 的取值范围为_______(1,)-+∞_______.14、函数()12-=x x f 的单调递减区间为_____(,1),(0,1)-∞-___________.三、解答题(共80分)15(12分)、设{}042=+=x x x A ,{}R x a x a x x B ∈=-+++=,01)1(222,若B A ,求a 值。
必修1第一章综合检测一、选择题(每小题5分,共10个小题)1.如图是集合的知识结构图,如果要加入“全集”,则应该放在( )A .“集合的概念”的下位B .“集合的表示”的下位C .“基本关系”的下位D .“基本运算”的下位 2.已知集合32A x x Z Z x ⎧⎫=∈∈⎨⎬-⎩⎭且,则集合A 中的元素个数为( ) A.2 B.3 C.4 D.5 3.已知定义在(-1,1)上的奇函数()f x 为减函数,且(1)(2)0f a f a -+<,则a 的取值范围( ) A. (,1)-∞- B.(1,-+∞) C. (11,22-) D.(10,2) 4.设全集}02|},51|{,2=--∈=≤≤∈==x x R x B x N x A R U ,则图中阴影表示的集合为( )A .{-1}B .{2}C .{3,4,5}D .{3,4}5.若a 是常数,函数()f x 对于任何的非零实数x 都有1()()1f af x x x=--,且(1)1f =,则不等式()0f x x -≥的解集为( ) A .1(,](0,1]5-∞- B .1(,][1,)5-∞-+∞ C . 1[,0)(0,1]5-D .1[,0)[1,)5-+∞6.设集合}5,4,3,2,1{},1,0,2{=-=N M ,映射N M f →:使得对任意的M x ∈,都有)()(x xf x f x ++是奇数,则这样的映射f 的个数是( )A .45B .27C .15D .11 7.设U 为全集,M , P 是U 的两个子集,且P P M C U = )(,则=P M ( )A . MB . PC . P C UD . φ8.设,则函数的图像大致形状是( )9.已知()f x 为偶函数,当0x ≥时,()()211f x x =--+,则满足()12f f a ⎡⎤=⎣⎦的实数a 的个数为( ). A .2 B .4 C .6 D .8xyOa xyOaxyOaxyOaAB CD()y x x a =-0a >AMEPDCB N F 10.对于函数()y f x =,如果存在区间[,]m n ,同时满足下列条件:①()f x 在[,]m n 内是单调的;②当定义域是[,]m n 时,()f x 的值域也是[,]m n ,则称[,]m n 是该函数的“和谐区间”.若函数11()(0)a f x a a x+=->存在“和谐区间”,则a 的取值范围是( ) A .(0,1) B . (0,2) C .15(,)22D .(1,3)二、填空题(每小题5分,共5个小题)11.对于集合B A ,,我们把集合},|{B x A x x ∉∈且叫做集合A 与B 的差集,记作B A -.若集合B A ,都是有限集,设集合B A -中元素的个数为)(B A f -,则对于集合},1{},3,2,1{a B A ==,有=-)(B A f __________ 12.将一张坐标纸折叠一次,使点(10,0)与(-6,8)重合,则与点(-4,2)重合的点是 . 13.如图,已知边长为8米的正方形钢板有一个角锈蚀,其中4AE =米,6CD =米. 为了合理利用这块钢板,将在五边形ABCDE 内截取一个矩形块BNPM ,使点P 在边DE 上. 则矩形BNPM 面积的最大值为____14.若对于任意的[]3,1∈x , 02)1(2≥+--+a x a x 恒成立, 则实数a 的取值范围是 . 15.已知函数()f x 满足:(1)f =41,4()()()().(,)f x f y f x y f x y x y R ⋅=++-∈.则(2010)f =_________ 三、解答题(共6个小题)16.已知集合{}{}(2)(1)0,(1)()0A x x x B x ax x a =++≤=-+>,,A B a ⊆且求的范围.17.已知函数2()1xf x x =+,()1,1x ∈-(1)判断此函数的奇偶性;(2)判断函数的单调性,并加以证明.(3)解不等式()()10f x f x -->18.随着机构改革工作的深入进行,各单位要减员增效,有一家公司现有职员2a 人(140<2a <420,且a 为偶数),每人每年可创利10万元.据评估,在经营条件不变的前提下,若裁员x 人,则留岗职员每人每年多创利0.1x 万元,但公司需付下岗职员每人每年4万元的生活费,并且该公司正常运转情况下,所裁人数不超过50人,为获得最大的经济效益,该公司应裁员多少人?19.设bx ax x f +=2)(,求满足下列条件的实数a 的值:至少有一个正实数b ,使函数)(x f 的定义域和值域相同。
高中数学集合与函数的概念测试卷及答案集合与函数的概念测试卷一、选择题1、已知集合A是全集S的任一子集,下列关系中正确的是()A.B.SC.(A )= D.(A )S2、若命题“p或q”是假命题,命题┐q是真命题.那么()A.命题p和命题q都是假命题B.命题p真命题和命题q是假命题C.命题p是假命题,命题q是真命题D.以上都不对. 3、若二次不等式ax2+bx+c0的解集是,那么不等式2cx2-2bx-a0的解集是()A.B.C.D.4、用反证法证明如果ab,那么,假设的内容应是()A.B.C.且D.或5、若不等式和同时成立,则x的取值范围是()A.B.C.D.6、不等式的解集是()A. {x|x-4或xB.C. {xR|x-4}D. R7、设全集U={(x,y)|xR,yR},集合M={(x,y)|yx} ,N={(x,y)|y-x},则集合P={(x,y)|y2=x2}等于()A.()()B.()C.()()D.M()8、不等式的解集为()A.{x|-23} B.{x|-22}C.{x|x-2或x D.{x|-23且x }9、不等式的解集为全体实数,这实数的取值范围是()A、B、C、D、或10、下列指定的命题中,真命题是()A.命题“若axb则x ”B.命题“若b= -2则b2=4”的逆命题11、abac是bc的()A.充分不必要条件B. 必要不充分条件C. 充要条件D. 既不充分也不必要条件12、下列说法:①若一个命题的否命题是真命题,则这个命题不一定是真命题;②若一个命题的逆否命题是真命题,则这个命题是真命题;③若一个命题的逆命题是真命题,则这个命题不一定是真命题;④若一个命题的逆命题和否命题都是真命题,则这个命题一定是真命题;其中正确的说法是()OxyA.①② B.①③④ C.②③④ D.①②③二、填空题13、设A= ,则A=____________(用列举法表示)14、设A= ,B= ,则AB= .15、不等式|x+1|+|x-1| 2的解集是_________________________.16、已知函数的图象如图,则的取值范围是三、解答题17、解不等式x2-5|x|+60.18、解不等式x2-(k+1)x+k019、已知集合A={x|x2-7x+12=0}、B={x|x2-kx+12=0}.若,求k的取值范围.20、写出命题“各数字之和是3的倍数的正整数,可能被3整除”的逆命题、否命题、逆否命题,并判断其真假.21、某班有学生55人,其中有音乐爱好者34人,有体育爱好者43人,还有4人既不爱好音乐又不爱好体育,该班既爱好音乐又爱好体育的有多少人?22、求证:当为实数时,关于的一元二次方程与方程至少有一个方程有实根答案CAADB DCDBD DD13、{-4,0,2,3,5,6,8,12} 14、{x|3 x 7} 15、16、17、{x|-3-2或23}18、当k1时,解集为{x|k1};当k=1时,解集为;当k〉1时,解集为{x| 1 k };19、20、(略)课本、报刊杂志中的成语、名言警句等俯首皆是,但学生写作文运用到文章中的甚少,即使运用也很难做到恰如其分。
集合与函数概念测试题一、选择题1.下列各组对象中不能..形成集合的是( ) (A )高一数学课本中较难的题 (B )十个自然数(C )高三年级开设的所有课程 (D )高一(12)班个子高于1.7m 的学生2.以下五个写法中:①{0}∈{0,1,2};②⊆∅{1,2};③{0,1,2}={2,0,1};④∅∈0;⑤A A =∅⋃,正确的个数有( )A .1个B .2个C .3个D .4个3.已知集合A=}24|{<<-x x ,B=}12|{<<-x x ,则( )A .A=B B .A ⊆BC .A BD .A ⊇B4.以下图象能表示函数图象的是( )5.图中的阴影表示的集合中是( )A .BC A u ⋂ B .A C B u ⋂C .)(B A C u ⋂D .)(B A C u ⋃6.在下列四组函数中,函数()f x 与()g x 相等的是( ) ()A 11)(,1)(2+-=-=x x x g x x f ()B 2)(|,|)(x x g x x f == ()C )(1)(),(1)(Z x x x g R x x x f ∈+=∈+= ()D 2)(,)(x x g x x f ==7.函数5||4--=x x y 的定义域为( ) A .}5|{±≠x x B .}4|{≥x x C .}54|{<<x x D .}554|{><≤x x x 或8、已知()x f =x x 62+,则()1-x f 的表达式是( )A .542-+x xB .782++x xC .322-+x xD .1062-+x x9.设集合}|{,}21|{a x x B x x A <=<≤-=,若A ∩B ≠∅,则a 的取值范围是( )A .2<aB .2>aC .1->aD .21≤<-a10.若{}21,,0,,b a a a b a ⎧⎫=+⎨⎬⎩⎭,则20052005a b +的值为( ) y x x x x y y y A BC D A B U(A )0 (B )1 (C )1- (D )1或1-二、填空题1.若{}{}{}0,1,2,,1,2,3,2,3,4A B C ===,则()()A B B C ⋂⋃⋂=2.设集合2{1,2,3},{2,4},{1}A B a a A B ==++⋂=则实数a = .3.设集合{32}A x x =-≤≤,{2121}B x k x k =-+≤≤,且A B ⊇,则实数k 的取值范围是______________4.若函数1)1(2-=+x x f ,则()f x =____________5.若2()2f x ax =-,a 为一个正的常数,且[(2)]2f f =-,则a =________6.函数2()46,[1,5)f x x x x =-+∈的值域是___________三、解答题1.设U={x ∈Z|0<x ≤10},A={1,2,4,5,9},B={4,6,7,8,10},C={3,5,7},求A B , (C U A) (C U B),()A B C2.全集U=R ,若集合{}|310A x x =≤<,{}|27B x x =<≤,则(1)求A B ,A B , ()()U U C A C B ;(2)若集合C={|}x x a >,A C ⊆,求a 的取值范围;3.已知函数()2f x x =+,1()3548g x x x =-++- , (1)试求()f x 和()g x 的定义域;(2)求(3)f x +和(1)g -.4.求下列函数的值域。
(完整word 版)集合与函数概念单元测试题第一章 《集合与函数概念》单元测试题本试卷分第Ⅰ卷(选择题)和第Ⅱ卷(非选择题)两部分,全卷满分150分,考试时间120分钟.第Ⅰ卷(选择题 共50分)一.选择题:本大题共10小题,每小题5分,共50分,在每小题给出的四个选项中,只有一项是符合题目要求的。
1.下列说法①高一数学课本中的难题能构成集合;②10以内的质数集合是{2,3,5,7}; ③方程x 2-4x +4=0的解集是{2,2};④0与{0}表示同一个集合;⑤由1,2,3组成的集合可表示为{1,2,3}或{3,2,1},其中正确的有 ( )A .①②B .②③C .②⑤D .①②③2.设集合A ={x |2x +1<3},B ={x |-3<x <2},则A ⋂B 等于 ( )A .{x |-3<x <1}B .{x |1<x <2}C .{x|x -3}D .{x|x 1} 3.拟定从甲地到乙地通话m 分钟的电话费由() 1.06(f m ==0.5[]1)m +(元)决定,其中0>m ,][m 是大于或等于m 的最小整数,(如[3]=3,[3.8]=4,[3.1]=4),则从甲地到乙地通话时间为5。
5分钟的电话费为 ( )A .3。
71元B .3。
97元C .4。
24元D .4。
77元4.已知函数32)1(+=+x x f 则)(x f 等于 ( ) A .32+x B .12+x C .22+x D .12-x5.下列四组中的),(),(x g x f 表示同一个函数的是 ( )A .0)(,1)(x x g x f == B .1)(,1)(2-=-=xx x g x x f C .42)()(,)(x x g x x f == D .393)(,)(x x g x x f ==6.已知函数f (n)= ⎩⎨⎧<+≥-)10)](5([)10(3n n f f n n ,其中n ∈N ,则f(8)等于 ( )A .2B .4C .6D .77.已知函数()533f x ax bx cx =-+-,()37f -=,则()3f 的值为 ( ) A .13 B .13- C .7 D .7-8.如图所示,阴影部分的面积S 是h 的函数()H h ≤≤0.则该函数的图象是 ( )ssHhS姓 名 班 级考 号 装订线内不要答卷A .B .C .D .9.设()11xf x x +=-,又记()()()()()11,,1,2,,k k f x f x f x f f x k +===则()2008f x =( )A .11x x +-B .11x x -+C .xD .1x -5.设偶函数()f x 在(0)+∞,上为增函数,且(1)0f =,则不等式()()0f x f x x+-<的解集为( )A .(10)(1)-+∞,,B .(1)(01)-∞-,,C .(1)(1)-∞-+∞,,D .(10)(01)-,,第II 卷(非选择题 共100分)二.填空题:本大题共5小题,每小题5分,共25分。
数学中的集合与函数的概念练习题在数学的广袤天地中,集合与函数是两个极其重要的概念,它们不仅是进一步学习数学的基础,也是解决许多实际问题的有力工具。
为了更好地理解和掌握这两个概念,让我们通过一系列练习题来加深对它们的认识。
一、集合的练习题1、已知集合 A ={1, 2, 3, 4, 5},集合 B ={3, 4, 5, 6, 7},求 A∩ B。
解:A ∩ B 表示集合 A 和集合 B 的交集,即两个集合中共同的元素。
所以A ∩ B ={3, 4, 5}。
2、集合 C ={x | x 是小于 10 的正奇数},用列举法表示集合 C。
解:小于 10 的正奇数有 1、3、5、7、9,所以集合 C ={1, 3, 5, 7, 9}。
3、若集合 D ={x | x² 5x + 6 = 0},求集合 D。
解:解方程 x² 5x + 6 = 0,可得(x 2)(x 3) = 0,所以 x = 2或 x = 3。
则集合 D ={2, 3}。
4、集合 E ={1, 2, 3},集合 F ={a, b, c},求 E × F。
解:E × F 表示集合 E 和集合 F 的笛卡尔积,即{(1, a),(1, b),(1, c),(2, a),(2, b),(2, c),(3, a),(3, b),(3, c)}。
二、函数的练习题1、已知函数 f(x) = 2x + 1,求 f(3)。
解:将 x = 3 代入函数 f(x) = 2x + 1 中,可得 f(3) = 2×3 + 1 = 7。
2、函数 g(x) = x² 4,求 g(x + 1)。
解:g(x + 1) =(x + 1)² 4 = x²+ 2x + 1 4 = x²+ 2x 3。
3、判断函数 h(x) =√(x 1) 的定义域。
解:要使根式有意义,被开方数必须大于等于 0,即x 1 ≥ 0,所以x ≥ 1。
第一章 《集合与函数概念》单元测试题一、选择题:每小题4分,共40分。
1、以下四个关系:φ}0{∈,∈0φ,{φ}}0{⊆,φ}0{,其中正确的个数是( ) A .1B .2 C .3D .42、若{}{}|02,|12A x x B x x =<<=≤<,则A B ⋃= ( ) A .{}|0x x ≤B .{}|2x x ≥C .{}02x ≤≤D .{}|02x x << 3、若{}21,,0,,b a a a b a ⎧⎫=+⎨⎬⎩⎭,则20092009b a +的值为( )A .0B .1C .1-D .1或1-4、在下列四组函数中,f (x )与g (x )表示同一函数的是( )A .x x y y ==,1B .1,112-=+⨯-=x y x x yC .55,x y x y ==D .2)(|,|x y x y ==5.已知集合M={R x x x y y ∈-+=,322},集合N={32≤-y y },则M =⋂N ( )。
(A ){4-≥y y } (B ){51≤≤-y y }(C ){14-≤≤-y y } (D )φ6、设集合{}06A x x =≤≤,{}02B y y =≤≤。
从A 到B 的对应法则f 不是映射的是() A .1:3f x y x −−→=B .1:2f x y x −−→= C .1:4f x y x −−→=D .1:6f x y x −−→= 7、若)1(-x f 的定义域为[1,2],则)2(+x f 的定义域为( )A .[0,1]B .[2,3]C .[-2,-1]D .无法确定8、是定义在上的增函数,则不等式的解集是( )A .(0 ,+∞)B .(0 , 2)C .(2 ,+∞)D .(2 ,716) 9、如果函数2()2(1)2f x x a x =+-+在区间(],4-∞上是减少的,那么实数a 的取值范围是( )A 、3a -≤B 、3a -≥C 、a ≤5D 、a ≥510、函数()f x 的定义域为),(b a ,且对其内任意实数12,x x 均有:1212()[()()]0x x f x f x --<,则()f x 在),(b a 上是A .增函数B .减函数C .奇函数D .偶函数二、填空题:每小题4分,共20分。
Equation Chapter 1 Section 1 【2 】第一章聚集与函数概念测试题 一:选择题 1.下列聚集中与聚集{21,}x x k k N +=+∈不相等的是( )A .{23,}x x k k N =+∈B .{41,}x x k k N +=±∈C .{21,}x x k k N =+∈D .{23,3,}x x k k k Z =-≥∈2.图中暗影部分所表示的聚集是()A.B∩[CU(A ∪C)]B.(A ∪B) ∪(B ∪C)C.(A ∪C)∩(CUB)D.[CU(A∩C)]∪B3.已知聚集2{1}A y y x ==+,聚集2{26}B x y x ==-+,则A B =( )A .{(,)1,2}x y x y ==B .{13}x x ≤≤C .{13}x x -≤≤D .∅4.已知聚集2{40}A x x =-=,聚集{1}B x ax ==,若B A ⊆,则实数a 的值是( )A .0B .12±C .0或12±D .0或125.已知聚集{1,2,3,}A a =,2{3,}B a =,则使得Φ=B A C U )(成立的a 的值的个数为( )A .2B .3C .4D .56.设A .B 为两个非空聚集,界说{(,),}A B a b a A b B ⊕=∈∈,若{1,2,3}A =,{2,3,4}B =,则A B ⊕中的元素个数为 ( )A .3B .7C .9D .127.已知A.B 两地相距150千米,或人开汽车以60千米/小时的速度从A 地到达B 地,在B 地逗留1小时后再以50千米/小时的速度返回A 地,把汽车分开A 地的距离x 表示为时光t (小时)的函数表达式是( )A .x=60tB .x=60t+50C .x=⎩⎨⎧>-≤≤)5.3(,50150)5.20(,60t t t tD .x=⎪⎩⎪⎨⎧≤<--≤<≤≤)5.65.3(),5.3(50150)5.35.2(,150)5.20(,60t t t t t 8.已知g(x)=1-2x,f[g(x)]=)0(122≠-x x x ,则f(21)等于( )A .1B .3C .15D .309.函数y=xx ++-1912是( ) A .奇函数 B .偶函数 C .既是奇函数又是偶函数 D .非奇非偶数10.设函数f (x)是(-∞,+∞)上的减函数,又若a ∈R,则( )A .f(a)>f(2a)B .f(a2)<f(a)C .f(a2+a)<f(a)D .f(a2+1)<f(a)二.填空题11.设聚集A={23≤≤-x x },B={x 1122-≤≤-k x k },且A ⊇B,则实数k 的取值规模是.12.已知x ∈[0,1],则函数y=x x --+12的值域是. 13.设函数x y 111+=的界说域为___________________;值域为_____________________________.14.设f(x)是界说在R 上的偶函数,在区间(-∞,0)上单调递增,且知足, 22(25)(21)f a a f a a -+-<++求实数a 的取值规模_______________.15.设f(x)是界说在R 上的奇函数,且y=f (x)的图象关于直线21=x 对称,则f (1)+ f (2)+ f (3)+ f (4)+ f (5)=_________. 16、若函数()xp x x f -=在()+∞,1上是增函数,则实数p 的取值规模是_______________. 三.解答题 17.聚集A={(x,y )022=+-+y mx x },聚集B={(x,y )01=+-y x ,且02≤≤x },又A φ≠⋂B ,求实数m 的取值规模.18.如图,用长为1的铁丝弯成下部为矩形,上部为半圆形的框 架,若半圆半径为x,求此框架围成的面积y 与x 的函数式y=f(x),并写出它的界说域.19.函数22()2f x x mx m m =-+-,22()(41)4g x x m x m m =-+++, 22()4(124)9812h x x m x m m =-++++,令聚集{()()()0}M x f x g x h x =⋅⋅=,且M 为非空聚集,求实数m 的取值规模. 20.已知函数y=f (x)是界说在R 上的周期函数,周期T=5,函数y=f(x)(-1≤x ≤1)是奇函数,又知y=f (x)在[0,1]上是一次函数,在[1,4]上是二次函数,且在x=2时函数取得最小值,最小值为-5.(1)证实:f (1)+f (4)=0;(2)试求y=f(x)在[1,4]上的解析式;(3)试求y=f(x)在[4,9]上的解析式.21.已知()f x 是界说在[-1,1]上的奇函数,当,[1,1]a b ∈-,且0a b +≠时有()()0f a f b a b +>+. (1)断定函数()f x 的单调性,并赐与证实;(2)若2(1)1,()21f f x m bm =≤-+对所有[1,1],[1,1]x b ∈-∈-恒成立,求实数m 的取值规模.第一章聚集与函数概念测试题一:选择题1.下列聚集中与聚集{21,}x x k k N +=+∈不相等的是( C )A .{23,}x x k k N =+∈B .{41,}x x k k N +=±∈C .{21,}x x k k N =+∈D .{23,3,}x x k k k Z =-≥∈2.图中暗影部分所表示的聚集是(A )A.B∩[CU(A ∪C)]B.(A ∪B) ∪(B ∪C)C.(A ∪C)∩(CUB)D.[CU(A∩C)]∪B3.已知聚集2{1}A y y x ==+,聚集2{26}B x y x ==-+,则A B =( B )A .{(,)1,2}x y x y ==B .{13}x x ≤≤C .{13}x x -≤≤D .∅4.已知聚集2{40}A x x =-=,聚集{1}B x ax ==,若B A ⊆,则实数a 的值是( C )A .0B .12±C .0或12±D .0或125.已知聚集{1,2,3,}A a =,2{3,}B a =,则使得()R A B =∅成立的a 的值的个数为( C )A .2B .3C .4D .56.设A .B 为两个非空聚集,界说{(,),}A B a b a A b B ⊕=∈∈,若{1,2,3}A =,{2,3,4}B =,则A B ⊕中的元素个数为 ( A )A .3B .7C .9D .127.已知A.B 两地相距150千米,或人开汽车以60千米/小时的速度从A 地到达B 地,在B 地逗留1小时后再以50千米/小时的速度返回A 地,把汽车分开A 地的距离x 表示为时光t (小时)的函数表达式是( D )A .x=60tB .x=60t+50C .x=⎩⎨⎧>-≤≤)5.3(,50150)5.20(,60t t t tD .x=⎪⎩⎪⎨⎧≤<--≤<≤≤)5.65.3(),5.3(50150)5.35.2(,150)5.20(,60t t t t t 8.已知g(x)=1-2x,f[g(x)]=)0(122≠-x x x ,则f(21)等于( C ) A .1B .3C .15D .309.函数y=xx ++-1912是( B ) A .奇函数 B .偶函数 C .既是奇函数又是偶函数 D .非奇非偶数10.设函数f (x)是(-∞,+∞)上的减函数,又若a ∈R,则( D )A .f(a)>f(2a)B .f(a2)<f(a)C .f(a2+a)<f(a)D .f(a2+1)<f(a)二.填空题11.设聚集A={23≤≤-x x },B={x 1122-≤≤-k x k },且A ⊇B,则实数k 的取值规模是{21<≤-k k };.12.已知x ∈[0,1],则函数y=x x --+12的值域是[3,12-]. 13.设函数x y 111+=的界说域为_{x |x <0且x≠-1,或x >0};值域为_{y |y <0,或0<y <1,或y >1}14、 设f(x)是界说在R 上的偶函数,在区间(-∞,0)上单调递增,且知足, 22(25)(21)f a a f a a -+-<++求实数a 的取值规模_______________.(-4,1)15.设f(x)是界说在R 上的奇函数,且y=f (x)的图象关于直线21=x 对称,则f (1)+ f (2)+ f (3)+ f (4)+ f(5)=_________.0 16、 若函数()xp x x f -=在()+∞,1上是增函数,则实数p 的取值规模是_______________. 三.解答题15.聚集A={(x,y )022=+-+y mx x },聚集B={(x,y )01=+-y x ,且02≤≤x },又A φ≠⋂B ,求实数m 的取值规模.16. 解:由A ⋂B φ≠知方程组,,2001202y x y x y mx x 消去内有解在≤≤⎩⎨⎧=+-+-+122+-≤m16.如图,用长为1的铁丝弯成下部为矩形,上部为半圆形的框架,若半圆半径为x,求此框架围成的面积y 与x 的函数式y=f(x),并写出它的界说域.18.解:AB=2x, CD =πx,于是AD=221x x π--, 是以,y=2x·221x x π--+22x π, 即y=-lx x ++224π.由⎪⎩⎪⎨⎧>-->022102x x x π,得0<x<,21+π 函数的界说域为(0,21+π). 18.已知聚集2{10,,}A x ax bx a R b R =++=∈∈,求(1)当2b =时,A 中至多只有一个元素,求a 的取值规模; (4分)(2)当2b =-时,A 中至少有一个元素,求a 的取值规模; (4分)(3)当a .b 知足什么前提时,聚集A 为非空聚集. (6分)18.(1)1a ≥或0a =个中:当0a =时,1{}2A =-,当1a =时,{1}A =-,当1a >时,A =∅(2)1a ≤或0a =,即1a ≤个中:当0a =时,1{}2A =-,当1a =时,{1}A =-,当1a <时,0∆>(3)当0a =时,0b ≠,当0a ≠时,240b a -≥ 一、 选做题(此题做对可加15分,但总分不超过120分,做错不扣分)19.已知函数22()2f x x mx m m =-+-,22()(41)4g x x m x m m =-+++, 22()4(124)9812h x x m x m m =-++++,令聚集{()()()0}M x f x g x h x =⋅⋅=,且M 为非空聚集,求实数m 的取值规模. 19.12m ≤-或14m ≥- 个中:令m 可能取的值构成的聚集为A ,求R A .22222244()0(41)4(4)0(124)44(982)0m m m m m m m m m ⎧--<⎪+-+<⎨⎪+-⋅++<⎩解得:1124R A m m ⎧⎫=-<<-⎨⎬⎩⎭ 19.已知函数y=f (x)是界说在R 上的周期函数,周期T=5,函数y=f(x)(-1≤x ≤1)是奇函数,又知y=f (x)在[0,1]上是一次函数,在[1,4]上是二次函数,且在x=2时函数取得最小值,最小值为-5.(1)证实:f (1)+f (4)=0;(2)试求y=f(x)在[1,4]上的解析式;(3)试求y=f(x)在[4,9]上的解析式.19.(1)证实:略. (2)解:f (x)=2(x -2)2-5(1≤x≤4);(3)解:f (x)=⎩⎨⎧≤<--≤≤+-96 ,5)7(264 ,1532x x x x 27.已知()f x 是界说在[-1,1]上的奇函数,当,[1,1]a b ∈-,且0a b +≠时有()()0f a f b a b+>+. (1)断定函数()f x 的单调性,并赐与证实;(2)若2(1)1,()21f f x m bm =≤-+对所有[1,1],[1,1]x b ∈-∈-恒成立,求实数m 的取值规模.27.(1)证实:令-1≤x1<x2≤1,且a= x1,b=-x2则0)()(2121>--+x x x f x f ∵x1- x2<0,f(x)是奇函数 ∴f(x1)-f(x2)<0即f(x1)<f(x2) ∵x1<x2 ∴f(x)是增函数(2)解:∵f(x)是增函数,且f(x)≤m2-2bm+1对所有x ∈[-1,2]恒成立∴[f(x)]max≤m2-2bm+1 [f(x)]max=f(1)=1∴m2-2bm+1≥1即m2-2bm≥0在b ∈[-1,1]恒成立∴y= -2mb+m2在b ∈[-1,1]恒大于等于0∴⎪⎩⎪⎨⎧≥+⨯-≥+-⨯-0120)1(222m m m m ,∴⎩⎨⎧≥≤-≤≥2020m m m m 或或 ∴m 的取值规模是)2[}0{]2-(∞+-∞,,。
第一章集合与函数概念综合测试题、选择题1函数讨二2x -1的定义域是()2•已知集合 A 到B 的映射f:x T y=2x+1,那么集合A 中元素2在B 中对应的元素是( )A • 2B • 6C • 5D • 83•设集合 A 二{x|1 ::: x ::: 2}, B 二{x|x ::: a}.若 A B,则 a 的范围是()A • a_2B • a < 1C • a - 1D . a 乞 24•函数y =(k • 2)x • 1在实数集上是减函数,则 k 的范围是()A • k l :—2B • k z ;—2C • k ^ -2D • k-25•全集 U ={ 0,1,3,5,6,8},集合 A = { 1 , 5, 8 }, B ={2},则(6 A ) B =()A (2,;)B.[];)2 2—1 C.(「2) -1D.( =,2]B • { 0,3,6} {2,1,5,8} D • {0,2,3,6}F列各组函数中,表示同一函数的是(0 x y =x ,y =A •xB y = .x -1 . x 1, y = . x2 -1—2Dy=|x|,y = (、x)F列函数是奇函数的是(1A • y =x2B • y =2x2 3 (一“)若奇函数f x在1,3】上为增函数,且有最小值0,则它在1-3,-1】上A •是减函数,有最小值C •是减函数,有最大值设集合M = X - 2乞x -2 :f,B •是增函数,D •是增函数,N 二:y0 -有最小值有最大值y乞2:,给出下列四个图形,其中能表示集合M为定义域,N为值域的函数关系的是()x2 x 010. 已知f (x) X=0,则 f [ f (-3)]等于( )0 x cO2A . 0 B. n C. n D. 9二. 填空题r X +5(XA 1) nt211. 已知f(x—1)=x2,贝y f(x)= .14.已知f (x) = 2 ,则2x +1(x 兰1)f[f(1)> _______________________ .212. 函数y = x -6x的减区间是_____________ .13•设偶函数f (x)的定义域为R,当x・[0, •::)时f(x)是增函数,则f (2), f (二),f (-3)的大小关系是_________________________三、解答题14.设U =R, A x _1[ B J x 0 :: x :: 5?,求C u 切B 和A C U B .15. 求下列函数的定义域(4)f(X)x —22(2) f(x)|x| -216.集合A = 'xx2• 4x = 0; B -汉x2• 2 a T x • a2-1 = 0若A B = B求a 的取值范围。
修文县华驿私立中学2012-2013学年度第一学期单元测试卷(四)
(内容:集合与函数概念 满分:150 时间:120 制卷人:朱文艺) 班级: 学号: 姓名: 得分:
一、选择题:(以下每小题均有A,B,C,D 四个选项,其中只有一个选项正确,请把你的正确答案填入相应的括号中,每小题5分,共60分)
1. 下列命题正确的是
( )
A .很小的实数可以构成集合
B .集合{}
1|2-=x y y 与集合(){}
1|,2-=x y y x 是同一个集合 C .自然数集N 中最小的数是1 D .空集是任何集合的子集
2. 已知{}32|≤≤-=x x M ,{}41|>-<=x x x N 或, 则N M 等于 ( ) A. {}43|>≤=x x x N 或 B. {}31|≤<-=x x M C. {}43|<≤=x x M D.{}12|-<≤-=x x M
3. 函数2()
=
f x ( )
A. 1
[,1]3- B. 1(,1)3- C. 11(,)33- D. 1(,)3
-∞- 4. 下列给出函数()f x 与()g x 的各组中,是同一个关于x 的函数的是 ( )
A .2
()1,()1x f x x g x x
=-=- B .()21,()21f x x g x x =-=+
C .2(),()f x x g x ==
D .0()1,()f x g x x ==
5. 方程组⎩
⎨⎧-=-=+122
y x y x 的解集是 ( )
A .{}1,1==y x
B .{}1 C.{})1,1(|),(y x D . {})1,1( 6.设{}
是锐角x x A |=,)1,0(=B ,从A 到B 的映射是“求正切”,与A 中元素0
60相对应的B 中元素是 ( )
A .3
B .
33 C .21 D .2
2
7. 若函数x
x x f 1
)(-=
,则方程x x f =)4(的根为 ( ) A .-2 B .-21 C . 2
1
D .2
8. 在函数22, 1
, 122, 2x x y x x x x +≤-⎧⎪
=-<<⎨⎪≥⎩
中,若()1f x =,则x 的值是 ( )
A .1
B .3
12
或 C .1±
D 9. 已知函数[)a x x x y ,1,862∈+-=,则a 的取值范围是 ( ) A. a ≤3 B. 0≤a ≤3 C. a ≥3 D. 1<a ≤3
10.⎪⎩
⎪
⎨⎧≥<<≤≤=2,321,210,2)(x x x x x f ,的最大值是 ( )
A .0
B .1
C .2
D .3
11.已知)(x f 是一次函数,且53)1(-=-x x f ,则)(x f 的解析式为 ( ) A .23+x B .23-x C .32+x D .32-x 12. 已知函数12)(-=x x f ,则)1(+x f 等于 ( ) A 12-x B .1+x C .12+x D .1
二、填空题(每题5分,共20分,把答案填在题中横线上)
13. 用集合表示图中阴影部分:
B
B
A
A
U
U
U
C
B
A
14. 若集合{}
{}2
|60,|10M x x x N x ax =+-==-=,且N M ⊆,则实数a 为 .
15. 某工厂8年来某产品产量y 与时间t 年的函数关系如下图,则:
①前3年总产量增长速度增长速度越来越快; ②前3年中总产量增长速度越来越慢; ③第3年后,这种产品停止生产; ④第3年后,这种产品年产量保持不变. 以上说法中正确的是_______.
16. 已知函数f(x)定义域为R ,则下列命题:
① ()=y f x 为偶函数,则(2)=+y f x 的图象关于y 轴对称. ② (2)=+y f x 为偶函数,则()=y f x 关于直线2=x 对称. ③ 若(2)(2)-=-f x f x ,则()=y f x 关于直线2=x 对称. ④ (2)=-y f x 和(2)=-y f x 的图象关于2=x 对称. 其中正确的命题序号是_______________
三、解答题(共6小题,共70分,解答应写出文字说明,证明过程或演算步骤)
17. (本题满分10分) 已知{}A
b a ⊆,{}3,2,1,,b a ,写出所有满足条件的集合A 。
18. (本题满分12分)
已知集合{}{}102|,73|≤<=<≤=x x B x x A
试分别求)(,),(),(B C A B A C B A C B A C R R R R
19.(本题满分12分)
已知函数84)(2
--=kx x x f 在[5,20]上具有单调性,求实数k 的取值范围。
20. (本题满分12分)
已知函数⎪⎩
⎪⎨⎧≥-<<-+-≤+=2
,1222,22
,1)(2
x x x x x x x x f ,求)5(-f ,)3(-f ,)]25([-f f 的值。
21. (本题满分12分)
画出函数3||22++-=x x y 的图象,并指出函数的单调区间。
22. (本题满分12分)
已知函数.)(2
b ax x x f ++=
(1)若)(x f 为偶函数,求实数a 的值; (2)若)(x f 在[)+∞,1内递增,求实数a 的范围;
(3)若对任意的实数x 的都有,x f x f 成立)1()1(-=+求实数a 的值
修文县华驿私立中学2012-2013学年度第一学期单元测试卷(四) 参考答案(部分)
二、填空题(每题5分,共20分) 13.答案.(),(), U A B C C A B
14.答案.
12或1
3
-或 0 15.答案. ①④ 16.答案.②④
三、解答题(共6小题,共70分)
17.解:{}.,,,A b A a A b a ∈∈∴⊆ 又A
{}3,2,1,,b a ,所以集合A 为{}b a ,、{}1,,b a 、{}2,,b a 、{}3,,b a 、{}2,1,,b a 、
{}3,1,,b a 、{}3,2,,b a
20.解:由],2,(2
5
),2,2(3],2,(5--∞∈--∈---∞∈-知
415)5(-=+-=-f .323)3(2)3()3(2-=-⨯+-=-f ,223
2,23125)25(<-<--=+-=-f
34
9
)23(2)23()23()]25([2-=-⨯+-=-=-∴f f f
21.解:因为⎪⎩⎪⎨⎧<+--≥++-=++-=)
0(,32)0(,423||222
2
x x x x x x x x y 根。