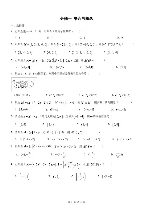
必修一第一章集合与函数概念同步练习(含答案)
- 格式:doc
- 大小:1.62 MB
- 文档页数:31
高中数学必修1第一章集合与函数概念专项练习题一、单选题1.若函数f(x)= |x +2| 的单调递增区间是( )A. (0,+∞)B. (−∞,+∞)C. [2,+∞)D. [−2,+∞)2.设全集 U ={-2,-1,0,1,2} , A ={−2,−1,0} , B ={0,1,2} ,则图中阴影部分所表示的集合为( )A. {0}B. {−2,−1}C. {1,2}D. {0,1,2} 3.函数 f(x)=2xe x +e −x 的大致图像是( )A. B. C. D.4.已知集合A={x|y= √(1−x)(x +3) },B={x|log 2x≤1},则A∩B=( ) A. {x|﹣3≤x≤1} B. {x|0<x≤1} C. {x|﹣3≤x≤2} D. {x|x≤2}5.设函数 f(x)={|x +1|,x ≤0,|log 4x|,x〉0, 若关于 x 的方程 f(x)=a 有四个不同的解 x 1,x 2,x 3,x 4, 且 x 1<x 2<x 3<x 4, 则 x 3(x 1+x 2)+1x32x 4 的取值范围是( )A. (−1,72] B. (−1,72) C. (−1,+∞) D. (−∞,72]6.已知全集U=N ,集合P ={1,2,3,4,6},P ={1,2,3,5,9}则P ∩(C U Q )=( )A. {1,2,3}B. {5,9}C. {4,6}D. {1,2,3,4,6} 7.函数 y =√−x 2−3x+4的定义域为( )A. (−4,−1)B. (−4,1)C. (−1,1)D. (−1,1]8.已知实数 a >0 , a ≠1 ,函数 f(x)=log a |x| 在 (−∞,0) 上是减函数,又 g(x)=a x +1a x ,则下列选项正确的是( )A. g(−2)<g(1)<g(3)B. g(1)<g(−2)<g(3)C. g(3)<g(−2)<g(1)D. g(−2)<g(3)<g(1)9.已知奇函数 y =f(x) 在 (−∞,0) 上单调递减,且 f(1)=0 ,若 a =f(log 318) , b =f(log 214) , c =f(log 23) ,则 a,b,c 的大小关系是( )A. c <b <aB. a <b <cC. a <c <bD. c <a <b10.设a=√2+√3 , M={x|x≤√10},给出下列关系:①a ⊂M ; ②M ⊇{a}; ③{a}∈M ; ④{Ф}⊆{a}; ⑤2a ∉M ; 其中正确的关系式共有( )A. 2个B. 3个C. 4个D. 5个 11.集合 A ={−1,0,1,2,3} , B ={x|log 2(x +1)<2} ,则 A ∩B 等于( )A. {−1,0,1,2}B. {0,1,2}C. {−1,0,1,2,3}D. {0,1,2,3} 12.函数 y =xe cosx (−π≤x ≤π) 的大致图象为( )A. B. C. D.13.若定义在R 上的偶函数f (x )在[0,+∞)上是减函数,则有( )A. f (3)<f (﹣2)<f (1)B. f (1)<f (﹣2)<f (3)C. f (﹣2)<f (1)<f (3)D. f (3)<f (1)<f (﹣2) 14.设f (x )的定义域为D ,若f (x )满足下面两个条件,则称f (x )为闭函数.①f (x )在D 内是单调函数;②存在[a,b ]⊆D , 使f (x )在[a,b ]上的值域为[a,b ] , 如果f (x )=√2x +1+k 为闭函数,那么k 的取值范围是( )A. −1<k ≤−12 B. 12≤k <1 C. k >−1 D. k <1 15.如果若干个函数的图象经过平移后能够重合,则称这些函数为“同簇函数”.给出下列函数:①f (x )=sinxcosx ; ②f (x )=2sin (x+π4);③f (x )=sinx+√3cosx ; ④f (x )=√2sin2x+1. 其中“同簇函数”的是( )A. ①②B. ①④C. ②③D. ③④ 16.下列函数中,既是偶函数又在区间(0,+∞)上单调递减的是( )A. y =−x 2+1B. y =lg |x |C. y =1x D. y =e −x 17.下列函数中,是偶函数且在区间 (0,+∞) 上为增函数的是( ) A. y =2ln x B. y =|x 3| C. y =x −1x D. y =cosx18.已知 f(12x −1)=2x +3,f(m)=6 ,则 m 等于( ) A. −14 B. 14 C. 32 D. −32 19.若函数y=x 2﹣3x ﹣4的定义域为[0,m],值域为 [−254,−4] ,则m 的取值范围是( )A. (0,4]B. [−254,−4] C. [32,3] D. [32,+∞)20.下列函数中,既是偶函数又存在零点的是( )A. y=x 2+1B. y=|lgx|C. y=cosxD. y=e x ﹣1二、填空题21.已知集合A={1,m+2,m 2+4},且5∈A ,则m=________.22.已知函数 f(x)={x +1,x ≤1f(log 2x),x >1 ,则 f(4)= ________; f(x) 的零点为________.23.函数f (x )=lg (2sinx ﹣1)的定义域为________.24.已知函数 f(x) 是定义在R 上的奇函数,当 x ≥0 时, f(x)=2x −c ,则 f(−2)= ________ 25.已知集合 A ={x|x 2−3x +2=0,x ∈R},B ={x|0<x <5,x ∈N} ,则满足条件 A ⊆C ⊆B 的集合 C 的个数为________.26.若函数 f(x)=lnx −kx 在区间 [1,+∞) 上单调递减,则实数 k 的取值范围是________ 27.设集合A={x|x 2﹣2ax+a=0,x ∈R},B={x|x 2﹣4x+a+5=0,x ∈R},若A 和B 中有且仅有一个是∅,则实数a 的取值范围是________.28.已知函数f (x )满足f (x ﹣1)=x 2﹣x+1,则f (3)=________. 29.函数 f(x)=lg(x −3)+(x−2)0x+1的定义域是________30.函数 y =√5+4x −x 2 的值域是________.31.已知函数f (x )= {log 2(1−x),x ≤0f(x −1)−f(x −2),x >0,则f (2016)=________32.已知定义在R 上的奇函数f (x ),当x≥0时,f (x )=x 2﹣3x .则关于x 的方程f (x )=x+3的解集为________. 33.如果对定义在R 上的函数f (x ),对任意两个不相等的实数x 1 , x 2 , 都有x 1f (x 1)+x 2f (x 2)>x 1f (x 2)+x 2f (x 1),则称函数f (x )为“H 函数”.给出下列函数①y=x 2;②y=e x +1;③y=2x ﹣sinx ;④f (x )={ln |x |,x ≠00,x =0.以上函数是“H 函数”的所有序号为 ________. 34.已知函数f (x )= {(2−a)x +1(x <1)a x (x ≥1) 在(﹣∞,+∞)上单调递增,则实数a 的取值范围是________.35.函数 y =√3−xlog2(x+1)的定义域是________ .三、解答题36.设f (x )=x 2﹣2|x|+3(﹣3≤x≤3) (1)证明f (x )是偶函数; (2)指出函数f (x )的单调增区间; (3)求函数f (x )的值域.37.已知函数f(x)=(x+1)(x+a)x为奇函数. (1)求实数a的值;(2)当x∈[1m ,1n](m>0,n>0)时,若函数f(x)的值域为[3−3m,3−3n],求m,n的值.38.某租赁公司拥有汽车100辆.当每辆车的月租金为3000元时,可全部租出.当每辆车的月租金每增加50元时,未租出的车将会增加一辆.租出的车每辆每月需要维护费150元,未租出的车每辆每月需要维护费50元.(Ⅰ)当每辆车的月租金定为3600元时,能租出多少辆车?(Ⅱ)当每辆车的月租金定为多少元时,租赁公司的月收益最大?最大月收益是多少?39.设函数f(x)=x2−2|x−a|+3,x∈R.(1)王鹏同学认为,无论a取何值,f(x)都不可能是奇函数,你同意他的观点吗?请说明你的理由;(2)若f(x)是偶函数,求a的值;(3)在(2)的情况下,画出y=f(x)的图象并指出其单独递增区间.40.已知集合A={a,b,2},B={2,b2,2a},若A=B,求实数a,b的值.41.设f(x)=14x+2,先分别求f(0)+f(1),f(﹣1)+f(2),f(﹣2)+f(3),然后归纳猜想一般性结论,并给出证明.42.已知函数f(x)=log a(x+1),g(x)=log a(4−2x)(a>0,且a≠1),设F(x)=f(x)−g(x).(1)求函数F(x)的定义域;(2)求使函数F(x)的值为正数的x的取值范围.43.求函数y=2x﹣3+ √13−4x的值域.44.某通讯公司需要在三角形地带OAC 区域内建造甲、乙两种通信信号加强中转站,甲中转站建在区域BOC 内,乙中转站建在区域AOB 内.分界线OB 固定,且OB=(1+ √3 )百米,边界线AC 始终过点B ,边界线OA 、OC 满足∠AOC=75°,∠AOB=30°,∠BOC=45°.设OA=x (3≤x≤6)百米,OC=y 百米.(1)试将y 表示成x 的函数,并求出函数y 的解析式;(2)当x 取何值时?整个中转站的占地面积S △OAC 最小,并求出其面积的最小值.45.已知由方程kx 2-8x +16=0的根组成的集合A 只有一个元素,试求实数k 的值.46.已知 y =f(x) 为二次函数,其图象顶点为 (1,−3) ,且过坐标原点. (1)求 y =f(x) 的解析式;(2)求 y =f(x) 在区间 [0,m] 上的最大值.47.设全集U=R ,集合A={x|﹣2<x <2},集合B={x|x 2﹣4x+3>0} 求A∩B ,A ∪B ,A∩∁U B .48.已知函数 f(x)=√x , g(x)=|x −2| . (1)求方程 f(x)=g(x) 的解集;(2)定义: max{a,b}={a,a ≥bb,a <b .已知定义在 [0,+∞) 上的函数 ℎ(x)=max{f(x),g(x)} . ①求 ℎ(x) 的单调区间;②若关于 x 的方程 ℎ(x)=m 有两个实数解,求 m 的取值范围.49.已知函数f(x)是定义在R上的偶函数,且当x≤0时,f(x)=x2+2x.(1)现已画出函数f(x)在y轴左侧的图象,如图所示,请补全函数f(x)的图象,并根据图象写出函数f(x)(x∈R)的递增区间;(2)写出函数f(x)(x∈R)的值域;(3)写出函数f(x)(x∈R)的解析式.50.已知函数f(x)=|x+1|−|x|.(1)解关于x的不等式f(x)+f(x−1)<1;(2)若关于x的不等式f(x)−f(x−1)<m−2|x|有解,求m的取值范围.答案解析部分一、单选题1.【答案】D2.【答案】C3.【答案】D4.【答案】B5.【答案】A6.【答案】C7.【答案】C8.【答案】B9.【答案】D10.【答案】A11.【答案】B12.【答案】A13.【答案】A14.【答案】A15.【答案】C16.【答案】A17.【答案】B18.【答案】A19.【答案】C20.【答案】C二、填空题21.【答案】3或122.【答案】2;-123.【答案】(π6+2kπ,5π6+2kπ),k∈Z24.【答案】25.【答案】426.【答案】[1,+∞)27.【答案】(﹣1,0]∪[1,+∞)28.【答案】1329.【答案】(3,+∞)30.【答案】[0,3]31.【答案】032.【答案】{2+ √7,﹣1,﹣3}33.【答案】②③34.【答案】 [ 32 ,2) 35.【答案】 (−1,0)∪(0,3] 三、解答题36.【答案】 (1)证明:f (x )的定义域为{x|﹣3≤x≤3},关于原点对称 又f (﹣x )=(﹣x )2﹣2|﹣x|+3=x 2﹣2|x|+3=f (x ),∴f (x )是偶函数;(2)解: f(x)={x 2+2x +3=(x +1)2+2(−3≤x ≤0)x 2−2x +3=(x −1)2+2(0<x ≤3) 作出函数的图象,如图,可知:f (x )的单调增区间为[﹣1,0]和[1,3](3)解:由(2)知,x=±1时,函数取得最小值;x=±3时,函数取得最大值 ∴函数f (x )的值域为[2,6].37.【答案】 (1)解:函数f (x )的定义域为: {x ∈R|x ≠0} , f(x)=(x+1)(x+a)x=x +ax+1+a ,∴ f(−x)+f(x)=−x −ax +1+a +x +ax +1+a =0 , ∴ a =−1 ;(2)解:由(1)可知: f(x)=x −1x , 显然 f(x)=x −1x 在 [1m ,1n ] 上单调递增,∴{1m −m =3−3m 1n−n =3−3n,∴ m , n 是方程 2x 2−3x +1=0 的两个实根,且 m >n , ∴ m =1,n =12 .38.【答案】 解:(Ⅰ)当每辆车的月租金定为3600元时, 未租出的车辆数为 ,所以这时租出了88辆车.(Ⅱ)设每辆车的月租金定为x 元, 则租赁公司的月收益为,整理得.所以,当x=4050时,f (x )最大,最大值为f (4050)=307050,即当每辆车的月租金定为4050元时,租赁公司的月收益最大,最大月收益为307050元 39.【答案】 (1)解:我同意王鹏同学的看法,理由如下: f(a)=a 2+3,f(−a)=a 2−4|a|+3若 f(x) 为奇函数,则有 f(a)+f(−a)=0 , ∴a 2−2|a|+3=0显然 a 2−2|a|+3=0 无解, 所以 f(x) 不可能是奇函数(2)解:若 f(x) 为偶函数,则有 f(x)=f(−x) ∴2|a|=0 , 解得 a =0 ,此时 f(x)=x 2−2|x|+3 ,是偶函数.(3)解:由(2)知 f(x)=x 2−2|x|+3 ,其图象如图所示其单调递增区间是 (−1,0) 和 (1,+∞) .40.【答案】 解:由已知 A =B ,得 {a =2a b =b 2 (1)或 {a =b 2b =2a .(2) 解(1)得 {a =0b =0 或 {a =0b =1 , 解(2)得 {a =0b =0 或 {a =14b =12,又由集合中元素的互异性 得 {a =0b =1 或 {a =14b =12 . 41.【答案】解:f (0)+f (1)= , 同理可得:f (﹣1)+f (2)= ,f (﹣2)+f (3)=.一般性结论:或写成“若x 1+x 2=1,则f (x 1)+f (x 2)=.”证明: ==42.【答案】 (1)解:∵函数 f(x)=log a (x +1) , g(x)=log a (4−2x) ∴ F(x)=f(x)−g(x)=log a (x +1)−log a (4−2x) ∴其定义域满足: {x +1>04−2x >0 ,解得 −1<x <2∴函数 F(x) 的定义域为 (−1,2)(2)解:要使函数 F(x) 的值为正数,等价于 f(x)>g(x) ,即 log a (x +1)>log a (4−2x) . ①当 a >1 时,可得 x +1>4−2x ,解得 x >1 . ∵定义域为 (−1,2)∴实数 x 的取值范围是 (1,2)②当 0<a <1 时,可得 x +1<4−2x ,解得 x <1 . ∵定义域为 (−1,2)∴实数 x 的取值范围是 (−1,1)综上,当 a >1 时,解集为 (1,2) ;当 0<a <1 ,解集为 (−1,1) 43.【答案】解:令则,t≥0 ∴y=﹣3+t=﹣t 2+t+=﹣ (t ﹣1)2+4(t≥0)根据二次函数的性质可知,当t=1即x=3时,函数有最大值4 故答案为:(﹣∞,4]44.【答案】 (1)解:结合图形可知,S △BOC +S △AOB =S △AOC .于是, 12 x (1+ √3 )sin30°+ 12 y (1+ √3 )sin45°= 12 xysin75°,解得:y= √2xx−2 ,(其中3≤x≤6)(2)解:由(1)知,y= √2x x−2 (3≤x≤6),因此,S △AOC = 12 xysin75°= 1+√34 • x 2x−2= 1+√34[(x ﹣2)+ 4x−2 +4] ≥2+2 √3 (当且仅当x ﹣2= 4x−2 ,即x=4时,等号成立).∴当x=400米时,整个中转站的占地面积S △OAC 最小,最小面积是(2+2 √3 )×104平方米. 45.【答案】解:当k =0时,原方程变为-8x +16=0,所以x =2,此时集合A 中只有一个元素2.当k≠0时,要使一元二次方程kx 2-8x +16=0有一个实根,需Δ=64-64k =0,即k =1.此时方程的解为x 1=x 2=4,集合A 中只有一个元素4.综上可知k =0或146.【答案】 (1)解:设 f(x) 解析式为: f(x)=a(x −1)2−3 ∵f(x) 过坐标原点 ∴f(0)=a −3=0 ,解得: a =3∴f(x)=3(x −1)2−3=3x 2−6x(2)解:由(1)知: f(x) 为开口方向向上,对称轴为 x =1 的二次函数 ①当 0<m <2 时, f(x)max =f(0)=0 ,当 m =2 时, f(x)max =f(0)=f(m)=0 , ②当 m >2 时, f(x)max =f(m)=3m 2−6m47.【答案】解:全集U=R ,集合A={x|﹣2<x <2},集合B={x|x 2﹣4x+3>0}={x|x <1或x >3},所以A∩B={x|﹣2<x <1},A ∪B={x|x <2或x >3},∁U B={x|1≤x≤3},所以A∩∁U B={x|1≤x <2}48.【答案】 (1)解:当 x ≥2 时,方程 f(x)=g(x) 为 √x =x −2 ,即 (√x −2)(√x +1)=0 ,解得 x =4 ,当 0≤x <2 时,方程 f(x)=g(x) 为 √x =2−x ,即 (√x +2)(√x −1)=0 ,解得 x =1 , 综上,方程 f(x)=g(x) 的解集为 {1,4} .(2)解:① f(x)≥g(x)⇒1≤x ≤4 , f(x)<g(x)⇒0≤x <1 或 x >4所以 ℎ(x)=max{f(x),g(x)}={2−x,0≤x <1√x,1≤x ≤4x −2,x >4 ,所以, ℎ(x) 的单调递增区间为 [1,+∞) ,单调递减区间为 [0,1) .②由①知 ℎ(x)min =ℎ(1)=1 , ℎ(0)=2 ,当 1<m ≤2 时,方程 ℎ(x)=m 有两个实数解, 综上,实数 m 的取值范围为 (1,2] .49.【答案】 (1)解:根据偶函数的图象关于y 轴对称,作出函数在R 上的图象, 结合图象可得函数的增区间为(﹣1,0)、减区间为(1,+∞)(2)解:结合函数的图象可得,当x=1,或 x=﹣1时,函数取得最小值为﹣1, 函数没有最大值,故函数的值域为[﹣1,+∞)(3)解:当x >0时,﹣x <0,再根据x≤0时,f (x )=x 2+2x ,可得f (﹣x )=(﹣x )2+2(﹣x )=x 2﹣2x .再根据函数f (x )为偶函数,可得f (x )=x 2﹣2x .综上可得,f (x )= {x 2+2x,x ≤0x 2−2x,x >050.【答案】 (1)解: f(x)+f(x −1)<1⇔|x +1|−|x −1|<1⇔{x ⩽−1−x −1−1+x <1 或 {−1<x <1x +1−1+x <1 或 {x ⩾1x +1−x +1<1⇔x ⩽−1 或 −1<x <12⇔x <12所以,原不等式的解集为 (−∞,12)(2)解: f(x)−f(x −1)<m −2|x| 有解即 |x +1|+|x −1|<m 有解则 m >(|x +1|+|x −1|)min 即可.由于 |x +1|+|x −1|⩾|(x +1)−(x −1)|=2 ,当且仅当 (x +1)(x −1)≤0 ,即当 −1≤x ≤1 时等号成立,故 m >2 . 所以, m 的取值范围是 (2,+∞) .。
》第一章集合与函数概念§集合1.集合的含义与表示第1课时集合的含义课时目标 1.通过实例了解集合的含义,并掌握集合中元素的三个特性.2.体会元素与集合间的“从属关系”.3.记住常用数集的表示符号并会应用.1.元素与集合的概念·(1)把________统称为元素,通常用__________________表示.(2)把________________________叫做集合(简称为集),通常用____________________表示.2.集合中元素的特性:________、________、________.3.集合相等:只有构成两个集合的元素是______的,才说这两个集合是相等的.4—5.____一、选择题1.下列语句能确定是一个集合的是( )!A.著名的科学家B.留长发的女生C.2010年广州亚运会比赛项目D.视力差的男生2.集合A只含有元素a,则下列各式正确的是( )A.0∈A B.a∉AC.a∈A D.a=A3.已知M中有三个元素可以作为某一个三角形的边长,则此三角形一定不是( )#A.直角三角形 B.锐角三角形C.钝角三角形 D.等腰三角形4.由a2,2-a,4组成一个集合A,A中含有3个元素,则实数a的取值可以是( ) A.1 B.-2 C.6 D.25.已知集合A是由0,m,m2-3m+2三个元素组成的集合,且2∈A,则实数m为( ) A.2 B.3C.0或3 D.0,2,3均可6.由实数x、-x、|x|、x2及-3x3所组成的集合,最多含有( )#A .2个元素B .3个元素C .4个元素D .5个元素二、填空题7.由下列对象组成的集体属于集合的是______.(填序号) ①不超过π的正整数; ②本班中成绩好的同学;③高一数学课本中所有的简单题; ④平方后等于自身的数.@8.集合A 中含有三个元素0,1,x ,且x 2∈A ,则实数x 的值为________. 9.用符号“∈”或“∉”填空-2_______R ,-3_______Q ,-1_______N ,π_______Z . 三、解答题10.判断下列说法是否正确并说明理由.(1)参加2010年广州亚运会的所有国家构成一个集合; (2)未来世界的高科技产品构成一个集合;(3)1,,32,12组成的集合含有四个元素;^(4)高一(三)班个子高的同学构成一个集合.`11.已知集合A 是由a -2,2a 2+5a,12三个元素组成的,且-3∈A ,求a .'。
高一数学必修一集合与函数的概念单元测试附答案解析时间:120分钟满分:150分一、选择题本大题共12个小题,每小题5分,共60分.在每小题给出的四个选项中,只有一项是符合题目要求的1.设集合M={x|x2+2x=0,x∈R},N={x|x2-2x=0,x∈R},则M∪N=A.{0} B.{0,2} C.{-2,0} D.{-2,0,2}2.设f:x→|x|是集合A到集合B的映射,若A={-2,0,2},则A∩B=A.{0} B.{2} C.{0,2} D.{-2,0}3.fx是定义在R上的奇函数,f-3=2,则下列各点在函数fx图象上的是A.3,-2 B.3,2 C.-3,-2 D.2,-34.已知集合A={0,1,2},则集合B={x-y|x∈A,y∈A}中元素的个数是A.1 B.3 C.5 D.95.若函数fx满足f3x+2=9x+8,则fx的解析式是A.fx=9x+8 B.fx=3x+2 C.fx=-3x-4 D.fx=3x+2或fx=-3x-4 6.设fx=错误!则f5的值为A.16 B.18 C.21 D.247.设T={x,y|ax+y-3=0},S={x,y|x-y-b=0},若S∩T={2,1},则a,b的值为A.a=1,b=-1 B.a=-1,b=1C.a=1,b=1 D.a=-1,b=-18.已知函数fx的定义域为-1,0,则函数f2x+1的定义域为A.-1,1 C.-1,09.已知A={0,1},B={-1,0,1},f是从A到B映射的对应关系,则满足f0>f1的映射有A.3个B.4个C.5个D.6个10.定义在R上的偶函数fx满足:对任意的x1,x2∈-∞,0x1≠x2,有x2-x1fx2-fx1>0,则当n∈N时,有A.f-n<fn-1<fn+1 B.fn-1<f-n<fn+1C.fn+1<f-n<fn-1 D.fn+1<fn-1<f-n11.函数fx是定义在R上的奇函数,下列说法:①f0=0;②若fx在0,+∞上有最小值为-1,则fx在-∞,0上有最大值为1;③若fx在1,+∞上为增函数,则fx在-∞,-1上为减函数;④若x>0时,fx=x2-2x,则x<0时,fx=-x2-2x.其中正确说法的个数是A.1个 B.2个 C.3个 D.4个12.fx满足对任意的实数a,b都有fa+b=fa·fb且f1=2,则错误!+错误!+错误!+…+错误!=A.1006 B.2014 C.2012 D.1007二、填空题本大题共4小题,每小题5分,共20分.把答案填在题中横线上13.函数y=错误!的定义域为________.14.fx=错误!若fx=10,则x=________.15.若函数fx=x+abx+2a常数a,b∈R是偶函数,且它的值域为-∞,4,则该函数的解析式fx=________.16.在一定范围内,某种产品的购买量y吨与单价x元之间满足一次函数关系,如果购买1000吨,每吨为800元,购买2000吨,每吨为700元,那么客户购买400吨,单价应该是________元.三、解答题本大题共6小题,共70分.解答应写出必要的文字说明、证明过程或演算步骤17.本小题满分10分已知集合A={x|2≤x≤8},B={x|1<x<6},C={x|x>a},U=R.1求A∪B,U A∩B;2若A∩C≠,求a的取值范围.18.本小题满分12分设函数fx=错误!.1求fx的定义域;2判断fx的奇偶性;3求证:f错误!+fx=0.19.本小题满分12分已知y=fx是定义在R上的偶函数,当x≥0时,fx=x2-2x.1求当x<0时,fx的解析式;2作出函数fx的图象,并指出其单调区间.20.本小题满分12分已知函数fx=错误!,1判断函数在区间1,+∞上的单调性,并用定义证明你的结论.2求该函数在区间1,4上的最大值与最小值.21.本小题满分12分已知函数fx的定义域为0,+∞,且fx为增函数,fx·y=fx+fy.1求证:f错误!=fx-fy;2若f3=1,且fa>fa-1+2,求a的取值范围.22.本小题满分12分某商场经销一批进价为每件30元的商品,在市场试销中发现,此商品的销售单价x元与日销售量y件之间有如下表所示的关系:1在所给的坐标图纸中,根据表中提供的数据,描出实数对x,y的对应点,并确定y与x 的一个函数关系式.2设经营此商品的日销售利润为P元,根据上述关系,写出P关于x的函数关系式,并指出销售单价x为多少元时,才能获得最大日销售利润1.解析M={x|xx+2=0.,x∈R}={0,-2},N={x|xx-2=0,x∈R}={0,2},所以M∪N={-2,0,2}.答案D2. 解析依题意,得B={0,2},∴A∩B={0,2}.答案C3. 解析∵fx是奇函数,∴f-3=-f3.又f-3=2,∴f3=-2,∴点3,-2在函数fx的图象上.答案A4. 解析逐个列举可得.x=0,y=0,1,2时,x-y=0,-1,-2;x=1,y=0,1,2时,x-y =1,0,-1;x=2,y=0,1,2时,x-y=2,1,0.根据集合中元素的互异性可知集合B的元素为-2,-1,0,1,2.共5个.答案C5. 解析∵f3x+2=9x+8=33x+2+2,∴fx=3x+2.答案B6. 解析f5=f5+5=f10=f15=15+3=18.答案B7. 解析依题意可得方程组错误!错误!答案C8. 解析由-1<2x+1<0,解得-1<x<-错误!,故函数f2x+1的定义域为错误!.答案B9. 解析当f0=1时,f1的值为0或-1都能满足f0>f1;当f0=0时,只有f1=-1满足f0>f1;当f0=-1时,没有f1的值满足f0>f1,故有3个.答案A10.解析由题设知,fx在-∞,0上是增函数,又fx为偶函数,∴fx在0,+∞上为减函数.∴fn+1<fn<fn-1.又f-n=fn,∴fn+1<f-n<fn-1.答案C11. 解析①f0=0正确;②也正确;③不正确,奇函数在对称区间上具有相同的单调性;④正确.答案C12. 解析因为对任意的实数a,b都有fa+b=fa·fb且f1=2,由f2=f1·f1,得错误!=f1=2,由f4=f3·f1,得错误!=f1=2,……由f2014=f2013·f1,得错误!=f1=2,∴错误!+错误!+错误!+…+错误!=1007×2=2014.答案B13. 解析由错误!得函数的定义域为{x|x≥-1,且x≠0}.答案{x|x≥-1,且x≠0}14. 解析当x≤0时,x2+1=10,∴x2=9,∴x=-3.当x>0时,-2x=10,x=-5不合题意,舍去.∴x=-3.答案-315. 解析fx=x+abx+2a=bx2+2a+abx+2a2为偶函数,则2a+ab=0,∴a=0,或b=-2.又fx的值域为-∞,4,∴a≠0,b=-2,∴2a2=4.∴fx=-2x2+4.答案-2x2+416. 解析设一次函数y=ax+ba≠0,把错误!和错误!代入求得错误!∴y=-10x+9000,于是当y=400时,x=860.答案86017. 解1A∪B={x|2≤x≤8}∪{x|1<x<6}={x|1<x≤8}.A={x|x<2,或x>8}.U∴U A∩B={x|1<x<2}.2∵A∩C≠,∴a<8.18. 解1由解析式知,函数应满足1-x2≠0,即x≠±1.∴函数fx的定义域为{x∈R|x≠±1}.2由1知定义域关于原点对称,f-x=错误!=错误!=fx.∴fx为偶函数.3证明:∵f错误!=错误!=错误!,fx=错误!,∴f错误!+fx=错误!+错误!=错误!-错误!=0.19. 解1当x<0时,-x>0,∴f-x=-x2-2-x=x2+2x.又fx是定义在R上的偶函数,∴f-x=fx.∴当x<0时,fx=x2+2x.2由1知,fx=错误!作出fx的图象如图所示:由图得函数fx的递减区间是-∞,-1,0,1.fx的递增区间是-1,0,1,+∞.20. 解1函数fx在1,+∞上是增函数.证明如下:任取x1,x2∈1,+∞,且x1<x2,fx-fx2=错误!-错误!=错误!,1∵x1-x2<0,x1+1x2+1>0,所以fx1-fx2<0,即fx1<fx2,所以函数fx在1,+∞上是增函数.2由1知函数fx在1,4上是增函数,最大值f4=错误!,最小值f1=错误!.21. 解1证明:∵fx=f错误!=f错误!+fy,y≠0∴f错误!=fx-fy.2∵f3=1,∴f9=f3·3=f3+f3=2.∴fa>fa-1+2=fa-1+f9=f9a-1.又fx在定义域0,+∞上为增函数,∴错误!∴1<a<错误!.22. 解1由题表作出30,60,40,30,45,15,50,0的对应点,它们近似地分布在一条直线上,如图所示.设它们共线于直线y=kx+b,则错误!错误!∴y=-3x+1500≤x≤50,且x∈N,经检验30,60,40,30也在此直线上.∴所求函数解析式为y=-3x+1500≤x≤50,且x∈N.2依题意P=yx-30=-3x+150x-30=-3x-402+300.∴当x=40时,P有最大值300,故销售单价为40元时,才能获得最大日销售利润.。
高中数学必修一第一章单元测试题《集合与函数概念》(120分钟150分)一、选择题(本大题共12小题,每小题5分,共60分.在每小题给出的四个选项中,只有一项是符合题目要求的)1.集合A={0,1,2},B={x|-1<x<2},则A∩B=( )A.{0}B.{1}C.{0,1}D.{0,1,2}2.设集合M={2,0,x},集合N={0,1},若N⊆M,则x的值为( )A.2B.0C.1D.不确定3.在下列由M到N的对应中构成映射的是( )4.已知函数f(x)=ax3+bx(a≠0),满足f(-3)=3,则f(3)= ( )A.2B.-2C.-3D.3【补偿训练】已知y=f(x)是偶函数,且f(4)=5,那么f(4)+f(-4)的值为( )A.5B.10C.8D.不确定5.已知一次函数y=kx+b为减函数,且kb<0,则在直角坐标系内它的大致图象是( )6.若f(x)=则f的值为( )A.-B.C.D.7.若f(g(x))=6x+3,且g(x)=2x+1,则f(x)= ( )A.3B.3xC.6x+3D.6x+18.下列四个图形中,不是以x为自变量的函数的图象是( )9.已知集合A={x|x2+x+1=0},若A∩R=∅,则实数m的取值范围是( )A.m<4B.m>4C.0<m<4D.0≤m<410.函数f(x)=|x|和g(x)=x(2-x)的单调递增区间分别是( )A.(-∞,0]和(-∞,1]B.(-∞,0]和[1,+∞)C.[0,+∞)和(-∞,1]D.[0,+∞)和[1,+∞)11.对于任意两个正整数m,n,定义某种运算“※”如下:当m,n都为正偶数或正奇数时,m※n=m+n;当m,n中一个为正偶数,另一个为正奇数时,m※n=mn.则在此定义下,集合M={(a,b)|a ※b=12,a∈N*,b∈N*}中的元素个数是( )A.10个B.15个C.16个D.18个12.设奇函数f(x)在(0,+∞)上为增函数,且f(1)=0,则使<0的x的取值范围为( )A.(-1,0)∪(1,+∞)B.(-∞,-1)∪(0,1)C.(-∞,-1)∪(1,+∞)D.(-1,0)∪(0,1)二、填空题(本大题共4小题,每小题5分,共20分.请把正确答案填在题中横线上)13.已知集合A={x|1≤x<2},B={x|x<a},若A∩B=A,则实数a的取值范围是.14.已知a是实数,若集合{x|ax=1}是任何集合的子集,则a的值是.15.已知f(x)为偶函数,则f(x)=x1,1x0, ______,0x 1.+-⎧⎨⎩≤≤≤≤16.定义在R上的奇函数f(x)为减函数,若a+b≤0,给出下列不等式:①f(a)f(b)≤0;②f(a)+f(b)≤f(-a)+f(-b);③f(b)f(-b)≤0;④f(a)+f(b)≥f(-a)+f(-b).其中正确的是.(把你认为正确的不等式的序号全写上).三、解答题(本大题共6小题,共70分.解答时应写出必要的文字说明、证明过程或演算步骤)17.(10分)设全集为R,集合A={x|3≤x<6},B={x|2<x<9}.(1)分别求A∩B,(B)∪A.R(2)已知C={x|a<x<a+1},若C⊆B,求实数a取值构成的集合.18.(12分)已知函数f(x)=.(1)判断点(3,14)是否在f(x)的图象上.(2)当x=4时,求f(x)的值.(3)当f(x)=2时,求x的值.19.(12分)若函数f(x)=x2+4x+a的定义域和值域均为[-2,b](b>-2),求实数a,b的值.20.(12分)已知函数f(x)=ax+b,且f(1)=2,f(2)=-1.(1)求f(m+1)的值.(2)判断函数f(x)的单调性,并用定义证明.21.(12分)(2015·葫芦岛高一检测)已知函数f(x)对任意实数x,y恒有f(x+y)=f(x)+f(y),且当x>0时,f(x)<0,又f(1)=-2.(1)判断f(x)的奇偶性.(2)求证:f(x)为R上的减函数.(3)求f(x)在区间[-3,3]上的值域.22.(12分)定义在(-1,1)上的函数f(x)满足:①对任意x,y∈(-1,1),都有f(x)+f(y)=f;②f(x)在(-1,1)上是单调递减函数,f=-1.(1)求f(0)的值.(2)求证:f(x)为奇函数.(3)解不等式f(2x-1)<1.高中数学必修一第一章单元测试题《集合与函数概念》参考答案(120分钟150分)一、选择题(本大题共12小题,每小题5分,共60分.在每小题给出的四个选项中,只有一项是符合题目要求的)1.集合A={0,1,2},B={x|-1<x<2},则A∩B=( )A.{0}B.{1}C.{0,1}D.{0,1,2}【解析】选C.因为A={0,1,2},B={x|-1<x<2},所以A∩B={0,1}.2.(2015·天津高一检测)设集合M={2,0,x},集合N={0,1},若N⊆M,则x的值为( ) A.2 B.0C.1D.不确定【解析】选C.因为N⊆M,所以集合N中元素均在集合M中,所以x=1.3.在下列由M到N的对应中构成映射的是( )【解析】选C.选项A中,集合M中的数3在集合N中没有数与之对应,不满足映射的定义;选项B中,集合M中的数3在集合N中有两个数a,b与之对应;选项D中,集合M中的数a在集合N中有两个数1,3与之对应,不满足映射的定义.4.已知函数f(x)=ax3+bx(a≠0),满足f(-3)=3,则f(3)= ( )A.2B.-2C.-3D.3【解析】选 C.方法一:f(-3)=a(-3)3+b(-3)=-33a-3b=-(33a+3b)=3,所以33a+3b=-3.f(3)=33a+3b=-3.方法二:显然函数f(x)=ax3+bx为奇函数,故f(3)=-f(-3)=-3.【补偿训练】已知y=f(x)是偶函数,且f(4)=5,那么f(4)+f(-4)的值为( )A.5B.10C.8D.不确定【解析】选B.因为f(x)是偶函数,所以f(-4)=f(4)=5,所以f(4)+f(-4)=10.5.已知一次函数y=kx+b为减函数,且kb<0,则在直角坐标系内它的大致图象是( )【解析】选A.选项A图象为减函数,k<0,且在y轴上的截距为正,故b>0,满足条件,而B,C,D 均不满足条件.6.若f(x)=则f的值为( )A.-B.C.D.【解析】选C.因为<1,所以应代入f(x)=1-x2,即f=1-=.7.若f(g(x))=6x+3,且g(x)=2x+1,则f(x)= ( )A.3B.3xC.6x+3D.6x+1【解析】选B.由f(g(x))=f(2x+1)=6x+3=3(2x+1),知f(x)=3x.8.(2015·西城区高一检测)下列四个图形中,不是以x为自变量的函数的图象是( )【解析】选C.由函数定义知,定义域内的每一个x都有唯一函数值与之对应,A,B,D选项中的图象都符合;C项中对于大于零的x而言,有两个不同的值与之对应,不符合函数定义.9.已知集合A={x|x2+x+1=0},若A∩R=∅,则实数m的取值范围是( )A.m<4B.m>4C.0<m<4D.0≤m<4【解析】选D.因为A∩R=∅,所以A=∅,即方程x2+x+1=0无解,所以Δ=()2-4<0,所以m<4.又因为m≥0,所以0≤m<4.10.(2015·赣州高一检测)函数f(x)=|x|和g(x)=x(2-x)的单调递增区间分别是( ) A.(-∞,0]和(-∞,1] B.(-∞,0]和[1,+∞)C.[0,+∞)和(-∞,1]D.[0,+∞)和[1,+∞)【解析】选C.函数f(x)=|x|的单调递增区间为[0,+∞),函数g(x)=x(2-x)=-(x-1)2+1的单调递增区间为(-∞,1].11.对于任意两个正整数m,n,定义某种运算“※”如下:当m,n都为正偶数或正奇数时,m※n=m+n;当m,n中一个为正偶数,另一个为正奇数时,m※n=mn.则在此定义下,集合M={(a,b)|a ※b=12,a∈N*,b∈N*}中的元素个数是( )A.10个B.15个C.16个D.18个【解析】选B.若a,b同奇偶,有12=1+11=2+10=3+9=4+8=5+7=6+6,前面的每种可以交换位置,最后一种只有1个点(6,6),这时有2×5+1=11;若a,b一奇一偶,有12=1×12=3×4,每种可以交换位置,这时有2×2=4,所以共有11+4=15个.12.(2015·西安高一检测)设奇函数f(x)在(0,+∞)上为增函数,且f(1)=0,则使<0的x的取值范围为( )A.(-1,0)∪(1,+∞)B.(-∞,-1)∪(0,1)C.(-∞,-1)∪(1,+∞)D.(-1,0)∪(0,1)【解析】选D.由f(x)为奇函数,可知=<0.而f(1)=0,则f(-1)=-f(1)=0.又f(x)在(0,+∞)上为增函数,所以当0<x<1时,f(x)<0=f(1),此时<0;又因为f(x)为奇函数,所以f(x)在(-∞,0)上为增函数,所以当-1<x<0时,f(x)>0=f(-1),此时<0,即所求x的取值范围为(-1,0)∪(0,1).二、填空题(本大题共4小题,每小题5分,共20分.请把正确答案填在题中横线上)13.(2015·开封高一检测)已知集合A={x|1≤x<2},B={x|x<a},若A∩B=A,则实数a的取值范围是.【解析】因为A∩B=A,所以A B,所以a≥2.答案:a≥214.已知a是实数,若集合{x|ax=1}是任何集合的子集,则a的值是.【解析】若集合{x|ax=1}是任何集合的子集,则它是空集,即方程ax=1无解,所以a=0.答案:015.已知f(x)为偶函数,则f(x)=x1,1x0, ______,0x 1.+-⎧⎨⎩≤≤≤≤【解析】当x∈[0,1]时,-x∈[-1,0],f(-x)=-x+1,又因为f(x)为偶函数,所以f(x)=f(-x)=1-x.答案:1-x16.定义在R上的奇函数f(x)为减函数,若a+b≤0,给出下列不等式:①f(a)f(b)≤0;②f(a)+f(b)≤f(-a)+f(-b);③f(b)f(-b)≤0;④f(a)+f(b)≥f(-a)+f(-b).其中正确的是.(把你认为正确的不等式的序号全写上).【解析】若a+b≤0,则a≤-b,b≤-a,又因为f(x)为R上递减的奇函数,所以f(a)≥f(-b),f(b)≥f(-a),所以f(a)+f(b)≥f(-a)+ f(-b),④正确;又因为f(-b)=-f(b),所以f(b)f(-b)=-f(b)f(b)≤0,③正确.其余错误.答案:③④三、解答题(本大题共6小题,共70分.解答时应写出必要的文字说明、证明过程或演算步骤)17.(10分)设全集为R,集合A={x|3≤x<6},B={x|2<x<9}.B)∪A.(1)分别求A∩B,(R(2)已知C={x|a<x<a+1},若C⊆B,求实数a取值构成的集合.【解析】(1)A∩B={x|3≤x<6}.因为B={x|x≤2或x≥9},RB)∪A={x|x≤2或3≤x<6或x≥9}.所以(R(2)因为C⊆B,如图所示:所以解得2≤a≤8,所以所求集合为{a|2≤a≤8}.18.(12分)已知函数f(x)=.(1)判断点(3,14)是否在f(x)的图象上.(2)当x=4时,求f(x)的值.(3)当f(x)=2时,求x的值.【解析】(1)因为f(x)=,所以f(3)==-,所以点(3,14)不在f(x)的图象上.(2)f(4)==-3.(3)令=2,即x+2=2x-12,解得x=14.19.(12分)若函数f(x)=x2+4x+a的定义域和值域均为[-2,b](b>-2),求实数a,b的值.【解析】因为函数f(x)的对称轴方程为x=-2,所以函数f(x)在定义域[-2,b](b>-2)上单调递增,所以函数f(x)的最小值为f(-2)=a-4=-2,所以a=2.函数f(x)的最大值为f(b)=b2+4b+2=b.所以b2+3b+2=0,解得b=-1或b=-2(舍去),所以b=-1.20.(12分)(2015·烟台高一检测)已知函数f(x)=ax+b,且f(1)=2,f(2)=-1.(1)求f(m+1)的值.(2)判断函数f(x)的单调性,并用定义证明.【解析】(1)由f(1)=2,f(2)=-1,得a+b=2,2a+b=-1,即a=-3,b=5,故f(x)=-3x+5,f(m+1)=-3(m+1)+5=-3m+2.(2)函数f(x)在R上单调递减,证明如下:任取x1<x2(x1,x2∈R),则f(x2)-f(x1)=(-3x2+5)-(-3x1+5)=3x1-3x2=3(x1-x2),因为x1<x2,所以f(x2)-f(x1)<0,即f(x2)<f(x1),所以函数f(x)在R上单调递减.【拓展延伸】定义法证明函数单调性时常用变形技巧(1)因式分解:当原函数是多项式函数时,作差后的变形通常进行因式分解.(2)通分:当原函数是分式函数时,作差后往往进行通分,然后对分子进行因式分解.(3)配方:当原函数是二次函数时,作差后可考虑配方,便于判断符号.21.(12分)(2015·葫芦岛高一检测)已知函数f(x)对任意实数x,y恒有f(x+y)=f(x)+f(y),且当x>0时,f(x)<0,又f(1)=-2.(1)判断f(x)的奇偶性.(2)求证:f(x)为R上的减函数.(3)求f(x)在区间[-3,3]上的值域.【解析】(1)取x=y=0,则f(0+0)=2f(0),所以f(0)=0.取y=-x,则f(x-x)=f(x)+f(-x),所以f(-x)=-f(x)对任意x∈R恒成立,所以f(x)为奇函数.(2)任取x1,x2∈(-∞,+∞),且x1<x2,则x2-x1>0,f(x2)+f(-x1)=f(x2-x1)<0,所以f(x2)<-f(-x1),又f(x)为奇函数,所以f(x1)>f(x2),所以f(x)是R上的减函数.(3)由(2)知f(x)在R上为减函数,所以对任意x∈[-3,3],恒有f(3)≤f(x)≤f(-3),因为f(3)=f(2)+f(1)=f(1)+f(1)+f(1)=-2×3=-6,所以f(-3)=-f(3)=6,所以f(x)在[-3,3]上的值域为[-6,6].22.(12分)定义在(-1,1)上的函数f(x)满足:①对任意x,y∈(-1,1),都有f(x)+f(y)=f;②f(x)在(-1,1)上是单调递减函数,f=-1.(1)求f(0)的值.(2)求证:f(x)为奇函数.(3)解不等式f(2x-1)<1.【解题指南】(1)结合已知等式利用赋值法求解.(2)利用赋值法并结合奇偶性定义判断.(3)结合(2)的结论及已知条件得f=1,再利用奇偶性和单调性脱去符号“f”,转化为一次不等式求解.【解析】(1)令x=y=0,得2f(0)=f(0),所以f(0)=0.(2)令y=-x,得f(x)+f(-x)=f(0)=0,即f(x)=-f(-x),所以f(x)为奇函数.(3)因为f=-1,f(x)为奇函数,所以f=1,所以不等式f(2x-1)<1等价于f(2x-1)<f,又因为f(x)在(-1,1)上是减函数,所以2x-1>-,-1<2x-1<1,解得<x<1.所以不等式的解集为.【误区警示】解答本题(3)时易忽视函数定义域而得出解集为的错误.。
人教新课标数学必修Ⅰ1.2函数及其表示练习题一、选择题(5357'='⨯)⒈ 下列各组函数表示同一函数的是 ( )A.11)(2--=x x x f 与1)(+=x x g B.32)(x x f -=与x x x g 2)(-⋅=C.x x f =)(与2)()(x x g = D.12)(2--=x x x f 与12)(2--=t t t g⒉ 函数xy 111+=的定义域是 ( )A.{}0>x x B.{}10-≤>x x x 或 C.{}10-<>x x x 或 D.{}10<<x x⒊ 函数()Z x x x x y ∈≤≤--=,412的值域是 ( ) A.[]12,0 B.⎥⎦⎤⎢⎣⎡-12,41 C.{}12,6,2,0 D.{}12,6,2 ⒋ 已知映射B A f →:,其中集合{},4,3,2,1,1,2,3---=A 集合B 中的元素都是A 中的元 素在映射B A f →:下的对应的元素.且对任意的,)(,a a f A a =∈则集合B 中的元素的个数是 ( )A.4 B.5 C.6 D.3 5. 二次函数222+-=x x y 的值域是 ( )A.R B.φ C.),0[+∞ D.),1[+∞ ⒍ 若函数)(x f y =的定义域为],2,6[-则函数)(x f y =的定义域为 ( ) A.]4,4[- B.]2,2[- C.]2,0[ D.]4,0[⒎ 已知函数,1)(2+=x x f 则)]1([-f f 的值等于 ( ) A.2 B.3 C.4 D.5 二、 填空题(0254'='⨯)⒏ 已知),0(1)]([,21)(22≠-=-=x x x x g f x x g 则=)0(f ______________. ⒐ 已知,2)(,11)(2+=+=x x g xx f 则=)2(f ______________. =)]2([g f __________. ⒑ 函数24)(++=x x x f 的定义域为______________.⒒ 已知定义在),0[+∞上的函数⎩⎨⎧≤≤≥+=).20(),2(2)(2x x x x x f 若,425)]}([{=k f f f =k _____. 三、 解答题(5495'='⨯)⒓ 已知函数,32)(2-+=x x x f 求)(),2(),2(a f f f -的值.⒔ 已知二次函数),(x f 当2=x 时有最大值,16它的图像截x 轴所得线段长为8,求).(x f⒕ 画出函数12)(-=x x f 的图像.⒖ 某山海拔7500,m 海平面温度为,25C o气温是高度的函数,而且高度每升高,100m 温度就下降.6.0C o请你用解析式表示出气温T 随高度x 变化的函数关系,并指出函数的定义 域和值域.参考答案⒈D ⒉C ⒊C ⒋A ⒌D ⒍D ⒎D ⒏3 ⒐71;31 ⒑{}24-≠-≥x x x 且 ⒒23 ⒓32,122,52-+--a a ⒔124)(2++-=x x x f ⒕图略15.x x T 500325)(-= 定义域]7500,0[ 值域]25,20[-1.2 函数及其表示一、选择题1、设集合A ={x |0≤x ≤6},B ={y |0≤y ≤2},从A 到B 的对应法则f 不是映射的是( )A 、f :x →y =21xB 、f :x →y =31x C 、f :x →y =41xD 、f :x →y =61x2、设M ={x |-2≤x ≤2},N ={y |0≤y ≤2},函数f (x )的定义域为M ,值域为N ,则f (x )的图象可以是( )3、在映射中B A f →:,},|),{(R y x y x B A ∈==,且),(),(:y x y x y x f +-→,则与A 中的元素)2,1(-对应的B 中的元素为( )A 、)1,3(-B 、)3,1(C 、)3,1(--D 、)1,3(4、下列各组函数)()(x g x f 与的图象相同的是( )A 、2)()(,)(x x g x x f ==B 、22)1()(,)(+==x x g x x fC 、0)(,1)(x x g x f ==D 、⎩⎨⎧-==x xx g x x f )(|,|)( )0()0(<≥x x5、若{}21,,0,,b a a a b a ⎧⎫=+⎨⎬⎩⎭,则20052005ab +的值为( )A 、0B 、1C 、1-D 、1或1-6、如下图可作为函数)(x f =的图像的是( )CD7、若:f A B →能构成映射,下列说法正确的有 ( )(1)A 中的任一元素在B 中必须有像且唯一;(2)B 中的多个元素可以在A 中有相同的原像;(3)B 中的元素可以在A 中无原像;(4)像的集合就是集合B 。
高一数学必修1《集合与函数概念》测试卷(含答案)第一章(一)《集合与函数概念》测试卷考试时间:120分钟满分:150分一.选择题(本大题共12小题,每小题5分,共60分)1.下列叙述正确的是()A.函数的值域就是其定义中的数集BB.函数y=f(x)的图像与直线x=m至少有一个交点C.函数是一种特殊的映射D.映射是一种特殊的函数2.如果A={x|x>-1},则下列结论正确的是()A.XXXB.{}⊆AC.{}∈AD.∅∈A3.设f(x)=(2a-1)x+b在R上是减函数,则有()A.a≥1/2B.a≤1/2C.a>1/2D.a<1/24.定义在R上的偶函数f(x),对任意x1,x2∈[0,+∞)(x1≠x2),有|x1-x2|<π/2,则有()A.f(3)<f(-2)<f(1)B.f(1)<f(-2)<f(3)C.f(-2)<f(1)<f(3)D.f(3)<f(1)<f(-2)5.若奇函数f(x)在区间[1,3]上为增函数,且有最小值,则它在区间[-3,-1]上()A.是减函数,有最小值0B.是增函数,有最小值0C.是减函数,有最大值0D.是增函数,有最大值06.设f:x→x是集合A到集合B的映射,若A={-2,0,2},则AB等于()A.{}B.{2}C.{0,2}D.{-2,0}7.定义两种运算:a⊕b=ab,a⊗b=a²+b²,则函数f(x⊗3-3)为()A.奇函数B.偶函数C.既不是奇函数又不是偶函数D.既是奇函数又是偶函数8.若函数f(x)是定义域在R上的偶函数,在(-∞,0)上是减函数,且f(-2)=1/4,则使f(x)<1/4的x的取值范围为()A.(-2,2)B.(-2,0)∪(0,2)C.(-∞,-2)∪(2,+∞)D.(-∞,-2]∪[2,+∞)9.函数f(x)=x+(x|x|)的图像是()10.设f(x)是定义域在R上的奇函数,f(x+2)=-f(x),当|x|<1时,f(x)=x,则f(7.5)的值为()A.-0.5B.0.5C.-5.5D.7.511.已知f(-2x+1)=x²+1,且-1/2≤x≤1/2,则f(x)的值域为()A.[1,5/4]B.[1/4,5/4]C.[0,5/4]D.[1/4,2]12.设f(x)是定义在R上的奇函数,且f(x)在[-2,2]上单调递增,则f(x)在(-∞,-2)∪(2,+∞)上()A.单调递减B.单调不增也不减C.单调递增D.无法确定第一章(一)《集合与函数概念》测试卷考试时间:120分钟满分:150分一、选择题(本大题共12小题,每小题5分,共60分)1.下列叙述正确的是()A。
第一章集合与函数概念§集合1.集合的含义与表示第1课时集合的含义课时目标 1.通过实例了解集合的含义,并掌握集合中元素的三个特性.2.体会元素与集合间的“从属关系”.3.记住常用数集的表示符号并会应用.1.元素与集合的概念(1)把________统称为元素,通常用__________________表示.(2)把________________________叫做集合(简称为集),通常用____________________表示.【2.集合中元素的特性:________、________、________.3.集合相等:只有构成两个集合的元素是______的,才说这两个集合是相等的.45.____一、选择题1.下列语句能确定是一个集合的是( )A.著名的科学家B.留长发的女生?C.2010年广州亚运会比赛项目D.视力差的男生2.集合A只含有元素a,则下列各式正确的是( )A.0∈A B.a∉AC.a∈A D.a=A3.已知M中有三个元素可以作为某一个三角形的边长,则此三角形一定不是( ) A.直角三角形 B.锐角三角形C.钝角三角形 D.等腰三角形4.由a2,2-a,4组成一个集合A,A中含有3个元素,则实数a的取值可以是( ) A.1 B.-2 C.6 D.2[5.已知集合A是由0,m,m2-3m+2三个元素组成的集合,且2∈A,则实数m为( ) A.2 B.3C.0或3 D.0,2,3均可6.由实数x、-x、|x|、x2及-3x3所组成的集合,最多含有( )A.2个元素 B.3个元素C.4个元素 D.5个元素二、填空题7.由下列对象组成的集体属于集合的是______.(填序号) ①不超过π的正整数; ②本班中成绩好的同学;③高一数学课本中所有的简单题; ④平方后等于自身的数.8.集合A 中含有三个元素0,1,x ,且x 2∈A ,则实数x 的值为________. 9.用符号“∈”或“∉”填空…-2_______R ,-3_______Q ,-1_______N ,π_______Z . 三、解答题10.判断下列说法是否正确并说明理由.(1)参加2010年广州亚运会的所有国家构成一个集合; (2)未来世界的高科技产品构成一个集合;(3)1,,32,12组成的集合含有四个元素;(4)高一(三)班个子高的同学构成一个集合.|11.已知集合A 是由a -2,2a 2+5a,12三个元素组成的,且-3∈A ,求a .,@能力提升 12.设P 、Q 为两个非空实数集合,P 中含有0,2,5三个元素,Q 中含有1,2,6三个元素,定义集合P +Q 中的元素是a +b ,其中a ∈P ,b ∈Q ,则P +Q 中元素的个数是多少}13.设A为实数集,且满足条件:若a∈A,则11-a∈A (a≠1).求证:(1)若2∈A,则A中必还有另外两个元素;(2)集合A不可能是单元素集.;|1.考查对象能否构成一个集合,就是要看是否有一个确定的特征(或标准),能确定一个个体是否属于这个总体,如果有,能构成集合,如果没有,就不能构成集合.2.集合中元素的三个性质(1)确定性:指的是作为一个集合中的元素,必须是确定的,即一个集合一旦确定,某一个元素属于不属于这个集合是确定的.要么是该集合中的元素要么不是,二者必居其一,这个特性通常被用来判断涉及的总体是否构成集合.(2)互异性:集合中的元素必须是互异的,就是说,对于一个给定的集合,它的任何两个元素都是不同的.((3)无序性:集合与其中元素的排列顺序无关,如由元素a,b,c与由元素b,a,c组成的集合是相等的集合.这个性质通常用来判断两个集合的关系.第一章集合与函数概念§集合1.集合的含义与表示第1课时集合的含义知识梳理1.(1)研究对象小写拉丁字母a,b,c,…(2)一些元素组成的总体大写拉丁字母A,B,C,… 2.确定性互异性无序性3.一样是集合A a不是集合A N*或N+Z Q R作业设计1.C [选项A、B、D都因无法确定其构成集合的标准而不能构成集合.]'2.C [由题意知A中只有一个元素a,∴0∉A,a∈A,元素a与集合A的关系不应用“=”,故选C.]3.D [集合M 的三个元素是互不相同的,所以作为某一个三角形的边长,三边是互不相等的,故选D.]4.C [因A 中含有3个元素,即a 2,2-a,4互不相等,将选项中的数值代入验证知答案选C.]5.B [由2∈A 可知:若m =2,则m 2-3m +2=0,这与m 2-3m +2≠0相矛盾;若m 2-3m +2=2,则m =0或m =3, 当m =0时,与m ≠0相矛盾,当m =3时,此时集合A ={0,3,2},符合题意.]6.A [方法一 因为|x |=±x ,x 2=|x |,-3x 3=-x ,所以不论x 取何值,最多只能写成两种形式:x 、-x ,故集合中最多含有2个元素. 方法二 令x =2,则以上实数分别为:2,-2,2,2,-2,由元素互异性知集合最多含2个元素.]/7.①④解析 ①④中的标准明确,②③中的标准不明确.故答案为①④. 8.-1解析 当x =0,1,-1时,都有x 2∈A ,但考虑到集合元素的互异性,x ≠0,x ≠1,故答案为-1.9.∈ ∈ ∉ ∉10.解 (1)正确.因为参加2010年广州亚运会的国家是确定的,明确的. (2)不正确.因为高科技产品的标准不确定.(3)不正确.对一个集合,它的元素必须是互异的,由于=12,在这个集合中只能作为一元素,故这个集合含有三个元素.(4)不正确.因为个子高没有明确的标准.11.解 由-3∈A ,可得-3=a -2或-3=2a 2+5a ,。
高中数学必修一第一章集合与函数的概念基础训练题(有详解)第I 卷(选择题)一、单选题1.已知集合{|20},{|M x x N x y =-<==,则M N ⋃=A .{ | -1}x x >B .{|12}x x -≤<C .{ |-12}x x <<D .R2.下列四组中的函数()f x ,()g x 表示同一个函数的是( ) A .3()f x x =,()g x =B .()f x x =,()g x x =C .2()f x x =,4()g x =D .()1f x =,0()g x x =3.已知函数的定义域为M ,的定义域为N ,则M ( )A .B .C .D .4.定义在R 上的偶函数()f x 满足:对任意的()1212,[0,),x x x x ∈+∞≠,有()()21210f x f x x x -<-,且(2)0f =,则不等式 ()0x f x <的解集是( )A .(2,2)-B .(2,0)(2,)-⋃+∞C .(,2)(0,2)-∞-⋃D .(,2)(2,)-∞-⋃+∞5.若函数22,0()(),0x x x f x a R x ax x ⎧+≥=∈⎨-<⎩为偶函数,则下列结论正确的是( ) A .()()()20f a f a f >> B .()()()02f a f f a >> C .()()()20f a f a f >>D .()()()20f a f f a >>6.已知偶函数()y f x =在区间[0,)+∞上单调递增,且图象经过点(1,0)-和(3,5),则当[3,1]x ∈--时,函数()y f x =的值域是( )A .[0,5]B .[1,5]-C .[1,3]D .[3,5]7.设奇函数()f x 在()0+∞,上为单调递减函数,且()20f =,则不等式()()3205f x f x x--≤的解集为 ( )A .[)(]2002-⋃,, B .][)202⎡-⋃+∞⎣,, C .][()22-∞-⋃+∞,, D .(](]202-∞-⋃,, 8.设f (x )=221x 1x+-,则下列结论错误的是( ) A .()()f x f x -=- B .()1f f x x ⎛⎫=- ⎪⎝⎭C .()1f f x x ⎛⎫-=- ⎪⎝⎭D .()()f x f x -= 9.设奇函数在上是减函数,且,若不等式对所有的都成立,则的取值范围是( ) A .B .C .D .10.已知偶函数在上为增函数,且,则实数的取值范围是( ). A .B .C .D .11.已知为R 上偶函数,且在上为增函数,则满足的范围为A .B .C .D .12.设函数,则下列结论错误..的是( ) A .的定义域为 B .的值域为C .是偶函数 D .是单调函数13.定义在R 上的偶函数f (x )满足:对任意x 1,x 2∈[0,+∞),且x 1≠x 2,都有(x 1-x 2)[f (x 1)-f (x 2)]>0,则( )A .f (3)<f (-2)<f (1)B .f (1)<f (-2)<f (3)C .f (-2)<f (1)<f (3)D .f (3)<f (1)<f (-2) 14.已知函数是上的增函数,,是其图象上的两点,那么的解集是( )A .(1,4)B .(-1,2)C .D .A .增函数且最大值为-2B .增函数且最小值为-2C .减函数且最大值为-2D .减函数且最小值为-2 16.给出的4个图形中不.能表示函数图象的是( ) A . B . C .D .17.已知奇函数满足:f(x)=f(x+6)+f(3),且f(1)=-2,则f(5)=A .2B .-2C .3D .-3二、填空题18.已知函数()1,0,221,0xx f x x x ⎧⎛⎫≤⎪ ⎪=⎨⎝⎭⎪->⎩且()1f a =,则a =_______. 19.给出下列五个命题:①函数f (x )=22a x ﹣1﹣1的图象过定点(12,﹣1); ②已知函数f (x )是定义在R 上的奇函数,当x≥0时,f (x )=x (x+1),若f (a )=﹣2则实数a =﹣1或2. ③若log a12>1,则a 的取值范围是(12,1); ④若对于任意x ∈R 都f (x )=f (4﹣x )成立,则f (x )图象关于直线x =2对称; ⑤对于函数f (x )=lnx ,其定义域内任意12x x ≠都满足f (122x x +)()()122f x f x +≥ 其中所有正确命题的序号是_____.20.已知()f x 是偶函数,当0x <时,()()1f x x x =+,则()2f =____. 21.已知函数()()f x x R ∈,若函数(+2)f x 过点12-(,),那么函数|()|y f x =一定经过点____________ 22.若函数的图象关于原点对称,且在上是增函数,,不等式的解集为__________.23.函数值域为__________.三、解答题24.设函数()1mf x x=+,且(1)2f = (1)求m 的值;(2)试判断()f x 在(0,)+∞上的单调性,并用定义加以证明; (3)若[]2,5x ∈求值域; 25.已知函数11()(0)f x x a x=->. (1)用函数单调性的定义证明:()f x 在(0,)+∞上是增函数; (2)若()f x 在1,22⎡⎤⎢⎥⎣⎦上的值域是1,22⎡⎤⎢⎥⎣⎦,求a 的值.26.已知函数.(1)求; (2)求值域.参考答案1.D 【解析】 【分析】先解出集合M 与N ,再利用集合的并集运算得出M N ⋃. 【详解】{}{}202M x x x x =-<=<,{{}{}101N x y x x x x ===+≥=≥-,M N R ∴=U ,故选:D.【点睛】本题考查集合的并集运算,在计算无限数集时,可利用数轴来强化理解,考查计算能力,属于基础题。
1.2 函数及其表示一、选择题1、下列集合A 到集合B 的对应f 是映射的是 ( ) A 、{}{}1,0,1,1,0,1,A B f =-=-:A 中的数平方; B 、{}{}f B A ,1,0,1,1,0-==:A 中的数开方; C 、,,A Z B Q f ==:A 中的数取倒数; D 、,,A R B R f +==:A 中的数取绝对值;2、设集合A=R ,集合B=R +,则从集合A 到集合B 的映射只可能是( ) A 、x y x f =→: B 、 x y x f =→:C 、 xy x f -=→3: D 、)1(log :2x y x f +=→3、已知集合A={1,2,3},集合B={4,5,6},映射B A f →:,且满足1的象是4,则这样的映射有( )A 2个B 4个C 8个D 9个4、设集合}21|{≤≤=x x A ,}41|{≤≤=y y B ,则下述对应法则f 中,不能构成A 到B 的映射的是( )A 、2:x y x f =→B 、23:-=→x y x fC 、4:+-=→x y x fD 、24:x y x f -=→5、函数y =ax 2+a 与y =xa(a ≠0)在同一坐标系中的图象可能是( )6、直角梯形OABC 中AB ∥OC 、AB=1、OC=BC=2, 直线t x l =:截该梯形所得位于l 左边图形面积为S , 则函数S=)(t f 的图像大致为( ) A BCD 7、若)(x f 的定义域为[0,1],则)2(+x f 的定义域为( ) A 、[0,1] B 、[2,3] C 、[-2,-1] D 、无法确定二、填空题8、给定映射:(,)(2,)f x y x y xy →+,点11(,)66-的原象是__________________。
9、设函数3,(10)()((5)),(10)x x f x f f x x -≥⎧=⎨+<⎩,则(5)f =_______________________。
第一章《集合与函数概念》测试卷(一)考试时间:120分钟满分:150分一.选择题.(本大题共12小题,每小题5分,共60分) 1.下列叙述正确的是( )A.函数的值域就是其定义中的数集BB.函数()y f x =的图像与直线x m =至少有一个交点C.函数是一种特殊的映射D.映射是一种特殊的函数2.如果{}1A x x =>-,则下列结论正确的是() A.0A ⊆ B.{}0A ⊆ C.{}0A ∈ D.A ∅∈3.设()(21)f x a x b =-+在R 上是减函数,则有( ) A.12a ≥B.12a ≤C.12a >D.12a < 4.定义在R 上的偶函数()f x ,对任意1x ,2x ∈[)0,+∞12()x x ≠,有1212()()0f x f x x x -<-,则有()A.(3)(2)(1)f f f <-<B.(1)(2)(3)f f f <-<C.(2)(1)(3)f f f -<<D.(3)(1)(2)f f f <<-5.若奇函数()f x 在区间[]1,3上为增函数,且有最小值0,则它在区间[]3,1--上() A.是减函数,有最小值0B.是增函数,有最小值0C.是减函数,有最大值0D.是增函数,有最大值06.设:f x x →是集合A 到集合B 的映射,若{}2,0,2A =-,则A B 等于()A.{}0B.{}2C.{}0,2D.{}2,0-7.定义两种运算:a b ab ⊕=,22a b a b ⊗=+,则函数3()33xf x x ⊕=⊗-为()A.奇函数B.偶函数C.既不是奇函数又不是偶函数D.既是奇函数又是偶函数 8.若函数()f x 是定义域在R 上的偶函数,在(),0-∞上是减函数,且(2)0f -=,则使()0f x <的x 的取值范围为() A.()2,2- B.()()2,00,2- C.()(),22,-∞-+∞ D.(][),22,-∞-+∞9.函数()xf x x x=+的图像是( ) 10.设()f x 是定义域在R 上的奇函数,(2)()f x f x +=-,当01x <≤时,()f x x =,则(7.5)f 的值为( )A. -0.5B. 0.5C. -5.5D.7.511.已知2(21)1f x x -+=+,且(21)f x -+的定义域为[)2,1-,则()f x 的解析式为( )A.)51(,452141)(2≤<--+=x x x x f B.)51(,452141)(2≤<-+-=x x x x f C.21153()(0)4242f x x x x =+-<≤, D.21153()(0)4242f x x x x =-+<≤,12.已知函数()f x 是定义在R 上的不恒为零的偶函数,且对任意实数x 都有(1)(1)()xf x x f x +=+,则5(())2f f 的值是( )A.0B.12C.1D.52二.填空题.(本大题共4小题,每小题5分,共20分)13.已知1()x f x +=()f x 的定义域为.14.设函数(1)()()x x a f x x++=为奇函数,则a 的值为.15.设22,1(),12x x f x x x +≤-⎧=⎨-<<⎩,若()f x =3,则x 的值为.16.关于函数()()1(),,00,f x x x x=-∈-∞+∞,有下列四个结论:○1()f x 的值域为R ; ○2()f x 是定义域上的增函数; ○3对任意的()(),00,x ∈-∞+∞,都有()()0f x f x -+=成立;○4()f x 与20()x x g x x x=-表示同一个函数.把你认为正确的结论的序号填写到横线上.三.解答题.(本大题共6小题,其中17题10分,其余5个小题每题12分,共70分)17.设函数()f x 是定义域在R 上的奇函数,当0x >时,2()331f x x x =-+-,求()f x 在R 上的解析式. 18.已知集合{}{}13,22A x x B x m x m -≤≤=-≤≤+=. (1)若{}03AB x x =≤≤,求实数m 的值(2)若R A C B ⊆,求实数m 的取值范围.19.二次函数()f x 的最小值为1,且(0)(2)3f f ==. (1)求()f x 的解析式;(2)若()f x 在区间[]2,1a a +上不单调,求a 的取值范围.20.某商场国庆节期间搞促销活动,规定:顾客购物总金额不超过800元,不享受任何折扣;如果顾(1)试写出y x 关于的函数解析式; (2)若30y =,求此人购物实际所付金额. 21.已知函数2()2(1)f x x a x a =+-+. (1)当1a =-时,求()f x 在[]3,3-上的值域; (2)求()f x 在区间[]3,3-上的最小值. 22.已知2()1ax b f x x +=+是定义域在()1,1-上的奇函数,且12()25f =. (1)求()f x 的解析式;(2)判断()f x 的单调性,并证明你的结论; (3)解不等式(22)()0f t f t -+<.第一章《集合与函数概念》答案解析一.选择题.(本大题共12小题,每小题5分,共60分) CBDAD CAADA BA 二.填空题.(本大题共4小题,每小题5分,共20分) 13.[)()()1,11,22,-+∞或者{}11,2x x x x ≥-≠≠且14. -1 16.①③三.解答题.(本大题共6小题,其中17题10分,其余5个小题每题12分,共70分)2222217.0,0()3()3()1331()()()331()(0)0331,0()0,0331,0x x f x x x x x f x f x f x x x f x R f x x x f x x x x x <->∴-=--+--=---∴=--=++∴=⎧++<⎪∴==⎨⎪-+->⎩解:设则是奇函数又是上的奇函数{}()()2018.(1)2232.(2),2,2232153,35,U U m m m m B C B x x m x m A C Bm m m m m -=⎧⇒=⎨+≥⎩∴≠∅=<->+⊆∴->+<-><-∴-∞-+∞解:由题意得: 的值为 由题意知:则或或 得到或 的取值范围为22219.(1)(0)(2)3()1()1()(1)1(0)(0)132()2(1)1,()243211(2)02112f f f x x f x f x a x a f a a f x x f x x x a a a a a a ==∴=∴=-+>=+==∴=-+=-+<+⎧⇒<<⎨<<+⎩∴解: 二次函数的对称轴为 又有最小值 设 由得 即 由题意得: 的取值范围102⎛⎫⎪⎝⎭为, 0,080020.(1):(800)5%,800130025(1300)10%,1300(2)305005%2525(1300)10%30,135013503013201320x y x x x x x x ≤≤⎧⎪=-⨯<≤⎨⎪+-⨯>⎩>⨯=∴+-⨯==∴-=∴解:由题意得 解得 此人购物实际所付金额为元.[](][][]2min 21.(1)1()41()2()-3,22,3()=(2)5(3)20,(3)4()3,3-5,20(2)()113,4a f x x x f x x f x f x f f f f x f x x a a a =-=--∴=∴∴=--==-∴-=--<->解:当时, 的对称轴为 在上单调递减,在上单调递增 / 又在上的值域为 的对称轴为 ①当即时 [][](][]min 2min()-33()=(3)155313,24()-3,11,3()=(1)3113,2()-33f x f x f a a a f x a a f x f a a a a a f x f ∴-=--≤-≤-≤≤--∴-=-+--><-∴ 在,上单调递增 / ②当即时在上单调递减,在上单调递增/ ③当即时 在,上单调递减 min 2min ()=(3)7+37+3,2()=31,24155,4x f a a a f x a a a a a =<-⎧⎪-+--≤≤⎨⎪->⎩/ 综上所述,/()()22212121222.(1)()1,1(0)0()112()2522,115()12()1(2)()-1,1,(1,1),,()()f x f baxf x x f aa xf x x f x x x x x x f x f x -∴==∴=+=∴==+∴=+∈-<-=解:是上的奇函数又 解得 在上单调递增.证明:任意取且则()1212122222121212221212121212()(1)11(1)(1)110,10,10,10()()0,()()()-1,1(3)(22)()0x x x x x x x x x x x x x x x x x f x f x f x f x f x f t f t ---=++++-<<<∴-<->+>+>∴-<<∴-+<∴即 在上单调递增. ()()(22)()()1,1()()(22)()(2)()1,122121221,2311f t f t f x f t f t f t f t f x t tt t t -<--∴-=-∴-<---<-⎧⎪∴-<-<<<⎨⎪-<-<⎩ 易知是上的奇函数 又由知是上的增函数 解得。
人教版高中数学必修一第一章《集合与函数》单元检测精选(含答案解析)(时间:120分钟 满分:150分) 第Ⅰ卷 (选择题 共60分)一、选择题(本大题共12个小题,每小题5分,共60分,在每小题给出的四个选项中,只有一项是符合题目要求的)1.集合A ={0,2,a },B ={1,a 2},若A ∪B ={0,1,2,4,16},则a 的值为( ) A .0 B .1 C .2D .42.设函数f (x )=,则f (f(31)的值为( )A.128127B .-128127C.81D.1613.若函数y =f (x )的定义域是[0,2],则函数g (x )=x -1f(2x的定义域是( ) A .[0,1]B .[0,1)C .[0,1)∪(1,4]D .(0,1)4.已知f (x )=(m -1)x 2+3mx +3为偶函数,则f (x )在区间(-4,2)上为( ) A .增函数B .减函数C .先递增再递减D .先递减再递增5.三个数a =0.32,b =log 20.3,c =20.3之间的大小关系是( ) A .a <c <b B .a <b <c C .b <a <cD .b <c <a6.若函数f (x )唯一的一个零点同时在区间(0,16)、(0,8)、(0,4)、(0,2)内,那么下列命题中正确的是( )A .函数f (x )在区间(0,1)内有零点B .函数f (x )在区间(0,1)或(1,2)内有零点C .函数f (x )在区间[2,16)内无零点D .函数f (x )在区间(1,16)内无零点7.已知0<a <1,则方程a |x |=|log a x |的实根个数是( ) A .2 B .3C .4D .与a 值有关8.函数y =1+ln(x -1)(x >1)的反函数是( ) A .y =e x +1-1(x >0)B .y =e x -1+1(x >0)C .y =e x +1-1(x ∈R )D .y =e x -1+1(x ∈R )9.函数f (x )=x 2-2ax +1有两个零点,且分别在(0,1)与(1,2)内,则实数a 的取值范围是( )A .-1<a <1B .a <-1或a >1C .1<a <45D .-45<a <-110.若一系列函数的解析式和值域相同,但其定义域不同,则称这些函数为“同族函数”,例如函数y =x 2,x ∈[1,2]与函数y =x 2,x ∈[-2,-1]即为“同族函数”.请你找出下面函数解析式中能够被用来构造“同族函数”的是( )A .y =xB .y =|x -3|C .y =2xD .y =11.下列4个函数中: ①y =2008x -1;②y =log a 2 009+x 2 009-x(a >0且a ≠1); ③y =x +1x2 009+x2 008;④y =x (a -x -11+21)(a >0且a ≠1). 其中既不是奇函数,又不是偶函数的是( ) A .①B .②③C .①③D .①④12.设函数的集合P ={f (x )=log 2(x +a )+b |a =-21,0,21,1;b =-1,0,1},平面上点的集合Q ={(x ,y )|x =-21,0,21,1;y =-1,0,1},则在同一直角坐标系中,P 中函数f (x )的图象恰好经过Q 中两个点的函数的个数是( )A .4B .6C .8D .10第Ⅱ卷 (非选择题 共90分)二、填空题(本大题共4个小题,每小题5分,共20分,请把正确答案填在题中横线上)13.已知函数f (x ),g (x )分别由下表给出:x 1 2 3 f (x )131x 1 2 3 g (x )321则不等式f [g (x )]>g [f (x )]的解为________. 14.已知log a 21>0,若≤a 1,则实数x 的取值范围为______________.15.直线y =1与曲线y =x 2-+a 有四个交点,则a 的取值范围为________________.16.已知下表中的对数值有且只有一个是错误的.三、解答题(本大题共6个小题,共70分,解答时应写出必要的文字说明、证明过程或演算步骤)17.(本小题满分10分)设全集为R,A={x|3≤x<7},B={x|2<x<10}.求:A∪B,∁R(A∩B),(∁R A)∩B.18.(本小题满分12分)(1)已知全集U=R,集合M={x|≤0},N={x|x2=x+12},求(∁U M)∩N;(2)已知全集U=R,集合A={x|x<-1或x>1},B={x|-1≤x<0},求A∪(∁U B).19.(本小题满分12分)已知集合A={x|-2<x<-1或x>1},B={x|a≤x<b},A∪B={x|x>-2},A ∩B={x|1<x<3},求实数a,b的值.20.(本小题满分12分)已知集合A={x|x≤a+3},B={x|x<-1或x>5}.(1)若a=-2,求A∩∁R B;(2)若A⊆B,求a的取值范围.21.(本小题满分12分)设集合A={x|x2-8x+15=0},B={x|ax-1=0}.(1)若a=51,判断集合A与B的关系;(2)若A∩B=B,求实数a组成的集合C.22.(本小题满分12分)已知集合A={x|(a-1)x2+3x-2=0},B={x|x2-3x+2=0}.(1)若A≠∅,求实数a的取值范围;(2)若A∩B=A,求实数a的取值范围.参考答案与解析1.D [∵A ∪B ={0,1,2,a ,a 2}, 又∵A ∪B ={0,1,2,4,16}, ∴a2=16,a =4,即a =4. 否则有a2=4a =16矛盾.]2.A [∵f (3)=32+3×3-2=16, ∴f(31=161,∴f (f(31)=f (161)=1-2×(161)2=1-2562=128127.] 3.B [由题意得:x ≠10≤2x ≤2,∴0≤x <1.] 4.C [∵f (x )=(m -1)x 2+3mx +3是偶函数,∴m =0,f (x )=-x 2+3,函数图象是开口向下的抛物线,顶点坐标为(0,3),f (x )在(-4,2)上先增后减.]5.C [20.3>20=1=0.30>0.32>0=log 21>log 20.3.]6.C [函数f (x )唯一的一个零点在区间(0,2)内,故函数f (x )在区间[2,16)内无零点.] 7.A [分别画出函数y =a |x |与y =|log a x |的图象,通过数形结合法,可知交点个数为2.]8.D [∵函数y =1+ln(x -1)(x >1),∴ln(x -1)=y -1,x -1=e y -1,y =e x -1+1(x ∈R ).] 9.C [∵f (x )=x 2-2ax +1, ∴f (x )的图象是开口向上的抛物线.由题意得:f(2>0.f(1<0,即4-4a +1>0,1-2a +1<0,解得1<a <45.] 10.B11.C [其中①不过原点,则不可能为奇函数,而且也不可能为偶函数;③中定义域不关于原点对称,则既不是奇函数,又不是偶函数.] 12.B [当a =-21,f (x )=log 2(x -21)+b , ∵x >21,∴此时至多经过Q 中的一个点;当a =0时,f (x )=log 2x 经过(21,-1),(1,0), f (x )=log 2x +1经过(21,0),(1,1);当a =1时,f (x )=log 2(x +1)+1经过(-21,0),(0,1), f (x )=log 2(x +1)-1经过(0,-1),(1,0); 当a =21时,f (x )=log 2(x +21)经过(0,-1),(21,0) f (x )=log 2(x +21)+1经过(0,0),(21,1).]13.x =2解析 ∵f (x )、g (x )的定义域都是{1,2,3},∴当x =1时,f [g (1)]=f (3)=1,g [f (1)]=g (1)=3,不等式不成立; 当x =2时,f [g (2)]=f (2)=3,g [f (2)]=g (3)=1,此时不等式成立; 当x =3时,f [g (3)]=f (1)=1,g [f (3)]=g (1)=3, 此时,不等式不成立. 因此不等式的解为x =2. 14.(-∞,-3]∪[1,+∞) 解析 由log a 21>0得0<a <1. 由≤a 1得≤a -1,∴x 2+2x -4≥-1,解得x ≤-3或x ≥1. 15.1<a <45解析 y =x2+x +a ,x <0,x2-x +a ,x ≥0,作出图象,如图所示.此曲线与y 轴交于(0,a )点,最小值为a -41,要使y =1与其有四个交点,只需a -41<1<a ,∴1<a <45. 16.lg1.5解析 ∵lg9=2lg3,适合,故二者不可能错误,同理:lg8=3lg2=3(1-lg5),∴lg8,lg5正确.lg6=lg2+lg3=(1-lg5)+lg3=1-(a +c )+(2a -b )=1+a -b -c ,故lg6也正确.17.解:∵全集为R ,A ={x |3≤x <7},B ={x |2<x <10}, ∴A ∪B ={x |2<x <10},A ∩B ={x |3≤x <7}, ∴∁R (A ∩B )={x |x ≥7或x <3}. ∵∁R A ={x |x ≥7或x <3},∴(∁R A )∩B ={x |2<x <3或7≤x <10}.18.解:(1)M ={x |x +3=0}={-3},N ={x |x 2=x +12}={-3,4}, ∴(∁U M )∩N ={4}.(2)∵A ={x |x <-1或x >1},B ={x |-1≤x <0}, ∴∁U B ={x |x <-1或x ≥0}. ∴A ∪(∁U B )={x |x <-1或x ≥0}. 19.解:∵A ∩B ={x |1<x <3},∴b =3,又A∪B={x|x>-2},∴-2<a≤-1,又A∩B={x|1<x<3},∴-1≤a<1,∴a=-1.20.解:(1)当a=-2时,集合A={x|x≤1},∁R B={x|-1≤x≤5},∴A∩∁R B={x|-1≤x≤1}.(2)∵A={x|x≤a+3},B={x|x<-1或x>5},A⊆B,∴a+3<-1,∴a<-4.解题技巧:本题主要考查了描述法表示的集合的运算,集合间的关系,解决本题的关键是借助于数轴求出符合题意的值.在解决(2)时,特别注意参数a是否取到不等式的端点值.21.解:A={x|x2-8x+15=0}={3,5}.(1)若a=51,则B={5},所以B A.(2)若A∩B=B,则B⊆A.当a=0时,B=∅,满足B⊆A;当a≠0时,B=a1,因为B⊆A,所以a1=3或a1=5,即a=31或a=51;综上所述,实数a组成的集合C为51.22.解:(1)①当a=1时,A=32≠∅;②当a≠1时,Δ≥0,即a≥-81且a≠1,综上,a≥-81;(2)∵B={1,2},A∩B=A,∴A=∅或{1}或{2}或{1,2}.①A=∅,Δ<0,即a<-81;②当A={1}或{2}时,Δ=0,即a=0且a=-81,不存在这样的实数;③当A={1,2},Δ>0,即a>-81且a≠1,解得a=0.综上,a<-81或a=0.11。
第一章集合与函数概念§1.1集合1.1.1集合的含义与表示第1课时集合的含义课时目标 1.通过实例了解集合的含义,并掌握集合中元素的三个特性.2.体会元素与集合间的“从属关系”.3.记住常用数集的表示符号并会应用.1.元素与集合的概念(1)把________统称为元素,通常用__________________表示.(2)把________________________叫做集合(简称为集),通常用____________________表示.2.集合中元素的特性:________、________、________.3.集合相等:只有构成两个集合的元素是______的,才说这两个集合是相等的.45.符号________________________一、选择题1.下列语句能确定是一个集合的是()A.著名的科学家B.留长发的女生C.2010年广州亚运会比赛项目D.视力差的男生2.集合A只含有元素a,则下列各式正确的是()A.0∈A B.a∉AC.a∈A D.a=A3.已知M中有三个元素可以作为某一个三角形的边长,则此三角形一定不是() A.直角三角形B.锐角三角形C.钝角三角形D.等腰三角形4.由a2,2-a,4组成一个集合A,A中含有3个元素,则实数a的取值可以是() A.1 B.-2 C.6 D.25.已知集合A是由0,m,m2-3m+2三个元素组成的集合,且2∈A,则实数m为() A.2 B.3C.0或3 D.0,2,3均可6.由实数x、-x、|x|、x2及-3x3所组成的集合,最多含有()A.2个元素B.3个元素C.4个元素D.5个元素二、填空题7.由下列对象组成的集体属于集合的是______.(填序号)①不超过π的正整数;②本班中成绩好的同学;③高一数学课本中所有的简单题;④平方后等于自身的数.8.集合A 中含有三个元素0,1,x ,且x 2∈A ,则实数x 的值为________.9.用符号“∈”或“∉”填空-2_______R ,-3_______Q ,-1_______N ,π_______Z .三、解答题10.判断下列说法是否正确?并说明理由.(1)参加2010年广州亚运会的所有国家构成一个集合;(2)未来世界的高科技产品构成一个集合;(3)1,0.5,32,12组成的集合含有四个元素; (4)高一(三)班个子高的同学构成一个集合.11.已知集合A 是由a -2,2a 2+5a,12三个元素组成的,且-3∈A ,求a .能力提升12.设P 、Q 为两个非空实数集合,P 中含有0,2,5三个元素,Q 中含有1,2,6三个元素,定义集合P +Q 中的元素是a +b ,其中a ∈P ,b ∈Q ,则P +Q 中元素的个数是多少?13.设A为实数集,且满足条件:若a∈A,则11-a∈A (a≠1).求证:(1)若2∈A,则A中必还有另外两个元素;(2)集合A不可能是单元素集.1.考查对象能否构成一个集合,就是要看是否有一个确定的特征(或标准),能确定一个个体是否属于这个总体,如果有,能构成集合,如果没有,就不能构成集合.2.集合中元素的三个性质(1)确定性:指的是作为一个集合中的元素,必须是确定的,即一个集合一旦确定,某一个元素属于不属于这个集合是确定的.要么是该集合中的元素要么不是,二者必居其一,这个特性通常被用来判断涉及的总体是否构成集合.(2)互异性:集合中的元素必须是互异的,就是说,对于一个给定的集合,它的任何两个元素都是不同的.(3)无序性:集合与其中元素的排列顺序无关,如由元素a,b,c与由元素b,a,c组成的集合是相等的集合.这个性质通常用来判断两个集合的关系.第一章集合与函数概念§1.1集合1.1.1集合的含义与表示第1课时集合的含义知识梳理1.(1)研究对象小写拉丁字母a,b,c,…(2)一些元素组成的总体大写拉丁字母A,B,C,… 2.确定性互异性无序性3.一样 4.a是集合A a不是集合A 5.N N*或N+Z Q R作业设计1.C[选项A、B、D都因无法确定其构成集合的标准而不能构成集合.]2.C[由题意知A中只有一个元素a,∴0∉A,a∈A,元素a与集合A的关系不应用“=”,故选C.]3.D[集合M的三个元素是互不相同的,所以作为某一个三角形的边长,三边是互不相等的,故选D.]4.C [因A 中含有3个元素,即a 2,2-a,4互不相等,将选项中的数值代入验证知答案选C.]5.B [由2∈A 可知:若m =2,则m 2-3m +2=0,这与m 2-3m +2≠0相矛盾; 若m 2-3m +2=2,则m =0或m =3,当m =0时,与m ≠0相矛盾,当m =3时,此时集合A ={0,3,2},符合题意.]6.A [方法一 因为|x |=±x ,x 2=|x |,-3x 3=-x ,所以不论x 取何值,最多只能写成两种形式:x 、-x ,故集合中最多含有2个元素.方法二 令x =2,则以上实数分别为:2,-2,2,2,-2,由元素互异性知集合最多含2个元素.]7.①④解析 ①④中的标准明确,②③中的标准不明确.故答案为①④.8.-1解析 当x =0,1,-1时,都有x 2∈A ,但考虑到集合元素的互异性,x ≠0,x ≠1,故答案为-1.9.∈ ∈ ∉ ∉10.解 (1)正确.因为参加2010年广州亚运会的国家是确定的,明确的.(2)不正确.因为高科技产品的标准不确定.(3)不正确.对一个集合,它的元素必须是互异的,由于0.5=12,在这个集合中只能作为一元素,故这个集合含有三个元素.(4)不正确.因为个子高没有明确的标准.11.解 由-3∈A ,可得-3=a -2或-3=2a 2+5a ,∴a =-1或a =-32. 则当a =-1时,a -2=-3,2a 2+5a =-3,不符合集合中元素的互异性,故a =-1应舍去.当a =-32时,a -2=-72,2a 2+5a =-3, ∴a =-32. 12.解 ∵当a =0时,b 依次取1,2,6,得a +b 的值分别为1,2,6;当a =2时,b 依次取1,2,6,得a +b 的值分别为3,4,8;当a =5时,b 依次取1,2,6,得a +b 的值分别为6,7,11.由集合元素的互异性知P +Q 中元素为1,2,3,4,6,7,8,11共8个.13.证明 (1)若a ∈A ,则11-a∈A . 又∵2∈A ,∴11-2=-1∈A . ∵-1∈A ,∴11-(-1)=12∈A . ∵12∈A ,∴11-12=2∈A . ∴A 中另外两个元素为-1,12. (2)若A 为单元素集,则a =11-a, 即a 2-a +1=0,方程无解.∴a≠11-a,∴A不可能为单元素集.第2课时集合的表示课时目标 1.掌握集合的两种表示方法(列举法、描述法).2.能够运用集合的两种表示方法表示一些简单集合.1.列举法把集合的元素____________出来,并用花括号“{}”括起来表示集合的方法叫做列举法.2.描述法用集合所含元素的共同特征表示集合的方法称为__________.不等式x-7<3的解集为__________.所有偶数的集合可表示为________________.一、选择题1.集合{x∈N+|x-3<2}用列举法可表示为()A.{0,1,2,3,4} B.{1,2,3,4}C.{0,1,2,3,4,5} D.{1,2,3,4,5}2.集合{(x,y)|y=2x-1}表示()A.方程y=2x-1B.点(x,y)C.平面直角坐标系中的所有点组成的集合D.函数y=2x-1图象上的所有点组成的集合3.将集合表示成列举法,正确的是()A.{2,3} B.{(2,3)}C.{x=2,y=3} D.(2,3)4.用列举法表示集合{x|x2-2x+1=0}为()A.{1,1} B.{1}C.{x=1} D.{x2-2x+1=0}5.已知集合A={x∈N|-3≤x≤3},则有()A.-1∈A B.0∈AC.3∈A D.2∈A6.方程组的解集不可表示为()A.B.C.{1,2} D.{(1,2)}二、填空题7.用列举法表示集合A={x|x∈Z,86-x∈N}=______________.8.下列各组集合中,满足P=Q的有________.(填序号)①P={(1,2)},Q={(2,1)};②P={1,2,3},Q={3,1,2};③P={(x,y)|y=x-1,x∈R},Q={y|y=x-1,x∈R}.9.下列各组中的两个集合M和N,表示同一集合的是________.(填序号)①M={π},N={3.141 59};②M={2,3},N={(2,3)};③M={x|-1<x≤1,x∈N},N={1};④M={1,3,π},N={π,1,|-3|}.三、解答题10.用适当的方法表示下列集合①方程x(x2+2x+1)=0的解集;②在自然数集内,小于1 000的奇数构成的集合;③不等式x-2>6的解的集合;④大于0.5且不大于6的自然数的全体构成的集合.11.已知集合A={x|y=x2+3},B={y|y=x2+3},C={(x,y)|y=x2+3},它们三个集合相等吗?试说明理由.能力提升12.下列集合中,不同于另外三个集合的是()A.{x|x=1} B.{y|(y-1)2=0}C.{x=1} D.{1}13.已知集合M={x|x=k2+14,k∈Z},N={x|x=k4+12,k∈Z},若x0∈M,则x0与N的关系是() A.x0∈NB.x0∉NC.x0∈N或x0∉N D.不能确定1.在用列举法表示集合时应注意:①元素间用分隔号“,”;②元素不重复;③元素无顺序;④列举法可表示有限集,也可以表示无限集,若元素个数比较少用列举法比较简单;若集合中的元素较多或无限,但出现一定的规律性,在不发生误解的情况下,也可以用列举法表示.2.在用描述法表示集合时应注意:(1)弄清元素所具有的形式(即代表元素是什么),是数、还是有序实数对(点)、还是集合、还是其他形式?(2)元素具有怎样的属性?当题目中用了其他字母来描述元素所具有的属性时,要去伪存真,而不能被表面的字母形式所迷惑. 第2课时 集合的表示知识梳理1.一一列举 2.描述法 {x |x <10} {x ∈Z |x =2k ,k ∈Z }作业设计1.B [{x ∈N +|x -3<2}={x ∈N +|x <5}={1,2,3,4}.]2.D [集合{(x ,y )|y =2x -1}的代表元素是(x ,y ),x ,y 满足的关系式为y =2x -1,因此集合表示的是满足关系式y =2x -1的点组成的集合,故选D.]3.B [解方程组⎩⎪⎨⎪⎧ x +y =5,2x -y =1.得⎩⎪⎨⎪⎧x =2,y =3. 所以答案为{(2,3)}.]4.B [方程x 2-2x +1=0可化简为(x -1)2=0,∴x 1=x 2=1,故方程x 2-2x +1=0的解集为{1}.]5.B6.C [方程组的集合中最多含有一个元素,且元素是一对有序实数对,故C 不符合.]7.{5,4,2,-2}解析 ∵x ∈Z ,86-x∈N , ∴6-x =1,2,4,8.此时x =5,4,2,-2,即A ={5,4,2,-2}.8.②解析 ①中P 、Q 表示的是不同的两点坐标;②中P =Q ;③中P 表示的是点集,Q 表示的是数集.9.④解析 只有④中M 和N 的元素相等,故答案为④.10.解 ①∵方程x (x 2+2x +1)=0的解为0和-1,∴解集为{0,-1};②{x |x =2n +1,且x <1 000,n ∈N };③{x |x >8};④{1,2,3,4,5,6}.11.解 因为三个集合中代表的元素性质互不相同,所以它们是互不相同的集合.理由如下:集合A 中代表的元素是x ,满足条件y =x 2+3中的x ∈R ,所以A =R ;集合B 中代表的元素是y ,满足条件y =x 2+3中y 的取值范围是y ≥3,所以B ={y |y ≥3}. 集合C 中代表的元素是(x ,y ),这是个点集,这些点在抛物线y =x 2+3上,所以C ={P |P 是抛物线y =x 2+3上的点}.12.C [由集合的含义知{x |x =1}={y |(y -1)2=0}={1},而集合{x =1}表示由方程x =1组成的集合,故选C.]13.A[M={x|x=2k+14,k∈Z},N={x|x=k+24,k∈Z},∵2k+1(k∈Z)是一个奇数,k+2(k∈Z)是一个整数,∴x0∈M时,一定有x0∈N,故选A.]1.1.2集合间的基本关系课时目标 1.理解集合之间包含与相等的含义.2.能识别给定集合的子集、真子集,并能判断给定集合间的关系.3.在具体情境中,了解空集的含义.1.子集的概念一般地,对于两个集合A、B,如果集合A中________元素都是集合B中的元素,我们就说这两个集合有包含关系,称集合A为集合B的子集,记作______(或______),读作“__________”(或“__________”).2.Venn图:用平面上______曲线的内部代表集合,这种图称为Venn图.3.集合相等与真子集的概念图形表示A B(或B A)(1)定义:______________的集合叫做空集.(2)用符号表示为:____.(3)规定:空集是任何集合的______.5.子集的有关性质(1)任何一个集合是它本身的子集,即________.(2)对于集合A,B,C,如果A⊆B,且B⊆C,那么___________________________.一、选择题1.集合P={x|y=x+1},集合Q={y|y=x-1},则P与Q的关系是()A.P=Q B.P QC.P Q D.P∩Q=∅2.满足条件{1,2}M⊆{1,2,3,4,5}的集合M的个数是()A.3 B.6 C.7 D.83.对于集合A、B,“A⊆B不成立”的含义是()A.B是A的子集B.A中的元素都不是B中的元素C.A中至少有一个元素不属于BD.B中至少有一个元素不属于A4.下列命题:①空集没有子集;②任何集合至少有两个子集;③空集是任何集合的真子集;④若∅A,则A≠∅.其中正确的个数是()A.0 B.1 C.2 D.35.下列正确表示集合M={-1,0,1}和N={x|x2+x=0}关系的Venn图是()6.集合M={x|x=3k-2,k∈Z},P={y|y=3n+1,n∈Z},S={z|z=6m+1,m∈Z}之间的关系是()A.S P M B.S=P MC.S P=M二、填空题7.已知M={x|x≥22,x∈R},给定下列关系:①π∈M;②{π}M;③πM;④{π}∈M.其中正确的有________.(填序号)8.已知集合A={x|1<x<2},B={x|x<a},若A B,则实数a的取值范围是________.9.已知集合A{2,3,7},且A中至多有1个奇数,则这样的集合共有________个.三、解答题10.若集合A={x|x2+x-6=0},B={x|x2+x+a=0},且B⊆A,求实数a的取值范围.11.已知集合A={x|-2≤x≤5},B={x|m+1≤x≤2m-1}.若B⊆A,求实数m的取值范围.能力提升12.已知集合A={x|1<ax<2},B={x|-1<x<1},求满足A⊆B的实数a的取值范围.13.已知集合A{1,2,3},且A中至少含有一个奇数,则这样的集合有________个.1.子集概念的多角度理解(1)“A是B的子集”的含义是:集合A中的任何一个元素都是集合B的元素,即由任意x∈A能推出x∈B.(2)不能把“A⊆B”理解成“A是B中部分元素组成的集合”,因为当A=∅时,A⊆B,但A中不含任何元素;又当A=B时,也有A⊆B,但A中含有B中的所有元素,这两种情况都有A⊆B.拓展当A不是B的子集时,我们记作“A B”(或B A).2.对元素与集合、集合与集合关系的分析与拓展(1)元素与集合之间的关系是从属关系,这种关系用符号“∈”或“∉”表示.(2)集合与集合之间的关系有包含关系,相等关系,其中包含关系有:含于(⊆)、包含(⊇)、真包含于()、真包含()等,用这些符号时要注意方向,如A⊆B与B⊇A是相同的.1.1.2集合间的基本关系知识梳理1.任意一个A⊆B B⊇A A含于B B包含A 2.封闭3.A⊆B且B⊆A x∈B,且x∉A 4.(1)不含任何元素(2)∅(3)子集 5.(1)A⊆A(2)A⊆C作业设计1.B[∵P={x|y=x+1}={x|x≥-1},Q={y|y≥0}∴P Q,∴选B.]2.C[M中含三个元素的个数为3,M中含四个元素的个数也是3,M中含5个元素的个数只有1个,因此符合题意的共7个.]3.C4.B[只有④正确.]5.B[由N={-1,0},知N M,故选B.]6.C[运用整数的性质方便求解.集合M、P表示成被3整除余1的整数集,集合S 表示成被6整除余1的整数集.]7.①②解析①、②显然正确;③中π与M的关系为元素与集合的关系,不应该用“”符号;④中{π}与M的关系是集合与集合的关系,不应该用“∈”符号.8.a≥2解析在数轴上表示出两个集合,可得a≥2.9.6解析 (1)若A 中有且只有1个奇数, 则A ={2,3}或{2,7}或{3}或{7}; (2)若A 中没有奇数,则A ={2}或∅.10.解 A ={-3,2}.对于x 2+x +a =0,(1)当Δ=1-4a <0,即a >14时,B =∅,B ⊆A 成立;(2)当Δ=1-4a =0,即a =14时,B ={-12},B ⊆A 不成立;(3)当Δ=1-4a >0,即a <14时,若B ⊆A 成立,则B ={-3,2}, ∴a =-3×2=-6.综上:a 的取值范围为a >14或a =-6.11.解 ∵B ⊆A ,∴①若B =∅, 则m +1>2m -1,∴m <2.②若B ≠∅,将两集合在数轴上表示,如图所示. 要使B ⊆A ,则⎩⎪⎨⎪⎧m +1≤2m -1,m +1≥-2,2m -1≤5,解得⎩⎪⎨⎪⎧m ≥2,m ≥-3,m ≤3,∴2≤m ≤3.由①、②,可知m ≤3.∴实数m 的取值范围是m ≤3.12.解 (1)当a =0时,A =∅,满足A ⊆B .(2)当a >0时,A ={x |1a <x <2a}.又∵B ={x |-1<x <1},A ⊆B ,∴⎩⎨⎧1a ≥-1,2a≤1,∴a ≥2.(3)当a <0时,A ={x |2a <x <1a }.∵A ⊆B ,∴⎩⎨⎧2a≥-1,1a≤1,∴a ≤-2.综上所述,a =0或a ≥2或a ≤-2. 13.5解析 若A 中有一个奇数,则A 可能为{1},{3},{1,2},{3,2}, 若A 中有2个奇数,则A ={1,3}.1.1.3集合的基本运算第1课时并集与交集课时目标 1.理解两个集合的并集与交集的含义,会求两个简单集合的并集与交集. 2.能使用Venn图表达集合的关系及运算,体会直观图示对理解抽象概念的作用.1.并集(1)定义:一般地,________________________的元素组成的集合,称为集合A与B的并集,记作________.(2)并集的符号语言表示为A∪B=_____________________________________________ ___________________________.(3)并集的图形语言(即V enn图)表示为下图中的阴影部分:(4)性质:A∪B=________,A∪A=____,A∪∅=____,A∪B=A⇔________,A____A ∪B.2.交集(1)定义:一般地,由________________________元素组成的集合,称为集合A与B的交集,记作________.(2)交集的符号语言表示为A∩B=___________________________________________ _____________________________.(3)交集的图形语言表示为下图中的阴影部分:(4)性质:A∩B=______,A∩A=____,A∩∅=____,A∩B=A⇔________,A∩B____A ∪B,A∩B⊆A,A∩B⊆B.一、选择题1.若集合A={0,1,2,3},B={1,2,4},则集合A∪B等于()A.{0,1,2,3,4} B.{1,2,3,4}C.{1,2} D.{0}2.集合A={x|-1≤x≤2},B={x|x<1},则A∩B等于()A.{x|x<1} B.{x|-1≤x≤2}C.{x|-1≤x≤1} D.{x|-1≤x<1}3.若集合A={参加北京奥运会比赛的运动员},集合B={参加北京奥运会比赛的男运动员},集合C={参加北京奥运会比赛的女运动员},则下列关系正确的是() A.A⊆B B.B⊆CC.A∩B=C D.B∪C=A4.已知集合M={(x,y)|x+y=2},N={(x,y)|x-y=4},那么集合M∩N为() A.x=3,y=-1 B.(3,-1)C.{3,-1} D.{(3,-1)}5.设集合A={5,2a},集合B={a,b},若A∩B={2},则a+b等于()A.1 B.2C.3 D.46.集合M={1,2,3,4,5},集合N={1,3,5},则()A.N∈M B.M∪N=MC.M∩N=M D.M>N二、填空题7.设集合A={-3,0,1},B={t2-t+1}.若A∪B=A,则t=________.8.设集合A={-1,1,3},B={a+2,a2+4},A∩B={3},则实数a=________.9.设集合A={x|-1≤x≤2},B={x|-1<x≤4},C={x|-3<x<2}且集合A∩(B∪C)={x|a≤x≤b},则a=______,b=______.三、解答题10.已知方程x2+px+q=0的两个不相等实根分别为α,β,集合A={α,β},B={2,4,5,6},C={1,2,3,4},A∩C=A,A∩B=∅.求p,q的值.11.设集合A={-2},B={x|ax+1=0,a∈R},若A∩B=B,求a的值.能力提升12.定义集合运算:A*B={z|z=xy,x∈A,y∈B}.设A={1,2},B={0,2},则集合A*B 的所有元素之和为()A.0 B.2C.3 D.613.设U={1,2,3},M,N是U的子集,若M∩N={1,3},则称(M,N)为一个“理想配集”,求符合此条件的“理想配集”的个数(规定(M,N)与(N,M)不同).1.对并集、交集概念全方面的感悟(1)对于并集,要注意其中“或”的意义,“或”与通常所说的“非此即彼”有原则性的区别,它们是“相容”的.“x∈A,或x∈B”这一条件,包括下列三种情况:x∈A但x∉B;x∈B但x∉A;x∈A且x∈B.因此,A∪B是由所有至少属于A、B两者之一的元素组成的集合.(2)A∩B中的元素是“所有”属于集合A且属于集合B的元素,而不是部分.特别地,当集合A和集合B没有公共元素时,不能说A与B没有交集,而是A∩B=∅.2.集合的交、并运算中的注意事项(1)对于元素个数有限的集合,可直接根据集合的“交”、“并”定义求解,但要注意集合元素的互异性.(2)对于元素个数无限的集合,进行交、并运算时,可借助数轴,利用数轴分析法求解,但要注意端点值取到与否.拓展交集与并集的运算性质,除了教材中介绍的以外,还有A⊆B⇔A∪B=B,A⊆B ⇔A∩B=A.这种转化在做题时体现了化归与转化的思想方法,十分有效.1.1.3 集合的基本运算 第1课时 并集与交集知识梳理 一、1.由所有属于集合A 或属于集合B A ∪B 2.{x |x ∈A ,或x ∈B } 4.B ∪A A A B ⊆A ⊆二、1.属于集合A 且属于集合B 的所有 A ∩B 2.{x |x ∈A ,且x ∈B } 4.B ∩A A ∅ A ⊆B ⊆ 作业设计 1.A2.D [由交集定义得{x |-1≤x ≤2}∩{x |x <1}={x |-1≤x <1}.]3.D [参加北京奥运会比赛的男运动员与参加北京奥运会比赛的女运动员构成了参加北京奥运会比赛的所有运动员,因此A =B ∪C .]4.D [M 、N 中的元素是平面上的点,M ∩N 是集合,并且其中元素也是点,解⎩⎪⎨⎪⎧ x +y =2,x -y =4,得⎩⎪⎨⎪⎧x =3,y =-1.] 5.C [依题意,由A ∩B ={2}知2a =2, 所以,a =1,b =2,a +b =3,故选C.] 6.B [∵N M ,∴M ∪N =M .] 7.0或1解析 由A ∪B =A 知B ⊆A , ∴t 2-t +1=-3① 或t 2-t +1=0② 或t 2-t +1=1③①无解;②无解;③t =0或t =1. 8.1解析 ∵3∈B ,由于a 2+4≥4,∴a +2=3,即a =1. 9.-1 2解析 ∵B ∪C ={x |-3<x ≤4},∴A (B ∪C ) ∴A ∩(B ∪C )=A ,由题意{x |a ≤x ≤b }={x |-1≤x ≤2}, ∴a =-1,b =2.10.解 由A ∩C =A ,A ∩B =∅,可得:A ={1,3}, 即方程x 2+px +q =0的两个实根为1,3. ∴⎩⎪⎨⎪⎧ 1+3=-p 1×3=q ,∴⎩⎪⎨⎪⎧p =-4q =3. 11.解 ∵A ∩B =B ,∴B ⊆A . ∵A ={-2}≠∅,∴B =∅或B ≠∅.当B =∅时,方程ax +1=0无解,此时a =0.当B ≠∅时,此时a ≠0,则B ={-1a},∴-1a ∈A ,即有-1a =-2,得a =12.综上,得a =0或a =12.12.D [x 的取值为1,2,y 的取值为0,2,∵z =xy ,∴z 的取值为0,2,4,所以2+4=6,故选D.] 13.解 符合条件的理想配集有 ①M ={1,3},N ={1,3}. ②M ={1,3},N ={1,2,3}.③M={1,2,3},N={1,3}.共3个.第2课时补集及综合应用课时目标 1.理解在给定集合中一个子集的补集的含义,会求给定子集的补集.2.熟练掌握集合的基本运算.1.全集:如果一个集合含有我们所研究问题中涉及的所有元素,那么就称这个集合为________,通常记作________.2.补集补集与全集的性质(1)∁U U=____;(2)∁U∅=____;(3)∁U(∁U A)=____;(4)A∪(∁U A)=____;(5)A∩(∁U A)=____.一、选择题1.已知集合U={1,3,5,7,9},A={1,5,7},则∁U A等于()A.{1,3} B.{3,7,9}C.{3,5,9} D.{3,9}2.已知全集U=R,集合M={x|x2-4≤0},则∁U M等于()A.{x|-2<x<2} B.{x|-2≤x≤2}C.{x|x<-2或x>2} D.{x|x≤-2或x≥2}3.设全集U={1,2,3,4,5},A={1,3,5},B={2,5},则A∩(∁U B)等于()A.{2} B.{2,3}C.{3} D.{1,3}4.设全集U和集合A、B、P满足A=∁U B,B=∁U P,则A与P的关系是()A.A=∁U P B.A=PC.A P D.A P5.如图,I是全集,M、P、S是I的3个子集,则阴影部分所表示的集合是()A.(M∩P)∩S B.(M∩P)∪SC.(M∩P)∩∁I S D.(M∩P)∪∁I S6.已知全集U={1,2,3,4,5,6,7},A={3,4,5},B={1,3,6},那么集合{2,7}是() A.A∪B B.A∩BC.∁U(A∩B) D.∁U(A∪B)二、填空题7.设U={0,1,2,3},A={x∈U|x2+mx=0},若∁U A={1,2},则实数m=________.8.设全集U={x|x<9且x∈N},A={2,4,6},B={0,1,2,3,4,5,6},则∁U A=____________________,∁U B=________________,∁B A=____________.9.已知全集U,A B,则∁U A与∁U B的关系是____________________.三、解答题10.设全集是数集U={2,3,a2+2a-3},已知A={b,2},∁U A={5},求实数a,b的值.11.已知集合A={1,3,x},B={1,x2},设全集为U,若B∪(∁U B)=A,求∁U B.能力提升12.已知A,B均为集合U={1,3,5,7,9}的子集,且A∩B={3},(∁U B)∩A={9},则A 等于()A.{1,3} B.{3,7,9}C.{3,5,9} D.{3,9}13.学校开运动会,某班有30名学生,其中20人报名参加赛跑项目,11人报名参加跳跃项目,两项都没有报名的有4人,问两项都参加的有几人?1.全集与补集的互相依存关系(1)全集并非是包罗万象、含有任何元素的集合,它是对于研究问题而言的一个相对概念,它仅含有所研究问题中涉及的所有元素,如研究整数,Z就是全集,研究方程的实数解,R就是全集.因此,全集因研究问题而异.(2)补集是集合之间的一种运算.求集合A的补集的前提是A是全集U的子集,随着所选全集的不同,得到的补集也是不同的,因此,它们是互相依存、不可分割的两个概念.(3)∁U A的数学意义包括两个方面:首先必须具备A⊆U;其次是定义∁U A={x|x∈U,且x∉A},补集是集合间的运算关系.2.补集思想做题时“正难则反”策略运用的是补集思想,即已知全集U,求子集A,若直接求A困难,可先求∁U A,再由∁U(∁U A)=A求A.第2课时补集及综合应用知识梳理1.全集U 2.不属于集合A∁U A{x|x∈U,且x∉A}3.(1)∅(2)U(3)A(4)U(5)∅作业设计1.D[在集合U中,去掉1,5,7,剩下的元素构成∁U A.]2.C[∵M={x|-2≤x≤2},∴∁U M={x|x<-2或x>2}.]3.D[由B={2,5},知∁U B={1,3,4}.A∩(∁U B)={1,3,5}∩{1,3,4}={1,3}.]4.B[由A=∁U B,得∁U A=B.又∵B=∁U P,∴∁U P=∁U A.即P=A,故选B.]5.C[依题意,由图知,阴影部分对应的元素a具有性质a∈M,a∈P,a∈∁I S,所以阴影部分所表示的集合是(M∩P)∩∁I S,故选C.]6.D [由A ∪B ={1,3,4,5,6}, 得∁U (A ∪B )={2,7},故选D.] 7.-3解析 ∵∁U A ={1,2},∴A ={0,3},故m =-3. 8.{0,1,3,5,7,8} {7,8} {0,1,3,5}解析 由题意得U ={0,1,2,3,4,5,6,7,8},用Venn 图表示出U ,A ,B ,易得∁U A ={0,1,3,5,7,8},∁U B ={7,8},∁B A ={0,1,3,5}. 9.∁U B ∁U A解析 画Venn 图,观察可知∁U B ∁U A .10.解 ∵∁U A ={5},∴5∈U 且5∉A .又b ∈A ,∴b ∈U ,由此得⎩⎪⎨⎪⎧a 2+2a -3=5,b =3.解得⎩⎪⎨⎪⎧ a =2,b =3或⎩⎪⎨⎪⎧a =-4,b =3经检验都符合题意. 11.解 因为B ∪(∁U B )=A ,所以B ⊆A ,U =A ,因而x 2=3或x 2=x . ①若x 2=3,则x =± 3.当x =3时,A ={1,3,3},B ={1,3},U =A ={1,3,3},此时∁U B ={3};当x =-3时,A ={1,3,-3},B ={1,3},U =A ={1,3,-3},此时∁U B ={-3}. ②若x 2=x ,则x =0或x =1.当x =1时,A 中元素x 与1相同,B 中元素x 2与1也相同,不符合元素的互异性,故x ≠1;当x =0时,A ={1,3,0},B ={1,0}, U =A ={1,3,0},从而∁U B ={3}.综上所述,∁U B ={3}或{-3}或{3}.12.D [借助于Venn 图解,因为A ∩B ={3},所以3∈A ,又因为(∁U B )∩A ={9},所以9∈A ,所以选D.]13.解 如图所示,设只参加赛跑、只参加跳跃、两项都参加的人数分别为a ,b ,x . 根据题意有⎩⎪⎨⎪⎧a +x =20,b +x =11,a +b +x =30-4.解得x =5,即两项都参加的有5人.§1.1习题课课时目标1.巩固和深化对基础知识的理解与掌握.2.重点掌握好集合间的关系与集合的基本运算.1.若A={x|x+1>0},B={x|x-3<0},则A∩B等于()A.{x|x>-1} B.{x|x<3}C.{x|-1<x<3} D.{x|1<x<3}2.已知集合M={x|-3<x≤5},N={x|x<-5或x>5},则M∪N等于()A.{x|x<-5或x>-3} B.{x|-5<x<5}C.{x|-3<x<5} D.{x|x<-3或x>5}3.设集合A={x|x≤13},a=11,那么()A.a A B.a∉AC.{a}∉A D.{a}A4.设全集I={a,b,c,d,e},集合M={a,b,c},N={b,d,e},那么(∁I M)∩(∁I N)等于()A.∅B.{d}C.{b,e} D.{a,c}5.设A={x|x=4k+1,k∈Z},B={x|x=4k-3,k∈Z},则集合A与B的关系为____________.6.设A={x∈Z|-6≤x≤6},B={1,2,3},C={3,4,5,6},求:(1)A∪(B∩C);(2)A∩(∁A(B∪C)).一、选择题1.设P={x|x<4},Q={x|x2<4},则()A.P⊆Q B.Q⊆PC.P⊆∁R Q D.Q⊆∁R P2.符合条件{a}P⊆{a,b,c}的集合P的个数是()A.2 B.3C.4 D.53.设M={x|x=a2+1,a∈N*},P={y|y=b2-4b+5,b∈N*},则下列关系正确的是() A.M=P B.M PC.P M D.M与P没有公共元素4.如图所示,M,P,S是V的三个子集,则阴影部分所表示的集合是()A.(M∩P)∩S B.(M∩P)∪SC.(M∩S)∩(∁S P) D.(M∩P)∪(∁V S)5.已知集合A={x|a-1≤x≤a+2},B={x|3<x<5},则能使A⊇B成立的实数a的范围是()A.{a|3<a≤4} B.{a|3≤a≤4}C.{a|3<a<4} D.∅二、填空题6.已知集合A={x|x≤2},B={x|x>a},如果A∪B=R,那么a的取值范围是________.7.集合A={1,2,3,5},当x∈A时,若x-1∉A,x+1∉A,则称x为A的一个“孤立元素”,则A中孤立元素的个数为____.8.已知全集U={3,7,a2-2a-3},A={7,|a-7|},∁U A={5},则a=________. 9.设U=R,M={x|x≥1},N={x|0≤x<5},则(∁U M)∪(∁U N)=________________.三、解答题10.已知集合A={x|-1≤x<3},B={x|2x-4≥x-2}.(1)求A∩B;(2)若集合C={x|2x+a>0},满足B∪C=C,求实数a的取值范围.11.某班50名同学参加一次智力竞猜活动,对其中A,B,C三道知识题作答情况如下:答错A者17人,答错B者15人,答错C者11人,答错A,B者5人,答错A,C者3人,答错B,C者4人,A,B,C都答错的有1人,问A,B,C都答对的有多少人?能力提升12.对于k∈A,如果k-1∉A且k+1∉A,那么k是A的一个“孤立元”,给定S={1,2,3,4,5,6,7,8},由S的3个元素构成的所有集合中,不含“孤立元”的集合共有几个?13.设数集M={x|m≤x≤m+34},N={x|n-13≤x≤n},且M,N都是集合U={x|0≤x≤1}的子集,定义b-a为集合{x|a≤x≤b}的“长度”,求集合M∩N的长度的最小值.1.在解决有关集合运算题目时,关键是准确理解交、并、补集的意义,并能将题目中符号语言准确转化为文字语言.2.集合运算的法则可借助于V enn图理解,无限集的交集、并集和补集运算可结合数轴,运用数形结合思想.3.熟记一些常用结论和性质,可以加快集合运算的速度.4.在有的集合题目中,如果直接去解可能比较麻烦,若用补集的思想解集合问题可变得更简单.§1.1 习题课双基演练1.C [∵A ={x |x >-1},B ={x |x <3}, ∴A ∩B ={x |-1<x <3},故选C.]2.A [画出数轴,将不等式-3<x ≤5,x <-5,x >5在数轴上表示出来,不难看出M ∪N ={x |x <-5或x >-3}.] 3.D4.A [∵∁I M ={d ,e },∁I N ={a ,c }, ∴(∁I M )∩(∁I N )={d ,e }∩{a ,c }=∅.] 5.A =B解析 4k -3=4(k -1)+1,k ∈Z ,可见A =B .6.解 ∵A ={-6,-5,-4,-3,-2,-1,0,1,2,3,4,5,6} (1)又∵B ∩C ={3},∴A ∪(B ∩C )={-6,-5,-4,-3,-2,-1,0,1,2,3,4,5,6}. (2)又∵B ∪C ={1,2,3,4,5,6},∴∁A (B ∪C )={-6,-5,-4,-3,-2,-1,0}∴A ∩(∁A (B ∪C ))={-6,-5,-4,-3,-2,-1,0}. 作业设计1.B [Q ={x |-2<x <2},可知B 正确.]2.B [集合P 内除了含有元素a 外,还必须含b ,c 中至少一个,故P ={a ,b },{a ,c },{a ,b ,c }共3个.]3.B [∵a ∈N *,∴x =a 2+1=2,5,10,….∵b ∈N *,∴y =b 2-4b +5=(b -2)2+1=1,2,5,10,…. ∴M P .]4.C [阴影部分是M ∩S 的部分再去掉属于集合P 的一小部分,因此为(M ∩S )∩(∁S P ).] 5.B [根据题意可画出下图.∵a +2>a -1,∴A ≠∅.有⎩⎪⎨⎪⎧a -1≤3,a +2≥5.解得3≤a ≤4.]6.a ≤2解析 如图中的数轴所示,要使A ∪B =R ,a ≤2. 7.1解析 当x =1时,x -1=0∉A ,x +1=2∈A ; 当x =2时,x -1=1∈A ,x +1=3∈A ; 当x =3时,x -1=2∈A ,x +1=4∉A ; 当x =5时,x -1=4∉A ,x +1=6∉A ; 综上可知,A 中只有一个孤立元素5. 8.4解析 ∵A ∪(∁U A )=U ,由∁U A ={5}知,a 2-2a -3=5, ∴a =-2,或a =4.当a =-2时,|a -7|=9,9∉U ,∴a ≠-2. a =4经验证,符合题意. 9.{x |x <1或x ≥5}解析 ∁U M ={x |x <1},∁U N ={x |x <0或x ≥5}, 故(∁U M )∪(∁U N )={x |x <1或x ≥5}或由M ∩N ={x |1≤x <5},(∁U M )∪(∁U N )=∁U (M ∩N ) ={x |x <1或x ≥5}.10.解 (1)∵B ={x |x ≥2}, ∴A ∩B ={x |2≤x <3}.(2)∵C ={x |x >-a2},B ∪C =C ⇔B ⊆C ,∴-a2<2,∴a >-4.11.解 由题意,设全班同学为全集U ,画出Venn 图,A 表示答错A 的集合,B 表示答错B 的集合,C 表示答错C 的集合,将其集合中元素数目填入图中,自中心区域向四周的各区域数目分别为1,2,3,4,10,7,5,因此A ∪B ∪C 中元素数目为32,从而至少错一题的共32人,因此A ,B ,C 全对的有50-32=18人.12.解 依题意可知,“孤立元”必须是没有与k 相邻的元素,因而无“孤立元”是指在集合中有与k 相邻的元素.因此,符合题意的集合是:{1,2,3},{2,3,4},{3,4,5},{4,5,6},{5,6,7},{6,7,8}共6个.13.解 在数轴上表示出集合M 与N ,可知当m =0且n =1或n -13=0且m +34=1时,M ∩N 的“长度”最小.当m =0且n =1时,M ∩N ={x |23≤x ≤34},长度为34-23=112;当n =13且m =14时,M ∩N ={x |14≤x ≤13},长度为13-14=112.综上,M ∩N 的长度的最小值为112.§1.2 函数及其表示 1.2.1 函数的概念课时目标 1.理解函数的概念,明确函数的三要素.2.能正确使用区间表示数集,表示简单函数的定义域、值域.3.会求一些简单函数的定义域、值域.1.函数(1)设A 、B 是非空的数集,如果按照某种确定的__________,使对于集合A 中的____________,在集合B 中都有________________和它对应,那么就称f :________为从集合A 到集合B 的一个函数,记作__________________.其中x 叫做________,x 的取值范围A 叫做函数的________,与x 的值相对应的y 值叫做________,函数值的集合{f (x )|x ∈A }叫做函数的________. (2)值域是集合B 的________. 2.区间(1)设a ,b 是两个实数,且a <b ,规定:①满足不等式__________的实数x 的集合叫做闭区间,表示为________; ②满足不等式__________的实数x 的集合叫做开区间,表示为________;③满足不等式________或________的实数x 的集合叫做半开半闭区间,分别表示为______________.(2)实数集R 可以用区间表示为__________,“∞”读作“无穷大”,“+∞”读作“__________”,“-∞”读作“________”.我们把满足x ≥a ,x >a ,x ≤b ,x <b 的实数x 的集合分别表示为________,________,________,______.一、选择题1.对于函数y =f (x ),以下说法正确的有( ) ①y 是x 的函数②对于不同的x ,y 的值也不同③f (a )表示当x =a 时函数f (x )的值,是一个常量 ④f (x )一定可以用一个具体的式子表示出来 A .1个 B .2个 C .3个 D .4个2.设集合M ={x |0≤x ≤2},N ={y |0≤y ≤2},那么下面的4个图形中,能表示集合M 到集合N 的函数关系的有( )A .①②③④B .①②③C .②③D .②3.下列各组函数中,表示同一个函数的是( )A .y =x -1和y =x 2-1x +1B .y =x 0和y =1C .f (x )=x 2和g (x )=(x +1)2D .f (x )=(x )2x 和g (x )=x(x )24.若一系列函数的解析式相同,值域相同,但定义域不同,则称这些函数为“孪生函数”,那么函数解析式为y =2x 2-1,值域为{1,7}的“孪生函数”共有( ) A .10个 B .9个 C .8个 D .4个 5.函数y =1-x +x 的定义域为( )A .{x |x ≤1}B .{x |x ≥0}C .{x |x ≥1或x ≤0}D .{x |0≤x ≤1} 6.函数y =x +1的值域为( )A .[-1,+∞)B .[0,+∞)C .(-∞,0]D .(-∞,-1]二、填空题7.已知两个函数f (x )和g (x )的定义域和值域都是{1,2,3},其定义如下表:8.如果函数f (x )满足:对任意实数a ,b 都有f (a +b )=f (a )f (b ),且f (1)=1,则f (2)f (1)+f (3)f (2)+f (4)f (3)+f (5)f (4)+…+f (2 011)f (2 010)=________. 9.已知函数f (x )=2x -3,x ∈{x ∈N |1≤x ≤5},则函数f (x )的值域为______________.10.若函数f (x )的定义域是[0,1],则函数f (2x )+f (x +23)的定义域为________.三、解答题11.已知函数f (1-x1+x)=x ,求f (2)的值.能力提升12.如图,该曲线表示一人骑自行车离家的距离与时间的关系.骑车者9时离开家,15时回家.根据这个曲线图,请你回答下列问题:(1)最初到达离家最远的地方是什么时间?离家多远? (2)何时开始第一次休息?休息多长时间? (3)第一次休息时,离家多远?(4)11∶00到12∶00他骑了多少千米?(5)他在9∶00~10∶00和10∶00~10∶30的平均速度分别是多少? (6)他在哪段时间里停止前进并休息用午餐?13.如图,某灌溉渠的横断面是等腰梯形,底宽为2 m ,渠深为1.8 m ,斜坡的倾斜角是45°.(临界状态不考虑)(1)试将横断面中水的面积A (m 2)表示成水深h (m)的函数;(2)确定函数的定义域和值域;(3)画出函数的图象.1.函数的判定判定一个对应关系是否为函数,关键是看对于数集A中的任一个值,按照对应关系所对应数集B中的值是否唯一确定,如果唯一确定,就是一个函数,否则就不是一个函数.2.由函数式求函数值,及由函数值求x,只要认清楚对应关系,然后对号入座就可以解决问题.3.求函数定义域的原则:①当f(x)以表格形式给出时,其定义域指表格中的x的集合;②当f(x)以图象形式给出时,由图象范围决定;③当f(x)以解析式给出时,其定义域由使解析式有意义的x的集合构成;④在实际问题中,函数的定义域由实际问题的意义确定.§1.2函数及其表示1.2.1函数的概念知识梳理1.(1)对应关系f任意一个数x唯一确定的数f(x)A→B y=f(x),x∈A自变量定义域函数值值域(2)子集2.(1)①a≤x≤b[a,b]②a<x<b(a,b)③a≤x<b a<x≤b[a,b),(a,b](2)(-∞,+∞)正无穷大负无穷大[a,+∞)(a,+∞)(-∞,b](-∞,b)作业设计1.B [①、③正确;②不对,如f (x )=x 2,当x =±1时y =1;④不对,f (x )不一定可以用一个具体的式子表示出来,如南极上空臭氧空洞的面积随时间的变化情况就不能用一个具体的式子来表示.]2.C [①的定义域不是集合M ;②能;③能;④与函数的定义矛盾.故选C.] 3.D [A 中的函数定义域不同;B 中y =x 0的x 不能取0;C 中两函数的对应关系不同,故选D.]4.B [由2x 2-1=1,2x 2-1=7得x 的值为1,-1,2,-2,定义域为两个元素的集合有4个,定义域为3个元素的集合有4个,定义域为4个元素的集合有1个,因此共有9个“孪生函数”.]5.D [由题意可知⎩⎪⎨⎪⎧1-x ≥0,x ≥0,解得0≤x ≤1.]6.B7.3 2 1解析 g [f (1)]=g (2)=3,g [f (2)]=g (3)=2, g [f (3)]=g (1)=1. 8.2 010解析 由f (a +b )=f (a )f (b ),令b =1,∵f (1)=1,∴f (a +1)=f (a ),即f (a +1)f (a )=1,由a 是任意实数,所以当a 取1,2,3,…,2 010时,得f (2)f (1)=f (3)f (2)=…=f (2 011)f (2 010)=1.故答案为2 010.9.{-1,1,3,5,7}解析 ∵x =1,2,3,4,5,∴f (x )=2x -3=-1,1,3,5,7.10.[0,13]解析 由⎩⎪⎨⎪⎧0≤2x ≤1,0≤x +23≤1, 得⎩⎨⎧0≤x ≤12,-23≤x ≤13,即x ∈[0,13].11.解 由1-x 1+x=2,解得x =-13,所以f (2)=-13.12.解 (1)最初到达离家最远的地方的时间是12时,离家30千米. (2)10∶30开始第一次休息,休息了半小时. (3)第一次休息时,离家17千米. (4)11∶00至12∶00他骑了13千米.(5)9∶00~10∶00的平均速度是10千米/时;10∶00~10∶30的平均速度是14千米/时.(6)从12时到13时停止前进,并休息用午餐较为符合实际情形.13.解 (1)由已知,横断面为等腰梯形,下底为2 m ,上底为(2+2h )m ,高为h m ,∴水的面积A =[2+(2+2h )]h 2=h 2+2h (m 2).。
第一章 集合与函数概念综合测试题一、选择题 1.函数y =)1111. (,) . [,) . (,) . (,]2222A B C D +∞+∞-∞-∞2.已知集合A 到B 的映射f :x→y=2x+1,那么集合A 中元素2在B 中对应的元素是( )A .2B .6C .5D .8 3.设集合{|12},{|}.A x x B x x a =<<=<若,A B ⊆则a 的范围是( )A .2a ≥B .1a ≤C .1a ≥D .2a ≤ 4.函数1)2(++=x k y 在实数集上是减函数,则k 的范围是( )A .2-≥kB .2-≤kC .2->kD .2-<k5.全集U ={0,1,3,5,6,8},集合A ={ 1,5, 8 }, B ={2},则U (C )A B =( )A .∅B .{ 0,3,6}C . {2,1,5,8}D .{0,2,3,6} 6.下列各组函数中,表示同一函数的是( )A .,xy x y x ==B .1,112-=+⨯-=x y x x yC.,y x y ==D .2)(|,|x y x y ==7.下列函数是奇函数的是( )A .21x y = B .322+=x y C .x y = D .)1,1(,2-∈=x x y 8.若奇函数()x f 在[]3,1上为增函数,且有最小值0,则它在[]1,3--上( )A .是减函数,有最小值0B .是增函数,有最小值0C .是减函数,有最大值0D .是增函数,有最大值09.设集合{}22≤≤-=x x M ,{}20≤≤=y y N ,给出下列四个图形,其中能表示以集合M 为定义域,N 为值域的函数关系的是( )10.已知f (x )=20x π⎧⎪⎨⎪⎩000x x x >=<,则f [ f (-3)]等于 ( )A .0B .πC .π2D .9二.填空题11. 已知2(1)f x x-=,则()f x = .14. 已知25(1)()21(1)x x f x x x +>⎧=⎨+≤⎩,则[(1)]f f = .12. 函数26y x x =-的减区间是 .13.设偶函数f (x )的定义域为R ,当[0,)x ∈+∞时f (x )是增函数,则(2),(),(3)f f f π-的大小关系是三、解答题14.设{}{}(),1,05,U U R A x x B x x C A B ==≥=<<求和()U AC B .15.求下列函数的定义域 (1)21)(--=x x x f (2)221)(-++=x x x f16.{}(){}a B B A a x a x x B x x x A 求若集合==-+++==+= 0112,04222的取值范围。
第一章 集合与函数概念同步练习1.1.1 集合的含义与表示一. 选择题:1.下列对象不能组成集合的是( )A.小于100的自然数B.大熊猫自然保护区C.立方体内若干点的全体D.抛物线2x y =上所有的点2.下列关系正确的是( )A.N 与+Z 里的元素都一样B.},,{},,{c a b c b a 与为两个不同的集合C.由方程0)1(2=-x x 的根构成的集合为}1,1,0{D.数集Q 为无限集3.下列说法不正确的是( )A.*0N ∈B.Z ∉1.0C.N ∈0D.Q ∈24.方程⎩⎨⎧-=-=+3212y x y x 的解集是( )A.}1,1{-B.)1,1(-C.)}1,1{(-D.1,1-二.填空题:5.不大于6的自然数组成的集合用列举法表示______________.6.试用适当的方式表示被3除余2的自然数的集合____________.7.已知集合}7,3,2,0{=M ,由M 中任取两个元素相乘得到的积组成的集合为 ________.8.已知集合}012{2=++∈=x ax R x M 只含有一个元素,则实数=a ______,若M 为空集,可a 的取值范围为_________.三.解答题:9.代数式}{)8(2x x x ∈-- ,求实数x 的值。
10.设集合A=},,2),{(N y x x y y x ∈+-=,试用列举法表示该集合。
11.已知}33,2{12+++∈x x x 试求实数x 的值。
1.1.2集合的含义与表示一. 选择题: 1.集合Φ与}0{的关系,下列表达正确的是( )A.φ=}0{B.φ⊆}0{C.}0{∈φD.φ}0{⊇2.已知集合A=}3,2,1{,则下列可以作为A 的子集的是( )A.}4,1{B.}3,2{C.}4,2{D.}4,3,1{3.集合},,{c b a 的非空真子集个数是( )A.5B.6C.7D.84.已知集合M={正方形},N={菱形},则( )A.N M =B.N M ∈C.M ≠⊂ND.N ≠⊂M二.填空题5.用适当的符号填空① },2_____{0Z n n x x ∈= ② }_____{1质数③ },,_____{}{c b a a ④ }0))((_____{},{=--b x a x x b a ⑤},12______{},14{++∈+=∈+=N k k x x N k k x x6.写出集合}1{2=x x 的所有子集_______________________7.设集合}{},63{a x x B x x A <=≤<-=,且满足A ≠⊂,B 则实数a 的取值范围是_________三.解答题8.已知集合B 满足}2,1{≠⊂B ⊆}5,4,3,2,1{,试写出所有这样的集合9.已知}5{>=x x A ,}3{x x B <=,试判断A 与B 的关系10.已知A=}3,4,1{},2,1{a B a =+,且B A ⊆,求a 的值1.1.3集合的基本运算(一)一.选择题1.已知集合A=}4,3,2,1{,}6,4,1{=B ,则=B A ( )A.}4,2,1{B.}6,4,3,2,1{C.}4,1{D.}4,3,1{2.设A=}2{->x x ,}21{<<-=x x B ,则=B A ( )A.RB.}2{<x xC.}1{->x xD.}2{->x x3.设{=A 等腰三角形} ,B={等边三角形},C={直角三角形},=C B A )(() A.{等腰三角形} B.{直角三角形} C.φ D.{等腰直角三角形}4.已知集合}90{<<∈=x Z x M ,},2{+∈==N n n x x N ,则=N M ( )A.{}6,4,2B.{}8,6,4,2C.{}7,6,5,4,3,2D.{}8,7,6,5,4,3,2,1二.填空题5.{偶数} {奇数}=__________.6.已知集合}31{<≤-=x x A ,}13{≤<-=x x B ,则=B A __________.7.若集合A B A = ,则=B A ___________.8.已知集合}33{<≤-=x x A ,}2{≤=x x B ,则=B A ___________.三.解答题9.集合},,523),{(R y x y x y x A ∈=-=},,132),{(R y x y x y x B ∈-=+=,求 BA10.已知集合},3,1{a A =,}1,1{2+-=a a B ,且A B A = ,求a 的值11.已知集合},02{2=+-∈=b ax x R x A }05)2(6{2=++++∈=b x a x R x B 且}21{=B A ,求B A1.1.3集合的基本运算(二)一.选择题1.已知全集R U =,集合}1{<=x x M ,则M C u 为( ) A.}1{≥x x B.}1{>x x C.}1{<x x D.}1{≤x x2.设全集}4,3,2{=U ,}2,3{-=a A ,}3{=A C u ,则a 的值是( )A.7B.1-C.17-或D.71-或3.已知全集R U =,集合}32{<≤-=x x A ,则A C u =( ) A.}32{≥-≤x x x 或 B.}32{>-≤x x x 或 C.}32{>-<x x x 或 D.}32{≥-<x x x 或4.已知全集}8,7,6,5,4,3,2,1{=U ,集合}5,4,3{=A ,}6,3,1{=B ,那么集合 C={2,7,8}可以表示为( )A.B C uB.B AC.B C A C u uD.B C A C u u二.填空题5.设全集R U =,}62{<≤=x x A ,}4{≤=x x B ,则B A =__,__=B C A u , __=B A C u .6.全集=U {三角形},=A {直角三角形},则A C u =____________.7.设全集}4,3,2,1,0{=U }3,2,1,0{=A ,}4,3,2{=B ,则=B A C u ____8.已知全集},2,1,0{=U 且}2{=A C u ,则A 的真子集共有___个.三.解答题9.设全集R U =,集合},43{R x x x M ∈<≤-=,},51{R x x x N ∈≤<-=,求①N M ②N C M C u u10.设全集=U {1,2,3,4,5,6,7,8,9},集合}2{=B A ,}9,1{=B C A C u u ,}8,6,4{=B A C u ,求B A ,11.已知}1,4,2{2+-=x x U ,}1,2{+=x B ,}7{=B C u ,求x 的值1.2.1 函数的概念(一)一.选择题1.函数13)(+=x x f 的定义域为( )A.)31,(--∞ B.),31(+∞- C.),31[+∞- D.]31,(--∞2.已知函数q px x x f ++=2)(满足0)2()1(==f f ,则)1(-f 的值为( )A.5B.5-C.6D.6-3.下列函数中)()(x g x f 与表示同一函数的是( )A.1)()(0==x g x x f 与B.x x x g x x f 2)()(==与C.22)1()()(+==x x g x x f 与D.33)()(x x g x x f ==与4.下列各图象中,哪一个不可能为)(x f y =的图象( )二.填空题5.已知x x x f 2)(2-=,则=)2(f ______________.6.已知12)1(2+=+x x f ,则=)(x f ______________.7.已知)(x f 的定义域为],4,2[则)23(-x f 的定义域为_______________.8.函数11)(22---=x x x f 的定义域为______________.三.解答题x (D)(B) (C) (A) x9.设⎩⎨⎧≥+<-=)0(22)0(12)(2x x x x x f ,求)2(-f 和)3(f 10.求下列函数的定义域(1)321)(+=x x f (2)x x x g -++=1)10()(011.已知)(x f 为一次函数,且34)]([+=x x f f ,求)(x f1.2.1函数的概念(二)一、 选择题 1.函数x x y 22-=的定义域为}3,2,1,0{,其值域为( )A.}3,0,1{-B.}3,2,1,0{C.}31{≤≤-y yD.}30{≤≤y y2.函数)(11)(2R x xx f ∈+=的值域是( ) A.)1,0( B.]1,0( C.)1,0[ D.]1,0[3.下列命题正确的有( )①函数是从其定义域到值域的映射 ②x x x f -+-=23)(是函数③函数)(2N x x y ∈=的图象是一条直线 ④x x g xx x f ==)()(2与是同一函数 A.1个 B.2个 C.3个 D.4个4.函数x x x y -+=0)32(的定义域为( ) A.⎭⎬⎫⎩⎨⎧-≠<230x x x 且 B.{}0<x x C.{}0>x x D.⎭⎬⎫⎩⎨⎧-≠≠∈230x x R x 且 二.填空题5.已知函数⎪⎩⎪⎨⎧≥<<--≤+=2,221,1,2)(2x x x x x x x f ,若3)(=x f ,则x 的值为__________.6.设函数33)(2+-=x x x f ,则)()(a f a f --等于____________.7.设函数x x x f --=1)(,则=)]1([f f ____________.8.函数[]3,1,322∈+-=x x x y 的值域是________________.三.解答题9.求函数242x x y --=的值域10.已知函数1122---=x x y ,求20072008y x +的值11.已知函数bax x x f +=)((a .0≠a ,b 且为常数)满足1)2(=f ,x x f =)(有唯一解,求函数)(x f y =的解析式和)]3([-f f 的值.1.2.2 函数表示法(一)一、 选择题1.设集合{}c b a A ,,=,集合B=R ,以下对应关系中,一定能成建立A 到B 的映射的是( )A.对A 中的数开B.对A 中的数取倒数C.对A 中的数取算术平方D.对A 中的数开立方2.某人从甲村去乙村,一开始沿公路乘车,后来沿小路步行,图中横轴表示走的时间,纵轴表示某人与乙村的距离,则较符合该人走法的图是( )3.已知函数23)12(+=+x x f ,且2)(=a f ,则a 的值等于( )A.8B.1C.5D.1-4.若xx x f -=1)1(,则当10≠≠x x 且时,)(x f 等于( ) A.x 1 B.11-x C.x -11 D.11-x二.填空题5.若[]36)(+=x x g f ,且12)(+=x x g ,则=)(x f ______________.6.二次函数的图象如图所示,则此函数的解析式为___________.7.已知函数⎩⎨⎧<≥=0,0,)(2x x x x x f 则=-)2(f ________,)4(f =_______t t t yA B D C8.集合}5,3,1(-=xx)f是A到B的函数,则集合 A 可以表示为{-2=B,1____________________三.解答题9.已知函数)fx=xf,求)(xf的解析式)][-f是一次函数,且1(x(410.等腰三角形的周长为24,试写出底边长y关于腰长x的函数关系式,并画出它的图象xy的图象,并求出相应的函数值域=x11.作出函数31--+1.2.2 函数表示法(二) 一、 选择题1.已知集合{}{}20,40≤≤=≤≤=y y B x x A ,按对应关系f ,不能成为从A 至B 的映射的一个是( ) A.x y x f 21:=→ B.2:-=→x y x f C.x y x f =→: D.2:-=→x y x f2.如图,函数1+=x y 的图象是( )3.设}8,6,2,1,0,21{},4,2,1,0{==B A ,下列对应关系能构成A 到B 的映射的是( )A.1:3-→x x fB.2)1(:-→x x fC.12:-→x x fD.x x f 2:→4.已知函数⎩⎨⎧>+-≤+=1,31,1)(x x x x x f ,则⎥⎦⎤⎢⎣⎡)25(f f =( ) A.21 B.23 C.25 D.29 二.填空题A B CD5.设函数⎪⎪⎩⎪⎪⎨⎧≥<≤-<≤-+=2,320,2101,22)(x x x x x x f ,则)43(-f 的值为______, )(x f 的定义域为_____.6.)(x f 的图象如图,则)(x f =____________.7.对于任意R x ∈都有)(2)1(x f x f =+,当10≤≤x 时,)5.1-的值是____________.8.23)1(+=+x x f ,且2)(=a f ,则a 的值等于____________.三.解答题9.作出下列函数的图象(1)x y -=1,)2(≤∈x Z x 且 (2)3422--=x x y ,)30(<≤x10.已知函数⎩⎨⎧<+≥-=4),3(4,4)(x x f x x x f ,求)1(-f 的值11.求下列函数的解析式(1)已知)(x f 是二次函数,且1)()1(,2)0(-=-+=x x f x f f ,求)(x f (2)已知x x f x f 5)()(3=-+,求)(x f1.3.1 函数单调性与最大(小)值(一) 一.选择题1.若),(b a 是函数)(x f y =的单调递增区间,()b a x x ,,21∈,且21x x <,( ) A.)()(21x f x f < B.)()(21x f x f = C.)()(21x f x f > D.以上都不正确2.下列结论正确的是( )A.函数x y -=在R 上是增函数B.函数2x y =在R 上是增函数C.x y =在定义域内为减函数D.xy 1=在)0,(-∞上为减函数 3.函数111--=x y ( ) A.在),1(+∞-内单调递增 B.在),1(+∞-内单调递减 C.在),1(+∞内单调递增 D.在),1(+∞内单调递减 4.下列函数在区间),0(+∞上为单调增函数的是( ) A.x y 21-= B.x x y 22+= C.2x y -= D.xy 2=二.填空题5.已知函数)(x f 在),0(+∞上为减函数,那么)1(2+-a a f 与)43(f 的大小关系是________.6.函数)(x f y =7.已知13)(22-+-=a ax ax x f )0(<a ,则3(f ______.8.函数342+--=x x y 的单调递增区间为_______,当=x _______时,y 有最______值为____.三.解答题9.已知)(x f y =在定义域)1,1(-上为减函数,且)1()1(2-<-a f a f 求a 的取值范围。