高二数学竞赛模拟试题及答案
- 格式:doc
- 大小:318.50 KB
- 文档页数:7
安徽高二高中数学竞赛测试班级:___________ 姓名:___________ 分数:___________一、选择题1.已知命题“若,则”为真命题,则下列命题中一定为真命题的是()A.若,则B.若,则C.若,则D.若,则2.双曲线的渐近线方程为()A.B.C.D.3.下列命题中是假命题的是()A.对任意,B.对任意,C.存在,使D.存在,使4.在中,角,,的对边分别为,,,若,则等于()A.B.C.D.5.公比为2的等比数列的各项都是正数,且,则()A.1B.2C.4D.86.若是实数,则“且”是“对任意,有”的()A.充分不必要条件B.必要不充分条件C.充要条件D.既不充分也不必要条件7.设分别是椭圆的左、右焦点,点在椭圆上,线段的中点在轴上,若,则椭圆的离心率为()A.B.C.D.8.变量满足约束条件,若使取得最大值的最优解不唯一,则实数的取值集合是()A.B.C.D.9.定义:数列前项的乘积.已知列的通项公式为,则下面的等式中正确的是()A.B.C.D.10.已知点分别是正方体的棱的中点,点分别是线段与上的点,则与平面垂直的直线有()条A.0B.1C.2D.无数个11.若直线过点,则的最小值等于()A.5B.C.6D.12.已知椭圆的右焦点为,过点的直线交于两点.若的中点坐标为,则的方程为()A.B.C.D.二、填空题1.不等式的解集为__________.2.在正四面体中,,,则异面直线和所成角的余弦值为___________.3.在中,,,的面积为,则的外接圆的半径为__________.4.设集合中的最大元素与最小元素分别为,则的值为_________.三、解答题1.某企业生产甲、乙两种产品均需用两种原料.已知生产1吨每种产品需原料及每天原料的可用限额如表所示:(1)设该企业每天生产甲、乙两种产品分别为吨,试写出关于的线性约束条件并画出可行域;(2)如果生产1吨甲、乙产品可获利润分别为3万元、4万元,试求该企业每天可获得的最大利润.2.解关于的不等式组.3.在中,角,,的对边分别为,,,已知向量,,且. (1)求角的大小;(2)若,求面积的最大值.4.已知数列的前项和为,且.(1)若数列是等比数列,求的取值;(2)求数列的通项公式;(3)记,求数列的前项和.5.如图,为等腰梯形的底边的中点,,将沿折成四棱锥,使.(1)证明:平面平面;(2)求二面角的余弦值.6.已知是抛物线上一点,经过点的直线与抛物线交于两点(不同于点),直线分别交直线于点.(1)求抛物线方程及其焦点坐标,准线方程;(2)若,求直线的方程;(3)已知为原点,求证:为定值.安徽高二高中数学竞赛测试答案及解析一、选择题1.已知命题“若,则”为真命题,则下列命题中一定为真命题的是()A.若,则B.若,则C.若,则D.若,则【答案】C【解析】命题“若,则”是真命题,则根据逆否命题的等价性可知:命题“若,则”是真命题,故选C.2.双曲线的渐近线方程为()A.B.C.D.【答案】B【解析】双曲线的,,可得渐近线方程为,即有,故选B.3.下列命题中是假命题的是()A.对任意,B.对任意,C.存在,使D.存在,使【解析】因为,故其最大值为,所以存在,使不正确,故选D.4.在中,角,,的对边分别为,,,若,则等于()A.B.C.D.【答案】D【解析】由正弦定理可得,即,所以,解得,故选D5.公比为2的等比数列的各项都是正数,且,则()A.1B.2C.4D.8【答案】A【解析】由题意可得,解得,∴,故选A.6.若是实数,则“且”是“对任意,有”的()A.充分不必要条件B.必要不充分条件C.充要条件D.既不充分也不必要条件【答案】A【解析】若且,则对任意,有,反之,则不一定成立.如,且时,也有对任意,有.故“且”是“对任意,有”的充分不必要条件,故选A.点睛:判断充要条件的方法是:①若为真命题且为假命题,则命题是命题的充分不必要条件;②若为假命题且为真命题,则命题是命题的必要不充分条件;③若为真命题且为真命题,则命题是命题的充要条件;④若为假命题且为假命题,则命题是命题的即不充分也不必要条件.⑤判断命题与命题所表示的范围,再根据“谁大谁必要,谁小谁充分”的原则,判断命题与命题的关系.7.设分别是椭圆的左、右焦点,点在椭圆上,线段的中点在轴上,若,则椭圆的离心率为()A.B.C.D.【答案】A【解析】∵点在椭圆上,线段的中点在轴上,∴,∵,∴,∴,∵,∴,故选A.8.变量满足约束条件,若使取得最大值的最优解不唯一,则实数的取值集合是()A.B.C.D.【解析】不等式对应的平面区域如图:由得,若时,直线,此时取得最大值的最优解只有一个,不满足条件.若,则直线截距取得最大值时,取的最大值,此时满足直线与平行,此时,解得.若,则直线截距取得最大值时,取的最大值,此时满足直线与平行,此时,解得,综上满足条件的或,故实数的取值集合是,故选B.点睛:本题主要考查线性规划的应用,利用的几何意义,结合取得最大值的最优解有无穷多个,利用结合数形结合是解决本题的根据;作出不等式组对应的平面区域,利用取得最大值的最优解有无穷多个,得到目标函数的对应的直线和不等式对应的边界的直线的斜率相同,解方程即可得到结论.9.定义:数列前项的乘积.已知列的通项公式为,则下面的等式中正确的是()A.B.C.D.【答案】C【解析】∵,∴∴,,故不正确;,,故不正确;,,故C正确;,,故不正确;故选C.10.已知点分别是正方体的棱的中点,点分别是线段与上的点,则与平面垂直的直线有()条A.0B.1C.2D.无数个【答案】B【解析】设正方体的棱长为2,以为原点建立空间直角坐标系,则,,,,,,设,则,设,则,∴,∵直线与平面垂直,∴,解得,∵方程组只有唯一的一组解,∴与平面垂直的直线有1条,故选B.11.若直线过点,则的最小值等于()A.5B.C.6D.【答案】C【解析】∵直线过点,∴,∴,∵,∴,,,当且仅当时,等号成立,故选C.点睛:本题主要考查了基本不等式.基本不等式求最值应注意的问题(1)使用基本不等式求最值,其失误的真正原因是对其前提“一正、二定、三相等”的忽视.要利用基本不等式求最值,这三个条件缺一不可.(2)在运用基本不等式时,要特别注意“拆”“拼”“凑”等技巧,使其满足基本不等式中“正”“定”“等”的条件.12.已知椭圆的右焦点为,过点的直线交于两点.若的中点坐标为,则的方程为()A.B.C.D.【答案】C【解析】设,,代入椭圆方程得,相减得,∴,∵,,.∴,化为,又,解得,.∴椭圆的方程为,故选C.点睛:点差就是在求解圆锥曲线并且题目中交代直线与圆锥曲线相交被截的线段中点坐标的时候,利用直线和圆锥曲线的两个交点,并把交点代入圆锥曲线的方程,并作差,求出直线的斜率,然后利用中点求出直线方程,还可用于求中点弦方程、求(过定点、平行弦)弦中点轨迹、垂直平分线、定值问题等.二、填空题1.不等式的解集为__________.【答案】【解析】∵,∴原不等式等价于,其解集为,故答案为.2.在正四面体中,,,则异面直线和所成角的余弦值为___________.【答案】【解析】在正四面中,设向量,,,则三个向量两两夹角为,设正四面体的棱长等于1,且,,,则∵中,,,∴,,,,∵,∴,即直线和所成角的余弦值为,故答案为.3.在中,,,的面积为,则的外接圆的半径为__________.【答案】2【解析】由,,得到,解得,根据余弦定理得:,解得,根据正弦定理得:(为外接圆半径),则,故答案为.点睛:此题考查学生灵活运用正弦、余弦定理化简求值,灵活运用三角形的面积公式及特殊角的三角函数值化简求值,是一道中档题;由度数和的值,利用三角形的面积公式表示出三角形的面积,让等于即可求出的值,由及的值,根据余弦定理即可求出的值,然后由和的值,再利用正弦定理即可求出三角形外接圆的半径.4.设集合中的最大元素与最小元素分别为,则的值为_________.【答案】10【解析】∵,∴取最小值为1,取最大值为2.所以最大值,又∵,即最小值,所以,故答案为.三、解答题1.某企业生产甲、乙两种产品均需用两种原料.已知生产1吨每种产品需原料及每天原料的可用限额如表所示:(1)设该企业每天生产甲、乙两种产品分别为吨,试写出关于的线性约束条件并画出可行域;(2)如果生产1吨甲、乙产品可获利润分别为3万元、4万元,试求该企业每天可获得的最大利润.【答案】(1)见解析; (2)18.【解析】(1)根据每天生产甲乙两种产品分别为,吨,然后根据题目条件建立约束条件,列出不等式组即可;(2)根据(1)中的约束条件,得到目标函数,画出约束条件所表示的区域,然后利用平移法求出的最大值.试题解析:(1)由题意可列,其表示如图阴影部分区域:(2)设该企业每天可获得的利润为万元,则.当直线过点时,取得最大值,所以.即该企业每天可获得的最大利润18万元.2.解关于的不等式组.【答案】①当时,不等式组的解集为;②当时,不等式组的解集为;③当时,不等式组的解集为;④当时,不等式组的解集为;⑤当时,不等式组的解集为.【解析】依据指数函数的单调性将不等式转化为,分为,和三种情形得其解;由于对应的两个零点为,应比较两零点的大小,结合第一个不等式,故而应分为,,,,五种情形.试题解析:由,得,当时,;当时,不存在;当时,;由,得.①当时,,又,所以原不等式组的解集为;②当时,,又,所以原不等式组的解集为;③当时,,又,所以原不等式组的解集为;④当时,,又不等式的解集为,所以原不等式组的解集为;⑤当时,,又,所以原不等式组的解集为;点睛:本题主要考查了分类讨论思想在解不等式中的应用,解题的关键是做到不重复不遗漏,确定讨论的标准;对于,根据不等式两边同时除以一个正数不等号不变,同时除以一个负数不等号改变的性质,故对其分为,和三种情形;对于含有参数的一元二次不等式,按照以下三种情形进行分类:1、二次项系数的符号;2、对应函数零点的个数;3、对应函数零点的大小进行比较.3.在中,角,,的对边分别为,,,已知向量,,且. (1)求角的大小;(2)若,求面积的最大值.【答案】(1);(2).【解析】(1)依据向量平行的坐标运算公式,利用正弦定理将边化为角,故可转化为,再根据三角形内角和以及诱导公式可得,故得;(2)余弦定理和基本不等式相结合可得面积最值.试题解析:(1)由得,,由正弦定理可得,,,,,又,.(2)的面积.由已知及余弦定理,得.又,故,当且仅当时,等号成立.因此面积的最大值为.4.已知数列的前项和为,且.(1)若数列是等比数列,求的取值;(2)求数列的通项公式;(3)记,求数列的前项和.【答案】(1);(2);(3).【解析】(1)结合由已知等式易得递推式,可得,,的值,由等比数列的性质可得的值;(2)结合(1)可得的通项公式,进而可得的通项公式;(3)由(2)得,利用裂项相消法得其前项和.试题解析:(1)由,得,当时,,即,所以,,依题意,,解得.(2)有(2)知,所以,又因为,所以数列是以2为首项,2为公比的等比数列,所以,所以.(3)由(2)知,则.点睛:本题主要考查了等比数列的概念及其构造,等式以及数列的求和,属于高考中常考知识点,难度不大;常见的数列求和的方法有公式法即等差等比数列求和公式,分组求和类似于,其中和分别为特殊数列,裂项相消法类似于,错位相减法类似于,其中为等差数列,为等比数列等.5.如图,为等腰梯形的底边的中点,,将沿折成四棱锥,使.(1)证明:平面平面;(2)求二面角的余弦值.【答案】(1)见解析; (2).【解析】(1)取的中点为,由已知得,,从而面,由此能证明平面平面;(2)以为原点,,,分别为轴,建立空间直角坐标系,利用向量法能求出二面角的余弦值.试题解析:(1)证明:由题意可得为等边三角形,取的中点为,则,,,,又,,面,又,所以平面平面.(2)如图建立空间直角坐标系,则,,,设面的法向量为,面的法向量,由,即,取,则,,;由,即,取,则,,,,所以二面角的余弦值为.6.已知是抛物线上一点,经过点的直线与抛物线交于两点(不同于点),直线分别交直线于点.(1)求抛物线方程及其焦点坐标,准线方程;(2)若,求直线的方程;(3)已知为原点,求证:为定值.【答案】(1),,;(2)或;(3)为定值.【解析】(1)将代入,得,由此能求出抛物线方程和焦点坐标;(2)设,及直线的方程,联立方程组结合韦达定理得,,由即,代入得的值,故可得其直线方程;(3)设,,写出直线的点斜式方程,将代入得,同理可得,利用整体代换思想得可得结果.试题解析:(1)将代入,得,所以抛物线方程为,焦点坐标为,准线方程为.(2)设,,设直线方程为,与抛物线方程联立得到,消去,得:,则由韦达定理得:,.由得,,又,,所以,,所以,,所以,,解得,所以,所求直线方程为或.(3)设,,直线的方程为:,即,令,得,同理可得:,又,,.所以,即为定值.。
高二数学竞赛题学校:___________姓名:___________班级:___________考号:___________一、选择题1、若正项等比数列{}n a 的前n 项和为n S ,5a =673a +=,则5S 的值为( )2、在等差数列{}n a 中,31124a a +=,则678a a a ++的值是( ) A.36B.48C.72D.243、数列{}n a 中,22293n a n n =-++,则此数列最大项的值是( ) A.103B.10818C.11038D.1084、两直线1:10l ax y ++=和22:10l x a y --=互相垂直,则a 的值是( ) A.0B.1C.0或1D.1或1-5、直线10ax y +-=平分圆2224130x y x y +-+-=的面积,则a =( ) A.1B.3C.3D.26、如图,在四面体OABC 中,OA a =,OB b =,OC c =,点M 在OA 上,点N 在BC 上,且2OM MA =,2BN NC =,则MN =( )A.212333a b c -++B.22133b c -+C.212333a b c --+D.22133b c --7、若点()1,1P 为圆2260x y x +-=的弦MN 的中点,则弦MN 所在直线的方程为( ) A.230x y +-=B.210x y -+=C.230x y +-=D.210x y --=8、直线1y x =+被圆221x y +=截得的弦长为( )A.1C.2D.9、已知直线:3l x =+与圆22:430C x y x my +-++=相切,则m 的值为( )A.-B.C.3D.3-10、判断圆2264120x y x y +-++=与圆22142140x y x y +--+=的位置关系为( ) A.相交B.内切C.外切D.内含11、已知椭圆22221(0)x y a b a b+=>>的左、右焦点分别为1F 、2F,b =2a c =,过点1F 的直线交椭圆于A ,B 两点,则2ABF △的周长为( ) A.4B.8C.16D.3212、已知双曲线22221x y a b-=(0a >,0b >)的一条渐近线与直线23y x =-平行,则双曲线的离心率为( ) A.2D.5二、填空题13、已知数列{}n a 的前n 项和为2223n S n n =-+,则数列{}n a 的通项公式n a =_________.14、圆22:2O x y +=上点P 到直线34:10x l y +=距离的最小值为__________.15、双曲线222:1(0)4x y C b b-=>的一条渐近线方程为320x y +=,则双曲线C 的焦距为__________.16、已知函数()ln x f x e x =,()'f x 为()f x 的导函数,则()'1f 的值为__________三、解答题17、已知圆C 经过原点和点(2,1)A ,并且圆心在直线:210l x y --=上,求圆C 的标准方程.18、数列{}n b 的前n 项和21n n S =-,数列{}n a 为等差数列,且11a b =,43a b = (1)求数列{}n b 的通项公式. (2)求证数列11n n a a +⎧⎫⎨⎬⋅⎩⎭的前n 项和.19、在四棱锥A BCFE -中,底面BCFE 为梯形﹐BC BE ⊥,//EF BC ,1BC BE ==,3AE =,34EF =,AB ⊥平面BCFE .(1)证明:平面AEF ⊥平面ABE ; (2)求直线AE 与平面AFC 所成角的正弦值.20、在如图所示的多面体中,EF ⊥平面AEB ,AE EB ⊥,////AD EF EF BC ,,24BC AD ==,32EF AE BE ===,,G 是BC 的中点.(1)求证://AB 平面DEG ; (2)求二面角C DF E --的余弦值. 21、已知函数ln y x x =. (1)求这个函数的导数;(2)求这个函数的图象在点(1,0)处的切线方程.22、已知椭圆()2222:10x y C a b a b+=>>长轴长为4,直线2y kx =+与椭圆C 交于,A B 两点且AOB ∠为直角,O 为坐标原点(1)求椭圆C 的方程 (2)求AB 的长度参考答案1、答案:C解析:设公比为q ,由题意知0q >,65a a q =⋅=22752q a q =⋅=,2322q q ∴+=,化简得260q q +-=, 解得2q =,514a a q ==()5511213132(31)123232S ⨯-==-⨯-=-.故选:C. 2、答案:A解析:由题设,1137224a a a +==,则712a =, 所以6787336a a a a =++=. 故选:A.3、答案:D解析:把22293n a n n =-++看成二次函数,对称轴为291744n ==,7n ∴=时7a 最大,最大项的值是27272973108a =-⨯+⨯+=.故选D.4、答案:C解析:直线1:10l ax y ++=l 1:ax +y +1=0和直线22:10l x a y --=x -a 2y -1=0互相垂直,则20a a -=a -a 2=0,解得:0a =或1a =a =1,故选:C. 5、答案:B解析:根据题意,圆的方程为2224130x y x y +-+-=x 2+y 2-2x +4y -13=0,其圆心为()1,2-(1,-2),若直线10ax y +-=ax +y -1=0平分圆2224130x y x y +-+-=x 2+y 2-2x +4y -13=0的面积,则圆心在直线10ax y +-=ax +y -1=0上,则有210a --=a -2-1=0,解可得3a =a =3;故选B. 6、答案:A解析:连接MB ,如图所示:()222333MN MB BN OB OM BC OB OA OC OB =+=-+=-+-()2221233333b ac b a b c =-+-=-++.故选:A 7、答案:D解析:圆的标准方程为()2239x y +=-,圆心()3,0A .因为点()1,1P 为弦MN 的中点,所以AP MN ⊥.又AP 的斜率101132k -==-,直线MN 的斜率为2,弦MN 所在直线的方程为(11)2y x -=-,即210x y --=. 8、答案:B解析:圆221x y +=的圆心为(0,0)O ,半径1r =,则圆心(0,0)O 到直线1y x =+的距离2d ==,所以直线1y x =+被圆221x y +=所截得的弦长为== 故选:B. 9、答案:A解析:第一步:将圆的方程化为标准形式,得到圆心和半径由22430x y x my +-++=,得222(2)124m m x y ⎛⎫-++=+ ⎪⎝⎭,所以圆心2,2m C ⎛⎫- ⎪⎝⎭,半径r =. 第二步:结合点到直线的距离公式列关于m 的方程并求解因为直线:3l x =+与圆22:430C x y x my +-++=相切,所以=m =- A. 10、答案:B解析:因为圆2264120x y x y +-++=的圆心为(3,2)-,半径11r =, 圆22142140x y x y +--+=的圆心为(7,1),半径26r =,215r r ==-, 所以两圆内切. 故选:B. 11、答案:C解析:23b =2a c =,222a b c =+,22212a a ⎛⎫∴=+ ⎪⎝⎭,216a ∴=,4a ∴=,2ABF ∴△的周长为121222416AF AF BF BF a a a +++=+==.故选:C. 12、答案:B解析:由双曲线的渐近线与直线23y x =-y =2x -3平行知,双曲线的一条渐近线方程为20x y -=Error! Digit expected.,2b a ∴=, 2b a ∴=, c ∴=,∴离心率ce a==. 故选:B.13、答案:3,144,2n n n =⎧⎨-≥⎩解析:2223n S n n =-+,故当1n =时,113a S ==;当2n ≥时,()()2121212n S n n -=---+,144n n n a S S n -∴=-=-113a S ==不适合上式,3,144,2n n a n n =⎧∴=⎨-≥⎩,故答案为:3,144,2n n n =⎧⎨-≥⎩.14、答案:22解析:圆O 的圆心为()0,0,()0,0到直线l的距离为1025=> 所以圆22:2O x y +=上点P 到直线34:10x l y +=距离的最小值为2.故答案为:215、答案:解析:根据题意,双曲线222:1(0)4x y C b b -=>C :x 24-y 2b 2=1(b >0)的焦点在x轴上,则其渐近线方程为2by x =±,又由该双曲线的一条渐近线方程为320xy +=,即32y =-=3=;所以2c ==16、答案:e解析:函数()ln x f x e x =, 则()1'ln x x f x e x e x=+;()'1ln11f e e e ∴=⋅+⋅=.故答案为: e 根据导数的运算法则求出函数()f x 的导函数,再计算()'1f 的值.17、答案:22612951020x y ⎛⎫⎛⎫-+-=⎪ ⎪⎝⎭⎝⎭ 解析:(方法一)设所求圆C 的方程为222()()x a y b r -+-=.由题设,得222222,(2)(1), 210.a b r a b r a b ⎧+=⎪-+-=⎨⎪--=⎩解此方程组,得26,51,1029.20a b r ⎧=⎪⎪⎪=⎨⎪⎪=⎪⎩所以,所求圆C的标准方程是2261510x y ⎛⎫⎛⎫-+-= ⎪ ⎪⎝⎭⎝⎭(方法二)因为圆心在直线210x y --=上,所以可设圆心C 的坐标为(21,)b b +. 因为圆C 经过原点和点(2,1)A ,所以||||CO CA r ==.==所以圆心坐标为2261,,||510r CO ⎛⎫== ⎪⎝⎭所以圆C的标准方程为2261510x y ⎛⎫⎛⎫-+-= ⎪ ⎪⎝⎭⎝⎭18、答案:(1)12n n b -= (2)证明见解析解析:(1)当1n =时,111b S ==当2n ≥时,()()11121212n n n n n n b S S ---=-=---=11121b -==∴数列{}n b 的通项公式为12n n b -=(2){}n a 为等差数列,111a b ==,434a b == n a n ∴=设111(1)n n n c a a n n +==⋅+ {}n c ∴的前n 项和为n T 123n n T c c c c =++++1111122334(1)n n =++++⨯⨯⨯+11111111223341n n =-+-+-++-+ 111n =-+19、(1)答案:证明见解析解析:由题意知BC BE ⊥,//EF BC ,所以EF BE ⊥,AB ⊥平面BCFE , AB EF ∴⊥,又知ABBE B =,,AB BE ⊂平面ABE ,所以EF ⊥平面ABE , 又因为EF ⊂平面AEF , 所以平面AEF ⊥平面ABE . (2解析:由题可知AB =由(1)知BA ,BC ,BE 两两互相垂直,分别以EB ,BC ,BA 所在直线为x 轴,y 轴,z 轴建立空间直角坐标系,则()0,0,0B ,()0,1,0C,(A ,()1,0,0E ,31,,04F ⎛⎫⎪⎝⎭.则31,,4AF ⎛=- ⎝,11,04,CF ⎛⎫ ⎪⎝⎭=-,(1,0,AE =-.设平面ACF 的法向量为(),,m x y z =,则0m AF m CF ⎧⋅=⎪⎨⋅=⎪⎩即304104x y x y ⎧+-=⎪⎪⎨⎪-=⎪⎩,令1x =,则(m =,所以1cos ,m AE -==所以直线AE 与平面AFC .20、答案: (1)见解析(2) 解析: (1)证明:因为////AD EF EF BC ,, 所以/AD BC ,又2BC AD =,G 是BC 的中点,所以//AD BG 且AD BG =,所以四边形ADGB 是平行四边形,所以//AB DG . 因为AB ⊄平面DEG ,DG ⊂平面DEG , 所以//AB 平面DEG .(2)因为EF ⊥平面AEB ,AE ⊂平面AEB ,BE ⊂平面AEB , 所以EF AE EF BE ⊥⊥,,又AE EB ⊥, 所以EB EF EA ,,两两垂直.以点E 为坐标原点,EB EF EA ,,所在的直线分别为x y z ,,轴建立如图所示的空间直角坐标系.则0,0,02,0,02,4()()()(,00,3,)()00,2,2E B C F D ,,,,. 由已知得()2,0,0EB =是平面EFDA 的一个法向量. 设平面DCF 的法向量为,(),n x y z =,则00FD n FC n ⎧⋅=⎪⎨⋅=⎪⎩因为(0,1,2)FD =-,(2,1,0)FC =,所以2020y z x y -+=⎧⎨+=⎩令1z =,得21y x ==-,,所以可取1,(1)2,n -=.设二面角C DF E --的大小为θ,则cos cos ,n EB θ=〈〉==. 易知二面角C DF E --为钝二面角,所以二面角C DF E --的余弦值为. 21、(1)答案:ln 1x +解析:(ln )ln (ln )ln 1y x x x x x x x ''''==⋅+=+; (2)答案:1y x =-解析:1ln111x k y ='==+=.∴切线方程为1y x =-.22、答案:(1) 2214x y +=解析:(1)由题意22224a c aa b c =⎧⎪⎪=⎨⎪⎪=+⎩得21a b c ⎧=⎪=⎨⎪=⎩ 所以椭圆的方程为2214x y += (2)设()()1122,,,,A x y B x y 把2y kx =+代入2214x y +=得 ()2212122216124116120,,4141k kx kx x x x x k k +++=∴+=⋅=++ AOB ∠为直角,12120OA OB x x y y ∴⋅=+=(或斜率乘积为1-) ()()1212220OA OB x x kx kx ∴⋅=+++= 解得24k =AB ∴=AB ∴。
⾼⼆数学竞赛试题及答案⾼⼆年级学科知识竞赛数学试卷第I 卷(选择题)⼀、填空题(本⼤题共12⼩题,每⼩题5分,共60分)1.命题:p ⽅程11522=-+-m y m x 表⽰焦点在y 轴上的椭圆,则使命题p 成⽴的充分不必要条件是 A .53<m C .51<2.已知集合{}2|20A x x x =+-<,12|log 1B x x ??=>,则A B = ()A .1(0,)2B .(0,1)C .1(2,)2-D .1(,1)23.若数列{}n a 满⾜()21115,22n nn n a a a a n N a +++==+∈,则其前10项和为()A .200 B.150 C.100 D.504.已知双曲线()222210,0x y a b a b -=>>,则该双曲线的标准⽅程为()A .22184x y -= B .221168x y -= C .2211612x y -= D .221128x y -= 5.设,m n 是两条不同的直线,,αβ是两个不同的平⾯,则下列命题正确的是()①若,m ααβ⊥⊥,则//m β;②若,//,m n ααββ⊥?,则m n ⊥;③若,,//m n m n αβ??,则//αβ;④若,,n n m αββ⊥⊥⊥,则m α⊥. A.①② B.③④ C.①③ D.②④ 6.设0,01x y a b >><<<,则下列恒成⽴的是()A.a b x y >B.a b x y <C.xya b > D.xya b < 7.已知函数()sin()f x A x ω?=+(0A >,0ω>,02π<<)的部分图像如图所⽰,则函数()f x 的解析式为() A.())3f x x π=+ B.())6f x x π=+C .()2sin(2)3f x x π=+ D .()2sin(2)6f x x π=+8.正⽅体1111ABCD A BC D -中,M 是1DD 的中点,O 为底⾯ABCD 的中⼼,P 为棱11A B 上的任意⼀点,则直线OP 与直线AM 所成的⾓为()A. 45oB. 60oC. 90oD.与点P 的位置有关9.⼀只蚂蚁从正⽅体1111ABCD A BC D -的顶点A 处出发,经正⽅体的表⾯,按最短路线爬⾏到达顶点1C 位置,则下列图形中可以表⽰正⽅体及蚂蚁最短爬⾏路线的正视图是()A.①②B.①③C.③④D.②④ 10.函数ln cos 22y x x ππ??=-<< 的图象是()A .B .C .D .11.设点12,F F 分别为椭圆()222210x y a b a b+=>>的左右焦点,l 为右准线,若在椭圆上存在点M ,使1MF ,2MF ,点M 到l 的距离d 成等⽐数列,则椭圆的离⼼率e 的取值范围是()A.)1,1B.1,1??C.(1?? D.0,2? ??12.已知全集},|),{(R y x y x U ∈=,集合}20,1sin )4(cos |),{(πθθθ≤≤=-+=y x y x A ,集合A 的补集A C U 所对应区域的对称中⼼为M ,点P 是线段)0,0(8>>=+y x y x 上的动点,点Q 是x 轴上的动点,则MPQ ?周长的最⼩值为()A .24BC .14 D第II 卷(⾮选择题)⼆、填空题(本⼤题共4⼩题,每⼩题5分,共20分)13.已知向量AB →与AC →的夹⾓为120°,且|AB →|=2,|AC →|=3.若AP →=λAB →+AC →,且AP →⊥BC →,则λ= . 14.正数y x ,满⾜22=+y x ,则xyyx 8+的最⼩值为 . 15.设n S 为等差数列{}n a 的前n 项之和,()9418,309,336n n S a n S -==>=,则n = .164个命题:①任取[)12,0,x x ∈+∞,都有②()()()*22f x kf x k k N=+∈,对于⼀切[)0,x ∈+∞恒成⽴;③函数()()ln 1y f x x =--有3个零点;④对任意0x >,不等式. 则其中所有真命题的序号是 .三、解答题(本⼤题共6⼩题,共70分)17. (10分)已知0a >,设命题p :函数()2212f x x ax a =-+-在区间[]0,1上与x 轴有两个不同的交点;命题q :.若()p q ?∧是真命题,求实数a 的取值范围.18.(12分)如图所⽰,已知⼆⾯⾓α-MN -β的⼤⼩为60°,菱形ABCD 在⾯β内,A ,B 两点在棱MN 上,∠BAD =60°,E 是AB 的中点,DO ⊥⾯α,垂⾜为O .(1)证明:AB ⊥平⾯ODE ;(2)求异⾯直线BC 与OD 所成⾓的余弦值.19.(12分)如图所⽰,在ABC ?中, 点D 为BC 边上⼀点,且1,BD E =为AC 的中点(1)求AD 的长;(2)求ADE ?的⾯积.20.(12分)设函数()f x 是定义域为[]1,1-的奇函数;当[]1,0x ∈-时,()23f x x =-.(1)当[]0,1x ∈时,求()f x ;(2)对任意的[][]1,1,1,1a x ∈-∈-,不等式()22cos sin 1f x a θθ≤-+都成⽴,求θ的取值范围.21、(12分)已知椭圆的两个焦点为()()121,0,1,0F F -,且椭圆与直线y x =. ⑴求椭圆的⽅程;⑵过1F 作互相垂直的直线12,l l ,与椭圆分别交于,P Q 及,M N ,求四边形PQMN ⾯积的最⼤值和最⼩值.22.(12分)已知数列{}n a 的前n 项和为n A ,对任意*n N ∈满⾜1112n n A A n n +-=+,且11a =,数列{}n b 满⾜()*21320,5n n n b b b n N b ++-+=∈=,其前9项和为63.(1)求数列{}n a 和{}n b 的通项公式;(2)令n nn n nb ac a b =+,数列{}n c 的前n 项和为n T ,若对任意正整数n ,都有2n T n a ≥+,求实数a 的取值范围;(3)将数列{}{},n n a b 的项按照“当n 为奇数时,n a 放在前⾯;当n 为偶数时,n b 放在前⾯”的要求进⾏“交叉排列”,得到⼀个新的数列:11223344556,,,,,,,,,,a b b a a b b a a b b ,,求这个新数列的前n项和n S .参考答案⼀、选择题1.D 解析:⽅程表⽰焦点在y 轴上的充要条件是501015m m m m ->??->??->-?,解得35m <<,所以选项中是35m <<的充分不必要条件的是45m <<,故选D.2.A 解析:依题意()12,1,0,2A B ??=-= ,故10,2A B ??=.3.D 解析:由已知1n n a a +=4. A解析:,e c a =?==,渐近线⽅程222202x y x b b -=?=±,因此左顶点到⼀条2a b =?==,即该双曲线的标准⽅程为22184x y -=,选A.5. D 解析:对于①,有可能m β?,故错误;对于③,αβ可能相交,故错误.所以选D. 6 .D 解析:xyya ab <<7. D 解析:0x =时,1y =,代⼊验证,排除A ,B ,C 选项,故选D.8. C. 解析:如下图所⽰建⽴空间直⾓坐标系,不妨设正⽅体的棱长为2,设(,0,0)P x ,(1,1,2)O ,(0,2,1)M ,(0,0,2)A ,∴(1,1,2)OP x =--- ,(0,2,1)AM =-,∴(1)012(2)(1)0OP AM x ?=-?-?+-?-= ,即OP AM ⊥,故夹⾓为2π,故选C.9.D 解析:最短距离是正⽅体侧⾯展开图,即矩形111ABCC B A A 的对⾓线1AC (经过1BB )、或矩形11ABCC D DA 的对⾓线1AC (经过CD ),故视图为②④. 10. A 解析:由偶函数排除B 、D,∴≤∴≤<,0,1cos 0y x 排除C. 11.A()21211e e +≥?≤<12.B 解析:∵点(0,4)到直线c o s (4)s i n x y θθ+-=的距离直线c o s (4)s i n x y θθ+-=始终与圆()2241x y +-=相切,∴集合A 表⽰除圆()2241x y +-=以外所有的点组成的集合,∴集合A C U 表⽰圆()2241x y +-=,其对称中⼼()0,4M如图所⽰:设M '是点()0,4M 关于直线线段)0,0(8>>=+y x y x 的对称点,设M a b '(,),求得4 8a b =??=?,可得M '(4,8).设M '关于x 轴的对称点为M m n "(,),易得M "(4,-8),则直线QM ',和线段的交点为P ,则此时,MPQ ?的周长为⼩值,⼆、填空题 13.127解析:由AP →·BC →=(λAB →+AC →)·(AC →-AB →)=λAB →·AC →-λ(AB →)2+(AC →)2-AC →·AB →=0,得-3λ-4λ+9+3=0,解得λ=127.14.9 解析:15. 2116.①③④【解析】的图象如图所⽰,①)(x f 的最⼤值为1,最⼩值为1-,所以任取[)12,0,x x ∈+∞,都有恒成⽴,正确;②,故不正确;③如图所⽰,函数()()ln 1y f x x =--有证,所以对任意0>x ,不等.三、解答题17. 解析:若()p q ?∧是真命题,则p 为假命题且q 为真命题.分别求出,p q 为真时,参数a 的范围,取其补集即得p 为假时,参数a 的范围,取交集即得实数a 的取值范围.试题解析:若p 真,则()()0,01,00,10,a f f ?>??<120,240,a a a a a ?+->?<01,,a x a x a g x a a x a x a --≥??=>?-++即()g x在(),a -∞上是单调递减的,要使()g x 有最⼩值,则()g x 在[),a +∞上单调递增或为常数,即10a -≥,∴01a <≤.若()p q ?∧是真命题,则p 为假命题且q 为真命题,∴实数a 的取值范围为18.解:(1)证明:如图,因为DO ⊥α,AB ?α,所以DO ⊥AB .连接BD ,由题设知,△ABD 是正三⾓形,⼜E 是AB 的中点,所以DE ⊥AB .⽽DO ∩DE =D ,故AB ⊥平⾯ODE .(2)因为BC ∥AD ,所以BC 与OD ADO 是BC 与OD 所成的⾓.由(1)知,AB ⊥平⾯ODE ,所以AB ⊥OE .⼜DE ⊥AB ,于是∠DEO 是⼆⾯⾓α-MN -β的平⾯⾓,从⽽∠DEO =60°.不妨设AB =2,则AD =2,易知DE = 3.在Rt △DOE 中,DO =DE ·sin 60°=32.连接AO ,在Rt △AOD 中,cos ∠ADO =DOAD =332=19.(1)在ABD ?中,知2250DCDC ∴--=,.20.(1)设[]0,1x ∈,则[]1,0x -∈-,所以()()23f x f x x =--=;(2)由(1)知,()[][]223,1,03,0,1x x f x x x ?-∈-?=?∈??,所以()()max 13f x f ==,因为()22cossin 1f x a θθ≤-+对[]1,1x ?∈-都成⽴,即()2max 2cos sin 13a f x θθ-+≥=,即22cos sin 13a θθ-+≥对[]1,1a ?∈-恒成⽴,所以222cos sin 132cos sin 13θθθθ?-+≥?++≥?,即222sin sin 02sin sin 0θθθθ?+≤?-≤?,所以sin 0θ=,即()k k Z θπ=∈,所以θ的取值范围为{}|,k k Z θθπ=∈.21.⑴设椭圆的⽅程为()222210x y a b a b+=>>;联⽴22221x y a by x ?+==?得()222222230b a x x a a b +-+-=有唯⼀根;所以()()()2222222430b a a a b =--+-= ,得223b a +=⼜221a b -=,所以222,1a b ==,所以椭圆的⽅程为:2212x y += ⑵若PQ 的斜率不存在或为0时,22PQMN PQ MNS ==’ 若PQ 的斜率存在,设为()0k k ≠,则MN 的斜率为1k- 直线PQ 的⽅程为y kx k =+,设()()1122,,,P x y Q x y联⽴()22222212142202x y k x k x k y kx k+=+++-==+得,则12PQ x =-=同理MN =, 所以2424242121124422522252PQMNk PQ MN k k S k k k k ?? ?++===- ?++++ =2211442410k k- ++,因为22448k k +≥,当21k =时取等号,所以22110,418410k k∈++,所以2211164,2429410k k ??-∈++,所以四边形PQMN ⾯积的最⼩值为169,最⼤值为2。
高二数学竞赛试题一、选择题(本题满分60分,每题5分) 1.复数()()212z i i =++的虚部为()A. 2i -B. 2-C. 4iD. 42.已知集合A ={(x ,y)|x +a 2y +6=0},集合B ={(x ,y)|(a -2)x +3ay +2a =0},若A ∩B =Ø,则a 的值是( ) A. 3或-1 B. 0 C. -1 D. 0或-1 3.()423a b c +-的展开式中2abc 的系数为( )A. 208B. 216C. 217D. 218 4.某公司在2013-2017年的收入与支出情况如下表所示:根据表中数据可得回归直线方程为0.8y x a ∧∧=+,依此估计如果2018年该公司收入为7亿元时的支出为( ) A. 4.5亿元 B. 4.4亿元 C. 4.3亿元 D. 4.2亿元5. 在如图所示的正方形中随机投掷10000个点,则落入阴影部分(曲线C 的方程为20x y -= )的点的个数的估计值为( )A. 5000B. 6667C. 7500D. 78546. 函数2cos 3sin cos y x x x =在区间,64ππ⎡⎤-⎢⎥⎣⎦上的值域是( ) A. 1,12⎡⎤-⎢⎥⎣⎦B. 122,3⎡-⎢⎣⎦C. 0,32⎡⎤⎢⎥⎣⎦D. 2,301⎡⎤⎢⎥⎣⎦7.小方,小明,小马,小红四人参加完某项比赛,当问到四人谁得第一时,回答如下:小方:“我得第一名”;小明:“小红没得第一名”;小马:“小明没得第一名”;小红:“我得第一名”.已知他们四人中只有一人说真话,且只有一人得第一.根据以上信息可以判断出得第一名的人是( )A. 小明B. 小马C. 小红D. 小方8.一个三棱锥的三视图如图所示,其中正视图和侧视图是全等的等腰三角形,则此三棱锥外接球的表面积为收入x (亿元) 2.2 2.6 4.0 5.3 5.9 支出y (亿元)0.21.52.02.53.8A.94πB. 9πC. 4πD. π 9.我国南宋时期的数学家秦九韶(约1202-1261)在他的著作《数书九章》中提出了多项式求值的秦九韶算法,如图所示的框图给出了利用秦九韶算法求多项式的一个实例.若输入的5n =,1v =,2x =,则程序框图计算的是( ) 开始结束是,,n v x1i n =-0?i ≥输出v 1i i =-1v v x =⋅+否输入A .5432222221+++++B .5432222225+++++C .654322222221++++++D .43222221++++10.设O 点在ABC ∆内部,且有230OA OB OC ++=,则ABC ∆的面积与AOC ∆的面积的比为( ) A. 2 B. 3 C.32 D. 5311.已知抛物线C : 22(0)y px p =>和动直线l : y kx b =+(k , b 是参变量,且0k ≠, 0b ≠)相交于()11,A x y , ()22,B x y 两点,直角坐标系原点为O ,记直线OA , OB 的斜率分别为OA k , OB k ,若3OA OB k k ⋅=恒成立,则当k 变化时直线l 恒经过的定点为( )A. ()3,0B. ()23,0- C. 3p ⎛⎫⎪ ⎪⎝⎭D.23,0p ⎛⎫⎪ ⎪⎝⎭12. 已知函数13,1()22ln ,1x x f x x x ⎧+≤⎪=⎨⎪>⎩(lnx 是以e 为底的自然对数,e=2.71828...),若存在实数m,n(m<n),满足f(m)=f(n),则n-m 的取值范围为( ) A.B.C.D.二、填空题 (本题满分20分,每题5分)13.已知实数,x y 满足约束条件222441 x y x y x y +≥⎧⎪+≤⎨⎪-≥-⎩,则目标函数3z x y =+的取值范围为 .14. 如图,矩形ABCD 中,AB=2AD ,E 为边AB 的中点,将ADE 沿直线DE 翻折成A 1DE ,若M 为线段A 1C 的中点,则在ADE 翻折过程中,下列命题正确的是 .(写出所有正确的命题的编号)①线段BM 的长是定值;②存在某个位置,使DE ⊥A 1C ;③点M 的运动轨迹是一个圆;④存在某个位置,使 MB 平面A 1DE .15. 已知双曲线22221x y a b -= (0a > , 0b > )的左、右焦点分别为1F 、2F ,过2F 的直线交双曲线右支于P ,Q 两点,且1PQ PF ⊥ ,若1512PQ PF =,则双曲线的离心率为__________ . 16.九个连续正整数自小到大排成一个数列129,,...,a a a ,若13579a a a a a ++++是一个平方数,2468a a a a +++是一个立方数,则1239...a a a a ++++的最小值是 .三、解答题(本题满分70分)17.(本小题满分10分)△ABC 中,,,A B C 所对的边分别为,,a b c ,sin sin tan cos cos A BC A B+=+,sin()cos B A C -=.(1)求,A C ;(2)若33ABC S ∆=+,求,a c .18.(本小题满分12分)已知数列{}n a 满足11a =,121()n n a a n N *+=+∈.(1)求数列{}n a 的通项公式;(2)证明:12231 (2)n n a a a na a a ++++<. 19.(本小题满分12分)为响应国家“精准扶贫,产业扶贫”的战略,哈市面向全市征召《扶贫政策》义务宣传志愿者,从年龄在[]20,45的500名志愿者中随机抽取100名,其年龄频率分布直方图如图所示.(1)求图中x的值;(2)在抽出的100名志愿者中按年龄采用分层抽样的方法抽取10名参加中心广场的宣传活动,再从这10名志愿者中选取3名担任主要负责人.记这3名志愿者中“年龄低于35岁”的人数为X,求X的分布列及数学期望.20. (本小题满分12分)如图,在△ABC中,∠C=90°,∠ABC的平分线交AC于点E,过点E作BE的垂线交AB 于点F,⊙O是△BEF的外接圆,⊙O交BC于点D.(1)求证:AC是⊙O的切线;(2)过点E作EH⊥AB,垂足为H,求证:CD=HF;(3)在(2)条件下,若CD=1,EH=3,求BF及AF长.21.(本小题满分12分)已知椭圆C:=1(a>b>0)的离心率为,并且过点P(2,﹣1)(1)求椭圆C的方程;(2)设点Q在椭圆C上,且PQ与x轴平行,过p点作两条直线分别交椭圆C于两点A(x1,y1),B(x2,y2),若直线PQ平分∠APB,求证:直线AB的斜率是定值,并求出这个定值.22. (本小题满分12分)已知函数()ln mx nf x x x-=-,,m n R ∈. (1)若函数()f x 在(2,(2))f 处的切线与直线0x y -=平行,求实数n 的值; (2)试讨论函数()f x 在区间[1,)+∞上最大值;(3)若1n =时,函数()f x 恰有两个零点1212,(0)x x x x <<,求证:122x x +>.高二数学竞赛试题参考答案1.D 2.D 3.B 4.B 5. B 6. C 7.A 8.A 9.A 10.B 11.D 12. C13. []1,6 14.①③ 1516.18000 17.解:(1) 因为sin sin tan cos cos A B C A B +=+,即sin sin sin cos cos cos C A BC A B+=+, 所以sin cos sin cos cos sin cos sin C A C B C A C B +=+, 即 sin cos cos sin cos sin sin cos C A C A C B C B -=-,得 sin()sin()C A B C -=-. ....................2分 所以C A B C -=-,或()C A B C π-=--(不成立). .即 2C A B =+, 得3C π=,所以.23B A π+=.................. 4分又因为1sin()cos 2B A C -==,则6B A π-=,或56B A π-=(舍去)得5,412A B ππ== ................... 6分(2)1sin 32ABC S ac B ∆===, 又sin sin a cA C =, 即22=, ................... 8分得a c == .................. 10分(1)由已知6B π=, 2220a ab b --=结合正弦定理得:22sin sin 10A A --=,于是sin 1A =或1sin 2A =-(舍).因为0A π<<,所以2A π=, 3C π=.(2)由题意及余弦定理可知22196a b ab ++=,由(1)2220a ab b --=得()()20a b a b +-=即2a b =, 联立解得27b =, 47a = 所以, 1sin 1432ABC S ab C ∆==. 18.(1)∵.∴,∴是以为首项,2为公比的等比数列.∴,即................... 6分(2)证明:∵1121212112122112(21)2k k k n k k kn a a ++---=<==-⋅---,,∴................... 12分19.(1)根据频率分布直方图可得()0.010.020.040.0751x ++++⨯=,解得0.06x =.........2分(2)用分层抽样的方法,从100名志愿者中选取10名,则其中年龄“低于35岁”的人有6名,“年龄不低于35岁”的人有4名,.................. 4分 故X 的可能取值为0,1,2,3.()343101030C P X C ===, ()12643103110C C P X C ===, ()2164310122C C P X C ===, ()36310136C P X C ===.故X 的Y 0 1 2 3P130 310 12 16.................. 10分()13110123 1.8301026E Y =⨯+⨯+⨯+⨯=...................12分 20.证明:(1)如图,连接OE . ∵BE 平分∠ABC , ∴∠CBE=∠OBE , ∵OB=OE ,∴∠OBE=∠OEB , ∴∠OEB=∠CBE , ∴OE ∥BC ,∴∠AEO=∠C=90°,∴AC 是⊙O 的切线; ...................3分(2)如图,连结DE .∵∠CBE=∠OBE ,EC ⊥BC 于C ,EH ⊥AB 于H , ∴EC=EH .∵∠CDE+∠BDE=180°,∠HFE+∠BDE=180°, ∴∠CDE=∠HFE .在△CDE 与△HFE 中,90CDE HFE C EHF EC EH ∠=∠∠=∠=⎪⎨⎩=⎧⎪, ∴△CDE ≌△HFE (AAS ), ∴CD=HF ....................7分(3)由(2)得,CD=HF .又CD=1 ∴HF =1在Rt △HFE 中,EF =2231+=10 ∵EF ⊥BE ∴∠BEF =90°∴∠EHF =∠BEF =90° ∵∠EFH =∠BFE ∴△EHF ∽△BEF ∴EF HFBF EF =,即10110BF =∴BF =10∴152OE BF ==, 514OH =-=,∴在Rt △OHE 中, 4cos 5EOA ∠=,∴在Rt △EOA 中, 4cos 5OE EOA OA ∠==,∴545OA = ∴254OA =∴255544AF =-=. ...................12分21.(1)解:由,得,即a 2=4b 2,∴椭圆C 的方程可化为x 2+4y 2=4b 2.又椭圆C过点P (2,﹣1),∴4+4=4b 2,得b 2=2,则a 2=8.∴椭圆C 的方程为;..................4分(2)证明:由题意,直线PA 斜率存在,设直线PA 的方程为y +1=k (x ﹣2),联立,得(1+4k 2)x 2﹣8(2k 2+k )x +16k 2+16k ﹣4=0.∴,即.∵直线PQ 平分∠APB ,即直线PA 与直线PB 的斜率互为相反数,设直线PB 的方程为y+1=﹣k (x ﹣2),同理求得. ..........8分又,∴y 1﹣y 2=k (x 1+x 2)﹣4k .即=,.................. 10分∴直线AB 的斜率为...................12分22.(1)由'2()n x f x x -=,'2(2)4n f -=,由于函数()f x 在(2,(2))f 处的切线与直线0x y -=平行,故214n -=,解得6n =. .................. 2分 (2)'2()(0)n xf x x x-=>,由'()0f x <时,x n >;'()0f x >时,x n <,所以①当1n ≤时,()f x 在[1,)+∞上单调递减,故()f x 在[1,)+∞上的最大值为(1)f m n =-;②当1n >,()f x 在[1,)n 上单调递增,在(,)n +∞上单调递减, 故()f x 在[1,)+∞上的最大值为()1ln f n m n =--;综上①当1n ≤时,()f x 在[1,)+∞上的最大值为(1)f m n =-;②当1n >,()f x 在[1,)+∞上的最大值为()1ln f n m n =--;.................. 6分(3)函数()f x 恰有两个零点1212,(0)x x x x <<,则1211221211()ln 0,()ln 0mx mx f x x f x x x x --=-==-=, 可得121211ln ln m x x x x =+=+. 于是21221121ln ln ln x x x x x x x x -=-=. 令211x t x =>,则1111ln ,ln t t t x tx t t --==,于是21211(1)ln t x x x t t t-+=+=,.................. 8分∴21212(ln )22ln t t t x x t--+-=,记函数21()ln 2t h t t t -=-,因2'2(1)()02t h t t -=>, ∴()h t 在(1,)+∞递增,∵1t >,∴()(1)0h t h >=,又211x t x =>,ln 0t >,故122x x +>成立. .................. 12分。
高二数学竞赛试题及答案高二数学竞赛模拟试题一、选择题:本大题共10小题,每小题5分,共50分.在每小题给出的四个选项中,只有一项是符合题目要求的.AF1.如图,点O是正六边形ABCDEF的中心,则以图中点A、B、C、D、E、F、O中的任意一点为始点,与始点不BE同的另一点为终点的所有向量中,除向量外,与向量OA共线的向量共有( )A.2个B. 3个C.6个D. 7个213CD2.若(3a -2a) n 展开式中含有常数项,则正整数n的最小值是( )A.4B.5C. 6D. 83. 从5名演员中选3人参加表演,其中甲在乙前表演的概率为( )3311A. 20B. 10C. 20D. 104.抛物线y2=a(x+1)的准线方程是x=-3,则这条抛物线的焦点坐标是( )A.(3,0)B.(2,0)C.(1,0)D.(-1,0)5.已知向量m=(a,b),向量n⊥m,且|n|=|m|,则n的坐标可以为( )A.(a,-b)B.(-a,b)C.(b,-a)D.(-b,-a)6.如图,在正方体ABCDA1B1C1D1中,P为BD1的中点,则△PAC 在该正方体各个面上的射影可能是( )DCAB A B③②①④111A.①④B.②③C.②④D.①②7.有6个座位连成一排,现有3人就坐,则恰有两个空座位相邻的不同坐法有( )A.36种B.48种C.72种D.96种8.已知直线l、m,平面?、β,且l⊥?,m?β.给出四个命题:(1)若?∥β,则l⊥m;(2)若l⊥m,则?∥β;(3)若?⊥β,则l∥m;(4)若l∥m,则?⊥β,其中正确的命题个数是( )A.4B.1C.3D.29.已知函数f(x)=log2(x2-ax+3a)在区间[2,+∞)上递增,则实数a 的取值范围是( )A.(-∞,4)B.(-4,4]C.(-∞,-4)∪[2,+∞)D.[-4,2)10.4名乘客乘坐一列火车,有5节车厢供他们乘坐。
假设每个人进入各节车厢是等可能的,那么这4名乘客分别在不同车厢的概率为( )A54A54A44A44 A、4 B、4 C、5 D、5 5544二、填空题:本大题共4小题,每小题5分,共20分.答案填在题中横线上.11.从?a?b?的二项展开式的各项中任取两项,这两项中至少有一项含有的二项式系1 7数的概率为。
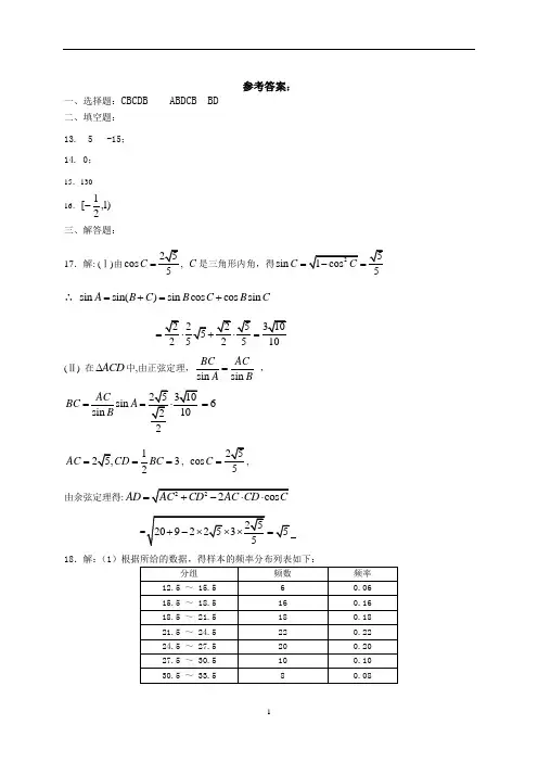
参考答案:一、选择题:CBCDB ABDCB BD 二、填空题: 13. 5 -15; 14. 0;15.130 16.)1,21[-三、解答题: 17.解: (Ⅰ)由cos C =C是三角形内角,得sin C ==∴ sin sin()sin cos cos sin A B C B C B C =+=+22== (Ⅱ) 在ACD ∆中,由正弦定理,sin sin BC ACA B=,sin sin AC BC A B ==6=132AC CD BC ===, cos 5C =, 由余弦定理得:AD ==18.解:(1(2)(3)数据大于等于30.5的频率是0.08,∴小于30.5的频率是0.92, ∴数据小于30.5的概率约为0.9219.设所求的圆C 与直线y=x 交于AB∵圆心C 在直线x -3y=0上, ∴设圆心为C (3a ,a ) ∵圆与y 轴相切, ∴R=3|a|而圆心C 到直线x -y=0的距离 ||22|3|||a a a CD =-=又∵7||,72||==BD AB 在Rt △CBD 中,R 2-|CD|2=(7)2∴33,1,1,729222±=±===-a a a a a ∴圆心的坐标C 分别为(3,1)和(-3,-1)。
故所求圆的方程为 9)1()3(9)1()3(2222=+++=-+-y x y x 或20.(I )证明:连结BD ,则BD 与AC 的交点为O ,,AC BD 为正方形的对角线,故O 为BD 中点;连结MO ,,O M 分别为1,DB DD 的中点,1//OM BD ∴,OM ⊂平面ACM ,1BD ⊄平面ACM1//BD ∴平面ACM . (II )AC BD ⊥,1DD ⊥平面ABCD ,且AC ⊂平面ABCD ,∴1AC DD ⊥;且1BDDD D =,∴ AC ⊥平面11BDD B1OB ⊂平面11BDD B ,∴ 1B O AC ⊥,连结1B M ,在1B MO ∆中,22213MO =+=,222126B O =+=,(222119B M =+=,∴22211B M MO B O =+,1B O OM ∴⊥又OM AC O =,∴1B O ⊥平面AMC ;法二:211==BB DO BO MD, ∠ODM=∠B 1BO=Rt ∠, ∴ΔMDO ∽ΔOBB 1 , ∴∠MOD=∠OB 1B, 190MOD B OB ︒∠+∠=,∴1B O OM ⊥.(Ⅲ)求三棱锥1O AB M -的体积∴111111332O AB M B AOM AOM V V OB S OA OM --∆==⨯⨯=⨯⨯,11132==. 法二:可证AO ⊥平面1OB M ,则111111111133232O AB M A OB M OB M V V AO S OB OM --∆==⨯⨯=⨯⨯=21.解:(Ⅰ)n n x f d a x f n a 22)1(2)(22log )(21=⋅-+=∴===n n n a a x nx 22log :==即(Ⅱ)当21=a 时,nn x ⎪⎭⎫⎝⎛=41314113141141414121<⎥⎥⎦⎤⎢⎢⎣⎡⎪⎭⎫ ⎝⎛-=-⋅⎪⎭⎫ ⎝⎛-=+++nnn x x x22.解:(Ⅰ)反证法,假设方程x x f =)(有异于α的实根β,即ββ=)(f ,不妨设βα<,在α与β之间存在一点c ,βα<<c ,由题设知)()()()(c f f f '-=-=-αβαβαβ,则1)(='c f 与已知矛盾。
高二数学竞赛试题及答案一、选择题(每题5分,共30分)1. 若函数\( f(x) = 2x^2 - 3x + 5 \),则\( f(-1) \)的值为多少?A. 12B. 10C. 8D. 62. 已知圆的半径为5,圆心在原点,求圆上一点到原点的距离最远是多少?A. 10B. 5C. 15D. 203. 一个等差数列的前三项分别为2,5,8,求这个数列的第20项是多少?A. 47B. 49C. 52D. 554. 一个直角三角形的两条直角边分别为3和4,求斜边的长度?A. 5B. 6C. 7D. 85. 已知\( \sin(\alpha) = \frac{3}{5} \),求\( \cos(\alpha) \)的值(假设\( \alpha \)在第一象限)?A. \( \frac{4}{5} \)B. \( -\frac{4}{5} \)C. \( \frac{3}{5} \)D. \( -\frac{3}{5} \)6. 一个函数\( g(x) \)满足\( g(x) = x^2 + 2x + 3 \),求\( g(-1) \)的值?A. 1B. 3C. 5D. 7二、填空题(每题5分,共20分)7. 已知\( a \)和\( b \)是方程\( x^2 + 5x + 6 = 0 \)的根,求\( a + b \)的值。
______(答案:-5)8. 一个数列的前五项为1, 1, 2, 3, 5,这个数列是斐波那契数列,求第10项的值。
______(答案:55)9. 已知三角形的三边长分别为3, 4, 5,求这个三角形的面积。
______(答案:6)10. 已知\( \tan(\beta) = 2 \),求\( \sin(\beta) \)的值。
______(答案:\( \frac{2\sqrt{5}}{5} \))三、解答题(每题25分,共50分)11. 证明:对于任意实数\( x \),不等式\( e^x \ge x + 1 \)恒成立。
大学区高二数学竞赛试题(时间:120分钟 满分:150分)一、选择题(本题共10个小题,每题5分,共计50分)1、设P,Q 是两个非空数集,定义集合P+Q={a+b|a ∈P ,b ∈Q },若P={0,2,5},,Q={1,2,6},则P+Q 中元素的个数是 ( )A 6B 7C 8D 9 2、一个几何体的三视图如图1所示,则此几何体的全面积是 ( )A 102659+.B 84142+.C 8412017+.D 150.3、 如果 (0,)a π∈, 1lg(1cos ),lg()1cos m nαα-==+, 那么 lgsin α=( )A m n -.B 1m n +. C 1()2m n -. D 11()2m n +. 4、对任意的函数()y f x =,在同一个直角坐标系中,函数()-1y f x =与函数()-+1y f x = 的图像 ( )A 关于x 轴对称.B 关于直线1x =对称.C 关于直线-1x =对称.D 关于y 轴对称5、若11x F x x -⎛⎫= ⎪+⎝⎭,则下列等式中正确的是 ( )A ()()22F x F x --=--.B ()1-1x F x F x -⎛⎫= ⎪+⎝⎭. C ()1F F x x ⎛⎫= ⎪⎝⎭. D ()F F x x =-⎡⎤⎣⎦6、 已知倾斜角为α的直线l 与直线x -2y 十2=0平行,则tan 2α的值为( )A .45B .43C .34D .237、 在△ABC 中,内角A 、B 、C 所对边分别为a 、b 、c ,若222222c a b ab =++,则△ABC 是( )A .钝角三角形B .直角三角形C .锐角三角形D .等边三角形8、若圆222)5(3r y x =++-)(有且仅有两个点到直线4x -3y=2的距离等于1,则半径r 的取值范围是( )A 、[4,6]B 、[4, 6 )C 、(4,6 ]D 、(4,6)9、等比数列{}n a的前n 项和为n s ,若1030=1070s =,s ,则40s 等于( ) A 150. B -200. C 150或-200. D 400或-5010、.已知()1122,,(,)A x yB x y 是函数2()12xf x x =-图像上不同的两点,若AB 的中点落在x 轴上,则2212x x +的取值范围为 ( )A .1(,)16+∞ B .1(,)8+∞ C .1(,)4+∞ D .1(,)2+∞二、填空题(本题共5个小题,每题5分,共计25分)11、已知1+sin 1cos 2x x=-,那么cos sin 1xx -的值是 。
丽水高二数学竞赛试题及答案一、选择题(每题3分,共15分)1. 下列哪个数不是无理数?A. πB. √2C. 0.1010010001...D. 22/72. 函数f(x) = 2x^2 - 3x + 1的顶点坐标是?A. (3/4, -1/8)B. (-3/4, 1/8)C. (3/2, -1/4)D. (-3/2, 1/4)3. 已知集合A = {1, 2, 3},B = {2, 3, 4},求A∪B的结果。
A. {1, 2, 3}B. {1, 2, 3, 4}C. {2, 3}D. {1, 4}4. 已知等差数列的首项a1=2,公差d=3,第10项a10的值是多少?A. 29B. 32C. 35D. 425. 直线y = 2x - 4与x轴的交点坐标是?A. (2, 0)B. (-2, 0)C. (4, 0)D. (0, -4)二、填空题(每题4分,共20分)6. 圆的半径为5,圆心到直线x + 2y - 3 = 0的距离是_________。
7. 已知函数g(x) = x^3 - 3x^2 + 2,求g'(x) = ________。
8. 已知等比数列的首项a1=8,公比q=2,求第5项a5的值是_________。
9. 抛物线y^2 = 4x的焦点坐标是_________。
10. 已知正弦函数y = sin(x),求其在x=π/4处的导数值是_________。
三、解答题(每题10分,共65分)11. 证明:对于任意正整数n,n^5 - n 能被30整除。
12. 已知椭圆的方程为x^2/9 + y^2/4 = 1,求椭圆的长轴和短轴长度。
13. 解不等式:|2x - 1| + |x + 2| ≥ 5。
14. 已知函数f(x) = 3x^3 - 2x^2 - 5x + 6,求其极值点。
15. 已知向量a = (2, -1),b = (-1, 3),求向量a在向量b上的投影。
四、附加题(10分)16. 一个圆内接正六边形的边长为a,求圆的半径。
遵义数学竞赛高二试题及答案一、选择题(每题5分,共20分)1. 已知函数\( f(x) = x^2 - 4x + 4 \),求\( f(1) \)的值。
A. 1B. -1C. 3D. 52. 若\( a \),\( b \),\( c \)是三角形的三边长,且满足\( a^2 + b^2 = c^2 \),该三角形是:A. 直角三角形B. 等边三角形C. 等腰三角形D. 钝角三角形3. 已知圆的半径为5,圆心到直线的距离为3,则直线与圆的位置关系是:A. 相切B. 相交C. 相离D. 包含4. 若\( \sin(\alpha + \beta) = \sin\alpha \),且\( \alpha \)和\( \beta \)均不为0,求\( \beta \)的值。
A. \( \frac{\pi}{2} \)B. \( -\frac{\pi}{2} \)C.\( \frac{\pi}{4} \) D. \( -\frac{\pi}{4} \)二、填空题(每题4分,共16分)5. 若\( \cos(\theta) = \frac{1}{3} \),求\( \sin(\theta) \)的值(结果保留根号)。
6. 将\( 8^3 \)写成\( 2 \)的幂次形式。
7. 已知等差数列的首项为2,公差为3,求第10项的值。
8. 已知\( \log_{10} 100 = 2 \),求\( \log_{10} 0.01 \)的值。
三、解答题(每题14分,共40分)9. 证明:若\( a \),\( b \),\( c \)是正数,且\( a + b + c =1 \),则\( \frac{1}{a} + \frac{1}{b} + \frac{1}{c} \geq 9 \)。
10. 解不等式:\( |x - 2| + |x + 3| > 4 \)。
11. 已知点A(-1, 2),B(2, -1),C(3, 6),求三角形ABC的面积。
2023-2024学年安徽省高二数学竞赛模拟试题一、填空题:本大题共8小题,每小题8分,共64分.1.如果函数()()42231f x cx c x =+-+在区间(),1∞--上单调递减,在区间()1,0-上单调递增,则c 的值为__________.2.已知命题p :对任意的正数x ,有212ax x >-+,命题q :不存在实数x ,使223x a x <<-.若命题,p q 都为假命题,则实数a 的取值范围是__________.3.在立方体中放人9个球,一个与立方体6个面都相切,其余8个相等的球都与这个球及立方体的三个切,已知8个相等的球的半径都为2,则立方体的体积为__________.4.圆222(0)x y R R +=>上有一定点(),0,,A R B C 是该圆上的两动点.如果2AB AC r ⋅=为常数(0)r R <<,可证BC 必与某个圆Ω相切,则Ω的方程为__________.5.对26⨯的长方形方格带的某些11⨯小方格染色(染成红色),要求任何一个22⨯的正方形方格中至少有一个11⨯的小方格未被染色,这样的染色方式有__________种.6.一离散型随机变量X 的分布列为:X 0123P0.1a b c其中,a b 为变数,c 为正常数,且当0a b =≠时方差()D X 有最大值,则c 的值为__________.7.已知双曲线22221(,0)x y a b a b-=>的右焦点为F ,过F 的直线与双曲线右支交于,A B 两点,若以AB 为直径的圆过原点,则双曲线离心率e 的取值范围是__________.8.__________.2482cos 12cos 12cos 1999πππ⎛⎫⎛⎫⎛⎫---= ⎪⎪⎪⎝⎭⎝⎭⎝⎭二、解答题:本大题共3小题,共56分.解答应写出文字说明、证明或演算步骤.9.(本小题满分16分)已知函数()()2,,f x ax bx c a b c =++∈R ,且对一切x ∈R ,都有()2428124x f x x x +++.(1)将,b c 分别表示成关于a 的函数,并求出a 的取值范围;(2)对于给定的,a k ,求()f x 在区间[],k k -上的最小值.10.(本小题满分20分)某游戏公司开发了一款游戏,共有两关,公司组织了水平相当的()*3,n n n ∈N位玩家测试这款游戏.玩家按预先指定的顺序依次上场,每位玩家的测试都是相互独立的.他们通过第一关测试的概率都为(01)p p <<,通过第二关测试的概率都为(01)q q <<.若玩家通不过第一关测试,则他下场,由下一位玩家继续上场测试,若玩家通过第一关测试,则继续第二关的测试,若第二关测试通过,则游戏测试终止,若第二关测试通不过,则下一位玩家直接从第二关开始测试.当p q ≠时,求第()*11,k k n k -∈N 位玩家终止测试的概率(用含,,p q k 的式子表示).11.(本小题满分20分)已知函数3y x ax =-(a 为常数)的图象上存在四个点(),i i i A x y ,过i A 的切线为(1,2,3,4i l i =,其中)13l l ∥,且1234,,,l l l l 围成的图形是正方形.(1)求证:132423x x x x -;(2)试求a 的取值范围.数学答案一、填空题:本大题共8小题,每小题8分,共64分.1.1由题意得,()()32423f x cx c x =+-',由()10f '-=,得()24230c c ---=,解得3c =-或1c =.当3c =-时,()()()1211f x x x x =--+',当1x <-时,()0f x '>,则()f x 在区间(),1∞--上单调递增,不满足条件,舍去;当1c =时,()()()411f x x x x =-+',则()f x 在区间(),1∞--上单调递减,在区间()1,0-上单调递增,满足题意,故1c =.2.(]0,1当命题p 为真命题时,对任意的正数22211,11,1,x x a a x x -⎛⎫>=--+∴>∴ ⎪⎝⎭命题p 为假命题时,1a ;当命题q 为假命题时,存在实数x ,使223x a x <<-,03a ∴<<,故命题,p q 都为假命题时,实数a 的取值范围是(]0,1.3.8设立方体的边长为a (212a =++-,解得2a =,则立方体的体积为8.4.2222()2r x R y R ⎛⎫-+= ⎪⎝⎭设A 到BC 的距离为,h BAC ∠α=,则11sin sin 22AB AC BC h R h αα⋅==⋅,又22,,2r AB AC r h BC R ⋅=∴=∴与圆2222()2r x R y R ⎛⎫-+= ⎪⎝⎭相切.5.3105考虑()21n ⨯+个方格的染色情况.最后2个方格如果没有染色或只有一个染色(它有3种可能的情况),前面的2n ⨯个方格有n a 种染色方式,共有3n a 种染色方式;如果最后两个方格都染色,则与它相邻的2个方格或者没有染色或者只有一格染色,前面的()21n ⨯-方格有1n a -种染色方式,共有13n a -种染色方式,故()113n n n a a a +-=+,其中()4232115,315457a a =-==⨯+=,由此可知()431557216a =⨯+=,()()56357216819,32168193105a a =⨯+==⨯+=.6.0.1由题意得,()()()20.9,230.92,490.938,a b c E X a b c b c E X a b c b c D X ++==++=++=++=++()()222[]0.938(0.92)E X E X b c b c =-=++-++()221.240.09 4.44,b c b c c =-+-++-∴当0.62b c =-时有最大值,此时1.240.9c c -+=,解得0.1c =.7.512+⎣当AB x ⊥轴时,2b c a =,解得512e +=.当AB 不与x 轴垂直时,设():AB y k x c =-,与22221x y a b-=联立得()()222222222220a k b x a ck x a c k b --++=,设()11,A x y ,()22,B x y ,则()22222212122222222,a c k b a ck x x x x a k b a k b++==--,则()()2421212222k b y y k x c x c a k b=--=--.由题意得,()222224222222121222242242210131a c k b k b a b e b x x y y k e a k b b a c e e a+--+==⇒==>=----+42103112e e e +⇔<-+<⇔<<.综上,双曲线离心率e的取值范围是12⎣.8.1方法一:令29πθ=,()()()22cos 12cos 14cos 12cos2112cos21θθθθθ-+=-=+-=+ ,2cos212cos 12cos 1θθθ+∴-=+,同理得2cos412cos212cos21θθθ+-=+,2cos812cos412cos41θθθ+-=+,以上三式相乘有:162cos 124892cos 12cos 12cos 1129992cos 19πππππ+⎛⎫⎛⎫⎛⎫---== ⎪⎪⎪⎝⎭⎝⎭⎝⎭+.方法二:令2248116sin cos cos cos sin2481999989coscos cos 229998sin sin 99a ππππππππππ===-.令248cos cos cos 999b πππ=++,2468cos cos cos cos 9999ππππ+++=24682cos sin 2cos sin 2cos sin 2cos sin999999992sin9πππππππππ+++=3537597sin sin sin sin sin sin sin sin 999999992sin9πππππππππ⎛⎫⎛⎫⎛⎫⎛⎫-+-+-+ ⎪⎪⎪ ⎪⎝⎭⎝⎭⎝⎭⎝⎭=sin12489,cos cos cos 029992sin 9b πππππ-=-∴=++=.令244828248cos cos cos cos cos cos cos cos cos 999999999c πππππππππ⎛⎫=++=++⎪⎝⎭24826248248cos cos 2cos cos cos cos cos cos cos cos 9999999999ππππππππππ=+=-+=412411cos cos cos 1399922224πππ--+--+==-,2482cos 12cos 12cos 1842113011999a c b πππ⎛⎫⎛⎫⎛⎫∴---=-+-=-++-= ⎪⎪⎪⎝⎭⎝⎭⎝⎭.二、解答题:本大题共3小题,共56分.解答应写出文字说明、证明或演算步骤.9.(本小题满分16分)(1)原不等式可化为()()()424222x f x x x +++.取12x =-,则有1100022f f ⎛⎫⎛⎫-⇒-= ⎪ ⎪⎝⎭⎝⎭,∴令()()12f x x ax n ⎛⎫=++ ⎪⎝⎭,因此有()()111481222x x ax n x x ⎛⎫⎛⎫⎛⎫+++++ ⎪ ⎪ ⎪⎝⎭⎝⎭⎝⎭.当12x >-时,由上式知恒有()481ax n ax n x +⎧⎨++⎩,42a n ∴-+,且1814,4222a a n n ⎛⎫-+-+=∴-+= ⎪⎝⎭.同理,当12x -时,也有42an -+=,()14,44,22224a a a n f x x ax b a c ⎛⎫⎛⎫∴=+∴=+++⇒=+=+ ⎪⎪⎝⎭⎝⎭.由题意得,()()()()22222114204218124802ax b x c a x x a x a x b x c a x ⎧⎛⎫⎛⎫+-+-=++=+⎪ ⎪ ⎪⎪⎝⎭⎝⎭⎨⎛⎫⎪-+-+-=-+ ⎪⎪⎝⎭⎩①②,①②两式恒成立,[]0,8a ∴∈.(2)当0a =时,()42f x x =+,此时()f x 在[],k k -上的最小值为()42f k k -=-+;当(]0,8a ∈时,()f x 图象的对称轴方程为4022b a x a a+=-=-<,此时442a f a a +⎛⎫-=- ⎪⎝⎭.记()f x 的最小值为m ,当(]4,2a k a∞+-∈--时,得()214k a -⑤,故当12k 时,⑤成立,此时()()()121284k k a m f k ⎡⎤--+⎣⎦=-=.当12k >时,()421421k a a k -⇒-.注意到:4343138,821421424k k k k k ⇔>⇔<⇒<<--,∴当1324k <<时,⑥戊立,此时()()121284k k a m ⎡⎤--+⎣⎦=.当34k 时:当4821a k <-时,(]4,2a k k a +-∈-,此时4m a=-.当421ak -时,(]4,2a k a ∞+-∈--,此时()()()121284k k a m f k ⎡⎤--+⎣⎦=-=.综上,()f x 在区间[],k k -上的最小值如下:当304k <<时,()()121284k k a m ⎡⎤--+⎣⎦=;当34k 时,()()121284,042144,821k k a ak m a a k ⎧⎡⎤--+⎣⎦⎪⎪-=⎨⎪-<⎪-⎩.10.(本小题满分20分)设第()*11,k k n k -∈N 位玩家终止测试的概率为kp .当p q ≠且第()*11,k kn k -∈N 位玩家终止测试时,第k 位玩家必通过第二关测试.若前面()1k -位玩家都没有通过第一关测试,其概率为'1(1)k k p p pq -=-,若前面()1k -位玩家中人第()*11,,i i k k i -∈N位玩家才通过第一关测试,则前面()1i -位玩家无人通过第一关测试,其概率为1(1)i p --,第i 位玩家通过第一关测试,但没有通过第二关测试,其概率为()1p q -,第()1i +位玩家到第()1k -位玩家中都没有通过第二关测试,其概率为1(1)k i q ---.∴前面()1k -位玩家中恰有一人通过第一关测试的概率为:111111111(1)(1)(1)(1)1i k k i k i k k i i p p p p q q q pq q q ---''----==⎛⎫-=---=- ⎪-⎝⎭∑∑()11111111(1)(1)(1)111k k k k p pq q q pq q q p p p qq ----⎛⎫--⎪--⎝⎭⎡⎤=-=---⎣⎦----111(1)(1)(1)(1)k k k kk k pq q p p p pq p q p p q'''----⎡⎤∴=+=-+---⎣⎦-()11(1)(1)(1)(1)k k k kpq q pq pq pq p q q p p q p q p q -⎡⎤-⎡⎤=--+-=---⎢⎣⎦---⎣⎦因此,第()*11,k k n k -∈N 位玩家终止测试的概率为(1)(1)k k pq q p p q⎡⎤---⎣⎦-.11.(本小题满分20分)(1)设直线i l 的斜率为()1,2,3,4i k i =,又23y x a '=-,则()231,2,3,4i i k x a i =-=,121k k =-1324,l l l l ∥∥,则2222132413241324,,,,k k k k x x x x x x x x ==∴==⇒=-=-,22132412121113332x x x x x x k k k k ∴-=-=-=+,即132423x x x x -.(2)若0a ,则()212301,2,3,4,1i i k x a i k k =-==-不成立,0a ∴>.不失一般性,可设12120,0,0,0x x k k >>><.()()31:201,2,3,4i i i i l y y k x x y k x x i -=-⇔--==.1l 与3l 的距离2l 、与4l 的距离分别设为d 与d ',则3333121d d k k '⎧===∴=-⎩33112x k x ∴=⋅,令31k t =,则12(0)x tx t =>.222232122132313111113,3x x a k a x at t a at k t t t t t-==-=-∴-=-⇒=-⇒+=- ,431t a t t +∴=-,又0,0a t >>,可得1t >.方法一:令()431(1)x f x x x x+=>-,则()()()()()()2226422233122331xx x x x x f x xxxx++---+==--',易知当22x =+时,()f x 取得最小值,从而a 取得最小值,2mina a∴==∴的取值范围是)∞⎡+⎣.方法二:令()431(1)xf x xx x+=>-,则()2211211xxf x xxx xx x+==-+--,当且仅当22x=+时,取得等号,mina∴=,a∴的取值范围是)∞⎡+⎣.。
2023-2024学年湖南省长沙市高二下学期数学竞赛模拟试题一、单选题(每小题5分,共40分)1.设实数0a >,则“22a >”是“1log 02a a ⎛⎫+> ⎪⎝⎭”的()A.充分不必要条件B.必要不充分条件C.充分必要条件D.既不充分也不必要条件【正确答案】A【分析】由22a >,可得1a >,由1log 02a a ⎛⎫+> ⎪⎝⎭,可得1a >或102a <<,再利用充分条件、必要条件的定义即得.【详解】由22a >,可得所以1a >;由1log 02a a ⎛⎫+> ⎪⎝⎭,可得1log log 12a a a ⎛⎫+> ⎪⎝⎭,∴1112a a >⎧⎪⎨+>⎪⎩或01112a a <<⎧⎪⎨+<⎪⎩,∴1a >或102a <<;因此“22a >”是“1log 02a a ⎛⎫+> ⎪⎝⎭”的充分不必要条件.故选:A.2.若函数()22f x x a x =++,x R ∈在区间[)3+∞,和[]21--,上均为增函数,则实数a 的取值范围是()A.11,33⎡⎤--⎢⎥⎣⎦B.[]6,4--C.3,⎡--⎣D.[]4,3--【正确答案】B【分析】易知()f x 为R 上的偶函数,因此只需考虑函数()f x 在()0+∞,上的单调性即可,结合题设条件分析可得函数的对称轴须满足[]232a-∈,,进而求得a 的取值范围.【详解】由题意知函数()f x 为偶函数,对称轴为2ax =-,所以()f x 在[)3+∞,上为增函数,在[]12,上为减函数,故须满足[]232a-∈,,解之得[]6,4a ∈--.故选:B .本题主要考查二次函数的图象和性质,考查逻辑思维能力和转化思想,属于常考题.3.4sin 40tan 40- ()A.B.C.2+D.1【正确答案】A【分析】先通过切角化弦后再通分,再利用二倍角公式,同角三角函数关系及诱导公式即可求出结果.【详解】方法一:sin 404sin 40cos 40sin 402sin80sin 404sin 40tan 404sin 40=cos 40cos 40cos 40---=-=()sin80sin80sin 40sin802cos60sin 20sin80sin 204sin 40tan 40==cos 40cos 40cos 40+-++∴-=()()sin 5030sin 5030sin80sin 20504sin 40tan 40==cos 40cos 40cos 40++-+∴-==方法二:sin 404sin 40cos 40sin 402sin80sin 404sin 40tan 404sin 40=cos 40cos 40cos 40---=-=()133cos10sin10cos10sin102cos10sin 301022224sin 40tan 40===cos 40cos 40cos 40⎫-⎪--+⎝⎭∴-1sin102404sin 40tan 40==cos 40cos 40⎫-⎪⎝⎭∴-=故选:A4.如果函数f (x )=(2)1,1,1xa x x a x -+<⎧⎨≥⎩,满足对任意x 1≠x 2,都有1212()()f x f x x x -->0成立,那么实数a 的取值范围是()A.(0,2)B.(1,2)C.(1,+∞)D.3,22⎡⎫⎪⎢⎣⎭【正确答案】D【分析】根据函数f (x )是R 上的增函数,由()201211a a a a ->⎧⎪>⎨⎪-⨯+≤⎩求解.【详解】因为函数满足对任意x 1≠x 2,都有1212()()f x f x x x -->0成立,所以函数f (x )是R 上的增函数,所以()201211a a a a ->⎧⎪>⎨⎪-⨯+≤⎩,解得322a ≤<,故选:D5.已知某函数的图象如图所示,则下列解析式与此图象最为符合的是()A.()2ln x f x x= B.()2ln x f x x =C.()211f x x =- D.()2||1x f x x =-【正确答案】B【分析】根据函数的定义域和奇偶性进行判断即可.【详解】首先由函数的图象可知:函数是偶函数,定义域为(,1)(1,0)(0,1)(1,)-∞-⋃-⋃⋃+∞.A :因为()()2ln xf x f x x--==--,所以函数不是偶函数,不符合题意;B :因为01ln 0x x x ≠⎧⇒≠±⎨≠⎩且0x ≠,所以定义域符合图象;因为()()2ln xf x f x x-==-,所以函数是偶函数;C :2101x x -≠⇒≠±,所以函数的定义域不符合图象;D :2101x x -≠⇒≠±,所以函数的定义域不符合图象,最后可以确定只有B 符合题意,故选:B6.已知关于x 的方程12a x x =+有三个不同的实数解,则实数a 的取值范围是A.(),0-¥ B.()0,1 C.()1,+¥ D.()0,+¥【正确答案】C【分析】【详解】由题意,问题可转化为12y x =+与||y a x =的图象有3个交点,显然0a >,只需保证0x <时,12y x =+与||y a x =的图象有2个交点即可,即12ax x -=+在(,0)-∞有2个根,也即是2210(0)ax ax a ++=>在(,0)-∞有2根,所以02010aa a⎧⎪∆>⎪⎪-<⎨⎪⎪>⎪⎩,解得1a >7.已知函数(),0ln ,0x xe x f x x x ⎧≤=⎨>⎩,若()()g x f x ax =-有四个不同的零点,则a 的取值范围为()A.10,e ⎛⎫ ⎪⎝⎭B.1,1e ⎡⎫⎪⎢⎣⎭C.[)1,e D.[),e +∞【正确答案】A【分析】讨论0x ≤、0x >,应用导数研究单调性,要使()0g x =有四个不同的解,即当两个区间均存在两个零点时,求a 的范围即可.【详解】由题意知:()()g x f x ax =-有四个不同的零点,∴,0()ln ,0x xe ax x g x x ax x ⎧-≤=⎨->⎩,则()0g x =有四个不同的解,当0x ≤时,()()0x g x x e a =-=,其零点情况如下:1)当0a ≤或1a =时,有0x =;2)当01a <<或1a >时,0x =或ln x a =;当0x >时,1()g x ax'=-,则有如下情况:1)当0a ≤时()0g x '>,即()g x 单调递增,不可能出现两个零点,不合题意;2)当0a >时,在10x a <<上()0g x '>,()g x 单调递增,在1x a>上()0g x '<,()g x 单调递减,而0x +→有()g x →-∞,x →+∞有()g x →+∞,所以只需1()ln 10g a a =-->,得1a e<时,()g x 必有两个零点.∴综上,有10a e<<时,()g x 在0x ≤、0x >上各有两个零点,即共有四个不同的零点.故选:A.关键点点睛:应用分类讨论,利用导数研究函数的单调性,求在满足零点个数的情况下参数范围.8.已知0.02e a -=,b =0.01,c =ln1.01,则()A.c >a >bB.b >a >cC.a >b >cD.b >c >a【正确答案】C【分析】根据指数函数的性质判断,a b ,构造函数()e 1x f x x =--,由导数确定单调性得(0.01)(0)f f >,再由对数性质得,b c 大小,从而得结论..【详解】由指数函数的性质得:10.022ee0.01-->=>>,设()e 1x f x x =--,则e ()10x f x '=->在0x >时恒成立,所以()f x 在(0,)+∞上是增函数,()f x 是连续函数,因此()f x 在[0,)+∞上是增函数,所以(0.01)(0)f f >,即0.01e 10.010-->,即0.01e 1.01>,所以0.01ln1.01>,所以a b c >>.故选:C .二、多选题(每小题5分,共20分)9.若01a <<,1b c >>,则()A.1ab c ⎛⎫> ⎪⎝⎭B.c a cb a b->-C.11a a c b --< D.log log c b a a<【正确答案】AD【分析】运用不等式的性质,对四个选项逐一分析【详解】对于A ,1b c >> ,1b c ∴>,01a << ,则1ab c ⎛⎫> ⎪⎝⎭,故A 错误;对于B ,若c a cb a b->-,则bc ab cb ca ->-,即()0a c b ->,这与1b c >>矛盾,故B 错误;对于C ,01a << ,10a ∴-<,1b c >> ,则11a a c b -->,故C 错误;对于D ,1b c >> ,log log c b a a ∴<,故D 正确.故选:AD.本题主要考查不等式的性质,熟记不等式的性质即可,属于基础题.10.下列式子等于cos 6x π⎛⎫-⎪⎝⎭的是()A.5cos 6x π⎛⎫-⎪⎝⎭B.2sin 3x π⎛⎫-⎪⎝⎭C.3cos sin 2x x+ D.22cos 1122x π⎛⎫-- ⎪⎝⎭【正确答案】CD【分析】根据诱导公式,即可判断A ,B 不正确;根据三角恒等变换,即可判断C 正确;根据余弦的二倍角公式,即可判断D 正确,由此即可得到答案.【详解】5cos cos cos cos 6666x x x x πππππ⎛⎫⎛⎫⎛⎫⎛⎫-=+-=-+≠- ⎪ ⎪ ⎪ ⎪⎝⎭⎝⎭⎝⎭⎝⎭,故A 不正确;2sin sin cos cos 36266x x x x πππππ⎛⎫⎛⎫⎛⎫⎛⎫-=--=--≠- ⎪ ⎪ ⎪ ⎪⎝⎭⎝⎭⎝⎭⎝⎭,故B 不正确;sin 1cos sin cos 2226x x x x x π+⎛⎫=+=- ⎪⎝⎭,故C 正确;22cos 1cos cos 12266x x x πππ⎛⎫⎛⎫⎛⎫--=-=- ⎪ ⎪ ⎪⎝⎭⎝⎭⎝⎭,故D 正确.故选:CD.11.定义在R 上的奇函数()f x 满足(2)()f x f x +=-,且当(0,1]x ∈时,()1f x x =-,则()A.()f x 是周期函数B.()f x 在(-1,1)上单调递减C.()f x 的图象关于直线3x =对称D.()f x 的图象关于点(2,0)对称【正确答案】ACD【分析】对于A ,利用周期的定义判断,对于B ,根据题意求出()f x 在[1,0)x ∈-的解析式,然后判断,对于C ,利用函数的周期和奇函数的性质可得(3)(3)f x f x +=-,从而可求得其对称轴,对于D ,利用函数的周期和奇函数的性质可得()(4)0f x f x +-=,从而可求得其对称中心【详解】对于A ,因为定义在R 上的奇函数()f x 满足(2)()f x f x +=-,所以(22)(2)f x f x ++=-+,(0)0f =,所以(4)[()]()f x f x f x +=--=,所以()f x 是周期为4的周期函数,所以A 正确,对于B ,当[1,0)x ∈-时,(0,1]x -∈,则()1()1f x x x -=--=+,因为()f x 为奇函数,所以()()f x f x -=-,所以()1f x x -=+,所以()1f x x =--,所以当[1,0)x ∈-时,()1f x x =--为减函数,且当0x →时,()1f x →-,当(0,1]x ∈时,()1f x x =-为减函数,且当0x →时,()1f x →,所以()f x 在(-1,1)上不是单调递减,所以B 错误,对于C ,因为()f x 是周期为4的周期函数,所以(6)(2)()()f x f x f x f x +=+=-=-,所以(36)[(3)]f x f x -+=--,即(3)(3)f x f x +=-,所以()f x 的图象关于直线3x =对称,所以C 正确,对于D ,因为(4)()()f x f x f x +==--,所以(4)()0f x f x ++-=,所以(44)[(4)]0f x f x -++--=,所以()(4)0f x f x +-=,所以()f x 的图象关于点4,02⎛⎫⎪⎝⎭对称,即()f x 的图象关于点(2,0)对称,所以D 正确,故ACD12.已知函数()21e xx x f x +-=,则下列结论正确的是()A.函数()f x 存在两个不同的零点B.函数()f x 既存在极大值又存在极小值C.当e 0k -<≤时,方程()f x k =有且只有两个实根D.若[),x t ∈+∞时,()2max 5ef x =,则t 的最小值为2【正确答案】ABC【分析】首先求函数的导数,利用导数分析函数的单调性和极值以及函数的图象,最后直接判断选项.【详解】对于A ,由()0f x =,得210x x +-=,∴12x -=,故A 正确;对于B ,()()()2122e e x xx x x x f x +---'=-=-,当()(),12,x ∈-∞-+∞ 时,()0f x '<,当()1,2x ∈-时,()0f x ¢>,∴()f x 在(),1-∞-,()2,+∞上单调递减,在()1,2-上单调递增,∴()1f -是函数的极小值,()2f 是函数的极大值,故B 正确;对于C ,当x →+∞时,0y →,根据B 可知,函数的最小值是(1)e f -=-,再根据单调性可知,当e 0k -<≤时,方程()f x k =有且只有两个实根,所以C 正确;对于D :由图象可知,t 的最大值是2,所以D 不正确.故选:ABC.本题考查了导数分析函数的单调性,极值点,以及函数的图象,首先求函数的导数,令导数为0,判断零点两侧的正负,得到函数的单调性,本题易错的地方是(2,)+∞是函数的单调递减区间,但当x →+∞时,0y →,所以图象是无限接近轴,如果这里判断错了,那选项容易判断错了.三、填空题(每小题5分,共20分)13.已知集合{|13}A x x =<<,{|21}B x m x m =<<-,若A B =∅ ,则实数m 的取值范围是________.【正确答案】[)0,∞+【分析】根据A B ⋂=∅可讨论B 是否为空集:B =∅时,21m m -;B ≠∅时,212311m mm m <-⎧⎨-⎩或 ,解出m 的范围即可.【详解】解:A B =∅ ;∴①B =∅时,21m m - ;∴13m ;②B ≠∅时,132311m m m ⎧<⎪⎨⎪-⎩或 ;解得103m <;综上得,实数m 的取值范围是[)0,∞+.故[)0,∞+.考查描述法、区间表示集合的定义,交集的定义及运算,空集的定义,属于基础题.14.已知π02α-<<,1sin cos 5αα+=,则221cos sin αα-的值为________.【正确答案】257【分析】将1sin cos 5αα+=的两边同时平方可得242sin cos 25αα=-,结合角α的范围即可求得7cos sin 5αα-=,即可计算出22125cos sin 7αα=-.【详解】由题意1sin cos 5αα+=,两边同时平方可得112sin cos 25αα+=,即242sin cos 25αα=-,所以()249cos sin 12sin cos 25αααα-=-=,又因为π02α-<<,所以sin 0α<,cos 0α>,所以7cos sin 5αα-=,可得()()221125cos sin cos sin cos sin 7αααααα==-+-.故25715.已知函数()12y f x =+-为奇函数,()211x g x x -=-,且()f x 与()g x 图象的交点为()11,x y ,()22,x y ,…,()66,x y ,则126126x xx y y y ++⋅⋅⋅++++⋅⋅⋅+=______.【正确答案】18【分析】由题意得函数f (x )与g (x )的图像都关于点()1,2对称,结合函数的对称性进行求解即可.【详解】 函数()12y f x =+-为奇函数,∴函数()y f x =关于点()1,2对称,()211211x g x x x -==+-- ,∴函数()y g x =关于点()1,2对称,所以两个函数图象的交点也关于点(1,2)对称, ()f x 与()g x 图像的交点为()11,x y ,()22,x y ,…,()66,x y ,两两关于点()1,2对称,126126x x x y y y ∴++⋅⋅⋅++++⋅⋅⋅+323418=⨯+⨯=.故答案为18本题考查了函数对称性的应用,结合函数奇偶性以及分式函数的性质求出函数的对称性是解决本题的关键,属于中档题.16.函数2ln y x x =-上的点到直线2y x =-的最短距离是________.【分析】由题意知:平行于2y x =-且与2ln y x x =-相切的直线上的切点,即为要找的点,进而应用点线距离公式求最短距离即可.【详解】要使2()ln f x x x =-上的点到直线2y x =-的最短,则该点切线平行于2y x =-,由1()2f x x x =-'且0x >,令1()21f x x x '=-=,∴2210x x --=,解得12x =-(舍)或1x =,∴切点为(1,1)=.四、解答题(共6小题,共70分)17.已知x >0,y >0,且2x +8y -xy =0,求:(1)xy 的最小值;(2)x +y 的最小值..【正确答案】(1)64(2)18【分析】(1)利用基本不等式构建不等式即可得结果;(2)将28x y xy +=变形为分式型281y x+=,利用“1”的代换和基本不等式可得结果.【小问1详解】∵0x >,0y >,280x y xy +-=,∴28xy x y =+≥=,当且仅当28x y =时取等号,8≥∴64xy ≥,当且仅当416x y ==时取等号,故xy 的最小值为64.【小问2详解】∵28x y xy +=,则281y x+=,又∵0x >,0y >,∴2828()(101018x y x y x y y x y x +=++=++≥+=,当且仅当212x y ==时取等号,故x y +的最小值为18.18.已知函数()()π4sin sin 103f x x x ωωω⎛⎫=+-> ⎪⎝⎭的最小正周期为π.(1)求ω及()f x 的单调递增区间;(2)求()f x 图象的对称中心.【正确答案】(1)ω=1,增区间为()πππ,π63k k k ⎡⎤-++∈⎢⎥⎣⎦Z (2)ππ,0122k ⎛⎫+ ⎪⎝⎭,k ∈Z .【分析】(1)利用三角恒等变换得到π()2sin(2)6f x x ω=-,利用函数的最小正周期为π得到ω,然后再利用正弦函数的基准增区间即可求解;(2)令π2π6x k -=,k ∈Z ,解之即可求解.【小问1详解】()214sin sin cos 12sin cos 122f x x x x x x x ωωωωωω⎛⎫=+-=+- ⎪ ⎪⎝⎭π1cos 2212cos 22sin 26x x x x x ωωωωω⎛⎫=-+-=-=- ⎪⎝⎭.∵最小正周期为π,∴2ππ2ω=,∴1ω=,∴()π2sin 26f x x ⎛⎫=-⎪⎝⎭,令πππ2π22π262k x k -+≤-≤+,k ∈Z ,解得ππππ63k x k -+≤≤+,k ∈Z ,∴()f x 的单调递增区间为()πππ,π63k k k ⎡⎤-++∈⎢⎥⎣⎦Z .【小问2详解】令π2π6x k -=,k ∈Z ,解得ππ122k x =+,k ∈Z ,∴()f x 图象的对称中心为ππ,0122k ⎛⎫+ ⎪⎝⎭,k ∈Z .19.已知定义域为R 函数()()1x x f x a k a -=--⋅(0a >且1a ≠)是奇函数.(1)求实数k 的值;(2)若()10f <,判断函数()f x 的单调性,若()()220f m f m -+>,求实数m 的取值范围.【正确答案】(1)2(2)在R 上单调递减,()2,1-【分析】(1)根据题意,利用()00f =,求得2k =,结合函数奇偶性的定义,即可求解;(2)由()10f <,求得01a <<,得到()x x f x a a -=-在R 上单调递减,把不等式转化为()()22f m f m ->-,结合单调性,列出不等式,即可求解.【小问1详解】解:由函数()()1x x f x a k a -=--⋅的定义域为R 的奇函数,可得()()()0001110f a k a k =--=--=,解得2k =,经验证:当2k =时,()x x f x a a -=-,可得()()()x x x x f x a a a a f x ---=-=--=-,则()f x 为奇函数,符合题意,所以2k =.【小问2详解】解:由(1)知,()x x f x a a -=-(0a >且1a ≠),因为()10f <,即10a a-<,又因为0a >,且1a ≠,所以01a <<,而x y a =在R 上单调递减,x y a -=-在R 上单调递减,故由单调性的性质可判断()x x f x a a -=-在R 上单调递减,不等式()()220f m f m -+>可化为()()22f m f m ->-,可得22m m -<-,即220m m +-<,解得21m -<<,所以实数m 的取值范围是()2,1-.20.已知22sin 2sin 12αα=-.(1)求sin cos cos 2ααα+的值;(2)已知()0,απ∈,0,2πβ⎛⎫∈ ⎪⎝⎭,且2tan 6tan 1ββ-=,求2αβ+的值.【正确答案】(1)15;(2)74π.【分析】(1)先求出1tan 2α=-,再化简22tan 1tan sin cos cos 2tan 1αααααα+-+=+即得解;(2)先求出1tan 23β=-,再求出tan(2)1αβ+=-,求出52,23παβπ⎛⎫+∈ ⎪⎝⎭,即得解.【详解】(1)由已知得2sin cos αα=-,所以1tan 2α=-222222sin cos cos sin tan 1tan 1sin cos cos 2sin cos tan 15αααααααααααα+-+-+===++(2)由2tan 6tan 1ββ-=,可得22tan 1tan 21tan 3βββ==--,则11tan tan 223tan(2)1111tan tan 2123αβαβαβ--++===---⨯.因为0,2πβ⎛⎫∈ ⎪⎝⎭,所以()20,βπ∈,又1tan 233β=->-,则52,6πβπ⎛⎫∈ ⎪⎝⎭,因为()0,απ∈,13tan 23α=->-,则5,6παπ⎛⎫∈ ⎪⎝⎭,则52,23παβπ⎛⎫+∈ ⎪⎝⎭,所以724παβ+=.易错点睛:本题容易得出两个答案,724παβ+=或34π.之所以得出两个答案,是没有分析缩小,αβ的范围,从而得到52,23παβπ⎛⎫+∈⎪⎝⎭.对于求角的大小的问题,一般先求出角的某三角函数值,再求出角的范围,再得到角的大小.21.设()()3211cos sin 32g x x ax x a x x =-+--,R a ∈,讨论()g x 的单调性并判断有无极值,有极值时求出极值.【正确答案】答案见解析【分析】求出()g x ',因式分解得()()()sin g x x a x x '=--,先说明()sin h x x x =-的单调性,再分类讨论0a >,0a =及a<0时,()g x 的增减性和极值情况即可.【详解】因为()()3211cos sin 32g x x ax x a x x =-+--,所以()()()()()()2cos sin cos sin sin g x x ax x x a x x x x a x a x x a x x '=-+---=---=--,令()sin h x x x =-,则()1cos 0h x x '=-≥,所以()h x 在R 上单调递增,因为()00h =,所以,当0x >时,()0h x >;当0x <时,()0h x <.(1)当a<0时,()()()sin g x x a x x '=--,当(),x a ∈-∞时,0x a -<,()0g x '>,()g x 单调递增;当(),0x a ∈时,0x a ->,()0g x '<,()g x 单调递减;当()0,x ∈+∞时,0x a ->,()0g x '>,()g x 单调递增.所以,当x a =时,()g x 取到极大值,极大值是()31sin 6g a a a =--,当0x =时,()g x 取到极小值,极小值是()0g a =-.(2)当0a =时,()()sin g x x x x '=-,当(),x ∈-∞+∞时,()0g x '≥,()g x 单调递增;所以()g x 在(),-∞+∞上单调递增,()g x 无极大值也无极小值.(3)当0a >时,()()()sin g x x a x x '=--,当(),0x ∈-∞时,0x a -<,()0g x '>,()g x 单调递增;当()0,x a ∈时,0x a -<,()0g x '<,()g x 单调递减.当(),x a ∈+∞时,0x a ->,()0g x '>,()g x 单调递增.所以,当0x =时,()g x 取到极大值,极大值是()0g a =-;当x a =时,()g x 取到极小值,极小值是()31sin 6g a a a =--.综上,当a<0时,()g x 在(),a -∞和()0,∞+上单调递增,在(),0a 上单调递减,极大值是()31sin 6g a a a =--,极小值是()0g a =-;当0a =时,()g x 在(),-∞+∞上单调递增,无极值;当0a >时,()g x 在(),0∞-和(),a +∞上单调递增,在()0,a 上单调递减,极大值是()0g a =-,极小值是()31sin 6g a a a =--.22.已知函数()ln 3()f x a x ax a R =--∈.(1)求函数()f x 的单调区间;(2)若函数()y f x =的图象在点()2,(2)f 处的切线的倾斜角为45°,对于任意的[]1,2t ∈,函数32()()2m g x x x f x '⎡⎤=+⋅+⎢⎥⎣⎦在区间(),3t 上总不是单调函数,求m 的取值范围.【正确答案】(1)见解析(2)37 ,93⎛⎫-- ⎪⎝⎭【详解】【试题分析】(1)求出函数的定义域,对函数求导后,对a 分类讨论函数的单调区间.(2)倾斜角为45 ,斜率为1,根据斜率为1可求得a 的值.化简()g x 的表达式,求出()g x 的导数,将函数在区间上不是单调函数的问题,转化为函数导数在区间上有变号零点问题来求解.【试题解析】(1)函数f (x )的定义域为(0,+∞),且f ′(x )=.当a >0时,f (x )的增区间为(0,1),减区间为(1,+∞);当a <0时,f (x )的增区间为(1,+∞),减区间为(0,1);当a =0时,f (x )不是单调函数.(2)由(1)及题意得f ′(2)=-=1,即a =-2,∴f (x )=-2ln x +2x -3,f ′(x )=.∴g (x )=x 3+x 2-2x ,∴g ′(x )=3x 2+(m +4)x -2.∵g (x )在区间(t,3)上总不是单调函数,即g ′(x )=0在区间(t,3)上有变号零点.由于g ′(0)=-2,∴当g ′(t )<0,即3t 2+(m +4)t -2<0对任意t ∈[1,2]恒成立,由于g ′(0)<0,故只要g ′(1)<0且g ′(2)<0,即m <-5且m <-9,即m <-9;由g ′(3)>0,即m >-373.所以-373<m <-9.即实数m的取值范围是37,93⎛⎫--⎪⎝⎭.本小题主要考查函数导数与单调区间,考查不是单调函数的转化方法,考查了分类讨论的思想方法,和化归与转化的数学思想方法.求函数的单调区间、极值、最值是统一的,极值是函数的拐点,也是单调区间的划分点,而求函数的最值是在求极值的基础上,通过判断函数的大致图像,从而得到最值,。
参考答案1.18【解析】sin10sin50sin70︒︒︒=000001sin80sin10cos10cos20cos4018sin10cos20cos40cos10cos108===2.8【解析】由f(x)=x 2−1,得f ′(x)=2x ,则x n+1=x n −x n2−12x n =x n2+12x n,所以x n+1−1==(x n −1)22x n,x n+1+1==(x n +1)22x n,所以x n+1−1x n+1+1=(x n −1)2(x n+1)2,所以ln xn+1−1x n+1+1=ln (x n −1)2(x n+1)2=2ln x n −1x n+1,即,所以数列是首项为2,公比为2的等比数列,则.3.{}1,0-【解析】当()0,12x ∈时, ()1212x f x x -⎡⎤⎡⎤=⎢⎥⎢⎥⎣⎦⎣⎦=1200x -⎡⎤⨯=⎢⎥⎣⎦当[)12,20x ∈时, ()1212x f x x -⎡⎤⎡⎤=⎢⎥⎢⎥⎣⎦⎣⎦=()111⨯-=- 所以值域为{}1,0-4.1322i -± 【解析】由题意可设(),,,0,x yi x y R y x yi αβ=+∈≠=- ,由2R αβ∈得()()232322303x yi x yi R x y y y x x yix y++=∈⇒-=⇒=±-+所以αβ= ()()2222234x xi x yi x yi x yi x y x ±++===-+ 1322i -± 5.【解析】 【分析】 由正弦定理得,,由此能sinβ,cosβ,tanα=sin∠BAC=sin(α+β)得cosα,sinα,从而得到cos∠BAC,由此利用余弦定理能求出BC.【详解】∵在△ABC中,AB=2,AC=4,是的中点,记∠CAD=α,∠BAD=β,∴,,∴sin,sin=CD sin∠ADC,∵BD=CD,sin∠ADB=sin∠ADC,∴sinα:sinβ=:CD sin∠ADC2:1.即得sinβ,cosβ,∴tanα=sin(α+β)=sinαcosβ+cosαsinβ=sinα,∴,∴cos2α+cosα2,解得cosα,或cosα(舍),sinα,∴sin∠BAC,cos∠BAC,∴BC.故答案为.【点睛】本题考查三角形边长的求法,解题时要认真审题运算,注意正弦定理和余弦定理的合理运用,是中档题. 6. 【解析】 【分析】如图建立空间坐标系,利用长度关系明确P 点坐标,借助向量夹角公式得到结果. 【详解】,设∵∴,故答案为:【点睛】本题以棱锥为背景,考查角的大小的度量,考查空间坐标法,考查空间想象能力与计算能力,属于中档题. 7.223x y +=【解析】设点P 为()11,x y ,则1l 方程为()11y y k x x -=- ,与2212x y +=联立方程组得()()()2221111124220k x k y kx x y kx +--+--= ,所以()222111102210k x kx y y ∆=⇒--+-= ,由题意得()22211112210k x kx y y --+-=的两根乘积为-1,所以222111211132y x y x -=-⇒+=-,当1l 的斜率不存在时也满足,因此点P 轨迹方程为223x y += 8.()2,4【解析】设直线方程x ty m =+ ,与抛物线方程联立得()22440160y ty m t m --=∴∆=+>中点()2222,2,13230MC l M t m t k k m t t +=-∴=-∴->当0t = 时,显然有两条直线满足题意,因此0t ≠时,还有两条直线满足题意,即()2,4r ==点睛:解析几何范围问题,一般解决方法为设参数,运用推理,将该问题涉及的几何式转化为代数式或三角问题,然后直接推理、计算,并在计算推理的过程中列不等关系,从而得到取值范围. 9.165【解析】由题意得22112t at b a b t t ⎛⎫⎛⎫+++++=- ⎪ ⎪⎝⎭⎝⎭即][()22211120,2,,22,4t a t b b u au u t u t t t ⎛⎫⎛⎫++++=∴-=+=+∈-∞-⋃+∞⇒≥ ⎪ ⎪⎝⎭⎝⎭因此224a b +()()()()246422342222414112121141u u u u u a au u u u u u+-=+++≥==++-+++ 116142145≥++-=+ 点睛:在利用基本不等式求最值时,要特别注意“拆、拼、凑”等技巧,使其满足基本不等式中“正”(即条件要求中字母为正数)、“定”(不等式的另一边必须为定值)、“等”(等号取得的条件)的条件才能应用,否则会出现错误.10.32,e e --()【解析】令()()()()23,xxf x f xg xh x ee==,则()()()()()()23230,0xxf x f x f x f xg xh x e e --=>=''<'()()()()220162201732016320172016201720162017,f f f f e e e e ⨯⨯⨯⨯∴()()()()2320162016,,20172017f f e e f f --∴即()()20162017f f 的范围是32,e e --()点睛:利用导数解抽象函数不等式,实质是利用导数研究对应函数单调性,而对应函数需要构造. 构造辅助函数常根据导数法则进行:如()()f x f x '<构造()()xf xg x e=,()()0f x f x '+<构造()()xg x e f x =, ()()xf x f x '<构造()()f x g x x=,()()0xf x f x +<'构造()()g x xf x =等11.【解析】试题分析:()1由柯西不等式得()2333b c a ab bc ac a b c ⎛⎫++++≥ ⎪⎝⎭⎭,再次代入得a b c ==时,取等号()2由(1)知, a b c ==时, 0∆=,此时()f x 仅有一个零点;当a b c 、、不全相等时, 0∆<,此时()f x 零点个数为0 解析:(1)由柯西不等式得()2333b c a ab bc ac a b c ⎛⎫++++≥ ⎪⎝⎭⎭()()22223332222a b c b c ac b a a b c ab bc ac++=++⇒++≥++,当且仅当222222b c a a b c==,即a b c ==时,取等号.12.(1)2, 1;(2)()813y x =--. 【解析】试题分析:(1)在1C , 2C 的方程中,令0y =,可得1b =,且()1,0A -, ()1,0B是上半椭圆1C 的左、右顶点,设1C 半焦距为c ,由c a =及2221a c b -==,联立解得a ;(2)由(1)知,上半椭圆1C 的方程为()22104y x y +=≥,由题意知,直线l 与x 轴不重合也不垂直,设其方程为()1y k x =-(0k ≠),代入1C 的方程,整理得:()2224240kx kx k +-+-=,设点P 的坐标为(),P P x y ,由根公式,得点P 的坐标为22248,44k k k k ⎛⎫-- ⎪++⎝⎭, 同理,得点Q 的坐标为()21,2k k k ----.由 10AP AQ ⋅=,即可得出k 的值,从而求得直线方程.试题解析(1)在1C , 2C 的方程中,令0y =,可得1b =,且()1,0A -, ()1,0B 是上半椭圆1C 的左、右顶点,设1C 半焦距为c ,由c a =及2221a c b -==可得设1C 半焦距为c ,由c a =2221a c b -==可得2a =,∴2a =, 1b =. (2)由(1)知,上半椭圆1C 的方程为()22104y x y +=≥, 易知,直线l 与x 轴不重合也不垂直,设其方程为()1y k x =-(0k ≠), 代入1C 的方程,整理得: ()2224240k x kx k +-+-=(*)设点P 的坐标为(),P P x y ,∵直线l 过点B ,∴点P 的坐标为22248,44k k k k ⎛⎫-- ⎪++⎝⎭, 同理,由()()()210,{10,y k x k y x y =-≠=-+≤得点Q 的坐标为()21,2k k k ----.依题意可知AP AQ ⊥,∴()22,44kAP k k =-+, ()1,2AQ k k =-+. ∵AP AQ ⊥,∴0AP AQ ⋅=,即()2224204k k k k -⎡⎤-+=⎣⎦+, ∵0k ≠,∴()420k k -+=,解得83k =-, 经检验, 83k =-符合题意,故直线l 的方程为()813y x =--. 13.见解析【解析】试题分析:根据平角得R A S 、、三点共线,根据同弦所对角相等得 F R S E 、、、四点共圆.根据四点共圆性质得MRB FRA ∠=∠,即得MB FA =,同理可得NB AE =,根据等量性质得MN AE AF =+.试题解析:解:延长1BO 、2BO 分别与圆1O 、圆2O 相交于点R S 、,连结RM RF RB SA SE SN AB 、、、、、、.则90BAR BAS ∠=∠=︒,所以R A S 、、三点共线.又90RFS SER ∠=∠=︒,于是F R S E 、、、四点共圆.故MRF MBF EFB ERS ∠=∠=∠=∠,从而MRB FRA ∠=∠,因此MB FA =,同理NB AE =.所以MN AE AF =+.14.见解析【解析】试题分析: 放缩证明:先证12n a n ≤+,再证()111xn x x ++>.前面用数学归纳法证明,后面用导数求证,再令11x n =+,则有()()112112n n n n n +-++<.由裂项相消法求和可得结论试题解析:下面用数学归纳法证明:当2n ≥, n N ∈时, 12n a n ≤+, ①当2n =时, 222111111124422a a a a ⎛⎫=-=--+≤= ⎪+⎝⎭,上述结论成立;②设n k = 2k ≥()时, 12k a k ≤+成立,则当1n k =+时 21k k k a a a +=-+=2211112422k a k ⎛⎫⎛⎫--+≤-- ⎪ ⎪+⎝⎭⎝⎭211444k k k ++=++< 2114312k k k k +=++++,() 所以当1n k =+时,结论也成立.综合①②得,对任意的2n ≥, n N ∈都有12n a n ≤+. 当1n =时, 11121113S a n+==+<; 当2n ≥时, 2112nn i S i =++∑<. 下面证明: 21211123ni n n i =++++∑<,即证明212123ni n n i =++∑< 2n ≥(). 设函数()()111xf x n x x =+-+ 0x (>),则 ()()()22110111x f x x x x =-=+++'>, 所以()f x 在0+∞(,)上是增函数,所以()()00f x f =>恒成立,即()111xn x x ++>. 令11x n =+,则有()()112112n n n n n +-++<. 故()()22121211123nn i i n n n n n n i ==+⎡⎤+-+=⎣⎦+∑∑< 所以2121123ni n n i =+++∑<.综上可得2113nn S n +≤+.。
太和中学2022-2023学年度高二下学期数学竞赛试卷满分:150分 考试时间:120分钟一、选择题:本题共8小题,每小题5分,共40分在每小题给出的四个选项中,只有一项是符合题目要求的.1. 下列导数运算正确的是( )A. B.2111x x x '⎛⎫+=+ ⎪⎝⎭()122x x x -'=⋅C. D. ()cos sin x x '=()22ln xx'=【答案】D 【解析】【分析】根据基本初等函数的求导公式和导数的四则运算法则逐项计算即可判断 【详解】;;;. 2111x x x'⎛⎫+=- ⎪⎝⎭()22ln 2x x '=()cos sin x x '=-()2222ln x x x x '==故选:D.2. 已知数列满足,且,则( ){}n a 214a =1212n n na a a +-=2023a =A.B.C.D.141-3223【答案】B 【解析】 【分析】计算,,,,,确定为周期是的数列,计算得到123a =214a =31a =-432a =523a ={}n a 4答案.【详解】,故,,,, 1212n n n a a a +-=12121124a a a -==123a =2322112a a a -==-34321322a a a -==,,故为周期是的数列,. 45421223a a a -==L {}n a 4202331a a ==-故选:B3. 函数在上的图象大致为( )()sin f x x x =-[0,2π]x ∈A. B. C.D.【答案】D【解析】【分析】根据导数与函数的单调性的关系及导数的几何意义结合图象即得.【详解】因为,所以在为增函数,()1cos0f x x'=-≥()f x[]0,2π令,且,()()g x f x'=()sing x x='当时,,为增函数,图象上切线的斜率逐渐增大;[]0,πx∈()0g x'≥()g x()f x当时,,为减函数,图象上切线的斜率逐渐减小.[]π,2πx∈()0g x'≤()g x()f x故选:D.4. 在2022年北京冬奥会开幕式上,二十四节气倒计时惊艳亮相,与节气相配的14句古诗词,将中国人独有的浪漫传达给了全世界.我国古代天文学和数学著作《周髀算经》中记载:一年有二十四个节气,每个节气的晷长损益相同(晷是按照日影测定时刻的仪器,晷长即为所测量影子的长度),二十四节气及晷长变化如图所示,相邻两个节气晷长减少或增加的量相同,周而复始.已知雨水的晷长为9.5尺,立冬的晷长为10.5尺,则冬至所对的晷长为()A. 11.5尺B. 13.5尺C. 12.5尺D. 14.5尺【答案】B 【解析】【分析】设相邻两个节气晷长减少或增加的量为,则立冬到冬至增加,冬至到雨水减少4,()0d d >3d d 冬至的晷长为,根据题意,结合等差数列的性质,列出方程组求解即得.x 【详解】解:设相邻两个节气晷长减少或增加的量为,则立冬到冬至增加,冬至到雨水减少4()0d d >3d ,冬至的晷长为,则,解得,d x 49.510.53x d d x -=⎧⎨+=⎩113.5d x =⎧⎨=⎩故选:B.5. 在等差数列中,若,,则和的等比中项为( ){}n a 38137a a a ++=2111414a a a ++=8a 9a A.B.C. D.±【答案】A 【解析】 【分析】根据等差数列的性质计算出,再根据等比中项的定义即可求出答案 89,a a 【详解】由题意得:,所以,,所以.3813837a a a a ++==873a =211149314a a a a ++==9143a =,所以和的等比中项为 89989a a ⋅=8a 9a 故选A.【点睛】本题主要考查了等差数列的性质(若则),以及等比中项,属于m n p q +=+m n p q a a a a +=+基础题。
全国高二高中数学竞赛测试班级:___________ 姓名:___________ 分数:___________一、选择题1.已知函数则函数的反函数是A.y=B.y=C.y="2X+5"D.y=2X+22.设0,则a和b的大小关系是A.a B.C.a D.不确定的。
3.已知X y且bx. ,lnx成等比列,则xy的A.最大值是B.最大值是C.最小值是D.最小值是4.如图1、一个正方体的容器ABCD-中盛满了油后,在相邻两侧面的中心处出现了两个小孔,若恰当地将容器放置。
可使流出的油量达到最小,这个最小值是正方体容器容量的。
A.B.C.D.5.函数y=的最小值是A.B.C.D.6.Ahyperbola(双曲线)wjthvertices(顶点)(-2,5)and(-2,-3),has an asynptote(渐近线)thatpasses the point(2.5) Then an equarionk of the hyperbola isA.B.C.D.7.等差数列中有两项和,满足、,则该数列前mk项之和是A.B.C.D.8.当x.yi满足条件时,变量U=的取值范围是A.B.C.D.9.设为椭圆上一点,且,,其中为椭圆的两个焦点,则椭圆的离心率e的值等于A.B.C.D.10.Suppose the least distance fron poinrs of the xurve(曲线)to the y-axis is then the velue of a isA.B.C.or D.or11.已知函数则函数的反函数是A.y=B.y=C.y="2X+5"D.y=2X+212.设0,则a和b的大小关系是A.a B.C.a D.不确定的。
13.已知X y且bx. ,lnx成等比列,则xy的A.最大值是B.最大值是C.最小值是D.最小值是14.如图1、一个正方体的容器ABCD-中盛满了油后,在相邻两侧面的中心处出现了两个小孔,若恰当地将容器放置。
高二数学竞赛试卷考生注意:⒈用钢笔、签字笔或圆珠笔作答; ⒉不准使用计算器;⒊考试用时120分钟,全卷满分150分。
一、选择题:本大题共4小题,每小题6分,共24分.在每小题给出的四个选项中,只有一项是符合题目要求的.请将正确选项前的字母代号填在该小题后的括号内.(1)12,F F 是椭圆22:184x y C +=的焦点,在C 上满足12PF PF ⊥的点P 的个数为( ) (A ) 1个 (B ) 2个 (C ) 3个 (D) 4个(2)已知实数集合A 满足条件:若a A ∈,则11aA a+∈-,则集合A 中所有元素的乘积的值 为( )(A ) 1 (B ) 1- (C ) 1± (D) 与a 的取值有关(3)若ABC ∆的三边长a 、b 、c 满足2220a a b c ---=且0322=+-+c b a ,则它 的最大内角的度数是( )(A )150 (B )135 (C )120 (D)90(4)已知定点()7,8A 和抛物线24y x =,动点B 和P 分别在y 轴上和抛物线上,若0O B P B ⋅=(其中O 为坐标原点),则PB PA +的最小值为( )(A ) 9 (B ) 10 (C ) (D)、填空题:本大题共6小题,每小题6分,共36分.把答案填在题中横线上.(5)高二数学竞赛获一等奖的人数在30到55人之间,颁奖 典礼上给获一等奖的学生照相.按3列排,多出2人;按5列排,多出4人;按7列排,多出2人,则获一等 奖的人数有 人.(6)若函数()f x 的图像经过点()()1,1,1,0,2,12⎛⎫- ⎪⎝⎭,试写出两个..满足上述条件的函数的解析式 、 .(7)已知点()b a P ,在直线01443=--y x 上,则()()2211-+-b a 的最小值为 .(8)正三棱锥ABC P -中,30=∠=∠=∠APC BPC APB ,2===CP BP AP ,过点A 作平面分别交PB 、PC 于E 、F ,则AEF ∆的周长的最小值为 .(9)现代社会对破译密码的要求越来越高,有一种密码把英文的明文(真实文)按字母分 解,其中英文的a 、b 、c 、…、z 的26个字母(不论大小写)依次对应1、2、3、…、给出如下一个变换公式:()()221126213 1262x x x x x x x x x +⎧∈≤≤⎪⎪'=⎨⎪+∈≤≤⎪⎩N N 不能被整除能被整除 , , , ,将明文转换成密文,如1613266=+→即f 变为p ;52199=+→即i 变为e . 按上述规定,明文good 的密文是 ,密文gawqj 的明文是 .(10)对一切实数x ,所有的二次函数()()b a c bx ax x f <++= 2的值均为非负实数,则cb a ab ++-的最大值是 .三、解答题:本大题共5小题,共90分.要求写出解答过程.已知函数()a x x x x f ++=2cos cos sin 3(a 为常数). (Ⅰ)求函数()x f 的最小正周期,并指出其单调减区间;(Ⅱ)若函数()x f 在⎥⎦⎤⎢⎣⎡20π, 上恰有两个x 的值满足()2=x f ,试求实数a 的取值范围.如图,点P 是矩形ABCD 所在平面外一点且⊥PA 平面ABCD ,1==AB PA ,2=BC .(Ⅰ)求证:平面⊥PDC 平面PAD ;(Ⅱ)若E 是PD 的中点,求异面直线AE 与PC 所成角的余弦值;(Ⅲ)在BC 边上是否存在一点Q ,使得D 点到平面PAQ 的距离为1.若存在,求出BQ 的值;若不存在,请说明理由.如图,将一块直角三角形板ABO 放置于平面直角坐标系中,已知2==BO AB ,OB AB ⊥.点⎪⎭⎫ ⎝⎛211, P 是三角板内一点,现因三角板中阴影部分(即△POB )受到损坏,要把损坏部分锯掉,可用经过点P 的任一直线MN 将三角板锯成AMN ∆,设直线MN 的斜率为k .(Ⅰ)试用k 表示AMN ∆的面积S ,并指出k 的取值范围; (Ⅱ)试求S 的最大值.已知数列{}n a 的各项均为正数,且11=a ,当2≥n 时,都有121n n a a n -=+-,记1211n T a a =++ (1)na +. (Ⅰ)试求数列{}n a 的通项公式; (Ⅱ)证明:2<n T ; (Ⅲ)令111n n b a +=-,12n B b b =……n b ,试比较13n n -与n B 的大小.设定义在R 上的函数()e dx cx bx ax x f ++++=234,当1-=x 时,()x f 取得极大值32,并且函数()1-=x f y 的图象关于点()01, 对称. (Ⅰ)求()x f 的表达式;(Ⅱ)试在函数()x f 的图像上求两点,使以这两点为切点的切线互相垂直,且切点的横坐标都在区间⎡⎣上;(Ⅲ)若212t t x -=,)133t ty -= ()t +∈R ,求证:()()43f x f y -<.\参考答案及评分标准一、选择题:本大题共4小题,每小题6分,共24分.(1)B (2)A (3)C (4)A 二、填空题:本大题共6小题,每小题6分,共36分.(5)44 (6)本小题答案不唯一,只要满足题设条件即为正确答案。
高二数学竞赛试题及答案一、选择题(每题5分,共20分)1. 设函数f(x) = x^2 - 4x + 3,下列说法正确的是()A. 函数f(x)的最小值是-1B. 函数f(x)的图像与x轴有两个交点C. 函数f(x)的对称轴是x=2D. 函数f(x)在区间(-∞, 2)上单调递减答案:C2. 已知等差数列{a_n}的前n项和为S_n,且a_1 = 1,a_2 = 4,下列说法正确的是()A. 公差d = 3B. S_3 = 15C. 第三项a_3 = 7D. 所有项的和S_n = n^2答案:A3. 已知圆的方程为(x-2)^2 + (y-3)^2 = 9,点P(1, 2)到圆心的距离是()A. 1B. 2C. 3D. 4答案:C4. 已知函数g(x) = 2^x - 1,x ∈ [0, 1],下列说法正确的是()A. 函数g(x)在区间[0, 1]上单调递增B. 函数g(x)在区间[0, 1]上单调递减C. 函数g(x)在区间[0, 1]上先增后减D. 函数g(x)在区间[0, 1]上先减后增答案:A二、填空题(每题5分,共20分)1. 已知函数f(x) = x^3 - 3x^2 + 2,求f'(x) = _______。
答案:3x^2 - 6x2. 已知等比数列{b_n}的前n项和为T_n,且b_1 = 2,公比q = 3,求T_3 = _______。
答案:343. 已知直线方程为y = 2x + 3,求与该直线垂直的直线方程为_______。
答案:y = -1/2x + b(其中b为任意常数)4. 已知复数z = 1 + i,求z^2 = _______。
答案:2i三、解答题(每题15分,共30分)1. 已知函数f(x) = x^3 - 6x^2 + 11x - 6,求函数的单调区间。
答案:函数f(x)的单调递增区间为(-∞, 1)和(3, +∞),单调递减区间为(1, 3)。
2. 已知圆心在(0, 0),半径为r的圆与直线y = x + 1相切,求圆的半径r。
高二数学竞赛模拟试题考生注意:⒈用钢笔、签字笔或圆珠笔作答,答案写在答卷上; ⒉不准使用计算器;⒊考试用时120分钟,全卷满分150分.一、选择题:本大题共8小题,每小题6分,满分48分.在每小题给出的四个选项中,只有一项是符合题目要求的.1、定义集合M,N 的一种运算*,:1212*{|,,}M N x x x x x Mx N ==∈∈,若{1,2,3}M =,N={0,1,2},则M*N 中的所有元素的和为( )(A).9 ( B).6 (C).18 (D).162.函数254()2x x f x x-+=-在(,2)-∞上的最小值是 ( )(A).0 (B).1 (C).2 (D).3 3、若函数)sin(2θ+=x y 的图象按向量)2,6(π平移后,它的一条对称轴是4π=x ,则θ的一个可能的值是( ) (A)125π (B)3π (C)6π (D)12π4.设函数()f x 对0x ≠的一切实数均有()200823f x f x x ⎛⎫⎪⎝⎭+=,则()2f 等于( ) ﹙A ﹚2006. ﹙B ﹚2008. ﹙C ﹚2010. ﹙D ﹚2012.5.已知,αβ分别满足100411004,10g βααβ=⋅=⋅,则αβ⋅等于( )﹙A﹚ ﹙B ﹚1004. ﹙C﹚ ﹙D ﹚2008.6.直线20ax y a -+=与圆229x y +=的位置关系是( )(A )相离 (B )相交 (C )相切 (D )不确定7.已知等差数列{a n }的前n 项和为S n ,若1O a B =200OA a OC +,且A 、B 、C 三点共线(该直线不过原点O ),则S 200=( )(A).100 (B). 101 (C).200 (D).2018.()f x 是定义在R 上的奇函数,且(2)f x -是偶函数,则下列命题中错误的是( )(A).()f x 的图像关于x =2对称 (B).()f x 的图像关于点(4,0)-对称 (C).()f x 的周期为4 (D).()f x 的周期为8 二、填空题:本大题共7小题,每小题6分,满分42分. 9.已知集合{}R x x x M ∈≤-=,2|1||,5|1,2Px x Z x ⎧⎫=≥∈⎨⎬+⎩⎭,则P M 等于 10.在区间[]1,1-上随机任取两个数y x ,,则满足4122<+y x 的概率等于11.已知函数()()()()()2110,11xa x x f x a a a x -+<⎧⎪=>≠⎨≥⎪⎩且是R 上的增函数,那么a 的取值范围是 .12.已知定点()2,0A ,点(),P x y 的坐标满足430,35250,0.x y x y x a -+≤⎧⎪+-≤⎨⎪-≥⎩||OA (O 为坐标原点)的最小值是2时,实数a 的值是13.设()f x ax b =+,其中,a b 为实数,1()()f x f x =,1()(())n n f x f f x +=,1,2,3,n =,若7()128381f x x =+,则a b += .14.已知函数()2xf x =,等差数列{}n a 的公差为2.若246810()4f a a a a a ++++=,则212310log [()()()()]f a f a f a f a ⋅⋅⋅=15、如图,在直三棱柱ABC -A 1B 1C 1中,底面为直角三角形, ∠ACB =90︒,AC =6,BC =CC 1P 是BC 1上一动点,则CP +PA 1的最小值是___________三、解答题:本大题共5小题,满分60分.解答须写出文字说明、证明过程和演算步骤C 1B 1A16. (本小题12分) 在⊿ABC 中,角A,B,C 的对边分别为a,b,c ,若1=∙=∙BC BA AC AB . (1)求证:A=B ; (2)求边长c 的值;(3)6=+,求⊿ABC 的面积。
17.(本小题12分)已知向量()11,,2,cos 2sin sin x x x ⎛⎫=-=⎪⎝⎭a b ,其中⎥⎦⎤ ⎝⎛∈2,0πx . (1)试判断向量a 与b 能否平行,并说明理由? (2)求函数()f x =a b 的最小值.18.( 本小题12分)先后2次抛掷一枚骰子,将得到的点数分别记为a,b . (1)求直线ax +by +5=0与圆x 2+y 2=1相切的概率;(2)将a,b,5的值分别作为三条线段的长,求这三条线段能围成等腰三角形的概率.19. (本小题12分)已知数列)2(,122,5}{11+-∈≥-+==N ,n n a a a a n n n n 满足 (Ⅰ)若nn n a b 21-=,)(+∈N n 为等差数列数列求证}{:n b ; (Ⅱ)设数列{}n a n S n 项和的前,求n S20. (本小题12分) 已知二次函数f (x )=ax 2+bx (a 、b 是常数且a ≠0)满足条件:f (2)=0且方程f (x )=x 有等根. (1)求f (x )的解析式;(2)问是否存在实数m 、n (m <n )使f (x )的定义域和值域分别为[m ,n ]和[2m ,2n ],如存在,求出m 、n 的值;如不存在,说明理由.高二数学竞赛试题参考答案与评分标准一、选择题:。
每小题6分,满分48分。
1.D 2.C 3.A 4.A 5.B 6.B 7A. 8.C二、填空题:。
每小题6分,满分42分。
9.{}1,0,1,2,3- 10.16π11.3,22⎡⎫⎪⎢⎣⎭ 12. 213. 5 14. -6 15. 三.解答题.满分60分16解(1)由1=∙=∙,得bccosA=accosB,sinBcosA=sinAcosB, sin(A-B)=0,则A=B.----------(4分)(2) 1=∙,得bccosA=1,又12222=-+∙bca cb bc ,则b 2+c 2-a 2=2,c 2=2,所以2=c 。
-----------8分)6=+,得2+b 2+2=6, 2=b ,s=23.-------------------(12分) 17解:(1)若ab ,则有02sin 12cos sin 1=⋅+⋅xx x . ∵0,2x π⎛⎤∈ ⎥⎝⎦,∴sin 0x ≠.∴22cos -=x ,这与cos21x ≤矛盾. ∴a 与b 不能平行. ……………………6分(2)∵2cos 2()sin sin x f x x x==-a b xx x x sin sin 21sin 2cos 22+=-=xx sin 1sin 2+=,∵0,2x π⎛⎤∈ ⎥⎝⎦,∴(]sin 0,1x ∈,∴22sin 1sin 22sin 1sin 2)(=⋅≥+=x x x x x f .当x x sin 1sin 2=,即22sin =x 时取等号,故函数)(x f 的最小值为22.……………………12分18.解:先后2次抛掷一枚骰子,将得到的点数分别记为a,b . (1)求直线ax +by +5=0与圆x 2+y 2=1相切的概率;(2)将a,b,5的值分别作为三条线段的长,求这三条线段能围成等腰三角形的概率. 解:(1)先后2次抛掷一枚骰子,将得到的点数分别记为a,b,事件总数为6×6=36.---------------------------- (2分) ∵直线ax +by +c=0与圆x2+y2=1相切的充要条件是1=即:a 2+b 2=25,由于a,b∈{1,2,3,4,5,6}∴满足条件的情况只有a=3,b=4,c=5;或a=4,b=3,c=5两种情况.∴直线ax +by +c=0与圆x2+y2=1相切的概率是213618=----------- (6分)(2)先后2次抛掷一枚骰子,将得到的点数分别记为a,b,事件总数为6×6=36. ∵三角形的一边长为5∴当a=1时,b=5,(1,5,5) 1种当a=2时,b=5,(2,5,5) 1种 当a=3时,b=3,5,(3,3,5),(3,5,5) 2种 当a=4时,b=4,5,(4,4,5),(4,5,5) 2种 当a=5时,b=1,2,3,4,5,6,(5,1,5),(5,2,5),(5,3,5), (5,4,5),(5,5,5),(5,6,5) 6种 当a=6时,b=5,6,(6,5,5),(6,6,5) 2种 故满足条件的不同情况共有14种答:三条线段能围成不同的等腰三角形的概率为1873614=.---------------(12分)19. 解:(I )∵nn n a b 21-=,∴12+⋅=n n n b a 又∵,1221-+=-n n n a a ∴12)12(21211-++⋅=+⋅--n n n n n b b , 即11=--n n b b ,()+∈≥Nn n ,2,且21=b……………………3分所以,为等差数列数列}{n b …………………………5分 (II )由(I )可得1)1(1+=-+=n d n b b n 又∵12+⋅=n n n b a ,∴ )(12)1(+∈++=N n n a n n,2)1(n n n T n n b 项和为且其前令+=n n n T 2)1(24232232+++⨯+⨯+⨯=∴ ①1322)1(223222+++⨯++⨯+⨯=n n n n n T ②……………………10分①-②得11322)1()22(22)1(2224+++-+++=+-++++=-n n n nn n n T11122)1(2+++⋅-=+-=n n n n n.2,211n n S n T n n n n +⋅=∴⋅=∴++………………………………12分20.解:(1)∵方程ax 2+(b -1)x =0(a ≠0)有等根, ∴1004)1(2==--=b a b ⇒⨯∆. 又f (2)=0,∴4a +2b =0.∴21=-a .∴x x x f +=-221)(.………… 5分(2)∵2121)1(21)(2≤+-=-x x f ,∴212≤n ,即41≤n . 又二次函数21)1(212+-=-x y 的对称轴方程为x =1,∴当41≤n 时,f (x )在[m ,n ]上为增函数,设m 、n 存在,则⎪⎩⎪⎨⎧n n f m m f 2)(2)(== 即⎪⎪⎩⎪⎪⎨⎧⇒⇒.=-或==--,=-或==--200212002122n n n n m m m m∵41≤n m <,∴⎪⎩⎪⎨⎧.=,=-02n m 即存在实数m =-2,n =0使f (x )的定义域为[-2,0],值域为[-4,0].……………………12分。