英语语法专业术语新
- 格式:docx
- 大小:11.52 KB
- 文档页数:8
英语语法专业术语语法grammar句法syntax词法morphology结构structure层次rank句子sentence从句clause词组phrase词类part of speech单词word实词notional word虚词structural word名词noun专有名词proper noun普通名词common noun可数名词countable noun 不可数名词uncountable no 抽象名词abstract noun具体名词concrete noun物质名词material noun集体名词collective noun个体名词individual noun介词preposition连词conjunction动词verb主动词main verb及物动词transitive verb不及物动词intransitive verb 系动词link verb助动词auxiliary verb情态动词modal verb规则动词regular verb不规则动词irregular verb 短语动词phrasal verb限定动词finite verb非限定动词infinite verb使役动词causative verb感官动词verb of senses动态动词event verb静态动词state verb感叹词exclamation形容词adjective副词adverb方式副词adverb of manner程度副词adverb of degree时间副词adverb of time地点副词adverb of place修饰性副词adjunct连接性副词conjunct疑问副词interrogative adverb关系副词relative adverb代词pronoun人称代词personal pronoun物主代词possessive pronoun反身代词reflexive pronoun相互代词reciprocal pronoun指示代词demonstrative pronoun疑问代词interrogative pronoun关系代词relative pronoun不定代词indefinite物主代词possessive pronoun名词性物主代词nominal possessive形容词性物主代词adjectival possessive pronoun冠词article定冠词definite article不定冠词indefinite article数词numeral基数词cardinal numeral序数词ordinal numeral分数词fractional numeral形式form单数形式singular form复数形式plural form限定动词finite verb form非限定动词non-finite verb form原形base form从句clause从属句subordinate clause并列句coordinate clause名词从句nominal clause定语从句attributive clause状语从句adverbial clause宾语从句object clause主语从句subject clause同位语从句appositive clause时间状语从句adverbial clause of time地点状语从句adverbial clause of place方式状语从句adverbial clause of manner让步状语从句adverbial clause of concession原因状语从句adverbial clause of cause结果状语从句adverbial clause of result目的状语从句adverbial clause of purpose条件状语从句adverbial clause of condition真实条件状语从句adverbial clause of real condition非真实条件状语从句adverbial clause of unreal condition 含蓄条件句adverbial clause of implied condition错综条件句adverbial clause of mixed condition句子sentence简单句simple sentence并列句compound sentence复合句complex sentence并列复合句compound complex sentence陈述句declarative sentence疑问句interrogative sentence一般疑问句general question特殊疑问句special question选择疑问句alternative question附加疑问句tag question反义疑问句disjunctive question修辞疑问句rhetorical question感叹疑问句exclamatory question存在句existential sentence肯定句positive sentence否定句negative sentence祈使句imperative sentence省略句elliptical sentence感叹句exclamatory sentence基本句型basic sentence pattern句子成分members of sentences 主语subject谓语predicate宾语object双宾语dual object直接宾语direct object间接宾语indirect object复合宾语complex object同源宾语cognate object补语complement主补subject complement宾补object complement表语predicative定语attribute同位语appositive状语adverbial句法关系syntactic relationship 并列coordinate从属subordination修饰modification前置修饰pre-modification后置修饰post-modification限制restriction双重限制double-restriction非限制non-restriction数number单数形式singular form复数形式plural form规则形式regular form不规则形式irregular form格case普通格common case所有格possessive case主格nominative case宾格objective case性gender阳性masculine阴性feminine通性common中性neuter人称person第一人称first person第二人称second person第三人称third person时态tense过去将来时past future tense过去将来进行时past future continuous tense过去将来完成时past future perfect tense一般现在时present simple tense一般过去时past simple tense一般将来时future simple tense现在完成时past perfect tense过去完成时present perfect tense将来完成时future perfect tense现在进行时present continuous tense过去进行时past continuous tense将来进行时future continuous tense过去将来进行时past future continuous tense现在完成进行时present perfect continuous tense 过去完成进行时past perfect continuous tense语态voice主动语态active voice被动语态passive voice语气mood陈述语气indicative mood祈使语气imperative mood虚拟语气subjunctive mood否定negation否定范围scope of negation全部否定full negation局部否定partial negation转移否定shift of negation语序order自然语序natural order倒装语序inversion全部倒装full inversion部分倒装partial inversion直接引语direct speech间接引语indirect speech自由直接引语free direct speech自由间接引语free indirect speech一致agreement主谓一致subject-predicate agreement 语法一致grammatical agreement概念一致notional agreement就近原则principle of proximity强调emphasis重复repetition语音pronunciation语调tone升调rising tone降调falling tone降升调falling-rising tone文体style正式文体formal非正式文体informal口语spoken/oral English套语formulistic expression英国英语British English美国英语American English用法usage感情色彩emotional coloring褒义commendatory贬义derogatory幽默humorous讽刺sarcastic挖苦ironic动名词gerund连字号hyphen祈使语气imperative mood祈使句imperative sentences独立成分indefinite case主句indicative mood物质名词material nouns句子的成分members of the sentence 情态动词modal verbs语气mood词法morphology否定疑问句negative interrogative sentence动词的非限定形式non-finite forms of the verb非限制性定语从句non-restrictive attributive clauses 括号brackets名词的分类classification of nouns从句(分句)clauses同源宾语cognate object集体名词collective nouns冒号colon逗号comma普通格common case普通名词common nouns比较级comparative degree复合宾语complex Object复合句complex sentences并列复合句compound complex sentences表性状的复合谓语compound nominal predicate复合谓语compound predicate并列句compound sentences表行为的复合谓语compound verbal predicate合成词compound words合成compounding ( composition )错综时间条件句conditional sentences of mixed time 连词conjunction连接副词conjunctive adverbs连接代词conjunctive pronouns转化conversion并列连词co-coordinating conjunctions可数名词countable nouns破折号dash陈述句declarative sentences定冠词definite article比较的级别degrees of comparison指示代词demonstrative pronouns派生(词缀法)derivation ( affixation )描绘性定语descriptive attributes呼语direct address直接宾语direct object直接引语direct speech反意问句disjunctive questions省略ellipsis省略句elliptical sentences感叹号exclamation mark感叹句exclamatory sentences动词的限定形式finite forms of the verb虚词form words分数词fractional numerals完全倒装full inversion将来进行时future continuous一般将来时future indefinite将来完成时future perfect将来完成进行时future perfect continuous独立结构absolute constructions物主代词的绝对形式absolute forms of possessive pronouns 抽象名词abstract nouns主动语态active voice方式状语从句adverbial clauses of manner地点状语从句adverbial clauses of place目的状语从句adverbial clauses of purpose时间状语从句adverbial clauses of time程度副词adverbs of degree频度副词adverbs of frequency方式副词adverbs of manner地点副词adverbs of place时间副词adverbs of time选择问句alternative questions句子分析analysis of sentences省略号apostrophe同谓语appositive同位语从句appositive clauses助动词auxiliary verbs插入语parenthesis部分倒装partial inversion分词短语participial phrases分词participle小品词particle词类parts of speech过去式past forms过去分词past participle句号period ( full stop )人称person人称代词personal pronouns成语动词phrasal verbs谓语predicate表语predicative表语从句predicative clauses前缀prefix(es)介词短语prepositional phrases现在式present forms现在分词present participle动词的主要形式principal forms of verbs专有名词proper nouns标点符号punctuation问号question mark引号quotation mark相互代词reciprocal pronouns不定代词indefinite Pronouns关系副词relative adverbs关系代词relative pronouns限制性定语从句restrictive attributive clauses 自身代词self pronouns分号semicolon真实条件句sentences of real condition虚拟条件句sentences of unreal condition时态的呼应sequence of tenses特殊问句special questions虚拟语气subjunctive mood后缀suffix(es)最高级superlative degree句法syntax句型的转换transformation of sentences双部句two-member sentences不可数名词uncountable nouns动词短语verbal phrases名词化的动词verbal noun构词法word building。
修改名词:英语语法领域专业术语英语语法领域的专业术语在翻译和使用中有时会有一些不一致和模糊的地方。
本文档旨在对一些常见的英语语法领域专业术语进行修改和统一,以提高术语的准确性和易读性。
一、动词相关术语1. Infinitive Infinitive- 修改为:不定式不定式2. Gerund Gerund- 修改为:动名词动名词3. Present participle Present participle- 修改为:现在分词现在分词4. Past participle Past participle- 修改为:过去分词过去分词5. Modal verb Modal verb- 修改为:情态动词情态动词二、名词相关术语1. Noun Noun- 修改为:名词名词- 修改为:普通名词普通名词3. Proper noun Proper noun- 修改为:专有名词专有名词4. Countable noun Countable noun- 修改为:可数名词可数名词5. Uncountable noun Uncountable noun - 修改为:不可数名词不可数名词6. Concrete noun Concrete noun- 修改为:具体名词具体名词7. Abstract noun Abstract noun- 修改为:抽象名词抽象名词8. Collective noun Collective noun- 修改为:集体名词集体名词- 修改为:复合名词复合名词三、形容词相关术语1. Adjective Adjective- 修改为:形容词形容词- 修改为:比较级形容词比较级形容词3. Superlative adjective Superlative adjective - 修改为:最高级形容词最高级形容词4. Demonstrative adjective Demonstrative adjective - 修改为:指示形容词指示形容词5. Possessive adjective Possessive adjective- 修改为:所有形容词所有形容词四、副词相关术语1. Adverb Adverb- 修改为:副词副词- 修改为:比较级副词比较级副词3. Superlative adverb Superlative adverb- 修改为:最高级副词最高级副词4. Degree adverb Degree adverb- 修改为:程度副词程度副词5. Interrogative adverb Interrogative adverb- 修改为:疑问副词疑问副词6. Relative adverb Relative adverb- 修改为:关系副词关系副词以上是对英语语法领域一些常见专业术语的修改建议,以期能够在翻译和学习中准确表达意思并提升可读性。
英语语法专业术语(一)词类p a r t o f s p e e c h实词n o t i o n a l w o r d['nəuʃənəl]虚词s t r u c t u r a l w o r d/f o r m w o r d(e.g.a r t i c l e p r e p o s i t i o n c o n j u n c t i o n i n t e r j e c t i o n)派生词d e r i v a t i v e[d i'r i vət i v,də'r i vət i v]复合词c o mp o u n d['kɔmp a u n d,kɔm'p a u n d]词性p a r t o f s p e e c h名词n o u n专有名词p r o p e r n o u n普通名词c o mm o n n o u n可数名词c o u n t a b l e n o u n不可数名词u n c o u n t a b l e n o u n单数形式s i n g u l a r f o r m复数形式p l u r a l f o r m['p l uərəl,'p l u rəl]抽象名词a b s t r a c t n o u n[æb's t ræk t,'æb s t ræk t]具体名词c o n c r e t e n o u n['kɔn k r i:t]物质名词ma t e r i a l n o u n集体名词c o l l e c t i v e n o u n个体名词i n d i v i d u a l n o u n动词v e r b主动词ma i n v e r b及物动词t r a n s i t i v e v e r b['t ræn s i t i v,'t ræn sət i v]不及物动词i n t r a n s i t i v e v e r b[i n't ræn s i t i v,i n't ræn sət i v]系动词l i n k v e r b助动词a u x i l i a r y v e r b[ɔ:g'z i l jər i]情态动词mo d a l v e r b规则动词r e g u l a r v e r b不规则动词i r r e g u l a r v e r b短语动词p h r a s a l v e r b['f r e i z l,'f r e i zəl]限定动词f i n i t e v e r b['f a i n a i t]非限定动词i n f i n i t e v e r b['i n f i n i t,'i n fən i t]使役动词c a u s a t i v e v e r b['kɔ:zət i v]感官动词v e r b o f s e n s e s动态动词e v e n t v e r b静态动词s t a t e v e r b形容词a d j e c t i v e比较等级d e g r e e s o f c o mp a r i s o n☆原级p o s i t i v e d e g r e e☆比较级c o mp a r a t i v e d e g r e e☆最高级s u p e r l a t i v e d e g r e e副词a d v e r b方式副词a d v e r b o f ma n n e r程度副词a d v e r b o f d e g r e e时间副词a d v e r b o f t i me地点副词a d v e r b o f p l a c e修饰性副词a d j u n c t连接性副词c o n j u n c t疑问副词i n t e r r o g a t i v e a d v e r b[.i n tə'rɔgət i v]关系副词r e l a t i v e a d v e r b代词p r o n o u n['p rəu n a u n]人称代词p e r s o n a l p r o n o u n物主代词p o s s e s s i v e p r o n o u n[pə'z e s i v]反身代词r e f l e x i v e p r o n o u n[r i'f l e k s i v]相互代词r e c i p r o c a l p r o n o u n[r i's i p rəkəl]指示代词d e mo n s t r a t i v e p r o n o u n[d i'mɔn s t rət i v]疑问代词i n t e r r o g a t i v e p r o n o u n[.i n tə'rɔgət i v]关系代词r e l a t i v e p r o n o u n不定代词i n d e f i n i t e p r o n o u n[i n'd e f i n i t,i n'd e fən i t]名词性物主代词n o mi n a l p o s s e s s i v e p r o n o u n形容词性物主代词a d j e c t i v a l p o s s e s s i v e p r o n o u n[.ædʒi k't a i vəl]冠词a r t i c l e定冠词d e f i n i t e a r t i c l e['d e f i n i t,'d e fən i t]不定冠词i n d e f i n i t e a r t i c l e介词p r e p o s i t i o n[p r e pə'z iʃən]连词c o n j u n c t i o n[kən'dʒʌŋkʃən]感叹词e x c l a ma t i o n[.e k s k lə'me iʃən]数词n u me r a l['n j u:mərəl]基数词c a r d i n a l n u me r a l['kɑ:d i n l,'kɑ:d nəl]序数词o r d i n a l n u me r a l['ɔ:d i nəl,'ɔ:d nəl]分数词f r a c t i o n a l n u me r a l['f rækʃənəl]限定动词f i n i t e v e r b f o r m['f a i n a i t]非限定动词n o n-f i n i t e v e r b f o r m[nʌn'f i n i t]原形b a s e f o r m数n u mb e r单数形式s i n g u l a r f o r m复数形式p l u r a l f o r m规则形式r e g u l a r f o r m不规则形式i r r e g u l a r f o r m格c a s e普通格c o mm o n c a s e所有格p o s s e s s i v e c a s e主格n o mi n a t i v e c a s e宾格o b j e c t i v e c a s e[əb'dʒe k t i v]性g e n d e r['dʒe n də]阳性ma s c u l i n e['mæs k j u l i n,'mæs k jəl i n]阴性f e mi n i n e['f e mi n i n,'f e mən i n]通性c o mm o n中性n e u t e r['n j u:tə]人称p e r s o n第一人称f i r s t p e r s o n第二人称s e c o n d p e r s o n第三人称t h i r d p e r s o n。
英语语法专业术语1. Noun phrase: A group of words that functions as a noun in a sentence, such as "the old house" or "a beautiful sunset."2. Verb phrase: A group of words that functions as a verb in a sentence, such as "is running" or "has been studying."3. Adjective phrase: A group of words that functions as an adjective in a sentence, such as "very tall" or "extremely funny."4. Adverb phrase: A group of words that functions as an adverb ina sentence, such as "quite quickly" or "very quietly."5. Prepositional phrase: A group of words that begins with a preposition and functions as a modifier, such as "in the park" or "on the table."6. Relative clause: A clause that begins with a relative pronoun (such as "who," "whom," "whose," "which," or "that") and provides additional information about a noun or pronoun in a sentence, such as "The girl who lives next door is my best friend."7. Independent clause: A clause that can stand alone as a complete sentence, such as "She went to the store." It contains a subject anda verb and expresses a complete thought.8. Dependent clause: A clause that cannot stand alone as a complete sentence and functions as a noun, adjective, or adverb within a sentence. It relies on an independent clause for its meaning, such as "Although she was tired."9. Direct object: The noun or noun phrase that receives the action of a transitive verb, such as "He ate an apple."10. Indirect object: The noun or noun phrase that is the recipient of the direct object, typically introduced with a preposition like "to" or "for," such as "She gave a gift to her friend."11. Subject-verb agreement: The rule that states that a singular subject must agree with a singular verb, and a plural subject mustagree with a plural verb, such as "He runs" or "They run."12. Passive voice: A sentence construction in which the subject of the sentence receives the action of the verb, rather than performing the action. It is formed using a form of the verb "to be" followed by the past participle of the main verb, such as "The book was read by her."13. Clause: A group of words that contains a subject and a verb and expresses a complete thought. It can be either independent or dependent.14. Phrase: A group of related words that do not contain a subject and a verb and do not express a complete thought. Phrases can either function as nouns, verbs, adjectives, or adverbs within a sentence.。
英语语法术语大全以下是一些常见的英语语法术语大全:1. Noun(名词):表示人、事物、地方或抽象概念的词。
2. Pronoun(代词):用来替代名词的词。
3. Verb(动词):表示动作、状态或存在的词。
4. Adjective(形容词):修饰名词或代词,描述其性质或特征的词。
5. Adverb(副词):修饰动词、形容词或其他副词,表示时间、地点、程度、方式等的词。
6. Preposition(介词):用于表示名词与其他词之间的关系的词。
7. Conjunction(连词):连接词与词、短语与短语、句子与句子的词。
8. Article(冠词):用于限定名词的词,包括定冠词(the)和不定冠词(a/an)。
9. Determiner(限定词):用于限定名词或确定名词所指的词,如this, that, these, those等。
10. Subject(主语):句子中执行动作或被描述的名词或代词。
11. Predicate(谓语):句子中描述主语的动词或动词短语。
12. Object(宾语):接受动作的名词或代词。
13. Direct Object(直接宾语):直接接受动作的名词或代词。
14. Indirect Object(间接宾语):表示间接受益者或接收者的名词或代词。
15. Clause(从句):包含主语和谓语的句子部分。
16. Phrase(短语):由词组成的没有主谓关系的句子部分。
17. Compound Sentence(并列句):由两个或多个独立的句子通过连词连接起来。
18. Complex Sentence(复合句):包含一个主句和一个或多个从句的句子。
19. Passive Voice(被动语态):表达动作的承受者在句子中作为主语的结构。
20. Active Voice(主动语态):表达动作执行者在句子中作为主语的结构。
这里只是列举了一些常见的英语语法术语,还有许多其他的术语可以在学习英语语法过程中逐渐了解和掌握。
英语语法专业术语及其含义English Grammar: Professional Terminology and Their MeaningsEnglish grammar is a complex system that governs the structure and usage of the English language. To better understand and analyze English grammar, it is important to be familiar with the specialized terminology used in this field. In this article, we will explore some of the key terms in English grammar and their meanings.1. Noun:A noun refers to a word that names a person, place, thing, or idea. Examples include "dog," "London," "book," and "happiness."2. Verb:A verb denotes an action, occurrence, or state of being. It expresses what the subject of a sentence does or experiences. Examples include "run," "write," "sleep," and "be."3. Adjective:An adjective describes or modifies a noun or pronoun. It provides additional information about the noun or pronoun it is placed before. Examples include "beautiful," "tall," "delicious," and "happy." 4. Adverb:An adverb provides further information about a verb, adjective, or other adverb. It describes the manner, place, time, or degree of an action or state. Examples include "quickly," "very," "here," and "often."5. Pronoun:A pronoun is used in place of a noun to avoid repetition. It refers to a previously mentioned or understood noun. Examples include "he," "she," "it," and "they."6. Preposition:A preposition shows the relationship between a noun or pronoun and another word in a sentence. It indicates location, time, manner, or direction. Examples include "in," "on," "at," and "from."7. Conjunction:A conjunction connects words, phrases, or clauses. It shows the relationship between the connected elements. Examples include "and," "but," "or," and "for."8. Interjection:An interjection is a word or phrase used to express strong emotion or surprise. It is usually followed by an exclamation mark. Examples include "Wow!" "Oh!" "Ouch!" and "Hooray!"9. Subject:The subject is the noun or pronoun that typically performs the action expressed by the verb. It is usually found at the beginning of a sentence. Example: "The cat" is sleeping.10. Predicate:The predicate is the part of a sentence that contains the verb and includes all the words or phrases that modify or complete the verb. Example: "is sleeping" in "The cat is sleeping."11. Sentence:A sentence is a group of words that expresses a complete thought. It typically contains a subject and a predicate. Example: "She is reading a book."12. Phrase:A phrase is a group of words that function as a unit within a sentence. It does not have a subject and a predicate. Example: "in the morning" in "She reads in the morning."13. Clause:A clause is a group of words that contains a subject and a predicate. It can function as a sentence or be part of a larger sentence. Example: "I like pizza" is a clause.14. Tense:Tense refers to the time of an action or state described in a verb. English has three primary tenses: past, present, and future. Example: "ran" is in the past tense, while "run" is in the present tense.15. Active Voice:Active voice is a sentence construction in which the subject performs the action expressed by the verb. Example: "She wrote a letter."16. Passive Voice:Passive voice is a sentence construction in which the subject receives the action expressed by the verb. Example: "The letter was written by her."17. Direct Object:A direct object is a noun or pronoun that receives the action of a transitive verb. Example: "John kicked the ball." The ball is the direct object.18. Indirect Object:An indirect object is a noun or pronoun that indicates to whom or for whom the action of a transitive verb is done. Example: "He gave Mary a gift." Mary is the indirect object.19. Comparative Degree:The comparative degree is a form of an adjective or adverb used to compare two things or actions. Example: "She is taller than her sister."20. Superlative Degree:The superlative degree is a form of an adjective or adverb used to compare three or more things or actions. Example: "He is the tallest in the class."21. Conditional Sentence:A conditional sentence expresses a hypothetical situation and its possible outcome. It usually includes an "if" clause and a main clause. Example: "If it rains, we will stay at home."22. Gerund:A gerund is a verb form that functions as a noun. It ends in "-ing" and can act as a subject, direct object, or object of a preposition. Example: "Swimming is a great exercise."23. Infinitive:An infinitive is a verb form that is typically preceded by the word "to" and can function as a noun, adjective, or adverb. Example: "To learn" is important for personal growth.24. Modifier:A modifier is a word, phrase, or clause that describes or limits another word or group of words. It provides additional information or clarifies the meaning. Example: "The tall man" - "tall" is the modifier of "man."These are just a few of the many specialized terms used in English grammar to describe the various elements and rules of the language. By familiarizing yourself with these terms and their meanings, you can improve your understanding and usage of English grammar.。
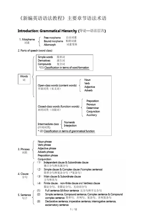
《新编英语语法教程》主要章节语法术语Introduction:Grammatical Hierarchy(导论—语法层次)1.Morpheme词素Free morpheme自由词素Bound morpheme粘附词素Allomorph词素变体2.Parts of speech(word class)Simple words简单词Derivatives派生词Compounds复合词*(1)Classification in terms of word formationWords词NounOpen-class words(content words)开放词类(实义词)Closed-class words(function words)封闭词类(功能词)V erb Adjective AdverbPreposition Pr onoun Determiner Conjunction AuxiliaryIntermediate class (中间词类)Numerals Interjection3.Phrases词组4.Clause分句5.Sentence句子*(2)Classification in terms of grammatical functionN oun phraseV erb phraseAdjective phraseAdverb phrasePreposition phraseConjunction(1)Independent clause&Subordinate clause独立分句和从属分句(2)Simple clause&Complex clause(*complex sentence)简单分句和复杂分句(*复杂句)(3)Main clause&Subordinate clause主句和从句(4)Finite clause,non-finite clause and V erbless clause限定分句、非限定分句、无动词分句(1)Full sentence&Minor sentence完全句和不完全句(2)Simple sentence,Co mpou n d sentence,Complex sentence&C o mpo u n dcomplex sentence简单句、并列句、复杂句、并列复杂句(3)Declarative sentence,imperative sentence,interrogative sentence,Lecture1Sentence Structure(L1)Sentence elements:S(subject)V(predicate verb)O(object)C(complement)A(Adverbial)主语谓语动词宾语补足语状语1.Two ways of sentence analysis1)SVOSentenceClauseNP VP NPSubject Predicate verb ObjectAll the man have done their best.Sentence=Subject+Predicate(Predicate V erb+Object,Complement,Adverbial,etc.)●句子由主语和谓语构成,进一步把谓语剖析为谓语动词、宾语、补语、状语等。
英语语法专业术语The Standardization Office was revised on the afternoon of December 13, 2020英语语法专业术语语法 grammar句法 syntax词法 morphology结构 structure层次 rank句子 sentence从句 clause词组 phrase词类 part of speech单词 word实词 notional word虚词 structural word名词 noun专有名词 proper noun普通名词 common noun可数名词 countable noun 不可数名词 uncountable no 抽象名词 abstract noun具体名词 concrete noun物质名词 material noun 集体名词 collective noun个体名词 individual noun介词 preposition连词 conjunction动词 verb主动词 main verb及物动词 transitive verb不及物动词 intransitive verb 系动词 link verb助动词 auxiliary verb情态动词 modal verb规则动词 regular verb不规则动词 irregular verb短语动词 phrasal verb限定动词 finite verb非限定动词 infinite verb使役动词 causative verb感官动词 verb of senses动态动词 event verb静态动词 state verb感叹词 exclamation形容词 adjective副词 adverb方式副词 adverb of manner程度副词 adverb of degree时间副词 adverb of time地点副词 adverb of place修饰性副词 adjunct连接性副词 conjunct疑问副词 interrogative adverb关系副词 relative adverb代词 pronoun人称代词 personal pronoun物主代词 possessive pronoun反身代词 reflexive pronoun相互代词 reciprocal pronoun指示代词 demonstrative pronoun疑问代词 interrogative pronoun关系代词 relative pronoun不定代词 indefinite物主代词 possessive pronoun名词性物主代词 nominal possessive形容词性物主代词 adjectival possessive pronoun 冠词 article定冠词 definite article不定冠词 indefinite article数词 numeral基数词 cardinal numeral序数词 ordinal numeral分数词 fractional numeral形式 form单数形式 singular form复数形式 plural form限定动词 finite verb form非限定动词 non-finite verb form原形 base form从句 clause从属句 subordinate clause并列句 coordinate clause名词从句 nominal clause定语从句 attributive clause状语从句 adverbial clause宾语从句 object clause主语从句 subject clause同位语从句 appositive clause时间状语从句 adverbial clause of time地点状语从句 adverbial clause of place方式状语从句 adverbial clause of manner让步状语从句 adverbial clause of concession 原因状语从句 adverbial clause of cause结果状语从句 adverbial clause of result目的状语从句 adverbial clause of purpose条件状语从句 adverbial clause of condition真实条件状语从句 adverbial clause of real condition非真实条件状语从句 adverbial clause of unreal condition 含蓄条件句 adverbial clause of implied condition错综条件句 adverbial clause of mixed condition句子 sentence简单句 simple sentence并列句 compound sentence复合句 complex sentence并列复合句 compound complex sentence陈述句 declarative sentence疑问句 interrogative sentence一般疑问句 general question特殊疑问句 special question选择疑问句 alternative question附加疑问句 tag question反义疑问句 disjunctive question修辞疑问句 rhetorical question感叹疑问句 exclamatory question存在句 existential sentence肯定句 positive sentence否定句 negative sentence祈使句 imperative sentence省略句 elliptical sentence感叹句 exclamatory sentence基本句型 basic sentence pattern 句子成分 members of sentences 主语 subject谓语 predicate宾语 object双宾语 dual object直接宾语 direct object间接宾语 indirect object复合宾语 complex object同源宾语 cognate object补语 complement主补 subject complement宾补 object complement表语 predicative定语 attribute同位语 appositive状语 adverbial句法关系syntactic relationship 并列 coordinate从属 subordination修饰 modification前置修饰 pre-modification 后置修饰 post-modification 限制 restriction双重限制 double-restriction 非限制 non-restriction数 number单数形式 singular form复数形式 plural form规则形式 regular form不规则形式 irregular form 格case普通格common case所有格possessive case主格 nominative case宾格 objective case性 gender阳性 masculine阴性 feminine通性 common中性 neuter人称 person第一人称 first person第二人称 second person第三人称 third person时态 tense过去将来时 past future tense过去将来进行时 past future continuous tense过去将来完成时 past future perfect tense一般现在时 present simple tense一般过去时 past simple tense一般将来时 future simple tense现在完成时 past perfect tense过去完成时 present perfect tense将来完成时 future perfect tense现在进行时 present continuous tense过去进行时 past continuous tense将来进行时 future continuous tense过去将来进行时 past future continuous tense现在完成进行时 present perfect continuous tense 过去完成进行时 past perfect continuous tense语态 voice主动语态 active voice被动语态 passive voice语气 mood陈述语气 indicative mood祈使语气 imperative mood虚拟语气 subjunctive mood否定 negation否定范围 scope of negation全部否定 full negation局部否定 partial negation转移否定 shift of negation语序 order自然语序 natural order倒装语序 inversion全部倒装 full inversion部分倒装 partial inversion直接引语 direct speech间接引语 indirect speech自由直接引语 free direct speech自由间接引语 free indirect speech 一致 agreement主谓一致 subject-predicate agreement 语法一致 grammatical agreement概念一致 notional agreement就近原则 principle of proximity强调 emphasis重复 repetition语音 pronunciation语调 tone升调 rising tone降调 falling tone降升调 falling-rising tone 文体style正式文体 formal非正式文体 informal口语 spoken/oral English套语 formulistic expression 英国英语 British English 美国英语 American English 用法 usage感情色彩 emotional coloring 褒义 commendatory贬义 derogatory幽默 humorous讽刺 sarcastic挖苦 ironic动名词 gerund连字号 hyphen祈使语气 imperative mood祈使句 imperative sentences独立成分 indefinite case主句 indicative mood物质名词 material nouns句子的成分 members of the sentence情态动词 modal verbs语气 mood词法 morphology否定疑问句 negative interrogative sentence动词的非限定形式 non-finite forms of the verb非限制性定语从句 non-restrictive attributive clauses 括号 brackets名词的分类 classification of nouns从句(分句)clauses同源宾语 cognate object集体名词 collective nouns冒号 colon逗号 comma普通格 common case普通名词 common nouns比较级 comparative degree复合宾语 complex Object复合句 complex sentences并列复合句 compound complex sentences表性状的复合谓语 compound nominal predicate复合谓语 compound predicate并列句 compound sentences表行为的复合谓语 compound verbal predicate合成词 compound words合成 compounding ( composition )错综时间条件句 conditional sentences of mixed time 连词 conjunction连接副词 conjunctive adverbs连接代词 conjunctive pronouns转化 conversion并列连词 co-coordinating conjunctions可数名词 countable nouns破折号 dash陈述句 declarative sentences定冠词 definite article比较的级别 degrees of comparison指示代词 demonstrative pronouns派生(词缀法) derivation ( affixation )描绘性定语 descriptive attributes呼语 direct address直接宾语 direct object直接引语 direct speech反意问句 disjunctive questions省略 ellipsis省略句 elliptical sentences感叹号 exclamation mark感叹句 exclamatory sentences动词的限定形式 finite forms of the verb虚词form words分数词 fractional numerals完全倒装 full inversion将来进行时future continuous一般将来时 future indefinite将来完成时 future perfect将来完成进行时 future perfect continuous独立结构 absolute constructions物主代词的绝对形式 absolute forms of possessive pronouns 抽象名词 abstract nouns主动语态 active voice方式状语从句 adverbial clauses of manner地点状语从句 adverbial clauses of place目的状语从句 adverbial clauses of purpose时间状语从句 adverbial clauses of time程度副词 adverbs of degree频度副词 adverbs of frequency 方式副词 adverbs of manner地点副词 adverbs of place时间副词 adverbs of time选择问句 alternative questions 句子分析 analysis of sentences 省略号 apostrophe同谓语 appositive同位语从句 appositive clauses 助动词 auxiliary verbs插入语 parenthesis部分倒装 partial inversion分词短语 participial phrases 分词 participle小品词 particle词类 parts of speech过去式 past forms过去分词past participle句号 period ( full stop )人称 person人称代词 personal pronouns成语动词 phrasal verbs谓语 predicate表语 predicative表语从句 predicative clauses前缀 prefix(es)介词短语 prepositional phrases现在式 present forms现在分词 present participle动词的主要形式 principal forms of verbs专有名词 proper nouns标点符号 punctuation问号 question mark引号 quotation mark相互代词 reciprocal pronouns不定代词 indefinite Pronouns关系副词 relative adverbs关系代词 relative pronouns限制性定语从句 restrictive attributive clauses 自身代词 self pronouns分号 semicolon真实条件句 sentences of real condition虚拟条件句 sentences of unreal condition时态的呼应 sequence of tenses特殊问句special questions虚拟语气 subjunctive mood后缀 suffix(es)最高级 superlative degree句法syntax句型的转换transformation of sentences 双部句 two-member sentences不可数名词 uncountable nouns动词短语verbal phrases名词化的动词 verbal noun构词法 word building。
英语语法专业术语表达英语语法包含一系列专业术语,这些术语在英语学习中起到至关重要的作用。
掌握这些专业术语有助于加深对语法的理解和运用。
以下是常见的英语语法专业术语及其解释:一、词汇1. Noun (名词)名词是表示人、事物、地方等具体或抽象实体的词语。
名词分为可数名词(countable nouns)和不可数名词(uncountable nouns)两种类型。
2. Pronoun (代词)代词用于代替名词或名词短语,如 he, she, it 等。
3. Verb (动词)动词是表示动作、状态或存在的词语。
动词分为不规则动词(irregular verbs)和规则动词(regular verbs)两种类型。
4. Adverb (副词)副词用于修饰动词、形容词或其他副词,表示时间、地点、方式等词语,如slowly, often, here 等。
5. Adjective (形容词)形容词用于修饰名词或代词,描述这些词的性质或状态,如 beautiful, red, small 等。
6. Preposition (介词)介词用于表示名词与其他词语之间的关系,如 in, on, at 等。
7. Conjunction (连词)连词用于连接单词、短语或从句,如 and, but, because 等。
8. Interjection (感叹词)感叹词用于表示惊讶、喜悦、痛苦等情感,如 oh, wow, alas 等。
二、语法1. Subject (主语)主语是句子中执行动作或是行为的人或事物。
例句:The cat eats fish.(那只猫吃一条鱼。
)中,“cat” 是主语。
2. Predicate (谓语)谓语是指主语所执行的动作或行为。
通常是一个动词。
例句:The cat eats fish.(那只猫吃一条鱼。
)中,“eats” 是谓语。
3. Object (宾语)宾语位于动词后面,表示动作的接受者或是动作对象。
英语语法术语语法grammar句法syntax词法morphology结构structure层次rank句子sentence从句clause词组phrase词类part of speech单词word实词notional word虚词structural word单纯词simple word派生词derivative复合词compound词性part of speech名词noun专有名词proper noun普通名词common noun可数名词countable noun不可数名词uncountable noun 抽象名词abstract noun具体名词concret noun物质名词material noun集体名词collective noun个体名词individual noun介词preposition连词conjunction动词verb主动词main verb及物动词transitive verb不及物动词intransitive verb 系动词link verb助动词auxiliary verb情态动词modal verb规则动词regular verb不规则动词irregular verb 短语动词phrasal verb限定动词finite verb非限定动词infinite verb使役动词causative verb感官动词verb of senses动态动词event verb静态动词state verb感叹词exclamation形容词adjective副词adverb方式副词adverb of manner程度副词adverb of degree时间副词adverb of time地点副词adverb of place修饰性副词adjunct连接性副词conjunct疑问副词interrogative adverb关系副词relative adverb代词pronoun人称代词personal pronoun物主代词possessive pronoun反身代词reflexive pronoun相互代词reciprocal pronoun指示代词demonstrative pronoun 疑问代词interrogative pronoun 关系代词relative pronoun不定代词indefinite pronoun物主代词possessive pronoun名词性物主代词nominal possessive pronoun形容词性物主代词adjectival possessive pronoun冠词article定冠词definite article不定冠词indefinite article数词numeral基数词cardinal numeral序数词ordinal numeral分数词fractional numeral形式form单数形式singular form复数形式plural form限定动词finite verb form非限定动词non-finite verb form 原形base form从句clause从属句subordinate clause并列句coordinate clause名词从句nominal clause定语从句attributive clause状语从句adverbial clause宾语从句object clause主语从句subject clause同位语从句appositive clause时间状语从句adverbial clause of time地点状语从句adverbial clause of place方式状语从句adverbial clause of manner让步状语从句adverbial clause of concession原因状语从句adverbial clause of cause结果状语从句adverbial clause of result目的状语从句adverbial clause of purpose条件状语从句adverbial clause of condition真实条件状语从句adverbial clause of real condition 非真实条件状语从句adverbial clause of unreal condition含蓄条件句adverbial clause of implied condition错综条件句adverbial clause of mixed condition句子sentence简单句simple sentence并列句compound sentence复合句complex sentence并列复合句compound complex sentence陈述句declarative sentence疑问句interrogative sentence一般疑问句general question特殊疑问句special question选择疑问句alternative question 附加疑问句tag question反义疑问句disjunctive question 修辞疑问句rhetorical question感叹疑问句exclamatory question存在句existential sentence肯定句positive sentence基本句型basic sentence pattern 否定句negative sentence祈使句imperative sentence省略句elliptical sentence感叹句exclamatory sentence句子成分members of sentences 主语subject谓语predicate宾语object双宾语dual object直接宾语direct object间接宾语indirect object复合宾语complex object同源宾语cognate object补语complement主补subject complement宾补object complement 表语predicative定语attribute同位语appositive状语adverbial句法关系syntactic relationship 并列coordinate从属subordination修饰modification前置修饰pre-modification后置修饰post-modification限制restriction双重限制double-restriction非限制non-restriction数number单数形式singular form复数形式plural form规则形式regular form不规则形式irregular form格case普通格common case所有格possessive case主格nominative case宾格objective case性gender阳性masculine阴性feminine通性common中性neuter人称person第一人称first person第二人称second person第三人称third person时态tense过去将来时past future tense过去将来进行时past future continuous tense过去将来完成时past future perfect tense一般现在时present simple tense 一般过去时past simple tense一般将来时future simple tense 现在完成时past perfect tense 过去完成时present perfect tense 将来完成时future perfect tense 现在进行时present continuous tense过去进行时past continuous tense将来进行时future continuous tense过去将来进行时past future continuous tense现在完成进行时present perfect continuous tense过去完成进行时past perfect continuous tense语态voice主动语态active voice被动语态passive voice语气mood陈述语气indicative mood祈使语气imperative mood虚拟语气subjunctive mood否定negation否定范围scope of negation全部否定full negation局部否定partial negation转移否定shift of negation语序order自然语序natural order倒装语序inversion全部倒装full inversion部分倒装partial inversion直接引语direct speech间接引语indirect speech自由直接引语free direct speech 自由间接引语free indirect speech一致agreement主谓一致subject-predicate agreement语法一致grammatical agreement 概念一致notional agreement就近原则principle of proximity 强调emphasis重复repetition语音pronunciation语调tone升调rising tone降调falling tone降升调falling-rising tone文体style正式文体formal非正式文体informal口语spoken/oral English套语formulistic expression英国英语British English美国英语American English用法usageTerms of English Language Teaching Methodology感情色彩emotional coloring褒义commendatory贬义derogatory幽默humorous讽刺sarcastic挖苦ironic英语教学法术语Aachievement test 成绩测试acquisition 习得,语言习得acquisition 语言习得顺序active mastery 积极掌握active vocabulary 积极词汇,主动词汇affective filtering 情感筛选aim,objective 目的,目标analysis of errors 错误分析analytic approach 分析教学法,分析法analytical reading 分析性阅读application to practice 运用于实践applied linguistics 应用语言学approach 教学路子aptitude test 能力倾向测验Army method 陆军法associative learning 联想性学习auditory discrimination 辨音能力auditory feedback 听觉反馈auditory memory 听觉记忆auditory perception 听觉audio-lingual method 听说法audio-visual method 视听法aural-oral approach 听说教学法,听说法aural-oral method 听说法Bbasic knowledge 基本知识basic principle 基本原则basic theory 基本理论basic training 基本训练basic vocabulary 基本词汇behaviourism 行为主义bilingual 双语的bilingual education 双语教育blank filling 填空Cchain drill 链式操练,连锁操练choral repetition 齐声照读,齐声仿读class management 课常管理classroom interaction 课常应对cloze 完形填空coach 辅导cognitive approach 认知法common core 语言的共同核心,语言共核communicative drill 交际性操练communicative exercise 交际练习communicative langunge teaching 交际派语言教学法,交际教学法community language learning 集体语言学习法comparative method 比较法communicative approach 交际法comprehensible input 不难理解的输入comprehensive method 综合法computer-managed instruction 计算机管理教学concord and coordination 默契与配合console 控制台consonant cluster 辅音连缀context 上下文controlled composition 控制性作文course density 课堂密度course design 课程设计cramming method 灌输式cue word 提示词curriculum 课程,教学大纲curriculum development 课程编制,课程设计cultrual objective,aim 教养目的cclical approach 循环教学法,循环法Ddeductive learning 演绎性学习deductive method 演绎法delayed auditory feedback 延缓听觉反馈demonstration 演示demonstration lesson 示范教学describe a picture in writing 看图说话describe a picture orally 描写语言学diagram 图解diagnostic test 诊断性测验dicto-comp 听写作文direct application 直接应用direct comprehension 直接理解direct learning 直接学习direct method 直接教学法Eeducational objective, aim 教育目的EFL 英语作为外语EGP 通用英语ELT 英语教学English as a Foreign Language 英语作为外语English as an International Language 英语作为国际语言English environment 英语环境English for Academic Purposes 学术英语English for general prupose 普通英语English for General Purposes 通用英语English for specific purposes 专用英语ESOL English for Speakers of Other Languages 供非英语民族使用的英语English medium school 英语授课学校English teaching;teaching English 英语教学WSD(English as a Second Dialect)英语作为第二方言WSL(English as a Second Language)英语作为第二语言ESL Programme(English as a Second Language Programme)英语(第二语言)教程ESP(English for Special Purposes)专用英语EST(English for Science and Technology)科技英语evaluation 评语,评价examination 考试examination question 考题experimental method 实验法extensive reading 泛读external speech 外语言语extra-curiculum activity 课外活动extra-curriculum club,group 课外小组Ffacial expression 面部表情feedbace 反馈film projector 电影放映机filmstrip 电影胶片final stage 高级阶段first language 第一语言,母语formative evaluation 自由作文free practice 自由练习frequency of word 词的频率al approach 功能法al syllabus 功能派教学大纲word 功能词Ggeneral linguistics 普通语言学gestalt style 格式塔式(学习),整体式(学习)gesture 手势getting students ready for class 组织教学global learning 整体式学习,囫囵吞枣式学习global question 综合性问题gradation 级进法,分级递升法graded direct method 循序直接法grading 级进法,分级递升法;评分grammar lesson 语法课grammar method 语法法grammar translation method 语法翻译法grammatical analysis 语法分析group reading 集体朗读group training 集体练习guided composition 引导性作文Hheuristic method of teaching 启发式教学法heurstics 启发法;探索法humanistic approach 人本主义教学法Iidealism 唯心主义imitatiom 模仿immersion programme 沉浸式教学imparting knowledge 传授知识incomplete plosive 不完全爆破independent composition 独立作文individualized instruction 个别教学individual training 个别练习inductive learning 归纳性学习inductive method 归纳法inflection,inflexion 词形变化information,processing 信息处理initial beginning stage 初级阶段inner speech 内语言语in-service training 在职培训instructional objective 语言教学目标integrative teaching 综合教学integrated approach 综合教学法,综合法intelligent memory 理解性记忆language training 强化教学intensive training 精读intermediate stage 中级阶段interpretation 头口翻译International Phonetic Alphabet 国际音标Jjuncture 连读,音渡junior high school 初级中学junior school 初级学校junior sceondary school 初级中等学校junior-senior high school 初高中junior technical college(or school) 初级职业学院(或学校)junior year 大学三年级Kkey words 基本词,关键字kinesics 身势语,身势学kinesthetic memory 动觉记忆knowledge 知识knowledge structure 知识结构Llanguage acquisition 语言习得language acquisition device 语言习得机制language arts 语言技能language competence,or knowledge 语言知识language learning capability 语言学习能力language laboratory;lab 语言实验室language leaning capacity 语言学习能力language pedagogy 语言教育language performance 语言行为language program design 语言课程设计language test 语言测试learning by deduction 演绎性学习learning by induction 归纳性学习learning process 学习过程learning style 学习方式lesson conducting 教课lesson plan 课时计划,教案lesson preparation 备课lesson type 课型linguistics 语言学linguistic competence 语言能力linguistic method 口语领先教学法living language 活的语言long-term memory 长期记忆look-and-say method 看图说话法Mmeaningful drill 有意义的操练neabubgful exercise 有意义的练习meaningful learning 理解性学习means of teaching 教学手段mechanical drill 机械操练mechanical exercise 机械练习mechanical memory 机械记忆mechanical translation 机器翻译medium of instruction 教学媒介语,教学语言memory 记忆,记忆力memory span 记忆幅度memorizing 用记记住method 方法methodology of teaching 教学法methodology of teaching English 英语教学法microteaching 微型教学mim-mem method 模仿—记忆法minimal pair 最小对立体(一种辨音练习)model 模型modeling 示范教学modern equipment 现代化设备modern language 现代语言monitor hypothesis 语言监控说mother tongue 母语motivation 引起动机Nnative language 本族语natural appoach 自然教学法,自然法natural method 自然法needs analysis 需要分析new lesson 新课nine-pile grading 九堆法notional approach 意念法notional-al syllabus 意念-功能派教学大纲notional syllabus 意念大纲、意念派教学大纲Oobservation lesson 观摩教学objective 教学目标optimum age hypothesis 学习最佳年龄说operating principle 操作原则oral approach 口语教学法,口语法oral exercise 口语练习oral method 口授法oral reading 朗读order of acquisition 语言习得顺序organization of teaching materials 教材组织organs of speech 发音器官outside reading 课外阅读overlearing 过量学习Ppaired-associate learning 配对联想学习法pair work 双人作业,双人练习passive vocabulary 消极词汇pattern drill 句型操练pattern practice 句型练习pdeagogical grammar 教学语法pedagogy 教育法peer teaching 同学互教penmanship handwriting 书法perception 知觉performance objective 语言实践目标personality 个性philosophy 哲学phoneme 音素phonetics 语音法phonetic method 按字母音值拼读法phonology 音位学picture 图画phasement test 分班测验plateau of learning 学习高原practical objective 实用目的practice effect 练习效应practice of teaching 教学实践presentation of new materials 提出新材料pre-teaching 预教primary of speech 口语领先principle of communication 交际性原则principle of teaching 教学原则problem solving 习题解答production stage 活用阶段,产出阶段productive exercise 活用练习productive mastery 活用掌握productive vocabulary 活用词汇proficiency 熟练program desing 课程设计psycho-linguistics 心理语言学psychological method 心理法Qqualified teacher 合格教师question band 试题库questionnaire 调查问卷questions 提问Rrapid reading 快速阅读,快读rate of reading 阅读速度readability 易读性read by turns 轮读reading 阅读reading lesson 阅读课reading method 阅读法reading speed 阅读速度reading vocabulary 阅读词汇,阅读词汇量receptive language knowledge 接受性语言知识receptive vocabulary 领会词汇reformed method 改良法regression 回看,重读reinforcement 巩固reinforcement lesson 巩固课repetition drill 复述操练repetition-stage 仿照阶段response 反应retelling 复述retention 记忆teview;tevision 复习review(revise)and check up 复习检查review(revision)lesson 复习课rewriting 改写rhythm 节奏role-play 扮演角色rote learning 强记学习法,死记硬背Sscanning 查阅,扫瞄school practice 教学实习scientific way of thinking 科学的思想方法second language 第二语言segment 音段,切分成分semantics 语义学seminar 课堂讨论sentence completion 完成句子short-term memory 短期记忆sight vocabulary 一见即懂的词汇silent reading 默读silent way 沉默法,静授法simplification 简写simplified reader 简写读本simulation 模拟,模拟性课堂活动simultaneous interpretation 同声翻译situational method 情景法situational language teaching 情景派语言教学法,情景教学法situational method 情景教学法situational syllabus 情景派教学大纲situation reinforcement 情景强化法skimming 略读,济览slide 幻灯片slide projector 幻灯片socialized speech 社会化言语socio-linguistics 社会语言学soft ware 软件speech disorder 言语缺陷speech pathology 言语病理学speech perception 言语知觉speech reading 唇读法speed reading 快速阅读,快读speelling 正字法spiral approach 螺旋式教学法,螺旋法spoken lauguang 口语stage of teaching 教学阶段stick drawing;mathch drawing 简笔画stimulus and response 刺激与反应stress accent 重音,重读structuralism 结构主义(语言学)structural method 结构法student-centered 学生中心student-centered learning 学生为主学习法student teacher 实习教师student teaching 教育实习submersion programme 沉浸式教程substitution 替换substitution table 替换表subvocal reading 默读suggestopaedia 暗示教学法syllabus 教学大纲syllabus design 教学大纲设计syllabus for middle school English 中学英语教学大纲synthetic approach 综合性教学法,综合法synthetical reading 综合性阅读Ttarget language 目的语,译文语言teacher’s book 教师用书teacher’s manual 教师手册teaching experience 教学经验teaching objective,aim 教学目的teaching procedure 教学过程teaching tools;property 教具teaching words in isolation 孤立教单词theory of teaching 教学理论TEFL 英语(外语)教学TESL 英语(第二语言)教学TESOL 对非英语民族教英语time allotment 时间分配total physical response method 整体动作反应法transformation drill 转换操练translation method 翻译法transformational generative grammar 转化生成语法Uunconscious 潜意识underclassman 低年级学生undergraduate 大学本科生undergraduate course 大学本科课程undergraduate school 大学本科学院undergraduate special 大学特殊课程unified studied 统一课程university high school 大学附属中学university of the air 广播电视大学updating courses/training 现代化课程/训练upgrading courses/training 进修课程/训练upperclassman 高年级学生use and usage 使用和用法utterance 语段Vverbal association 词语联想verbal learning 语言学习,单词学习video 电视,影象videotape 录象磁带visual perception 视觉visual aid 直观手段visit a class 听课visual memory 视觉记忆vocabulary control 词汇控制Wword association 词际联想word list 词表word study 词的研究word frequency 词汇重复率written language 书面语感情色彩emotional coloring褒义commendatory贬义derogatory幽默humorous讽刺sarcastic挖苦ironic英语教学术语Approach教学路子Communicative approach交际法Communicative language teaching 交际语言教学Method教学方法Syllabus design教学大纲设计Frist language母语Second language第二语言Foreign language外语Target language目的语言Techniques技巧Brainstorm指就某一问题随便发表观点或建议的过程Group-work小组活动Pair-work两人一组的活动View of work语言理论或对语言的认识Structural view结构主义语言理论Functional view功能主义语言理论Interactional view交互语言理论Behaviourist theory行为主义学习理论Cognitive theory认知学习理论Process-oriented theory强调过程的语言学习理论Condition-oriented theory强调条件的语言学习理论Audiolingual theory外语教学听说法TPR:total physical respone 全身反应法Silent way沉默法Natural approach自然法Reflective teaching反思教学Communicative approach交际法或交际路子Communicative competence交际能力Linguistic competence语言能力Teaching procedures教学步骤Teaching aids教学辅助材料和设备Variety多样性Flexibility灵活性Learnability可学性Linkage连接Micro planning微观备课Macro planning宏观备课RP:received pronunciation英国伦敦附近的一种方言。
语态(Voice)主动态(Active voice)被动态(passive voice)be-型被动态(Be-passive)主动句(active sentence)被动句(passive sentence)不定式被动态(passive infinitive)get-型被动态(get-passive)操作词(operator)保留宾语(retained object)虚拟语气(subjunctive mood)陈述式(indicative mood)祈使式(imperative mood)虚拟式(subjunctive mood)陈述句(statement)疑问句(question)假设意义(hypothetical meaning)非事实意义(non-factual meaning)条件句(conditional)含蓄条件句(implied condition)be-型虚拟式(be-subjunctive)were-型虚拟式(were-subjunctive)推测性(epistemic)非推测性(non-epistemic)不定式(infinitive)-ing分词(-ing participle)-ed分词(-ed participle)非限定分句(non-finite clause)时(tense)人称(person)数(number)体(aspect)态(voice)一般形式(to write)进行体形式(to be writing)完成体形式(to be written)完成进行体形式(to have been writing)带to不定式(to-infinitive)不带to不定式(bare infinitive)边际情态助动词(marginal modal auxiliary)情态成语(modal idiom)排比结构(parallel construction)分裂不定式(split infinitive)深层结构(deep structure)动态形容词(dynamic adjective)静态形容词(stative adjective)逻辑主语(logical subject)非限定分句(non-finite clause)不定式分句(infinitive clause)-ing分词分句(-ing participle clause)-ed分词分句(-ed participle clause)评状性状语(disjunct)近似并列连词(quasi-coordinator)独立结构(absolute construction)现在分词(present participle)动名词(gerund)逻辑主语(logical subject)无动词分词(verbless clause)过去分词(past participle)前置修饰语(premodifier)主语补语(subject complement)宾语补语(object complement)悬垂分词(dangling participle)无依着分词(unattached participle)依着法则(attachment rule)单词形容词(one-word adjective)复合形容词(compound adjective)中心形容词(central adjective)外围形容词(peripheral adjective)动态形容词(dynamic adjective)静态形容词(stative adjective)等级形容词(gradable adjective)非等级形容词(non-gradable adjective)状语(adverbial)连接副词(conjunctive adverb)简单副词(simple adverb)派生副词(derivative adverb)方式副词(adverb of manner)程度副词(adverb of degree)时间副词(adverb of time)频度副词(adverb of frequency)地点副词(adverb of place)连接副词(conjunctive adverb)解说副词(explanatory adverb)分句成分(clause element)状语(adverbial)修饰性状语(adjunct)评注性状语(disjunct)连接性状语(conjunct)可等级的(gradable)原级(positive/absolute degree)比较级(comparative degree)最高级(superlative degree)综合形式(synthetic form)分析形式(analytic form)比较结构(comparative construction)可等级名词(gradable noun)分析性语言(analytic language)固定的词序(word order)简单介词(simple preposition)复杂介词(complex preposition)双词介词(two-word preposition)三词介词(three-word preposition)四词介词(four-word preposition)陈述句(statement)疑问句(question;interrogative sentence)一般疑问号(general question)特色疑问句(special question)选择疑问句(alternative question)附加疑问句(tag question)是非问句(yes-no question)非肯定句(non-assertive word)肯定词(assertive word)非肯定词(non-assertive word)否定词(negative word)选择疑问句(alternative question)附加问句(question tag)祈使句(command;imperative sentence)感叹句(exclamation;exclamatory sentence)强调词(emphasizer)强调附加结构(reinforcement tag)双重否定(double negative)修辞疑问句(rhetorical question)操作词(operator)调核(nucleus)调型(intonation pattern)低降调(low fall)高降调(high fall)低升调(low rise)降升调(fall rise)半否定词(semi-negative)动词祈使式(imperative mood)呼语(vocative)存在句(existential sentence)实义主语(notional subject)真主语(real subject)地点状语(locative adverbial)时间状语(temporal adverbial)复杂存在句(complex existential sentence)非限定存在句(non-finite existential sentence)述位(rheme)非指代性it(non-referring it)先行项(antecedent)否定范围(scope of negation)否定焦点(focus of negation)转移否定(transferred negation)双重否定(double negation)局部否定(local negation)多余否定(pleonastic;superfluous negation)并列连词(coordinator)并列结构(coordinate structure)并列句(compound sentence)不带连词的并列结构(asyndetic coordination)带连词的并列结构(syndetic coordination)并列连词(coordinator)关联并列连词(correlative coordinator)近似并列连词(quasi-coordinator)从属连词(subordinator)复杂介词(complex preposition)排比(parallelism)从属(subordination)从属结构(subordinate construction)简单从属连词(simple subordinator)复杂从属连词(complex subordinator)关联从属连词(correlative subordinator)边际从属连词(marginal subordinator)单词从属连词(one-word subordinator)名词性关系分句(nominal relative clause)状语分句(depictive adverbial)时间状语分句(adverbial clause of time)地点状语分句(adverbial clause of place)方式状语分句(adverbial clause of manner)原因状语分句(adverbial clause of cause)结果状语分句(adverbial clause of result)目的状语分句(adverbial clause of purpose)条件状语分句(adverbial clause of condition)让步状语分句(adverbial clause of concession)伴随状况状语分句(adverbial clause of accompanying circumstances)独立结构(absolute construction)真实条件句(real conditional)基本形式(basic form)变体形式(variant form)替换形式(alternative form)非真实条件句(unreal conditional)关系分句(relative clause)定语从句(attributive clause)限制性关系分句(restrictive relative clause)非限制性关系分句(non-restrictive relative clause)关系限定词(relative determiner)双重关系分句(double relative clause)嵌入式关系分句(embedded relative clause;pushdown relative clause)。
英语专业英语语法术语1.形容词(adjective)形容词,用来描述人或事物,可描述外貌,颜色,大小或其他方面。
例如: A tall woman; She has brown eyes: My gloves are wet.2.副词(adverb)副词,用来表示某事在何时、何地、如何发生。
例如:See you tomorrow; He spoke slowly;I want to get down3.助动词(auxiliary verb)助动词,在完成时态和进行时态中,或疑问句、否定式和被动式中,与助动词和其他动词连用。
英语中主要的助动词有be, have 和do.例如: Is it snowing? I have never been to Washington; we don’t have a computer at home。
情态动词也属于助动词。
4.分句(clause)分句,指有一个动词的一组词。
有些句子只有一个分句。
例如: I fell asleep。
有些句子含有不止一个分句。
例如:When I told him, he laughed; I want to go but I feel too ill.5.比较级(comparative)形容词或副词比较级形式,由在其结尾加“er“或前面加“more”构成。
例如:taller,more beautiful, more carefully.6.连词(conjunction)连词,如and, but, if. since,连接两个单词或两个句子。
例如:I enjoyed my holiday, but it wasn’t long enough,;James and Ewan came to theparty, If you miss your bus, you’ll have to walk home .7.可数名词(countable noun)可数名词,指可以计数的名词,可数名词有单数和复数两种形式。
英语语法专业术语语法 grammar句法 syntax词法 morphology结构 structure层次 rank句子 sentence从句 clause词组 phrase词类 part of speech单词 word实词 notional word虚词 structural word名词 noun专有名词 proper noun普通名词 common noun可数名词 countable noun 不可数名词 uncountable no 抽象名词 abstract noun具体名词 concrete noun物质名词 material noun 集体名词 collective noun 个体名词 individual noun 介词 preposition连词 conjunction动词 verb主动词 main verb及物动词 transitive verb不及物动词 intransitive verb 系动词 link verb助动词 auxiliary verb情态动词 modal verb规则动词 regular verb不规则动词 irregular verb短语动词 phrasal verb限定动词 finite verb非限定动词 infinite verb使役动词 causative verb感官动词 verb of senses动态动词 event verb静态动词 state verb感叹词 exclamation形容词 adjective副词 adverb方式副词 adverb of manner程度副词 adverb of degree时间副词 adverb of time地点副词 adverb of place修饰性副词 adjunct连接性副词 conjunct疑问副词 interrogative adverb关系副词 relative adverb代词 pronoun人称代词 personal pronoun物主代词 possessive pronoun反身代词 reflexive pronoun相互代词 reciprocal pronoun指示代词 demonstrative pronoun疑问代词 interrogative pronoun关系代词 relative pronoun不定代词 indefinite物主代词 possessive pronoun名词性物主代词 nominal possessive形容词性物主代词 adjectival possessive pronoun 冠词 article定冠词 definite article不定冠词 indefinite article数词 numeral基数词 cardinal numeral序数词 ordinal numeral分数词 fractional numeral形式 form单数形式 singular form复数形式 plural form限定动词 finite verb form非限定动词 non-finite verb form原形 base form从句 clause从属句 subordinate clause并列句 coordinate clause名词从句 nominal clause定语从句 attributive clause状语从句 adverbial clause宾语从句 object clause主语从句 subject clause同位语从句 appositive clause时间状语从句 adverbial clause of time地点状语从句 adverbial clause of place方式状语从句 adverbial clause of manner让步状语从句 adverbial clause of concession原因状语从句 adverbial clause of cause结果状语从句 adverbial clause of result目的状语从句 adverbial clause of purpose条件状语从句 adverbial clause of condition真实条件状语从句 adverbial clause of real condition非真实条件状语从句 adverbial clause of unreal condition 含蓄条件句 adverbial clause of implied condition错综条件句 adverbial clause of mixed condition句子 sentence简单句 simple sentence并列句 compound sentence复合句 complex sentence并列复合句 compound complex sentence 陈述句 declarative sentence疑问句 interrogative sentence一般疑问句 general question特殊疑问句 special question选择疑问句 alternative question附加疑问句 tag question反义疑问句 disjunctive question修辞疑问句 rhetorical question感叹疑问句 exclamatory question存在句 existential sentence肯定句 positive sentence否定句 negative sentence祈使句 imperative sentence省略句 elliptical sentence感叹句 exclamatory sentence基本句型 basic sentence pattern句子成分 members of sentences主语 subject谓语 predicate宾语 object双宾语 dual object直接宾语 direct object间接宾语 indirect object复合宾语 complex object同源宾语 cognate object补语 complement主补 subject complement宾补 object complement表语 predicative定语 attribute同位语 appositive状语 adverbial句法关系syntactic relationship 并列 coordinate从属 subordination修饰 modification前置修饰 pre-modification后置修饰 post-modification限制 restriction双重限制 double-restriction非限制 non-restriction数 number单数形式 singular form复数形式 plural form规则形式 regular form不规则形式 irregular form格case普通格common case所有格possessive case主格 nominative case宾格 objective case性 gender阳性 masculine阴性 feminine通性 common中性 neuter人称 person第一人称 first person第二人称 second person第三人称 third person时态 tense过去将来时 past future tense过去将来进行时 past future continuous tense 过去将来完成时 past future perfect tense一般现在时 present simple tense一般过去时 past simple tense一般将来时 future simple tense现在完成时 past perfect tense过去完成时 present perfect tense将来完成时 future perfect tense现在进行时 present continuous tense过去进行时 past continuous tense将来进行时 future continuous tense过去将来进行时 past future continuous tense现在完成进行时 present perfect continuous tense 过去完成进行时 past perfect continuous tense语态 voice主动语态 active voice被动语态 passive voice语气 mood陈述语气 indicative mood祈使语气 imperative mood虚拟语气 subjunctive mood否定 negation否定范围 scope of negation全部否定 full negation局部否定 partial negation转移否定 shift of negation语序 order自然语序 natural order倒装语序 inversion全部倒装 full inversion部分倒装 partial inversion直接引语 direct speech间接引语 indirect speech自由直接引语 free direct speech自由间接引语 free indirect speech 一致 agreement主谓一致 subject-predicate agreement 语法一致 grammatical agreement概念一致 notional agreement就近原则 principle of proximity强调 emphasis重复 repetition语音 pronunciation语调 tone升调 rising tone降调 falling tone降升调 falling-rising tone文体style正式文体 formal非正式文体 informal口语 spoken/oral English套语 formulistic expression英国英语 British English美国英语 American English用法 usage感情色彩 emotional coloring褒义 commendatory贬义 derogatory幽默 humorous讽刺 sarcastic挖苦 ironic动名词 gerund连字号 hyphen祈使语气 imperative mood祈使句 imperative sentences独立成分 indefinite case主句 indicative mood物质名词 material nouns句子的成分 members of the sentence情态动词 modal verbs语气 mood词法 morphology否定疑问句 negative interrogative sentence动词的非限定形式 non-finite forms of the verb非限制性定语从句 non-restrictive attributive clauses 括号 brackets名词的分类 classification of nouns从句(分句)clauses同源宾语 cognate object集体名词 collective nouns冒号 colon逗号 comma普通格 common case普通名词 common nouns比较级 comparative degree复合宾语 complex Object复合句 complex sentences并列复合句 compound complex sentences表性状的复合谓语 compound nominal predicate复合谓语 compound predicate并列句 compound sentences表行为的复合谓语 compound verbal predicate合成词 compound words合成 compounding ( composition )错综时间条件句 conditional sentences of mixed time 连词 conjunction连接副词 conjunctive adverbs连接代词 conjunctive pronouns转化 conversion并列连词 co-coordinating conjunctions可数名词 countable nouns破折号 dash陈述句 declarative sentences定冠词 definite article比较的级别 degrees of comparison指示代词 demonstrative pronouns派生(词缀法) derivation ( affixation )描绘性定语 descriptive attributes呼语 direct address直接宾语 direct object直接引语 direct speech反意问句 disjunctive questions省略 ellipsis省略句 elliptical sentences感叹号 exclamation mark感叹句 exclamatory sentences动词的限定形式 finite forms of the verb虚词form words分数词 fractional numerals完全倒装 full inversion将来进行时future continuous一般将来时 future indefinite将来完成时 future perfect将来完成进行时 future perfect continuous独立结构 absolute constructions物主代词的绝对形式 absolute forms of possessive pronouns 抽象名词 abstract nouns主动语态 active voice方式状语从句 adverbial clauses of manner地点状语从句 adverbial clauses of place目的状语从句 adverbial clauses of purpose时间状语从句 adverbial clauses of time程度副词 adverbs of degree频度副词 adverbs of frequency方式副词 adverbs of manner地点副词 adverbs of place时间副词 adverbs of time选择问句 alternative questions 句子分析 analysis of sentences 省略号 apostrophe同谓语 appositive同位语从句 appositive clauses 助动词 auxiliary verbs插入语 parenthesis部分倒装 partial inversion分词短语 participial phrases 分词 participle小品词 particle词类 parts of speech过去式 past forms过去分词past participle句号 period ( full stop )人称 person人称代词 personal pronouns成语动词 phrasal verbs谓语 predicate表语 predicative表语从句 predicative clauses 前缀 prefix(es)介词短语 prepositional phrases现在式 present forms现在分词 present participle动词的主要形式 principal forms of verbs专有名词 proper nouns标点符号 punctuation问号 question mark引号 quotation mark相互代词 reciprocal pronouns不定代词 indefinite Pronouns关系副词 relative adverbs关系代词 relative pronouns限制性定语从句 restrictive attributive clauses 自身代词 self pronouns分号 semicolon真实条件句 sentences of real condition虚拟条件句 sentences of unreal condition时态的呼应 sequence of tenses特殊问句special questions虚拟语气 subjunctive mood后缀 suffix(es)最高级 superlative degree句法syntax句型的转换transformation of sentences双部句 two-member sentences不可数名词 uncountable nouns 动词短语verbal phrases名词化的动词 verbal noun构词法 word building。
英语语法专业术语语法 grammar句法 syntax词法 morphology结构 structure层次 rank句子 sentence从句 clause词组 phrase词类 part of speech单词 word实词 notional word虚词 structural word名词 noun专有名词 proper noun普通名词 common noun可数名词 countable noun不可数名词 uncountable no抽象名词 abstract noun具体名词 concrete noun物质名词 material noun集体名词 collective noun个体名词 individual noun介词 preposition连词 conjunction动词 verb主动词 main verb及物动词 transitive verb不及物动词 intransitive verb 系动词 link verb助动词 auxiliary verb情态动词 modal verb规则动词 regular verb不规则动词 irregular verb短语动词 phrasal verb限定动词 finite verb非限定动词 infinite verb使役动词 causative verb感官动词 verb of senses动态动词 event verb静态动词 state verb感叹词 exclamation形容词 adjective副词 adverb方式副词 adverb of manner程度副词 adverb of degree时间副词 adverb of time地点副词 adverb of place修饰性副词 adjunct连接性副词 conjunct疑问副词 interrogative adverb关系副词 relative adverb代词 pronoun人称代词 personal pronoun物主代词 possessive pronoun反身代词 reflexive pronoun相互代词 reciprocal pronoun指示代词 demonstrative pronoun疑问代词 interrogative pronoun关系代词 relative pronoun不定代词 indefinite物主代词 possessive pronoun名词性物主代词 nominal possessive形容词性物主代词 adjectival possessive pronoun 冠词 article定冠词 definite article不定冠词 indefinite article数词 numeral基数词 cardinal numeral序数词 ordinal numeral分数词 fractional numeral形式 form单数形式 singular form复数形式 plural form限定动词 finite verb form非限定动词 non-finite verb form原形 base form从句 clause从属句 subordinate clause并列句 coordinate clause名词从句 nominal clause定语从句 attributive clause状语从句 adverbial clause宾语从句 object clause主语从句 subject clause同位语从句 appositive clause时间状语从句 adverbial clause of time地点状语从句 adverbial clause of place方式状语从句 adverbial clause of manner让步状语从句 adverbial clause of concession原因状语从句 adverbial clause of cause结果状语从句 adverbial clause of result目的状语从句 adverbial clause of purpose条件状语从句 adverbial clause of condition真实条件状语从句 adverbial clause of real condition非真实条件状语从句 adverbial clause of unreal condition 含蓄条件句 adverbial clause of implied condition错综条件句 adverbial clause of mixed condition句子 sentence简单句 simple sentence并列句 compound sentence复合句 complex sentence并列复合句 compound complex sentence陈述句 declarative sentence疑问句 interrogative sentence一般疑问句 general question特殊疑问句 special question选择疑问句 alternative question附加疑问句 tag question反义疑问句 disjunctive question修辞疑问句 rhetorical question感叹疑问句 exclamatory question存在句 existential sentence肯定句 positive sentence否定句 negative sentence祈使句 imperative sentence省略句 elliptical sentence感叹句 exclamatory sentence基本句型 basic sentence pattern句子成分 members of sentences主语 subject谓语 predicate宾语 object双宾语 dual object直接宾语 direct object间接宾语 indirect object复合宾语 complex object同源宾语 cognate object补语 complement主补 subject complement宾补 object complement表语 predicative定语 attribute同位语 appositive状语 adverbial句法关系syntactic relationship并列 coordinate从属 subordination修饰 modification前置修饰 pre-modification后置修饰 post-modification限制 restriction双重限制 double-restriction非限制 non-restriction数 number单数形式 singular form复数形式 plural form规则形式 regular form不规则形式 irregular form格case普通格common case所有格possessive case主格 nominative case宾格 objective case性 gender阳性 masculine阴性 feminine通性 common中性 neuter人称 person第一人称 first person第二人称 second person第三人称 third person时态 tense过去将来时 past future tense过去将来进行时 past future continuous tense过去将来完成时 past future perfect tense一般现在时 present simple tense一般过去时 past simple tense一般将来时 future simple tense现在完成时 past perfect tense过去完成时 present perfect tense将来完成时 future perfect tense现在进行时 present continuous tense过去进行时 past continuous tense将来进行时 future continuous tense过去将来进行时 past future continuous tense现在完成进行时 present perfect continuous tense过去完成进行时 past perfect continuous tense 语态 voice主动语态 active voice被动语态 passive voice语气 mood陈述语气 indicative mood祈使语气 imperative mood虚拟语气 subjunctive mood否定 negation否定范围 scope of negation全部否定 full negation局部否定 partial negation转移否定 shift of negation语序 order自然语序 natural order倒装语序 inversion全部倒装 full inversion部分倒装 partial inversion直接引语 direct speech间接引语 indirect speech自由直接引语 free direct speech自由间接引语 free indirect speech一致 agreement主谓一致 subject-predicate agreement语法一致 grammatical agreement概念一致 notional agreement就近原则 principle of proximity强调 emphasis重复 repetition语音 pronunciation语调 tone升调 rising tone降调 falling tone降升调 falling-rising tone文体style正式文体 formal非正式文体 informal口语 spoken/oral English套语 formulistic expression英国英语 British English美国英语 American English用法 usage感情色彩 emotional coloring褒义 commendatory贬义 derogatory幽默 humorous讽刺 sarcastic挖苦 ironic动名词 gerund连字号 hyphen祈使语气 imperative mood祈使句 imperative sentences独立成分 indefinite case主句 indicative mood物质名词 material nouns句子的成分 members of the sentence情态动词 modal verbs语气 mood词法 morphology否定疑问句 negative interrogative sentence动词的非限定形式 non-finite forms of the verb非限制性定语从句 non-restrictive attributive clauses 括号 brackets名词的分类 classification of nouns从句(分句)clauses同源宾语 cognate object集体名词 collective nouns冒号 colon逗号 comma普通格 common case普通名词 common nouns比较级 comparative degree复合宾语 complex Object复合句 complex sentences并列复合句 compound complex sentences表性状的复合谓语 compound nominal predicate复合谓语 compound predicate并列句 compound sentences表行为的复合谓语 compound verbal predicate合成词 compound words合成 compounding ( composition )错综时间条件句 conditional sentences of mixed time 连词 conjunction连接副词 conjunctive adverbs连接代词 conjunctive pronouns转化 conversion并列连词 co-coordinating conjunctions可数名词 countable nouns破折号 dash陈述句 declarative sentences定冠词 definite article比较的级别 degrees of comparison指示代词 demonstrative pronouns派生(词缀法) derivation ( affixation )描绘性定语 descriptive attributes呼语 direct address直接宾语 direct object直接引语 direct speech反意问句 disjunctive questions省略 ellipsis省略句 elliptical sentences感叹号 exclamation mark感叹句 exclamatory sentences动词的限定形式 finite forms of the verb虚词form words分数词 fractional numerals完全倒装 full inversion将来进行时future continuous一般将来时 future indefinite将来完成时 future perfect将来完成进行时 future perfect continuous独立结构 absolute constructions物主代词的绝对形式 absolute forms of possessive pronouns 抽象名词 abstract nouns主动语态 active voice方式状语从句 adverbial clauses of manner地点状语从句 adverbial clauses of place目的状语从句 adverbial clauses of purpose时间状语从句 adverbial clauses of time程度副词 adverbs of degree频度副词 adverbs of frequency方式副词 adverbs of manner地点副词 adverbs of place时间副词 adverbs of time选择问句 alternative questions句子分析 analysis of sentences省略号 apostrophe同谓语 appositive同位语从句 appositive clauses助动词 auxiliary verbs插入语 parenthesis部分倒装 partial inversion分词短语 participial phrases分词 participle小品词 particle词类 parts of speech过去式 past forms过去分词past participle句号 period ( full stop )人称 person人称代词 personal pronouns成语动词 phrasal verbs谓语 predicate表语 predicative表语从句 predicative clauses前缀 prefix(es)介词短语 prepositional phrases现在式 present forms现在分词 present participle动词的主要形式 principal forms of verbs专有名词 proper nouns标点符号 punctuation问号 question mark引号 quotation mark相互代词 reciprocal pronouns不定代词 indefinite Pronouns关系副词 relative adverbs关系代词 relative pronouns限制性定语从句 restrictive attributive clauses 自身代词 self pronouns分号 semicolon真实条件句 sentences of real condition虚拟条件句 sentences of unreal condition时态的呼应 sequence of tenses特殊问句special questions虚拟语气 subjunctive mood后缀 suffix(es)最高级 superlative degree句法syntax句型的转换transformation of sentences双部句 two-member sentences不可数名词 uncountable nouns动词短语verbal phrases名词化的动词 verbal noun构词法 word building。