高考数学三角函数复习专题
- 格式:doc
- 大小:447.31 KB
- 文档页数:4
专题24三角函数的图象与性质(新高考专用)【知识梳理】 (2)【真题自测】 (3)【考点突破】 (10)【考点1】三角函数的定义域和值域 (10)【考点2】三角函数的周期性、奇偶性、对称性 (15)【考点3】三角函数的单调性 (22)【分层检测】 (27)【基础篇】 (27)【能力篇】 (34)【培优篇】 (38)考试要求:1.能画出三角函数的图象.2.了解三角函数的周期性、奇偶性、最大(小)值.3.借助图象理解正弦函数、余弦函数、正切函数的性质.1.用五点法作正弦函数和余弦函数的简图(1)正弦函数y =sin x ,x ∈[0,2π]的图象中,五个关键点是:(0,0)(π,0)(2π,0).(2)余弦函数y =cos x ,x ∈[0,2π]的图象中,五个关键点是:(0,1),(π,-1),(2π,1).2.正弦、余弦、正切函数的图象与性质(下表中k ∈Z )π1.正弦曲线、余弦曲线相邻两对称中心、相邻两对称轴之间的距离是半个周期,相邻的对称中心与对称轴之间的距离是14个周期.正切曲线相邻两对称中心之间的距离是半个周期.2.三角函数中奇函数一般可化为y =A sin ωx 或y =A tan ωx 的形式,偶函数一般可化为y =A cos ωx +b 的形式.3.对于y =tan x 不能认为其在定义域上为增函数,π-π2,k πk ∈Z )内为增函数.一、单选题1.(2023·全国·高考真题)函数()y f x =的图象由函数πcos 26y x ⎛⎫=+ ⎪⎝⎭的图象向左平移π6个单位长度得到,则()y f x =的图象与直线1122y x =-的交点个数为()A .1B .2C .3D .42.(2023·全国·高考真题)已知函数()()()sin ,0f x x ωϕω=+>在区间π2π,63⎛⎫ ⎪⎝⎭单调递增,直线π6x =和2π3x =为函数()y f x =的图像的两条相邻对称轴,则5π12f ⎛⎫-= ⎪⎝⎭()A .B .12-C .12D .23.(2022·全国·高考真题)设函数π()sin 3f x x ω⎛⎫=+ ⎪⎝⎭在区间(0,π)恰有三个极值点、两个零点,则ω的取值范围是()A .513,36⎫⎡⎪⎢⎣⎭B .519,36⎡⎫⎪⎢⎣⎭C .138,63⎛⎤ ⎥⎝⎦D .1319,66⎛⎤ ⎥⎝⎦4.(2022·全国·高考真题)函数()33cos x xy x -=-在区间ππ,22⎡⎤-⎢⎥⎣⎦的图象大致为()A .B .C .D .5.(2022·全国·高考真题)记函数()sin (0)4f x x b πωω⎛⎫=++> ⎪⎝⎭的最小正周期为T .若23T ππ<<,且()y f x =的图象关于点3,22π⎛⎫⎪⎝⎭中心对称,则2f π⎛⎫= ⎪⎝⎭()A .1B .32C .52D .3二、多选题6.(2022·全国·高考真题)已知函数()sin(2)(0π)f x x ϕϕ=+<<的图像关于点2π,03⎛⎫⎪⎝⎭中心对称,则()A .()f x 在区间5π0,12⎛⎫⎪⎝⎭单调递减B .()f x 在区间π11π,1212⎛⎫- ⎪⎝⎭有两个极值点C .直线7π6x =是曲线()y f x =的对称轴D .直线2y x =-是曲线()y f x =的切线三、填空题7.(2023·全国·高考真题)已知函数()cos 1(0)f x x ωω=->在区间[]0,2π有且仅有3个零点,则ω的取值范围是.8.(2023·全国·高考真题)已知函数()()sin f x x ωϕ=+,如图A ,B 是直线12y =与曲线()y f x =的两个交点,若π6AB =,则()πf =.9.(2022·全国·高考真题)记函数()()cos (0,0π)f x x ωϕωϕ=+><<的最小正周期为T ,若()f T =9x π=为()f x 的零点,则ω的最小值为.10.(2021·全国·高考真题)已知函数()2cos()f x x ωϕ=+的部分图像如图所示,则满足条件74()()043f x f f x f ππ⎛⎫⎛⎫⎛⎫⎛⎫---> ⎪ ⎪ ⎪⎪⎝⎭⎝⎭⎝⎭⎝⎭的最小正整数x 为.参考答案:1.C【分析】先利用三角函数平移的性质求得()sin 2f x x =-,再作出()f x 与1122y x =-的部分大致图像,考虑特殊点处()f x 与1122y x =-的大小关系,从而精确图像,由此得解.【详解】因为πcos 26y x ⎛⎫=+ ⎪⎝⎭向左平移π6个单位所得函数为πππcos 2cos 2sin 2662y x x x ⎡⎤⎛⎫⎛⎫=++=+=- ⎪ ⎪⎢⎥⎝⎭⎝⎭⎣⎦,所以()sin 2f x x =-,而1122y x =-显然过10,2⎛⎫- ⎪⎝⎭与()1,0两点,作出()f x 与1122y x =-的部分大致图像如下,考虑3π3π7π2,2,2222x x x =-==,即3π3π7π,,444x x x =-==处()f x 与1122y x =-的大小关系,当3π4x =-时,3π3πsin 142f ⎛⎫⎛⎫-=--=- ⎪ ⎪⎝⎭⎝⎭,13π1π4284312y +⎛⎫=⨯--=-<- ⎪⎝⎭;当3π4x =时,3π3πsin 142f ⎛⎫=-= ⎪⎝⎭,13π13π412428y -=⨯-=<;当7π4x =时,7π7πsin 142f ⎛⎫=-= ⎪⎝⎭,17π17π412428y -=⨯-=>;所以由图可知,()f x 与1122y x =-的交点个数为3.故选:C.2.D【分析】根据题意分别求出其周期,再根据其最小值求出初相,代入5π12x =-即可得到答案.【详解】因为()sin()f x x ωϕ=+在区间π2π,63⎛⎫⎪⎝⎭单调递增,所以2πππ2362T =-=,且0ω>,则πT =,2π2T ω==,当π6x =时,()f x 取得最小值,则ππ22π62k ϕ⋅+=-,Z k ∈,则5π2π6k ϕ=-,Z k ∈,不妨取0k =,则()5πsin 26f x x ⎛⎫=- ⎪⎝⎭,则5π5πsin 123f ⎛⎫⎛⎫-=-= ⎪ ⎪⎝⎭⎝⎭故选:D.3.C【分析】由x 的取值范围得到3x ω+【详解】解:依题意可得0ω>,因为()0,x π∈,所以,333x πππωωπ⎛⎫+∈+ ⎪⎝⎭,要使函数在区间()0,π恰有三个极值点、两个零点,又sin y x =,,33x ππ⎛⎫∈ ⎪⎝⎭的图象如下所示:则5323ππωππ<+≤,解得13863ω<≤,即138,63ω⎛⎤∈ ⎥⎝⎦.故选:C .4.A【分析】由函数的奇偶性结合指数函数、三角函数的性质逐项排除即可得解.【详解】令()()33cos ,,22x xf x x x ππ-⎡⎤=-∈-⎢⎥⎣⎦,则()()()()()33cos 33cos x x x xf x x x f x ---=--=--=-,所以()f x 为奇函数,排除BD ;又当0,2x π⎛⎫∈ ⎪⎝⎭时,330,cos 0x x x -->>,所以()0f x >,排除C.故选:A.5.A【分析】由三角函数的图象与性质可求得参数,进而可得函数解析式,代入即可得解.【详解】由函数的最小正周期T 满足23T ππ<<,得223πππω<<,解得23ω<<,又因为函数图象关于点3,22π⎛⎫⎪⎝⎭对称,所以3,24k k Z ππωπ+=∈,且2b =,所以12,63k k Z ω=-+∈,所以52ω=,5()sin 224f x x π⎛⎫=++ ⎪⎝⎭,所以5sin 21244f πππ⎛⎫⎛⎫=++= ⎪ ⎪⎝⎭⎝⎭.故选:A6.AD【分析】根据三角函数的性质逐个判断各选项,即可解出.【详解】由题意得:2π4πsin 033f ϕ⎛⎫⎛⎫=+= ⎪⎪⎝⎭⎝⎭,所以4ππ3k ϕ+=,k ∈Z ,即4ππ,3k k ϕ=-+∈Z ,又0πϕ<<,所以2k =时,2π3ϕ=,故2π()sin 23f x x ⎛⎫=+ ⎪⎝⎭.对A ,当5π0,12x ⎛⎫∈ ⎪⎝⎭时,2π2π3π2,332x ⎛⎫+∈ ⎪⎝⎭,由正弦函数sin y u =图象知()y f x =在5π0,12⎛⎫ ⎪⎝⎭上是单调递减;对B ,当π11π,1212x ⎛⎫∈- ⎪⎝⎭时,2ππ5π2,322x ⎛⎫+∈ ⎪⎝⎭,由正弦函数sin y u =图象知()y f x =只有1个极值点,由2π3π232x +=,解得5π12x =,即5π12x =为函数的唯一极值点;对C ,当7π6x =时,2π23π3x +=,7π(06f =,直线7π6x =不是对称轴;对D ,由2π2cos 213y x ⎛⎫'=+=- ⎪⎝⎭得:2π1cos 232x ⎛⎫+=- ⎪⎝⎭,解得2π2π22π33x k +=+或2π4π22π,33x k k +=+∈Z ,从而得:πx k =或ππ,3x k k =+∈Z ,所以函数()y f x =在点0,2⎛ ⎝⎭处的切线斜率为02π2cos 13x k y =='==-,切线方程为:(0)y x -=--即2y x =-.故选:AD .7.[2,3)【分析】令()0f x =,得cos 1x ω=有3个根,从而结合余弦函数的图像性质即可得解.【详解】因为02x π≤≤,所以02x πωω≤≤,令()cos 10f x x ω=-=,则cos 1x ω=有3个根,令t x ω=,则cos 1t =有3个根,其中[0,2π]t ω∈,结合余弦函数cos y t =的图像性质可得4π2π6πω≤<,故23ω≤<,故答案为:[2,3).8.【分析】设1211,,,22A x B x ⎛⎫⎛⎫⎪ ⎪⎝⎭⎝⎭,依题可得,21π6x x -=,结合1sin 2x =的解可得,()212π3x x ω-=,从而得到ω的值,再根据2π03f ⎛⎫= ⎪⎝⎭以及()00f <,即可得2()sin 4π3f x x ⎛⎫=- ⎪⎝⎭,进而求得()πf .【详解】设1211,,,22A x B x ⎛⎫⎛⎫⎪ ⎪⎝⎭⎝⎭,由π6AB =可得21π6x x -=,由1sin 2x =可知,π2π6x k =+或5π2π6x k =+,Z k ∈,由图可知,()215π2ππ663x x ωϕωϕ+-+=-=,即()212π3x x ω-=,4ω∴=.因为28ππsin 033f ϕ⎛⎫⎛⎫=+= ⎪ ⎪⎝⎭⎝⎭,所以8ππ3k ϕ+=,即8ππ3k ϕ=-+,Z k ∈.所以82()sin 4ππsin 4ππ33f x x k x k ⎛⎫⎛⎫=-+=-+ ⎪ ⎪⎝⎭⎝⎭,所以()2sin 4π3f x x ⎛⎫=- ⎪⎝⎭或()2sin 4π3f x x ⎛⎫=-- ⎪⎝⎭,又因为()00f <,所以2()sin 4π3f x x ⎛⎫=- ⎪⎝⎭,()2πsin 4ππ32f ⎛⎫∴=-=- ⎪⎝⎭.故答案为:【点睛】本题主要考查根据图象求出ω以及函数()f x 的表达式,从而解出,熟练掌握三角函数的有关性质,以及特殊角的三角函数值是解题关键.9.3【分析】首先表示出T ,根据()2f T =求出ϕ,再根据π9x =为函数的零点,即可求出ω的取值,从而得解;【详解】解:因为()()cos f x x ωϕ=+,(0ω>,0πϕ<<)所以最小正周期2πT ω=,因为()()2πcos cos 2πcos 2f T ωϕϕϕω⎛⎫=⋅+=+== ⎪⎝⎭,又0πϕ<<,所以π6ϕ=,即()πcos 6f x x ω⎛⎫=+ ⎪⎝⎭,又π9x =为()f x 的零点,所以ππππ,Z 962k k ω+=+∈,解得39,Z k k ω=+∈,因为0ω>,所以当0k =时min 3ω=;故答案为:310.2【分析】先根据图象求出函数()f x 的解析式,再求出7((43f f π4π-的值,然后求解三角不等式可得最小正整数或验证数值可得.【详解】由图可知313341234T πππ=-=,即2T ππω==,所以2ω=;由五点法可得232ππϕ⨯+=,即6πϕ=-;所以()2cos 26f x x π⎛⎫=- ⎪⎝⎭.因为7()2cos 143f π11π⎛⎫-=-= ⎪⎝⎭,(2cos 032f 4π5π⎛⎫== ⎪⎝⎭;所以由74(()())(()())043f x f f x f ππ--->可得()1f x >或()0f x <;因为()12cos 22cos 1626f πππ⎛⎫⎛⎫=-<-= ⎪ ⎪⎝⎭⎝⎭,所以,方法一:结合图形可知,最小正整数应该满足()0f x <,即cos 206x π⎛⎫-< ⎪⎝⎭,解得,36k x k k π5ππ+<<π+∈Z ,令0k =,可得536x <<ππ,可得x 的最小正整数为2.方法二:结合图形可知,最小正整数应该满足()0f x <,又(2)2cos 406f π⎛⎫=-< ⎪⎝⎭,符合题意,可得x 的最小正整数为2.故答案为:2.【点睛】关键点睛:根据图象求解函数的解析式是本题求解的关键,根据周期求解ω,根据特殊点求解ϕ.【考点1】三角函数的定义域和值域一、单选题1.(23-24高一上·河北邢台·阶段练习)函数()f x =)A .()ππ2π,2π36k k k ⎡⎤-+∈⎢⎥⎣⎦Z B .()5ππ2π,2π66k k k ⎡⎤-+∈⎢⎥⎣⎦Z C .()π2π2π,2π63k k k ⎡⎤++∈⎢⎥⎣⎦Z D .()π7π2π,2π66k k k ⎡⎤++∈⎢⎥⎣⎦Z 2.(23-24高一上·北京朝阳·期末)函数()|sin |cos f x x x =+是()A .奇函数,且最小值为BC .偶函数,且最小值为D二、多选题3.(23-24高三下·江苏南通·开学考试)已知函数()cos 22sin f x x x =+,则()A .()f x 的最小正周期为2πB .()f x 关于直线π2x =对称C .()f x 关于点π,02⎛⎫⎪⎝⎭中心对称D .()f x 的最小值为3-4.(2024·贵州贵阳·二模)函数()tan()(0,0π)f x A x ωϕωϕ=+><<的部分图象如图所示,则()A .2π3ωϕ⋅=B .()f x在π0,3⎡⎤⎢⎥⎣⎦上的值域为(,)∞∞-⋃+C .函数|()|y f x =的图象关于直线5π3x =对称D .若函数|()|()y f x f x λ=+在区间5ππ,66⎛⎫- ⎪⎝⎭上不单调,则实数λ的取值范围是[1,1]-三、填空题5.(2024·辽宁·二模)如图,在矩形ABCD 中,4,2AB BC ==,点,E F 分别在线段,BC CD 上,且π4EAF ∠=,则AE AF ⋅的最小值为.6.(2021·河南郑州·二模)在△ABC 中,角A ,B ,C 的对边分别为a ,b ,c ,1a =,34A π=,若b c λ+有最大值,则实数λ的取值范围是.参考答案:1.A【分析】首先求出定义域,再根据复合函数单调性即可得到单调增区间.【详解】令sin 03x π⎛⎫+≥ ⎪⎝⎭,可得22,3k x k k ππππ≤+≤+∈Z .当22,232k x k k πππππ-≤+≤+∈Z 时,函数sin 3y x π⎛⎫=+ ⎪⎝⎭单调递增.所以当22,32k x k k ππππ≤+≤+∈Z 时,()f x 单调递增.故()f x 在()2,236k k k ππππ⎡⎤-+∈⎢⎥⎣⎦Z 上单调递增.故选:A.2.D【分析】根据题意,结合函数的奇偶性,判定A 、B 不正确;再结合三角函数的图象与性质,求得函数()f x 的最大值和最小值,即可求解.【详解】由函数()|sin |cos f x x x =+,可得其定义域x ∈R ,关于原点对称,且()|sin()|cos()|sin |cos ()f x x x x x f x -=-+-=+=,所以函数()f x 为偶函数,因为()()()()2πsin 2πcos 2πsin cos f x x x x x f x +=+++=+=,所以2π为()y f x =的一个周期,不妨设[0,2π]x ∈,若[0,π]x ∈时,可得π()sin cos )4f x x x x =++,因为[0,π]x ∈,可得ππ5π[,444x +∈,当ππ42x +=时,即π4x =时,可得max ()f x =当π5π44x +=时,即πx =时,可得min ()1f x =-;若[]π,2πx ∈,可得π()sin cos )4f x x x x =-+=+,因为[π,2π]x ∈,可得π5π9π[,]444x +∈,当π2π4x +=时,即7π4x =时,可得max ()f x =当π5π44x +=时,即πx =时,可得()min 1f x =-,综上可得,函数()f x ,最小值为1-.故选:D.3.ABD【分析】将函数()cos 22sin f x x x =+可变形为213()2sin 22f x x ⎛⎫=--+ ⎪⎝⎭,结合函数性质逐项分析计算即可得.【详解】2213()cos 22sin 12sin 2sin 2sin 22f x x x x x x ⎛⎫=+=-+=--+ ⎪⎝⎭,由sin y x =的最小正周期为2π,故()f x 的最小正周期为2π,故A 正确;()()221313(π)2sin π2sin 2222f x x x f x ⎡⎤⎛⎫-=---+=--+= ⎪⎢⎥⎣⎦⎝⎭,且()(π)f x f x -≠-,故()f x 关于直线π2x =,不关于点π,02⎛⎫ ⎪⎝⎭对称,故B 正确,C 错误;由213()2sin 22f x x ⎛⎫=--+ ⎪⎝⎭,且[]sin 1,1x ∈-,故2min13()21322f x ⎛⎫=-⨯--+=- ⎪⎝⎭,故D 正确.故选:ABD.4.CD【分析】根据正切型三角函数的图象性质确定其最小正周期,从而得ω的值,再根据函数特殊点求得,A ϕ的值,从而可得解析式,再由正切型三角函数的性质逐项判断即可.【详解】函数的最小正周期为T ,则有ππ5π166T ωω⎛⎫==--⇒= ⎪⎝⎭,即()tan()f x A x ϕ=+,由函数的图象可知:πππ623ϕϕ+=⇒=,即π()tan 3f x A x ⎛⎫=+ ⎪⎝⎭,由图象可知:π(0)tan23f A A ===,所以π3ωϕ⋅=,因此A 不正确;关于πB,()2tan 3f x x ⎛⎫=+ ⎪⎝⎭,当π6x =时,ππ32x +=,故()f x 在π6x =处无定义,故B 错误.因为55ππ5π5ππ2tan 2tan ,2tan 2tan 333333f x x x f x x x π⎛⎫⎛⎫⎛⎫⎛⎫-=-+=+=++=⎪ ⎪ ⎪ ⎪⎝⎭⎝⎭⎝⎭⎝⎭,所以5533f x f x ππ⎛⎫⎛⎫-=+⎪ ⎪⎝⎭⎝⎭,所以函数|()|y f x =的图象关于直线5π3x =对称,C 正确;ππ()()2tan 2tan 33y f x f x x x λλ⎛⎫⎛⎫=+=+++ ⎪ ⎪⎝⎭⎝⎭,当ππ,36x ⎛⎫∈- ⎪⎝⎭时,|()|()y f x f x λ=+=ππππ2tan 2tan 2tan 2tan (22)tan 33333x x x x x πλλλ⎛⎫⎛⎫⎛⎫⎛⎫⎛⎫+++=+++=++ ⎪ ⎪ ⎪ ⎪ ⎪⎝⎭⎝⎭⎝⎭⎝⎭⎝⎭,当5,63x ππ⎛⎤∈-- ⎥⎝⎦时,()()2tan 2tan 2tan 333y f x f x x x x πππλλ⎛⎫⎛⎫⎛⎫=+=+++=-+ ⎪ ⎪ ⎪⎝⎭⎝⎭⎝⎭ππ2tan (22)tan 33x x λλ⎛⎫⎛⎫++=-++ ⎪ ⎪⎝⎭⎝⎭,当函数|()|()y f x f x λ=+在区间5ππ,66⎛⎫- ⎪⎝⎭上不单调时,则有(22)(22)011λλλ+-+≤⇒-≤≤,故D 正确.故选:CD .5.)161【分析】根据锐角三角函数可得,πcos cos 4ABAD AE AF θθ==⎛⎫- ⎪⎝⎭,即可由数量积的定义求解,结合和差角公式以及三角函数的性质即可求解最值.【详解】设π02BAE θθ⎛⎫∠=<< ⎪⎝⎭,则π4DAF θ∠=-,故,πcos cos 4ABAD AE AF θθ==⎛⎫- ⎪⎝⎭,故π42cos π42cos cos 4AE AF AE AF θθ=⎛⎫- ⎪⋅⋅⎝⎭ππcos cos 44θθθθ=⎡⎤⎡⎤⎛⎫⎛⎫+-+-- ⎪ ⎪⎢⎥⎢⎥⎝⎭⎝⎭⎣⎦⎣⎦=⎝⎭当π2π,Z 4k k θ-=∈时,πcos 214θ⎛⎫-= ⎪⎝⎭,即π8θ=时,此时AE AF ⋅)1612=-.故答案为:)161.【点睛】关键点点睛:本题解决的关键是将所求转化为关于θ的表达式,从而得解,6.2⎛ ⎝【分析】由正弦定理可得sinB sin b cC=b c λ+sin()B θ=+且tan θ=0,4B π⎛⎫∈ ⎪⎝⎭,可知b c λ+存在最大值即2B πθ+=,进而可求λ的范围.【详解】∵1a =,34A π=,由正弦定理得:sinB sin 2b c C =∴)sin sin sin sin cos sin 422b c B C B B B B B πλλ⎫⎛⎫+=+=-=-⎪ ⎪⎪⎝⎭⎭1)sin cos sin()B B B θ=-+⋅+,其中tan θ=0,4B π⎛⎫∈ ⎪⎝⎭,∴b c λ+存在最大值,即2B πθ+=有解,即,42ππθ⎛⎫∈ ⎪⎝⎭,10->,解得2λ>1>,解得λ<,故λ的范围是2⎛ ⎝.故答案为:2⎛ ⎝.【点睛】关键点点睛:应用正弦定理边角关系、辅助角公式,结合三角形内角和、三角函数的性质列不等式组求参数范围.反思提升:1.求三角函数的定义域通常要解三角不等式(组),解三角不等式(组)常借助三角函数的图象.2.求解三角函数的值域(最值)常见的几种类型:(1)形如y =a sin x +b cos x +c 的三角函数化为y =A sin(ωx +φ)+c 的形式,再求值域(最值);(2)形如y =a sin 2x +b sin x +c 的三角函数,可先设sin x =t ,化为关于t 的二次函数求值域(最值);(3)形如y =a sin x cos x +b (sin x ±cos x )+c 的三角函数,可先设t =sin x ±cos x ,化为关于t 的二次函数求值域(最值).【考点2】三角函数的周期性、奇偶性、对称性一、单选题1.(2024·重庆·模拟预测)将函数()πsin 23f x x ⎛⎫=- ⎪⎝⎭的图象向右平移()0ϕϕ>个单位后,所得图象关于坐标原点对称,则ϕ的值可以为()A .2π3B .π3C .π6D .π42.(2024·湖北武汉·模拟预测)若函数()()ππ3cos 022f x x ωϕωϕ⎛⎫=+<-<< ⎪⎝⎭,的最小正周期为π,在区间ππ,66⎛⎫- ⎪⎝⎭上单调递减,且在区间π0,6⎛⎫ ⎪⎝⎭上存在零点,则ϕ的取值范围是()A .ππ,62⎛⎫ ⎪⎝⎭B .3π,2π⎛⎤-- ⎥⎝⎦C .ππ,32⎡⎫⎪⎢⎣⎭D .π0,3⎛⎤⎥⎝⎦3.(2024·北京西城·二模)将函数()tan f x x =的图象向右平移1个单位长度,所得图象再关于y 轴对称,得到函数()g x 的图象,则()g x =()A .1tan -xB .1tan --xC .tan (1)--x D .tan (1)-+x 二、多选题4.(2024·河南洛阳·模拟预测)已知函数3ππsin ,2π2π44()()π5πcos ,2π2π44x k x k f x k x k x k ⎧-≤≤+⎪⎪=∈⎨⎪+<<+⎪⎩Z ,则()A .()f x 的对称轴为()ππ,Z 4x k k =+∈B .()f x 的最小正周期为4πC .()f x 的最大值为1,最小值为2-D .()f x 在π,π4⎡⎤⎢⎥⎣⎦上单调递减,在5ππ,4⎡⎤⎢⎥⎣⎦上单调递增5.(2024·辽宁·二模)已知函数π()cos()0,||2f x x ωϕωϕ⎛⎫=+>< ⎪⎝⎭满足πππ(),263f x f x f f ⎛⎫⎛⎫⎛⎫-=-+= ⎪ ⎪ ⎪⎝⎭⎝⎭⎝⎭0,且在π5π,1212⎛⎫⎪⎝⎭上单调递减,则()A .函数()y f x =的图象关于点π,04⎛⎫⎪⎝⎭对称B .ϕ可以等于π4-C .ω可以等于5D .ω可以等于36.(23-24高三上·山西运城·期末)已知函数()ππtan 124f x x ⎛⎫=++ ⎪⎝⎭,则()A .()f x 的一个周期为2B .()f x 的定义域是1,Z 2x x k k ⎧⎫≠+∈⎨⎬⎩⎭C .()f x 的图象关于点1,12⎛⎫⎪⎝⎭对称D .()f x 在区间[]1,2上单调递增三、填空题7.(2024·全国·模拟预测)已知函数()()21cos cos 02f x x x x ωωωω=->,若()f x 的图象在[]0,π上有且仅有两条对称轴,则ω的取值范围是.8.(2024·四川雅安·三模)已知函数()e cos2e x x a f x x ⎛⎫=- ⎪⎝⎭是偶函数,则实数=a .9.(2023·四川达州·一模)函数()2lntan 32x f x m x x -=+++,且()6f t =,则()f t -的值为.参考答案:1.B【分析】由三角函数的平移变化结合奇函数的性质可得π2π3k k ϕ+=∈Z ,,解方程即可得出答案.【详解】因为()f x 向右平移ϕ个单位后解析式为π=sin 223y x ϕ⎛⎫-- ⎪⎝⎭,又图象关于原点对称,πππ2π,01362k k k k k ϕϕϕ∴+=∈∴=-+∈>∴=Z Z ,,,,时,π3ϕ=,故选:B.2.B【分析】根据给定周期求得2ω=-,再结合余弦函数的单调区间、单调性及零点所在区间列出不等式组,然后结合已知求出范围.【详解】由函数()f x 的最小正周期为π,得2ππ||ω=,而0ω<,解得2ω=-,则()3cos(2)3cos(2)f x x x ϕϕ=-+=-,由2π22ππ,Z k x k k ϕ≤-≤+∈,得2π+22ππ,Z k x k k ϕϕ≤≤++∈,又()f x 在ππ(,)66-上单调递减,因此π2π+3k ϕ≤-,且π2ππ,Z 3k k ϕ≤++∈,解得2ππ2π2π,Z 33k k k ϕ--≤≤--∈①,由余弦函数的零点,得π2π,Z 2x n n ϕ-=+∈,即π2π,Z 2x n n ϕ=++∈,而()f x 在(0,)6π上存在零点,则ππ0π,Z 23n n ϕ<++<∈,于是ππππ,Z 26n n n ϕ--<<--∈②,又ππ22ϕ-<<,联立①②解得ππ23ϕ-<≤-,所以ϕ的取值范围是ππ(,]23--.故选:B 3.D【分析】根据正切函数图象的平移变换、对称变换即可得变换后的函数()g x 的解析式.【详解】将函数()tan f x x =的图象向右平移1个单位长度,所得函数为()(1)tan 1f x x -=-,则函数()(1)tan 1f x x -=-的图象再关于y 轴对称得函数()()()()1tan 1tan 1g x f x x x =--=--=-+.故选:D.4.AD【分析】作出函数()f x 的图象,对于A ,验算()π2π2f k x f x ⎛⎫+-= ⎪⎝⎭是否成立即可;对于B ,由(),(2π)x f x f x ∈+=R 即可判断;对于CD ,借助函数单调性,只需求出函数()f x 在π5π,44⎡⎤⎢⎥⎣⎦上的最大值和最小值验算即可判断CD.【详解】作出函数()f x 的图象如图中实线所示.对于A ,由图可知,函数()f x 的图象关于直线3ππ5π,,444x x x =-==对称,对任意的k ∈Z ,π1ππ1ππ2πsin 2πcos 2πsin 2πcos 2π2222222f k x k x k x k x k x ⎡⎤⎛⎫⎛⎫⎛⎫⎛⎫⎛⎫+-=+-++--+--+- ⎪ ⎪ ⎪ ⎪ ⎪⎢⎥⎝⎭⎝⎭⎝⎭⎝⎭⎝⎭⎣⎦1111(cos sin )cos sin |(sin cos )|sin cos |()2222x x x x x x x x f x =+--=+--=,所以函数()f x 的对称轴为()ππ,Z 4x k k =+∈,A 正确;对于B ,对任意的11,(2π)[sin(2π)cos(2π)]sin(2π)cos(2π)22x f x x x x x ∈+=+++-+-+R 11(sin cos )|sin cos |()22x x x x f x =+--=,结合图象可知,函数()f x 为周期函数,且最小正周期为2π,故B 错误;对于C ,由A 选项可知,函数()f x 的对称轴为()ππ,Z 4x k k =+∈,且该函数的最小正周期为2π,要求函数()f x 的最大值和最小值,只需求出函数()f x 在π5π,44⎡⎤⎢⎥⎣⎦上的最大值和最小值,因为函数()f x 在π,π4⎡⎤⎢⎥⎣⎦上单调递减,在5ππ,4⎡⎤⎢⎥⎣⎦上单调递增,所以当π5π,44x ⎡⎤∈⎢⎥⎣⎦时,min ()(π)cos πf x f ==1=-,因为ππ5π5ππsin sin sin 4424442f f ⎛⎫⎛⎫====-=- ⎪ ⎪⎝⎭⎝⎭,所以max π()42f x f ⎛⎫== ⎪⎝⎭,因此()f x ,最小值为-1,故C 错误;对于D ,由C 选项可知,函数()f x 在π,π4⎡⎤⎢⎥⎣⎦上单调递减,在5ππ,4⎡⎤⎢⎥⎣⎦上单调递增,D 正确,故选:AD .【点睛】关键点点睛:判断C 选项的关键是求出函数()f x 在π5π,44⎡⎤⎢⎥⎣⎦上的最大值和最小值即可,由此即可顺利得解.5.ABD【分析】根据题意,可得函数()y f x =的图象关于π4x =-对称,关于点π,04⎛⎫ ⎪⎝⎭对称,由三角函数的对称性性质可得π4ϕ=±,从而判断选项A 、B ;再根据函数的单调性,可求出ω的值,从而判定选项C 、D.【详解】由π()2f x f x ⎛⎫-=- ⎪⎝⎭,则ππππ(4424f x f x f x ⎛⎫⎛⎫-=+-=-- ⎪ ⎪⎝⎭⎝⎭,所以函数()y f x =的图象关于π4x =-对称,又πππ5π126312<<<,且ππ063f f ⎛⎫⎛⎫+= ⎪ ⎪⎝⎭⎝⎭,则1πππ02634f f ⎛⎫⎛⎫⎛⎫+== ⎪ ⎪ ⎪⎝⎭⎝⎭⎝⎭,即函数()y f x =的图象关于点π,04⎛⎫⎪⎝⎭对称,故A 正确;根据函数()y f x =的图象关于π4x =-对称,得11ππ,Z 4k k ωϕ-+=∈,根据函数()y f x =的图象关于点π,04⎛⎫⎪⎝⎭对称,22πππ,Z 42k k ωϕ+=+∈,可得,()()2121ππ,1242k k k k ϕω-=+=+-,由于π||2ϕ<,所以π4ϕ=±,故B 正确;当π4ϕ=时,由π5π1212x <<,得πππ5ππ1244124x ωωω+<+<+,根据函数()y f x =在π5π,1212⎛⎫⎪⎝⎭上单调递减,可得ππ2π1245πππ2π124k k ωω⎧+≥⎪⎪⎨⎪+≤+⎪⎩,即92424355k ω-≤≤+,又0ω>,所以90,05k ω=<<,又()2112k k ω=+-,所以1ω=,当π4ϕ=-时,由π5π1212x <<,得πππ5ππ1244124x ωωω-<-<-,根据函数()y f x =在π5π,1212⎛⎫⎪⎝⎭上单调递减,可得ππ2π1245πππ2π124k k ωω⎧-≥⎪⎪⎨⎪-≤+⎪⎩,即2424335k k ω+≤≤+,又0ω>,所以0,3k ω==,故C 错误,D 正确.故选:ABD【点睛】关键点点睛:根据函数()y f x =的图象关于π4x =-对称,得11ππ,Z 4k k ωϕ-+=∈,根据函数()y f x =的图象关于点π,04⎛⎫ ⎪⎝⎭对称,22πππ,Z 42k k ωϕ+=+∈,从而()()2121ππ,1242k k k k ϕω-=+=+-.6.ACD 【分析】利用正切函数的图象与性质一一判定选项即可.【详解】对于A ,由()ππtan 124f x x ⎛⎫=++ ⎪⎝⎭可知其最小正周期π2π2T ==,故A 正确;对于B ,由()ππtan 124f x x ⎛⎫=++ ⎪⎝⎭可知πππ1π2,Z 2422x k x k k +≠+⇒≠+∈,故B 错误;对于C ,由()ππtan 124f x x ⎛⎫=++ ⎪⎝⎭可知1πππ2242x x =⇒+=,此时()f x 的图象关于点1,12⎛⎫⎪⎝⎭对称,故C 正确;对于D ,由()ππtan 124f x x ⎛⎫=++ ⎪⎝⎭可知[]ππ3π5π1,2,2444x x ⎡⎤∈⇒+⎢⎥⎣⎦,又tan y x =在π3π,22⎡⎤⎢⎥⎣⎦上递增,显然3π5π,44⎡⎤⊂⎢⎥⎣⎦π3π,22⎡⎤⎢⎥⎣⎦,故D 正确.故选:ACD 7.54,63⎡⎫⎪⎢⎣⎭【分析】运用正余弦二倍角公式及辅助角公式化简()f x ,由已知条件结合正弦函数性质可得结果.【详解】因为()211πcos cos sin2cos2sin 22226f x x x x x x x ωωωωωω⎛⎫=-=-=- ⎪⎝⎭,因为()f x 的图象在[]0,π上有且仅有两条对称轴,所以3ππ5π2π262ω≤-<,解得5463ω≤<,所以ω的取值范围是54,63⎡⎫⎪⎢⎣⎭.故答案为:54,63⎡⎫⎪⎢⎣⎭.8.1-【分析】根据偶函数的定义,即可列关系式求解.【详解】()f x 定义域为R ,()()()1e cos 2e cos2e cos2e e e x xx xx xa af x x a x f x x --⎛⎫⎛⎫⎛⎫-=--=-+==- ⎪⎪ ⎪⎝⎭⎝⎭⎝⎭,所以()1111e e e e 1e 0e e e e e xxx xx x x x xx a a a a ⎛⎫⎛⎫-+=-⇒-=-⇒+-= ⎪ ⎪⎝⎭⎝⎭,故1a =-,故答案为:1-9.0【分析】构造()()3g x f x =-,得到()g x 为奇函数,从而根据()6f t =得到()3g t =,由()3g t -=-求出()f t -.【详解】令()()23lntan 2x g x f x m x x -=-=++,定义域为{|2x x <-或2x >且ππ,Z}2x k k ≠+∈,关于原点对称,则()()()222lntan ln tan ln tan 222x x x g x m x m x m x g x x x x --+--=+-=-=--=--+-+,故()g x 为奇函数,又()()3633g t t f =-=-=,故()()33t g t f -=--=-,解得()0f t -=.故答案为:0反思提升:(1)三角函数周期的一般求法①公式法;②不能用公式求周期的函数时,可考虑用图象法或定义法求周期.(2)对于可化为f (x )=A sin(ωx +φ)(或f (x )=A cos(ωx +φ))形式的函数,如果求f (x )的对称轴,只需令ωx +φ=π2+k π(k ∈Z )(或令ωx +φ=k π(k ∈Z )),求x 即可;如果求f (x )的对称中心的横坐标,只需令ωx +φ=k π(k ∈Z ωx +φ=π2+k π(k ∈Z x 即可.(3)对于可化为f (x )=A tan(ωx +φ)形式的函数,如果求f (x )的对称中心的横坐标,只需令ωx +φ=k π2(k ∈Z ),求x 即可.(4)三角函数型奇偶性的判断除可以借助定义外,还可以借助其图象与性质,在y =A sin(ωx +φ)中代入x =0,若y =0则为奇函数,若y 为最大或最小值则为偶函数.若y =A sin(ωx +φ)为奇函数,则φ=k π(k ∈Z ),若y =A sin(ωx +φ)为偶函数,则φ=π2+k π(k ∈Z ).【考点3】三角函数的单调性一、单选题1.(2024·云南·模拟预测)已知函数()f x 为R 上的偶函数,且当()1212,,0,x x x x ∞∈-≠时,()()12120f x f x x x ->-,若12log 3a f ⎛⎫= ⎪⎝⎭,()()0.20.5,sin1b f c f ==,则下列选项正确的是()A .c b a <<B .b<c<aC .a b c<<D .c<a<b2.(2024·陕西榆林·三模)已知()0,2πα∈,若当[]0,1x ∈时,关于x 的不等式()()2sin cos 12sin 1sin 0x x αααα++-++>恒成立,则α的取值范围为()A .π5π,1212⎛⎫⎪⎝⎭B .π5π,66⎛⎫ ⎪⎝⎭C .ππ,63⎛⎫ ⎪⎝⎭D .π5π,36⎛⎫ ⎪⎝⎭二、多选题3.(2022·湖北武汉·三模)已知函数()2cos f x x x =-的零点为0x ,则()A .012x <B .013>xC .0tan 2x >D .001<sin 4x x -4.(2024·湖南长沙·一模)已知函数()()tan (0,0π)f x A x ωϕωϕ=+><<的部分图象如图所示,则()A .π6A ωϕ⋅⋅=B .()f x 的图象过点11π6⎛ ⎝⎭C .函数()y f x =的图象关于直线5π3x =对称D .若函数()()y f x f x λ=+在区间5ππ,66⎛⎫- ⎪⎝⎭上不单调,则实数λ的取值范围是[]1,1-三、填空题5.(2023·陕西西安·模拟预测)已知函数()()cos f x A x b ωϕ=++,(0A >,0ω>,π2ϕ<)的大致图象如图所示,将函数()f x 的图象上点的横坐标拉伸为原来的3倍后,再向左平移π2个单位长度,得到函数()g x 的图象,则函数()g x 的一个单调递增区间为.6.(2022·上海闵行·模拟预测)已知[0,π]∈,若sin cos 0αα->,则α的取值范围是.参考答案:1.C【分析】根据条件判断函数的单调性,结合函数奇偶性和单调性的关系进行转化求解即可.【详解】当()12,,0x x ∞∈-时,()()12120f x f x x x ->-,所以()f x 在(),0∞-上单调递增;又有()f x 为R 上的偶函数,所以()f x 在()0,∞+上单调递减.由于我们有()11100.2555522πlog 3log 210.50.50.50.4984210.870.87sin sin 1023>==>=>==>=>>,即0.22sin10log 30.5>>>,故()()()0.22log 30.5sin1f f f <<.而()()1222log 3log 3log 3a f f f ⎛⎫==-= ⎪⎝⎭,()0.20.5b f =,()sin1c f =,故a b c <<.故选:C.2.A【分析】令()()()2sin cos 12sin 1sin f x x x αααα=++-++,易得()f x 的对称轴为()1sin 20,1sin cos 1x ααα+=∈++,则()()00101sin 20sin cos 1f f f ααα⎧⎪⎪⎪>⎪⎪>⎨⎪⎛⎫⎪+ ⎪⎪> ⎪⎪++ ⎪⎪⎝⎭⎩,进而可得出答案.【详解】令()()()2sin cos 12sin 1sin f x x x αααα=++-++,由题意可得()()0010f f ⎧>⎪⎨>⎪⎩,则sin 0cos 0αα>⎧⎨>⎩,又因为()0,2πα∈,所以π0,2α⎛⎫∈ ⎪⎝⎭,函数()f x 的对称轴为()1sin 20,1sin cos 1x ααα+=++,则()()2sin 0cos 011sin sin 22sin cos 12sin 1sin 0sin cos 1sin cos 1αααααααααααα⎧⎪⎪⎪>⎪⎪>⎨⎪⎛⎫⎪++ ⎪⎪++-+⋅+> ⎪⎪++++ ⎪⎪⎝⎭⎩,即()2sin 0cos 0(2sin 1)4sin sin cos 10αααααα⎧>⎪>⎨⎪+-++<⎩,即sin 0cos 01sin22ααα⎧⎪>⎪>⎨⎪⎪>⎩,结合π0,2α⎛⎫∈ ⎪⎝⎭,解得π5π1212α<<.故选:A.3.ABD【分析】对AB ,求导分析可得()f x 为增函数,再根据零点存在性定理可判断;对C ,根据AB 得出的01132x <<结合正切函数的单调性可判断;对D ,构造函数()111sin ,432g x x x x ⎛⎫=--∈ ⎪⎝⎭,再根据零点存在性定理,放缩判断()g x 的正负判断即可【详解】对AB ,由题()2sin 0f x x '=+>,故()f x 为增函数.又111cos 022f ⎛⎫=-> ⎪⎝⎭,12122cos cos 03333632f π⎛⎫=-<-=-< ⎪⎝⎭,故01132x <<,故AB 正确;对C ,因为01132x <<,所以01tan tan 2t n 14a x π<=<1>,故C 错误;对D ,构造函数()111sin ,432g x x x x ⎛⎫=--∈ ⎪⎝⎭,则()1cos 0g x x '=->,故()g x 为增函数.故()111111sin sin sin2424124344g x g πππ⎛⎫⎛⎫<=-<-=--= ⎪ ⎪⎝⎭⎝⎭,因为(2130-=<,故1<,故104<,即()0g x <,故111sin 0,,432x x x ⎛⎫--<∈ ⎪⎝⎭,故001<sin 4x x -,D 正确;故选:ABD【点睛】本题主要考查了利用导数分析函数零点的问题,一般需要用零点存在性定理判断零点所在的区间,同时在判断区间端点正负时,需要适当放缩,根据能够确定取值大小的三角函数值进行判断,属于难题4.BCD【分析】根据函数图象所经过的点,结合正切型函数的对称性、单调性逐一判断即可.【详解】对于A :设该函数的最小正周期为T ,则有ππ5π166T ωω⎛⎫==--⇒= ⎪⎝⎭,即()()tan f x A x ϕ=+,由函数的图象可知:πππππ623k k ϕϕ+=+⇒=++,又0πϕ<<,所以π3ϕ=,即()πtan 3f x A x ⎛⎫=+ ⎪⎝⎭,由图象可知:()π0tan 23f A A ===,所以2π3A ωϕ⋅⋅=,因此A 不正确;对于B :11π11ππ13ππ2tan 2tan 2tan 26636633f ⎛⎫⎛⎫=+===⨯= ⎪⎪⎝⎭⎝⎭,所以B 正确;对于C :因为5π5ππ2tan 2tan 333f x x x ⎛⎫⎛⎫-=-+= ⎪ ⎪⎝⎭⎝⎭,5π5ππ2tan 2tan 333f x x x ⎛⎫⎛⎫+=++= ⎪ ⎪⎝⎭⎝⎭,所以5π5π33f x f x ⎛⎫⎛⎫-=+ ⎪ ⎪⎝⎭⎝⎭,所以函数()y f x =的图象关于直线5π3x =对称,因此C 正确;对于D :()()ππ2tan 2tan 33y f x f x x x λλ⎛⎫⎛⎫=+=+++ ⎪ ⎪⎝⎭⎝⎭当ππ,36x ⎛⎫∈- ⎪⎝⎭时,()()ππππ2tan 2tan 2tan 2tan 3333y f x f x x x x x λλλ⎛⎫⎛⎫⎛⎫⎛⎫=+=+++=+++ ⎪ ⎪ ⎪ ⎪⎝⎭⎝⎭⎝⎭⎝⎭()π22tan 3x λ⎛⎫=++ ⎪⎝⎭,当5ππ,63x ⎛⎤∈-- ⎥⎝⎦,()()ππππ2tan 2tan 2tan 2tan 3333y f x f x x x x x λλλ⎛⎫⎛⎫⎛⎫⎛⎫=+=+++=-+++ ⎪ ⎪ ⎪ ⎪⎝⎭⎝⎭⎝⎭⎝⎭()π22tan 3x λ⎛⎫=-++ ⎪⎝⎭,当函数()()y f x f x λ=+在区间5ππ,66⎛⎫- ⎪⎝⎭上不单调时,则有()()2222011λλλ+-+≤⇒-≤≤,D 正确.故选:BCD【点睛】关键点睛:运用函数对称性、函数单调性的性质是解题的关键.5.7ππ,44⎡⎤--⎢⎥⎣⎦(答案不唯一)【分析】先根据()f x 的部分图象得到函数的周期、振幅、初相,进而求出()f x 的解析式,再根据函数图象的伸缩变换和平移变换得到()g x 的解析式,后可求()g x 的单调递增区间.【详解】由图可知πππ==43124T -,得=πT ,所以2π==2Tω,()112A =--=,1b =-,所以()()2cos 21f x x ϕ=+-,由图ππ2cos 2111212f ϕ⎛⎫⎛⎫=⨯+-= ⎪ ⎪⎝⎭⎝⎭,得π2π6k ϕ=-+,Z k ∈,又π2ϕ<,所以π6ϕ=-,故()π2cos 216f x x ⎛⎫ -⎪⎝⎭=-,由题意()1ππ2π2cos 212cos 132636g x x x ⎡⎤⎛⎫⎛⎫=⨯+--=+- ⎪ ⎪⎢⎥⎝⎭⎝⎭⎣⎦,令2ππ2π2π36k x k -+≤+≤,Z k ∈,得7ππ3π3π44k x k -+≤≤-+,Z k ∈故函数()g x 的单调递增区间为7ππ3π,3π44k k ⎡⎤-+-+⎢⎥⎣⎦,Z k ∈,当0k =时,函数()g x 的一个单调递增区间为7ππ,44⎡⎤--⎢⎥⎣⎦,故答案为:7ππ,44⎡⎤--⎢⎥⎣⎦(答案不唯一)6.π3π(,)44【分析】根据角的范围分区间讨论,去掉绝对值号,转化为不含绝对值的三角不等式,求解即可.【详解】由题,当π[0,]2α∈时,原不等式可化为sin cos αα>,解得ππ42α<≤,当ππ2α<≤时,由原不等式可得tan 1α<-,解得π3π24α<<,综上π3π(,44α∈.故答案为:π3π(,)44反思提升:1.求较为复杂的三角函数的单调区间时,首先化简成y =A sin(ωx +φ)形式,再求y =A sin(ωx +φ)的单调区间,只需把ωx +φ看作一个整体代入y =sin x 的相应单调区间内即可,注意要先把ω化为正数.2.对于已知函数的单调区间的某一部分确定参数ω的范围的问题,首先,明确已知的单调区间应为函数的单调区间的子集,其次,要确定已知函数的单调区间,从而利用它们之间的关系可求解,另外,若是选择题,利用特值验证排除法求解更为简捷.【基础篇】一、单选题1.(2024·福建·模拟预测)若函数()sin23f x A x =-在3π5π,812⎛⎫ ⎪⎝⎭上有零点,则整数A 的值是()A .3B .4C .5D .62.(2024·贵州黔南·二模)若函数()πcos 3f x x ϕ⎛⎫=-+ ⎪⎝⎭为偶函数,则ϕ的值可以是()A .5π6B .4π3C .πD .π23.(2024·安徽·三模)“ππ,4k k ϕ=-+∈Z ”是“函数()tan y x ϕ=+的图象关于π,04⎛⎫⎪⎝⎭对称”的()A .充分不必要条件B .必要不充分条件C .充要条件D .既不充分也不必要条件4.(22-23高一下·湖北武汉·期中)若函数()sin 0y x x ωωω=->在区间π,03⎛⎫- ⎪⎝⎭上恰有唯一对称轴,则ω的取值范围为()A .17,22⎡⎫⎪⎢⎣⎭B .17,36⎛⎤ ⎥⎝⎦C .17,33⎛⎤ ⎥⎝⎦D .17,22⎛⎤ ⎥⎝⎦二、多选题5.(2024·云南·模拟预测)已知函数()()()sin ,0,0,πf x x ωϕωϕ=+>∈,如图,图象经过点π,112A ⎛⎫ ⎪⎝⎭,π,03B ⎛⎫⎪⎝⎭,则()A .2ω=B .π6ϕ=C .11π12x =是函数()f x 的一条对称轴D .函数()f x 在区间7π13π,1212⎛⎫⎪⎝⎭上单调递增6.(2023·辽宁·模拟预测)已知定义域为I 的偶函数0(),f x x I ∃∈,使()00f x <,则下列函数中符合上述条件的是()A .2()3f x x =-B .()22x xf x -=+C .2()log||f x x =D .()cos 1f x x =+7.(23-24高一上·广东肇庆·期末)关于函数πtan 3y x ⎛⎫=- ⎪⎝⎭,下列说法中正确的有()A .是奇函数B .在区间ππ,66⎛⎫- ⎪⎝⎭上单调递增C .5π,06⎛⎫⎪⎝⎭为其图象的一个对称中心D .最小正周期为π三、填空题8.(2022·江西·模拟预测)将函数()tan2f x x =的图像向左平移t (0t >)个单位长度,得到函数g (x )的图像,若12g π⎛⎫= ⎪⎝⎭,则t 的最小值是.9.(2022·重庆沙坪坝·模拟预测)若函数cos y x ω=在,06π⎛⎫- ⎪⎝⎭单调递增,在0,3π⎛⎫ ⎪⎝⎭单调递减,则实数ω的取值范围是.10.(21-22高三上·河南·阶段练习)已知函数()3cos 2n f x x x p ⎛⎫=+ ⎪⎝⎭为偶函数,且当()0,x π∈时,()0f x >,则n 的值可能为.四、解答题11.(2022·北京门头沟·一模)已知函数()sin()0,2f x x πωϕωϕ⎛⎫=+>< ⎪⎝⎭,6x π=是函数()f x 的对称轴,且()f x 在区间2,63ππ⎛⎫⎪⎝⎭上单调.(1)从条件①、条件②、条件③中选一个作为已知,使得()f x 的解析式存在,并求出其解析式;条件①:函数()f x 的图象经过点10,2A ⎛⎫⎪⎝⎭;条件②:,03π⎛⎫⎪⎝⎭是()f x 的对称中心;条件③:5,012π⎛⎫ ⎪⎝⎭是()f x 的对称中心.(2)根据(1)中确定的()f x ,求函数()0,2y f x x π⎛⎫⎡⎤=∈ ⎪⎢⎥⎣⎦⎝⎭的值域.12.(2021·浙江·模拟预测)已知函数()22sin 263f x x x ππ⎛⎫⎛⎫=-+- ⎪ ⎪⎝⎭⎝⎭.(1)求函数()f x 的最小正周期和单调递减区间.(2)若对任意的()2,2m ∈-,方程()f x m =(其中[)0,x a ∈)始终有两个不同的根1x ,2x .①求实数a 的值;②求12x x +的值.参考答案:1.C【分析】将函数的零点问题转化为sin2y x =与3y A =在3π5π,812⎛⎫⎪⎝⎭上的交点问题,求出sin2y x =的值域即可.【详解】由于函数()sin23f x A x =-在3π5π,812⎛⎫⎪⎝⎭上有零点,所以方程sin230A x -=在3π5π812⎛⎫⎪⎝⎭,上有实数根,即sin2y x =与3y A =在3π5π,812⎛⎫⎪⎝⎭上有交点,令2t x =,则3π5π46t <<,当3π5π46t <<,sin y t =单调递减,故在区间上最多只有1个零点,又1sin 2t ⎛∈ ⎝⎭,即312A ⎛∈ ⎝⎭,解得()6A ∈,由于A 是整数,所以5A =.故选:C.2.B【分析】由题意可知:0x =为函数()f x 的对称轴,结合余弦函数对称性分析求解.【详解】由题意可知:0x =为函数()f x 的对称轴,则ππ,3k k ϕ-+=∈Z ,则ππ,3k k ϕ=+∈Z ,对于选项A :令π5ππ36k ϕ=+=,解得12k =∉Z ,不合题意;对于选项B :令π4ππ33k ϕ=+=,解得1k =∈Z ,符合题意;对于选项C :令πππ3k ϕ=+=,解得23k =∉Z ,不合题意;对于选项D :令πππ32k ϕ=+=,解得16k =∉Z ,不合题意;故选:B.3.A【分析】若函数()tan y x ϕ=+的图象关于π,04⎛⎫⎪⎝⎭对称,根据正切函数的对称性可得ππ,42k k ϕ=-+∈Z ,再根据充分、必要条件结合包含关系分析求解.【详解】若函数()tan y x ϕ=+的图象关于π,04⎛⎫⎪⎝⎭对称,则ππ,42k k ϕ+=∈Z ,解得ππ,42k k ϕ=-+∈Z ,因为π|π,4k k ϕϕ⎧⎫=-+∈⎨⎬⎩⎭Z 是ππ|,42k k ϕϕ⎧⎫=-+∈⎨⎬⎩⎭Z 的真子集,所以“ππ,4k k ϕ=-+∈Z ”是“函数()tan y x ϕ=+的图象关于π,04⎛⎫⎪⎝⎭对称”的充分不必要条件.故选:A.4.D【分析】利用辅助角公式化简得到π2cos 6y x ω⎛⎫=+ ⎪⎝⎭,再求出ππππ,6366x ωω⎛⎫ ⎪⎝+∈-⎭+,结合对称轴条数得到不等式,求出答案.【详解】πsin 2cos 6y x x x ωωω⎛⎫=-=+ ⎪⎝⎭,。
专题一:三角函数一、三角函数1、同角三角函数的基本关系:22sin cos 1αα+= sin tan cos ααα=2、诱导公式(一) tan )360tan(cos )360(cos sin )360sin(αααααα=+︒=+︒=+︒k k k诱导公式(二) tan )tan(cos )cos( sin )sin(αααααα-=-=--=- 诱导公式(三)sin(180)=-sin ;cos(180)cos ;tan(180)tan αααααα++=+=。
tan )180tan(cos )180cos( sin )180sin(αααααα-=-︒-=-︒=-︒诱导公式(四)sin )2cos( cos )2sin(ααπααπ=-=-sin )2cos(cos )2sin(ααπααπ-=+=+3、两角和与差的余弦公式:()cos cos cos sin sin αβαβαβ-=+ ()c o s c o s c o s s i n s i nαβαβαβ+=-两角和与差的正弦公式:()sin sin cos cos sin αβαβαβ+=+ ()s i n s i n c o s c o s s i nαβαβαβ-=-两角和与差的正切公式:()tan tan tan 1tan tan αβαβαβ++=-; ()tan tan tan 1tan tan αβαβαβ--=+注意:,,()222k k k k z πππαβπαπβπ±≠+≠+≠+∈4、辅助角公式:sin cos ))a x b x x x x ϕ+=+=+其中辅助角ϕ由cos sin ϕϕ⎧=⎪⎪⎨⎪=⎪⎩确定,即辅助角ϕ的终边经过点(,)a b5、二倍角正弦、余弦和正切公式:sin 22sin cos ααα=2222c o s 2c o s s i n 12s i n2c o s 1ααααα=-=-=- 22t a n t a n 21t a n ααα=-注意:2,22k k ππαπαπ≠+≠+ ()k z ∈升幂公式:221cos 21cos 2cos ;sin 22αααα+-==降幂公式:221cos22cos;1cos22sinαααα+=-=7、正弦函数、余弦函数和正切函数的图象与性质:siny x=cosy x=tany x=图象定义域R R,2x x k kππ⎧⎫≠+∈Z⎨⎬⎩⎭值域[]1,1-[]1,1-R最值当22x kππ=+()k∈Z时,m ax1y=;当22x kππ=-()k∈Z时,m in1y=-.当()2x k kπ=∈Z时,m ax1y=;当2x kππ=+()k∈Z时,m in1y=-.既无最大值也无最小值周期性2π2ππ奇偶性奇函数偶函数奇函数单调性在2,222k kππππ⎡⎤-+⎢⎥⎣⎦在[]()2,2k k kπππ-∈Z上是增函数;在在,22k kππππ⎛⎫-+⎪⎝⎭函数性质()k ∈Z 上是增函数;在32,222k k ππππ⎡⎤++⎢⎥⎣⎦()k ∈Z 上是减函数. []2,2k k πππ+ ()k ∈Z 上是减函数.()k ∈Z 上是增函数.对称性对称中心()(),0k k π∈Z对称轴()2x k k ππ=+∈Z对称中心(),02k k ππ⎛⎫+∈Z ⎪⎝⎭对称轴()x k k π=∈Z对称中心(),02k k π⎛⎫∈Z ⎪⎝⎭无对称轴8、常用特殊角的三角函数值表:二、解三角形1、正弦定理:在C ∆A B 中,a 、b 、c 分别为角A 、B 、C 的对边,R 为C ∆A B 的外接圆的半径,则有2sin sin sin a b c R C===AB .2、正弦定理的变形公式:①2sin a R =A ,2sin b R =B ,2sin c R C =; ②sin 2a RA =,sin 2b RB =,sin 2cC R=;③::sin :sin :sin a b c C =A B ; ④sin sin sin sin sin sin a b c a b c CC++===A +B +AB.3、三角形面积公式:111sin sin sin 222C S bc ab C ac ∆A B =A ==B .4、余弦定理:在C ∆A B 中,有2222cos a b c bc =+-A ,2222cos b a c ac =+-B ,2222cos c a b ab C =+-.5、余弦定理的推论:222cos 2b c abc+-A =,222cos 2a c bac+-B =,222cos 2a b cC ab+-=.6、设a 、b 、c 是C ∆A B 的角A 、B 、C 的对边,则:①若222a b c +=,则90C = ; ②若222a b c +>,则90C < ;③若222a b c +<,则90C > .。
高考专题:三角函数、解三角形及平面向量一、知识点1、三角函数的定义:设角α终边与单位圆相交于点),(y x P ,则____sin =α,_____cos =α,_____tan =α.2、特殊角的三角函数值3、三角函数在各象限的符号:αs i n αc o s αt a n4、同角三角函数的基本关系:(1) (2) 5、三角函数的诱导公式:(1)=+)2sin(παk ___________,=+)2cos(παk ___________,=+)2tan(παk ___________. (2)=-)sin(απ___________,=-)cos(απ___________,=-)tan(απ___________. (3)=+)sin(απ___________,=+)cos(απ___________,=+)tan(απ___________. (4)=-)sin(α___________,=-)cos(α___________,=-)tan(α___________.(5)=-)2sin(απ___________,=-)2cos(απ___________,=-)2tan(απ___________.(6)=-)2sin(απ_______,=-)2cos(απ_______.=+)2sin(απ_______,=+)2cos(απ_______.8、函数sin 0,0y x ωϕω=A +A >>:1)概念:①振幅:_______;②周期:________;③频率:________;④相位:________;⑤初相:________. 函数()sin y x ωϕ=A ++B ,最小值m in y =_________;最大值为max y =_________, 2)图像的平移伸缩 (1)先平移后伸缩sin sin ()sin (2)2sin (2)2sin (2)13333y x y x x x x ππππ=⇒=+⇒+⇒+⇒++(2)先伸缩后平移sin sin 2sin (2)2sin (2)2sin (2)1333y x y x x x x πππ=⇒=⇒+⇒+⇒++9、和角公式与差角公式sin()___________________A B += ___________________)sin(=-B A _________________)c o s (=+B A _________________)c o s (=-B A _________________)t a n (=+B A _________________)t a n (=-B A 倍角公式sin 2_______A =,cos 2_____________________A ===,____________2tan =A降幂公式:2sin α=______________.2cos α=______________. 10、归一公式: ;__________________cos sin =+A b A a 其中ab =ϕtan ,)2,2(ππϕ-∈如:(1)sin ___________x x += (2)sin ___________x x -= (3)sin ___________x x -+= (4)sin ___________x x --=11、解三角形(1)正弦定理:Aa sin =___________________________(R 为△ABC 外接圆半径)正弦定理的三种变形:①边化为角:_____________________________________②角化为边:_____________________________________ ③比例关系:_____________________________________(2)余弦定理: 2__________________a =⇔cos ____________________A =2__________________b =⇔cos ____________________B = 2__________________c =⇔cos ____________________C =(3)解三角形常用结论:1、三角形面积公式:______________________________ABC S ∆===2、在△ABC 中:︒=++180C B A , 即C B A -︒=+180,则sin()__________A B +=;cos()__________A B +=;tan()__________A B +=12、平面向量(1)设A 、B 两点的坐标分别为),(11y x ,),(22y x ,则=AB __________________.. (2)向量运算公式定义运算:(1) =∙b a __________,],0[πθ∈;(2)⇔⊥b a __________,(3)⇔b a //__________坐标运算:),(11y x a =,),(22y x b =,则(1) =∙b a __________________ (2)⇔⊥b a ______________ (3)⇔b a //________________ (4)=||a ______________二、巩固练习1、)629tan(π-的值得为( )A 、33- B 、33 C 、3 D 、3-2、7sin6π的值等于( )A 、21 B 、23 C 、-21 D 、-233、53sin -=α,α是第二象限角,则=αtan ( )A 、34-B 、34 C 、43-D 、434、已知3sin()5πα+=-,且α是第二象限角,则)cos(απ-的值是( ) A 、54 B 、54-C 、53 D 、53-5、2sin x y =是( )A 、周期为π4的奇函数B 、周期为π2的奇函数C 、周期为π4的偶函数D 、周期为π2的偶函数6、函数2sin(2)6y x π=-的一条对称轴为( )A 、12x π=B 、6x π=C 、3x π=D 、2x π=7、在A B C ∆中,若向量2cos ,sin 22A A m ⎛⎫= ⎪⎝⎭ , n = cos ,2sin 22A A ⎛⎫- ⎪⎝⎭,且1m n ⋅=- ,则A =( )A 、6π B 、56π C 、3πD 、23π8、已知A B C ∆的内角,,A B C 的对边分别为,,a b c ,若A =3π,a =3,b =1,则c =( )A 、1B 、2C 、3—1D 、39、已知tan 2,α=-且2παπ<<,则cos α=______________;10、已知312sin(),sin()5413παββ+=--=,3,(,),4παβπ∈则=+)4cos(πα______________;11、已知向量cos sin m x x = (,),],0[π∈x ,(1,n =,且||m n -=,则x =__________;12、将函数()sin 2f x x =的图像向左平移3π个单位,再将所得到的图像上各点的横坐标缩短为原来的12倍,纵坐标伸长为原来的2倍,那么最后所得图像的函数表达式为__________.13、已知向量)sin ,(cos αα=a, )sin ,(cos ββ=b , 552||=-b a .(1)求cos()αβ-的值; (2)若02πα<<, 02πβ-<<, 且5sin 13β=-, 求sin α.14、已知函数2()sin(2)sin(2)2sin 66f x x x x ππ=++-+,(1)若R x ∈,求)(x f 的单调递减区间;(2)若x ∈ [,]36ππ-,求函数)(x f 的值域。
专题三角函数1(新课标全国Ⅰ卷)已知cos (α+β)=m ,tan αtan β=2,则cos (α-β)=()A.-3mB.-m3C.m 3D.3m【答案】A【分析】根据两角和的余弦可求cos αcos β,sin αsin β的关系,结合tan αtan β的值可求前者,故可求cos α-β 的值.【详解】因为cos α+β =m ,所以cos αcos β-sin αsin β=m ,而tan αtan β=2,所以=12×2b ×kb ×sin A 2+12×kb ×b ×sin A2,故cos αcos β-2cos αcos β=m 即cos αcos β=-m ,从而sin αsin β=-2m ,故cos α-β =-3m ,故选:A .2(新课标全国Ⅰ卷)当x ∈[0,2π]时,曲线y =sin x 与y =2sin 3x -π6 的交点个数为()A.3B.4C.6D.8【答案】C【分析】画出两函数在0,2π 上的图象,根据图象即可求解【详解】因为函数y =sin x 的的最小正周期为T =2π,函数y =2sin 3x -π6 的最小正周期为T =2π3,所以在x ∈0,2π 上函数y =2sin 3x -π6有三个周期的图象,在坐标系中结合五点法画出两函数图象,如图所示:由图可知,两函数图象有6个交点.故选:C3(新课标全国Ⅱ卷)设函数f (x )=a (x +1)2-1,g (x )=cos x +2ax ,当x ∈(-1,1)时,曲线y =f (x )与y =g (x )恰有一个交点,则a =()A.-1B.12C.1D.22024年高考数学真题分类汇编——三角函数篇【分析】解法一:令F x =ax 2+a -1,G x =cos x ,分析可知曲线y =F (x )与y =G (x )恰有一个交点,结合偶函数的对称性可知该交点只能在y 轴上,即可得a =2,并代入检验即可;解法二:令h x =f (x )-g x ,x ∈-1,1 ,可知h x 为偶函数,根据偶函数的对称性可知h x 的零点只能为0,即可得a =2,并代入检验即可.【详解】解法一:令f (x )=g x ,即a (x +1)2-1=cos x +2ax ,可得ax 2+a -1=cos x ,令F x =ax 2+a -1,G x =cos x ,原题意等价于当x ∈(-1,1)时,曲线y =F (x )与y =G (x )恰有一个交点,注意到F x ,G x 均为偶函数,可知该交点只能在y 轴上,可得F 0 =G 0 ,即a -1=1,解得a =2,若a =2,令F x =G x ,可得2x 2+1-cos x =0因为x ∈-1,1 ,则2x 2≥0,1-cos x ≥0,当且仅当x =0时,等号成立,可得2x 2+1-cos x ≥0,当且仅当x =0时,等号成立,则方程2x 2+1-cos x =0有且仅有一个实根0,即曲线y =F (x )与y =G (x )恰有一个交点,所以a =2符合题意;综上所述:a =2.解法二:令h x =f (x )-g x =ax 2+a -1-cos x ,x ∈-1,1 ,原题意等价于h x 有且仅有一个零点,因为h -x =a -x 2+a -1-cos -x =ax 2+a -1-cos x =h x ,则h x 为偶函数,根据偶函数的对称性可知h x 的零点只能为0,即h 0 =a -2=0,解得a =2,若a =2,则h x =2x 2+1-cos x ,x ∈-1,1 ,又因为2x 2≥0,1-cos x ≥0当且仅当x =0时,等号成立,可得h x ≥0,当且仅当x =0时,等号成立,即h x 有且仅有一个零点0,所以a =2符合题意;故选:D .4(全国甲卷数学(理)(文))已知cos αcos α-sin α=3,则tan α+π4=()A.23+1 B.23-1C.32D.1-3【答案】B【分析】先将cos αcos α-sin α弦化切求得tan α,再根据两角和的正切公式即可求解.【详解】因为cos αcos α-sin α=3,所以11-tan α=3,⇒tan α=1-33,所以tan α+π4 =tan α+11-tan α=23-1,故选:B .5(新高考北京卷)已知f x =sin ωx ω>0 ,f x 1 =-1,f x 2 =1,|x 1-x 2|min =π2,则ω=()A.1B.2C.3D.4【分析】根据三角函数最值分析周期性,结合三角函数最小正周期公式运算求解.【详解】由题意可知:x 1为f x 的最小值点,x 2为f x 的最大值点,则x 1-x 2 min =T 2=π2,即T =π,且ω>0,所以ω=2πT=2.故选:B .6(新高考天津卷)已知函数f x =sin3ωx +π3ω>0 的最小正周期为π.则函数在-π12,π6 的最小值是()A.-32B.-32C.0D.32【答案】A【分析】先由诱导公式化简,结合周期公式求出ω,得f x =-sin2x ,再整体求出x ∈-π12,π6时,2x 的范围,结合正弦三角函数图象特征即可求解.【详解】f x =sin3ωx +π3 =sin 3ωx +π =-sin3ωx ,由T =2π3ω=π得ω=23,即f x =-sin2x ,当x ∈-π12,π6 时,2x ∈-π6,π3,画出f x =-sin2x 图象,如下图,由图可知,f x =-sin2x 在-π12,π6上递减,所以,当x =π6时,f x min =-sin π3=-32故选:A7(新高考上海卷)下列函数f x 的最小正周期是2π的是()A.sin x +cos xB.sin x cos xC.sin 2x +cos 2xD.sin 2x -cos 2x【答案】A【分析】根据辅助角公式、二倍角公式以及同角三角函数关系并结合三角函数的性质一一判断即可 .【详解】对A ,sin x +cos x =2sin x +π4,周期T =2π,故A 正确;对B ,sin x cos x =12sin2x ,周期T =2π2=π,故B 错误;对于选项C ,sin 2x +cos 2x =1,是常值函数,不存在最小正周期,故C 错误;对于选项D ,sin 2x -cos 2x =-cos2x ,周期T =2π2=π,故D 错误,故选:A .8(新课标全国Ⅱ卷)对于函数f(x)=sin2x和g(x)=sin2x-π4,下列说法正确的有() A.f(x)与g(x)有相同的零点 B.f(x)与g(x)有相同的最大值C.f(x)与g(x)有相同的最小正周期D.f(x)与g(x)的图像有相同的对称轴【答案】BC【分析】根据正弦函数的零点,最值,周期公式,对称轴方程逐一分析每个选项即可.【详解】A选项,令f(x)=sin2x=0,解得x=kπ2,k∈Z,即为f(x)零点,令g(x)=sin2x-π4=0,解得x=kπ2+π8,k∈Z,即为g(x)零点,显然f(x),g(x)零点不同,A选项错误;B选项,显然f(x)max=g(x)max=1,B选项正确;C选项,根据周期公式,f(x),g(x)的周期均为2π2=π,C选项正确;D选项,根据正弦函数的性质f(x)的对称轴满足2x=kπ+π2⇔x=kπ2+π4,k∈Z,g(x)的对称轴满足2x-π4=kπ+π2⇔x=kπ2+3π8,k∈Z,显然f(x),g(x)图像的对称轴不同,D选项错误.故选:BC9(新课标全国Ⅱ卷)已知α为第一象限角,β为第三象限角,tanα+tanβ=4,tanαtanβ=2+1,则sin(α+β)=.【答案】-22 3【分析】法一:根据两角和与差的正切公式得tanα+β=-22,再缩小α+β的范围,最后结合同角的平方和关系即可得到答案;法二:利用弦化切的方法即可得到答案.【详解】法一:由题意得tanα+β=tanα+tanβ1-tanαtanβ=41-2+1=-22,因为α∈2kπ,2kπ+π2,β∈2mπ+π,2mπ+3π2,k,m∈Z,则α+β∈2m+2kπ+π,2m+2kπ+2π,k,m∈Z,又因为tanα+β=-22<0,则α+β∈2m+2kπ+3π2,2m+2kπ+2π,k,m∈Z,则sinα+β<0,则sinα+βcosα+β=-22,联立sin2α+β+cos2α+β=1,解得sinα+β=-223.法二:因为α为第一象限角,β为第三象限角,则cosα>0,cosβ<0,cosα=cosαsin2α+cos2α=11+tan2α,cosβ=cosβsin2β+cos2β=-11+tan2β,则sin(α+β)=sinαcosβ+cosαsinβ=cosαcosβ(tanα+tanβ)=4cosαcosβ=-41+tan2α1+tan2β=-4(tanα+tanβ)2+(tanαtanβ-1)2=-442+2=-223故答案为:-22 3.10(全国甲卷数学(文))函数f x =sin x-3cos x在0,π上的最大值是.【答案】2【分析】结合辅助角公式化简成正弦型函数,再求给定区间最值即可.【详解】f x =sin x -3cos x =2sin x -π3 ,当x ∈0,π 时,x -π3∈-π3,2π3,当x -π3=π2时,即x =5π6时,f x max =2.故答案为:2一、单选题1(2024·宁夏石嘴山·三模)在平面直角坐标系中,角θ的顶点与原点重合,始边与x 轴的非负半轴重合,终边经过点P 1,2 ,则7cos 2θ-2sin2θ=()A.-15B.15C.-2D.2【答案】A【分析】由题意可知:tan θ=2,根据倍角公式结合齐次化问题分析求解.【详解】由题意可知:tan θ=2,所以7cos 2θ-2sin2θ=7cos 2θ-4sin θcos θsin 2θ+cos 2θ=7-4tan θtan 2θ+1=7-4×222+1=-15.故选:A .2(2024·广东茂名·一模)已知cos α+π =-2sin α,则sin 2α-3cos α+π2cos αcos2α+1=()A.-1B.-25C.45D.78【答案】D【分析】根据给定条件,求出tan α,再结合诱导公式及二倍角的余弦公式,利用正余弦齐次式法计算得解.【详解】由cos α+π =-2sin α,得cos α=2sin α,则tan α=12,所以sin 2α-3cos α+π2 cos αcos2α+1=sin 2α+3sin αcos α2cos 2α=12tan 2α+32tan α=18+34=78.故选:D3(2024·河北保定·二模)函数f (x )=1-e x1+e xcos2x 的部分图象大致为()A. B.C. D.【答案】A【分析】根据函数的奇偶性判断即可.【详解】设g x =1-e x1+e x,则g-x=1-e-x1+e-x=e x-11+e x=-g x ,所以g x 为奇函数,设h x =cos2x,可知h x 为偶函数,所以f x =1-e x1+e xcos2x为奇函数,则B,C错误,易知f0 =0,所以A正确,D错误.故选:A.4(2024·山东济宁·三模)已知函数f(x)=(3sin x+cos x)cos x-12,若f(x)在区间-π4,m上的值域为-3 2,1,则实数m的取值范围是()A.π6,π2B.π6,π2C.π6,7π12D.π6,7π12【答案】D【分析】利用二倍角公式、辅助角公式化简函数f(x),再借助正弦函数的图象与性质求解即得.【详解】依题意,函数f(x)=3sin x cos x+cos2x-12=32sin2x+12cos2x=sin2x+π6,当x∈-π4,m时,2x+π6∈-π3,2m+π6,显然sin-π3=sin4π3=-32,sinπ2=1,且正弦函数y=sin x在π2,4π3上单调递减,由f(x)在区间-π4,m上的值域为-32,1,得π2≤2m+π6≤4π3,解得π6≤m≤7π12,所以实数m的取值范围是π6,7π12.故选:D5(2024·江西景德镇·三模)函数f x =cosωx x∈R在0,π内恰有两个对称中心,fπ=1,将函数f x 的图象向右平移π3个单位得到函数g x 的图象.若fα +gα =35,则cos4α+π3=()A.725B.1625C.-925D.-1925【答案】A【分析】根据y轴右边第二个对称中心在0,π内,第三个对称中心不在0,π内可求得32≤ω<52,结合fπ=1可得ω=2,再利用平移变换求出g x ,根据三角变换化简fα +gα =35可得sin2α+π6=35,然后由二倍角公式可解.【详解】由x∈0,π得ωx∈0,ωπ,因为函数f x 在0,π内恰有两个对称中心,所以3π2≤ωπ5π2>ωπ,解得32≤ω<52,又fπ=cosωπ=1,所以ωπ=kπ,k∈Z,即ω=k,k∈Z,所以ω=2,将函数f x 的图象向右平移π3个单位得到函数y=cos2x-π3=cos2x-2π3,即g x =cos2x-2π3,因为fα +gα =cos2α+cos2α-2π3=32sin2α+12cos2α=sin2α+π6=35,所以cos4α+π3=1-2sin22α+π6=1-2×35 2=725.故选:A6(2024·安徽马鞍山·三模)已知函数f(x)=sin2ωx+cos2ωx(ω>1)的一个零点是π2,且f(x)在-π6,π16上单调,则ω=()A.54B.74C.94D.114【答案】B【分析】整理可得f(x)=2sin2ωx+π4,以2ωx+π4为整体,根据单调性分析可得1<ω≤2,再结合零点分析求解.【详解】因为f(x)=sin2ωx+cos2ωx=2sin2ωx+π4,x∈-π6,π16,且ω>1时,可得2ωx+π4∈-π3ω+π4,π8ω+π4,且-π3ω+π4<0<π8ω+π4,若f(x)在-π6,π16上单调,则-π3ω+π4≥-π2π8ω+π4≤π2,解得1<ω≤2,又因为f(x)的一个零点是π2,则πω+π4=kπ,k∈Z,解得ω=k-14,k∈Z,所以k=2,ω=7 4 .故选:B.7(2024·山东临沂·二模)已知函数f x =sin2x+φϕ <π2图象的一个对称中心为π6,0,则()A.f x 在区间-π8,π3上单调递增B.x=5π6是f x 图象的一条对称轴C.f x 在-π6,π4上的值域为-1,32D.将f x 图象上的所有点向左平移5π12个长度单位后,得到的函数图象关于y轴对称【答案】D【分析】借助整体代入法结合正弦函数的性质可得A、B;结合正弦函数最值可得C;得到平移后的函数解析式后借助诱导公式即可得D.【详解】由题意可得2×π6+φ=kπk∈Z,解得φ=-π3+kπk∈Z,又ϕ <π2,故φ=-π3,即f x =sin2x-π3;对A :当x ∈-π8,π3 时,2x -π3∈-7π12,π3,由函数y =sin x 在-7π12,π3上不为单调递增,故f x 在区间-π8,π3上不为单调递增,故A 错误;对B :当x =5π6时,2x -π3=4π3,由x =4π3不是函数y =sin x 的对称轴,故x =5π6不是f x 图象的对称轴,故B 错误;对C :当x ∈-π6,π4 时,2x -π3∈-2π3,π6,则f x ∈-1,12,故C 错误;对D :将f x 图象上的所有点向左平移5π12个长度单位后,可得y =sin 2x +2×5π12-π3 =sin 2x +π2=cos2x ,该函数关于y 轴对称,故D 正确.故选:D .8(2024·广东广州·二模)已知函数f (x )=2sin (ωx +φ)ω>0,|φ|<π2的部分图象如图所示,若将函数f (x )的图象向右平移θ(θ>0)个单位后所得曲线关于y 轴对称,则θ的最小值为()A.π8B.π4C.3π8D.π2【答案】A【分析】根据给定的图象特征,结合五点法作图列式求出ω和φ,再根据图象的平移变换,以及图象的对称性即可得解.【详解】由f π4=1,得sin π4ω+φ =22,又点π4,1 及附近点从左到右是上升的,则π4ω+φ=π4+2k π,k ∈Z ,由f 5π8 =0,点5π8,0 及附近点从左到右是下降的,且上升、下降的两段图象相邻,得5π8ω+φ=π+2k π,k ∈Z ,联立解得ω=2,φ=-π4+2k π,k ∈Z ,而|φ|<π2,于是φ=-π4,f (x )=2sin 2x -π4,若将函数f (x )的图像向右平移θ(θ>0)个单位后,得到y =sin 2x -2θ-π4,则-2θ-π4=π2-k π,k ∈Z ,而θ>0,因此θ=-3π8+k π2,k ∈N ,所以当k =1时,θ取得最小值为π8.故选:A9(2024·四川雅安·三模)已知函数f x =sin ωx +3cos ωx (ω>0),则下列说法中正确的个数是()①当ω=2时,函数y =f x -2log πx 有且只有一个零点;②当ω=2时,函数y =f x +φ 为奇函数,则正数φ的最小值为π3;③若函数y =f x 在0,π3 上单调递增,则ω的最小值为12;④若函数y =f x 在0,π 上恰有两个极值点,则ω的取值范围为136,256.A.1 B.2C.3D.4【答案】B【分析】利用辅助角公式化简函数,由图象分析判断①;由正弦函数的性质判断②③;由极大值的意义结合正弦函数的性质判断④.【详解】依题意,ω>0,函数f (x )=212sin ωx +32cos ωx =2sin ωx +π3,对于①:f (x )=2sin 2x +π3,令y =f x -2log πx =0,即f x =2log πx ,作出函数y =f (x )和函数y =2log πx 的图象,如图,观察图象知,两个函数在0,7π12 上只有一个零点,f 13π12 =2sin 5π2=2,当x =13π12时,y =2log π13π12=2log π1312+2log ππ=2+2log π1312>2,当x >13π12时,2log πx >2≥f (x ),因此函数y =f x 与函数y =2log πx 的图象有且只有一个交点,①正确;对于②:f (x +φ)=2sin 2x +2φ+π3 为奇函数,则2φ+π3=k π,k ∈Z ,φ=-π6+k π2,k ∈Z ,即正数φ的最小值为π3,②正确;对于③:当x ∈0,π3 时,ωx +π3∈π3,π(ω+1)3,由y =f x 在0,π3 上单调递增,得π(ω+1)3≤π2ω>0,解得0<ω≤12,正数ω有最大值12,③错误;对于④:当x ∈(0,π)时,ωx +π3∈π3,ωπ+π3,而y =f x 在(0,π)上恰有两个极值点,由正弦函数的性质得3π2<ωπ+π3≤5π2,解得76<ω≤136,因此ω的取值范围是76,136,④错误.综上,共2个正确,故选:B .10(2024·河北保定·二模)已知tan α=3cos αsin α+11,则cos2α=()A.-78B.78C.79D.-79【答案】B【分析】利用切化弦和同角三角函数的关系,解出sin α,再结合二倍角公式即可求解.【详解】因为sin αcos α=3cos αsin α+11,所以4sin 2α+11sin α-3=0,解得sin α=14或sin α=-3(舍去),所以cos2α=1-2sin 2α=78.故选:B .11(2024·河北衡水·三模)已知sin (3α-β)=m sin (α-β),tan (2α-β)=n tan α,则m ,n 的关系为()A.m =2nB.n =m +1mC.n =m m -1D.n =m +1m -1【答案】D【分析】利用和差角的正弦公式化简,结合已知列出方程即可求解.【详解】依题意,sin (3α-β)=sin [(2α-β)+α]=sin (2α-β)cos α+cos (2α-β)sin α,sin (α-β)=sin [(2α-β)-α]=sin (2α-β)cos α-cos (2α-β)sin α,则sin (2α-β)cos α+cos (2α-β)sin α=m sin (2α-β)cos α-m cos (2α-β)sin α,即sin (2α-β)cos αcos (2α-β)sin α=m +1m -1,即tan (2α-β)tan α=m +1m -1=n .故选:D12(2024·辽宁沈阳·三模)已知tan α2=2,则sin 2α2+sin α的值是()A.25B.45C.65D.85【答案】D【分析】利用二倍角公式和同角之间的转化,进行求解判断选项【详解】当tan α2=2,则sin 2α2+sin α=sin 2α2+2sin α2cos α2sin 2α2+cos 2α2=tan 2α2+2tan α2tan 2α2+1=22+2×222+1=85故选:D13(2024·贵州黔东南·二模)已知0<α<β<π,且sin α+β =2cos α+β ,sin αsin β-3cos αcos β=0,则tan α-β =()A.-1 B.-32C.-12D.12【答案】C【分析】找出tan α和tan β的关系,求出tan α和tan β即可求解.【详解】∵sin αsin β-3cos αcos β=0,∴sin αsin β=3cos αcos β,∴tan αtan β=3①,∵sin α+β =2cos α+β ,∴tan α+β =2⇒tan α+tan β1-tan αtan β=2⇒tan α+tan β1-3=2,∴tan α+tan β=-4②,由①②解得tan α=-1tan β=-3或tan α=-3tan β=-1 ,∵0<α<β<π,∴tan α<tan β,∴tan α=-3tan β=-1 ,∴tan α-β =tan α-tan β1+tan αtan β=-12.故选:C .二、多选题14(2024·河北张家口·三模)已知函数f (x )=23cos 2x +2sin x cos x ,则下列说法正确的是()A.函数f (x )的一个周期为2πB.函数f (x )的图象关于点π3,0 对称C.将函数f (x )的图象向右平移φ(φ>0)个单位长度,得到函数g (x )的图象,若函数g (x )为偶函数,则φ的最小值为5π12D.若f 12α-5π24 -3=12,其中α为锐角,则sin α-cos α的值为6-308【答案】ACD【分析】利用三角恒等变换公式化简,由周期公式可判断A ;代入验证可判断B ;根据平移变化求g (x ),由奇偶性可求出φ,可判断C ;根据已知化简可得sin α-π12 =14,将目标式化为2sin α-π12 -π6 ,由和差角公式求解可判断D .【详解】对于A ,因为f (x )=31+cos2x +sin2x =2sin 2x +π3+3,所以f (x )的最小值周期T =2π2=π,所以2π是函数f (x )的一个周期,A 正确;对于B ,因为f π3 =2sin 2×π3+π3 +3=3,所以,点π3,0 不是函数f (x )的对称中心,B 错误;对于C ,由题知,g x =f (x -φ)=2sin 2(x -φ)+π3 +3=2sin 2x +π3-2φ +3,若函数g (x )为偶函数,则π3-2φ=π2+k π,k ∈Z ,得φ=-π12-k π2,k ∈Z ,因为φ>0,所以φ的最小值为5π12,C 正确;对于D ,若f 12α-5π24-3=2sin 212α-5π24 +π3 =2sin α-π12 =12,则sin α-π12 =14,因为α为锐角,-π12<α-π12<5π12,所以cos α-π12 =154,所以sin α-cos α=2sin α-π4 =2sin α-π12 -π6=232sin α-π12 -12cos α-π12=232×14-12×154=6-308,D 正确.故选:ACD 15(2024·辽宁鞍山·模拟预测)已知函数f x =sin x ⋅cos x ,则()A.f x 是奇函数B.f x 的最小正周期为2πC.f x 的最小值为-12D.f x 在0,π2上单调递增【答案】AC【分析】首先化简函数f x =12sin2x ,再根据函数的性质判断各选项.【详解】f x =sin x ⋅cos x =12sin2x ,函数的定义域为R ,对A ,f -x =-12sin2x =-f x ,所以函数f x 是奇函数,故A 正确;对B ,函数f x 的最小正周期为2π2=π,故B 错误;对C ,函数f x 的最小值为-12,故C 正确;对D ,x ∈0,π2 ,2x ∈0,π ,函数f x 不单调,f x 在0,π4 上单调递增,在π4,π2上单调递减,故D 错误.故选:AC16(2024·安徽·三模)已知函数f x =sin x -3cos x ,则()A.f x 是偶函数B.f x 的最小正周期是πC.f x 的值域为-3,2D.f x 在-π,-π2上单调递增【答案】AC【分析】对于A ,直接用偶函数的定义即可验证;对于B ,直接说明f 0 ≠f π 即可否定;对于C ,先证明-3≤f x ≤2,再说明对-3≤u ≤2总有f x =u 有解即可验证;对于D ,直接说明f -5π6>f -2π3 即可否定.【详解】对于A ,由于f x 的定义域为R ,且f -x =sin -x -3cos -x =-sin x -3cos x =sin x -3cos x =f x ,故f x 是偶函数,A 正确;对于B ,由于f 0 =sin0 -3cos0=-3,f π =sinπ -3cosπ=3,故f 0 ≠f π ,这说明π不是f x 的周期,B 错误;对于C ,由于f x =sin x -3cos x ≤sin x +3cos x =sin x +3cos x 2≤sin x +3cos x 2+3sin x -cos x 2=sin 2x +3cos 2x +23sin x cos x +3sin 2x +cos 2x -23sin x cos x =4sin 2x +4cos 2x =4=2,且f x =sin x -3cos x ≥-3cos x ≥-3,故-3≤f x ≤2.而对-3≤u ≤2,有f 0 =-3≤u ,f 5π6 =2≥u ,故由零点存在定理知一定存在x ∈0,5π6使得f x =u .所以f x 的值域为-3,2 ,C 正确;对于D ,由于-π<-5π6<-2π3<-π2,f -5π6 =2>3=f -2π3 ,故f x 在-π,-π2上并不是单调递增的,D 错误.故选:AC .17(2024·山西太原·模拟预测)已知函数f x =sin 2x +φ 0<φ<π2 的图象关于直线x =π12对称,且h x =sin2x -f x ,则()A.φ=π12B.h x 的图象关于点π6,0中心对称C.f x 与h x 的图象关于直线x =π4对称 D.h x 在区间π6,5π12内单调递增【答案】BCD【分析】根据正弦函数的对称性求解φ判断A ,先求出h x =sin 2x -π3,然后利用正弦函数的对称性求解判断B ,根据对称函数的性质判断C ,结合正弦函数的单调性代入验证判断D .【详解】由题意得2×π12+φ=π2+k π,k ∈Z ,解得φ=π3+k π,k ∈Z ,又因为0<φ<π2,所以φ=π3,A 错误;由φ=π3可知f x =sin 2x +π3,则h x =sin2x -sin 2x +π3 =12sin2x -32cos2x =sin 2x -π3,令2x -π3=k π,k ∈Z ,解得x =π6+k π2,k ∈Z ,令k =0,得x =π6,所以点π6,0 是曲线y =h x 的对称中心,B 正确;因为f π2-x =sin 2π2-x +π3 =sin 4π3-2x =sin 2x -π3=h x ,所以f x 与h x 的图象关于直线x =π4对称,C 正确;当x ∈π6,5π12 时,2x -π3∈0,π2 ,故h x 在区间π6,5π12内单调递增,D 正确.故选:BCD 18(2024·浙江金华·三模)已知函数f x =sin2ωx cos φ+cos2ωx sin φω>0,0<φ<π2的部分图象如图所示,则()A.φ=π6B.ω=2C.f x +π6为偶函数 D.f x 在区间0,π2的最小值为-12【答案】ACD【分析】先由正弦展开式,五点法结合图象求出f x =sin 2x +π6,可得A 正确,B 错误;由诱导公式可得C 正确;整体代入由正弦函数的值域可得D 正确.【详解】由题意得f x =sin 2ω+φ ,由图象可得f 0 =12⇒sin φ=12,又0<φ<π2,所以φ=π6,由五点法可得ω×4π3+π6=3π2⇒ω=1,所以f x =sin 2x +π6 .A :由以上解析可得φ=π6,故A 正确;B :由以上解析可得ω=1,故B 错误;C :f x +π6 =sin 2x +π6 +π6=cos2x ,故C 正确;D :当x ∈0,π2 ⇒2x +π6∈π6,7π6 时,sin 2x +π6 ∈-12,1,所以最小值为-12,故D 正确;故选:ACD .19(2024·浙江温州·二模)已知角α的顶点为坐标原点,始边与x 轴的非负半轴重合,P -3,4 为其终边上一点,若角β的终边与角2α的终边关于直线y =-x 对称,则()A.cos π+α =35B.β=2k π+π2+2αk ∈Z C.tan β=724D.角β的终边在第一象限【答案】ACD【分析】根据三角函数的定义,可求角α的三角函数,结合诱导公式判断A 的真假;利用二倍角公式,求出2α的三角函数值,结合三角函数的概念指出角2α的终边与单位圆的交点,由对称性确定角β终边与单位圆交点,从而判断BCD 的真假.【详解】因为角α的顶点为坐标原点,始边与x 轴的非负半轴重合,终边经过点P -3,4 ,所以:OP =5,所以sin α=45,cos α=-35,所以cos π+α =-cos α=35,故A 对;又sin2α=2sin α⋅cos α=2×45×-35 =-2425,cos2α=cos 2α-sin 2α=-35 2-45 2=-725,所以2α的终边与单位圆的交点坐标为:-725,-2425 ,因为角β的终边与角2α的终边关于直线y =-x 对称,所以角β的终边与单位圆的交点为2425,725,所以tan β=724,且β的终边在第一象限,故CD 正确;又因为终边在直线y =-x 的角为:k π-π4,k ∈Z ,角2α的终边与角β的终边关于y =-x 对称,所以2α+β2=k π-π4⇒β=2k π-π2-2αk ∈Z ,故B 错误.故选:ACD20(2024·广东佛山·二模)已知函数f x =sin x +cos2x 与g x =sin2x +cos x ,记h x =λf x +μg x ,其中λ,μ∈R 且λ2+μ2≠0.下列说法正确的是()A.h x 一定为周期函数B.若λ⋅μ>0,则h x 在0,π2上总有零点C.h x 可能为偶函数 D.h x 在区间0,2π 上的图象过3个定点【答案】ABD【分析】对于A :计算h x +2π ,化简即可;对于B :求出h x ,然后计算h 0 h π2的正负即可;对于C :计算h x ,h -x 是否恒相等即可;对于D :令f x =0g x =0,求解x 即可.【详解】对于A ,∀x ∈R ,h x +2π =λf x +2π +μg x +2π =λf x +μg x =h x ,A 正确;对于B ,h x =λcos x -2sin2x +μ2cos2x -sin x ,则h 0 =λ+2μ,h π2=-3μ,因为λμ>0,即λ,μ同号,所以h 0 h π2<0,由零点存在定理知h x 在0,π2上总有零点,故B 正确;对于C ,h x =λsin x +λcos2x +μsin2x +μcos x ,h -x =-λsin x +λcos2x -μsin2x +μcos x ,由h x =h -x 得2λsin x +2μsin2x =2λsin x +2μ⋅2sin x cos x =2sin x λ+2μcos x =0对x ∈R 恒成立,则λ=μ=0与题意不符,故C 错误;对于D ,令f x =0g x =0 ,则sin x +cos2x =1-2sin 2x +sin x =-sin x -1 2sin x +1 =0sin2x +cos x =cos x 2sin x +1 =0 ⇒sin x =1或sin x =-12cos x =0或sin x =-12,即x ∈-π6+2k π,π2+2k π,7π6+2k π ,k ∈Z ,故所有定点坐标为-π6+2k π,0 ,π2+2k π,0 ,7π6+2k π,0 ,k ∈Z ,又因为x ∈0,2π ,所以函数h x 的图象过定点π2,0 ,7π6,0 ,11π6,0 ,故D 正确;故选:ABD .21(2024·湖南·二模)已知函数f x =12cos 2x -π3 ,把y =f x 的图象向右平移π3个单位长度,得到函数y =g x 的图象,以下说法正确的是()A.x =π6是y =f x 图象的一条对称轴B.f x 的单调递减区间为k π+π6,k π+2π3k ∈Z C.y =g x 的图象关于原点对称D.f x +g x 的最大值为12【答案】ABD【分析】根据题意,求得g x =-12cos2x 的图象,结合三角函数的图象与性质,以及两角差的正弦公式,逐项判定,即可求解.【详解】将函数f x =12cos 2x -π3 的图象向右平移π3个单位长度,得到函数y =g x =12cos 2x -π =-12cos2x 的图象,对于A 中,令x =π6,求得f x =12,即为函数y =f x 最大值,所以直线x =π6是函数f x 图象的一条对称轴,所以A 正确;对于B 中,令2k π≤2x -π3≤2k π+π,k ∈Z ,解得k π+π6≤x ≤k π+2π3,k ∈Z ,可得f x 的单调减区间为k π+π6,k π+2π3,k ∈Z ,所以B 正确.对于C 中,由于g x =-12cos2x 是偶函数,可得函数g x 的图象关于y 轴对称,所以C 错误.对于D 中,由f x +g x =12cos 2x -π3 +-12cos2x =1212cos2x +32sin2x -12cos2x =34sin2x -14cos2x =12sin 2x -π6 ≤12,即f x +g x 的最大值为12,所以D 正确.故选:ABD .22(2024·广东江门·一模)已知函数f (x )=sin 2ωx +π3 +sin 2ωx -π3+23cos 2ωx -3(ω>0),则下列结论正确的是()A.若f x 相邻两条对称轴的距离为π2,则ω=2B.当ω=1,x ∈0,π2时,f x 的值域为-3,2 C.当ω=1时,f x 的图象向左平移π6个单位长度得到函数解析式为y =2cos 2x +π6D.若f x 在区间0,π6上有且仅有两个零点,则5≤ω<8【答案】BCD【分析】根据三角恒等变换化简f x =2sin 2ωx +π3,进而根据周期可判断A ,根据整体法求解函数的值域判断B ,根据函数图象的平移可判断C ,根据零点个数确定不等式满足的条件可判断D .【详解】f (x )=sin 2ωx +π3 +sin 2ωx -π3+23cos 2ωx -3=sin2ωx cos π3+cos2ωx sin π3+sin2ωx cos π3-cos2ωx sin π3+3cos2ωx=sin2ωx +3cos2ωx =2sin 2ωx +π3,对于A ,若f x 相邻两条对称轴的距离为π2,则T =2×π2=π=2π2ω,故ω=1,A 错误,对于B ,当ω=1,f x =2sin 2x +π3 ,当x ∈0,π2 时,2x +π3∈π3,4π3,则f x 的值域为-3,2 ,B 正确,对于C ,当ω=1,f x =2sin 2x +π3,f x 的图象向左平移π6个单位长度得到函数解析式为f x +π6 =2sin 2x +π6 +π3 =2sin 2x +2π3 =2cos 2x +π6,C 正确,对于D ,当x ∈0,π6 时,2ωx +π3∈π3,2ωπ6+π3,若f x 在区间0,π6 上有且仅有两个零点,则2π≤2ωπ6+π3<3π,解得5≤ω<8,故D 正确,故选:BCD 三、填空题23(2024·北京·三模)已知函数f (x )=sin x cos ωx ,x ∈R .①若ω=1,则f (x )的最小正周期是;,②若ω=2,则f (x )的值域是.【答案】π[-1,1]【分析】把ω=1代入,t 明智二倍角的正弦,结合正弦函数的周期求出f (x )的最小正周期;把ω=2代入,利用二倍角的余弦公式,借助换元法,利用导数求出f (x )的值域.【详解】当ω=1时,f (x )=sin x cos x =12sin2x ,函数f (x )的最小正周期为2π2=π;当ω=2时,f (x )=sin x cos2x =sin x (1-2sin 2x ),令sin x =t ∈[-1,1],g (t )=t (1-2t 2)=-2t 3+t ,求导得g (t )=-6t 2+1,当-1≤t <-66或66<t ≤1时,g (t )<0,当-66<t <66时,g (t )>0,函数g (t )在-1,-66 ,66,1 上单调递减,在-66,66上单调递增,g (-1)=1,g 66 =69,g (1)=-1,g -66 =-69,所以g (t )min =-1,g (t )max =1,f (x )的值域是[-1,1].故答案为:π;[-1,1]24(2024·北京·模拟预测)已知函数f (x )=sin ωx -2cos ωx (ω>0),且f α+x =f α-x .若两个不等的实数x 1,x 2满足f x 1 f x 2 =5且x 1-x 2 min =π,则sin4α=.【答案】-45/-0.8【分析】利用辅助角公式化简f (x )的解析式,再由题意可得函数关于x =α对称,且最小正周期T =π,即可求出ω的值,从而得到2α=φ+π2+k π,k ∈Z ,再由二倍角公式及同角三角函数的基本关系计算可得.【详解】因为f (x )=sin ωx -2cos ωx =5sin ωx -φ ,其中tan φ=2,由f α+x =f α-x ,可得f x 关于x =α对称,又两个不等的实数x 1,x 2满足f x 1 f x 2 =5且x 1-x 2 min =π,所以f x 的最小正周期T =π,又ω>0,所以2πω=π,解得ω=2,所以f x =5sin 2x -φ ,所以2α-φ=π2+k π,k ∈Z ,则2α=φ+π2+k π,k ∈Z ,所以sin4α=sin2φ+π2+k π =sin 2φ+π+2k π =-sin2φ=-2sin φcos φsin 2φ+cos 2φ=-2tan φtan 2φ+1=-2×222+1=-45.故答案为:-4525(2024·湖北荆州·三模)设0<α<β<π2,tan α=m tan β,cos α-β =35,若满足条件的α与β存在且唯一,则m =,tan αtan β=.【答案】191【分析】由tan α=m tan β得到sin αcos β=m cos αsin β,再结合cos α-β =35,利用sin α-β =-45,得到cos αsin β=-45m -1 ,sin αcos β=-4m5m -1 ,从而sin α+β =-4m +1 5m -1,再由满足条件的α与β存在且唯一,得到α+β唯一,从而sin α+β =-4m +15m -1=1,求得m 即可.【详解】解:由tan α=m tan β,得sin αcos α=m sin βcos β,即sin αcos β=m cos αsin β,因为0<α<β<π2,tan α=m tan β,所以-π2<α-β<0,0<m <1,又cos α-β =35,所以sin α-β <0,从而sin α-β =sin αcos β-cos αsin β=m -1 cos αsin β=-45,所以cos αsin β=-45m -1,所以sin αcos β=m cos αsin β=-4m5m -1,所以sin α+β =sin αcos β+cos αsin β=-4m +15m -1,因为α,β∈0,π2,所以α+β∈0,π ,因为满足条件的α与β存在且唯一,所以α+β唯一,所以sin α+β =-4m +1 5m -1=1,所以m =19,经检验符合题意,所以tan α=19tan β,则tan α-β =-43=tan α-tan β1+tan αtan β=tan α-9tan α1+9tan 2α,解得tan α=13,所以tan αtan β=9tan 2α=1.故答案为:19,1【点睛】关键点点睛:关键是结合已知得出sin α+β =-4m +15m -1 =1,求出m ,由此即可顺利得解.。
第1讲 三角函数的图象与性质高考定位 三角函数的图象与性质是高考考查的重点和热点内容,主要从以下两个方面进行考查:1.三角函数的图象,涉及图象变换问题以及由图象确定解析式问题,主要以选择题、填空题的形式考查;2.利用三角函数的性质求解三角函数的值、参数、最值、值域、单调区间等,主要以解答题的形式考查.真 题 感 悟1.(全国Ⅰ卷)已知角α的顶点为坐标原点,始边与x 轴的非负半轴重合,终边上有两点A (1,a ),B (2,b ),且cos 2α=23,则|a -b |=( ) A.15B.55C.255D.1解析 由题意知cos α>0.因为cos 2α=2cos 2α-1=23,所以cos α=306,sin α=±66,得|tan α|=55.由题意知|tan α|=⎪⎪⎪⎪⎪⎪a -b 1-2,所以|a -b |=55. 答案 B2.(全国Ⅲ卷)设函数f (x )=cos ⎝ ⎛⎭⎪⎫x +π3,则下列结论错误的是( )A.f (x )的一个周期为-2πB.y =f (x )的图象关于直线x =8π3对称 C.f (x +π)的一个零点为x =π6 D.f (x )在⎝ ⎛⎭⎪⎫π2,π单调递减解析 A 项,因为f (x )的周期为2k π(k ∈Z 且k ≠0),所以f (x )的一个周期为-2π,A 项正确.B 项,因为f (x )图象的对称轴为直线x =k π-π3(k ∈Z ),当k =3时,直线x =8π3是其对称轴,B 项正确.C 项,f (x +π)=cos ⎝ ⎛⎭⎪⎫x +4π3,将x =π6代入得到f ⎝ ⎛⎭⎪⎫7π6=cos 3π2=0,所以x =π6是f (x +π)的一个零点,C 项正确.D 项,因为f (x )=cos ⎝ ⎛⎭⎪⎫x +π3的递减区间为⎣⎢⎡⎦⎥⎤2k π-π3,2k π+2π3 (k ∈Z ),递增区间为⎣⎢⎡⎦⎥⎤2k π+2π3,2k π+5π3 (k ∈Z ),所以⎝ ⎛⎭⎪⎫π2,2π3是减区间,⎣⎢⎡⎭⎪⎫2π3,π是增区间,D 项错误. 答案 D3.(全国Ⅰ卷)已知函数f (x )=2cos 2x -sin 2x +2,则( ) A.f (x )的最小正周期为π,最大值为3 B.f (x )的最小正周期为π,最大值为4 C.f (x )的最小正周期为2π,最大值为3 D.f (x )的最小正周期为2π,最大值为4解析 易知f (x )=2cos 2x -sin 2x +2=3cos 2x +1=3cos 2x +12+1=32cos 2x +52,则f (x )的最小正周期为π,当2x =2k π,即x =k π(k ∈Z )时,f (x )取得最大值,最大值为4. 答案 B4.(全国Ⅱ卷)若f (x )=cos x -sin x 在[-a ,a ]是减函数,则a 的最大值是( ) A.π4B.π2C.3π4D.π解析 f (x )=cos x -sin x =2cos ⎝ ⎛⎭⎪⎫x +π4,且函数y =cos x 在区间[0,π]上单调递减,则由0≤x +π4≤π,得-π4≤x ≤3π4.因为f (x )在[-a ,a ]上是减函数,所以⎩⎪⎨⎪⎧-a ≥-π4,a ≤3π4,解得a ≤π4,所以0<a ≤π4,所以a 的最大值是π4. 答案 A考 点 整 合1.常用三种函数的图象与性质(下表中k ∈Z )图象递增 区间 ⎣⎢⎡⎦⎥⎤2k π-π2,2k π+π2 [2k π-π,2k π]⎝ ⎛⎭⎪⎫k π-π2,k π+π2 递减 区间 ⎣⎢⎡⎦⎥⎤2k π+π2,2k π+3π2 [2k π,2k π+π] 奇偶性 奇函数 偶函数 奇函数 对称 中心 (k π,0) ⎝ ⎛⎭⎪⎫k π+π2,0 ⎝ ⎛⎭⎪⎫k π2,0 对称轴 x =k π+π2 x =k π 周期性2π2ππ2.三角函数的常用结论(1)y =A sin(ωx +φ),当φ=k π(k ∈Z )时为奇函数;当φ=k π+π2(k ∈Z )时为偶函数;对称轴方程可由ωx +φ=k π+π2(k ∈Z )求得.(2)y =A cos(ωx +φ),当φ=k π+π2(k ∈Z )时为奇函数;当φ=k π(k ∈Z )时为偶函数;对称轴方程可由ωx +φ=k π(k ∈Z )求得. (3)y =A tan(ωx +φ),当φ=k π(k ∈Z )时为奇函数. 3.三角函数的两种常见变换热点一 三角函数的定义【例1】 (1)(北京卷)在平面直角坐标系xOy 中,角α与角β均以Ox 为始边,它们的终边关于y 轴对称.若sin α=13,则cos(α-β)=________.(2)如图,以Ox 为始边作角α(0<α<π),终边与单位圆相交于点P ,已知点P 的坐标为⎝ ⎛⎭⎪⎫-35,45,则sin 2α+cos 2α+11+tan α=________.解析 (1)法一 由已知得β=(2k +1)π-α(k ∈Z ). ∵sin α=13,∴sin β=sin[(2k +1)π-α]=sin α=13(k ∈Z ). 当cos α=1-sin 2α=223时,cos β=-223,∴cos(α-β)=cos αcos β+sin αsin β=223×⎝ ⎛⎭⎪⎫-223+13×13=-79. 当cos α=-1-sin 2α=-223时,cos β=223,∴cos(α-β)=cos αcos β+sin αsin β=-79.综上可知,cos(α-β)=-79.法二 由已知得β=(2k +1)π-α(k ∈Z ),∴sin β=sin[(2k +1)π-α]=sinα, cos β=cos[(2k +1)π-α]=-cos α,k ∈Z .当sin α=13时,cos(α-β)=cos αcos β+sin αsin β=-cos 2α+sin 2α=-(1-sin 2α)+sin 2α=2sin 2α-1=2×19-1=-79.(2)由三角函数定义,得cos α=-35,sin α=45,∴原式=2sin αcos α+2cos 2α1+sin αcos α=2cos α(sin α+cos α)sin α+cos αcos α=2cos 2α=2×⎝ ⎛⎭⎪⎫-352=1825. 答案 (1)-79 (2)1825探究提高 1.当角的终边所在的位置不是唯一确定的时候要注意分情况解决,机械地使用三角函数的定义就会出现错误.2.任意角的三角函数值仅与角α的终边位置有关,而与角α终边上点P 的位置无关.若角α已经给出,则无论点P 选择在α终边上的什么位置,角α的三角函数值都是确定的.【训练1】 (1)(潍坊三模)在直角坐标系中,若角α的终边经过点P ⎝ ⎛⎭⎪⎫sin 23π,cos 23π,则sin(π-α)=( ) A.12B.32C.-12D.-32(2)(北京卷)在平面直角坐标系中,AB ︵,CD ︵,EF ︵,GH ︵是圆x 2+y 2=1上的四段弧(如图),点P 在其中一段上,角α以Ox 为始边,OP 为终边.若tan α<cos α<sin α,则P 所在的圆弧是( )A.AB ︵B.CD ︵C.EF ︵D.GH ︵解析 (1)∵角α的终边过点P ⎝ ⎛⎭⎪⎫sin 23π,cos 23π,且|OP |=1.∴由三角函数定义,知sinα=cos 2π3=-12.因此sin(π-α)=sin α=-12.(2)设点P 的坐标为(x ,y ),由三角函数的定义得yx <x <y ,所以-1<x <0,0<y <1.所以P 所在的圆弧是EF ︵. 答案 (1)C (2)C 热点二 三角函数的图象 考法1 三角函数的图象变换【例2-1】 (1)要想得到函数y =sin 2x +1的图象,只需将函数y =cos 2x 的图象( )A.向左平移π4个单位长度,再向上平移1个单位长度 B.向右平移π4个单位长度,再向上平移1个单位长度 C.向左平移π2个单位长度,再向下平移1个单位长度D.向右平移π2个单位长度,再向下平移1个单位长度(2)(湖南六校联考)已知函数f (x )=sin(ωx +φ)⎝ ⎛⎭⎪⎫ω>0,|φ|<π2,其图象相邻两条对称轴之间的距离为π2,将函数y =f (x )的图象向左平移π3个单位长度后,得到的图象关于y 轴对称,那么函数y =f (x )的图象( )A.关于点⎝ ⎛⎭⎪⎫π12,0对称B.关于点⎝ ⎛⎭⎪⎫-π12,0对称C.关于直线x =π12对称D.关于直线x =-π12对称解析 (1)因为y =sin 2x +1=cos ⎝ ⎛⎭⎪⎫2x -π2+1=cos ⎣⎢⎡⎦⎥⎤2⎝ ⎛⎭⎪⎫x -π4+1,故只需将函数y =cos 2x 的图象向右平移π4个单位长度,再向上平移1个单位长度,即可得到函数y =sin 2x +1的图象. (2)由题意,T =π,ω=2.又y =f ⎝ ⎛⎭⎪⎫x +π3=sin ⎝⎛⎭⎪⎫2x +φ+2π3的图象关于y 轴对称.∴φ+2π3=k π+π2,k ∈Z . 由|φ|<π2,取φ=-π6,因此f (x )=sin ⎝ ⎛⎭⎪⎫2x -π6,代入检验f ⎝ ⎛⎭⎪⎫π12=0,A 正确.答案 (1)B (2)A探究提高 1.“五点法”作图:设z =ωx +φ,令z =0,π2,π,3π2,2π,求出x 的值与相应的y 的值,描点、连线可得.2.在图象变换过程中务必分清是先相位变换,还是先周期变换.变换只是相对于其中的自变量x 而言的,如果x 的系数不是1,就要把这个系数提取后再确定变换的单位长度和方向.考法2 由函数的图象特征求解析式【例2-2】 (1)函数f (x )=A sin(ωx +φ)⎝ ⎛⎭⎪⎫A >0,ω>0,|φ|<π2的部分图象如图所示,则函数f (x )的解析式为( )A.f (x )=2sin ⎝ ⎛⎭⎪⎫x -π6B.f (x )=2sin ⎝ ⎛⎭⎪⎫2x -π3C.f (x )=2sin ⎝ ⎛⎭⎪⎫2x +π12D.f (x )=2sin ⎝ ⎛⎭⎪⎫2x -π6(2)(济南调研)函数f (x )=A sin(ωx +φ)⎝ ⎛⎭⎪⎫A >0,ω>0,|φ|<π2的部分图象如图所示,若x 1,x 2∈⎝ ⎛⎭⎪⎫-π6,π3,且f (x 1)=f (x 2),则f (x 1+x 2)=( )A.1B.12C.22D.32解析 (1)由题意知A =2,T =4⎝ ⎛⎭⎪⎫5π12-π6=π,ω=2,因为当x =5π12时取得最大值2,所以2=2sin ⎝ ⎛⎭⎪⎫2×5π12+φ, 所以2×5π12+φ=2k π+π2,k ∈Z ,解得φ=2k π-π3,k ∈Z , 因为|φ|<π2,得φ=-π3. 因此函数f (x )=2sin ⎝ ⎛⎭⎪⎫2x -π3.(2)观察图象可知,A =1,T =π,则ω=2. 又点⎝ ⎛⎭⎪⎫-π6,0是“五点法”中的始点,∴2×⎝ ⎛⎭⎪⎫-π6+φ=0,φ=π3. 则f (x )=sin ⎝ ⎛⎭⎪⎫2x +π3. 函数图象的对称轴为x =-π6+π32=π12.又x 1,x 2∈⎝ ⎛⎭⎪⎫-π6,π3,且f (x 1)=f (x 2),所以x 1+x 22=π12,则x 1+x 2=π6,因此f (x 1+x 2)=sin ⎝ ⎛⎭⎪⎫2×π6+π3=32. 答案 (1)B (2)D探究提高 已知函数y =A sin(ωx +φ)(A >0,ω>0)的图象求解析式时,常采用待定系数法,由图中的最高点、最低点或特殊点求A ;由函数的周期确定ω;确定φ常根据“五点法”中的五个点求解,其中一般把第一个零点作为突破口,可以从图象的升降找准第一个零点的位置.【训练2】 已知函数f (x )=A sin(ωx +φ)(A >0,ω>0,|φ|<π2)的部分图象如图所示.(1)求函数f (x )的解析式;(2)将函数y =f (x )的图象上各点的纵坐标保持不变,横坐标缩短到原来的12倍,再把所得的函数图象向左平移π6个单位长度,得到函数y =g (x )的图象,求函数g (x )在区间⎣⎢⎡⎦⎥⎤0,π8上的最小值.解 (1)设函数f (x )的最小正周期为T ,由题图可知 A =1,T 2=2π3-π6=π2,即T =π,所以π=2πω,解得ω=2,所以f (x )=sin(2x +φ),又过点⎝ ⎛⎭⎪⎫π6,0,由0=sin ⎝ ⎛⎭⎪⎫2×π6+φ可得π3+φ=2k π,k ∈Z , 则φ=2k π-π3,k ∈Z ,因为|φ|<π2,所以φ=-π3,故函数f (x )的解析式为f (x )=sin ⎝ ⎛⎭⎪⎫2x -π3. (2)根据条件得g (x )=sin ⎝ ⎛⎭⎪⎫4x +π3,当x ∈⎣⎢⎡⎦⎥⎤0,π8时,4x +π3∈⎣⎢⎡⎦⎥⎤π3,5π6,所以当x =π8时,g (x )取得最小值,且g (x )min =12. 热点三 三角函数的性质 考法1 三角函数性质【例3-1】 (合肥质检)已知函数f (x )=sin ωx -cos ωx (ω>0)的最小正周期为π. (1)求函数y =f (x )图象的对称轴方程; (2)讨论函数f (x )在⎣⎢⎡⎦⎥⎤0,π2上的单调性. 解 (1)∵f (x )=sin ωx -cos ωx =2sin ⎝ ⎛⎭⎪⎫ωx -π4,且T =π,∴ω=2,于是f (x )=2sin ⎝ ⎛⎭⎪⎫2x -π4.令2x -π4=k π+π2(k ∈Z ),得x =k π2+3π8(k ∈Z ).即函数f (x )图象的对称轴方程为x =k π2+3π8(k ∈Z ).(2)令2k π-π2≤2x -π4≤2k π+π2(k ∈Z ),得函数f (x )的单调递增区间为⎣⎢⎡⎦⎥⎤k π-π8,k π+3π8(k ∈Z ).注意到x ∈⎣⎢⎡⎦⎥⎤0,π2,所以令k =0,得函数f (x )在⎣⎢⎡⎦⎥⎤0,π2上的单调递增区间为⎣⎢⎡⎦⎥⎤0,3π8;同理,其单调递减区间为⎣⎢⎡⎦⎥⎤3π8,π2.探究提高 1.讨论三角函数的单调性,研究函数的周期性、奇偶性与对称性,都必须首先利用辅助角公式,将函数化成一个角的一种三角函数.2.求函数y =A sin(ωx +φ)(A >0,ω>0)的单调区间,是将ωx +φ作为一个整体代入正弦函数增区间(或减区间),求出的区间即为y =A sin(ωx +φ)的增区间(或减区间),但是当A >0,ω<0时,需先利用诱导公式变形为y =-A sin(-ωx -φ),则y =A sin(-ωx -φ)的增区间即为原函数的减区间,减区间即为原函数的增区间. 考法2 三角函数性质与图象的综合应用【例3-2】 已知函数f (x )=2sin ωx cos ωx +23sin 2ωx -3(ω>0)的最小正周期为π.(1)求函数f (x )的单调递增区间.(2)将函数f (x )的图象向左平移π6个单位,再向上平移1个单位,得到函数y =g (x )的图象,若y =g (x )在[0,b ](b >0)上至少含有10个零点,求b 的最小值. 解 (1)f (x )=2sin ωx cos ωx +3(2sin 2ωx -1) =sin 2ωx -3cos 2ωx =2sin ⎝ ⎛⎭⎪⎫2ωx -π3.由最小正周期为π,得ω=1, 所以f (x )=2sin ⎝ ⎛⎭⎪⎫2x -π3,由2k π-π2≤2x -π3≤2k π+π2,k ∈Z ,整理得k π-π12≤x ≤kx +5π12,k ∈Z ,所以函数f (x )的单调递增区间是⎣⎢⎡⎦⎥⎤k π-π12,k π+5π12,k ∈Z . (2)将函数f (x )的图象向左平移π6个单位,再向上平移1个单位,得到y =2sin 2x +1的图象;所以g (x )=2sin 2x +1.令g (x )=0,得x =k π+7π12或x =k π+11π12(k ∈Z ),所以在[0,π]上恰好有两个零点,若y =g (x )在[0,b ]上有10个零点,则b 不小于第10个零点的横坐标即可.所以b 的最小值为4π+11π12=59π12.探究提高 1.研究三角函数的图象与性质,关键是将函数化为y =A sin(ωx +φ)+B (或y =A cos(ωx +φ)+B )的形式,利用正余弦函数与复合函数的性质求解. 2.函数y =A sin(ωx +φ)(或y =A cos(ωx +φ))的最小正周期T =2π|ω|.应特别注意y =|A sin(ωx +φ)|的最小正周期为T =π|ω|.【训练3】 (湖南师大附中质检)已知向量m =(2cos ωx ,-1),n =(sin ωx -cos ωx ,2)(ω>0),函数f (x )=m·n +3,若函数f (x )的图象的两个相邻对称中心的距离为π2. (1)求函数f (x )的单调增区间;(2)若将函数f (x )的图象先向左平移π4个单位,然后纵坐标不变,横坐标缩短为原来的12倍,得到函数g (x )的图象,当x ∈⎣⎢⎡⎦⎥⎤π4,π2时,求函数g (x )的值域.解 (1)f (x )=m·n +3=2cos ωx (sin ωx -cos ωx )-2+3 =sin 2ωx -cos 2ωx =2sin ⎝ ⎛⎭⎪⎫2ωx -π4.依题意知,最小正周期T =π.∴ω=1,因此f (x )=2sin ⎝ ⎛⎭⎪⎫2x -π4.令-π2+2k π≤2x -π4≤π2+2k π,k ∈Z ,求得f (x )的增区间为⎣⎢⎡⎦⎥⎤-π8+k π,3π8+k π,k ∈Z .(2)将函数f (x )的图象先向左平移π4个单位,得y =2sin ⎣⎢⎡⎦⎥⎤2⎝⎛⎭⎪⎫x +π4-π4=2sin ⎝ ⎛⎭⎪⎫2x +π4的图象. 然后纵坐标不变,横坐标缩短为原来的12倍,得到函数g (x )=2sin ⎝ ⎛⎭⎪⎫4x +π4的图象.故g (x )=2sin ⎝ ⎛⎭⎪⎫4x +π4,由π4≤x ≤π2,知5π4≤4x +π4≤9π4.∴-1≤sin ⎝ ⎛⎭⎪⎫4x +π4≤22.故函数g (x )的值域是[-2,1].1.已知函数y=A sin(ωx+φ)+B(A>0,ω>0)的图象求解析式(1)A=y max-y min2,B=y max+y min2.(2)由函数的周期T求ω,ω=2πT.(3)利用“五点法”中相对应的特殊点求φ.2.运用整体换元法求解单调区间与对称性类比y=sin x的性质,只需将y=A sin(ωx+φ)中的“ωx+φ”看成y=sin x中的“x”,采用整体代入求解.(1)令ωx+φ=kπ+π2(k∈Z),可求得对称轴方程;(2)令ωx+φ=kπ(k∈Z),可求得对称中心的横坐标;(3)将ωx+φ看作整体,可求得y=A sin(ωx+φ)的单调区间,注意ω的符号.3.函数y=A sin(ωx+φ)+B的性质及应用的求解思路第一步:先借助三角恒等变换及相应三角函数公式把待求函数化成y=A sin(ωx +φ)+B(一角一函数)的形式;第二步:把“ωx+φ”视为一个整体,借助复合函数性质求y=A sin(ωx+φ)+B的单调性及奇偶性、最值、对称性等问题.一、选择题1.(全国Ⅲ卷)函数f(x)=tan x1+tan2x的最小正周期为()A.π4 B.π2 C.π D.2π解析f(x)=tan x1+tan2x=sin xcos x1+sin2xcos2x=sin x cos xcos2x+sin2x=sin x cos x=12sin 2x,所以f(x)的最小正周期T=2π2=π.答案 C2.(全国Ⅲ卷)函数f(x)=15sin⎝⎛⎭⎪⎫x+π3+cos⎝⎛⎭⎪⎫x-π6的最大值为()A.65 B.1 C.35 D.15解析 cos ⎝ ⎛⎭⎪⎫x -π6=cos ⎣⎢⎡⎦⎥⎤π2-⎝ ⎛⎭⎪⎫x +π3=sin ⎝ ⎛⎭⎪⎫x +π3,则f (x )=15sin ⎝ ⎛⎭⎪⎫x +π3+sin ⎝ ⎛⎭⎪⎫x +π3=65sin ⎝ ⎛⎭⎪⎫x +π3,函数的最大值为65. 答案 A3.(湖南六校联考)定义一种运算⎪⎪⎪⎪⎪⎪a b c d =ad -bc ,将函数f (x )=⎪⎪⎪⎪⎪⎪2 2sin x 3 cos x 的图象向左平移φ(φ>0)个单位,所得图象对应的函数为偶函数,则φ的最小值是( ) A.π6B.π3C.2π3D.5π6解析 f (x )=2cos x -23sin x =4cos ⎝ ⎛⎭⎪⎫x +π3,依题意g (x )=f (x +φ)=4cos ⎝ ⎛⎭⎪⎫x +π3+φ是偶函数(其中φ>0).∴π3+φ=k π,k ∈Z ,则φmin =23π. 答案 C4.偶函数f (x )=A sin(ωx +φ)(A >0,ω>0,0<φ<π)的部分图象如图所示,其中△EFG 是斜边为4的等腰直角三角形(E ,F 是函数与x 轴的交点,点G 在图象上),则f (1)的值为( )A.22B.62C. 2D.2 2解析 依题设,T 2=|EF |=4,T =8,ω=π4. ∵函数f (x )=A sin(ωx +φ)为偶函数,且0<φ<π. ∴φ=π2,在等腰直角△EGF 中,易求A =2. 所以f (x )=2sin ⎝ ⎛⎭⎪⎫π4x +π2=2cos π4x ,则f (1)= 2.答案 C5.(天津卷)将函数y =sin ⎝ ⎛⎭⎪⎫2x +π5的图象向右平移π10个单位长度,所得图象对应的函数( )A.在区间⎣⎢⎡⎦⎥⎤3π4,5π4上单调递增B.在区间⎣⎢⎡⎦⎥⎤3π4,π上单调递减C.在区间⎣⎢⎡⎦⎥⎤5π4,3π2上单调递增D.在区间⎣⎢⎡⎦⎥⎤3π2,2π上单调递减解析 把函数y =sin ⎝ ⎛⎭⎪⎫2x +π5的图象向右平移π10个单位长度得函数g (x )=sin ⎣⎢⎡⎦⎥⎤2⎝⎛⎭⎪⎫x -π10+π5=sin 2x 的图象,由-π2+2k π≤2x ≤π2+2k π(k ∈Z )得-π4+k π≤x ≤π4+k π(k ∈Z ),令k =1,得3π4≤x ≤5π4,即函数g (x )=sin 2x 的一个单调递增区间为⎣⎢⎡⎦⎥⎤3π4,5π4.答案 A 二、填空题6.(江苏卷)已知函数y =sin(2x +φ)⎝ ⎛⎭⎪⎫-π2<φ<π2的图象关于直线x =π3对称,则φ的值是________.解析 由函数y =sin(2x +φ)⎝ ⎛⎭⎪⎫-π2<φ<π2的图象关于直线x =π3对称,得sin ⎝ ⎛⎭⎪⎫2π3+φ=±1.因为-π2<φ<π2,所以π6<2π3+φ<7π6,则2π3+φ=π2,φ=-π6.答案 -π67.已知函数f (x )=A sin(ωx +φ)⎝ ⎛⎭⎪⎫A >0,ω>0,|φ|<π2的部分图象如图所示,其中|PQ |=2 5.则f (x )的解析式为________.解析 由题图可知A =2,P (x 1,-2),Q (x 2,2),所以|PQ |=(x 1-x 2)2+(-2-2)2=(x 1-x 2)2+42=2 5.整理得|x 1-x 2|=2,所以函数f (x )的最小正周期T =2|x 1-x 2|=4,即2πω=4,解得ω=π2.又函数图象过点(0,-3),所以2sin φ=-3,即sin φ=-32.又|φ|<π2,所以φ=-π3,所以f (x )=2sin ⎝ ⎛⎭⎪⎫π2x -π3.答案 f (x )=2sin ⎝ ⎛⎭⎪⎫π2x -π38.(北京卷)设函数f (x )=cos ⎝ ⎛⎭⎪⎫ωx -π6(ω>0).若f (x )≤f ⎝ ⎛⎭⎪⎫π4对任意的实数x 都成立,则ω的最小值为________.解析 由于对任意的实数都有f (x )≤f ⎝ ⎛⎭⎪⎫π4成立,故当x =π4时,函数f (x )有最大值,故f ⎝ ⎛⎭⎪⎫π4=1,πω4-π6=2k π(k ∈Z ),∴ω=8k +23(k ∈Z ).又ω>0,∴ωmin =23.答案 23 三、解答题9.已知函数f (x )=4tan x sin ⎝ ⎛⎭⎪⎫π2-x ·cos ⎝ ⎛⎭⎪⎫x -π3- 3. (1)求f (x )的定义域与最小正周期; (2)讨论f (x )在区间⎣⎢⎡⎦⎥⎤-π4,π4上的单调性.解 (1)f (x )的定义域为{x |x ≠π2+k π,k ∈Z },f (x )=4tan x cos x cos ⎝ ⎛⎭⎪⎫x -π3- 3=4sin x cos ⎝ ⎛⎭⎪⎫x -π3- 3=4sin x ⎝ ⎛⎭⎪⎫12cos x +32sin x - 3=2sin x cos x +23sin 2x - 3 =sin 2x -3cos 2x =2sin ⎝ ⎛⎭⎪⎫2x -π3.所以f (x )的最小正周期T =2π2=π. (2)由-π2+2k π≤2x -π3≤π2+2k π,k ∈Z , 得-π12+k π≤x ≤5π12+k π,k ∈Z .设A =⎣⎢⎡⎦⎥⎤-π4,π4,B =⎩⎨⎧⎭⎬⎫x ⎪⎪⎪-π12+k π≤x ≤5π12+k π,k ∈Z ,易知A ∩B =⎣⎢⎡⎦⎥⎤-π12,π4.所以当x ∈⎣⎢⎡⎦⎥⎤-π4,π4时,f (x )在区间⎣⎢⎡⎦⎥⎤-π12,π4上单调递增,在区间⎣⎢⎡⎦⎥⎤-π4,-π12上单调递减.10.(西安模拟)已知函数f (x )=sin ⎝ ⎛⎭⎪⎫π2-x sin x -3cos 2x +32.(1)求f (x )的最大值及取得最大值时x 的值;(2)若方程f (x )=23在(0,π)上的解为x 1,x 2,求cos(x 1-x 2)的值.解 (1)f (x )=cos x sin x -32(2cos 2x -1) =12sin 2x -32cos 2x =sin ⎝ ⎛⎭⎪⎫2x -π3. 当2x -π3=π2+2k π(k ∈Z ),即x =512π+k π(k ∈Z )时,函数f (x )取最大值,且最大值为1.(2)由(1)知,函数f (x )图象的对称轴为x =512π+k π,k ∈Z ,∴当x ∈(0,π)时,对称轴为x =512π.又方程f (x )=23在(0,π)上的解为x 1,x 2.∴x 1+x 2=56π,则x 1=56π-x 2,∴cos(x 1-x 2)=cos ⎝ ⎛⎭⎪⎫56π-2x 2=sin ⎝ ⎛⎭⎪⎫2x 2-π3, 又f (x 2)=sin ⎝ ⎛⎭⎪⎫2x 2-π3=23,故cos(x 1-x 2)=23.11.设函数f (x )=sin ⎝ ⎛⎭⎪⎫ωx -π6+sin ⎝ ⎛⎭⎪⎫ωx -π2,其中0<ω<3,已知f ⎝ ⎛⎭⎪⎫π6=0.(1)求ω;(2)将函数y =f (x )的图象上各点的横坐标伸长为原来的2倍(纵坐标不变),再将得到的图象向左平移π4个单位,得到函数y =g (x )的图象,求g (x )在⎣⎢⎡⎦⎥⎤-π4,3π4上的最小值.解 (1)因为f (x )=sin ⎝ ⎛⎭⎪⎫ωx -π6+sin ⎝ ⎛⎭⎪⎫ωx -π2,所以f (x )=32sin ωx -12cos ωx -cos ωx=32sin ωx -32cos ωx =3⎝ ⎛⎭⎪⎫12sin ωx -32cos ωx=3sin ⎝ ⎛⎭⎪⎫ωx -π3.由题设知f ⎝ ⎛⎭⎪⎫π6=0,所以ωπ6-π3=k π,k ∈Z ,故ω=6k +2,k ∈Z . 又0<ω<3,所以ω=2.(2)由(1)得f (x )=3sin ⎝ ⎛⎭⎪⎫2x -π3,所以g (x )=3sin ⎝ ⎛⎭⎪⎫x +π4-π3=3sin ⎝ ⎛⎭⎪⎫x -π12. 因为x ∈⎣⎢⎡⎦⎥⎤-π4,3π4,所以x -π12∈⎣⎢⎡⎦⎥⎤-π3,2π3,当x -π12=-π3,即x =-π4时,g (x )取得最小值-32.。
高考数学专题复习题:三角函数1.关于正切函数x y tan =,下列判断不正确的是( )A .是奇函数B .在整个定义域上是增函数C .在定义域内无最大值和最小值D .平行于x 轴的直线被正切曲线各支所截取线段相等2.若)4tan()(π+=x x f ,则( )A .)1()0()1(−>>f f fB .)1()1()0(−>>f f fC .)1()1()0(f f f >−>D .)1()0()1(f f f >>− 3.函数)4tan(x y −=π的定义域是( )A .⎭⎬⎫⎩⎨⎧≠4πx x B .⎭⎬⎫⎩⎨⎧−≠4πx x C .⎭⎬⎫⎩⎨⎧∈+≠Z k k x x ,4ππD .⎭⎬⎫⎩⎨⎧∈+≠Z k k x x ,43ππ 4.函数)4tan()(π+=x x f 的单调增区间为( ) A .Z k k k ∈+−),2,2(ππππ B .Z k k k ∈+),,(πππ C .Z k k k ∈+−),4,43(ππππ D .Z k k k ∈+−),43,4(ππππ 5.函数2162tanx x y −+=的定义域是( ) A .[]4,4−B .),(),4[πππ−−−C .]4,(),(πππ −D .]4,(),(),4[ππππ −−− 6.不是函数)42tan(π−=x y 的对称中心的是( ) A .(0,89π) B .(0,83π) C .(0,8π) D .(0,4π)7.下列命题中:(1)函数)tan(ϕ+=x y 在定义域内不存在递减区间(2)函数)tan(ϕ+=x y 的最小正周期为π(3)函数)4tan(π+=x y 的图像关于点⎪⎭⎫ ⎝⎛0,4π对称 (4)函数)4tan(π+=x y 的图像关于直线4π=x 对称其中正确命题的个数是( )A .0B .1C .2D .3 8.已知)22(,tan ππ<<−=x x y ,若3−≥y ,则自变量x 的取值范围为________.9.函数)60(),42tan(ππ<≤+=x x y 的值域是________. 10.已知函数1tan tan 2++=x x y ,(Z k k x ∈+≠,2ππ)则函数的值域是________. 11.若函数)2tan(θ+=x y 的图像的一个对称中心为(0,3π),则θ=________.12.函数的定义域为________. 13.如果直线与函数()的图像相交,那么相邻两交点间的距离一定是________.14.若函数,则的定义域是________,最小正周期是________. 15.如果函数,那么单调区间一定是________,最小正周期一定是________,对称中心为________.16.函数的最小正周期是________.17.若函数的最小正周期满足,则正整数________. 18.已知函数在)4,3(ππ−上是减函数,则的取值范围是________. 19.函数的单调递增区间________.20.已知,,求的最值及相应的的值.21.已知函数)4tan(2)(πω+=x x f (0>ω),)(x f y =的图像与直线2=y 的两个相邻的交点的距离等于π2,求)(x f 的单调递增区间.1tan 3−=x y 3=y x y ωtan =0>ω)42tan()(π+=x x f )(x f )23tan()(x x f ππ−=)(x f x y tan =)3tan(2)(πω−=x x f 231<<T =ωx y ωtan =ωx y tan lg =43ππ≤≤−x 2tan 2tan )(2++=x x x f )(x f x。
2023-2024学年高考数学三角函数小专题一、单选题1.函数的最小正周期为( )()2sin 222sin 4f x x xπ⎛⎫=-- ⎪⎝⎭A .B .C .D .π2ππ42π2.若,则等于( )sin tan 0x x ⋅<1cos2x +A .B .C .D .2cos x 2cos x -2sin x 2sin x-3.已知,均为锐角,则( )251cos ,tan()53ααβ=-=-,αββ=A .B .C .D .5π12π3π4π64.将函数的图象平移后所得的图象对应的函数为,则进行的平移πsin 23y x ⎛⎫=+ ⎪⎝⎭cos 2y x =是( )A .向左平移个单位B .向右平移个单位C .向右平移个单位π12π6π12D .向左平移个单位π65.若,则( )1cos 63πα⎛⎫-=⎪⎝⎭sin 26πα⎛⎫+= ⎪⎝⎭A .B .C .D .42979429-79-6.设函数,其图象的一条对称轴在区间内,且的()3sin cos (0)f x x x ωωω=+>ππ,63⎡⎤⎢⎥⎣⎦()f x 最小正周期大于,则的取值范围为( )πωA .B .C .D .1,12⎛⎫⎪⎝⎭()0,2[)1,2()1,27.已知,且,求( )π4sin 45α⎛⎫+= ⎪⎝⎭π3π44<<αcos α=A .B .C .D .2106222610A .函数的图像可由()f xB .函数在区间()f xC .函数的图像关于直线()f xC .D .o o2sin15sin 75o oo otan 30tan151tan 30tan15+-11.已知函数的图像关于直线对称,函数关于点对称,则下列说(21)f x +1x =(1)f x +(1,0)法不正确的是( )A .B .4为的周期(1)(1)f x f x -=+()f x C .D .(1)0f =()32f x f x ⎛⎫=- ⎪⎝⎭12.已知函数的图象关于直线对称,则( )ππ()sin(3)()22f x x ϕϕ=+-<<π4x =A .函数为奇函数π()12f x +B .函数在上单调递增()f x ππ[,]126C .若,则的最小值为12|()()|2f x f x -=12||x x -2π3D .将函数图象上所有点的横坐标缩小为原来的,得到函数的图象()f x 13sin()y x ϕ=+三、填空题13.计算:=.tan 73tan1933tan 73tan13︒︒︒︒--14.已知,,则 .1sin cos 5αα+=-()0,πα∈tan α=15.已知函数的最小正周期为,则.π()2sin()(0)3f x x ωω=+>4πω=16.已知函数,则函数的对称轴的方程为22()2cos 43sin cos 2sin f x x x x x =+-()f x .答案:1.B【分析】把函数化成的形式,利用公式求函数的最小正周期.()sin y A x ωϕ=+2πT ω=【详解】因为()2sin 222sin 4f x x x π⎛⎫=-- ⎪⎝⎭()22sin 2cos 221cos 222x x x =---.22sin 2cos 2222x x =+-πsin 224x ⎛⎫=+- ⎪⎝⎭所以,函数的最小正周期为.2ππ2T ==故选:B 2.B【分析】先由已知条件判断的符号,然后对配凑升幂公式即可.cos x 1cos2x +【详解】由题知:2sin sin tan 00cos 0cos xx x x x ⋅<⇒<⇒<.21cos21cos222cos 2cos 2cos 2xx x x x++=⨯===-故选:B.3.C【分析】由两角差的正切公式求解即可.【详解】因为,,,π02α<<25cos 5α=25sin 1cos 5αα=-=,sin 1tan cos 2ααα==,()()()11tan tan 23tan tan 1111tan tan 123ααββααβααβ⎛⎫-- ⎪--⎝⎭⎡⎤=--===⎣⎦+-⎛⎫+⋅- ⎪⎝⎭所以.π4β=故选:C.4.A【分析】分析各选项平移后的函数解析式,由此作出判断即可.【详解】对于A :向左平移个单位可得到πsin 23y x ⎛⎫=+ ⎪⎝⎭π12,符合;πππsin 2sin 2cos 21232y x x x⎡⎤⎛⎫⎛⎫=++=+= ⎪ ⎪⎢⎥⎝⎭⎝⎭⎣⎦对于B :向右平移个单位可得到,不πsin 23y x ⎛⎫=+ ⎪⎝⎭π6ππsin 2sin 2cos 263y x x x ⎡⎤⎛⎫=-+=≠ ⎪⎢⎥⎝⎭⎣⎦符合;对于C :向右平移个单位可得到πsin 23y x ⎛⎫=+ ⎪⎝⎭π12,不符合;πππsin 2sin 2cos 21236y x x x⎡⎤⎛⎫⎛⎫=-+=+≠ ⎪ ⎪⎢⎥⎝⎭⎝⎭⎣⎦对于D :向左平移个单位可得到πsin 23y x ⎛⎫=+ ⎪⎝⎭π6,不符合;ππ2πsin 2sin 2cos 2633y x x x⎡⎤⎛⎫⎛⎫=++=+≠ ⎪ ⎪⎢⎥⎝⎭⎝⎭⎣⎦故选:A.5.D【分析】利用二倍角公式和诱导公式解题.【详解】因为2217cos(2)=cos22cos 121cos(2)366393ππππαααα⎛⎫⎛⎫⎛⎫--=--=⨯-=-=- ⎪ ⎪ ⎪⎝⎭⎝⎭⎝⎭所以.7sin 2sin 2cos 262339ππππααα⎡⎤⎛⎫⎛⎫⎛⎫+=--=-=-⎪ ⎪ ⎪⎢⎥⎝⎭⎝⎭⎝⎭⎣⎦故选:D 6.C【分析】根据题意,得到,取得对称轴的方程,由的()π2sin()6f x x ω=+ππ,Z 3k x k ωω=+∈k 取值,结合题意,即可求解.【详解】由函数,()π3sin cos 2sin()6f x x x x ωωω=+=+令,可得,πππ,Z 62x k k ω+=+∈ππ,Z3k x k ωω=+∈因为图象的一条对称轴在区间内,可得,可得,ππ,63⎡⎤⎢⎥⎣⎦ππππ633k ωω≤+≤131231k k ωω⎧≤+⎪⎨⎪≥+⎩又因为的最小正周期大于,可得,解得,()f x π2ππω>2ω<当且仅当时,解得.0k =ω1≤<2综上可得,实数的取值范围为.ω[1,2)故选:C.7.A【分析】利用平方关系和两角差的余弦公式计算.【详解】因为,所以,,π3π44<<απππ24α<+<2ππ3cos()1sin ()445αα+=--+=-,ππππππ3422cos cos ()cos()cos sin()sin ()44444455210αααα⎡⎤=+-=+++=-+⨯=⎢⎥⎣⎦故选:A.8.B【分析】根据给定的函数图象,结合“五点法”作图求出函数解析式,再根据正弦函数的单调性、对称性,结合三角函数图象的平移变换,逐项判断作答.【详解】由图象可知,,2A =由图,因为,所以,,()10=1sin =2f ϕ⇒π02ϕ<<π=6ϕ()π2sin 6f x x ω⎛⎫=+ ⎪⎝⎭由图,则,5π012f ⎛⎫= ⎪⎝⎭5ππ122π,=,12655k k k k ωω⨯+=∈⇒-∈Z Z由图可知,所以,所以,1π5π12002125T ωω=>-⇒<<=2ω()π2sin 26f x x ⎛⎫=+ ⎪⎝⎭对于A ,的图像向左平移个单位得到的sin =2sin2y A x x ω=π6ππ2sin2+=2sin 2+63y x x ⎛⎫⎛⎫= ⎪ ⎪⎝⎭⎝⎭图象,选项A 不正确;对于B ,由,可得,πππ2π22π,262k x k k -+≤+≤+∈Z ππππ,36k x k k -+≤≤+∈Z则函数的单调递增区间为,则在区间上单调递增,()f x πππ,π,36k k k ⎡⎤-++∈⎢⎥⎣⎦Z ()f x ππ,36⎡⎤-⎢⎥⎣⎦所以在区间上单调递增,选项B 正确;()f x ππ,312⎡⎤-⎢⎥⎣⎦对于C ,由于,则直线不是函数图象的对称轴,选项π2ππ2sin 12336f ⎛⎫⎛⎫=+=≠± ⎪ ⎪⎝⎭⎝⎭π3x =()f x C 不正确;对于D ,由,可得,则函数的图象关于点π2π,6x k k +=∈Zππ,122k x k =-+∈Z ()f x 对称,选项D 不正确.ππ,0,122k k ⎛⎫-+∈ ⎪⎝⎭Z 故选:B .9.ABD【分析】令,求得,可判定A 不正确;令,求得5π12x =5π3()122f =π8x =-可判定B 不正确;由时,可得,可判定C 正π5π()sin()812f -=-π22π,π,0,π6x -=--()0f x =确;由,结合正弦函数的性质,可判定D 不正确.π7ππ2(,)666x -∈--【详解】对于函数,()sin 26πf x x ⎛⎫=- ⎪⎝⎭对于A 中,令,可得,5π12x =5π5ππ2π3()sin(2)sin 1212632f =⨯-==所以函数的图象不关于点中心对称,所以A 不正确;()f x 5π,012⎛⎫⎪⎝⎭对于B 中,令,可得不是最值,π8x =-πππ5π()sin(2)sin()88612f -=-⨯-=-所以函数的图象不关于直线对称,所以B 不正确;()f x π8x =-对于C 中,由,可得,()π,πx ∈-π13π11π2,666x ⎛⎫-∈- ⎪⎝⎭当时,可得,π22π,π,0,π6x -=--()0f x =所以在上有4个零点,所以C 正确;()f x ()π,π-对于D 中,由,可得,π[,0]2x ∈-π7ππ2(,)666x -∈--根据正弦函数的性质,此时先减后增,所以D 不正确.()f x故选:ABD.10.BC【分析】由诱导公式先求出的值,然后用三角恒等公式逐一验证即可.11sin(6-π)【详解】由题意有,11ππ1sin sin 662⎛⎫-== ⎪⎝⎭对于A 选项:因为,故A 选项不符合题意;2o o 312cos 151cos3022-==≠对于B 选项:因为,故B 选项符合()o o o o o o o 1cos18cos 42sin18sin 42cos 1842cos 602-=+==题意;对于C 选项:因为,故()()o o o o o o o o 12sin15sin 75cos 7515cos 7515cos 60cos902=--+=-=C 选项符合题意;对于D 选项:因为,故D 选项不符合题意;()o o o o o o otan 30tan151tan 3015tan 4511tan 30tan152+=+==≠-故选:BC.11.CD【分析】根据题意结合函数的对称性可推出函数的周期以及对称轴,从而判断A ,B ;举特例符合题意,验证C ,D 选项,即得答案.【详解】由函数的图像关于直线对称,可得,(21)f x +1x =(2(1)1)(2(1)1)f x f x ++=-+即,即,(32)(32)f x f x +=-(3)(3)f x f x +=-以代换x ,则;1x +(4)(2)f x f x +=-由函数关于点对称,可得,(1)f x +(1,0)(2)(2)0f x f x ++-=结合可得,(4)(2)f x f x +=-(4)(2)f x f x +=-+即,则,即4为的一个周期,B 正确;(2)()f x f x +=-(4)()f x f x +=()f x 又,结合,(2)(2)f x f x +=--(2)()f x f x +=-可得,故,A 正确;(2)()f x f x -=(1)(1)f x f x -=+由以上分析可知函数关于直线对称,且关于点成中心对称,()f x 1x =(2,0)其周期为4,则满足题意,π()sin2f x x=但是,故C 错误;π(1)sin 12f ==说明函数图象关于直线对称,3()2f x f x ⎛⎫=- ⎪⎝⎭34x =而,即直线不是对称轴,D 错误,33π()sin 148f =≠±34x =π()sin 2f x x =故选:CD 12.AB【分析】利用三角函数的图象与性质结合图象变换一一判定即可.【详解】由题意可知,又,()πππ3πZ π424k k k ϕϕ⨯+=+∈⇒=-+ππ22ϕ-<<故,()ππ,sin 344f x x ϕ⎛⎫=-=- ⎪⎝⎭对于A 项,,由诱导公式知,即函πππsin 3sin 312124f x x x⎡⎤⎛⎫⎛⎫+=+-= ⎪ ⎪⎢⎥⎝⎭⎝⎭⎣⎦()sin 3sin 3x x -=-数为奇函数,故A 正确;π()12f x +对于B 项,,由正弦函数的图象及性质可知函数在上ππππ[,]30,12644x x ⎡⎤∈⇒-∈⎢⎥⎣⎦()f x ππ[,]126单调递增,故B 正确;对于C 项,易知,若,则与一个取得最大值,一个()max 1f x =12|()()|2f x f x -=()1f x ()2f x 取得最小值,即与相隔最近为半个周期,即的最小值为,故C 错误;1x 2x 12||x x -π23T =对于D 项,由三角函数的伸缩变换可知,函数图象上所有点的横坐标缩小为原来的,()f x 13得到函数的图象,故D 错误.sin(9)y x ϕ=+故选:AB.13.3【分析】由题意由两角差的正切公式即可得解.【详解】由题意.()()tan 73tan133tan 73tan13tan 73131tan 73tan133tan 73tan133︒︒︒︒︒︒︒︒︒︒--=-+-=故.314./34-0.75-【分析】根据同角平方和关系可得,进而根据齐次式即可求解.12sin cos 25αα-=【详解】由可得,故,1sin cos 5αα+=-112sin cos 25αα+=12sin cos 25αα-=又,解得或,222sin cos tan 12sin cos sin cos tan 125αααααααα-===++3tan 4α=-4tan 3α=-由于,,故,12sin cos 025αα-=<()0,πα∈sin 0,cos 0αα><又,故,因此,1sin cos 05αα+=-<sin cos αα<tan 1α<故,3tan 4α=-故34-15./120.5【分析】利用正弦函数的周期公式即可得解.【详解】因为的最小正周期为,π()2sin()(0)3f x x ωω=+>4π所以,则.2π2π4πT ωω===ω=12故答案为.1216.ππ(Z)62kx k =+∈【分析】先利用三角函数恒等变换公式对函数化简变形,然后由可求得ππ2π(Z)62x k k +=+∈答案.【详解】22()2cos 43sin cos 2sin 1cos 223sin 2cos 21f x x x x x x x x =+-=+++-,π23sin 22cos 24sin 26x x x ⎛⎫=+=+ ⎪⎝⎭令,解得:.ππ2π(Z)62x k k +=+∈ππ(Z)62k x k =+∈故ππ(Z)62kx k =+∈。
高考数学-三角函数专题复习三角函数专题考点例题解析】考点1.求值1、求sin330°、tan690°、sin585°的值。
解:利用三角函数的周期性和对称性,可得:sin330°=sin(360°-30°)=sin30°=1/2tan690°=tan(720°-30°)=tan30°=1/√3sin585°=sin(540°+45°)=sin45°=√2/22、已知角α为第三象限角,求sin(α+π/2)的值。
解:由于α为第三象限角,所以sinα<0,cosα<0.又因为sin(α+π/2)=cosα,所以sin(α+π/2)<0.3、已知sinθ+cosθ=5/3,cosθ-sinθ=2,求sin2θ的值。
解:将sinθ+cosθ和cosθ-sinθ相加,可得cosθ+cosθ=5/3+2=11/3,即cosθ=11/6.将cosθ-sinθ和sinθ+cosθ相减,可得2sinθ=-1/6,即sinθ=-1/12.代入sin2θ=2sinθcosθ的公式,可得sin2θ=-11/72.4、已知si n(π/4-α)=2/√5,求cosα的值。
解:sin(π/4-α)=sinπ/4cosα-cosπ/4sinα=2/√5,代入cosπ/4=√2/2和sinπ/4=√2/2,可得cosα=1/√10.5、已知f(cosx)=cos3x,求f(sin30°)的值。
解:将x=π/6代入f(cosx)=cos3x,可得f(cosπ/6)=cos(3π/6)=cosπ=-1.又因为sin30°=cosπ/6,所以f(sin30°)=-1.6、已知tanα=15π/22,求cos(π/2-α)的值。
解:tanα=15π/22,所以α为第三象限角,cos(π/2-α)=sinα>0.由tanα=sinα/cosα,可得cosα=15/√466,代入sin^2α+cos^2α=1,可得sinα=7/√466,最终可得cos(π/2-α)=7/15.7、已知tan(π/4+x)=2tan(π/4-x),求cos2x的值。
1.已知 tanx=2,求 sinx , cosx 的值.解: 因为 tan x = Sin X =2,又 sin 2x + cos 2x=1 , cosxsin x = 2cosx联立得丿2 2 ,sin x +cos x =1sin x -cosx _2 sin x cosx所以 sinx — cosx=2(sinx + cosx),22得到sinx= — 3cosx ,又sin x + cos x=1,联立方程组,解得3+10sin,COSX = -〒0- C ——3 所以 sin xcosx — 10法二:因为叱叱=2,sin x cosx所以 sinx — cosx=2(sinx + cosx),所以(sinx — cosx)2=4(sinx + cosx)2, 所以 1 — 2sin xcosx=4 + 8sin xcosx ,3所以有 sinxcosx — ■10求证:tan 2x sin 2x=tan 2x — sin 2x . I.F , [ ]22 2 22 2 2 22证明:法一:右边=tan' x — sin x=tan x — (tan x cos x)=tan x(1 — cos x)=tan x sin x , 法二:左边 =ta n 2x sin 2x=ta n 2x(1 — cos 2x)=ta n 2x — ta n 2x cos 2 x=ta n 2x — si n 2x ,问题得证.sinx =2.5解这个方程组得cosx =245sin x = --------- i 靠 cosx I 5tan(-120)cos(210)sin(-480)2 .求——tan(-690 ') sin(-150 丨 cos(330 )的值.解:原式tan( -120 180 )cos(18030 )sin( -360 -120 )o~tan(-720 30o )sin(-150 )cos(360 -30 )tan 60 (-cos30 )(-sin 120) 弋 3 tan30(—sin150 )cos303.卄 sin x - cosx右sin x cosx=2,,求 sinxcosx 的值. 解:法一:因为 3110 sinx 10- 尿,cosx4.问题得证.3 x =84[0 2兀]0x2 f(x)x1如sin(2 ■ 6)[-?,1], y [1 2]2(1)y sin x cosx+2(1)y=si n 2x t=cosx t(2)y 2sin xcosx[- 2, 2]cosx 2 [-1,1],2 cos x cosx (2)y 2sin xcosx (sinx2= (cos 2x cosx) 3 cosx)一 (t 2t) 3-(t 丄)2213 +— 4(sinx cosx)=(s in xy =t 2 -t -1,y=As in( + )( (6 0)(2, 2) 匚=4T=164、2 = . 2 sin(- 2)84f(x)=cos x f(x) 一 sinxcosx)20)© =一842sinxcosx sin x(si nx cosx) t=sinxcosx= 42 sin((2「2)..y _2 sin(_ x ).48 4()xwy f(x)42222f(x)=cos x 2sinxcosx sin4x (cos x sin x)(cos x sin x)_ 2= (cos x -sin x) -sin 2x =cos2x -sin 2xsin2x-2x) - - 2 sin(2x -;))x 可Og](2x--)%-丄]4 4 4x=0 f(x)tan - 21 cos 日 +sin 日cos : -sin -2 si n 2°—si n B . cos 日+2cos 2 &1 + si n 日 (1)cos ,Sinn _ cos^ cos 日 +si ne . sin 日1 ------ cos :-1十¥ =」—2逅;1 - tan v 1_22 2sinsin rcos v 2cos r2 2sin sin vcos v 2 cos 二2 2sin cos 二2 si nr sin 二 22=COS d COSdsin -彳1cos 二说明:利用齐次式的结构特点(如果不具备,通过构造的办法得到) 程简化。
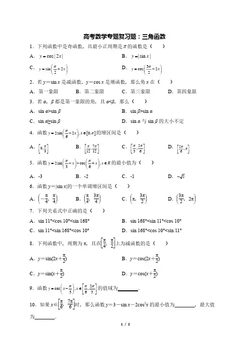
高考数学专题复习题:三角函数1.下列函数中是奇函数,且最小正周期是π的函数是( )A .cos |2|y x =B .|sin |y x =C .sin 22y x π⎛⎫=+ ⎪⎝⎭D .3cos 22y x π⎛⎫=− ⎪⎝⎭2.若y =sin x 是减函数,y =cos x 是增函数,那么角x 在( )A .第一象限B .第二象限C .第三象限D .第四象限3.若α,β都是第一象限的角,且α<β,那么( )A .sin α>sin βB .sin β>sin αC .sin α≥sin βD .sin α与sin β的大小不定 4.函数[]2sin 2,0,6y x x ππ⎛⎫=−∈ ⎪⎝⎭的增区间是( )A .0,3π⎡⎤⎢⎥⎣⎦B .7,1212ππ⎡⎤⎢⎥⎣⎦ C .5,36ππ⎡⎤⎢⎥⎣⎦ D .5,6ππ⎡⎤⎢⎥⎣⎦ 5.函数2sin cos ,36y x x x R ππ⎛⎫⎛⎫=−−+∈ ⎪ ⎪⎝⎭⎝⎭的最小值为( ) A .-3 B .-2 C .-1 D .6.函数y =|sin x |的一个单调增区间是( )A .⎝ ⎛⎭⎪⎫-π4,π4B .⎝ ⎛⎭⎪⎫π4,3π4C .⎝ ⎛⎭⎪⎫π,3π2D .⎝ ⎛⎭⎪⎫3π2,2π 7.下列关系式中正确的是( )A .sin 11°<cos 10°<sin 168°B .sin 168°<sin 11°<cos 10°C .sin 11°<sin 168°<cos 10°D .sin 168°<cos 10°<sin 11°8.下列函数中,周期为π,且在⎣⎢⎡⎦⎥⎤π4,π2上为减函数的是( ) A .y =sin(2x +π2)B .y =cos(2x +π2)C .y =sin(x +π2)D .y =cos(x +π2) 9.函数2cos ,,363y x x πππ⎛⎫⎡⎤=−∈ ⎪⎢⎥⎝⎭⎣⎦的值域为________.10.如果x ∈⎣⎢⎡⎦⎥⎤π6,7π6时,那么函数y =3-sin x -2cos 2x 的最小值为________,最大值为________.11.如果关于x 的不等式23sin 2cos 30x x m +++>在7,36ππ⎡⎤⎢⎥⎣⎦上恒成立,那么m 的取值范围为________. 12.已知函数f (x )=12(sin x +cos x )-12|sin x -cos x |,则f (x )的值域是________.13.如果函数f (x )=sin ωx (ω>0)在区间⎣⎢⎡⎦⎥⎤0,π3上单调递增,在区间⎣⎢⎡⎦⎥⎤π3,π2上单调递减,那么ω=________.14.函数)sin(cos x y =的定义域是________.15.sin 1,sin 2,sin 3按从小到大排列的顺序为________.16.已知函数f (x )=-2sin(2x +φ)(|φ|<π),若⎝ ⎛⎭⎪⎫π8,5π8是f (x )的一个单调递增区间,则φ的值为________.17.已知函数()2sin 26f x x m π⎛⎫=−− ⎪⎝⎭在0,2π⎡⎤⎢⎥⎣⎦上有两个不同的零点,则实数m 的取值范围为________.18.x y 2cos log 21=的增区间为________.19.3cos 2−=x y 的增区间为________.20.已知函数,且. (1)求的解析式.(2)已知,且,求.()),02f x x πϕϕ=+<<(0)1f =()fx ()()44f f ππαα−++=322παπ<<sin cos αα−。
1.tan x =2,求sin x ,cos x 的值. 解:因为2cos sin tan ==xxx ,又sin 2x +cos 2x =1, 联立得⎩⎨⎧=+=,1cos sin cos 2sin 22x x xx 解这个方程组得.55cos 552sin ,55cos 552sin ⎪⎪⎩⎪⎪⎨⎧-=-=⎪⎪⎩⎪⎪⎨⎧==x x x x2.求)330cos()150sin()690tan()480sin()210cos()120tan(----的值.解:原式)30360cos()150sin()30720tan()120360sin()30180cos()180120tan(o--+---++-= .3330cos )150sin (30tan )120sin )(30cos (60tan -=---=3.假设,2cos sin cos sin =+-xx xx ,求sin x cos x 的值.解:法一:因为,2cos sin cos sin =+-xx xx所以sin x -cos x =2(sin x +cos x ),得到sin x =-3cos x ,又sin 2x +cos 2x =1,联立方程组,解得,,⎪⎪⎩⎪⎪⎨⎧=-=⎪⎪⎩⎪⎪⎨⎧-==1010cos 10103sin 1010cos 10103sin x x x x 所以⋅-=103cos sin x x 法二:因为,2cos sin cos sin =+-xx xx所以sin x -cos x =2(sin x +cos x ), 所以(sin x -cos x )2=4(sin x +cos x )2, 所以1-2sin x cos x =4+8sin x cos x , 所以有⋅-=103cos sin x x 4.求证:tan 2x ·sin 2x =tan 2x -sin 2x .证明:法一:右边=tan 2x -sin 2x =tan 2x -(tan 2x ·cos 2x )=tan 2x (1-cos 2x )=tan 2x ·sin 2x ,问题得证. 法二:左边=tan 2x ·sin 2x =tan 2x (1-cos 2x )=tan 2x -tan 2x ·cos 2x =tan 2x -sin 2x ,问题得证.5.求函数)6π2sin(2+=x y 在区间[0,2π ]上的值域. 解:因为0≤x ≤2π,所以,6π76π26π,π20≤+≤≤≤x x 由正弦函数的图象, 得到],1,21[)6π2sin(-∈+x所以y ∈[-1,2]. 6.求以下函数的值域.(1)y =sin 2x -cos x +2; (2)y =2sin x cos x -(sin x +cos x ). 解:(1)y =sin 2x -cos x +2=1-cos 2x -cos x +2=-(cos 2x +cos x )+3,令t =cos x ,那么,413)21(413)21(3)(],1,1[222++-=++-=++-=-∈t t t t y t利用二次函数的图象得到].413,1[∈y (2)y =2sin x cos x -(sin x +cos x )=(sin x +cos x )2-1-(sin x +cos x ),令t =sin x +cos x 2=,)4πsin(+x ,那么]2,2[-∈t 那么,,12--=t t y 利用二次函数的图象得到].21,45[+-∈y 7.假设函数y =A sin(ωx +φ)(ω>0,φ>0)的图象的一个最高点为)2,2(,它到其相邻的最低点之间的图象与x 轴交于(6,0),求这个函数的一个解析式.解:由最高点为)2,2(,得到2=A ,最高点和最低点间隔是半个周期,从而与x 轴交点的间隔是41个周期,这样求得44=T ,T =16,所以⋅=8πω又由)28πsin(22ϕ+⨯=,得到可以取).4π8πsin(2.4π+=∴=x y ϕ8.函数f (x )=cos 4x -2sin x cos x -sin 4x .(Ⅰ)求f (x )的最小正周期; (Ⅱ)假设],2π,0[∈x 求f (x )的最大值、最小值. 数xxy cos 3sin 1--=的值域.解:(Ⅰ)因为f (x )=cos 4x -2sin x cos x -sin4x =(cos 2x -sin 2x )(cos 2x +sin 2x )-sin2x )4π2sin(2)24πsin(22sin 2cos 2sin )sin (cos 22--=-=-=--=x x x x x x x所以最小正周期为π.(Ⅱ)假设]2π,0[∈x ,那么]4π3,4π[)4π2(-∈-x ,所以当x =0时,f (x )取最大值为;1)4πsin(2=--当8π3=x 时,f (x )取最小值为.2-1. 2tan =θ,求〔1〕θθθθsin cos sin cos -+;〔2〕θθθθ22cos 2cos .sin sin +-的值.解:〔1〕2232121tan 1tan 1cos sin 1cos sin 1sin cos sin cos --=-+=-+=-+=++θθθθθθθθθθ; (2) θ+θθ+θθ-θ=θ+θθ-θ222222cos sin cos 2cos sin sin cos 2cos sin sin324122221cos sin 2cos sin cos sin 2222-=++-=+θθ+θθ-θθ=.说明:利用齐次式的结构特点〔如果不具备,通过构造的方法得到〕,进行弦、切互化,就会使解题过程简化。
高中数学高考三角函数复习专题三角函数复专题一、核心知识点归纳:1、正弦函数、余弦函数和正切函数的图象与性质:函数性质:y=sinx y=cosx y=tanx图象定义域 R R R\{kπ+π/2|k∈Z}值域 [-1,1] [-1,1] R最值y_max=1 (when x=2kπ) y_max=1 (when x=2kπ+π/2) 无最大值y_min=-1 (when x=2kπ-π) y_min=-1 (when x=2kπ) 无最小值周期性2π 2π π奇偶性奇函数偶函数奇函数单调性在[2kπ-π/2,2kπ+π/2](k∈Z)上是增函数;在[2kπ+π/2,2kπ+3π/2](k∈Z)上是减函数。
在[kπ,kπ+π](k∈Z)上是减函数。
在[kπ-π/2,kπ+π/2](k∈Z)上是增函数;在[kπ+π/2,kπ+3π/2](k∈Z)上是减函数。
对称中心(kπ,0)(k∈Z) 对称中心(kπ+π/2,0)(k∈Z) 无对称中心对称性奇对称偶对称无对称轴对称轴x=kπ+π/2 (k∈Z) 对称轴x=kπ (k∈Z) 无对称轴2.正、余弦定理:在△ABC中有:①正弦定理:a/sinA=b/sinB=c/sinC=2R(R为△ABC外接圆半径)注意变形应用:sinA=2R/asinB=2R/bsinC=2R/c②面积公式:S△ABC=1/2absinC=1/2acsinB=1/2bcsinA ③余弦定理:b²=c²+a²-2accosBc²=a²+b²-2abcosCa²=b²+c²-2bccosA三、例题集锦:考点一:三角函数的概念1.如图,设A是单位圆和x轴正半轴的交点,P、Q是单位圆上的两点,O是坐标原点,∠AOP=π/6,∠AOQ=α,α∈[0,π)。
若Q(√3/2,y),求cos(α-π/6)。
高考三角函数问题专题复习一、三角函数基础题1、已知角α的终边通过点P(-3,4),则sinα+cosα+t an α= ( )A.1523-B.1517-C.151-D.15172、π617sin = ( )A.21 B.23- C.21- D.23-3、x y 2sin 21=的最小正周期是 ( ) A.2πB.πC.2πD. 4π 4、设tan α=2,且sin α<0,则cos α的值等于 ( ) A.55 B.51- C.55- D.51 5、y=cos 2(2x)的最小正周期是 ( )A .2πB. πC.4πD.8π 6、命题甲:sin x=1,命题乙:x=2π,则 ( )A.甲是乙充分条件但不是必要条件B.甲是乙的必要条件但不是充分条件C.甲是乙的充分必要条件D.甲不是乙的必要条件也不是乙的充分条件 7、命题甲:A=B ,命题乙:sinA=sinB,则 ( ) A.甲不是乙的必要条件也不是乙的充分条件 B.甲是乙的充分必要条件C.甲是乙的必要条件但不是充分条件D.甲是乙的充分条件但不是必要条件 8、函数y=sin x 在区间________上是增函数. ( ) A.[0,π] B.[π,2π] C.]25,23[ππ D .]87,85[ππ 9、函数)43tan(π+=x y 的最小正周期为 ( )A.3πB.πC.32π D.3π10、设角α的终边通过点P (-5,12),则cot α+sin α等于 ( ) A.137 B.-137 C.15679 D.- 1567911、函数y=cos3x -3sin3x 的最小正周期和最大值分别是 ( )A.32π, 1 B.32π, 2 C.2π, 2 D.2π, 1 12、若23cos ],2,[-=∈x x ππ ,则x 等于 ( ) A.67π B.34π C.35π D.611π 13、已知57cos sin ,51cos sin =-=+αααα,则tan α等于 ( )A.34- B.-43 C.1 D.- 114、ο150cos = ( )A.21 B.23 C.﹣21D. ﹣2315、在△ABC 中,AB=3,AC=2,BC=1,则sin A 等于 ( )A.0B.1C.23 D.2116、在]2,0[π上满足sinx≤-0.5的x 的取值范围是区间 ( ) A.[0,6π] B.[6π,65π] C.]67,65[ππ D .]611,67[ππ17、使等式cosx=a -2有意义的a 的取值范围是区间 ( )A .[0,2] B.[1,3] C.[0,1] D.[2,3]18、=-+-)690sin(495tan )585cos(οοο ( )A .22 B.32 C.32- D.2 19、如果51cos sin =+x x ,且0≤x<π,那么tanx= ( ) A .34- B.43- C.43 D.3420、要得到)62sin(π-=x y 的图象,只需将函数y=sin2x 的图象 ( )A .向右平行移动3π个单位 B.向右平行移动6π个单位 C.向右平行移动12π个单位 D.向左平行移动12π个单位21、已知παππ0,53cos =α,那么=+)sin(πα ( ) A .-1 B.53- C.54 D.54-22、tan165°-tan285°= ( )A .32- B.31+ C.32 D.32+23、函数y=2sin2xcos2x 是 ( )A .周期为2π的奇函数 B.周期为2π的偶函数 C.周期为4π的奇函数 D.周期为4π的偶函数24、在△ABC 中,已知∠BAC=120o ,AB=3,BC=7,则AC=____________.25、在△ABC 中,AB=3,BC=5,AC=7,则cosB=________.26、在△ABC 中,已知AB=2,BC=3,CA=4,则cosA=____ ______.27、函数y=x x cos sin 3+的值域是___ ______. 28、函数y=sinx-3cosx 的最小正周期是___________. 29、设38πα-=,则与α终边相同的最小正角是_________. 30、cos 2398o +cos 2232o =___________. 31、函数tan(3)4y x π=+的最小正周期是 . 二、三角函数式的变换及其应用32、015tan 115tan 1-+= ( )A.3-B.33C.3D.33- 33、已知=-=θθπθπθθsin cos ,24,81cos sin 那么且ππ ( )A .23 B.23- C.43 D.43- 34、当=+∈≠xxx x ,Z k k x cos 3cos sin 3sin )(2时π ( ) A .-2cos2x B.2cos2x C.4cos2x D.-4cos2x 35、=++-)67sin()67sin(θπθπ ( ) A .23B.θcosC.θcos -D.θ2cos 3 36、已知=--==)tan(,21tan ,3tan βαβα则 ( ) A .-7 B.7 C.-5 D.137、=+2280cos 1ο( )A .cos14° B.sin50° C.cos50° D.cos140° 38、如果=-=+=ββααβα那么且是锐角,1411)cos(,734sin ,, ( ) A .3π B.4π C.6π D.8π39、如果=++-x x x sin 1sin 1,20那么πππ ( )A .2cosx B.2sinx C.2sin 2x D.2cos 2x40、当=--=+)tan 1)(tan 1(43βαπβα,时 ( )A .21 B.31C.1D.2 41、在△ABC 中,已知cosAcosB=sinAsinB ,那么△ABC 是 ( ) A .直角三角形 B.钝角三角形 C.等边三角形 D.不等边锐角三角形42、在△ABC 中,已知cosA=135,cosB=53,那么cosC= ( ) A .6563- B.6563 C.6533- D.653343、已知sin α.+cos α.=53,则sin2α.=_______.44、函数y=2cosx -cos2x 的最大值是___ _____.45、如果51cos sin =+αα (0<α<π=,那么tg α的值是____ ____. 46、设0<α<2π,则2cos2sin sin 1ααα--等于______ __________.三、三角函数综合题47、在ABC 中,已知∠A=45o ,∠B=30o ,AB=2,求AC.48、在ABC 中,已知∠A=60o ,且BC=2AB ,求sinC.49、设函数θθθθθcos sin 25cos sin 2)(++=f , ]2,0[πθ∈,(Ⅰ)求)12(πf ; (Ⅱ)求函数f(θ)的最小值.50、已知sin α=54,α是锐角,求1)28(cos 22--απ的值。
三角函数复习专题
一、核心知识点归纳: ★★★1、正弦函数、余弦函数和正切函数的图象与性质:
sin y x =
cos y x = tan y x =
图象
定义域
R R
,2x x k k ππ⎧⎫
≠+∈Z ⎨⎬⎩⎭
值域
[]1,1-
[]1,1-
R
最值
当22
x k π
π=+
()
k ∈Z 时,max 1y =;
当22
x k π
π=-
()k ∈Z 时,min 1y =-.
当()2x k k π=∈Z 时,
max 1y =;
当2x k ππ=+
()k ∈Z 时,min 1y =-.
既无最大值也无最小值
周期性 2π
2π
π
奇偶性
奇函数
偶函数
奇函数
单调性
在2,22
2k k π
πππ⎡
⎤
-
+
⎢⎥⎣
⎦
()k ∈Z 上是增函数;在
32,222k k ππππ⎡⎤++⎢⎥⎣
⎦ ()k ∈Z 上是减函数.
在[]()2,2k k k πππ-∈Z 上是增函数;在
[]2,2k k πππ+ ()k ∈Z 上是减函数.
在,2
2k k π
πππ⎛
⎫
-
+
⎪⎝
⎭
()k ∈Z 上是增函数.
对称性
对称中心()(),0k k π∈Z 对称轴
()2
x k k π
π=+
∈Z
对称中心
(),02k k ππ⎛
⎫+∈Z
⎪⎝
⎭ 对称轴()x k k π=∈Z
对称中心
(),02k k π⎛⎫
∈Z ⎪⎝⎭
无对称轴
★★2.正、余弦定理:在ABC ∆中有:
函 数 性 质
①正弦定理:
2sin sin sin a b c
R A B C
===(R 为ABC ∆外接圆半径) 2sin 2sin 2sin a R A b R B c R C =⎧⎪=⎨⎪=⎩ ⇒ sin 2sin 2sin 2a A R b B R c C R ⎧
=⎪⎪
⎪
=⎨⎪
⎪
=⎪⎩
注意变形应用 ②面积公式:111
sin sin sin 222
ABC S abs C ac B bc A ∆=
== ③余弦定理: 222222
2222cos 2cos 2cos a b c bc A b a c ac B c a b ab C
⎧=+-⎪=+-⎨⎪=+-⎩ ⇒ 222
222222
cos 2cos 2cos 2b c a A bc a c b B ac a b c C ab ⎧+-=⎪⎪
+-⎪=⎨⎪⎪+-=
⎪⎩
二、练习题
1、角α的终边过点
b b 则且(,5
3
cos ),4,--=α的值( ) A 、3 B 、-3 C 、3± D 、5 2、已知2π
θπ<<,3
sin()25
πθ+=-,则tan(π-θ)的值为( )
A .34
B .43
C .34-
D .4
3
-
3、2(sin cos )1y x x =--是 ( ) A .最小正周期为2π的偶函数
B .最小正周期为2π的奇函数
4、为得到函数πcos 3y x ⎛
⎫=+ ⎪⎝
⎭的图象,只需将函数sin y x =的图像( )
A .向左平移π
6个长度单位 B .向右平移
π
6
个长度单位 C .向左平移5π
6
个长度单位
D .向右平移
5π
6
个长度单位 5、()sin()(0,0,||)2
f x A x A ωφωφπ
=+>><
是( )
A. y = 2sin(x -4π)
B. y = 2sin(x +4π)
C. y = 2sin (2x -8π)
D. y = 2sin (2x +8
π
)
6、在ABC ∆中,角,,A B
C 的对边分别为,,a b c ,已知,13
A a b π
===,则c = (
)
A.1
B.2
1
7、在△ABC 中,AB=3,BC=13,AC=4,则边AC 上的高为( )
A.
223 B.2
33 C.23 D.3
3
8、 在ABC △中,已知222sin sin sin sin B C A A C --=,则B ∠的大小为 ( ) .A 150︒ .B 30︒ .C 120︒ .D 60︒
9、在ABC △中,若a 、b 、c 成等比数列,且2c a =, 则cos B = ( )
A. 14
B. 34
C. 4
D. 3
10、函数()sin()(0,0,||)2
f x A x A ωφωφπ
=+>><
部分图象如图所示.
(Ⅰ)求()f x 的最小正周期及解析式;(Ⅱ)设()()cos 2g x f x x =-,求函数()g x 在区间[0,]2
x π∈上的最大值和最小值.
11、如图,设A 是单位圆和x 轴正半轴的交点,Q P 、是 单位圆上的两点,O 是坐标原点,6
π
=∠AOP ,[)παα,0,∈=∠AOQ .
(1)若34(,)55
Q ,求⎪⎭
⎫
⎝
⎛-6cos πα的值;
(2)设函数()f OP OQ α=⋅, 求()αf 的值域.
12、已知函数x x x f 2cos )6
2sin()(+-
=π
. (1)求函数)(x f 的单调增区间.
(2)求函数的对称轴方程和对称中心
13、在△ABC 中,角A ,B ,C 的对边分别为a ,b ,c 分,且满足2cos cos c b B
a A
-=
. (Ⅰ)求角A 的大小;(Ⅱ)若25a =ABC 面积的最大值.
14、如图所示,在四边形ABCD 中,2CD =,120C ∠=,21
sin 7
CBD ∠=
, 2BD AD =,2ADB BDC ∠=∠.
(1)求sin BDC ∠的值 (2)求线段AB 的长度.。