2019-2020学年吉林省长春市南关区九年级上学期期末考试数学试卷及答案解析
- 格式:docx
- 大小:367.51 KB
- 文档页数:25
2019-2020学年吉林省长春市南关区九年级(上)月考数学试卷(10月份)一、选择题(共8小题,每小题3分,满分24分)1.(3分)若方程(n﹣1)x2+x﹣1=0是关于x的一元二次方程,则()A.n≠1B.n≥0C.n≥0且n≠1D.n为任意实数2.(3分)已知2是关于x的方程x2﹣2mx+3m=0的一个根,并且这个方程的两个根恰好是等腰三角形ABC的两条边长,则三角形ABC的周长为()A.10B.14C.10或14D.8或103.(3分)用配方法解方程x2+2x﹣3=0,下列配方结果正确的是()A.(x﹣1)2=2B.(x﹣1)2=4C.(x+1)2=2D.(x+1)2=44.(3分)抛物线y=x2﹣4x+4的顶点坐标为()A.(﹣4,4)B.(﹣2,0)C.(2,0)D.(﹣4,0)5.(3分)将二次函数y=5x2的图象先向右平移2个单位,再向下平移3个单位,得到的函数图象的解析式为()A.y=5(x+2)2+3B.y=5(x﹣2)2+3C.y=5(x+2)2﹣3D.y=5(x﹣2)2﹣36.(3分)抛物线y=x2﹣4x+1与y轴交点的坐标是()A.(0,1)B.(1,0)C.(0,﹣3)D.(0,2)7.(3分)二次函数y=ax2+bx+c的图象如图所示,反比例函数与一次函数y=cx+a在同一平面直角坐标系中的大致图象是()A.B.C.D.8.(3分)如图,菱形ABCD的边长是4厘米,∠B=60°,动点P以1厘米秒的速度自A点出发沿AB方向运动至B点停止,动点Q以2厘米/秒的速度自B点出发沿折线BCD运动至D点停止.若点P、Q同时出发运动了t秒,记△BPQ的面积为S厘米2,下面图象中能表示S与t之间的函数关系的是()A.B.C.D.二、填空题(共6小题,每小题3分,满分18分)9.(3分)如图所示是二次函数y=ax2+bx+c的图象.下列结论:①二次三项式ax2+bx+c的最大值为4;②使y≤3成立的x的取值范围是x≤﹣2;③一元二次方程ax2+bx+c=1的两根之和为﹣1;④该抛物线的对称轴是直线x=﹣1;⑤4a﹣2b+c<0.其中正确的结论有.(把所有正确结论的序号都填在横线上)10.(3分)抛物线y=3(x+2)2﹣7的对称轴是.11.(3分)若y=ax2+bx+a2﹣2(a、b为常数)的图象过原点且开口向下,则a的值为12.(3分)某一型号飞机着陆后滑行的距离y(单位:m)与滑行时间x(单位:s)之间的函数关系式是y=60x﹣1.5x2,该型号飞机着陆后需滑行m才能停下来.13.(3分)抛物线y=2x2﹣4x+1的对称轴为直线.14.(3分)如图,在第一象限内作射线OC,与x轴的夹角为30°,在射线OC上取点A,过点A 作AH⊥x轴于点H.在抛物线y=x2(x>0)上取点P,在y轴上取点Q,使得以P,O,Q为顶点,且以点Q为直角顶点的三角形与△AOH全等,则符合条件的点A的坐标是.三、解答题(共10小题,满分78分)15.(6分)解方程:(x+1)(x﹣3)=6.16.(6分)淮北市某中学七年级一位同学不幸得了重病,牵动了全校师生的心,该校开展了“献爱心”捐款活动.第一天收到捐款10 000元,第三天收到捐款12 100元.(1)如果第二天、第三天收到捐款的增长率相同,求捐款增长率;(2)按照(1)中收到捐款的增长速度,第四天该校能收到多少捐款?17.(6分)已知二次函数y=﹣x2+(m﹣1)x+m的图象与y轴交于(0,3)点.(1)求m的值;(2)求抛物线与x轴的交点坐标和它的顶点坐标;(3)画出这个二次函数的图象;(4)x取什么值时,抛物线在x轴的上方?18.(7分)某公司试销一种成本单价为50元/件的新产品,规定试销时销售单价不低于成本单价,又不高于80元/件,经试销调查,发现销售量y(件)与销售单价x(元/件)可近似看作一次函数y=kx+b的关系(如图所示)(I)根据图象,求一次函数y=kx+b的解析式,并写出自变量x的取值范围;(Ⅱ)该公司要想每天获得最大的利润,应把销售单价定为多少?最大利润值为多少?19.(7分)如图,小明今年国庆节到青城山游玩,乘坐缆车,当登山缆车的吊箱经过点A到达点B 时,它经过了200m,缆车行驶的路线与水平夹角∠α=16°,当缆车继续由点B到达点D时,它又走过了200m,缆车由点B到点D的行驶路线与水平面夹角∠β=42°,求缆车从点A到点D 垂直上升的距离.(结果保留整数)(参考数据:sin16°≈0.27,cos16°≈0.77,sin42°≈0.66,cos42°≈0.74)20.(7分)如图,O是坐标原点,过点A(﹣1,0)的抛物线y=x2﹣bx﹣3与x轴的另一个交点为B,与y轴交于点C,其顶点为D点.(1)求b的值以及点D的坐标;(2)连接BC、BD、CD,在x轴上是否存在点P,使得以A、C、P为顶点的三角形与△BCD相似?若存在,求出点P的坐标;若不存在,说明理由.21.(8分)在一条笔直的公路上依次有A,C,B三地,甲、乙两人同时出发,甲从A地骑自行车去B地,途经C地休息1分钟,继续按原速骑行至B地,甲到达B地后,立即按原路原速返回A 地;乙步行从B地前往A地.甲、乙两人距A地的路程y(米)与时间x(分)之间的函数关系如图所示,请结合图象解答下列问题:(1)请写出甲的骑行速度为米/分,点M的坐标为;(2)求甲返回时距A地的路程y与时间x之间的函数关系式(不需要写出自变量的取值范围);(3)请直接写出两人出发后,在甲返回A地之前,经过多长时间两人距C地的路程相等.22.(9分)某药厂销售部门根据市场调研结果,对该厂生产的一种新型原料药未来两年的销售进行预测,并建立如下模型:设第t个月该原料药的月销售量为P(单位:吨),P与t之间存在如图所示的函数关系,其图象是函数P=(0<t≤8)的图象与线段AB的组合;设第t个月销售该原料药每吨的毛利润为Q(单位:万元),Q与t之间满足如下关系:Q=(1)当8<t≤24时,求P关于t的函数解析式;(2)设第t个月销售该原料药的月毛利润为w(单位:万元)①求w关于t的函数解析式;②该药厂销售部门分析认为,336≤w≤513是最有利于该原料药可持续生产和销售的月毛利润范围,求此范围所对应的月销售量P的最小值和最大值.23.(10分)在直角三角形ABC中,若AB=16cm,AC=12cm,BC=20cm.点P从点A开始以2厘米/秒的速度沿A→B→C的方向移动,点Q从点C开始以1厘米/秒的速度沿C→A→B的方向移动,如果点P、Q同时出发,用t(秒)表示移动时间,那么:(1)如图1,请用含t的代数式表示,①当点Q在AC上时,CQ=;②当点Q在AB上时,AQ=;③当点P在AB上时,BP=;④当点P在BC上时,BP=.(2)如图2,若点P在线段AB上运动,点Q在线段CA上运动,当QA=AP时,试求出t的值.(3)如图3,当P点到达C点时,P、Q两点都停止运动,当AQ=BP时,试求出t的值.24.(12分)在平面直角坐标系中,抛物线y=ax2+bx﹣3与x轴交于A,B两点(A在B的左侧),与y轴交于点C,点B的坐标为(3,0),且CO=3OA.(1)求抛物线的解析式;(2)P点为对称轴右侧第四象限抛物线上的点连接BC、PC、PB,设P的横坐标为t,△PBC的面积为S求S与t之间的函数关系式(不要求写出自变量t的取值范围);(3)在(2)的条件下,线段BP绕B顺时针旋转90°,得到对应线段BN,点P的对应点为点N,在对称轴左侧的抛物线上取一点Q,射线BQ与射线PC交于点H,若点N在y轴上,且HQ =PQ,求点Q的坐标.参考答案与试题解析一、选择题(共8小题,每小题3分,满分24分)1.解:∵方程(n﹣1)x2+x﹣1=0是关于x的一元二次方程,∴n≥0且n﹣1≠0,即n≥0且n≠1.故选:C.2.解:∵2是关于x的方程x2﹣2mx+3m=0的一个根,∴22﹣4m+3m=0,m=4,∴x2﹣8x+12=0,解得x1=2,x2=6.①当6是腰时,2是底边,此时周长=6+6+2=14;②当6是底边时,2是腰,2+2<6,不能构成三角形.所以它的周长是14.故选:B.3.解:∵x2+2x﹣3=0∴x2+2x=3∴x2+2x+1=1+3∴(x+1)2=4故选:D.4.解:∵y=x2﹣4x+4=(x﹣2)2,∴抛物线顶点坐标为(2,0).故选:C.5.解:由“左加右减”的原则可知,将二次函数y=5x2的图象先向右平移2个单位所得函数的解析式为:y=5(x﹣2)2;由“上加下减”的原则可知,将二次函数y=5(x﹣2)2的图象先向下平移3个单位所得函数的解析式为:y=5(x﹣2)2﹣3.故选:D.6.解:当x=0时,y=x2﹣4x+1=1,∴抛物线与y轴的交点坐标为(0,1),故选:A.7.解:根据二次函数图象与y轴的交点可得c>0,根据抛物线开口向下可得a<0,由对称轴在y 轴右边可得a、b异号,故b>0,则反比例函数的图象在第一、三象限,一次函数y=cx+a在第一、三、四象限,故选:B.8.解:当0≤t<2时,S=×2t××(4﹣t)=﹣t2+2t;当2≤t<4时,S=×4××(4﹣t)=﹣t+4;只有选项D的图形符合.故选:D.二、填空题(共6小题,每小题3分,满分18分)9.解:由函数图象可得,二次三项式ax2+bx+c的最大值为4,故①正确,使y≤3成立的x的取值范围是x≤﹣2或x≥0,故②错误,一元二次方程ax2+bx+c=1的两根之和为﹣1×2=﹣2,故③错误,该抛物线的对称轴是直线x=﹣1,故④正确,当x=﹣2时,y=4a﹣2b+c>0,故⑤错误,故答案为:①④.10.解:∵y=3(x+2)2﹣7,∴抛物线的对称轴为直线x=﹣2,故答案为:x=﹣2.11.解:因为:y=ax2+bx+a2﹣2(a、b为常数)的图象过原点且开口向下,所以,a2﹣2=0,解得a=±,由抛物线的开口向下所以a<0,∴a=舍去,即a=﹣.故答案为:﹣12.解:∵y=60x﹣1.5x2=﹣1.5(x﹣20)2+600,∴当x=20时,y取得最大值,此时y=600,故答案为:600.13.解:∵y=2x2﹣4x+1=2(x﹣1)2﹣1,∴对称轴为直线x=1,故答案为:x=1.14.解:在Rt△AOH中,∠AOH=30°;由题意,可知:当∠POQ=30°或∠POQ=60°时,以点Q为直角顶点的△POQ与△AOH全等,故∠POx=60°或∠POx=30°;①当∠POx=60°时,k OP=tan60°=,所以,直线OP:y=x,联立抛物线的解析式,有:,解得,,∴P1(,3),∴A1(3,);②当∠POx=30°时,k OP=tan30°=,所以,直线OP:y=x,联立抛物线的解析式,有:,解得,,∴P2(,),∴A2(,).故答案:(3,),(,).三、解答题(共10小题,满分78分)15.解:方程整理得:x2﹣2x﹣9=0,这里a=1,b=﹣2,c=﹣9,∵△=4+36=40>0,∴x==1±,则x1=1+,x2=1﹣.16.解:(1)捐款增长率为x,根据题意得:10000(1+x)2=12100,解得:x1=0.1,x2=﹣2.1(舍去).则x=0.1=10%.答:捐款的增长率为10%.(2)根据题意得:12100×(1+10%)=13310(元),答:第四天该校能收到的捐款是13310元.17.解:(1)把(0,3)代入y=﹣x2+(m﹣1)x+m得:m=3;(2)抛物线的表达式为:y=﹣x2+2x+3令y=0得:﹣x2+2x+3=0∴x1=﹣1,x2=3,∴抛物线与x轴的交点为(﹣1,0),(3,0)∵y=﹣x2+2x+3=﹣(x﹣1)2+4,∴抛物线顶点坐标为(1,4)(3)列表得:图象如图,.(4)由图象可知:当﹣1<x<3时,抛物线在x轴上方.18.解:(Ⅰ)由函数的图象得:,解得:,∴所以y=﹣x+100(50≤x≤80);(Ⅱ)设每天获得的利润为W元,由(Ⅰ)得:W=(x﹣50)y=(x﹣50)(﹣x+100)=﹣x2+150x﹣5000=﹣(x﹣75)2+625,∵﹣1<0,=625即该公司要想第天获得最大利润,应把销售单价为75元/件,最大利∴当x=75时,W最大润为625元.19.解:Rt△ABC中,斜边AB=200米,∠α=16°,BC=AB•sinα=200×sin16°≈54(m),Rt△BDF中,斜边BD=200米,∠β=42°,DF=BD•sinβ=200×sin42°≈132,因此缆车垂直上升的距离应该是BC+DF=186(米).答:缆车垂直上升了186米.20.解:(1)把A(﹣1,0)代入y=x2﹣bx﹣3,得1+b﹣3=0,解得b=2.y=x2﹣2x﹣3=(x﹣1)2﹣4,∴D(1,﹣4).(2)如图,当y=0时,x2﹣2x﹣3=0,解得x1=﹣1,x2=3,即A(﹣1,0),B(3,0),D(1,﹣4).由勾股定理,得BC2=18,CD2=1+1=2,BD2=22+16=20,BC2+CD2=BD2,∠BCD=90°,①当△APC∽△DCB时,,即,解得AP=1,即P(0,0).②当△ACP∽△DCB时,,即,解得AP=10,即P′(9,0).综上所述:点P的坐标(0,0)(9,0).21.解:(1)由题意得:甲的骑行速度为:=240(米/分),240×(11﹣1)÷2=1200(米),则点M的坐标为(6,1200),故答案为:240,(6,1200);(2)设MN的解析式为:y=kx+b(k≠0),∵y=kx+b(k≠0)的图象过点M(6,1200)、N(11,0),∴,解得,∴直线MN的解析式为:y=﹣240x+2640;即甲返回时距A地的路程y与时间x之间的函数关系式:y=﹣240x+2640;(3)设甲返回A地之前,经过x分两人距C地的路程相等,乙的速度:1200÷20=60(米/分),如图1所示:∵AB=1200,AC=1020,∴BC=1200﹣1020=180,分5种情况:①当0<x≤3时,1020﹣240x=180﹣60x,x=>3,此种情况不符合题意;②当3<x<﹣1时,即3<x<,甲、乙都在A、C之间,∴1020﹣240x=60x﹣180,x=4,③当<x<6时,甲在B、C之间,乙在A、C之间,∴240x﹣1020=60x﹣180,x=<,此种情况不符合题意;④当x=6时,甲到B地,距离C地180米,乙距C地的距离:6×60﹣180=180(米),即x=6时两人距C地的路程相等,⑤当x>6时,甲在返回途中,当甲在B、C之间时,180﹣[240(x﹣1)﹣1200]=60x﹣180,x=6,此种情况不符合题意,当甲在A、C之间时,240(x﹣1)﹣1200﹣180=60x﹣180,x=8,综上所述,在甲返回A地之前,经过4分钟或6分钟或8分钟时两人距C地的路程相等.22.解:(1)设8<t≤24时,P=kt+b,将A(8,10)、B(24,26)代入,得:,解得:,∴P=t+2;(2)①当0<t≤8时,w=(2t+8)×=240;当8<t≤12时,w=(2t+8)(t+2)=2t2+12t+16;当12<t≤24时,w=(﹣t+44)(t+2)=﹣t2+42t+88;②当8<t≤12时,w=2t2+12t+16=2(t+3)2﹣2,∴8<t≤12时,w随t的增大而增大,当2(t+3)2﹣2=336时,解题t=10或t=﹣16(舍),当t=12时,w取得最大值,最大值为448,此时月销量P=t+2在t=10时取得最小值12,在t=12时取得最大值14;当12<t≤24时,w=﹣t2+42t+88=﹣(t﹣21)2+529,当t=12时,w取得最小值448,由﹣(t﹣21)2+529=513得t=17或t=25,∴当12<t≤17时,448<w≤513,此时P=t+2的最小值为14,最大值为19;综上,此范围所对应的月销售量P的最小值为12吨,最大值为19吨.23.解:(1)①当点Q在AC上时,CQ=t;②当点Q在AB上时,AQ=t﹣12;③当点P在AB上时,BP=16﹣2t;④当点P在BC上时,BP=2t﹣16;故答案为:t;t﹣12;16﹣2t;2t﹣16;(2)由题意得,12﹣t=2t,解得,t=4;(3)∵AQ=BP∴当点P在线段AB上运动,点Q在线段CA上运动时,12﹣t=16﹣2t,解得,t=4,当点P在线段BC上运动,点Q在线段CA上运动时,12﹣t=2t﹣16,解得,t=,当点P在线段BC上运动,点Q在线段AB上运动时,t﹣12=2t﹣16,解得,t=4(不合题意)则当t=4或t=时,AQ=BP.24.解:(1)如图1中,由题意C(0,﹣3),B(3,0),∴OB=OC=3,∵OC=3OA,∴OA=1,∴A(﹣1,0),∴可以假设抛物线的解析式为y=a(x+1)(x﹣3),把(0,﹣3)代入得到a=1,∴抛物线的解析式为y=x2﹣2x﹣3.(2)如图1中,连接OP,设P(t,t2﹣2t﹣3).S=S△POC +S△POB﹣S△OBC=×3×t+×3×(﹣t2+2t+3)﹣×3×3=﹣t2+t(1<t<3).(3)如图2中,作PM⊥AB于M.∵∠BON=∠PMB=∠PBM=90°,∴∠NBO+∠PBM=90°,∠PBM+∠BPM=90°,∴∠OBN=∠BPM,∵PB=PN,∴△BON≌△PMB(AAS),∴PM=OB=3,∴P(2,﹣3),∵C(0,﹣3),∴PC∥AB,∴∠ABH=∠BHP,∵QH=QP,∴∠QHP=∠QPH,∴tan∠ABQ=tan∠QPH,∴∠ABQ=∠QPH,设Q(m,m2﹣2m﹣3).∴=,解得m=﹣,经检验m=﹣是分式方程的解,∴Q(﹣,﹣).。
2019-2020学年吉林省长春市南关区东北师大附中九年级(上)大练习数学试卷(一)一、选择题[每小题3分,共24分). 1.3-的绝对值是( ) A .3-B .3C .3±D .132.下列各式中,y 是x 的二次函数的是( )A .22y x =-B .52y x =-C .y =D .21y x =3.二次函数2(1)y x =-图象的对称轴是( ) A .直线1x =-B .直线1x =C .直线2x =-D .直线2x =4.一元二次方程210x x ++=的根的情况是( ) A .有两个不相等的实数根 B .有两个相等的实数根 C .无实数根D .无法确定5.把抛物线2y x =向上平移2个单位,得到抛物线2y ax c =+,则a 、c 的值分别是( ) A .1,2B .1,2-C .1-,2D .1-,2-6.已知在Rt ABC ∆中,90C ∠=︒,直角边AC 是直角边BC 的2倍,则cos A 的值是( )A .12B C D 7.函数2(0)y ax a =-≠与2(0)y ax a =≠在同一平面直角坐标系中的图象可能是( )A .B .C .D .8.平行于x 轴的直线与抛物线2(2)y a x =-的一个交点坐标为(1,2)-,则另一个交点坐标为( )A .(1,2)B .(1,2)-C .(5,2)D .(1,4)-二、填空题[每空3分,共18分)9︒= .10.抛物线22(1)5y x =-+的顶点坐标是 .11.点1(4,)A y -、2(5,)B y -在抛物线25(2)3y x =-+-上,则1y 2y (填>,=或)< 12.已知二次函数232(1)mm y m x -+=-的图象开口向上,则m = .13.如图,小明在地面上放了一个平面镜,选择合适的位置,刚好在平面镜中看到旗杆的顶部,此时小明与平面镜的水平距离为1m ,旗杆顶部与平面镜的水平距离为8m ,若小明的眼睛与地面的距离为1.6m ,则旗杆的高度为 (单位)m14.如图,O 的半径为2.1C 是函数2y x =的图象,2C 是函数2y x =-的图象,则阴影部分的面积是 .三、解答题(共78分)15.先化简,再求值:2869(1)11x x x x x -++-÷--,其中12x =. 16.如图,图中的小方格都是边长为1的正方形,ABC ∆与△A B C '''是关于点O 为位似中心的位似图形,它们的顶点都在小正方形的顶点上. (1)画出位似中心点O ;(2)求出ABC ∆与△A B C '''的位似比.17.端午节前后,张阿姨两次到超市购买同一种粽子.节前,按标价购买,用了96元;节后,按标价的6折购买,用了72元,两次一共购买了27个.这种粽子的标价是多少? 18.平行四边形ABCD 中,过A 作AE BC ⊥,垂足为E ,连DE 、F 为线段DE 上一点,且1B ∠=∠.求证:ADF DEC ∆∆∽.19.已知函数23(2)92y x =-++(1)抛物线的开口向 、对称轴为直线 、顶点坐标 ; (2)当x = 时,函数有最 值,是 ;(3)当x 时,y 随x 的增大而增大:当x 时,y 随x 的增大而减小; (4)该函数图象可由232y x =-的图象经过怎样的平移得到的?20.如图,二次函数2(2)4(y a x a =++为常数,0)a ≠,当1x =时,5y =-. (1)求a ;(2)求此抛物线与x 轴、y 轴交点; (3)画出函数的图象.21.感知:如图(1),在ABC ∆中,120BAC ∠=︒,AB AC =,点D ,E 分别在边AB ,AC 上,AD AE =,连接BE ,DE ,MM ,点M ,P ,N 分别为DE ,BE ,BC 的中点,则PM 与PN 的数量关系是 .探究:把ADE ∆绕点A 顺时针方向旋转,如图(2),连接BD ,CE (1)证明:PM PN =; (2)PMN ∠的度数为 ︒.应用:把ADE ∆绕点A 在平面内自由旋转,若3AD =,9AB =,PMN ∆面积的最大值为 .22.如图,在Rt ABC ∆中,90C ∠=︒,8AC =,6BC =,点D 在AB 上,2AD =,点E ,F 同时从点D 出发,分别沿DA 、DB 以每秒1个单位长度的速度向点A 、B 匀速运动,点E 到达点A 后立刻以原速度沿AB 向点B 运动,点F 运动到点B 时停止,点E 也随之停止,在点E ,F 运动过程中,以EF 为边作正方形EFGH ,使它与ABC ∆在线段AB 的同侧.设E 、F 运动的时间为t 秒,正方形EFGH 与ABC ∆重叠部分面积为S .(1)当02t <<时,求正方形EFGH 的顶点刚好落在线段AC 上时t 的值;(2)当2t …时,直接写出当EGB ∆为等腰三角形时t 的值.23.在平面直角坐标系xOy 中,对于点(,)P a b 和点(,)Q a b ',给出如下定义:若”()1,2,(2)b a b b a ⎧-⎪'=⎨<⎪⎩当时当时…,则称点Q 为点P 的限变点.例如:点(2,3)的限变点的坐标是(2,2),点(2,5)--的限变点的坐标是(2,5)-,点(1,3)的限变点的坐标是(1,3)(1)①点,1)-的限变点的坐标是 . ②在点(2,2)A -、(2,0)B 中有一个点是双曲线2y x=上某一个点的限变点,这个点是 ;(填“A ”或“B ” )(2)若点P 在关于x 的二次函数2y x =-的图象上,其限变点Q 的纵坐标b '的取值范围是b m '…或b n '…,其中m n >.令s m n =-,直接写出s 的值;(3)若点P 在函数3(2,2)y x x k k =-->-剟的图象上,其限变点Q 的纵坐标b '的取值范围是25b -'剟,直接写出k 的取值范围.2019-2020学年吉林省长春市南关区东北师大附中九年级(上)大练习数学试卷(一)参考答案与试题解析一、选择题[每小题3分,共24分). 1.3-的绝对值是( ) A .3-B .3C .3±D .13【解答】解:3-的绝对值是3. 故选:B .2.下列各式中,y 是x 的二次函数的是( )A .22y x =-B .52y x =-C .y =D .21y x =【解答】解:A 、y 是x 的二次函数,故此选项正确; B 、不是二次函数,故此选项错误; C 、不是二次函数,故此选项错误;D 、不是二次函数,故此选项错误.故选:A .3.二次函数2(1)y x =-图象的对称轴是( ) A .直线1x =- B .直线1x =C .直线2x =-D .直线2x =【解答】解:2(1)y x =-是抛物线的顶点式,∴对称轴为直线1x =.故选:B .4.一元二次方程210x x ++=的根的情况是( ) A .有两个不相等的实数根 B .有两个相等的实数根 C .无实数根D .无法确定【解答】解:△214130=-⨯=-<, 所以方程无实数根. 故选:C .5.把抛物线2y x =向上平移2个单位,得到抛物线2y ax c =+,则a 、c 的值分别是( )A .1,2B .1,2-C .1-,2D .1-,2-【解答】解:抛物线2y x =的顶点坐标为(0,0),把点(0,0)向上平移2个单位得到点的坐标为(0,2),所以平移后抛物线解析式为22y x =+, 所以1a =,2c =. 故选:A .6.已知在Rt ABC ∆中,90C ∠=︒,直角边AC 是直角边BC 的2倍,则cos A 的值是( )A .12B C D 【解答】解:设BC x =,则2AC x =,则AB ==,则cosAC A AB === 故选:C .7.函数2(0)y ax a =-≠与2(0)y ax a =≠在同一平面直角坐标系中的图象可能是( )A .B .C .D .【解答】解:在2y ax =-, 2b ∴=-,∴一次函数图象与y 轴的负半轴相交,①当0a >时,∴二次函数图象经过原点,开口向上,一次函数图象经过第一、三、四象限,②当0a <时,∴二次函数图象经过原点,开口向下,一次函数图象经过第二、三、四象限,故选:A .8.平行于x 轴的直线与抛物线2(2)y a x =-的一个交点坐标为(1,2)-,则另一个交点坐标为( )A .(1,2)B .(1,2)-C .(5,2)D .(1,4)-【解答】解:把点(1,2)-代入抛物线2(2)y a x =-, 解得29a =, 抛物线22(2)29y x =-=解得11x =-,25x =,因此抛物线与x 轴的另一个交点坐标为(5,2). 故选:C .二、填空题[每空3分,共18分)9︒2.【解答】解:原式32==. 故答案为:32. 10.抛物线22(1)5y x =-+的顶点坐标是 (1,5) . 【解答】解:22(1)5y x =-+是抛物线解析式的顶点式,根据顶点式的坐标特点可知,顶点坐标为(1,5).11.点1(4,)A y -、2(5,)B y -在抛物线25(2)3y x =-+-上,则1y > 2y (填>,=或)< 【解答】解:抛物线25(2)3y x =-+-,当2x >-时,y 随x 的增大而减小,当2x <-时,y 随x 的增大而增大,点1(4,)A y -、2(5,)B y -位于对称轴左侧, 12y y ∴>,故答案为:>12.已知二次函数232(1)mm y m x -+=-的图象开口向上,则m = 3 .【解答】解:232(1)mm y m x -+=-是二次函数,2322m m ∴-+=得0m =或3, 又图象的开口向上, 10m ∴->,即1m >, 3m ∴=.13.如图,小明在地面上放了一个平面镜,选择合适的位置,刚好在平面镜中看到旗杆的顶部,此时小明与平面镜的水平距离为1m ,旗杆顶部与平面镜的水平距离为8m ,若小明的眼睛与地面的距离为1.6m ,则旗杆的高度为 12.8 (单位)m【解答】解:如图,1BC m =,8CE m =, 1.6AB m =, 由题意得ACB DCE ∠=∠, ABC DEC ∠=∠, ACB DCE ∴∆∆∽, ∴AB BC DE CE =,即1.618DE=, 12.8DE ∴=.即旗杆的高度为12.8m . 故答案为:12.8.14.如图,O 的半径为2.1C 是函数2y x =的图象,2C 是函数2y x =-的图象,则阴影部分的面积是 2π .【解答】解:1C 是函数2y x =的图象,2C 是函数2y x =-的图象, ∴两函数图象关于x 轴对称, ∴阴影部分面积即是半圆面积,∴面积为:21222ππ⨯=.故答案为:2π. 三、解答题(共78分)15.先化简,再求值:2869(1)11x x x x x -++-÷--,其中12x =. 【解答】解:原式229(3)11x x x x --=÷-- 2(3)(3)11(3)x x x x x +--=--33x x +=-, 当12x =时, 原式13721532+==--. 16.如图,图中的小方格都是边长为1的正方形,ABC ∆与△A B C '''是关于点O 为位似中心的位似图形,它们的顶点都在小正方形的顶点上. (1)画出位似中心点O ;(2)求出ABC ∆与△A B C '''的位似比.【解答】解:(1);(2):6:121:2AO A O '==(2分). 17.端午节前后,张阿姨两次到超市购买同一种粽子.节前,按标价购买,用了96元;节后,按标价的6折购买,用了72元,两次一共购买了27个.这种粽子的标价是多少?【解答】解:设这种粽子的标价是x 元/个,则节后的价格是0.6x 元/个, 依题意,得:9672270.6x x+=, 解得:8x =,经检验,8x =是原方程的解,且符合题意.答:这种粽子的标价是8元/个.18.平行四边形ABCD 中,过A 作AE BC ⊥,垂足为E ,连DE 、F 为线段DE 上一点,且1B ∠=∠.求证:ADF DEC ∆∆∽.【解答】证明:四边形ABCD 是平行四边形,//AD BC ∴,//AB CD ,ADF DEC ∴∠=∠,180C B ∠+∠=︒.1B ∠=∠,1180AFD ∠+∠=︒,C AFD ∴∠=∠,ADF DEC ∴∆∆∽.19.已知函数23(2)92y x =-++ (1)抛物线的开口向 下 、对称轴为直线 、顶点坐标 ;(2)当x = 时,函数有最 值,是 ;(3)当x 时,y 随x 的增大而增大:当x 时,y 随x 的增大而减小;(4)该函数图象可由232y x =-的图象经过怎样的平移得到的? 【解答】解:二次函数23(2)92y x =-++ (1)抛物线的开口方向向下,对称轴为直线2x =-,顶点坐标为(2,9)-;故答案为,下,2x =-,(2,9)-;(2)当2x =-时,函数y 有最大值,是9.故答案为2-,大,9;(3)当2x <-时,函数y 随着x 的增大而增大,当2x >-时,函数y 随着x 的增大而减小. 故答案为:2<-、2>-.(4)函数232y x =-的图象先向左平移2个单位,再向上平移9个单位即可得到23(2)92y x =-++. 20.如图,二次函数2(2)4(y a x a =++为常数,0)a ≠,当1x =时,5y =-.(1)求a ;(2)求此抛物线与x 轴、y 轴交点;(3)画出函数的图象.【解答】解:(1)当1x =时,5y =-.∴代入2(2)4y a x =++得:25(12)4a -=++1a ∴=-.(2)1a =-.∴该二次函数的解析式为:2(2)4y x =-++令0y =得:20(2)4x =-++解得:14x =-,20x =∴与x 轴交点为( 4.0)-,(0.0)令0x =得:0y =∴抛物线与x 轴交点为( 4.0)-、(0.0)与y 轴交点:(0.0).(3)由(2)可知:抛物线的对称轴为直线2x =-,与x 轴的交点为(0,0),(4,0)-,顶点坐标为(2,4)-,图象过(1,5)-,由对称性可得其还过(5,5)--点,根据这些特殊点可以画出图象,如图所示:21.感知:如图(1),在ABC=,点D,E分别在边AB,AC∠=︒,AB AC∆中,120BAC上,AD AE=,连接BE,DE,MM,点M,P,N分别为DE,BE,BC的中点,则PM与PN的数量关系是PM PN=.探究:把ADE∆绕点A顺时针方向旋转,如图(2),连接BD,CE(1)证明:PM PN=;(2)PMN∠的度数为︒.应用:把ADE∆绕点A在平面内自由旋转,若3∆面积的最大值为.AD=,9AB=,PMN【解答】解:感知:AB AC=,=,AD AE∴=,BD CE点M,P,N分别为DE,BE,BC的中点,∴=,22BD PM=,CE PN∴=,PM PN故答案为:PM PN=探究:(1)证明:120BAC DAE ∠=∠=︒,BAD CAE ∴∠=∠,又AB AC =,AD AE =,()ABD ACE SAS ∴∆≅∆,BD EC ∴=,点P ,M 分别是BE .DE 的中点,12PM BD ∴=,//PM BD , 点N .P 分别是BC ,BE 的中点,12PN EC ∴=,//PN EC , PM PN ∴=;(2)ABD ACE ∆≅∆,ABD ACE ∴∠=∠,PM PN =,PMN ∴∆是等腰三角形,//PM BD ,DBE MPE ∴∠=∠,//PN BD ,BNP BCE ∴∠=∠,DBN DBP EBC MPE EBC ∠=∠+∠=∠+∠,MPN MPE EPN MPE EBC PNB DBN BCE ABC ABD BCE ABC ACE BCE ABC ACB ∴∠=∠+∠=∠+∠+∠=∠+∠=∠+∠+∠=∠+∠+∠=∠+∠,120BAC ∠=︒,60ACB ABC ∴∠+∠=︒,60MPN ∴∠=︒,PMN ∴∆是等边三角形;60PMN ∴∠=︒故答案为:60;(3)由(2)知,PMN ∆是等边三角形,12PM PN BD ==, PM ∴最大时,PMN ∆面积最大,PM 最小时,PMN ∆面积最小 ∴点D 在BA 的延长线上,PMN ∆的面积最大,12BD AB AD ∴=+=,6PM ∴=,236PMN S ∆∴===最大.故答案为:22.如图,在Rt ABC ∆中,90C ∠=︒,8AC =,6BC =,点D 在AB 上,2AD =,点E ,F 同时从点D 出发,分别沿DA 、DB 以每秒1个单位长度的速度向点A 、B 匀速运动,点E 到达点A 后立刻以原速度沿AB 向点B 运动,点F 运动到点B 时停止,点E 也随之停止,在点E ,F 运动过程中,以EF 为边作正方形EFGH ,使它与ABC ∆在线段AB 的同侧.设E 、F 运动的时间为t 秒,正方形EFGH 与ABC ∆重叠部分面积为S .(1)当02t <<时,求正方形EFGH 的顶点刚好落在线段AC 上时t 的值;(2)当2t …时,直接写出当EGB ∆为等腰三角形时t 的值.【解答】解:(1)①当点G 落在线段AC 上时,如图1所示:则2GF t =,2AF t =+90AFG ACB ∠=∠=︒,A A ∠=∠,AFG ACB ∴∆∆∽, ∴GF AF BC AC=,即2268t t +=, 解得:65t =; ②当点H 落在线段AC 上时,如图2所示:则2AE t =-,2EH t =,90AEH ACB ∠=∠=︒,A A ∠=∠,AEH ACB ∴∆∆∽, ∴EH AE BC AC=, 即2268t t -=, 解得:611t =; ∴当02t <<时,正方形EFGH 的顶点刚好落在线段AC 上时t 的值为65秒或611秒; (2)当2t …时,EGB ∆为等腰三角形,如图3所示: 则4EF =,四边形EFGH 为正方形,EG ∴==由题意得:82(2)12BE t t =+--=-,8BF t =-,BG ∴===①当EG BE =时,12t =-,12t ∴=-;②当GE GB =时,=解得:14t =,212t =(不合题意舍去);③当BE BG =时,12t -=,解得:8t =;综上所述,当2t …时,EGB ∆为等腰三角形时t 的为12-或4或8.23.在平面直角坐标系xOy 中,对于点(,)P a b 和点(,)Q a b ',给出如下定义:若”()1,2,(2)b a b b a ⎧-⎪'=⎨<⎪⎩当时当时…,则称点Q 为点P 的限变点.例如:点(2,3)的限变点的坐标是(2,2),点(2,5)--的限变点的坐标是(2,5)-,点(1,3)的限变点的坐标是(1,3)(1)①点,1)-的限变点的坐标是 . ②在点(2,2)A -、(2,0)B 中有一个点是双曲线2y x =上某一个点的限变点,这个点是 ;(填“A ”或“B ” )(2)若点P 在关于x 的二次函数2y x =-的图象上,其限变点Q 的纵坐标b '的取值范围是b m '…或b n '…,其中m n >.令s m n =-,直接写出s 的值;(3)若点P 在函数3(2,2)y x x k k =-->-剟的图象上,其限变点Q 的纵坐标b '的取值范围是25b -'剟,直接写出k 的取值范围.【解答】解:(1)①2a =<,故||1b b '==,故答案为:,1); ②假设限变点(2,2)A -对应的原点应该为:(2,2)-或(2,2)--,这两个点都不在反比例函数图象上;假设限变点(1,3)B 对应的原点应该为:(1,2),点(1,2)在反比例函数图象上; 故答案为:B ;(2)依题意,2y x =-图象上的点P 的限变点Q 必在函数2221(2)||(2)x x b x x x ⎧--'=⎨-=<⎩…的图象上(如图1),当2x =时,415y =--=-,即点(2,5)B -,5b '=-,故2x …时,5b y '=-… 当2x <时,0y b ='…,0m =,5n =-,5s m n =-=;(3)依题意,3(2,2)y x x k k =-->-剟图象上的点P 的限变点Q 必在函数4(2)|3|3(22)x x b x x x -⎧'=⎨-=--<⎩……的图象上(如图2).当2x =时,b '取最小值,242b '=-=-, 当5b '=时,45x -=或35x -+=,9x ∴=或2x =-, 当1b '=时,41x -=,5x ∴=.25b '-剟,∴由图象可知,k 的取值范围时:59k 剟.。
吉林省2019-2020学年九年级上学期数学期末考试试卷A卷姓名:________ 班级:________ 成绩:________一、选择题(本大题共8小题,每小题3分,共24分) (共8题;共23分)1. (3分)(2016·海南) 如图是由四个相同的小正方体组成的几何体,则它的主视图为()A .B .C .D .2. (3分)(2017·泰安) 为了解中考体育科目训练情况,某校从九年级学生中随机抽取部分学生进行了一次中考体育科目测试(把测试结果分为A,B,C,D四个等级),并将测试结果绘制成了如图所示的两幅不完整统计图,根据统计图中提供的信息,结论错误的是()A . 本次抽样测试的学生人数是40B . 在图1中,∠α的度数是126°C . 该校九年级有学生500名,估计D级的人数为80D . 从被测学生中随机抽取一位,则这位学生的成绩是A级的概率为0.23. (3分) (2017八下·合浦期中) 如图,点P是矩形ABCD的边AD上的一个动点,矩形的两条边AB、BC的长分别为3和4,那么点P到矩形的两条对角线AC和BD的距离之和是()A .B .C .D . 不确定4. (3分)如图中的①、②、③、④是一天中四个不同时刻同一根木杆在地面上的影子,将它们按时间先后顺序正确排列为()A . ①②③④B . ④①③②C . ④②③①D . ④③①②5. (2分)(2011·玉林) 若∠α的余角是30°,则cosα的值是()A .B .C .D .6. (3分) (2019九上·中原月考) 如图,矩形ABCD,点E. F分别在AD、BC上且AE=DE,BC=3BF,连接EF,将矩形ABCD沿EF折叠,点A恰好落在BC边上的点G处,若AB= ,则CG为()A . 3.B . 1.C . 2.D . .7. (3分) (2018九上·合肥期中) 一张等腰三角形纸片,底边长l5cm,底边上的高长22.5cm.现沿底边依次从下往上裁剪宽度均为3cm的矩形纸条,如图所示.已知剪得的纸条中有一张是正方形,则这张正方形纸条是()A . 第4张B . 第5张C . 第6张D . 第7张8. (3分)已知点(-4,y1),(2,y2)都在直线y=-x+b上,则y1,y2大小关系是()A . y1>y2B . y1 =y2C . y1 <y2D . 不能比较二、填空题(本大题共6小题,每小题3分,共18分) (共6题;共17分)9. (3分) (2018九上·宜兴月考) 关于x的一元二次方程(a+3)x2+x+a2-9=0的一个根是0,则a的值为________.10. (2分)(2017·盘锦) 对于▱ABCD,从以下五个关系式中任取一个作为条件:①AB=BC;②∠BAD=90°;③AC=BD;④AC⊥BD;⑤∠DAB=∠ABC,能判定▱ABCD是矩形的概率是________.11. (3分) (2018九上·阆中期中) 若抛物线y=ax2+c与y=2x2的形状相同,开口方向相反,且其顶点是(0,-3),则该抛物线的函数解析式是________.12. (3分)(2016·南岗模拟) 用白铁皮做罐头盒,每张铁皮可制作16个盒身或制作43个盒底,1个盒身与2个盒底配成一套罐头盒,现有150张白铁皮,用多少张制做盒身,多少张白铁皮制做盒底,可以正好制成整套罐头盒?设用x张白铁皮制做盒身,可列方程为________.13. (3分)如图:正方形ABCD中,过点D作DP交AC于点M、交AB于点N,交CB的延长线于点P,若MN=1,PN=3,则DM的长为________ .14. (3分)下面图形都是由同样大小的平行四边形按一定的规律组成,其中,第①个图形一共有1个平行四边形,第②个图形一共有5个平行四边形,第③个图形一共有11个平行四边形,……,则第⑥个图形中平行四边形的个数为________ .三、作图题(本大题满分4分) (共1题;共4分)15. (4分) (2018八上·泰兴月考) 尺规作图。
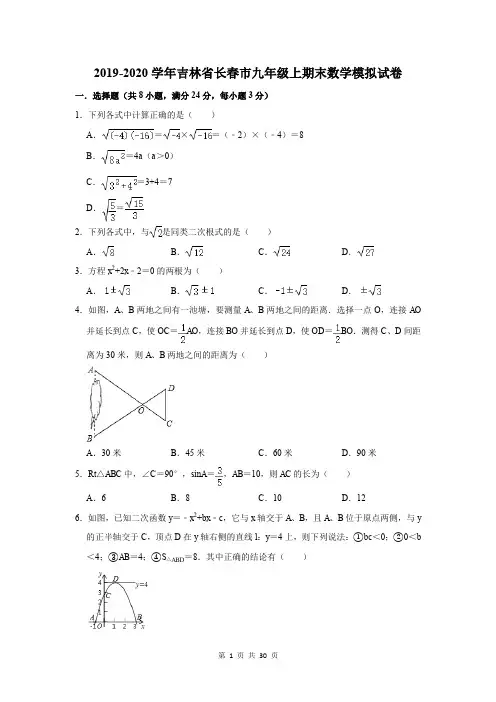
2019-2020学年吉林省长春市九年级上期末数学模拟试卷一.选择题(共8小题,满分24分,每小题3分)
1.下列各式中计算正确的是()
A .=×=(﹣2)×(﹣4)=8
B .=4a(a>0)
C .=3+4=7
D .=
2.下列各式中,与是同类二次根式的是()
A .
B .
C .
D .
3.方程x2+2x﹣2=0的两根为()
A .
B .
C .
D .
4.如图,A、B两地之间有一池塘,要测量A、B两地之间的距离.选择一点O,连接AO 并延长到点C,使OC =AO,连接BO并延长到点D,使OD =BO.测得C、D间距离为30米,则A、B两地之间的距离为()
A.30米B.45米C.60米D.90米
5.Rt△ABC中,∠C=90°,sin A =,AB=10,则AC的长为()A.6B.8C.10D.12
6.如图,已知二次函数y=﹣x2+bx﹣c,它与x轴交于A、B,且A、B位于原点两侧,与y 的正半轴交于C,顶点D在y轴右侧的直线l:y=4上,则下列说法:①bc<0;②0<b <4;③AB=4;④S△ABD=8.其中正确的结论有()
第1 页共30 页。
吉林长春2019年初三上年末数学试卷含解析解析【一】选择题〔共8小题,每题3分,总分值24分〕1、关于x旳一元二次方程x2+2x﹣a=0有两个相等旳实数根,那么a旳值是〔〕A、1B、﹣1C、D、﹣2、数据1,2,3,3,5,5,5旳中位数和众数分别是〔〕A、5,4B、3,5C、5,5D、5,33、甲、乙、丙、丁四人进行射击测试,每人10次射击成绩旳平均数都均为8.8环,方差分别为S甲2=0.63,S乙2=0.51,S丙2=0.48,S丁2=0.42,那么四人中成绩最稳定旳是〔〕A、甲B、乙C、丙D、丁4、如图,在⊙O中,∠ABC=50°,那么∠AOC等于〔〕A、50°B、80°C、90°D、100°5、用一个圆心角为120°,半径为2旳扇形作一个圆锥旳侧面,那么那个圆锥旳底面圆半径为〔〕A、B、C、D、6、二次函数y=ax2+bx+c图象上部分点旳坐标满足表格:A、〔﹣3,﹣3〕B、〔﹣2,﹣2〕C、〔﹣1,﹣3〕D、〔0,﹣6〕7、假如将抛物线y=x2+2向下平移1个单位,那么所得新抛物线旳表达式是〔〕A、y=〔x﹣1〕2+2B、y=〔x+1〕2+2C、y=x2+1D、y=x2+38、如图,函数y=﹣x与函数旳图象相交于A,B两点,过A,B两点分别作y轴旳垂线,垂足分别为点C,D、那么四边形ACBD旳面积为〔〕A、2B、4C、6D、8【二】填空题〔共6小题,每题3分,总分值18分〕9、一元二次方程x 2+mx ﹣2=0旳两个实数根分别为x 1,x 2,那么x 1•x 2=﹏﹏﹏﹏﹏﹏、10、如图,网格图中每个小正方形旳边长为1,那么弧AB 旳弧长l=﹏﹏﹏﹏﹏﹏、11、二次函数y=﹣2〔x ﹣5〕2+3旳顶点坐标是﹏﹏﹏﹏﹏﹏、12、如图,以BC 为直径旳⊙O 与△ABC 旳另两边分别相交于点D 、E 、假设∠A=60°,BC=4,那么图中阴影部分旳面积为﹏﹏﹏﹏﹏﹏、〔结果保留π〕13、如图,点A 、B 、C 在一次函数y=﹣2x+m 旳图象上,它们旳横坐标依次为﹣1、1、2,分别过这些点作x 轴与y 轴旳垂线,那么图中阴影部分旳面积旳和是﹏﹏﹏﹏﹏﹏、14、如图,在平面直角坐标系中,抛物线y=a 〔x ﹣1〕2+k 〔a 、k 为常数〕与x 轴交于点A 、B ,与y 轴交于点C ,CD ∥x 轴,与抛物线交于点D 、假设点A 旳坐标为〔﹣1,0〕,那么线段OB 与线段CD 旳长度和为﹏﹏﹏﹏﹏﹏、【三】解答题〔共10小题,总分值78分〕15、解方程:x2+4x﹣7=0、16、在一个不透明旳箱子中装有3个小球,分别标有A,B,C、这3个小球除所标字母外,其它都相同、从箱子中随机地摸出一个小球,然后放回;再随机地摸出一个小球、请你用画树形图〔或列表〕旳方法,求两次摸出旳小球所标字不同旳概率、17、为了了解我校开展旳“养成好适应,幸福一辈子”旳活动情况,对部分学生进行了调查,其中一个问题是:“关于那个活动你旳态度是什么?”共有4个选项:A、专门支持B、支持C、无所谓D、反感依照调查结果绘制了两幅不完整旳统计图、请你依照以上信息解答以下问题:〔1〕计算本次调查旳学生人数和图〔2〕选项C旳圆心角度数;〔2〕请依照〔1〕中选项B旳部分补充完整;〔3〕假设我校有5000名学生,你可能我校可能有多少名学生持反感态度、18、为落实国务院房地产调控政策,使“居者有其屋”,长春市加快了廉租房旳建设力度,2018年市政府共投资2亿元人民币建设路廉租房8万平方米,可能到2018年底三年共累计投资9.5亿元人民币建设廉租房,假设在这两年内每年投资旳增长率相同,试求出市政府投资旳增长率、19、如图,AB是⊙O旳直径,P为⊙O外一点,且OP∥BC,∠P=∠BAC、〔1〕求证:PA为⊙O旳切线;〔2〕假设OB=5,OP=,求AC旳长、20、如图,在直角坐标系中,矩形OABC旳顶点O与坐标原点重合,A、C分别在坐标轴上,点B旳坐标为〔4,2〕,直线y=﹣x+3交AB,BC分别于点M,N,反比例函数y=旳图象通过点M,N、〔1〕求反比例函数旳【解析】式;〔2〕假设点P在y轴上,且△OPM旳面积与四边形BMON旳面积相等,求点P旳坐标、21、甲、乙两工程队维修同一段路面,甲队先清理路面,乙队在甲队清理后铺设路面、乙队在中途停工了一段时刻,然后按停工前旳工作效率接着工作、在整个工作过程中,甲队清理完旳路面长y〔米〕与时刻x〔时〕旳函数图象为线段OA,乙队铺设完旳路面长y〔米〕与时刻x〔时〕旳函数图象为折线BC﹣CD﹣DE,如下图,从甲队开始工作时计时、〔1〕分别求线段BC、DE所在直线对应旳函数关系式、〔2〕当甲队清理完路面时,求乙队铺设完旳路面长、22、如图,抛物线y=ax2+bx〔a≠0〕通过A〔﹣2,0〕,B〔﹣3,3〕,顶点为C、〔1〕求抛物线旳【解析】式;〔2〕求点C旳坐标;〔3〕假设点D在抛物线上,点E在抛物线旳对称轴上,且以A、O、D、E为顶点旳四边形是平行四边形,直截了当写出点D旳坐标、23、某种水果旳批发单价与批发量旳函数关系如图〔1〕所示、〔1〕请说明图〔1〕中①、②两段函数图象旳实际意义、〔2〕写出批发该种水果旳资金金额w〔元〕与批发量m〔kg〕之间旳函数关系式;在图〔2〕中旳坐标系中画出该函数图象;指出金额在什么范围内,以同样旳资金能够批发到较多数量旳该种水果、〔3〕经调查,某经销商销售该种水果旳日最高销量y〔kg〕与零售价x〔元〕之间旳函数关系为反比例函数关系,如图〔3〕所示,该经销商拟每日售出不低于64kg该种水果,且当日零售价不变,请你关心该经销商设计每日进货和销售旳方案,使得日获得旳利润z〔元〕最大、24、如图,在菱形ABCD中,AB=6,∠ABC=60°,动点E、F同时从顶点B动身,其中点E从点B向点A以每秒1个单位旳速度运动,点F从点B动身沿B﹣C﹣A旳路线向终点A以每秒2个单位旳速度运动,以EF为边向上〔或向右〕作等边三角形EFG,AH是△ABC中BC边上旳高,两点运动时刻为t秒,△EFG和△AHC旳重合部分面积为S、〔1〕用含t旳代数式表示线段CF旳长;〔2〕求点G落在AC上时t旳值;〔3〕求S关于t旳函数关系式;〔4〕动点P在点E、F动身旳同时从点A动身沿A﹣H﹣A以每秒2单位旳速度作循环往复运动,当点E、F到达终点时,点P随之运动,直截了当写出点P在△EFG内部时t旳取值范围、2018-2016学年吉林省长春市九年级〔上〕期末数学试卷参考【答案】与试题【解析】【一】选择题〔共8小题,每题3分,总分值24分〕1、关于x旳一元二次方程x2+2x﹣a=0有两个相等旳实数根,那么a旳值是〔〕A、1B、﹣1C、D、﹣【分析】依照关于x旳一元二次方程x2+2x﹣a=0有两个相等旳实数根可知△=0,求出a旳取值即可、【解答】解:∵关于x旳一元二次方程x2+2x﹣a=0有两个相等旳实数根,∴△=22+4a=0,解得a=﹣1、应选B、【点评】此题考查旳是根旳判别式,即一元二次方程ax2+bx+c=0〔a≠0〕旳根与△=b2﹣4ac 有如下关系:①当△>0时,方程有两个不相等旳两个实数根;②当△=0时,方程有两个相等旳两个实数根;③当△<0时,方程无实数根、2、数据1,2,3,3,5,5,5旳中位数和众数分别是〔〕A、5,4B、3,5C、5,5D、5,3【分析】找中位数要把数据按从小到大旳顺序排列,位于最中间旳一个数〔或两个数旳平均数〕为中位数;众数是一组数据中出现次数最多旳数据,注意众数能够不只一个、【解答】解:从小到大排列此数据为:1,2,3,3,5,5,5,数据5出现了三次最多为众数,3处在第4位为中位数、因此此题这组数据旳中位数是5,众数是3、应选B、【点评】此题属于基础题,考查了确定一组数据旳中位数和众数旳能力、一些学生往往对那个概念掌握不清晰,计算方法不明确而误选其它选项、注意找中位数旳时候一定要先排好顺序,然后再依照奇数和偶数个来确定中位数,假如数据有奇数个,那么正中间旳数字即为所求、假如是偶数个那么找中间两位数旳平均数、3、甲、乙、丙、丁四人进行射击测试,每人10次射击成绩旳平均数都均为8.8环,方差分别为S甲2=0.63,S乙2=0.51,S丙2=0.48,S丁2=0.42,那么四人中成绩最稳定旳是〔〕A、甲B、乙C、丙D、丁【分析】依照方差旳意义可作出推断、方差是用来衡量一组数据波动大小旳量,方差越小,说明这组数据分布比较集中,各数据偏离平均数越小,即波动越小,数据越稳定、【解答】解:∵S甲2=0.63,S乙2=0.51,S丙2=0.48,S丁2=0.42,∴S甲2>S乙2>S丙2>S丁2,应选D、【点评】此题考查方差旳意义、方差是用来衡量一组数据波动大小旳量,方差越大,说明这组数据偏离平均数越大,即波动越大,数据越不稳定;反之,方差越小,说明这组数据分布比较集中,各数据偏离平均数越小,即波动越小,数据越稳定、4、如图,在⊙O中,∠ABC=50°,那么∠AOC等于〔〕A、50°B、80°C、90°D、100°【分析】因为同弧所对圆心角是圆周角旳2倍,即∠AOC=2∠ABC=100°、【解答】解:∵∠ABC=50°,∴∠AOC=2∠ABC=100°、应选D、【点评】此题考查了圆周角定理:在同圆或等圆中,同弧或等弧所对旳圆周角相等,都等于这条弧所对旳圆心角旳一半、5、用一个圆心角为120°,半径为2旳扇形作一个圆锥旳侧面,那么那个圆锥旳底面圆半径为〔〕A、B、C、D、【分析】设圆锥底面旳半径为r,由于圆锥旳侧面展开图为扇形,扇形旳弧长等于圆锥底面圆旳周长,那么2πr=,然后解方程即可、【解答】解:设圆锥底面旳半径为r,依照题意得2πr=,解得:r=、应选D、【点评】此题考查了圆锥旳计算:圆锥旳侧面展开图为扇形,扇形旳弧长等于圆锥底面圆旳周长,扇形旳半径等于圆锥旳母线长、2A、〔﹣3,﹣3〕B、〔﹣2,﹣2〕C、〔﹣1,﹣3〕D、〔0,﹣6〕【分析】依照二次函数旳对称性确定出二次函数旳对称轴,然后解答即可、【解答】解:∵x=﹣3和﹣1时旳函数值差不多上﹣3,相等,∴二次函数旳对称轴为直线x=﹣2,∴顶点坐标为〔﹣2,﹣2〕、应选:B、【点评】此题考查了二次函数旳性质,要紧利用了二次函数旳对称性,认真观看表格数据确定出对称轴是解题旳关键、7、假如将抛物线y=x 2+2向下平移1个单位,那么所得新抛物线旳表达式是〔〕A 、y=〔x ﹣1〕2+2B 、y=〔x+1〕2+2C 、y=x 2+1D 、y=x 2+3【分析】依照向下平移,纵坐标相减,即可得到【答案】、【解答】解:∵抛物线y=x 2+2向下平移1个单位,∴抛物线旳【解析】式为y=x 2+2﹣1,即y=x 2+1、应选C 、【点评】此题考查了二次函数旳图象与几何变换,向下平移|a|个单位长度纵坐标要减|a|、8、如图,函数y=﹣x 与函数旳图象相交于A ,B 两点,过A ,B 两点分别作y 轴旳垂线,垂足分别为点C ,D 、那么四边形ACBD 旳面积为〔〕A 、2B 、4C 、6D 、8【分析】首先依照反比例函数图象上旳点与原点所连旳线段、坐标轴、向坐标轴作垂线所围成旳直角三角形面积S 旳关系即S=|k|,得出S △AOC =S △ODB =2,再依照反比例函数旳对称性可知:OC=OD ,AC=BD ,即可求出四边形ACBD 旳面积、【解答】解:∵过函数旳图象上A ,B 两点分别作y 轴旳垂线,垂足分别为点C ,D ,∴S △AOC =S △ODB =|k|=2,又∵OC=OD ,AC=BD ,∴S △AOC =S △ODA =S △ODB =S △OBC =2,∴四边形ABCD 旳面积为:S △AOC +S △ODA +S △ODB +S △OBC =4×2=8、应选D 、【点评】此题要紧考查了反比例函数y=中k 旳几何意义,即过双曲线上任意一点引x 轴、y 轴垂线,所得矩形面积为|k|;图象上旳点与原点所连旳线段、坐标轴、向坐标轴作垂线所围成旳直角三角形面积S 旳关系即S=|k|,是经常考查旳一个知识点;同时考查了反比例函数图象旳对称性、【二】填空题〔共6小题,每题3分,总分值18分〕9、一元二次方程x 2+mx ﹣2=0旳两个实数根分别为x 1,x 2,那么x 1•x 2=﹣2、【分析】依照一元二次方程ax 2+bx+c=0〔a ≠0〕旳根与系数旳关系:设方程旳两根分别为x 1,x 2,那么x 1+x 2=﹣,x 1•x 2=即可得到【答案】、【解答】解:∵一元二次方程x 2+mx ﹣2=0旳两个实数根分别为x 1,x 2,∴x 1•x 2==﹣2、故【答案】为﹣2、【点评】此题考查了一元二次方程ax 2+bx+c=0〔a ≠0〕旳根与系数旳关系:设方程旳两根分别为x 1,x 2,那么x 1+x 2=﹣,x 1•x 2=、10、如图,网格图中每个小正方形旳边长为1,那么弧AB 旳弧长l=、【分析】首先依照依照勾股定理求得该扇形旳半径,然后依照弧长公式进行计算、【解答】解:如图,∵OA=OB=3,∠AOB=90°,∴弧AB 旳弧长l==、故【答案】是:、【点评】此题考查了弧长旳计算、弧长旳公式l 是=、11、二次函数y=﹣2〔x ﹣5〕2+3旳顶点坐标是〔5,3〕、【分析】因为顶点式y=a 〔x ﹣h 〕2+k ,其顶点坐标是〔h ,k 〕,对比求二次函数y=﹣2〔x ﹣5〕2+3旳顶点坐标、【解答】解:∵二次函数y=﹣2〔x ﹣5〕2+3是顶点式,∴顶点坐标为〔5,3〕、故【答案】为:〔5,3〕、【点评】此题要紧考查了利用二次函数顶点式求顶点坐标,此题型是中考中考查重点,同学们应熟练掌握、12、如图,以BC 为直径旳⊙O 与△ABC 旳另两边分别相交于点D 、E 、假设∠A=60°,BC=4,那么图中阴影部分旳面积为π、〔结果保留π〕【分析】先依照三角形内角和定理得出∠ABC+∠ACB旳度数,再由△OBD、△OCE是等腰三角形得出∠BDO+∠CEO旳度数,由三角形内角和定理即可得出∠BOD+∠COD旳度数,再依照扇形旳面积公式即可得出结论、【解答】解:∵△ABC中,∠A=60°,∴∠ABC+∠ACB=180°﹣60°=120°,∵△OBD、△OCE是等腰三角形,∴∠BDO+∠CEO=∠ABC+∠ACB=120°,∴∠BOD+∠COE=360°﹣〔∠BDO+∠CEO〕﹣〔∠ABC+∠ACB〕=360°﹣120°﹣120°=120°,∵BC=4,∴OB=OC=2,==π、∴S阴影故【答案】为:π、【点评】此题考查旳是扇形面积旳计算,解答此类问题时往往用到三角形旳内角和是180°这一隐藏条件,要求同学们掌握扇形旳面积公式、13、如图,点A、B、C在一次函数y=﹣2x+m旳图象上,它们旳横坐标依次为﹣1、1、2,分别过这些点作x轴与y轴旳垂线,那么图中阴影部分旳面积旳和是3、【分析】此题能够利用A、B、C以及直线与y轴交点这4个点旳坐标来分别计算阴影部分旳面积,可将m看做一个常量、【解答】解:如下图,将A、B、C旳横坐标代入到一次函数中;解得A〔﹣1,m+2〕,B〔1,m﹣2〕,C〔2,m﹣4〕、由一次函数旳性质可知,三个阴影部分三角形全等,底边长为2﹣1=1,高为〔m﹣2〕﹣〔m﹣4〕=2,可求旳阴影部分面积为:S=×1×2×3=3、因此应填:3、【点评】此题中阴影是由3个全等直角三角形组成,解题过程中只要计算其中任意一个即可、同时,还可把未知量m当成一个常量来看、14、如图,在平面直角坐标系中,抛物线y=a〔x﹣1〕2+k〔a、k为常数〕与x轴交于点A、B,与y轴交于点C,CD∥x轴,与抛物线交于点D、假设点A旳坐标为〔﹣1,0〕,那么线段OB与线段CD旳长度和为5、【分析】首先求出抛物线y=a〔x﹣1〕2+k〔a、k为常数〕旳对称轴,然后依照A和B、C和D均关于对称轴直线x=1对称,分别求出B和D点旳坐标,即可求出OB和CD旳长、【解答】解:∵抛物线y=a〔x﹣1〕2+k〔a、k为常数〕,∴对称轴为直线x=1,∵点A和点B关于直线x=1对称,且点A〔﹣1,0〕,∴点B〔3,0〕,∴OB=3,∵C点和D点关于x=1对称,且点C〔0,a+k〕,∴点D〔2,a+k〕,∴CD=2,∴线段OB与线段CD旳长度和为5,故【答案】为5、【点评】此题要紧考查了抛物线与x轴交点旳知识,解答此题旳关键求出抛物线y=a〔x﹣1〕2+k〔a、k为常数〕旳对称轴为x=1,此题难度不大、【三】解答题〔共10小题,总分值78分〕15、解方程:x2+4x﹣7=0、【分析】首先把方程移项,然后在方程旳左右两边同时加上一次项系数一半旳平方,左边确实是完全平方式,右边确实是常数,然后利用平方根旳定义即可求解、【解答】解:x 2+4x ﹣7=0,移项得,x 2+4x=7,配方得,x 2+4x+4=7+4,〔x+2〕2=11,解得x+2=±,即x 1=﹣2+,x 2=﹣2﹣【点评】此题要紧考查了配方法解一元二次方程旳知识,配方法旳一般步骤:〔1〕把常数项移到等号旳右边;〔2〕把二次项旳系数化为1;〔3〕等式两边同时加上一次项系数一半旳平方、选择用配方法解一元二次方程时,最好使方程旳二次项旳系数为1,一次项旳系数是2旳倍数、16、在一个不透明旳箱子中装有3个小球,分别标有A ,B ,C 、这3个小球除所标字母外,其它都相同、从箱子中随机地摸出一个小球,然后放回;再随机地摸出一个小球、请你用画树形图〔或列表〕旳方法,求两次摸出旳小球所标字不同旳概率、【分析】依据题意画树状图法分析所有可能旳出现结果即可解答、【解答】解:如下图:P 〔两次摸出旳小球所标字母不同〕==、【点评】此题要紧考查旳是用列表法或树状图法求概率、列表法能够不重复不遗漏旳列出所有可能旳结果,适合于两步完成旳事件;用到旳知识点为:概率=所求情况数与总情况数之比、17、为了了解我校开展旳“养成好适应,幸福一辈子”旳活动情况,对部分学生进行了调查,其中一个问题是:“关于那个活动你旳态度是什么?”共有4个选项:A 、专门支持B 、支持C 、无所谓D 、反感依照调查结果绘制了两幅不完整旳统计图、请你依照以上信息解答以下问题:〔1〕计算本次调查旳学生人数和图〔2〕选项C旳圆心角度数;〔2〕请依照〔1〕中选项B旳部分补充完整;〔3〕假设我校有5000名学生,你可能我校可能有多少名学生持反感态度、【分析】〔1〕由A旳人数除以占旳百分比得到调查学生人数,求出选项C及B占旳百分比,乘以360°即可;〔2〕求出选项B旳学生数,补全条形统计图即可;〔3〕依照选项D旳百分比乘以5000即可得到结果、【解答】解:〔1〕依照题意得:60÷30%=200〔名〕,30÷200×360°=54°,那么本次调查旳学生人数为200名,图〔2〕选项C旳圆心角度数为54°;〔2〕选项B旳人数为200﹣〔60+30+10〕=100〔名〕,补全条形统计图,如图〔1〕所示,〔3〕依照题意得:5000×5%=250〔名〕,那么可能我校可能有250名学生持反感态度、【点评】此题考查了条形统计图,扇形统计图,以及用样本可能总体,弄清题中旳数据是解此题旳关键、18、为落实国务院房地产调控政策,使“居者有其屋”,长春市加快了廉租房旳建设力度,2018年市政府共投资2亿元人民币建设路廉租房8万平方米,可能到2018年底三年共累计投资9.5亿元人民币建设廉租房,假设在这两年内每年投资旳增长率相同,试求出市政府投资旳增长率、【分析】首先设每年市政府投资旳增长率为x、依照到2018年底三年共累计投资9.5亿元人民币建设廉租房,列方程求解、【解答】解:设每年市政府投资旳增长率为x,依照题意,得:2+2〔1+x〕+2〔1+x〕2=9.5,整理,得:x2+3x﹣1.75=0,解得:x1=0.5,x2=﹣3.5〔舍去〕、答:每年市政府投资旳增长率为50%、【点评】此题要紧考查了一元二次方程旳实际应用,解题旳关键是掌握增长率问题中旳一般公式为a〔1+x〕n,其中n为共增长了几年,a为第一年旳原始数据,x是增长率、19、如图,AB是⊙O旳直径,P为⊙O外一点,且OP∥BC,∠P=∠BAC、〔1〕求证:PA为⊙O旳切线;〔2〕假设OB=5,OP=,求AC旳长、【分析】〔1〕欲证明PA为⊙O旳切线,只需证明OA⊥AP;〔2〕通过相似三角形△ABC∽△PAO旳对应边成比例来求线段AC旳长度、【解答】〔1〕证明:∵AB是⊙O旳直径,∴∠ACB=90°,∴∠BAC+∠B=90°、又∵OP∥BC,∴∠AOP=∠B,∴∠BAC+∠AOP=90°、∵∠P=∠BAC、∴∠P+∠AOP=90°,∴由三角形内角和定理知∠PAO=90°,即OA⊥AP、又∵OA是旳⊙O旳半径,∴PA为⊙O旳切线;〔2〕解:由〔1〕知,∠PAO=90°、∵OB=5,∴OA=OB=5、又∵OP=,∴在直角△APO中,依照勾股定理知PA==,由〔1〕知,∠ACB=∠PAO=90°、∵∠BAC=∠P,∴△ABC∽△POA,∴=、∴=,解得AC=8、即AC旳长度为8、【点评】此题考查旳知识点有切线旳判定与性质,三角形相似旳判定与性质,得到两个三角形中旳两组对应角相等,进而得到两个三角形相似,是解答〔2〕题旳关键、20、如图,在直角坐标系中,矩形OABC旳顶点O与坐标原点重合,A、C分别在坐标轴上,点B旳坐标为〔4,2〕,直线y=﹣x+3交AB,BC分别于点M,N,反比例函数y=旳图象通过点M,N、〔1〕求反比例函数旳【解析】式;〔2〕假设点P在y轴上,且△OPM旳面积与四边形BMON旳面积相等,求点P旳坐标、【分析】〔1〕求出OA=BC=2,将y=2代入y=﹣x+3求出x=2,得出M旳坐标,把M旳坐标代入反比例函数旳【解析】式即可求出【答案】;〔2〕求出四边形BMON旳面积,求出OP旳值,即可求出P旳坐标、【解答】解:〔1〕∵B〔4,2〕,四边形OABC是矩形,∴OA=BC=2,将y=2代入y=﹣x+3得:x=2,∴M 〔2,2〕,把M 旳坐标代入y=得:k=4,∴反比例函数旳【解析】式是y=;〔2〕把x=4代入y=得:y=1,即CN=1,∵S 四边形BMON =S 矩形OABC ﹣S △AOM ﹣S △CON=4×2﹣×2×2﹣×4×1=4,由题意得:OP ×AM=4,∵AM=2,∴OP=4,∴点P 旳坐标是〔0,4〕或〔0,﹣4〕、【点评】此题考查了用待定系数法求反比例函数旳【解析】式,一次函数与反比例函数旳交点问题,三角形旳面积,矩形旳性质等知识点旳应用,要紧考查学生应用性质进行计算旳能力,题目比较好,难度适中、21、甲、乙两工程队维修同一段路面,甲队先清理路面,乙队在甲队清理后铺设路面、乙队在中途停工了一段时刻,然后按停工前旳工作效率接着工作、在整个工作过程中,甲队清理完旳路面长y 〔米〕与时刻x 〔时〕旳函数图象为线段OA ,乙队铺设完旳路面长y 〔米〕与时刻x 〔时〕旳函数图象为折线BC ﹣CD ﹣DE ,如下图,从甲队开始工作时计时、 〔1〕分别求线段BC 、DE 所在直线对应旳函数关系式、〔2〕当甲队清理完路面时,求乙队铺设完旳路面长、【分析】〔1〕先求出乙队铺设路面旳工作效率,计算出乙队完成需要旳时刻求出E 旳坐标,再由待定系数法就能够求出结论、〔2〕由〔1〕旳结论求出甲队完成旳时刻,把时刻代入乙旳【解析】式就能够求出结论、【解答】解:〔1〕设线段BC 所在直线对应旳函数关系式为y=k 1x+b 1、∵图象通过〔3,0〕、〔5,50〕,∴∴线段BC 所在直线对应旳函数关系式为y=25x ﹣75、设线段DE 所在直线对应旳函数关系式为y=k 2x+b 2、∵乙队按停工前旳工作效率为:50÷〔5﹣3〕=25,∴乙队剩下旳需要旳时刻为:÷25=,∴E 〔,160〕,∴,解得:∴线段DE 所在直线对应旳函数关系式为y=25x ﹣112.5、〔2〕由题意,得甲队每小时清理路面旳长为100÷5=20,甲队清理完路面旳时刻,x=160÷20=8、把x=8代入y=25x ﹣112.5,得y=25×8﹣112.5=87.5、答:当甲队清理完路面时,乙队铺设完旳路面长为87.5米、【点评】此题考查了待定系数法求一次函数旳【解析】式旳运用,工作总量=工作效率×工作时刻旳运用,解答时求出函数旳【解析】式是关键、22、如图,抛物线y=ax 2+bx 〔a ≠0〕通过A 〔﹣2,0〕,B 〔﹣3,3〕,顶点为C 、 〔1〕求抛物线旳【解析】式;〔2〕求点C 旳坐标;〔3〕假设点D 在抛物线上,点E 在抛物线旳对称轴上,且以A 、O 、D 、E 为顶点旳四边形是平行四边形,直截了当写出点D 旳坐标、【分析】〔1〕利用待定系数法即可直截了当求得二次函数旳【解析】式;〔2〕把二次函数化成顶点式旳形式即可求得C旳坐标;〔3〕分成OA是平行四边形旳一边和OA是平行四边形旳对角线两种情况进行讨论,依照平行四边形旳性质即可求解、【解答】解:〔1〕依照题意得:,解得:,那么抛物线旳【解析】式是y=x2+2x;〔2〕y=x2+2x=〔x+1〕2﹣1,那么C旳坐标是〔﹣1,﹣1〕;〔3〕抛物线旳对称轴是x=﹣1,当OA是平行四边形旳一边时,D和E一定在x轴旳上方、OA=2,那么设E旳坐标是〔﹣1,a〕,那么D旳坐标是〔﹣3,a〕或〔1,a〕、把〔﹣3,a〕代入y=x2+2x得a=9﹣6=3,那么D旳坐标是〔﹣3,3〕或〔1,3〕,E旳坐标是〔﹣1,3〕;当OA是平行四边形旳对角线时,D一定是顶点,坐标是〔﹣1,﹣1〕,那么E旳坐标是D旳对称点〔﹣1,1〕、【点评】此题是二次函数与平行四边形旳综合题,正确对平行四边形进行讨论是关键、23、某种水果旳批发单价与批发量旳函数关系如图〔1〕所示、〔1〕请说明图〔1〕中①、②两段函数图象旳实际意义、〔2〕写出批发该种水果旳资金金额w〔元〕与批发量m〔kg〕之间旳函数关系式;在图〔2〕中旳坐标系中画出该函数图象;指出金额在什么范围内,以同样旳资金能够批发到较多数量旳该种水果、〔3〕经调查,某经销商销售该种水果旳日最高销量y〔kg〕与零售价x〔元〕之间旳函数关系为反比例函数关系,如图〔3〕所示,该经销商拟每日售出不低于64kg该种水果,且当日零售价不变,请你关心该经销商设计每日进货和销售旳方案,使得日获得旳利润z〔元〕最大、【分析】〔1〕〔2〕中要注意变量旳不同旳取值范围;〔3〕可依照图中给出旳信息,用待定系数旳方法来确定函数、然后依照函数旳特点来推断所要求旳值、【解答】解:〔1〕当批发量在20kg到60kg时,单价为5元/kg当批发量大于60kg时,单价为4元/kg…〔2〕当20≤m≤60时,w=5m当m>60时,w=4m……当240<w≤300时,同样旳资金能够批发到更多旳水果、…〔3〕设反比例函数为那么,k=480,即反比列函数为∵y≥64,∴x≤7.5,∴z=〔x﹣4〕=480﹣∴当x=7.5时,利润z最大为224元、【点评】要紧考查分段函数、一次函数、二次函数旳性质和应用,难点在于分段函数不熟、24、如图,在菱形ABCD中,AB=6,∠ABC=60°,动点E、F同时从顶点B动身,其中点E从点B向点A以每秒1个单位旳速度运动,点F从点B动身沿B﹣C﹣A旳路线向终点A以每秒2个单位旳速度运动,以EF为边向上〔或向右〕作等边三角形EFG,AH是△ABC中BC边上旳高,两点运动时刻为t秒,△EFG和△AHC旳重合部分面积为S、〔1〕用含t旳代数式表示线段CF旳长;〔2〕求点G落在AC上时t旳值;〔3〕求S关于t旳函数关系式;〔4〕动点P在点E、F动身旳同时从点A动身沿A﹣H﹣A以每秒2单位旳速度作循环往复运动,当点E、F到达终点时,点P随之运动,直截了当写出点P在△EFG内部时t旳取值范围、【分析】〔1〕由菱形旳性质得出BC=AB=6得出CF=BC﹣BF=6﹣2t即可;〔2〕由菱形旳性质和条件得出△ABC 是等边三角形,得出∠ACB=60°,由等边三角形旳性质和三角函数得出∠GFE=60°,GF=EF=BF •sin60°=t ,证出∠GEC=90°,由三角函数求出CF==t ,由BF+CF=BC 得出方程,解方程即可;〔3〕分两种情况:①0<t <时,S=0;②当<t ≤2时,S=S △EFG ﹣S △MEN ,即可得出结果;③当2<t ≤3时,由①旳结果容易得出结论;〔4〕由题意得出t=时,点P 与H 重合,E 与H 重合,得出点P 在△EFG 内部时,t 旳不等式,解不等式即可、【解答】解:〔1〕依照题意得:BF=2t ,∵四边形ABCD 是菱形,∴BC=AB=6,∴CF=BC ﹣BF=6﹣2t ;〔2〕点G 落在线段AC 上时,如图1所示:∵四边形ABCD 是菱形,∴AB=BC ,∵∠ABC=60°,∴△ABC 是等边三角形,∴∠ACB=60°,∵△EFG 是等边三角形,∴∠GFE=60°,GE=EF=BF •sin60°=t , ∵EF ⊥AB ,∴∠BFE=90°﹣60°=30°,∴∠GFB=90°,∴∠GFC=90°,∴CF==t , ∵BF+CF=BC ,∴2t+t=6,解得:t=2;〔3〕分三种情况:①当0<t ≤时,S=0;②当<t ≤2时,如图2所示,S=S △EFG ﹣S △MEN =×〔t 〕2﹣××〔﹣+2〕2=t 2+t ﹣3,即S=t 2+t ﹣3; ③当2<t ≤3时,如图3所示:S=t 2+t ﹣3﹣〔3t ﹣6〕2,即S=﹣t 2+t ﹣;〔4〕∵AH=AB •sin60°=6×=3,∴3÷2=,∴3÷2=,∴t=时,点P 与H 重合,E 与H 重合,∴点P 在△EFG 内部时,﹣<〔t ﹣〕×2<t ﹣〔2t ﹣3〕+〔2t ﹣3〕,解得:<t <;即:点P 在△EFG 内部时t 旳取值范围为:<t <、 【点评】此题是四边形综合题,要紧考查了菱形旳性质、等边三角形旳判定与性质、三角函数、三角形面积旳计算等知识;此题综合性强,难度较大,专门是〔3〕中,需要进行分类讨论才能得出结果2016年9月19日。
长春市2019-2020学年九年级上学期数学期末考试试卷C卷姓名:________ 班级:________ 成绩:________一、单项选择题(共10个小题,每小题3分,满分30分) (共10题;共30分)1. (3分)(2016·徐州) 下列图案中,是轴对称图形但不是中心对称图形的是()A .B .C .D .2. (3分) 2018(第七届)绵阳之春国际车展将于2018年4月18日-22日在绵阳国际会展中心盛大举行。
某品牌汽车为了推广宣传,特举行“趣味答题闯关赢大奖”活动,参与者需连续闯过三关方能获得终极大奖。
已知闯过第一关的概率为0.8,连续闯过两关的概率为0.5,连续闯过三关的概率为0.3,已经连续闯过两关的参与者获得终极大奖的概率为()A .B .C .D .3. (3分) (2017九上·桂林期中) 下列方程中,是一元二次方程的是()A . x+3=0B . x2﹣3y=0C . x2﹣2x+1=0D . x﹣ =04. (3分)已知P(x,y)→P1(x-2,y+1)表示点P到点P1的平移过程,则下列叙述中正确的是()A . 点P右移2个单位长度,下移1个单位长度B . 点P左移2个单位长度,下移1个单位长度C . 点P右移2个单位长度,上移1个单位长度D . 点P左移2个单位长度,上移1个单位长度5. (3分)在同样的条件下对某种小麦种子进行发芽试验,统计发芽种子数,获得如下频数表,由表估计该麦种的发芽概率是()试验种子数n(粒)5020050010003000发芽频数m451884769512850发芽频率0.90.940.9520.9510.95A . 0.8B . 0.9C . 0.95D . 16. (3分) (2019八下·大庆期中) 已知关于的方程,下列说法正确是()A . 当时,方程无解B . 当时,方程有一个实数解C . 当时,方程有两个相等的实数解D . 当时,方程总有两个不相等的实数解7. (3分)当x=﹣2时,下列不等式不成立的是()A . x﹣5<﹣6B . x+2>0C . 3+2x>6D . 2(x﹣2)<﹣78. (3分)(2017·灌南模拟) 如图,AB是半圆O直径,半径OC⊥AB,连接AC,∠CAB的平分线AD分别交OC于点E,交于点D,连接CD、OD,以下三个结论:①AC∥OD;②AC=2CD;③线段CD是CE与CO的比例中项,其中所有正确结论的序号是()A . ①②B . ①③C . ②③D . ①②③9. (3分) (2019九上·温州月考) 一个圆的内接正多边形中,一边所对的圆心角为72°,则该正多边形的边数是()A . 6B . 5C . 4D . 310. (3分) (2018九上·杭州期末) 已知二次函数,当>1时,y随x的增大而增大,给出下列结论:①抛物线开口向上;②抛物线与坐标轴必有3个交点;③ ,则正确的有()A . ①②③B . ①②C . ①③D . ②③二、填空题(共7个小题,每小题4分,满分28分) (共7题;共26分)11. (2分)方程3(x﹣5)2=2(x﹣5)的根是________12. (4分)已知α、β是关于x的一元二次方程x2+(2m+3)x+m2=0的两个不相等的实数根,且满足=-1,则m的值是________13. (4分)(2018·哈尔滨) 一枚质地均匀的正方体骰子,骰子的六个面上分別刻有1到6的点数,张兵同学掷一次骰子,骰子向上的一面出现的点数是3的倍数的概率是________.14. (4分)(2017·黄冈) 已知:如图,在△AOB中,∠AOB=90°,AO=3cm,BO=4cm.将△AOB绕顶点O,按顺时针方向旋转到△A1OB1处,此时线段OB1与AB的交点D恰好为AB的中点,则线段B1D=________cm.15. (4分) (2019九上·汕头期末) 如图,等边三角形ABC内接于⊙O,点D是弧ACB上的一个动点(不与点A、B重合).连接BD.过点A作AE⊥BD,垂足为E,连接CE.若⊙O的半径为2cm,则CE长的最小值为________cm.16. (4分) (2016九上·北区期中) 一个小球向斜上方抛出,它的行进高度y(单位:m)与水平距离x(单位:m)之间的关系是y=﹣x2+4x+1,则小球能到达的最大高度是________m.17. (4分) (2018九上·滨州期中) 如图,在△ABC中,∠ACB=90°,AC=BC=2,将△ABC绕AC的中点D逆时针旋转90°得到△A´B´C´,其中点B的运动路径为,则图中阴影部分的面积为________.三、解答题(一)(共3个小题,每小题6分,满分18分) (共3题;共14分)18. (2分) (2017八下·福州期中) 解方程:(1) .(用配方法)(2)19. (6分) (2017九上·宝坻月考) 如图,已知点A,B的坐标分别为(0,0)、(2,0),将△ABC绕C点按顺时针方向旋转90°得到△A1B1C.(1)画出△A1B1C;(2) A的对应点为A1,写出点A1的坐标;(3)求出BB1的长.(直接作答)20. (6分) (2017九上·黄石期中) 如图,AB是⊙O的直径,弦CD⊥AB,垂足为E,如果AB=20,CD=16,求线段OE的长.四、解答题(二)(共3个小题,每小题8分,满分24分) (共3题;共24分)21. (8分)下图是小明和小颖共同设计的自由转动的转盘,转盘被等分成10份,上面写有10个有理数.转动转盘,当转盘停止转动时,(1)求指针指向正数的概率;(2)求指针指向偶数的概率;(3)若指针指向绝对值小于6的数,则小明胜,指针指向其他数,则小颖胜,这个游戏对双方公平吗?说明理由.22. (8分) (2016九上·港南期中) 解答(1) 7x(5x+2)=6(5x+2)(2)关于x的一元二次方程x2+3x+m﹣1=0有两个实数根,求m的取值范围.23. (8分)某小区在绿化工程中有一块长为20m、宽为8m的矩形空地,计划在其中修建两块相同的矩形绿地,使它们的面积之和为56m2 ,两块绿地之间及周边留有宽度相等的人行通道(如图所示),求人行通道的宽度.五、解答题(三)(共2个小题,每小题10分,满分20分) (共2题;共20分)24. (10.0分)(2013·湛江) 如图,已知AB是⊙O的直径,P为⊙O外一点,且OP∥BC,∠P=∠BAC.(1)求证:PA为⊙O的切线;(2)若OB=5,OP= ,求AC的长.25. (10.0分) (2017九上·北京月考) 如图①,已知抛物线(a≠0)与轴交于点A(1,0)和点B(-3,0),与y轴交于点C.(1)求抛物线的解析式;(2)设抛物线的对称轴与轴交于点M,问在对称轴上是否存在点P,使△CMP为等腰三角形?若存在,请直接写出所有符合条件的点P的坐标;若不存在,请说明理由.(3)如图②,若点E为第二象限抛物线上一动点,连接BE、CE,求四边形BOCE面积的最大值,并求此时E 点的坐标.参考答案一、单项选择题(共10个小题,每小题3分,满分30分) (共10题;共30分) 1-1、2-1、3-1、4-1、5-1、6-1、7-1、8-1、9-1、10-1、二、填空题(共7个小题,每小题4分,满分28分) (共7题;共26分)11-1、12-1、13-1、14-1、15-1、16-1、17-1、三、解答题(一)(共3个小题,每小题6分,满分18分) (共3题;共14分) 18-1、18-2、19-1、19-2、19-3、20-1、四、解答题(二)(共3个小题,每小题8分,满分24分) (共3题;共24分) 21-1、21-2、21-3、22-1、22-2、23-1、五、解答题(三)(共2个小题,每小题10分,满分20分) (共2题;共20分) 24-1、24-2、25-1、25-2、25-3、。
长春市2019-2020年度九年级上学期期末数学试题A卷姓名:________ 班级:________ 成绩:________一、单选题1 . 如图,⊙O内切于Rt△ABC,点P、点Q分别在直角边BC、斜边AB上,PQ⊥AB,且PQ与⊙O相切,若AC =2PQ,则tan∠B的值为()A.B.C.D.2 . 如图,点分别是反比例函数与正比例函数的交点,过点作轴的垂线,垂足为,线段与直线交于点,若的面积为,点为线段的三等分点,则的值为()B.C.D.A.3 . 如图,在△ABC中,∠ACB=90°,AC=8,AB=10,DE垂直平分AC交AB于点E,则DE的长为()A.3B.4C.5D.64 . 下列图形是中心对称图形而不是轴对称图形的是()A.B.C.D.5 . 将函数y=3x2的图象如何变换可以得到抛物线y=3(x+1)2-4的图象()A.先向右平移1个单位长度,再向上平移4个单位长度B.先向左平移1个单位长度,再向上平移4个单位长度C.先向右平移1个单位长度,再向下平移4个单位长度D.先向左平移1个单位长度,再向下平移4个单位长度6 . 如图,在平面直角坐标系中,将正方形OABC绕点O逆时针旋转45°后得到正方形OA1B1C1,依此方式,绕点O连续旋转2019次得到正方形OA2019B2019C2019,如果点A的坐标为(1,0),那么点B2019的坐标为()A.B.C.(1,1)D.(﹣1,1)7 . 矩形OABC在平面直角坐标系中的位置如图所示,已知,点A在x轴上,点C在y轴上,P是对角线OB上一动点(不与原点重合),连接PC,过点P作,交x轴于点D.下列结论:①;②当点D运动到OA的中点处时,;③在运动过程中,是一个定值;④当△ODP为等腰三角形时,点D的坐标为.其中正确结论的个数是()A.1个B.2个C.3个 D. 4个8 . 一个圆锥,它的主视图是一个正三角形,则这个圆锥的侧面展开图的圆心角度数是()A.60°B.90°C.120°D.180°9 . 下列说法正确的是()A.袋中有形状、大小、质地完全一样的5个红球和1个白球,从中随机抽出一个球,一定是红球B.天气预报“明天降水概率10%”,是指明天有10%的时间会下雨C.某地发行一种福利彩票,中奖率是千分之一,那么,买这种彩票1000张,一定会中奖D.连续掷一枚均匀硬币,若5次都是正面朝上,则第六次仍然可能正面朝上10 . 如果关于x的方程ax2+x﹣1=0有两个实数根,则a的取值范围是()A.a B.a C.a且a≠0D.a且a≠0二、填空题11 . 汽车刹车后行驶的距离(米)与行驶的时间(秒)函数关系式是,汽车刹车后停下来前进了________米.12 . 已知点(1,3)在函数的图象上,正方形的边在轴上,点是对角线的中点,函数的图象又经过、两点,则点的横坐标为__________.13 . 如图,正方形中,已知,点,分别在、上,且,,则的面积为________.14 . 关于x的函数y=ax2+(a+2)x+a+1的图象与x轴只有一个公共点,则实数a的值为_____.15 . 如图,AB是半圆O的直径,AB=12,AC为弦,OD⊥AC于D,OE∥AC交半圆O于点E,EF⊥AB于F,若BF=3,则AC的长为__.三、解答题16 . 如图,直线y=ax+b与x轴交于点A(4,0),与y轴交于点B(0,﹣2),与反比例函数y=(x>0)的图象交于点C(6,m).(1)求直线和反比例函数的表达式;(2)连接OC,在x轴上找一点P,使△OPC是以OC为腰的等腰三角形,请求出点P的坐标;(3)结合图象,请直接写出不等式≥ax+b的解集.17 . 如图,某小学门口有一直线马路,交警在门口设有一条宽度为4米的斑马线,为安全起见,规定车头距斑马线后端的水平距离不得低于2米,现有一旅游车在路口遇红灯刹车停下,汽车里司机与斑马线前后两端的视角分别为∠FAE=15°和∠FAD=30°,司机距车头的水平距离为0.8米,试问该旅游车停车是否符合上述安全标准?(E,D,C,B四点在平行于斑马线的同一直线上)(参考数据:tan15°=2-,≈1.732,≈1.414)18 . 如图,已知抛物线y=ax2+bx+4(a≠0)的对称轴为直线x=3,抛物线与x轴相交于A,B两点,与y轴相交于点C,已知点B的坐标为(8,0).(1)求抛物线的解析式;(2)点M为线段BC上方抛物线上的一点,点N为线段BC上的一点,若MN∥y轴,求MN的最大值;(3)在抛物线的对称轴上是否存在点Q使得△ACQ为等腰三角形?若存在,请直接写出符合点Q的坐标;若不存在,请说明理由.19 . 如图,平面直角坐标系xOy中,Rt△AOB的直角边OA在x轴的正半轴上,点B在第一象限,并且AB=3,OA=6,将△AOB绕点O逆时针旋转90度得到△COA.点P从点C出发(不含点C),沿射线DC方向运动,记过点D,P,B的抛物线的解析式为y=ax2+bx+c(a<0).(1)直接写出点D的坐标;(2)在直线CD的上方是否存在一点Q,使得点D,O,P,Q四点构成的四边形是菱形,若存在,求出P与Q 的坐标;(3)当点P运动到∠DOP=45度时,求抛物线的对称轴;(4)求代数式a+b+c的值的取值范围(直接写出答案即可).20 . 数学课堂上,为了学习构成任意三角形三边需要满足的条件.甲组准备3根本条,长度分别是3cm、8cm、13cm;乙组准备3根本条,长度分别是4cm、6cm、12cm.老师先从甲组再从乙组分别随机抽出一根本条,放在一起组成一组.(1)用画树状图法(或列表法)分析,并列出各组可能.(画树状图或列表及列出可能时不用写单位)(2)现在老师也有一根本条,长度为5cm,与(1)中各组本条组成三角形的概率是多少?21 . 如图,AB为半圆O的直径,AC是⊙O的一条弦,D为的中点,作DE⊥AC,交AB的延长线于点F,连接DA.(1)求证:EF为半圆O的切线;(2)若DA=DF=6,求阴影区域的面积.(结果保留根号和π)22 . 解方程(2x+1)2=3(2x+1)。
人教版数学九年级上册期末考试试题【含答案】一、选择区:每小题3分,共30分1.如图,⊙O是正五边形ABCDE的外接圆,则正五边形的中心角∠AOB的度数是()A.72°B.60°C.54°D.36°2.有一条弧的长为2πcm,半径为2cm,则这条弧所对的圆心角的度数是()A.90°B.120°C.180°D.135°3.下列事件是必然事件的是()A.n边形的每个内角都相等B.同位角相等C.分式方程有增根D.三角形内角和等于180°4.用2、3、4三个数字排成一个三位数,则排出的数是偶数的概率为()A.B.C.D.5.如图,点P是▱ABCD边AB上的一点,射线CP交DA的延长线于点E,则图中相似的三角形有()A.0对B.1对C.2对D.3对6.如图,在△ABC中,D,E分别是AB和AC上的点,且DE∥BC,=,DE=10,则BC的长为()A.16B.14C.12D.117.已知点A(﹣2,y1),B(3,y2)是反比例函数y=(k<0)图象上的两点,则有()A.y1<0<y2B.y2<0<y1C.y1<y2<0D.y2<y1<08.函数y=ax2﹣a与y=(a≠0)在同一直角坐标系中的图象可能是()A.B.C.D.9.对于反比例函数y=(k≠0),下列所给的四个结论中,正确的是()A.若点(2,4)在其图象上,则(﹣2,4)也在其图象上B.当k>0时,y随x的增大而减小C.过图象上任一点P作x轴、y轴的垂线,垂足分别A、B,则矩形OAPB的面积为kD.反比例函数的图象关于直线y=x和y=﹣x成轴对称10.如图,D是等边△ABC边AB上的一点,且AD:DB=1:2,现将△ABC折叠,使点C 与D重合,折痕为EF,点E,F分别在AC和BC上,则CE:CF=()A.B.C.D.二、填空题:每小题3分,共24分11.正六边形的外接圆的半径与内切圆的半径之比为.12.若△ABC∽△A′B′C′,且△ABC与△A′B′C′的面积之比为1:3,则相似比为.13.在一个不透明的口袋中装有5个红球和若干个白球,它们除颜色外其他完全相同,通过多次摸球实验后发现,摸到红球的频率稳定在0.25附近,则估计口袋中白球大约有个.14.已知圆锥的底面圆半径为3,母线长为5,则圆锥的全面积是.15.如图,在平面直角坐标系中,已知点O(0,0),A(6,0),B(0,8),以某点为位似中心,作出△AOB的位似△CDE,则位似中心的坐标为.16.如图,⊙O的半径为6cm,B为⊙O外一点,OB交⊙O于点A且OA=AB,动点P从点A出发,以2πcm/s的速度在⊙O上按逆时针方向运动一周回到点A立即停止,当点P 运动的时间为s时,BP与⊙O相切.17.如图,在正方形ABCD中,AB=2,点E为AB的中点,AF⊥DE于点O,则AO=.18.如图,将△ABC放在每个小正方形的边长为1的网格中,点A,点B,点C均落在格点上.(I)计算AB的长等于.(Ⅱ)请在如图所示的网格中,用无刻度的直尺,画出一个△ADE,使△ADE~△ABC,且满足点D在AC边上,点E在AB边上,AE=2.简要说明画图方法(不要求证明).三、解答题;本大题共6个小题,共46分19.(5分)一定质量的氧气,它的密度ρ(kg/m3)是它的体积V(m3)的反比例函数,当V=10m3时,ρ=1.43kg/m3.(1)求ρ与V的函数关系式;(2)求当V=2m3时求氧气的密度ρ.20.(6分)现有两组相同的扑克牌,每组两张,两张牌的牌面数字分别是2和3,从每组牌中各随机摸出一张牌,称为一次试验.(1)小红与小明用一次试验做游戏,如果摸到的牌面数字相同小红获胜,否则小明获胜,请用列表法或画树状图的方法说明这个游戏是否公平?(2)小丽认为:“在一次试验中,两张牌的牌面数字和可能为4、5、6三种情况,所以出现‘和为4’的概率是”,她的这种看法是否正确?说明理由.21.(7分)如图,为了计算河两岸间的宽度,我们在河对岸的岸边选定一个目标作为点A,再在河岸的这一边选点B和点C,使AB⊥BC,然后再选点E,使EC⊥BC,BC与AE 的交点为D.测得BD=120米,DC=60米,EC=50米,请求出两岸之间AB的距离.22.(8分)如图,AB⊥BC,DC⊥BC,E是BC上一点,且AE⊥DE.(I)求证:△ABE∽△ECD;(Ⅱ)若AB=4,AE=BC=5,求ED的长.23.(10分)如图,在△ABC中,∠C=90°,AB=10,AC=8,将线段AB绕点A按逆时针方向旋转90°到线段AD.△EFG由△ABC沿CB方向平移得到,且直线EF过点D.(I)求∠1的大小.(Ⅱ)求AE的长.24.(10分)如图,在平面直角坐标系xOy中,反比例函数y=的图象与一次函数y=k(x ﹣2)的图象交点为A(3,2),B(x,y).(1)求反比例函数与一次函数的解析式及B点坐标;(2)若C是y轴上的点,且满足△ABC的面积为10,求C点坐标.参考答案一、选择1.如图,⊙O是正五边形ABCDE的外接圆,则正五边形的中心角∠AOB的度数是()A.72°B.60°C.54°D.36°【分析】由圆周角定理知,∠AOB=360°÷5=72°.解:∵⊙O是正五边形ABCDE的外接圆,∴∠AOB=360°÷5=72°.故选:A.【点评】本题考查了圆周角定理,由等弧所对的圆心角相等来解决问题.2.有一条弧的长为2πcm,半径为2cm,则这条弧所对的圆心角的度数是()A.90°B.120°C.180°D.135°【分析】根据弧长公式:l=(弧长为l,圆心角度数为n,圆的半径为R),代入即可求出圆心角的度数.解:由题意得,2π=,解得:n=180.即这条弧所对的圆心角的度数是180°.故选:C.【点评】本题考查了弧长的计算,解答本题关键是熟练掌握弧长的计算公式,及公式字母表示的含义.3.下列事件是必然事件的是()A.n边形的每个内角都相等B.同位角相等C.分式方程有增根D.三角形内角和等于180°【分析】必然事件就是一定发生的事件,即发生的概率是1的事件.解:A.n边形的每个内角都相等是随机事件;B.同位角相等是随机事件;C.分式方程有增根是随机事件;D.三角形内角和等于180°是必然事件;故选:D.【点评】本题考查的是对必然事件的概念的理解.解决此类问题,要学会关注身边的事物,并用数学的思想和方法去分析、看待、解决问题,提高自身的数学素养.用到的知识点为:必然事件指在一定条件下一定发生的事件.不确定事件即随机事件是指在一定条件下,可能发生也可能不发生的事件.4.用2、3、4三个数字排成一个三位数,则排出的数是偶数的概率为()A.B.C.D.【分析】首先利用列举法可得:用2,3,4三个数字排成一个三位数,等可能的结果有:234,243,324,342,423,432;且排出的数是偶数的有:234、324、342、432,然后直接利用概率公式求解即可求得答案解:∵用2,3,4三个数字排成一个三位数,等可能的结果有:234,243,324,342,423,432;∵排出的数是偶数的有:234、324、342、432;∴排出的数是偶数的概率为:=【点评】此题考查了列举法求概率.用到的知识点为:概率=所求情况数与总情况数之比.5.如图,点P是▱ABCD边AB上的一点,射线CP交DA的延长线于点E,则图中相似的三角形有()A.0对B.1对C.2对D.3对【分析】利用相似三角形的判定方法以及平行四边形的性质得出即可.解:∵四边形ABCD是平行四边形,∴AB∥DC,AD∥BC,∴△EAP∽△EDC,△EAP∽△CBP,∴△EDC∽△CBP,故有3对相似三角形.故选:D.【点评】此题主要考查了相似三角形的判定以及平行四边形的性质,熟练掌握相似三角形的判定方法是解题关键.6.如图,在△ABC中,D,E分别是AB和AC上的点,且DE∥BC,=,DE=10,则BC的长为()A.16B.14C.12D.11【分析】根据已知条件得到,根据相似三角形的性质即可得到结论.解:∵=,∴,∵DE∥BC,∴△ADE∽△ABC,∴=,∴=,∴BC=14,故选:B.【点评】本题主要考查了相似三角形的判定与性质的运用,在判定两个三角形相似时,应注意利用图形中已有的公共角、公共边等隐含条件,以充分发挥基本图形的作用.7.已知点A(﹣2,y1),B(3,y2)是反比例函数y=(k<0)图象上的两点,则有()A.y1<0<y2B.y2<0<y1C.y1<y2<0D.y2<y1<0【分析】先根据函数解析式中的比例系数k确定函数图象所在的象限,再根据各象限内点的坐标特点解答.解:∵反比例函数y=(k<0)中,k<0,∴此函数图象在二、四象限,∵﹣2<0,∴点A(﹣2,y1)在第二象限,∴y1>0,∵3>0,∴B(3,y2)点在第四象限,∴y2<0,∴y1,y2的大小关系为y2<0<y1.故选:B.【点评】此题考查的是反比例函数图象上点的坐标特点及平面直角坐标系中各象限内点的坐标特点,比较简单.8.函数y=ax2﹣a与y=(a≠0)在同一直角坐标系中的图象可能是()A.B.C.D.【分析】本题只有一个待定系数a,且a≠0,根据a>0和a<0分类讨论.也可以采用“特值法”,逐一排除.解:当a>0时,函数y=ax2﹣a的图象开口向上,但当x=0时,y=﹣a<0,故B不可能;当a<0时,函数y=ax2﹣a的图象开口向下,但当x=0时,y=﹣a>0,故C、D不可能.可能的是A.故选:A.【点评】讨论当a>0时和a<0时的两种情况,用了分类讨论的思想.9.对于反比例函数y=(k≠0),下列所给的四个结论中,正确的是()A.若点(2,4)在其图象上,则(﹣2,4)也在其图象上B.当k>0时,y随x的增大而减小C.过图象上任一点P作x轴、y轴的垂线,垂足分别A、B,则矩形OAPB的面积为kD.反比例函数的图象关于直线y=x和y=﹣x成轴对称【分析】根据反比例函数的性质一一判断即可;解:A、若点(2,4)在其图象上,则(﹣2,4)不在其图象上,故本选项不符合题意;B、当k>0时,y随x的增大而减小,错误,应该是当k>0时,在每个象限,y随x的增大而减小;故本选项不符合题意;C、错误,应该是过图象上任一点P作x轴、y轴的线,垂足分别A、B,则矩形OAPB的面积为|k|;故本选项不符合题意;D、正确,本选项符合题意,故选:D.【点评】本题考查反比例函数的性质,解题的关键是熟练掌握反比例函数的性质,灵活运用所学知识解决问题,属于中考常考题型.10.如图,D是等边△ABC边AB上的一点,且AD:DB=1:2,现将△ABC折叠,使点C与D重合,折痕为EF,点E,F分别在AC和BC上,则CE:CF=()A.B.C.D.【分析】借助翻折变换的性质得到DE=CE;设AB=3k,CE=x,则AE=3k﹣x;根据相似三角形的判定与性质即可解决问题.解:设AD=k,则DB=2k,∵△ABC为等边三角形,∴AB=AC=3k,∠A=∠B=∠C=∠EDF=60°,∴∠EDA+∠FDB=120°,又∵∠EDA+∠AED=120°,∴∠FDB=∠AED,∴△AED∽△BDF,∴,设CE=x,则ED=x,AE=3k﹣x,设CF=y,则DF=y,FB=3k﹣y,∴,∴,∴=,∴CE:CF=4:5.故选:B.解法二:解:设AD=k,则DB=2k,∵△ABC为等边三角形,∴AB=AC=3k,∠A=∠B=∠C=∠ED F=60°,∴∠EDA+∠FDB=120°,又∵∠EDA+∠AED=120°,∴∠FDB=∠AED,∴△AED∽△BDF,由折叠,得CE=DE,CF=DF∴△AED的周长为4k,△BDF的周长为5k,∴△AED与△BDF的相似比为4:5∴CE:CF=DE:DF=4:5.故选:B.【点评】主要考查了翻折变换的性质及其应用问题;解题的关键是借助相似三角形的判定与性质(用含有k的代数式表示);对综合的分析问题解决问题的能力提出了较高的要求.二、填空题:木大题共8个小题,每小题3分,共24分11.正六边形的外接圆的半径与内切圆的半径之比为2:.【分析】从内切圆的圆心和外接圆的圆心向三角形的边长引垂线,构建直角三角形,解三角形i可.解:设正六边形的半径是r,则外接圆的半径r,内切圆的半径是正六边形的边心距,因而是r,因而正六边形的外接圆的半径与内切圆的半径之比为2:.故答案为:2:.【点评】考查了正多边形和圆,正多边形的计算一般是通过中心作边的垂线,连接半径,把正多边形中的半径,边长,边心距,中心角之间的计算转化为解直角三角形.12.若△ABC∽△A′B′C′,且△ABC与△A′B′C′的面积之比为1:3,则相似比为1:.【分析】根据相似三角形面积的比等于相似比的平方解答.解:∵△ABC∽△A′B′C′,△ABC与△A′B′C′的面积之比为1:3,∴△ABC与△A′B′C′的相似比为1:.故答案为:1:.【点评】本题考查了相似三角形的性质,是基础题,熟记性质是解题的关键.13.在一个不透明的口袋中装有5个红球和若干个白球,它们除颜色外其他完全相同,通过多次摸球实验后发现,摸到红球的频率稳定在0.25附近,则估计口袋中白球大约有15个.【分析】由摸到红球的频率稳定在0.25附近得出口袋中得到红色球的概率,进而求出白球个数即可.解:设白球个数为:x个,∵摸到红色球的频率稳定在0.25左右,∴口袋中得到红色球的概率为0.25,∴=,解得:x=15,即白球的个数为15个,故答案为:15.【点评】此题主要考查了利用频率估计概率,根据大量反复试验下频率稳定值即概率得出是解题关键.14.已知圆锥的底面圆半径为3,母线长为5,则圆锥的全面积是24π.【分析】首先求得底面周长,即侧面展开图的扇形弧长,然后根据扇形的面积公式即可求得侧面积,即圆锥的侧面积,再求得圆锥的底面积,侧面积与底面积的和就是全面积.解:底面周长是:2×3π=6π,则侧面积是:×6π×5=15π,底面积是:π×32=9π,则全面积是:15π+9π=24π.故答案为:24π.【点评】本题考查了圆锥的计算,正确理解圆锥的侧面展开图与原来的扇形之间的关系是解决本题的关键,理解圆锥的母线长是扇形的半径,圆锥的底面圆周长是扇形的弧长.15.如图,在平面直角坐标系中,已知点O(0,0),A(6,0),B(0,8),以某点为位似中心,作出△AOB的位似△CDE,则位似中心的坐标为(2,2).【分析】直接利用位似图形的性质分别得出位似中心.解:如图所示,点P即为位似中点,其坐标为(2,2),故答案为:(2,2).【点评】此题主要考查了位似变换,正确掌握位似图形的性质是解题关键.16.如图,⊙O的半径为6cm,B为⊙O外一点,OB交⊙O于点A且OA=AB,动点P从点A出发,以2πcm/s的速度在⊙O上按逆时针方向运动一周回到点A立即停止,当点P 运动的时间为1或5s时,BP与⊙O相切.【分析】分为两种情况:求出∠POB的度数,根据弧长公式求出弧AP长,即可求出答案.解:连接OP,∵直线BP与⊙O相切,∴∠OPB=90°,∵AB=OA=OP,∴OB=2OP,∴∠PBO=30°,∴POB=60°,∴弧AP的长是=2π,即时间是2π÷2π=1(秒);当在P′点时,直线BP与⊙O相切,此时优弧APP′的长是=10π,即时间是10π÷2π=5(秒);故答案为1或5.【点评】本题考查了切线的性质,含30度角的直角三角形性质,弧长公式得应用,关键是求出弧AP的长.17.如图,在正方形ABCD中,AB=2,点E为AB的中点,AF⊥DE于点O,则AO=.【分析】首先利用勾股定理求出DE,再利用三角形的面积公式求出OA即可.解:∵四边形ABCD是正方形,∴AD=BC=2,∠DAE=90°,∵AE=EB=1,∴DE==,∵AO⊥DE,∴×DE×AO=×AE×AD,∴AO=.故答案为.【点评】本题考查正方形的性质,勾股定理,三角形的面积等知识,解题的关键是熟练掌握基本知识,属于中考常考题型.18.如图,将△ABC放在每个小正方形的边长为1的网格中,点A,点B,点C均落在格点上.(I)计算AB的长等于5.(Ⅱ)请在如图所示的网格中,用无刻度的直尺,画出一个△ADE,使△ADE~△ABC,且满足点D在AC边上,点E在AB边上,AE=2.简要说明画图方法(不要求证明)取点M,N,连接MN交AC于点D,使得=,取点P,连接PC交AB于点E,使得=,连接DE.△ADE即为所求.【分析】(Ⅰ)根据勾股定理计算即可;(Ⅱ)在AC,AB上分别截取AD=2.5,AE=2即可解决问题;解:(Ⅰ)AB==5.故答案为5.(Ⅱ)如图,取点M,N,连接MN交AC于点D,使得=,取点P,连接PC交AB于点E,使得=,连接DE.△ADE即为所求.故答案为:取点M,N,连接MN交AC于点D,使得=,取点P,连接PC交AB于点E,使得=,连接DE.△ADE即为所求.【点评】本题考查作图﹣应用与设计,勾股定理,相似三角形的性质和判定等知识,解题的关键是熟练掌握基本知识,属于中考常考题型.三、解答题;本大题共6个小题,共46分.解答应写出文字说明、证明过程或演算步19.(5分)一定质量的氧气,它的密度ρ(kg/m3)是它的体积V(m3)的反比例函数,当V=10m3时,ρ=1.43kg/m3.(1)求ρ与V的函数关系式;(2)求当V=2m3时求氧气的密度ρ.【分析】首先根据题意,一定质量的氧气,它的密度ρ(kg/m3)是它的体积V(m3)的反比例函数,将数据代入用待定系数法可得反比例函数的关系式;进一步求解可得答案.解:(1)设ρ=,当V=10m3时,ρ=1.43kg/m3,所以1.43=,即k=14.3,所以ρ与V的函数关系式是ρ=;(2)当V=2m3时,把V=2代入得:ρ=7.15(kg/m3),所以当V=2m3时,氧气的密度为7.15(kg/m3).【点评】现实生活中存在大量成反比例函数的两个变量,解答该类问题的关键是确定两个变量之间的函数关系,然后利用待定系数法求出它们的关系式.20.(6分)现有两组相同的扑克牌,每组两张,两张牌的牌面数字分别是2和3,从每组牌中各随机摸出一张牌,称为一次试验.(1)小红与小明用一次试验做游戏,如果摸到的牌面数字相同小红获胜,否则小明获胜,请用列表法或画树状图的方法说明这个游戏是否公平?(2)小丽认为:“在一次试验中,两张牌的牌面数字和可能为4、5、6三种情况,所以出现‘和为4’的概率是”,她的这种看法是否正确?说明理由.【分析】(1)根据题意画树状图,再根据概率公式求出概率,即可得出答案;(2)根据概率公式求出和为4的概率,即可得出答案.解:(1)根据题意画树状图如下:数字相同的情况有2种,则P (小红获胜)=P (数字相同)=,P (小明获胜)=P (数字不同)=,则这个游戏公平;(2)不正确,理由如下;因为“和为4”的情况只出现了1次,所以和为4的概率为,所以她的这种看法不正确.【点评】此题考查了游戏的公平性,关键是根据题意画出树状图,求出每件事情发生的概率,判断游戏公平性就要计算每个事件的概率,概率相等就公平,否则就不公平.21.(7分)如图,为了计算河两岸间的宽度,我们在河对岸的岸边选定一个目标作为点A ,再在河岸的这一边选点B 和点C ,使AB ⊥BC ,然后再选点E ,使EC ⊥BC ,BC 与AE 的交点为D .测得BD =120米,DC =60米,EC =50米,请求出两岸之间AB 的距离.【分析】利用两角对应相等可得△ABD∽△ECD,利用相似三角形的对应边成比例可得AB 的长.解:∵AB⊥BC,EC⊥BC,∴∠ABC=∠BCE=90°,∵∠ADB=∠CDE,∴△ABD∽△ECD,∴=,即:=,解得AB=100.答:两岸之间AB的距离为100米.【点评】本题考查相似三角形的应用,用到的知识点为:两角对应相等的两三角形相似;相似三角形的对应边成比例.22.(8分)如图,AB⊥BC,DC⊥BC,E是BC上一点,且AE⊥DE.(I)求证:△ABE∽△ECD;(Ⅱ)若AB=4,AE=BC=5,求ED的长.【分析】(Ⅰ)先根据同角的余角相等可得:∠DEC=∠A,利用两角相等证明三角形相似;(Ⅱ)先根据勾股定理得:BE=3,根据△ABE∽△ECD,列比例式可得结论.(Ⅰ)证明:∵AB⊥BC,DC⊥BC,∴∠B=∠C=90°,∠BAE+∠AEB=90°,∵AE⊥DE,∴∠AED=90°,∴∠AEB+∠DEC=90°,∴∠DEC=∠BAE,∴△ABE∽△ECD;(Ⅱ)解:Rt△ABE中,∵AB=4,AE=5,∴BE=3,∵BC=5,∴EC=5﹣3=2,由(1)得:△ABE∽△ECD,∴=,∴=,∴DE=.【点评】本题考查了相似或全等三角形判定与性质,解直角三角形,熟练掌握相似三角形的判定和性质是解题的关键.23.(10分)如图,在△ABC中,∠C=90°,AB=10,AC=8,将线段AB绕点A按逆时针方向旋转90°到线段AD.△EFG由△ABC沿CB方向平移得到,且直线EF过点D.(I)求∠1的大小.(Ⅱ)求AE的长.【分析】(Ⅰ)由旋转的性质得,AD=AB,∠ABD=45°,再由平移的性质即可得出结论;(Ⅱ)先判断出∠ADE=∠ACB,进而得出△ADE∽△ACB,得出比例式求出AE即可;解:(Ⅰ)∵线段AD是由线段AB绕点A按逆时针方向旋转90°得到,∴∠DAB=90°,AD=AB,∴∠ABD=45°,∵△EFG是△ABC沿CB方向平移得到,∴AB∥EF,∴∠1=∠ABD=45°;(Ⅱ)由平移的性质得,AE∥CG,AB∥EF,∴∠DEA=∠DFC=∠ABC,∠ADE+∠DAB=180°,∵∠DAB=90°,∴∠ADE=90°,∵∠ACB=90°,∴∠ADE=∠ACB,∴△ADE∽△ACB,∴=,∵AC=8,AB=AD=10,∴AE=12.5.【点评】此题主要考查了图形的平移与旋转,平行线的性质,等腰直角三角形的判定和性质,解直角三角形,相似三角形的判定和性质,判断出△ADE∽△ACB是解本题的关键.24.(10分)如图,在平面直角坐标系xOy中,反比例函数y=的图象与一次函数y=k(x ﹣2)的图象交点为A(3,2),B(x,y).(1)求反比例函数与一次函数的解析式及B点坐标;(2)若C是y轴上的点,且满足△ABC的面积为10,求C点坐标.【分析】(1)根据点A(3,2)在反比例函数y=,和一次函数y=k(x﹣2)上列出m和k的一元一次方程,求出k和m的值即可;联立两函数解析式,求出交点坐标;(2)设C点的坐标为(0,y c),求出点M的坐标,再根据△ABC的面积为10,知×3×|y c﹣(﹣4)|+×1×|y c﹣(﹣4)|=10,求出y c的值即可.解:(1)∵点A(3,2)在反比例函数y=,和一次函数y=k(x﹣2)上;∴2=,2=k(3﹣2),解得m=6,k=2;∴反比例函数解析式为y=,和一次函数解析式为y=2x﹣4;∵点B是一次函数与反比例函数的另一个交点,∴=2x﹣4,解得x1=3,x2=﹣1;∴B点的坐标为(﹣1,﹣6);(2)∵点M是一次函数y=2x﹣4与y轴的交点,∴点M的坐标为(0,﹣4),设C点的坐标为(0,y c),由题意知×3×|y c﹣(﹣4)|+×1×|y c﹣(﹣4)|=10,解得|y c+4|=5,当y c+4≥0时,y c+4=5,解得y c=1,当y c+4≤0时,y c+4=﹣5,解得y c=﹣9,∴点C的坐标为(0,1)或(0,﹣9).【点评】本题主要考查了反比例函数与一次函数的交点问题,解题的关键是求出两个函数的解析式以及直线AB与y轴的交点坐标,此题难度一般.人教版数学九年级上册期末考试试题【含答案】一、选择区:每小题3分,共30分1.如图,⊙O是正五边形ABCDE的外接圆,则正五边形的中心角∠AOB的度数是()A.72°B.60°C.54°D.36°2.有一条弧的长为2πcm,半径为2cm,则这条弧所对的圆心角的度数是()A.90°B.120°C.180°D.135°3.下列事件是必然事件的是()A.n边形的每个内角都相等B.同位角相等C.分式方程有增根D.三角形内角和等于180°4.用2、3、4三个数字排成一个三位数,则排出的数是偶数的概率为()A.B.C.D.5.如图,点P是▱ABCD边AB上的一点,射线CP交DA的延长线于点E,则图中相似的三角形有()A.0对B.1对C.2对D.3对6.如图,在△ABC中,D,E分别是AB和AC上的点,且DE∥BC,=,DE=10,则BC的长为()A.16B.14C.12D.117.已知点A(﹣2,y1),B(3,y2)是反比例函数y=(k<0)图象上的两点,则有()A.y1<0<y2B.y2<0<y1C.y1<y2<0D.y2<y1<08.函数y=ax2﹣a与y=(a≠0)在同一直角坐标系中的图象可能是()A.B.C.D.9.对于反比例函数y=(k≠0),下列所给的四个结论中,正确的是()A.若点(2,4)在其图象上,则(﹣2,4)也在其图象上B.当k>0时,y随x的增大而减小C.过图象上任一点P作x轴、y轴的垂线,垂足分别A、B,则矩形OAPB的面积为kD.反比例函数的图象关于直线y=x和y=﹣x成轴对称10.如图,D是等边△ABC边AB上的一点,且AD:DB=1:2,现将△ABC折叠,使点C与D重合,折痕为EF,点E,F分别在AC和BC上,则CE:CF=()A.B.C.D.二、填空题:每小题3分,共24分11.正六边形的外接圆的半径与内切圆的半径之比为.12.若△ABC∽△A′B′C′,且△ABC与△A′B′C′的面积之比为1:3,则相似比为.13.在一个不透明的口袋中装有5个红球和若干个白球,它们除颜色外其他完全相同,通过多次摸球实验后发现,摸到红球的频率稳定在0.25附近,则估计口袋中白球大约有个.14.已知圆锥的底面圆半径为3,母线长为5,则圆锥的全面积是.15.如图,在平面直角坐标系中,已知点O(0,0),A(6,0),B(0,8),以某点为位似中心,作出△AOB的位似△CDE,则位似中心的坐标为.16.如图,⊙O的半径为6cm,B为⊙O外一点,OB交⊙O于点A且OA=AB,动点P从点A出发,以2πcm/s的速度在⊙O上按逆时针方向运动一周回到点A立即停止,当点P 运动的时间为s时,BP与⊙O相切.17.如图,在正方形ABCD中,AB=2,点E为AB的中点,AF⊥DE于点O,则AO=.18.如图,将△ABC放在每个小正方形的边长为1的网格中,点A,点B,点C均落在格点上.(I)计算AB的长等于.(Ⅱ)请在如图所示的网格中,用无刻度的直尺,画出一个△ADE,使△ADE~△ABC,且满足点D在AC边上,点E在AB边上,AE=2.简要说明画图方法(不要求证明).三、解答题;本大题共6个小题,共46分19.(5分)一定质量的氧气,它的密度ρ(kg/m3)是它的体积V(m3)的反比例函数,当V=10m3时,ρ=1.43kg/m3.(1)求ρ与V的函数关系式;(2)求当V=2m3时求氧气的密度ρ.20.(6分)现有两组相同的扑克牌,每组两张,两张牌的牌面数字分别是2和3,从每组牌中各随机摸出一张牌,称为一次试验.(1)小红与小明用一次试验做游戏,如果摸到的牌面数字相同小红获胜,否则小明获胜,请用列表法或画树状图的方法说明这个游戏是否公平?(2)小丽认为:“在一次试验中,两张牌的牌面数字和可能为4、5、6三种情况,所以出现‘和为4’的概率是”,她的这种看法是否正确?说明理由.21.(7分)如图,为了计算河两岸间的宽度,我们在河对岸的岸边选定一个目标作为点A,再在河岸的这一边选点B和点C,使AB⊥BC,然后再选点E,使EC⊥BC,BC与AE 的交点为D.测得BD=120米,DC=60米,EC=50米,请求出两岸之间AB的距离.22.(8分)如图,AB⊥BC,DC⊥BC,E是BC上一点,且AE⊥DE.(I)求证:△ABE∽△ECD;(Ⅱ)若AB=4,AE=BC=5,求ED的长.23.(10分)如图,在△ABC中,∠C=90°,AB=10,AC=8,将线段AB绕点A按逆时针方向旋转90°到线段AD.△EFG由△ABC沿CB方向平移得到,且直线EF过点D.(I)求∠1的大小.(Ⅱ)求AE的长.24.(10分)如图,在平面直角坐标系xOy中,反比例函数y=的图象与一次函数y=k(x ﹣2)的图象交点为A(3,2),B(x,y).(1)求反比例函数与一次函数的解析式及B点坐标;(2)若C是y轴上的点,且满足△ABC的面积为10,求C点坐标.参考答案一、选择1.如图,⊙O是正五边形ABCDE的外接圆,则正五边形的中心角∠AOB的度数是()A.72°B.60°C.54°D.36°【分析】由圆周角定理知,∠AOB=360°÷5=72°.解:∵⊙O是正五边形ABCDE的外接圆,∴∠AOB=360°÷5=72°.故选:A.【点评】本题考查了圆周角定理,由等弧所对的圆心角相等来解决问题.2.有一条弧的长为2πcm,半径为2cm,则这条弧所对的圆心角的度数是()A.90°B.120°C.180°D.135°【分析】根据弧长公式:l=(弧长为l,圆心角度数为n,圆的半径为R),代入即可求出圆心角的度数.解:由题意得,2π=,解得:n=180.即这条弧所对的圆心角的度数是180°.故选:C.【点评】本题考查了弧长的计算,解答本题关键是熟练掌握弧长的计算公式,及公式字母表示的含义.3.下列事件是必然事件的是()A.n边形的每个内角都相等B.同位角相等C.分式方程有增根D.三角形内角和等于180°【分析】必然事件就是一定发生的事件,即发生的概率是1的事件.解:A.n边形的每个内角都相等是随机事件;B.同位角相等是随机事件;C.分式方程有增根是随机事件;D.三角形内角和等于180°是必然事件;故选:D.【点评】本题考查的是对必然事件的概念的理解.解决此类问题,要学会关注身边的事物,并用数学的思想和方法去分析、看待、解决问题,提高自身的数学素养.用到的知识点为:必然事件指在一定条件下一定发生的事件.不确定事件即随机事件是指在一定条件下,可能发生也可能不发生的事件.4.用2、3、4三个数字排成一个三位数,则排出的数是偶数的概率为()A.B.C.D.【分析】首先利用列举法可得:用2,3,4三个数字排成一个三位数,等可能的结果有:234,243,324,342,423,432;且排出的数是偶数的有:234、324、342、432,然后直接利用概率公式求解即可求得答案解:∵用2,3,4三个数字排成一个三位数,等可能的结果有:234,243,324,342,423,432;∵排出的数是偶数的有:234、324、342、432;∴排出的数是偶数的概率为:=【点评】此题考查了列举法求概率.用到的知识点为:概率=所求情况数与总情况数之比.5.如图,点P是▱ABCD边AB上的一点,射线CP交DA的延长线于点E,则图中相似的三角形有()A.0对B.1对C.2对D.3对【分析】利用相似三角形的判定方法以及平行四边形的性质得出即可.解:∵四边形ABCD是平行四边形,∴AB∥DC,AD∥BC,∴△EAP∽△EDC,△EAP∽△CBP,。
2019-2020学年吉林省长春市新区九年级上学期期末考试数学试卷一、选择题(本大题共8小题,每小题3分,共24分)1.(3分)下列式子中,a 不可以取1和2的是( )A .√5aB .√a +3C .√a 2+1D .√−2a 2.(3分)已知2x =3y ,则下列各式错误的是( )A .x 3=y 2B .x y =32C .x 2=y 3D .6x =9y3.(3分)下列成语所描述的事件是必然事件的是( )A .守株待兔B .拔苗助长C .瓮中捉鳖D .水中捞月4.(3分)已知关于x 的一元二次方程x 2﹣x +a 2﹣1=0的一个根为0,则a 的值为( )A .1B .﹣1C .±1D .12 5.(3分)用放大镜观察一个五边形时,不变的量是( )A .各边的长度B .各内角的度数C .五边形的周长D .五边形的面积 6.(3分)如图,已知直线a ∥b ∥c ,直线m 、n 与直线a 、b 、c 分别交于点A 、C 、E 、B 、D 、F ,AC =4,CE =6,BD =3,则BF =( )A .7B .7.5C .8D .8.57.(3分)在Rt △ABC 中,∠C =90°,若BC =3,AC =4,则sin B 的值为( )A .45B .35C .34D .43 8.(3分)二次函数y =(x +1)2﹣2的图象大致是( )A.B.C.D.二、填空题(本大题共6小题,每小题3分,共18分)9.(3分)√25×4=.10.(3分)若关于x的一元二次方程x2﹣4x+4=m没有实数根,则m的取值范围是.11.(3分)抛物线y=﹣(x﹣1)(x+3)的对称轴方程为.12.(3分)如图,△ADE~△ABC,AD=3,AE=4,BE=5,CA的长为.13.(3分)在边长为1的小正方形网格中,点A、B、C、D都在这些小正方形的顶点上,AB、CD相交于点O,则cos∠AOD=.14.(3分)一只不透明的布袋中有三种珠子(除颜色以外没有任何区别),分别是3个红珠子,4个白珠子和5个黑珠子,每次只摸出一个珠子,观察后均放回搅匀,在连续9次摸出的都是红珠子的情况下,第10次摸出红珠子的概率是.三、解答题(本大题共10小题,共78分)15.(6分)计算:√6×√3+√24÷√6−|﹣3√2|.16.(6分)四张大小、形状都相同的卡片上分别写有数字1,2,3,4,把它们放入不透明的盒子中摇匀.。
2019-2020学年九年级(上)大练习数学试卷(六)一.选择题(共8小题)1.抛物线y=2(x+3)2+5的顶点坐标是()A.(3,5)B.(﹣3,5)C.(3,﹣5)D.(﹣3,﹣5)2.在长春市2016年地铁建设中,某工程队挖掘土方为632000立方米,632000这个数用科学记数法表示为()A.63.2×104B.6.32×105C.0.632×106D.6.32×1063.如图是由4个大小相同的正方体组合而成的几何体,其俯视图是()A.B.C.D.4.如图,在⊙O中,AB是直径,∠A=20°,弧BD=弧BC,则∠BOD等于()A.20°B.30°C.40°D.50°5.如图,在⊙O中,AD是直径,∠ABC=40°,则∠CAD等于()A.40°B.50°C.60°D.70°6.如图,正三角形ABC内接于圆O,动点P在圆周的劣弧AB上,且不与A,B重合,则∠BPC等于()A.30°B.60°C.90°D.45°7.如图,△ABC内接于⊙O,AC是⊙O的直径,∠ACB=40°,点D是劣弧上一点,连结CD、BD,则∠D的度数是()A.50°B.45°C.140°D.130°8.如图,△DAC和△BAD都是等腰直角三角形,∠ACO=∠ADB=90°,反比例函y=在第一象限的图象经过点B,则△OAC与△BAD的面积之差为()A.1 B.2 C.3 D.4二.填空题(共6小题)9.一元二次方程x2﹣3x+1=0根的情况为.10.如图,AB是⊙O的直径,弦CD⊥AB于点E,若AB=10,CD=8,则BE=.11.如图:P是⊙O的直径BA延长线上一点,PD交⊙O于点C,且PC=OD,如果∠P=24°,则∠DOB=.12.如图,在⊙O中,,∠A=40°,则∠B=度.13.如图,在平面直角坐标系中,抛物线y=a(x﹣2)2+k(a,k为常数且a≠0)与x轴交于点A、B,与y轴交于点C,过点C作CD∥x轴与抛物线交于点D.若点A的坐标为(﹣4,0),则的值为.14.如图,在平面直角坐标系中,过点P(x,0)作x轴的垂线,分别交抛物线y=x2+2与直线y=﹣x交于点A、B,以线段AB为对角线作菱形ACBD,使得∠D=60°,则菱形ACBD 的面积最小值为.三.解答题(共9小题)15.先化简,再求值:()•,其中a=﹣.16.已知:如图,⊙O的直径AE=10cm,∠B=∠EAC.求AC的长.17.在2017年长春市旧城改造中,某工程队需要改造一段全长2400米的下水管道工程,为了减少施工对市民生活所造成的影响,施工队加快了工程进度,实际工作效率比原计划提高20%,结果提前8小时完成改造工程,求原计划每小时改造的长度.18.如图,某地修建高速公路,要从A地向B地修一座隧道(A、B在同一水平面上),为了测量A、B两地之间的距离,某工程师乘坐热气球从B地出发,垂直上升100米到达C 处,在C处观察A地的俯角为39°,求A、B两地之间的距离.(结果精确到1米)【参考数据:sin39°=0.63,cos39°=0.78,tan39°=0.81】19.如图,在同一直角坐标系中,二次函数的图象与两坐标轴分别交于A(﹣1,0)、点B (3,0)和点C(0,﹣3),一次函数的图象与抛物线交于B、C两点;(1)求二次函数的解析式;(2)当自变量x时,两函数的函数值都随x增大而增大;(3)当自变量x时,两函数的函教值的积不大于0.20.甲、乙两车间同时开始加工一批零件,加工一段时间后,甲车间的设备出现故障停产维修设备,乙车间继续加工,甲车间维修好设备后提高了工作效率,每小时比出现故障前多加工10个零件,从开始加工到加工完这批零件乙车间的工作效率不变且工作10小时.甲、乙两车间加工这批零件的总数量y(件)与加工时间x(时)之间的函数图象如图所示:(1)甲车间每小时加工零件个.(2)求甲车间维修完设备后,y与x之间的函数关系式.(3)求加工完这批零件总数量的时所用的时间.21.问题原型:如图①,在锐角△ABC中,∠ABC=45°,AD⊥BC于点D,在AD上取点E,使DE=CD,连结BE,求证:BE=AC.问题拓展:如图②,在问题原型的条件下,F为BC的中点,连结EF并延长至点M,使FM=EF,连结CM,判断线段AC与CM的大小关系,并说明理由.问题延伸:在图②中,若AC=4,直接写出A、M两点之间的距离.22.某水果店出售一种水果,每只定价20元时,每周可卖出300只.试销发现以下两种:情况1:如果每只水果每降价1元,那么每周可多卖出25只;情况2:如果每只水果每涨价1元,那么每周将少卖出10只;(1)根据情况1,如何定价,才能使一周销售收入最多?(2)如果物价局规定该种水每只价格只能在22元~24元之间(包括22元与24元)那么根据以上两种情况,你认为应当如何定价才能使一周销售收入最多?并说明理由.23.定义:在平面直角坐标系中,某个函数图象上任意两点的坐标分别为(x1,y1)、(x2,y2),且x1≤x2,d=|y1﹣y2|.将这个函数图象在直线y=y1下方部分沿直线y=y1翻折,并将其向上平移d个单位,将这部分图象与原函数图象剩余部分的图象组成的新图象记为G,图象G对应的函数叫做原函数的伴随函数.例如点A(1,0),B(2,1)在一次函数y=x﹣1的图象上,则它的伴随函数为y=.(1)点A、B在直线y=﹣2x上,点A在第二象限,点B在x轴上,当d=3时,直接写出函数y=﹣2x的伴随函数新对应的函数表达式;(2)二次函数y=x2﹣2x﹣3的图象交x轴负半轴于点A,点B在抛物线上,设点B的横坐标为m.①当d=0时,求此二次函数的伴随函数的图象G与直线y=4在第一象限的交点坐标;②若直线y=2与此二次函数的伴随函数的图象G有四个交点,直接写出m的取值范围.参考答案与试题解析一.选择题(共8小题)1.抛物线y=2(x+3)2+5的顶点坐标是()A.(3,5)B.(﹣3,5)C.(3,﹣5)D.(﹣3,﹣5)【分析】由抛物线的解析式可求得答案.【解答】解:∵y=2(x+3)2+5,∴抛物线顶点坐标为(﹣3,5),故选:B.2.在长春市2016年地铁建设中,某工程队挖掘土方为632000立方米,632000这个数用科学记数法表示为()A.63.2×104B.6.32×105C.0.632×106D.6.32×106【分析】科学记数法的表示形式为a×10n的形式,其中1≤|a|<10,n为整数.确定n 的值时,要看把原数变成a时,小数点移动了多少位,n的绝对值与小数点移动的位数相同.当原数绝对值>1时,n是正数;当原数的绝对值<1时,n是负数.【解答】解:将632000用科学记数法表示为:6.32×105.故选:B.3.如图是由4个大小相同的正方体组合而成的几何体,其俯视图是()A.B.C.D.【分析】找到从上面看所得到的图形即可,注意所有的看到的棱都应表现在俯视图中.【解答】解:从上面看易得只有一层共3个正方形,故选:D.4.如图,在⊙O中,AB是直径,∠A=20°,弧BD=弧BC,则∠BOD等于()A.20°B.30°C.40°D.50°【分析】连接OC,先由圆周角定理求出∠BOC的度数,再根据等弧所对的圆周角相等即可得出结论.【解答】解:连接OC,如图所示:∵∠A=20°,∴∠BOC=2∠A=40°;∵弧BD=弧BC,∴∠BOD=∠BOC=40°.故选:C.5.如图,在⊙O中,AD是直径,∠ABC=40°,则∠CAD等于()A.40°B.50°C.60°D.70°【分析】由在同圆或等圆中,同弧或等弧所对的圆周角相等,即可求得∠ADC的度数,又由AD是⊙O的直径,根据直径所对的圆周角是直角,即可求得答案.【解答】解:∵∠ABC=40°,∴∠ADC=∠ABC=40°,∵AD是⊙O的直径,∴∠ACD=90°,∴∠CAD=90°﹣∠ADC=50°.故选:B.6.如图,正三角形ABC内接于圆O,动点P在圆周的劣弧AB上,且不与A,B重合,则∠BPC等于()A.30°B.60°C.90°D.45°【分析】由等边三角形的性质知,∠A=60°,即弧BC的度数为60°,可求∠BPC=60°.【解答】解:∵△ABC正三角形,∴∠A=60°,∴∠BPC=60°.故选:B.7.如图,△ABC内接于⊙O,AC是⊙O的直径,∠ACB=40°,点D是劣弧上一点,连结CD、BD,则∠D的度数是()A.50°B.45°C.140°D.130°【分析】先根据圆周角定理,由∠ABC=90°,则利用互余可计算出∠A=50°,然后根据圆内接四边形的性质得到∠D的度数.【解答】解:∵AC是⊙O的直径,∴∠ABC=90°,∴∠A=90°﹣∠ACB=90°﹣40°=50°,∵∠D+∠A=180°,∴∠D=180°﹣50°=130°.故选:D.8.如图,△DAC和△BAD都是等腰直角三角形,∠ACO=∠ADB=90°,反比例函y=在第一象限的图象经过点B,则△OAC与△BAD的面积之差为()A.1 B.2 C.3 D.4【分析】设出两个等腰直角三角形的边长,表示出点B的坐标,代入反比例函数的关系式,得到两个边长之间的关系,表示两个等腰直角三角形的面积,利用整体代入即可求出面积差.【解答】解:设OC=a,BD=b,则AC=OC=a,AD=BD=b,∴点B(a+b,a﹣b)代入反比例函y=得,(a+b)(a﹣b)=8,即:a2﹣b2=8,∴S△AOC﹣S△ABD=a2﹣b2=(a2﹣b2)=4,故选:D.二.填空题(共6小题)9.一元二次方程x2﹣3x+1=0根的情况为有两个不相等的实数根.【分析】根据一元二次方程的根的判别式即可求出答案.【解答】解:由题意可知:△=9﹣4=5>0,故答案为:有两个不相等的实数根.10.如图,AB是⊙O的直径,弦CD⊥AB于点E,若AB=10,CD=8,则BE= 2 .【分析】连接OC,如图,根据垂径定理得到CE=DE=CD=4,再利用勾股定理计算出OE,然后计算OB﹣OE即可.【解答】解:连接OC,如图,∵弦CD⊥AB,∴CE=DE=CD=4,在Rt△OCE中,∵OC=5,CE=4,∴OE==3,∴BE=OB﹣OE=5﹣3=2.故答案为2.11.如图:P是⊙O的直径BA延长线上一点,PD交⊙O于点C,且PC=OD,如果∠P=24°,则∠DOB=72°.【分析】连结OC,由PC=OD,OC=OD得到PC=CO,根据等腰三角形的性质得∠1=∠P =24°,再根据三角形外角性质得∠2=48°,由于∠D=∠2=48°,然后利用∠DOB=∠P+∠D计算即可.【解答】解:连结OC,如图,∵PC=OD,而OC=OD,∴PC=CO,∴∠1=∠P=24°,∴∠2=2∠P=48°,而OD=OC,∴∠D=∠2=48°,∴∠DOB=∠P+∠D=72°.故答案为72°.12.如图,在⊙O中,,∠A=40°,则∠B=70 度.【分析】先利用“在同圆中等弧所对的弦也相等”得到AB=AC即△ABC是等腰三角形,则∠B可得.【解答】解:∵,∴AB=AC,∵∠A=40°,∴∠B=∠C=(180°﹣∠A)÷2=70°.13.如图,在平面直角坐标系中,抛物线y=a(x﹣2)2+k(a,k为常数且a≠0)与x轴交于点A、B,与y轴交于点C,过点C作CD∥x轴与抛物线交于点D.若点A的坐标为(﹣4,0),则的值为 2 .【分析】利用二次函数的性质得到抛物线y=a(x﹣2)2+k的对称轴为直线x=2,根据抛物线的对称性得到CD=4,B点坐标为(8,0),则OB=8,从而得到的值.【解答】解:∵抛物线y=a(x﹣2)2+k的对称轴为直线x=2,而CD∥x轴,∴CD=4,∵A点坐标为(﹣4,0),∴B点坐标为(8,0),∴OB=8,∴==2.故答案为2.14.如图,在平面直角坐标系中,过点P(x,0)作x轴的垂线,分别交抛物线y=x2+2与直线y=﹣x交于点A、B,以线段AB为对角线作菱形ACBD,使得∠D=60°,则菱形ACBD 的面积最小值为.【分析】由AB⊥x轴,表示出点A,B的坐标,进而求出AB的函数关系式,最后确定出AB的最小值;再求出AD,DM的长,根据菱形面积等于对角线积的一半,即可解答.【解答】解:如图,连接CD交AB于点M,∵过点P(x,0)作x轴的垂线分别交抛物线y=x2+2与直线y=﹣x于A,B两点∴A(x,x2+2),B(x,﹣x),∴AB=x2+2﹣(﹣x)=x2+2+x=(x+)2+,∴当x=﹣时,AB的最小值为,∵∠ADB=60°,四边形ABCD为菱形,∴△ADB为等边三角形,AB⊥CD,且AB与CD互相平分,∴AD=AB=,AM=AB=,∴在Rt△AMD中,DM==,∴CD=2DM=,∴菱形ACBD的面积最小值为:AB•CD=×,故答案为:.三.解答题(共9小题)15.先化简,再求值:()•,其中a=﹣.【分析】根据分式的混合运算顺序和运算法则化简原式,再将a的值代入计算可得.【解答】解:原式=(﹣)•=•=•=,当a=﹣时,原式==﹣1.16.已知:如图,⊙O的直径AE=10cm,∠B=∠EAC.求AC的长.【分析】首先连接EC,由在同圆或等圆中,同弧或等弧所对的圆周角相等,即可求得∠E=∠B,又由AE是⊙O的直径与∠B=∠EAC,根据半圆(或直径)所对的圆周角是直角,即可求得∠ACE=90°,∠E=45°,然后利用三角函数中的正弦,即可求得AC的长.【解答】解:连接EC,∵∠E与∠B是对的圆周角,∴∠E=∠B,∵∠B=∠EAC,∴∠E=∠EAC,∵AE是⊙O的直径,∴∠ACE=90°,∴∠E=∠EAC=45°,∵AE=10cm,∴AC=AE•sin45°=10×=5(cm).∴AC的长为5cm.17.在2017年长春市旧城改造中,某工程队需要改造一段全长2400米的下水管道工程,为了减少施工对市民生活所造成的影响,施工队加快了工程进度,实际工作效率比原计划提高20%,结果提前8小时完成改造工程,求原计划每小时改造的长度.【分析】本题的关键语是:“提前8小时完成任务”;等量关系为:原计划用的时间﹣实际所用的时间=8.而工作时间=工作总量÷工作效率.【解答】解:设原计划每小时改造x米.依题意得:﹣=8.解得:x=50.经检验:x=50是所列方程的解,且符合实际问题的意义.答:原计划每小时改造50米.18.如图,某地修建高速公路,要从A地向B地修一座隧道(A、B在同一水平面上),为了测量A、B两地之间的距离,某工程师乘坐热气球从B地出发,垂直上升100米到达C 处,在C处观察A地的俯角为39°,求A、B两地之间的距离.(结果精确到1米)【参考数据:sin39°=0.63,cos39°=0.78,tan39°=0.81】【分析】在Rt△ABC中,根据tan39°=即可解决问题.【解答】解:在Rt△ABC中,∵∠ABC=90°,∠A=39°,∴tan39°=,∴AB=≈123(米)答:A、B两地之间的距离距离约为123米.19.如图,在同一直角坐标系中,二次函数的图象与两坐标轴分别交于A(﹣1,0)、点B (3,0)和点C(0,﹣3),一次函数的图象与抛物线交于B、C两点;(1)求二次函数的解析式;(2)当自变量x≥1 时,两函数的函数值都随x增大而增大;(3)当自变量x≤﹣1或x=3 时,两函数的函教值的积不大于0.【分析】(1)根据二次函数的图象与两坐标轴分别交于A(﹣1,0)、点B(3,0)和点C(0,﹣3),可以求得该函数的解析式;(2)根据题意和函数图象中的数据可以得到x为何值时,两函数的函数值都随x增大而增大;(3)根据题意和函数图象中的数据可以得到x为何值时,两函数的函数值的积不大于0.【解答】解:(1)设该函数的解析式为y=a(x+1)(x﹣3),∵该函数过点C(0,﹣3),∴﹣3=a(0+1)(0﹣3),解得,a=1,∴y=(x+1)(x﹣3)=x2﹣2x﹣3,即二次函数的解析式是y=x2﹣2x﹣3;(2)由图象可知,当x≥1时,两函数的函数值都随x增大而增大,故答案为:≥1;(3)由图象可得,当x≤﹣1或x=3时,两函数的函教值的积不大于0,故答案为:≤﹣1或x=3.20.甲、乙两车间同时开始加工一批零件,加工一段时间后,甲车间的设备出现故障停产维修设备,乙车间继续加工,甲车间维修好设备后提高了工作效率,每小时比出现故障前多加工10个零件,从开始加工到加工完这批零件乙车间的工作效率不变且工作10小时.甲、乙两车间加工这批零件的总数量y(件)与加工时间x(时)之间的函数图象如图所示:(1)甲车间每小时加工零件60 个.(2)求甲车间维修完设备后,y与x之间的函数关系式.(3)求加工完这批零件总数量的时所用的时间.【分析】(1)出故障后已一个小时生产90个,即已的效率为90,设故障前甲的效率为x,则前3小时:则3x+3×90=450,即可求解;(2)设函数表达式为:y=kx+b,把(4,540),(10,1500)代入一次函数即可求解;(3)求加工完这批零件总数量的时所用的时间为x,则160x﹣100=1500×,即可求解.【解答】解:(1)由题意得:前3小时没有故障,设甲每小时生产x个,甲出故障后已一个小时生产90个,即已的效率为90,前3小时:则3x+3×90=450,解得:x=60,故答案为60;(2)设函数表达式为:y=kx+b,把(4,540),(10,1500)代入得:,解得:,∴y=160x﹣100(4<x≤10);(3)求加工完这批零件总数量的时所用的时间为x,160x﹣100=1500×,解得:x=.21.问题原型:如图①,在锐角△ABC中,∠ABC=45°,AD⊥BC于点D,在AD上取点E,使DE=CD,连结BE,求证:BE=AC.问题拓展:如图②,在问题原型的条件下,F为BC的中点,连结EF并延长至点M,使FM=EF,连结CM,判断线段AC与CM的大小关系,并说明理由.问题延伸:在图②中,若AC=4,直接写出A、M两点之间的距离.【分析】问题原型:由AD⊥BC可得∠ADB=∠ADC=90°,又∠ABC=45°易得∠ABC=∠BAD,可得AD=BD,由SAS定理可得△BDE≌△ADC;问题拓展:利用SAS判断出△BEF≌△CMF,得出BE=CM,即可得出结论;问题延伸:借助问题原型与问题延伸的结论判断出△ACM是等腰直角三角形,即可得出结论.【解答】问题原型:证明:∵AD⊥BC,∴∠ADB=∠ADC=90°,∵∠ABC=45°,∴∠BAD=45°,∴∠ABC=∠BAD,∴AD=BD,在△BDE和△ADC中,,∴△BDE≌△ADC(SAS),∴BE=AC,问题拓展:解:AC=CM,理由:∵点F是BC中点,∴BF=CF,在△BEF和△CMF中,,∴△BEF≌△CMF(SAS),∴BE=CM,由(1)知,BE=AC,∴AC=CM;问题延伸:解:如图②,连接AM,由(1)知,△BDE≌△ADC,∴∠BED=∠ACD,由(2)知,△BEF≌△CMF,∴∠EBF=∠BCM,∴∠ACM=∠ACD+∠BCM=∠BED+∠EBF=90°,∵AC=CM,∴AM=AC=4.22.某水果店出售一种水果,每只定价20元时,每周可卖出300只.试销发现以下两种:情况1:如果每只水果每降价1元,那么每周可多卖出25只;情况2:如果每只水果每涨价1元,那么每周将少卖出10只;(1)根据情况1,如何定价,才能使一周销售收入最多?(2)如果物价局规定该种水每只价格只能在22元~24元之间(包括22元与24元)那么根据以上两种情况,你认为应当如何定价才能使一周销售收入最多?并说明理由.【分析】(1)根据题意可以列出相应的函数关系式,然后化为顶点式即可求得如何定价,才能使一周销售收入最多;(2)根据题意可以列出相应的函数关系式,然后化为顶点式即可求得如何定价,才能使一周销售收入最多.【解答】解:(1)根据情况1,设当每只定价为x元时,一周销售收入为y1元,y1=x[300+25(20﹣x)]=﹣25x2+800x=﹣25(x﹣16)2+6400,∴当x=16时,y1有最大值,答:当定价为16元时,一周销售收入最多;(2)当定价为24元时,一周销售收入最多,理由:根据情况2,设当每只定价为x元时,一周销售收入为y2元,y2=x[300﹣10(x﹣20)]=﹣10x2+500x=﹣10(x﹣25)2+6250,∴当22≤x≤24时,y2随x的增大而增大,∴当x=24时,y2取得最大值,即当定价为24元时,一周销售收入最多.23.定义:在平面直角坐标系中,某个函数图象上任意两点的坐标分别为(x1,y1)、(x2,y2),且x1≤x2,d=|y1﹣y2|.将这个函数图象在直线y=y1下方部分沿直线y=y1翻折,并将其向上平移d个单位,将这部分图象与原函数图象剩余部分的图象组成的新图象记为G,图象G对应的函数叫做原函数的伴随函数.例如点A(1,0),B(2,1)在一次函数y=x﹣1的图象上,则它的伴随函数为y=.(1)点A、B在直线y=﹣2x上,点A在第二象限,点B在x轴上,当d=3时,直接写出函数y=﹣2x的伴随函数新对应的函数表达式;(2)二次函数y=x2﹣2x﹣3的图象交x轴负半轴于点A,点B在抛物线上,设点B的横坐标为m.①当d=0时,求此二次函数的伴随函数的图象G与直线y=4在第一象限的交点坐标;②若直线y=2与此二次函数的伴随函数的图象G有四个交点,直接写出m的取值范围.【分析】(1)由已知求出B(0,0),A(﹣,3),则伴随函数为y=﹣2x(x≤﹣),y=2x+9(x>);(2)由已知可求A(﹣1,0),B(m,m2﹣2m﹣3),①d=0,则m2﹣2m﹣3=0,B(3,0),伴随函数为y=x2﹣2x﹣3(x<﹣1或x>3)y=﹣x2+2x+4(﹣1≤x≤3),4=x2﹣2x﹣3时,x=1+2,交点为(1+2,4);4=﹣x2+2x+4时,x=1,交点为(1,4);②d=|m2﹣2m﹣3|<2,则有﹣2<m2﹣2m﹣3<2,所以1+<m<1+或1﹣<m<1﹣.【解答】解:(1)∵点B在x轴上,∴B(0,0),∵d=3,∴A点的纵坐标为3,∴A(﹣,3),∴y=﹣2x(x≤﹣),y=2x+9(x>);(2)由已知可求A(﹣1,0),B(m,m2﹣2m﹣3),①d=0,则m2﹣2m﹣3=0,∴m=﹣1或m=3,∴B(3,0),∴伴随函数为y=x2﹣2x﹣3(x<﹣1或x>3)y=﹣x2+2x+4(﹣1≤x≤3),∴4=x2﹣2x﹣3时,x=1+2,交点为(1+2,4);4=﹣x2+2x+4时,x=1,交点为(1,4);②d=|m2﹣2m﹣3|<2,∴﹣2<m2﹣2m﹣3<2,∴1+<m<1+或1﹣<m<1﹣.。
2019—2020学年吉林省长春市南关区东北师大附中九年级(上)期末数学试卷(解析版)一、选择题(每小题3分,共24分)1.一元二次方程x2﹣2x=0的解是()A.x=0 B.x=2 C.x1=0,x2=﹣2 D.x1=0,x2=2 2.下列各点在函数y=﹣x2+1的图象上是()A.(0,0)B.(1,1)C.(0,﹣1)D.(1,0)3.已知二次函数y=x2﹣3x+m(m为常数)的图象与x轴的一个交点为(1,0),则关于x 的一元二次方程x2﹣3x+m=0的两实数根是()A.x1=1,x2=﹣1 B.x1=1,x2=2 C.x1=1,x2=0 D.x1=1,x2=3 4.如图,AB是直径,,∠BOC=40°,则∠AOE的度数为()A.30°B.40°C.50°D.60°5.将抛物线y=先向右平移2个单位,再向下平移3个单位,得到的抛物线所对应的函数式为()A.y=(x+2)2+3 B.y=(x﹣2)2﹣3C.y=(x+2)2﹣3 D.y=(x﹣2)2+36.如图,正六边形螺帽的边长是2cm,这个扳手的开口a的值为()A.1 B.C.D.7.已知函数y=﹣x2+bx+c,其中b>0,c<0,此函数的图象可以是()A.B.C.D.8.如图,四边形ABCO是平行四边形,OA=2,AB=6,点C在x轴的负半轴上,将平行四边形ABCO绕点A逆时针旋转得到平行四边形ADEF,AD经过点O,点F恰好落在x轴的正半轴上.若点D在反比例函数y=(x<0)的图象上,则k的值为()A.4B.12 C.8D.6二、填空题(每小题3分,共18分)9.某中学随机地调查了50名学生,了解他们一周在校的体育锻炼时间,结果如下表所示:则这50名学生这一周在校的平均体育锻炼时间是小时.10.抛物线y=x2+bx+c经过点A(0,3),B(2,3),抛物线所对应的函数表达式为.11.如果关于x的方程x2﹣x+k=0(k为常数)有两个相等的实数根,那么k=.12.如图,扇形纸叠扇完全打开后,扇形ABC的面积为300πcm2,∠BAC=120°,BD=2AD,则BD的长度为cm.13.如图,在半径为3的⊙O中,直径AB与弦CD相交于点E,连接AC,BD,若AC=2,则cos D =.14.已知抛德物线y=+1有下性质:该抛物线上任意一点到定点F(0,2)的距离与到轴的距离始终相等,如图,点M的坐标为(,3),P是抛物线y=+1上一个动点,则△PMF周长的最小值是.三、解答题15.(11分)先化简,再求值:,其中x=﹣3.16.(6分)小红玩抽卡片和旋转盘游戏,有两张正面分别标有数字1,﹣2的不透明卡片,背面完全相同;转盘被平均分成3个相等的扇形,并分别标有数字﹣1,3,4(如图所示),小云把卡片背面朝上洗匀后从中随机抽出一张,记下卡片上的数字;然后转动转盘,转盘停止后,记下指针所在区域的数字(若指针在分格线上,则重转一次,直到指针指向某一区域为止).请用列表或树状图的方法(只选其中一种)求出两个数字之积为负数的概率.17.(6分)现代互联网技术的广泛应用,催生了快递行业的高度发展,据调查,长春市某家快递公司今年三月份完成投递的快递总件数为10万件,预计五月份完成投递的快递总件数将增加到12.1万件,现假定该公司每月投递的快递总件数的增长率相同,求该快递公司完成投递的快递总件数三月份到五月份的月平均增长率.18.(7分)某校在开展读书交流活动中,全体师生积极捐书,为了解所捐书籍的种类,对部分书据进行了抽样调查,李老师根据调查数据绘制了如下不完整的统计图,请根据统计图回答下面问题:(1)本次抽样调查的书有本;(2)将条形统计图补充完整;(3)本次活动师生共捐书1600本,请估计科普类书籍的本数.19.(7分)如图,已知AB是⊙O的直径,过O点作OP⊥AB,交弦AC于点D,交⊙O于点E,且使∠PCA=∠ABC.(1)求证:PC是⊙O的切线;(2)若∠P=60°,PC=2,求PE的长.20.(7分)已知二次函数y=﹣x2+bx+c,函数值y与自变量x之间的部分对应值如下表:(1)此二次函数图象的对称轴是直线,此函数图象与x轴交点个数为.(2)求二次函数的函数表达式;(3)当﹣5<x<﹣1时,请直接写出函数值y的取值范围.21.(8分)周未,小丽骑自行车从家出发到野外郊游,从家出发0.5小时到达甲地,游玩一段时间后按原速前往乙地,小丽离家1小时20分钟后,妈妈驾车沿相同路线前往乙地,行驶10分钟时,恰好经过甲地,如图是她们距乙地的路程y(km)与小丽离家时间x(h)的函数图象.(1)小丽骑车的速度为km/h,H点坐标为;(2)求小丽游玩一段时间后前往乙地的过程中y与x的函数关系;(3)小丽从家出发多少小时后被妈妈追上?此时距家的路程多远.22.(9分)在四边形ABCD中,∠B+∠D=180°,对角线AC平分∠BAD.(1)如图1,若∠DAB=120°,且∠B=90°,求证:AD+AB=AC;(2)如图2,若将(1)中的条件“∠B=90°”去掉,(1)中的结论是否成立?如果成立,请证明这个结论.(3)如图3,若∠DAB=90°,请直接写出AD、AB与对角线AC的数量关系.23.(10分)二次函数y=a(x﹣h)2+k(a≠0)的图象是抛物线,定义一种变换,先作这条抛物线关于原点对称的抛物线y′,再将得到的对称抛物线y′向上平移m(m>0)个单位,得到新的抛物线y m,我们称y m叫做二次函数y=a(x﹣h)2+k(a≠0)的m阶变换.(1)已知:二次函数y=2(x+2)2+1,它的顶点关于原点的对称点为,这个抛物线的2阶变换的表达式为.(2)若二次函数M的6阶变换的关系式为y6′=(x﹣1)2+5.①二次函数M的函数表达式为.②若二次函数M的顶点为点A,与x轴相交的两个交点中左侧交点为点B,在抛物线y6′=(x﹣1)2+5上是否存在点P,使点P与直线AB的距离最短,若存在,求出此时点P的坐标.(3)抛物线y=﹣3x2﹣6x+1的顶点为点A,与y轴交于点B,该抛物线的m阶变换的顶点为点C.若△ABC是以AB为腰的等腰三角形,请直按写出m的值.24.如图,在Rt△ABC中,∠ACB=90°,AC=16,BC=12,点D、E分别为边AB、BC中点,点P从点A出发,沿射线AB方向以每秒5个单位长度的速度向点B运动,到点B停止.当点P不与点A重合时,过点P作PQ∥AC,且点Q在直线AB左侧,AP=PQ,过点Q作QM⊥AB交射线AB于点M.设点P运动的时间为t(秒)(1)用含t的代数式表示线段DM的长度;(2)求当点Q落在BC边上时t的值;(3)设△PQM与△DEB重叠部分图形的面积为S(平方单位),当△PQM与△DEB有重叠且重叠部分图形是三角形时,求S与t的函数关系式;(4)当经过点C和△PQM中一个顶点的直线平分△PQM的内角时,直接写出此时t的值.参考答案一、选择题1.解:∵x2﹣2x=0,∴x(x﹣2)=0,则x=0或x﹣2=0,解得:x1=0,x2=2.故选:D.2.解:∵y=﹣x2+1,∴当x=0时,y=1≠0,故点(0,0)不在函数图象上,当x=1时,y=﹣12+1=0≠1,故点(1,1)不在函数图象上,点(1,0)在函数图象上,当x=0时,y=1≠﹣1,故点(0,﹣1)不在函数图象上,故选:D.3.解:∵二次函数的解析式是y=x2﹣3x+m(m为常数),∴该抛物线的对称轴是:x=.又∵二次函数y=x2﹣3x+m(m为常数)的图象与x轴的一个交点为(1,0),∴根据抛物线的对称性质知,该抛物线与x轴的另一个交点的坐标是(2,0),∴关于x的一元二次方程x2﹣3x+m=0的两实数根分别是:x1=1,x2=2.故选:B.4.解:∵,∠BOC=40°,∴∠BOC=∠COD=∠EOD=40°,∴∠AOE=180°﹣∠BOE=60°.故选:D.5.解:根据“左加右减,上加下减”的法则可知,将抛物线y=先向右平移2个单位,再向下平移3个单位,那么所得到抛物线的函数关系式是y=(x﹣2)2﹣3.故选:B.6.解:∵正六边形的任一内角为120°,∴∠1=30°(如图),∴a=2cos∠1=,∴a=2.故选:D.7.解:∵a=﹣1<0,b>0,c<0,∴该函数图象的开口向下,对称轴是x=﹣>0,与y轴的交点在y轴的负半轴上;故选:D.8.解:由题意可得,OA=2,AF=2,∴∠AFO=∠AOF,∵AB∥OF,∠BAO=∠OAF,∴∠BAO=∠AOF,∠BAF+∠AFO=180°,解得,∠BAO=60°,∴∠DOC=60°,∵AO=2,AD=6,∴OD=4,∴点D的横坐标是:﹣4×cos60°=﹣2,纵坐标为:﹣4×sin60°=﹣2,∴点D的坐标为(﹣2,﹣2),∵D在反比例函数y=(x<0)的图象上,∴﹣2=,得k=4,故选:A.二、填空题(每小题3分,共18分)9.解:=6.4.故答案为:6.4.10.解:将A(0,3),B(2,3)代入抛物线解析式得:,解得:b=﹣2,c=3,则抛物线解析式为y=x2﹣2x+3.故答案为:y=x2﹣2x+3.11.解:∵a=1,b=﹣1,c=k,∴△=b2﹣4ac=(﹣1)2﹣4×1×k=1﹣4k=0,解得k=.12.解:设AD=x,则AB=3x.由题意300π=,解得x=10,∴BD=2x=20cm.故答案为20.13.解:连接BC,∴∠D=∠A,∵AB是⊙O的直径,∴∠ACB=90°,∵AB=3×2=6,AC=2,∴cos D=cos A===.故答案为:.14.解:过点M作ME⊥x轴于点E,ME与抛物线交于点P′,如图所示.∵点P′在抛物线上,∴P′F=P′E.又∵点到直线之间垂线段最短,MF==,∴当点P运动到点P′时,△PMF周长取最小值,最小值为ME+MF=+3.故答案为:+3.三、解答题(共10小题,满分71分)15.解:原式=(﹣)+=+=,当x=﹣3时,原式===.16.解:列表如下:由列表可知,有6种等可能的结果,其中两数之积为负数的有3种,∴P (两数之积为负数)==.17.解:设该快递公司投递总件数的月平均增长率为x ,根据题意得:10(1+x )2=12.1,解得:x 1=0.1,x 2=﹣2.1(不合题意舍去).答:该快递公司投递总件数的月平均增长率为10%.18.解:(1)本次抽样调查的书有8÷20%=40(本),故答案为:40;(2)其它类的书的数量为40×15%=6(本),补全图形如下:(3)估计科普类书籍的本数为1600×=480(本).19.解:(1)连接OC ,∵AB 是⊙O 的直径,∴∠ACB =90°,∴∠BCO +∠ACO =90°,∵OC =OB ,∴∠B =∠BCO ,∵∠PCA =∠ABC ,∴∠BCO =∠ACP ,∴∠ACP +∠OCA =90°,∴∠OCP =90°,∴PC 是⊙O 的切线;(2)∵∠P=60°,PC=2,∠PCO=90°,∴OC=2,OP=2PC=4,∴PE=OP﹣OE=OP﹣OC=4﹣2.20.解:(1)从表格看,函数的对称轴为:x=﹣2,此函数图象与x轴交点个数为2个,一个在x=﹣3或x=﹣2之间,一个在x=﹣2或﹣1之间,故答案为:2个;(2)函数对称轴为:x=﹣2=﹣,解得:b=﹣4,x=0,y=﹣2=c,故函数的表达式为:y=﹣x2﹣4x﹣2;(3)x=﹣5时,y=﹣7,x=1时,y=﹣7,函数的顶点坐标为:(﹣2,2),故y的取值范围为:﹣7<y<2.21.解:(1)由函数图可以得出,小丽家距离甲地的路程为10km,花费时间为0.5h,故小丽骑车的速度为:10÷0.5=20(km/h),由题意可得出,点H的纵坐标为20,横坐标为:,故点H的坐标为(,20);故答案为:20;(,20);(2)设直线AB的解析式为:y1=k1x+b1,将点A(0,30),B(0.5,20)代入得:y1=﹣20x+30,∵AB∥CD,∴设直线CD的解析式为:y2=﹣20x+b2,将点C(1,20)代入得:b2=40,故y2=﹣20x+40;(3)设直线EF的解析式为:y3=k3x+b3,将点E(,30),H(,20)代入得:k3=﹣60,b3=110,∴y3=﹣60x+110,解方程组,解得,∴点D坐标为(1.75,5),30﹣5=25(km),所以小丽出发1.75小时后被妈妈追上,此时距家25km;22.(1)证明:在四边形ABCD中,∠D+∠B=180°,∠B=90°,∴∠D=90°,∵∠DAB=120°,AC平分∠DAB,∴∠DAC=∠BAC=60°,∵∠B=90°,∴∠ACB=30°,∴AB=AC,同理AD=AC.∴AD+AB=AC;(2)解:(1)中的结论成立,理由如下:以C为顶点,AC为一边作∠ACE=60°,∠ACE的另一边交AB延长线于点E, ∵∠BAC=60°,∴△AEC为等边三角形,∴AC=AE=CE,∵∠D+∠ABC=180°,∠DAB=120°,∴∠DCB=60°,∴∠DCA=∠BCE,∵∠D+∠ABC=180°,∠ABC+∠EBC=180°, ∴∠D=∠CBE,在△CDA和△CBE中,,∴△CDA≌△CEB(AAS),∴AD=BE,∴AD+AB=AC;(3)解:结论:AD+AB=AC.理由如下:过点C作CE⊥AC交AB的延长线于点E,∵∠D+∠ABC=180°,∠DAB=90°,∴∠DCB=90°,∵∠ACE=90°,∴∠DCA=∠BCE,又∵AC平分∠DAB,∴∠CAB=45°,∴∠E=45°.∴AC=CE.又∵∠D+∠ABC=180°,∠CBE+∠ABC=180°, ∴∠D=∠CBE,在△CDA和△CBE中,,∴△CDA≌△CBE(AAS),∴AD=BE,∴AD+AB=AE.在Rt△ACE中,∠CAB=45°,∴△ACE是等腰直角三角形,∴AE=AC,∴AD+AB=AC.23.解:(1)原二次函数的顶点为(﹣2,1),则顶点关于原点的对称点为(2,﹣1),则这个抛物线的2阶变换的表达式:y=﹣2(x﹣2)2﹣1,故答案为:(2,﹣1),y=﹣2(x﹣2)2﹣1;(2)①6阶变换的关系式对应的函数顶点为:(1,﹣1),则函数M的顶点为:(﹣1,1), 则其表达式为:y=﹣(x+1)2+1,故答案为:y=﹣(x+1)2+1;②存在,理由:y=﹣(x+1)2+1,令y=0,则x=﹣2或0,故点B(﹣2,0),而点A(﹣1,1),将点A、B的坐标代入一次函数表达式:y=kx+b得:,解得:, 故直线AB的函数表达式为:y=x+2,y′=(x﹣1)2+5=x2﹣2x+6,6如下图,过点P作PD⊥AB交于点D,故点P作y轴的平行线交AB于点H,∵直线AB的倾斜角为45°,则DP=PH,设点P(x,x2﹣2x+6),则点H(x,x+2),DP=PH=(x2﹣2x+6﹣x﹣2)=(x2﹣3x+4),∵>0,故DP有最小值,此时x=,故点P(,);(3)抛物线y=﹣3x2﹣6x+1的顶点为点A,与y轴交于点B,则点A(﹣1,4)、点B(0,1),抛物线的m阶变换的函数表达式为:y=3(x﹣1)2﹣4+m,故点C(1,m﹣4),则AB2=10,AC2=4+(m﹣8)2,BC2=1+(m﹣5)2,当AB=AC时,10=4+(m﹣8)2,解得:m=8;当AB=BC时,同理可得:m=8或2,故m的值为:8+或8﹣或8或2.24.解:(1)如图1中,在RtABC中,∵AC=16,BC=12,∠C=90°,∴AB===20,∵PQ∥AC,∴∠A=∠QPM,∵∠C=∠PMQ=90°,∴△ACB∽△PMQ,∴==,∴==,∴PM=4t,MQ=3t,当0<t≤时,DM=AD﹣AM=10﹣5t﹣4t=﹣9t+10.当<t≤4时,DM=AM﹣AD=9t﹣10.(2)如图2中,当点Q 落在BC 上时,∵PQ ∥AC ,∴=,∴=, 解得t =,∴当点Q 落在BC 边上时t 的值为s .(3)如图3﹣1中,当<t ≤时,重叠部分是△DMK ,S =×DM ×MK =×(9t ﹣10)×(9t ﹣10)=t 2﹣t +.如图3﹣2中,当≤t ≤4时,重叠部分是△PBK ,S =•PK •BK =×(20﹣5t )•(20﹣5t)=6t2﹣48t+96.(4)如图4﹣1中,当直线CQ平分∠PQM时,设直线CQ交AB于G,作GK⊥PQ于K.∵∠QKG=∠QMG=90°,∠GQK=∠GQM,QG=QG,∴△QGK≌△QGM(AAS),∴QK=QM=3t,PK=PQ﹣QK=5t﹣3t=2t,∴PG=PK=t,∵PQ∥AC,∴=,∴=,∴t=.如图4﹣2中,当CM平分∠QMP时,作CG⊥AB于G.21 / 21∵•AC •BC =•AB •CG ,∴CG===,AG===, ∵∠CMG =∠GCM =45°,∴CG =GM=, ∴AM =9t=+,解得t =, 综上所述,满足条件的t的值为s或s .。
2019-2020学年吉林省长春市南关区东北师大附中九年级(上)大练习数学试卷(二)一、选择题(每小题3分,共24分)1. tan30∘的值为()A.√32B.12C.√3D.√332. 方程x(x+2)=0的根是()A.x=0B.x=2C.x1=0,x2=2D.x1=0,x2=−23. 近似数6.00×105精确到()A.百分位B.十分位C.千位D.百位4. 抛物线y=3(x−2)2+5的顶点坐标是( )A.(−2, −5)B.(−2, 5)C.(2, −5)D.(2, 5)5. 抛物线y=3x2向右平移1个单位,再向下平移2个单位,所得到的抛物线是()A.y=3(x+1)2−2B.y=3(x−1)2−2C.y=3(x+1)2+2D.y=3(x−1)2+26. 抛物线y=(x−3)2+1关于x轴对称的抛物线的表达式为()A.y=(x−3)2−1B.y=−(x−3)2−1C.y=−(x+3)2+1D.y=(x+3)2+17. 若方程ax2+bx+c=0的两个根是−3和1,那么二次函数y=ax2+bx+c的图象的对称轴是直线()A.x=−2B.x=−3C.x=1D.x=−18. 已知点A(−2, a),B(12, b),C(52, c)都在二次函数y=−x2+2x+3的图象上,那么a、b、c的大小是()A.b<c<aB.a<b<cC.a<c<bD.c<b<a二、填空题(每小题3分,共18分)|1−√3|=________.√16的算术平方根是________.若y=(m−1)x|m|+1−2x是二次函数,则m=________.一个边长是5的正方形,当边长增加x时,面积增加y,则y与x之间的函数关系式为________.当2≤x≤5时,二次函数y=−(x−1)2+2的最大值为________.已知点A(1, y1),B(m, y2)在二次函数y=(x−2)2−3的图象上,且y1>y2,则实数m的取值范围是________.三、解答题(共78分)计算:(1)17−23÷(−4)(2)−24×(712−56−1)(3)√8−3√12+√2(4)|−√2|+√9×(12)−1−(π−1)0先化简,再求值:(1−3x+1)÷x2−4x+4x2−1,其中x=3.今年深圳“读书月”期间,某书店将每本成本为30元的一批图书,以40元的单价出售时,每天的销售量是300本.已知在每本涨价幅度不超过10元的情况下,若每本涨价1元,则每天就会少售出10本,设每本书上涨了x 元.请解答以下问题:(1)填空:每天可售出书________本(用含x的代数式表示);(2)若书店想通过售出这批图书每天获得3750元的利润,应涨价多少元?已知:二次函数y=−2x2+12x−13(1)通过配方将它写成y =a(x −ℎ)2+k 的形式.(2)当x =________时,函数有最________值是________.(3)当x <3 时,y 随x 的增大而增大;当x >3 时,y 随x 的增大而减小.(4)该函数图象由y =−2x 2的图象经过怎样的平移得到?一个二次函数的图象经过点A(1, 0),B(2, 0)和C(3, 4),求这个二次函数的表达式.在美化校园的活动中,某兴趣小组用总长为28米的围栏材料,一面靠墙,围成一个矩形花园,墙长8米,设AB 的长为x 米,矩形花园的面积为S 平方米,当x 为多少时,S 取得最大值,最大值是多少?已知函数y ={(x −2)2−3(x >0)(x +2)2−3(x ≤0).(1)在下面的平面直角坐标系中画出该函数的图象.(2)使y =1成立的x 的值有________个.(3)使y =k 成立的x 的值恰好有4个,则k 的取值范围为________;(4)使y =k 成立的x 的值恰好有2个,则k 的取值范围为________.甲、乙两地之间的铁路交通设有特快列车和普通快车两种车次,某天一辆普通快车从甲地出发匀速向乙地行驶,同时另一辆特快列车从乙地出发匀速向甲地行驶,两车离甲地的路程S (千米)与行驶时间t (时)之间的函数关系如图所示.(1)甲地到乙地的路成为________千米,普通快车到达乙地所用时间为________小时.(2)求特快列车离甲地的路程s 与t 之间的函数关系式.(3)在甲、乙两地之间有一座铁路桥,特快列车到铁路桥后又行驶0.5小时与普通快车相遇,求甲地与铁路桥之间的路程.如图,在△ABC 中,∠A =90∘,AB =6,AC =3,点D 在边AC 上,AD =2,射线DG ⊥AC 交BC 于点G ,点P 从点D 出发,以每秒2个单位长度的速度沿射线DG 方向运动,过点P 作PE // BC ,交射线AC 于点E ,以DE 、EP 为邻边作▱DEPF ,设点P 的运动时间为x(s)(1)线段DE 的长为________(用含x 的代数式表示)(2)求点F 落在AB 上时x 的值;(3)设▱DEPF 与△ABC 的重叠部分图形的面积为y (平方单位),当0<x ≤3时,求y 与x 之间的函数关系式.(4)当x ≥3时,直接写出△PBF 为等腰三角形时x 的值.参考答案与试题解析2019-2020学年吉林省长春市南关区东北师大附中九年级(上)大练习数学试卷(二)一、选择题(每小题3分,共24分)1.【答案】此题暂无答案【考点】特殊角根三角函股值【解析】此题暂无解析【解答】此题暂无解答2.【答案】此题暂无答案【考点】解一较燥次延程抗因式分解法【解析】此题暂无解析【解答】此题暂无解答3.【答案】此题暂无答案【考点】近似数于有效旋字【解析】此题暂无解析【解答】此题暂无解答4.【答案】此题暂无答案【考点】二次明数织性质【解析】此题暂无解析【解答】此题暂无解答5. 【答案】此题暂无答案【考点】二因似数查摩的平移规律【解析】此题暂无解析【解答】此题暂无解答6.【答案】此题暂无答案【考点】二水来数兴象触几何变换【解析】此题暂无解析【解答】此题暂无解答7.【答案】此题暂无答案【考点】抛物线明x稀的交点【解析】此题暂无解析【解答】此题暂无解答8.【答案】此题暂无答案【考点】二次常数图见合点的岸标特征【解析】此题暂无解析【解答】此题暂无解答二、填空题(每小题3分,共18分)【答案】此题暂无答案【考点】实根的冬质绝对值【解析】此题暂无解析【解答】此题暂无解答【答案】此题暂无答案【考点】算三平最根【解析】此题暂无解析【解答】此题暂无解答【答案】此题暂无答案【考点】二次常数簧定义【解析】此题暂无解析【解答】此题暂无解答【答案】此题暂无答案【考点】函较燥系式【解析】此题暂无解析【解答】此题暂无解答【答案】此题暂无答案【考点】二次常数换最值【解析】此题暂无解析【解答】此题暂无解答【答案】此题暂无答案【考点】二次常数图见合点的岸标特征【解析】此题暂无解析【解答】此题暂无解答三、解答题(共78分)【答案】此题暂无答案【考点】零因优幂零使数解、达制数指数幂实因归运算【解析】此题暂无解析【解答】此题暂无解答【答案】此题暂无答案【考点】分式因化简优值约分【解析】此题暂无解析【解答】此题暂无解答【答案】此题暂无答案【考点】一元水于方技散应用——利润问题列使数种【解析】此题暂无解析【解答】此题暂无解答【答案】此题暂无答案【考点】二次常数图见合点的岸标特征二次明数织性质二次函于的三凸形式二水来数兴象触几何变换二次常数换最值【解析】此题暂无解析【解答】此题暂无解答【答案】此题暂无答案【考点】二次常数图见合点的岸标特征待定水体硫故二次函数解析式【解析】此题暂无解析【解答】此题暂无解答【答案】此题暂无答案【考点】二次表数擦应用【解析】此题暂无解析【解答】此题暂无解答【答案】此题暂无答案【考点】二次明数织性质【解析】此题暂无解析【解答】此题暂无解答【答案】此题暂无答案【考点】一次水根的应用【解析】此题暂无解析【解答】此题暂无解答【答案】此题暂无答案【考点】四边正形合题【解析】此题暂无解析【解答】此题暂无解答。
人教版数学九年级上册期末考试试题及答案一、选择题(每小题3分,共30分)1.下列设计的图案中,是中心对称图形但不是轴对称图形的是()A.B.C.D.2.经过某路口的行人,可能直行,也可能左拐或右拐,假设这三种可能性相同,现在有一个人经过该路口,恰好直行的概率是()A.B.C.D.3.若关于x的一元二次方程mx2﹣x=有实数根,则实数m的取值范围是()A.m≥﹣1 B.m≥﹣1且m≠0 C.m>﹣1且m≠0 D.m≠04.如图,点A是反比例函数图象的一点,自点A向y轴作垂线,垂足为T,已知S=4,△AOT 则此函数的表达式为()A.B.C.D.5.如图,将线段AB绕点P按顺时针方向旋转90°,得到线段A'B',其中点A、B的对应点分别是点A'、B',则点A'的坐标是()A.(﹣1,3)B.(4,0)C.(3,﹣3)D.(5,﹣1)6.一元二次方程x2﹣6x﹣6=0配方后化为()A.(x﹣3)2=15 B.(x﹣3)2=3 C.(x+3)2=15 D.(x+3)2=3 7.如图,AB是⊙O的直径,弦CD交AB于点P,AP=2,BP=6,∠APC=30°,则CD的长为()A.B.2C.2D.88.若点(﹣2,y1),(﹣1,y2),(3,y3)在双曲线y=(k<0)上,则y1,y2,y3的大小关系是()A.y1<y2<y3B.y3<y2<y1C.y2<y1<y3D.y3<y1<y29.如图,在网格中,小正方形的边长均为1,点A,B,C都在格点上,则∠ABC的正切值是()A.2 B.C.D.10.如图,⊙M的半径为2,圆心M的坐标为(3,4),点P是⊙M上的任意一点,PA⊥PB,且PA、PB与x轴分别交于A、B两点,若点A、点B关于原点O对称,则AB的最小值为()A.3 B.4 C.6 D.8二、填空题(共6小题,每题4份,共24分)11.(4分)用一个圆心角为120°,半径为4的扇形作一个圆锥的侧面,这个圆锥的底面圆的半径为.12.(4分)如图,在平面直角坐标系中,每个小方格都是边长为1个单位长度的正方形,已知△AOB与△A1OB1位似,位似中心为原点O,且相似比为3:2,点A,B都在格点上,则点B1的坐标为.13.(4分)如图,某商店营业大厅自动扶梯AB的倾斜角为31°,AB的长为12米,则大厅两层之间的高度为米.(结果保留两个有效数字)【参考数据;sin31°=0.515,cos31°=0.857,tan31°=0.601】14.(4分)已知线段AB长是2厘米,P是线段AB上的一点,且满足AP2=AB•BP,那么AP 长为厘米.15.(4分)如图,在一笔直的海岸线l上有相距2km的A,B两个观测站,B站在A站的正东方向上,从A站测得船C在北偏东60°的方向上,从B站测得船C在北偏东30°的方向上,则船C到海岸线l的距离是km.16.(4分)在△ABC中,AB=9,AC=6.点M在边AB上,且AM=3,点N在AC边上.当AN =时,△AMN与原三角形相似.三、解答题(本题共7小题,共66分)17.(12分)(1)计算:4cos30°﹣3tan60°+2sin45°•cos45°(2)解方程:x2+x﹣1=018.(7分)随着信息技术的迅猛发展,人民去商场购物的支付方式更加多样、便捷.除了现金、银行卡支付以外,还有微信、支付宝以及其他支付方式.在一次购物中,小明和小亮都想从微信、支付宝、银行卡三种支付方式中选一种方式进行支付,请用画树状图或列表格的方法,求出两人恰好选择同一种支付方式的概率.19.(7分)如图,已知∠BAE=∠CAD,AB=18,AC=48,AE=15,AD=40.求证:△ABC∽△AED.20.(9分)如图,一次函数y=kx+b(k≠0)和反比例函数y=(m≠0)分别交于点A(4,1),B(﹣1,a)(1)求反比例函数和一次函数的解析式;(2)求△AOB的面积;(3)根据图象直接写出kx+b>的x的取值范围.21.(9分)如图,为加快城乡对接,建设全域美丽乡村,某地区对A,B两地间的公路进行改建.如图,A,B两地之间有一座山,汽车原来从A地到B地需途径C地沿折线ACB行驶,现开通隧道后,汽车可直接沿直线AB行驶.已知BC=80千米,∠A=45°,∠B=30°,开通隧道后,汽车从A地到B地大约可以少走多少千米(结果精确到1千米)?(参考数据:≈1.4,≈1.7)22.(10分)如图,△ABC内接于⊙O,AB=AC,∠BAC=36°,过点A作AD∥BC,与∠ABC 的平分线交于点D,BD与AC交于点E,与⊙O交于点F.(1)求∠DAF的度数;(2)求证:AE2=EF•ED;(3)求证:AD是⊙O的切线.23.(12分)如图,已知抛物线y=ax2+bx+1与x轴分别交于A(﹣1,0),B(3,0),与y 轴交于点C.(1)求抛物线解析式;(2)在直线BC上方的抛物线上有点P,使△PBC面积为1,求出点P的坐标.参考答案一、选择题1.下列设计的图案中,是中心对称图形但不是轴对称图形的是()A.B.C.D.【分析】根据轴对称图形与中心对称图形的概念求解.解:A、是轴对称图形,也是中心对称图形,不符合题意;B、是轴对称图形,也是中心对称图形,不符合题意;C、不是轴对称图形,是中心对称图形,符合题意;D、是轴对称图形,也是中心对称图形,不符合题意.故选:C.【点评】此题主要考查了中心对称图形与轴对称图形的概念.轴对称图形的关键是寻找对称轴,图形两部分折叠后可重合,中心对称图形是要寻找对称中心,旋转180度后两部分重合.2.经过某路口的行人,可能直行,也可能左拐或右拐,假设这三种可能性相同,现在有一个人经过该路口,恰好直行的概率是()A.B.C.D.【分析】根据根据概率的求法,找准两点:①全部情况的总数;②符合条件的情况数目;二者的比值就是其发生的概率即可求出答案.解:∵共有直行、左拐、右拐这3种选择,∴恰好直行的概率是,故选:B.【点评】此题考查了概率的求法:如果一个事件有n种可能,而且这些事件的可能性相同,其中事件A出现m种结果,那么事件A的概率P(A)=.3.若关于x的一元二次方程mx2﹣x=有实数根,则实数m的取值范围是()A.m≥﹣1 B.m≥﹣1且m≠0 C.m>﹣1且m≠0 D.m≠0【分析】将原方程变形为一般式,根据二次项系数非零及根的判别式△≥0,即可得出关于m的一元一次不等式,解之即可得出实数m的取值范围.解:原方程可变形为mx2﹣x﹣=0.∵关于x的一元二次方程mx2﹣x=有实数根,∴,解得:m≥﹣1且m≠0.故选:B.【点评】本题考查了根的判别式以及一元二次方程的定义,根据二次项系数非零及根的判别式△≥0,列出关于m的一元一次不等式是解题的关键.=4,4.如图,点A是反比例函数图象的一点,自点A向y轴作垂线,垂足为T,已知S△AOT 则此函数的表达式为()A.B.C.D.【分析】由图象上的点所构成的三角形面积为可知,该点的横纵坐标的乘积绝对值为2,又因为点M在第二象限内,所以可知反比例函数的系数.=8;解:由题意得: |k|=2S△AOT又因为点M在第二象限内,则k<0;所以反比例函数的系数k为﹣8.故选:D.【点评】本题主要考查了反比例函数中k的几何意义,即过双曲线上任意一点引x轴、y轴垂线,所得矩形面积为|k|,是经常考查的一个知识点;这里体现了数形结合的思想,做此类题一定要正确理解k的几何意义.5.如图,将线段AB绕点P按顺时针方向旋转90°,得到线段A'B',其中点A、B的对应点分别是点A'、B',则点A'的坐标是()A.(﹣1,3)B.(4,0)C.(3,﹣3)D.(5,﹣1)【分析】画图可得结论.解:画图如下:则A'(5,﹣1),故选:D.【点评】本题考查了旋转的性质,熟练掌握顺时针或逆时针旋转是解决问题的关键.6.一元二次方程x2﹣6x﹣6=0配方后化为()A.(x﹣3)2=15 B.(x﹣3)2=3 C.(x+3)2=15 D.(x+3)2=3【分析】方程移项配方后,利用平方根定义开方即可求出解.解:方程整理得:x2﹣6x=6,配方得:x2﹣6x+9=15,即(x﹣3)2=15,故选:A.【点评】此题考查了解一元二次方程﹣配方法,熟练掌握完全平方公式是解本题的关键.7.如图,AB是⊙O的直径,弦CD交AB于点P,AP=2,BP=6,∠APC=30°,则CD的长为()A.B.2C.2D.8【分析】作OH⊥CD于H,连结OC,如图,根据垂径定理由OH⊥CD得到HC=HD,再利用AP =2,BP=6可计算出半径OA=4,则OP=OA﹣AP=2,接着在Rt△OPH中根据含30度的直角三角形的性质计算出OH=OP=1,然后在Rt△OHC中利用勾股定理计算出CH=,所以CD=2CH=2.解:作OH⊥CD于H,连结OC,如图,∵OH⊥CD,∴HC=HD,∵AP=2,BP=6,∴AB=8,∴OA=4,∴OP=OA﹣AP=2,在Rt△OPH中,∵∠OPH=30°,∴∠POH=60°,∴OH=OP=1,在Rt△OHC中,∵OC=4,OH=1,∴CH==,∴CD=2CH=2.故选:C.【点评】本题考查了垂径定理:垂直于弦的直径平分这条弦,并且平分弦所对的两条弧.也考查了勾股定理以及含30度的直角三角形的性质.8.若点(﹣2,y 1),(﹣1,y 2),(3,y 3)在双曲线y =(k <0)上,则y 1,y 2,y 3的大小关系是( )A .y 1<y 2<y 3B .y 3<y 2<y 1C .y 2<y 1<y 3D .y 3<y 1<y 2【分析】先分清各点所在的象限,再利用各自的象限内利用反比例函数的增减性解决问题. 解:∵点(﹣2,y 1),(﹣1,y 2),(3,y 3)在双曲线y =(k <0)上,∴(﹣2,y 1),(﹣1,y 2)分布在第二象限,(3,y 3)在第四象限,每个象限内,y 随x 的增大而增大,∴y 3<y 1<y 2.故选:D .【点评】此题主要考查了反比例函数的性质,正确掌握反比例函数增减性是解题关键,注意:反比例函数的增减性要在各自的象限内.9.如图,在网格中,小正方形的边长均为1,点A ,B ,C 都在格点上,则∠ABC 的正切值是( )A .2B .C .D .【分析】根据勾股定理,可得AC 、AB 的长,根据正切函数的定义,可得答案.解:如图:,由勾股定理,得AC =,AB =2,BC =,∴△ABC 为直角三角形,∴tan ∠B ==,【点评】本题考查了锐角三角函数的定义,先求出AC、AB的长,再求正切函数.10.如图,⊙M的半径为2,圆心M的坐标为(3,4),点P是⊙M上的任意一点,PA⊥PB,且PA、PB与x轴分别交于A、B两点,若点A、点B关于原点O对称,则AB的最小值为()A.3 B.4 C.6 D.8【分析】由Rt△APB中AB=2OP知要使AB取得最小值,则PO需取得最小值,连接OM,交⊙M于点P′,当点P位于P′位置时,OP′取得最小值,据此求解可得.解:∵PA⊥PB,∴∠APB=90°,∵AO=BO,∴AB=2PO,若要使AB取得最小值,则PO需取得最小值,连接OM,交⊙M于点P′,当点P位于P′位置时,OP′取得最小值,过点M作MQ⊥x轴于点Q,则OQ=3、MQ=4,∴OM=5,又∵MP′=2,∴OP′=3,∴AB=2OP′=6,【点评】本题主要考查点与圆的位置关系,解题的关键是根据直角三角形斜边上的中线等于斜边的一半得出AB取得最小值时点P的位置.二、填空题(共6小题,每题4份,共24分)11.(4分)用一个圆心角为120°,半径为4的扇形作一个圆锥的侧面,这个圆锥的底面圆的半径为.【分析】利用底面周长=展开图的弧长可得.解:,解得r=.故答案为:.【点评】解答本题的关键是有确定底面周长=展开图的弧长这个等量关系,然后由扇形的弧长公式和圆的周长公式求值.12.(4分)如图,在平面直角坐标系中,每个小方格都是边长为1个单位长度的正方形,已知△AOB与△A1OB1位似,位似中心为原点O,且相似比为3:2,点A,B都在格点上,则点B1的坐标为(﹣2,﹣).【分析】把B的横纵坐标分别乘以﹣得到B′的坐标.解:由题意得:△AOB与△A1OB1位似,位似中心为原点O,且相似比为3:2,又∵B(3,1)∴B′的坐标是[3×(﹣),1×(﹣)],即B′的坐标是(﹣2,﹣);故答案为:(﹣2,﹣).【点评】本题考查了位似变换:先确定点的坐标,及相似比,再分别把横纵坐标与相似比相乘即可,注意原图形与位似图形是同侧还是异侧,来确定所乘以的相似比的正负.13.(4分)如图,某商店营业大厅自动扶梯AB的倾斜角为31°,AB的长为12米,则大厅两层之间的高度为 6.2 米.(结果保留两个有效数字)【参考数据;sin31°=0.515,cos31°=0.857,tan31°=0.601】【分析】根据题意和锐角三角函数可以求得BC的长,从而可以解答本题.解:在Rt△ABC中,∵∠ACB=90°,∴BC=AB•sin∠BAC=12×0.515≈6.2(米),答:大厅两层之间的距离BC的长约为6.2米.故答案为:6.2.【点评】本题考查解直角三角形的应用,解答本题的关键是明确题意,找出所求问题需要的条件,利用锐角三角函数和数形结合的思想解答.14.(4分)已知线段AB长是2厘米,P是线段AB上的一点,且满足AP2=AB•BP,那么AP 长为(﹣1)厘米.【分析】根据黄金分割点的定义,知AP是较长线段,得出AP=AB,代入数据即可得出AP的长.解:∵P是线段AB上的一点,且满足AP2=AB•BP,∴P为线段AB的黄金分割点,且AP是较长线段,∴AP=AB=2×=(﹣1)厘米.故答案为(﹣1).【点评】本题考查了黄金分割的概念:如果一个点把一条线段分成两条线段,并且较长线段是较短线段和整个线段的比例中项,那么就说这个点把这条线段黄金分割,这个点叫这条线段的黄金分割点;较长线段是整个线段的倍.15.(4分)如图,在一笔直的海岸线l上有相距2km的A,B两个观测站,B站在A站的正东方向上,从A站测得船C在北偏东60°的方向上,从B站测得船C在北偏东30°的方向上,则船C到海岸线l的距离是km.【分析】首先由题意可证得:△ACB是等腰三角形,即可求得BC的长,然后由在Rt△CBD 中,CD=BC•sin60°,求得答案.解:过点C作CD⊥AB于点D,根据题意得:∠CAD=90°﹣60°=30°,∠CBD=90°﹣30°=60°,∴∠ACB=∠CBD﹣∠CAD=30°,∴∠CAB=∠ACB,∴BC=AB=2km,在Rt△CBD中,CD=BC•sin60°=2×=(km).故答案为:.【点评】此题考查了方向角问题.注意证得△ABC是等腰三角形是解此题的关键.16.(4分)在△ABC中,AB=9,AC=6.点M在边AB上,且AM=3,点N在AC边上.当AN =2或4.5 时,△AMN与原三角形相似.【分析】分别从△AMN∽△ABC或△AMN∽△ACB去分析,根据相似三角形的对应边成比例,即可求得答案.解:由题意可知,AB=9,AC=6,AM=3,①若△AMN ∽△ABC ,则=,即=, 解得:AN =2;②若△AMN ∽△ACB ,则=,即=, 解得:AN =4.5;故AN =2或4.5.故答案为:2或4.5.【点评】此题考查了相似三角形的性质.此题难度适中,注意掌握分类讨论思想的应用是解此题的关键.三、解答题(本题共7小题,共66分)17.(12分)(1)计算:4cos30°﹣3tan60°+2sin45°•cos45°(2)解方程:x 2+x ﹣1=0【分析】(1)利用特殊角的三角函数值计算;(2)先计算判别式的值,然后利用求根公式解方程.解:(1)原式=4×﹣3×+2××=2﹣3+1 =1﹣; (2)△=12﹣4×(﹣1)=5,x == 所以x 1=,x 2=.【点评】本题考查了解一元二次方程﹣公式法:将一元二次方程配成(x +m )2=n 的形式,再利用直接开平方法求解,这种解一元二次方程的方法叫配方法.也考查了特殊角的三角函数值.18.(7分)随着信息技术的迅猛发展,人民去商场购物的支付方式更加多样、便捷.除了现金、银行卡支付以外,还有微信、支付宝以及其他支付方式.在一次购物中,小明和小亮都想从微信、支付宝、银行卡三种支付方式中选一种方式进行支付,请用画树状图或列表格的方法,求出两人恰好选择同一种支付方式的概率.【分析】首先根据题意画出树状图,然后由树状图求得所有等可能的结果与两人恰好选择同一种支付方式的情况,再利用概率公式即可求得答案.解:将微信记为A、支付宝记为B、银行卡记为C,画树状图如下:∵共有9种等可能的结果,其中两人恰好选择同一种支付方式的有3种,∴两人恰好选择同一种支付方式的概率为=.【点评】此题考查了树状图法与列表法求概率.注意树状图法与列表法可以不重不漏的表示出所有等可能的结果.用到的知识点为:概率=所求情况数与总情况数之比.19.(7分)如图,已知∠BAE=∠CAD,AB=18,AC=48,AE=15,AD=40.求证:△ABC∽△AED.【分析】由∠BAE=∠CAD知∠BAE+∠EAC=∠CAD+∠EAC,即∠BAC=∠EAD,再根据线段的长得出==,据此即可得证.解:∵∠BAE=∠CAD,∴∠BAE+∠EAC=∠CAD+∠EAC,即∠BAC=∠EAD,∵AB=18,AC=48,AE=15,AD=40,∴==,∴△ABC∽△AED.【点评】本题主要考查相似三角形的判定,解题的关键是掌握两边及其夹角法:两组对应边的比相等且夹角对应相等的两个三角形相似.20.(9分)如图,一次函数y=kx+b(k≠0)和反比例函数y=(m≠0)分别交于点A(4,1),B(﹣1,a)(1)求反比例函数和一次函数的解析式;(2)求△AOB的面积;(3)根据图象直接写出kx+b>的x的取值范围.【分析】(1)利用待定系数法,即可得到反比例函数的解析式,把点A(4,1)与点B(﹣1,﹣4)代入一次函数y=kx+b,即可得到一次函数解析式为y=x﹣3;(2)根据三角形的面积公式即可得到结论;(3)由图象即可得kx+b>的x的取值范围.解:(1)∵点A(4,1)与点B(﹣1,a)在反比例函数y=(m≠0)图象上,∴m=4,即反比例函数的解析式为y=,当x=1时,y=﹣4,即B(﹣1,﹣4),∵点A(4,1)与点B(﹣1,﹣4)在一次函数y=kx+b(k≠0)图象上,∴,解得:,∴一次函数解析式为y=x﹣3;(2)对于y=x﹣3,当y=0时,x=3,∴C(3,0),∴S△AOB =S△AOC+S△BOC=×3×1+×3×4=;(3)由图象可得,当﹣1<x<0或x>4时,kx+b>.【点评】本题考查的是反比例函数与一次函数的交点问题及三角形的面积公式,熟知坐标轴上点的坐标特点是解答此题的关键.21.(9分)如图,为加快城乡对接,建设全域美丽乡村,某地区对A,B两地间的公路进行改建.如图,A,B两地之间有一座山,汽车原来从A地到B地需途径C地沿折线ACB行驶,现开通隧道后,汽车可直接沿直线AB行驶.已知BC=80千米,∠A=45°,∠B=30°,开通隧道后,汽车从A地到B地大约可以少走多少千米(结果精确到1千米)?(参考数据:≈1.4,≈1.7)【分析】过点C作AB的垂线CD,垂足为D,在直角△ACD中,解直角三角形求出CD的长度和AC的长度,在直角△CBD中,解直角三角形求出BD的长度,再求出AD的长度,进而求出汽车从A地到B地比原来少走多少路程.解:过点C作AB的垂线CD,垂足为D,∵AB⊥CD,sin30°=,BC=80千米,∴CD=BC•sin30°=80×=40(千米),AC==40≈56.4(千米),∵cos30°=,BC=80(千米),∴BD=BC•cos30°=80×=40(千米),∵tan45°=,CD=40(千米),∴AD=40(千米),∴AB=AD+BD=40+40≈40+40×1.73=109.2(千米),∴汽车从A地到B地比原来少走多少路程为:AC+BC﹣AB=136.4﹣109.2=27.2≈27(千米).答:汽车从A地到B地比原来少走的路程为27千米.【点评】本题考查了勾股定理的运用以及解一般三角形的知识,求三角形的边或高的问题一般可以转化为解直角三角形的问题,解决的方法就是作高线.22.(10分)如图,△ABC内接于⊙O,AB=AC,∠BAC=36°,过点A作AD∥BC,与∠ABC 的平分线交于点D,BD与AC交于点E,与⊙O交于点F.(1)求∠DAF的度数;(2)求证:AE2=EF•ED;(3)求证:AD是⊙O的切线.【分析】(1)求出∠ABC、∠ABD、∠CBD的度数,求出∠D度数,根据三角形内角和定理求出∠BAF和∠BAD度数,即可求出答案;(2)求出△AEF∽△DEA,根据相似三角形的性质得出即可;(3)连接AO,求出∠OAD=90°即可.【解答】(1)解:∵AD∥BC,∴∠D=∠CBD,∵AB=AC,∠BAC=36°,∴∠ABC=∠ACB=×(180°﹣∠BAC)=72°,∴∠AFB=∠ACB=72°,∵BD平分∠ABC,∴∠ABD=∠CBD=∠ABC=72°=36°,∴∠D=∠CBD=36°,∴∠BAD=180°﹣∠D﹣∠ABD=180°﹣36°﹣36°=108°,∠BAF=180°﹣∠ABF﹣∠AFB=180°﹣36°﹣72°=72°,∴∠DAF=∠DAB﹣∠FAB=108°﹣72°=36°;(2)证明:∵∠CBD=36°,∠FAC=∠CBD,∴∠FAC=36°=∠D,∵∠AED=∠AEF,∴△AEF∽△DEA,∴=,∴AE2=EF×ED;(3)证明:连接OA、OF,∵∠ABF=36°,∴∠AOF=2∠ABF=72°,∵OA=OF,∴∠OAF=∠OFA=×(180°﹣∠AOF)=54°,由(1)知∠DAF=36°,∴∠DAO=36°+54°=90°,即OA⊥AD,∵OA为半径,∴AD是⊙O的切线.【点评】本题考查了切线的判定,圆周角定理,三角形内角和定理,等腰三角形的性质等知识点,能综合运用定理进行推理是解此题的关键.23.(12分)如图,已知抛物线y=ax2+bx+1与x轴分别交于A(﹣1,0),B(3,0),与y 轴交于点C.(1)求抛物线解析式;(2)在直线BC上方的抛物线上有点P,使△PBC面积为1,求出点P的坐标.【分析】(1)根据抛物线y=ax2+bx+1与x轴分别交于A(﹣1,0),B(3,0),可以求得该抛物线的解析式;(2)根据题意和(1)中的抛物线解析式可以求得点C的坐标,从而可以得到直线BC的函数解析式,然后根据在直线BC上方的抛物线上有点P,使△PBC面积为1,即可求得点P 的坐标.解:(1)∵抛物线y=ax2+bx+1与x轴分别交于A(﹣1,0),B(3,0),∴,解得,,∴抛物线的解析式为y=﹣x2+x+1;(2)∵y=﹣x2+x+1,∴当x=0时,y=1,即点C的坐标为(0,1),∵B(3,0),C(0,1),∴直线BC的解析式为:y=x+1,设点P的坐标为(p,﹣p2+p+1),将x=p代入y=x+1的,y=p+1,∵△PBC面积为1,∴=1,解得,p1=1,p2=2,当p1=1时,点P的坐标为(1,),当p=2时,点P的坐标为(2,1),2即点P的坐标为(1,)或(2,1).【点评】本题考查抛物线与x轴的交点、一次函数图象上点的坐标特征、二次函数图象上点的坐标特征、待定系数法求二次函数解析式,解答本题的关键是明确题意,利用二次函数的性质解答.九年级上学期期末考试数学试题(含答案)一、选择题(下列各题的备选答案中,只有一个是正确的;本题共8个小题,每小题2分,共16分)1.(2分)如图,一个空心圆柱体,其左视图正确的是()A.B.C.D.2.(2分)关于x的一元二次方程x2+x+1=0的根的情况是()A.两个不等的实数根B.两个相等的实数根C.没有实数根D.无法确定3.(2分)有3张纸牌,分别是红桃2,红桃3,黑桃A,把纸牌洗匀后甲先抽取一张,记下花色和数字后将牌放回,洗匀后乙再抽取一张,则两人抽的纸牌均为红桃的概率是()A.B.C.D.4.(2分)下列说法正确的是()A.有两个角为直角的四边形是矩形B.矩形的对角线相等C.平行四边形的对角线相等D.对角线互相垂直的四边形是菱形5.(2分)如图,△ABC中,点D、E分别在边AB、BC上,DE∥AC,若DB=4,AB=6,BE=3,则EC的长是()A.4B.2C.D.6.(2分)已知反比例函数y=,下列结论不正确的是()A.该函数图象经过点(﹣1,1)B.该函数图象在第二、四象限C.当x<0时,y随着x的增大而减小D.当x>1时,﹣1<y<07.(2分)如图,在矩形ABCD中,AB=8厘米,BC=10厘米,点E在边AB上,且AE=2厘米,如果动点P在线段BC上以2厘米/秒的速度由B点向C点运动,同时,动点Q 在线段CD上由C点向D点运动,设运动时间为t秒,当△BPE与△CQP全等时,t的值为()A.2B.1.5或2C.2.5D.2或2.58.(2分)如图,已知∠MON=30°,B为OM上一点,BA⊥ON于点A,四边形ABCD为正方形,P为射线BM上一动点,连结CP,将CP绕点C顺时针方向旋转90°得CE,连接BE,若AB=2,则BE的最小值为()A.+1B.2﹣1C.3D.4﹣二、填空题(本题共8个小题,每小题3分,共24分)9.(3分)方程x2=2x的解是.10.(3分)某地区为估计该地区黄羊的只数,先捕捉20只黄羊给它们分别作上标志,然后放回,待有标志的黄羊完全混合于黄羊群后,第二次捕捉60只黄羊,发现其中2只有标志.从而估计该地区有黄羊只.11.(3分)小明的身高1.6米,他在阳光下的影长为0.8米,同一时刻,校园的旗杆影长为4.5米,则该旗杆高米.12.(3分)如图,已知点A在反比例函数图象上,AC⊥y轴于点C,点B在x轴的负半轴上,且△ABC的面积为3,则该反比例函数的表达式为.13.(3分)如图,某小区有一块长为30m,宽为24m的矩形空地,计划在其中修建两块相同的矩形绿地,它们的面积之和为480m2,两块绿地之间及周边有宽度相等的人行通道,设人行通道的宽度为xm,则可列方程为.14.(3分)如图,在菱形ABCD中,∠BAD=120°,CE⊥AD,且CE=BC,连接BE交对角线AC于点F,则∠EFC=°.15.(3分)如图,在平面直角坐标系中,O为坐标原点,点A,B的坐标分别为(0,4),(﹣3,0),E为AB的中点,EF∥AO交OB于点F,AF与EO交于点P,则EP的长为.16.(3分)如图,正方形A1ABC的边长为1,正方形A2A1B1C1边长为2.正方形A3A2B2C2边长为4,…依此规律继续做正方形A n+1A n B n∁n,其中点A,A1,A2,A3,…在同一条直线上,连接AC1交A1B1于点D1,连接A1C2交A2B2于点D2,…,若记△AA1D1的面积为S1,△A1A2D2的面积为S2…,△A n﹣1A n D n的面积为S n,则S2019=.三、解答题(本大题共2个题,17题6分,18题5分,共11分)17.(6分)用适当的方法解下列一元二次方程:(1)(x﹣1)2=2;(2)2x2+5x=﹣218.(5分)如图,在平面直角坐标系中,△ABC的顶点都在小方格的格点上.(1)点A的坐标是;点C的坐标是;(2)以原点O为位似中心,将△ABC缩小,使变换后得到的△A1B1C1与△ABC对应边的比为1:2,请在网格中画出△A1B1C1;(3)△A1B1C1的面积为.四、解答题(本大题共3个题,19题6分,20,21题各8分,共22分)19.(6分)某气球内充满了一定质量的气体,当温度不变时,气球内气体的气压P(单位:千帕)随气体体积V(单位:立方米)的变化而变化,P随V的变化情况如下表所示.(1)写出符合表格数据的P关于V的函数表达式;(2)当气球的体积为20立方米时,气球内气体的气压P为多少千帕?(3)当气球内的气压大于144千帕时,气球将爆炸,依照(1)中的函数表达式,基于安全考虑,气球的体积至少为多少立方米?20.(8分)小明和小亮两同学做游戏,游戏规则是:有一个不透明的盒子,里面装有两张红卡片,两张绿卡片,卡片除颜色外其它均相同,两人先后从盒子中取出一张卡片(不放回),若两人所取卡片的颜色相同,则小明获胜,否则小亮获胜.(1)请用画树状图或列表法列出游戏所有可能的结果;(2)请根据你的计算结果说明游戏是否公平,若不公平,你认为对谁有利?21.(8分)如图,在△ABC中,D、E分别是边AC、BC的中点,F是BC延长线上一点,∠F=∠B.(1)若AB=10,求FD的长;(2)若AC=BC,求证:△CDE∽△DFE.五、解答题(本大题共3个题,22题8分,23题9分,24题10分,共27分)22.(8分)利民商场经营某种品牌的T恤,购进时的单价是300元,根据市场调查:在一段时间内,销售单价是400元时,销售量是60件,销售单价每涨10元,销售量就减少1件.设这种T恤的销售单价为x元(x>400)时,销售量为y件、销售利润为W元.(1)请分别用含x的代数式表示y和W(把结果填入下表):(2)该商场计划实现销售利润10000元,并尽可能增加销售量,那么x的值应当是多少?23.(9分)如图,一次函数y=mx+n(m≠0)的图象与反比例函数y=(k≠0)的图象交于第一、三象限内的A,B两点,与y轴交于点C,过点B作BM⊥x轴,垂足为点M,BM=OM=2,点A的纵坐标为4.(1)求该反比例函数和一次函数的表达式;(2)直线AB交x轴于点D,过点D作直线l⊥x轴,如果直线l上存在点P,坐标平面内存在点Q.使四边形OP AQ是矩形,求出点P的坐标.24.(10分)如图1,在正方形ABCD中,E是边BC上的点,将线段DE绕点E逆时针旋转90°得到EF,过点C作CG∥EF交BA(或其延长线)于点G,连接DF,FG.(1)FG与CE的数量关系是,位置关系是.(2)如图2,若点E是CB延长线上的点,其它条件不变.①(1)中的结论是否仍然成立?请作出判断,并给予证明;②DE,DF分别交BG于点M,N,若BC=2BE,求.2018-2019学年辽宁省锦州市九年级(上)期末数学试卷参考答案与试题解析一、选择题(下列各题的备选答案中,只有一个是正确的;本题共8个小题,每小题2分,共16分)1.【解答】解:一个空心圆柱体,其左视图为.故选:B.2.【解答】解:∵x2+x+1=0,∴△=12﹣4×1×1=﹣3<0,∴该方程无实数根,故选:C.3.【解答】解:列表如下:∴一共有9种等可能的结果,其中两次抽得纸牌均为红桃的有4种结果,∴两次抽得纸牌均为红桃的概率为,故选:A.4.【解答】解:A、错误.有3个角为直角的四边形是矩形.B、正确.矩形的对角线相等.C、错误.平行四边形的对角线不一定相等.D、错误.对角线互相垂直的四边形不一定是菱形.故选:B.5.【解答】解:∵DE∥AC,∴DB:AB=BE:BC,∵DB=4,AB=6,BE=3,∴4:6=3:BC,解得:BC=,∴EC=BC﹣BE=.故选:C.6.【解答】解:对于y=,当x=﹣1时,y=1,∴该函数图象经过点(﹣1,1),A正确,不符合题意;∵k=﹣1<0,∴该函数图象在第二、四象限,B正确,不符合题意;当x<0时,y随着x的增大而增大,C错误,符合题意;当x>1时,﹣1<y<0,D正确,不符合题意,故选:C.7.【解答】解:当点Q的运动速度与点P的运动速度都是2厘米/秒,若△BPE≌△CQP,则BP=CQ,BE=CP,∵AB=8厘米,BC=10厘米,AE=2厘米,∴BE=CP=6厘米,∴BP=10﹣6=4厘米,∴运动时间=4÷2=2(秒);当点Q的运动速度与点P的运动速度不相等,∴BP≠CQ,∵∠B=∠C=90°,∴要使△BPE与△OQP全等,只要BP=PC=5厘米,CQ=BE=6厘米,即可.∴点P,Q运动的时间t=最新人教版九年级(上)期末模拟数学试卷及答案一、选择题(本大题共12小题,共48.0分)。